Research on Multi-Machine Pre-Synchronization Control and Optimization Based on Parallel Recovery Black Start
Abstract
1. Introduction
- (1)
- Enhanced phase-angle measurement: By refining the phase-angle difference calculation, the proposed method reduces PLL dependence and eliminates phase-angle jumps, accelerating pre-synchronization.
- (2)
- Frequency–phase-angle decoupling: The integration of the LADRC mitigates the coupling effect between the frequency and phase angle, effectively suppressing frequency overshoot and ensuring smoother dynamic responses.
- (3)
- Improved system robustness: The simplified control strategy avoids complex objective functions, striking a balance between synchronization speed and system stability.
2. Multi-VSG Black-Start Strategy
2.1. Comparison of Grid Recovery Strategies
2.2. Multi-VSG Black-Start Control
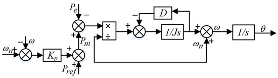
2.2.1. VSG Networking/Parallel Modeling
- (1)
- Active-Frequency Control:
- (2)
- Voltage-Reactive Control:
2.2.2. Multi-Machine Pre-Synchronized Phase-Angle Control Strategy
- (1)
- Negligible for small angles (e.g., <10°);
- (2)
- Rapidly increasing for larger angles (e.g., >30°), following a cubic relationship.
2.2.3. LADRC Adaptive Adjustment
- (1)
- VSG1’s own frequency perturbation d1(t).
- (2)
- Frequency overshoot due to frequency–phase-angle coupling during pre-synchronization of VSGi (i = 2, 3) and VSG1.
3. Microgrid Black-Start Process
4. Discussion of Black-Start Performance Analysis
4.1. Traditional Phase-Angle Control for Multi-Machine Black Start
4.2. Improved Phase-Angle Control for Multi-Machine Black Start
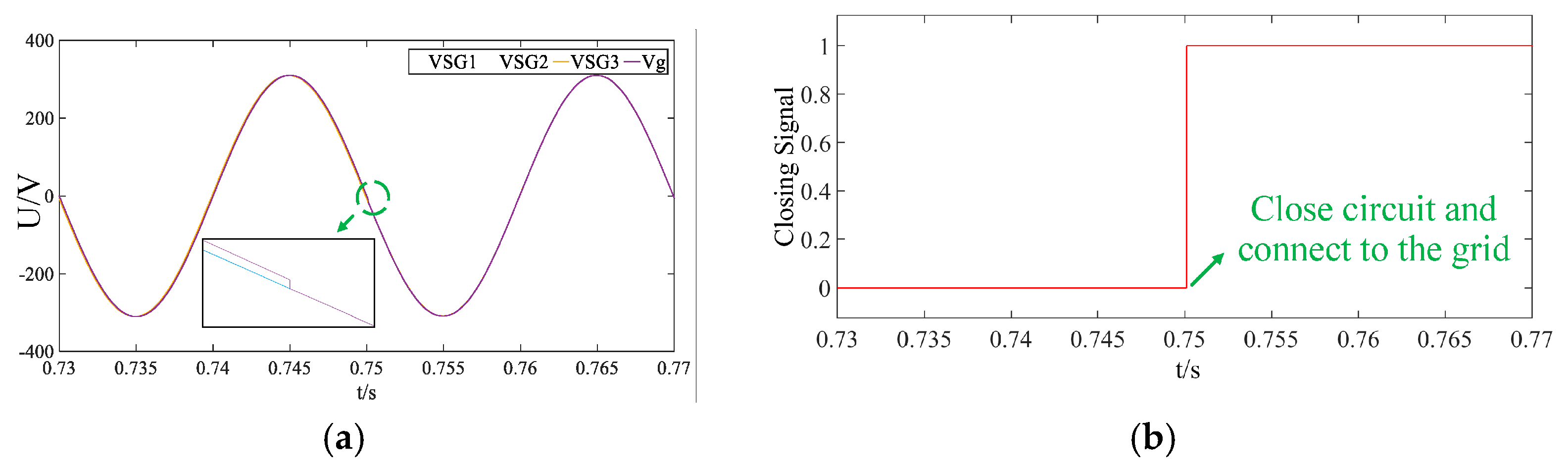
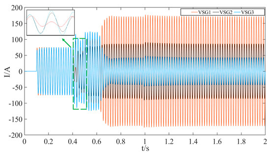
4.3. LADRC Decoupled Control of Multi-Machine Black Start
4.4. Engineering Realization Discussion
- (1)
- Computational Latency and Complexity: The LADRC relies on a LESO for the real-time observation and compensation of the system frequency and disturbances. However, in practical microgrids, constrained by hardware computational capabilities and high-speed data sampling conditions, a high-order LESO may introduce computational delays, thereby compromising frequency compensation effectiveness. To address this, reduced-order extended state observers (RESOs) can be adopted to simplify computational complexity, while distributed control strategies can be integrated to alleviate central control burdens and reduce data processing and transmission delays, thereby enhancing the timeliness of compensation signals.
- (2)
- Hardware Implementation and Communication Architecture Compatibility: VSGs are typically distributed across various nodes in a microgrid, requiring the frequency, phase angle, and other data to be transmitted via communication links to a central controller or among themselves. However, issues such as communication delays and packet loss may cause dynamic compensation signals from the LADRC to lag or fail, adversely affecting pre-synchronization performance. Therefore, in engineering implementations, it is essential to optimize hardware architecture and communication protocols, such as adopting edge computing-based LADRC control units to reduce reliance on remote data, ensuring real-time and stable regulation capabilities of compensation signals.
5. Conclusions
Author Contributions
Funding
Data Availability Statement
Conflicts of Interest
References
- Qu, Q.; Xiang, X.; Lei, J.; Li, W.; He, X. Transient Stability Analysis for Paralleled System of Virtual Synchronous Generators Based on Damping Energy Visualization and Approximation. IEEE Trans. Power Electron. 2024, 39, 15785–15799. [Google Scholar] [CrossRef]
- Zhang, Q.; Li, Y.; Ding, Z.; Xie, W.; Li, C. Self-Adaptive Secondary Frequency Regulation Strategy of Micro-Grid with Multiple Virtual Synchronous Generators. IEEE Trans. Ind. Appl. 2020, 56, 6007–6018. [Google Scholar] [CrossRef]
- Du, W.; Fu, Q.; Wang, H.F. Power System Small-Signal Angular Stability Affected by Virtual Synchronous Generators. IEEE Trans. Power Syst. 2019, 34, 3209–3219. [Google Scholar] [CrossRef]
- Yang, Z.; Zhan, M.; Liu, D.; Ye, C.; Cao, K.; Cheng, S. Small-Signal Synchronous Stability of a New-Generation Power System With 100% Renewable Energy. IEEE Trans. Power Syst. 2023, 38, 4269–4280. [Google Scholar] [CrossRef]
- Chen, M.; Zhou, D.; Blaabjerg, F. Modelling, Implementation, and Assessment of Virtual Synchronous Generator in Power Systems. J. Mod. Power Syst. Clean Energy 2020, 8, 399–411. [Google Scholar] [CrossRef]
- Cheng, H.; Huang, W.; Shen, C.; Peng, Y.; Shuai, Z.; Shen, Z.J. Transient Voltage Stability of Paralleled Synchronous and Virtual Synchronous Generators with Induction Motor Loads. IEEE Trans. Smart Grid 2021, 12, 4983–4999. [Google Scholar] [CrossRef]
- Liu, J.; Miura, Y.; Bevrani, H.; Ise, T. A Unified Modeling Method of Virtual Synchronous Generator for Multi-Operation-Mode Analyses. IEEE J. Emerg. Sel. Top. Power Electron. 2021, 9, 2394–2409. [Google Scholar] [CrossRef]
- Behera, S.K.; Panda, A.K.; Venkata Ramana, N.N. An Adaptive Control Approach for Improved Power Quality and Power Ripple Mitigation in a Self-Synchronized Grid-Tied VSG. IEEE Trans. Ind. Electron. 2024, 72, 3664–3675. [Google Scholar] [CrossRef]
- Zhou, J.; Sun, H.; Xu, Y.; Han, R.; Yi, Z.; Wang, L.; Guerrero, J.M. Distributed Power Sharing Control for Islanded Single-/Three-Phase Microgrids with Admissible Voltage and Energy Storage Constraints. IEEE Trans. Smart Grid 2021, 12, 2760–2775. [Google Scholar] [CrossRef]
- Wang, J.; Zhang, X.; Li, M. Transient Stability Analysis and Improvement of Multiparalleled Virtual Synchronous Generators Grid-Connected System. IEEE J. Emerg. Sel. Top. Power Electron. 2024, 12, 4094–4105. [Google Scholar] [CrossRef]
- Peña Asensio, A.; Arnaltes Gómez, S.; Rodriguez-Amenedo, J.L. Black-start capability of PV power plants through a grid-forming control based on reactive power synchronization. Int. J. Electr. Power Energy Syst. 2023, 146, 108730. [Google Scholar] [CrossRef]
- Asensio, A.P.; Gómez, S.A.; Rodriguez-Amenedo, J.L.; Cardiel-Álvarez, M.Á. Decentralized Frequency Control for Black Start of Full-Converter Wind Turbines. IEEE Trans. Energy Convers. 2021, 36, 480–487. [Google Scholar] [CrossRef]
- Citro, C.; Al-Numay, M.; Siano, P. Extensive assessment of virtual synchronous generators in intentional island mode. Int. J. Electr. Power Energy Syst. 2024, 157, 109853. [Google Scholar] [CrossRef]
- Wang, D.J.; Gu, X.P.; Zhou, G.Q.; Li, S.Y.; Liang, H.P. Decision-making optimization of power system extended black-start coordinating unit restoration with load restoration. Int. Trans. Electr. Energy Syst. 2017, 27, e2367. [Google Scholar] [CrossRef]
- Cheng, H.; Shuai, Z.; Shen, C.; Liu, X.; Li, Z.; Shen, Z.J. Transient Angle Stability of Paralleled Synchronous and Virtual Synchronous Generators in Islanded Microgrids. IEEE Trans. Power Electron. 2020, 35, 8751–8765. [Google Scholar] [CrossRef]
- Shi, K.; Song, W.; Xu, P.; Liu, R.; Fang, Z.; Ji, Y. Low-Voltage Ride-Through Control Strategy for a Virtual Synchronous Generator Based on Smooth Switching. IEEE Access 2018, 6, 2703–2711. [Google Scholar] [CrossRef]
- Asensio, A.P.; Gómez, S.A.; Rodriguez-Amenedo, J.L.; Cardiel-Álvarez, M.Á. Reactive Power Synchronization Method for Voltage-Sourced Converters. IEEE Trans. Sustain. Energy 2019, 10, 1430–1438. [Google Scholar] [CrossRef]
- Shi, K.; Song, W.; Ge, H.; Xu, P.; Yang, Y.; Blaabjerg, F. Transient Analysis of Microgrids with Parallel Synchronous Generators and Virtual Synchronous Generators. IEEE Trans. Energy Convers. 2020, 35, 95–105. [Google Scholar] [CrossRef]
- Liu, J.; Hossain, M.J.; Lu, J.; Rafi, F.H.M.; Li, H. A hybrid AC/DC microgrid control system based on a virtual synchronous generator for smooth transient performances. Electr. Power Syst. Res. 2018, 162, 169–182. [Google Scholar] [CrossRef]
- Imran, R.M.; Wang, S. Enhanced Two-Stage Hierarchical Control for a Dual Mode WECS-Based Microgrid. Energies 2018, 11, 1270. [Google Scholar] [CrossRef]
- Ramezani, M.; Li, S.; Musavi, F.; Golestan, S. Seamless Transition of Synchronous Inverters Using Synchronizing Virtual Torque and Flux Linkage. IEEE Trans. Ind. Electron. 2020, 67, 319–328. [Google Scholar] [CrossRef]
- Wei, H.; Tao, H.; Duan, F.; Zhang, Y.; Li, Y.; Luo, Z. Sensorless current model control for permanent magnet synchronous motor based on IPID with two-dimensional cloud model online optimisation. IET Power Electron. 2019, 12, 983–993. [Google Scholar] [CrossRef]
- Won, D.; Kim, W.; Tomizuka, M. High-Gain-Observer-Based Integral Sliding Mode Control for Position Tracking of Electrohydraulic Servo Systems. IEEE/ASME Trans. Mechatron. 2017, 22, 2695–2704. [Google Scholar] [CrossRef]
- Zhang, S.; Chi, R. Model-free adaptive PID control for nonlinear discrete-time systems. Trans. Inst. Meas. Control 2020, 42, 014233121989664. [Google Scholar] [CrossRef]
- Ouyang, D.; Weng, J.; Chen, M.; Wang, J.; Wang, Z. Sensitivities of lithium-ion batteries with different capacities to overcharge/over-discharge. J. Energy Storage 2022, 52, 104997. [Google Scholar] [CrossRef]
- Sun, L.; Lin, Z.; Xu, Y.; Wen, F.; Zhang, C.; Xue, Y. Optimal Skeleton-Network Restoration Considering Generator Start-Up Sequence and Load Pickup. IEEE Trans. Smart Grid 2019, 10, 3174–3185. [Google Scholar] [CrossRef]
- Hou, X.; Sun, Y.; Zhang, X.; Lu, J.; Wang, P.; Guerrero, J.M. Improvement of Frequency Regulation in VSG-Based AC Microgrid Via Adaptive Virtual Inertia. IEEE Trans. Power Electron. 2020, 35, 1589–1602. [Google Scholar] [CrossRef]
- Zhong, Q.C.; Nguyen, P.L.; Ma, Z.; Sheng, W. Self-Synchronized Synchronverters: Inverters Without a Dedicated Synchronization Unit. IEEE Trans. Power Electron. 2014, 29, 617–630. [Google Scholar] [CrossRef]
- Xu, H.; Gao, M.; Ge, P.; Hu, J. Linear Active Disturbance Rejection Control and Stability Analysis for Modular Multilevel Converters Under Weak Grid. J. Mod. Power Syst. Clean Energy 2023, 11, 2028–2042. [Google Scholar] [CrossRef]


























| Grid Recovery Strategy | Serial Recovery | Parallel Recovery |
|---|---|---|
| Startup sequence | The process begins by starting a single black-start microsource | The simultaneous activation of multiple black-start microsources |
| Recovery process | The other microsources are sequentially synchronized with the black-start microsource and then operate in parallel | After each group operates under a load, a synchronized parallel connection is established to form an independent subsystem |
| Advantages and disadvantages | The simple control process leads to slower grid recovery | Fast grid recovery requires high synchronization performance |
| Parameter | Symbol | Value |
|---|---|---|
| Initial active command value | Prefi | 35 kW |
| Reactive power reference value | Qrefi | 0 var |
| Moment of inertia | Ji | 0.3 kg·m2 |
| Damping coefficient | Di | 10 N·m·s·rad−1 |
| DC voltage rating | Udci | 800 V |
| Grid voltage | Ug | 380 V |
| Rated frequency | fni | 50 Hz |
| Switching frequency | fsi | 10 kHz |
| Filter capacitance | Ci | 20 × 10−6 F |
| Filter inductance | Li | 0.005 H |
Disclaimer/Publisher’s Note: The statements, opinions and data contained in all publications are solely those of the individual author(s) and contributor(s) and not of MDPI and/or the editor(s). MDPI and/or the editor(s) disclaim responsibility for any injury to people or property resulting from any ideas, methods, instructions or products referred to in the content. |
© 2025 by the authors. Licensee MDPI, Basel, Switzerland. This article is an open access article distributed under the terms and conditions of the Creative Commons Attribution (CC BY) license (https://creativecommons.org/licenses/by/4.0/).
Share and Cite
Ruan, Z.; Ding, S.; Chen, Y. Research on Multi-Machine Pre-Synchronization Control and Optimization Based on Parallel Recovery Black Start. Energies 2025, 18, 1546. https://doi.org/10.3390/en18061546
Ruan Z, Ding S, Chen Y. Research on Multi-Machine Pre-Synchronization Control and Optimization Based on Parallel Recovery Black Start. Energies. 2025; 18(6):1546. https://doi.org/10.3390/en18061546
Chicago/Turabian StyleRuan, Zhongping, Shuye Ding, and Yizhi Chen. 2025. "Research on Multi-Machine Pre-Synchronization Control and Optimization Based on Parallel Recovery Black Start" Energies 18, no. 6: 1546. https://doi.org/10.3390/en18061546
APA StyleRuan, Z., Ding, S., & Chen, Y. (2025). Research on Multi-Machine Pre-Synchronization Control and Optimization Based on Parallel Recovery Black Start. Energies, 18(6), 1546. https://doi.org/10.3390/en18061546

