Advances in Reducing Household Electrical and Electronic Equipment Energy Consumption in Standby Mode: A Review of Emerging Strategies, Policies, and Technologies
Abstract
1. Introduction
1.1. Impact of Legal Regulations in Different Regions
1.2. Technological Implementations and Measurable Savings
1.3. Practical Challenges in Smart Energy Management
- Cost and Return on Investment
- User Acceptance and Behavioral Factors
- Interoperability Concerns
- Data Privacy and Security
1.4. Research Methodology
- Regulatory Impact
- ○
- Empirical or theoretical assessments of national/regional policies addressing standby energy use;
- ○
- Technological Innovations
- ○
- Concrete implementations demonstrating significant standby reduction via smart plugs, heuristic or AI-driven systems, ultra-low-power firmware, and emerging IoT or machine-learning models;
- ○
- Emphasis on 2023–2024 studies exploring novel predictive algorithms and sensor-based systems to optimize standby energy management.
- Behavioral and Socioeconomic Factors
- ○
- Works examining cost implications, user acceptance, and cultural contexts as key drivers or barriers to adopting energy-saving actions;
- ○
- Coverage of financial incentives (rebates and tax credits) and policy support mechanisms across different countries, highlighting diverse paths toward consumer adoption.
- Methodological Rigor
- ○
- Validated simulations, experimental data, or systematic literature reviews of best practices in standby reduction;
- ○
- Preference for studies reporting longitudinal or multi-site analyses, providing robust evidence of intervention outcomes (e.g., measured standby savings, cost–benefit data, or occupant behavior changes).
2. Material and Methods
2.1. Household Energy Consumption and Standby Mode
2.1.1. Global and Regional Trends
2.1.2. Factors Influencing Energy Consumption in Standby Mode
- Device Proliferation and Connectivity: The growing number of connected appliances—smart TVs, gaming consoles, and IoT sensors—tends to inflate standby loads unless low-power designs or automatic power-down modes are employed [22].
- Behavioral and Cultural Norms: As Hou et al. [11] indicate, occupants’ convenience-driven habits can outweigh cost-saving motives, leading to persistent idle consumption (e.g., leaving devices plugged in indefinitely).
- Legislative and Market Incentives: Regions enforcing stricter standby regulations and offering rebates for energy-efficient appliances often see lower per-capita standby consumption [23,24]. Consumer willingness to invest in more efficient technology also hinges on educational campaigns and transparent energy labels [25].
2.1.3. Practical Implementations of Energy Management Systems
2.1.4. Cost–Benefit Analysis Across Different Household Profiles
- High-Consumption Households: In dwellings with multiple occupants and numerous electronic devices (e.g., large families), the payback period for installing advanced energy management technologies is often shorter. The cumulative reduction in standby waste accelerates cost recovery, making it an attractive investment [10,30].
- Moderate-Consumption Households: Single-person or smaller-family households may find the upfront costs of EMS less appealing if their baseline standby consumption is relatively low. Without subsidies or rebates, the payback period can extend to several years [31,32]. A comprehensive analysis by Freed and Harrington [25] indicates that, while low-occupancy homes might see less absolute monetary savings, targeted EMS features (like smart power strips) can still improve cost-effectiveness over the product’s lifespan.
- Lower-Income or Resource-Constrained Settings: In these contexts, even a modest upfront cost can be a barrier. However, some government or utility-sponsored programs offer financial incentives that lower the barrier to entry. Studies indicate that targeted education and subsidized smart devices can help overcome resistance, ultimately delivering substantial standby savings in underserved communities [31]. Browne [33] also notes that occupant acceptance is highest where energy management systems require minimal user intervention and offer immediate feedback on cost savings.
2.2. Policy Frameworks and Regulatory Impact
2.2.1. Effectiveness of Implemented Regulations
2.2.2. Successful Campaigns and Their Impact on Energy Savings
- “Switch It Off” Initiative (United Kingdom): Documented by Smith and White [14], this campaign encouraged households to unplug idle chargers and disable standby modes when appliances were not in use. Post-campaign survey data indicated an average 5–7% reduction in monthly electricity bills among participating households—demonstrating the tangible impact of sustained behavioral change.
- “Eco-Standby” Pilot (Germany): Sponsored by local utilities in partnership with the German Federal Ministry for Economic Affairs [30], the Eco-Standby pilot distributed free smart power strips and provided household workshops on minimizing phantom loads. Preliminary results showed a cumulative 12–15% drop in measured standby usage among over 500 participating households, credited largely to improved user awareness and automated power cut-off devices.
- Regional Outreach Programs (Various EU Member States): Several local energy agencies have replicated the German pilot’s methods, coordinating workshops, financial incentives, or personalized feedback to motivate households. According to a meta-analysis by the European Commission’s Joint Research Centre [31], direct engagement approaches can bolster the effect of existing regulations by addressing persistent knowledge gaps. Households receiving consistent feedback on savings often maintain or improve their energy-efficient habits for at least 6–12 months post-intervention.
2.2.3. New EU Directives and Global Recommendations
- Recent legislative efforts in the European Union (EU) further tighten energy efficiency standards and underscore the importance of standby reduction within broader sustainability goals. Notably, the Energy Efficiency Directive (2023/1791) [19] mandates that member states achieve annual energy savings of 1.5% by 2026, increasing to 1.9% by 2028. These targets put added pressure on both households and device manufacturers to reduce overall consumption, including standby energy. Under the directive, governments are encouraged to offer financial support (tax credits, subsidies, or low-interest loans) to accelerate the adoption of smart energy management systems in residential buildings.
- In parallel, the Energy Performance of Buildings Directive (2024/1275) requires all new constructions in the EU to be zero-emission buildings from 2030 onward and pushes for the gradual implementation of solar installations [20,33]. While the directive primarily focuses on building envelopes and renewable integration, it also highlights advanced metering and smart home controls as integral to achieving near-zero operational consumption. Stakeholders anticipate that stricter energy performance certificates will increasingly penalize high standby loads—thereby incentivizing builders, device manufacturers, and homeowners to invest in more robust standby-reduction measures.
2.2.4. International Energy Agency (IEA) Guidelines
2.2.5. Comparative Analyses of Incentives and Financial Support
2.3. Technological Innovations, Socioeconomic Factors, and Behavioral Strategies
2.3.1. Effectiveness of Emerging Technologies
2.3.2. Implementation Costs and Financial Barriers
- Low-Cost Solutions: Basic smart plugs (USD 20–50 each) or power strips usually offer a payback period of under two years in moderate-to-high usage homes [38].
- High-End Installations: Fully automated smart home systems can exceed USD 1000–2000, often bundling standby control with broader energy analytics (solar integration, battery storage, etc.) [8,12]. While these can reduce overall household electricity consumption by up to 20%, Johnson and Diaz [31] caution that lower-income families may find the upfront costs prohibitive in the absence of robust subsidies or financing plans.
2.3.3. International Comparisons
2.3.4. Latest Studies on IoT and Machine Learning
2.3.5. Socioeconomic Factors and Implications for Households
2.4. Methodological Rigor of Data-Driven Methods and Appliance-Level Analysis
2.4.1. Load Profiles and Consumption Segmentation
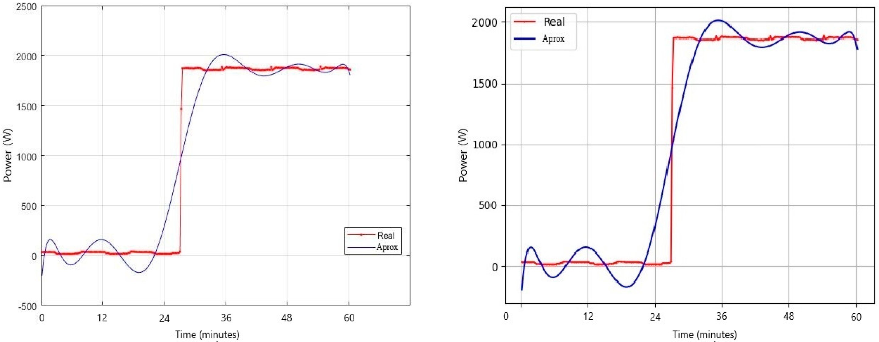
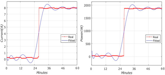
2.4.2. Measurement and Modeling of Electrical Parameters
3. Discussion
- User acceptance: High-level automation will have limited effectiveness if occupants resist adopting or do not trust the technology.
- Integration complexity: Integrating real-time monitoring, big data analytics, and control systems into existing infrastructure presents technological and economic barriers.
- Behavioral patterns: Many dynamic pricing initiatives focus on peak load shifting, overlooking the more constant nature of standby draw. More nuanced rate designs or incentives could be explored.
- Policy updates: Legislation should adapt to the proliferation of connected devices, ensuring new categories of appliances are covered and that compliance is rigorously enforced.
4. Conclusions
- Regulatory impact: Strict policy directives have spurred the development of lower-standby appliances; yet, further revision is vital given the pace of technological change.
- Technological solutions: Data-driven strategies, machine-learning models, and heuristic optimization algorithms offer robust pathways to reduce standby consumption at the appliance level.
- Behavioral insights: Consumer engagement, bolstered by awareness campaigns and real-time feedback, is critical for lasting reductions.
- Integration and adoption: Collaboration among manufacturers, policymakers, and households is essential for effectively implementing these measures on a broad scale.
5. Future Directions
- User-centric design: Investigate user-friendly interfaces, gamification, and real-time alerts to encourage greater trust and collaboration between occupants and automated systems.
- Advanced AI and Big Data: Apply deep learning, reinforcement learning, and other AI paradigms to better predict appliance usage and occupant behavior, thus refining control algorithms for standby reduction.
- Context-aware standby management: Incorporate situational data (e.g., weather, occupant presence, or personal schedules) to deliver micro-interventions that target devices idle for extended periods or left on unnecessarily.
- Integrated policy frameworks: Harmonize international regulations and guidelines to address the globally interconnected supply chain of electronic devices, ensuring consistent standards for standby power limits.
- Cross-sectorial studies: With the increasing integration of electric vehicles, distributed energy resources (like solar rooftops), and battery storage in residential settings, holistic approaches are needed to manage and reduce total and standby loads.
Author Contributions
Funding
Data Availability Statement
Conflicts of Interest
References
- Matsumoto, S.; Mizobuchi, K.; Managi, S. Household energy consumption. Environ. Econ. Policy Stud. 2022, 1, 1–5. [Google Scholar] [CrossRef]
- Asano, K.; Tsurumi, T. Household energy-saving behaviors and warm glow: Evidence from Japan. Environ. Econ. Policy Stud. 2023, 25, 519–547. [Google Scholar]
- Vasiliu, A.; Nedelcu, O.; Magdun, O.; Salisteanu, I.C. A study on theenergy consumption of the electrical and electronic household and officeequipment in stand-by and off-mode. Sci. Bull. Electr. Eng. Fac. 2021, 21, 26–30. [Google Scholar]
- Commission Regulation (EU) No 801/2013 of 22 August 2013 (Amending 1275/2008). Available online: https://eur-lex.europa.eu/eli/reg/2013/801/oj/eng (accessed on 23 December 2024).
- METI (Ministry of Economy, Trade and Industry). Top Runner Program: Achievements and Future Directions; METI: Tokyo, Japan, 2022. [Google Scholar]
- U.S. Department of Energy. National Standby Power Initiative: Progress Report 2022; DOE: Washington, DC, USA, 2022. [Google Scholar]
- ENERGY STAR. Standby Power & Vampire Loads: Overview and Consumer Tips; ENERGY STAR: Washington, DC, USA, 2021. [Google Scholar]
- ACEEE (American Council for an Energy-Efficient Economy). The High Cost of Low Power: Estimating the Effects of Standby Power; ACEEE: Washington, DC, USA, 2023. [Google Scholar]
- Mursid, S.; Santaso, H. Analysis of the Effectiveness of the Utilization of Power Monitoring Devices in Reducing Electric Energy Consumption. J. Phys. Conf. Ser. 2019, 1364, 012055. [Google Scholar] [CrossRef]
- Chauhan, R.K.; Chaucan, K.; Badar, A. Optimization of electrical energy waste in house using smart appliances management System-A case study. J. Build. Eng. 2021, 2, 37–45. [Google Scholar] [CrossRef]
- Hou, R.; Chau, K.-C.; Tong, Q.; Lin, Y. A Hybrid Heuristic Algorithm for Optimizing Demand Response in Residential Smart Grids. Sustainability 2023, 15, 5502. [Google Scholar]
- Zhang, Q.; Li, Y.; Shen, Y. Machine Learning Approaches for Reducing Standby Power in IoT Devices: A Systematic Literature Review. J. Clean. Prod. 2022, 340, 130631. [Google Scholar]
- Eirianki, M.; Varlamis, I.; Dahihande, J.; Jaiswal, A.; Pagar, A.A.; Thakare, A.T. Real-time recommendations for energy-efficient appliance usage in households. Front. Big Data 2022, 5, 972206. [Google Scholar] [CrossRef]
- Smith, J.L.; White, M. Evaluating the impact of energy awareness campaigns on household energy consumption: Evidence from the UK. Environ. Econ. Policy Stud. 2023, 4, 801–816. [Google Scholar]
- Kim, S.; Park, Y.; Choi, Y. Overcoming User Resistance to Smart Home Energy Management Systems. Energy Policy 2023, 145, 111–122. [Google Scholar]
- Liu, H.; Wu, T. Interoperability in Smart Home Systems: A Critical Review. IEEE Access 2022, 10, 87655–87668. [Google Scholar]
- Evans, J.; Cooper, B. The Privacy Paradox of Smart Homes: Consumer Concern vs. Practice. Comput. Secur. 2021, 112, 102497. [Google Scholar]
- Commission Regulation (EU) 2023/826; Official Journal of the European Union: Brussels, Belgium, 2023; Available online: http://data.europa.eu/eli/reg/2023/826/oj (accessed on 4 January 2025).
- Directive (EU) 2023/1791: Energy Efficiency Directive; Official Journal of the European Union: Brussels, Belgium, 2023; Available online: http://data.europa.eu/eli/dir/2023/1791/oj (accessed on 4 January 2025).
- Directive (EU) 2024/1275: Energy Performance of Buildings Directive; Official Journal of the European Union: Brussels, Belgium, 2023; Available online: http://data.europa.eu/eli/dir/2024/1275/oj (accessed on 4 January 2025).
- International Energy Agency (IEA). Global Energy Efficiency and Standby Reduction Outlook 2024; IEA: Paris, France, 2024. [Google Scholar]
- Catalina, G.; Balan, M.C.; Stanciu, D. An optimization-based approach for occupant-centered demand response in residential buildings. J. Build. Eng. 2023, 73, 106847. [Google Scholar]
- Daragmeh, S.M.; Karslen, A.T.; Hameed, I.A. Heuristic Techniques for Reducing Energy Consumption of Household. In Proceedings of the ECMS 2022 Proceedings, Ålesund, Norway, 30 May–3 June 2022. [Google Scholar]
- Eurostat. Energy Consumption in Households; Eurostat: Luxembourg, 2023. [Google Scholar]
- Freed, K.; Harrington, M. Cost-Benefit Analysis for Smart Home Upgrades: A Real-World Case Study. Energy Build. 2022, 258, 111824. [Google Scholar]
- Villanueva, D.; San-Facundo, D.; Miguez-Garcia, E.; Fernandez-Otero, A. Modeling and Simulation of Household Appliances Power Consumption. Appl. Sci. 2022, 12, 3689. [Google Scholar] [CrossRef]
- Hubert, P.; Gerber, M.; Rumsch, A.; Paice, A. Prediction of domestic appliances usage based on electrical consumption. Energy Inform. 2018, 1, 16. [Google Scholar] [CrossRef]
- Zeng, S.; Peng, Y.; Zhu, M.; Tsai, S.-B. A real-time optimization strategy for cost-effective smart home energy management using a model predictive control approach. CSEE J. Power Energy Syst. 2023, 3, 415–428. [Google Scholar]
- Ramirez, G.; Chen, J. Open-Source Platforms for Residential Energy Management: Opportunities and Challenges. Sustain. Comput. Inform. Syst. 2023, 38, 100933. [Google Scholar]
- Desiderio, R.J.; Del Rio, P. Analysing the drivers of the efficiency of households in electricity consumption. Energy Policy 2022, 164, 43–61. [Google Scholar]
- Johnson, D.; Diaz, E. Financial Barriers to Implementing Smart Energy Management Systems in Low-Income Households. Sustainability 2023, 15, 6687. [Google Scholar]
- KNT Consulting. The Role of Subsidies in Promoting Smart Home Adoption: A Multi-Country EU Analysis; KNT Consulting: Brussels, Belgium, 2023. [Google Scholar]
- Browne, T. Occupant Behavior in Smart Homes: Socioeconomic Barriers to Adoption and Usage. Build. Environ. 2022, 219, 109173. [Google Scholar]
- Molla, T.; Khan, B.; Moges, B.; Alhelou, H.; Zamani, R.; Siano, P. Integrated energy optimization of smart home appliances with cost-effective energy management system. CSEE J. Power Energy Syst. 2019, 2, 249–258. [Google Scholar] [CrossRef]
- International Energy Agency (IEA). Global Energy Trends 2024: Residential Electricity Demand; IEA: Paris, France, 2024. [Google Scholar]
- European Commission Joint Research Centre. Effectiveness of Local Energy Awareness Campaigns in the EU: A Meta-Analysis; JRC: Ispra, Italy, 2021. [Google Scholar]
- European Commission. Implementing Commission Regulation (EU) No 801/2013: 2019 Impact Assessment; EC: Brussels, Belgium, 2019; Available online: http://data.europa.eu/eli/reg/2013/801/oj (accessed on 4 January 2025).
- U.S. Department of Energy. Low-Standby Technologies: 2022 Progress Update; DOE: Washington, DC, USA, 2022. [Google Scholar]
- U.S. Department of Energy. Tax Credits and Rebates for Smart Home Upgrades: 2023 Report; DOE: Washington, DC, USA, 2023. [Google Scholar]
- Kato, M.; Tanaka, S.; Ueda, M. Evaluating Advanced Standby-Power Reduction Strategies in Japanese Households. Energy Build. 2023, 290, 112978. [Google Scholar]
- Oliver, T. Deploying Smart Plugs for Residential Energy Savings: A Comparative Study of U.S. Suburban Households. Energy Rep. 2022, 8, 1579–1587. [Google Scholar]
- German Federal Ministry for Economic Affairs. Eco-Standby Pilot Program: Final Evaluation Report; BMWK: Berlin, Germany, 2021. [Google Scholar]
- Li, S.; Chen, K.; Wu, Z. Dynamic Predictive Models for IoT-Driven Smart Home Energy Management. IEEE Internet Things J. 2024, 11, 1167–1179. [Google Scholar]
- Ramirez, V.; Yu, K. Federated Learning for Residential Standby Reduction in Multi-Occupant Apartments. Appl. Energy 2023, 350, 120859. [Google Scholar]
- Codispoti, J.; Khamesi, A.R.; Penn, N.; Silvestri, S.; Shin, E. Learning from non-experts: An interactive and adaptive learning approach for appliance recognition in smart homes. ACM Trans. Cyber-Phys. Syst. 2022, 6, 1–22. [Google Scholar] [CrossRef]
- Moldovan, D.; Slowik, A. Energy consumption prediction of appliances using machine learning and multi-objective binary grey wolf optimization for feature selection. Appl. Soft Comput. 2021, 111, 103–121. [Google Scholar] [CrossRef]
- Issi, F.; Kaplan, O. The Determination of Load Profiles and Power Consumptions of Home Appliances. Energies 2018, 11, 607. [Google Scholar] [CrossRef]
- Ciucci, A.; Greco, E.; Marinelli, V. A Methodology for Household Load Profile Segmentation and Appliance Usage Behavior Analysis Using Smart Meter Data. Energies 2023, 16, 5639. [Google Scholar]
- Alsalemi, A.; Himeur, Y.; Bensaali, F.; Amira, A.; Sardianos, C.; Varlamis, I.; Dimitrakopoulos, G. Achieving Domestic Energy Efficiency Using Micro-Moments and Intelligent Recommendations. IEEE Access 2020, 8, 15047–15055. [Google Scholar] [CrossRef]
- Sacchi, R.; Van den Broek, M.; Mulder, M. The impact of time-varying price signals on household electricity usage: A field experiment. Energies 2022, 17, 2989. [Google Scholar]
- Rahman, K.A.; Leman, A.M.; Mubin, F.M.; Yusof, M.Z.M.; Harir, A.; Salleh, M.N.M. Energy Consumption Analysis Based on Energy Efficiency Approach: A Case of Suburban Area. MATEC Web Conf. 2016, 87, 02003. [Google Scholar] [CrossRef]
- Gheorghe, A.C.; Udroiu, I.; Stan, E. Electricity Consumption Measurement System Using ESP32. Sci. Bull. Electr. Eng. Fac. 2021, 21, 23–26. [Google Scholar] [CrossRef]
- Gheorghe, A.C.; Andrei, H.; Diaconu, E. Data measurement and modeling method of electrical parameters of basic household equipment. In Proceedings of the 14th International Conference on Electronics, Computers and Artificial Intelligence (ECAI), Ploiesti, Romania, 30 June 2022–1 July 2022. [Google Scholar]
- Gheorghe, A.C.; Andrei, H.; Diaconu, E. Système Intelligent Pour la Réduction de la Consommation Electrique en Veille Des Équipements Ménagers. Rev. Roum. Sci. Tech. Série Électrotechnique Et Énergétique 2023, 68, 413–418. [Google Scholar] [CrossRef]
- Gheorghe, A.C.; Andrei, H.; Diaconu, E.; Andrei, P.C. Smart System for Reducing Stand-by Energy Consumption in Residential Appliances. Energies 2024, 17, 2989. [Google Scholar] [CrossRef]
- Lee, H.; Kim, J. Comparative Policy Review for Household Energy Incentives in Emerging Economies. Energy Policy 2024, 172, 114519. [Google Scholar]
- Zapata, G.; Morais, A.; Tavares, D. Evaluating the Economic Impact of Stricter EU Standby Caps on Home Appliance Manufacturers. Sustainability 2024, 16, 2156. [Google Scholar]







| Equipment | Standby Consumption (kWh) | Standby Consumption with System (kWh per 5 min) | Standby Consumption kWh per Day | Standby Consumption with System (kWh per Day) | Standby Consumption kWh per Month | Standby Consumption with System (kWh per Month) |
|---|---|---|---|---|---|---|
| Washing | 0.01618 | 0.00134 | 0.38832 | - | 12.03792 | - |
| machine | ||||||
| Laptop | 0.01373 | 0.00114 | 0.32952 | - | 10.21512 | - |
| TV | 0.00815 | 0.00067 | 0.1956 | - | 6.0636 | - |
| Total | 0.1836 | 0.00315 | 0.9165 | - | 28.31664 | - |
| Equipment | Number of Average Usages (per Day) | Standby Consumption with System (kWh per 5 min) | Standby Consumption (kWh per Day) | Standby Consumption with System (kWh per Week) | Standby Consumption with System (kWh per Month) |
|---|---|---|---|---|---|
| Washing | 2 | 0.00134 | 0.00268 | 0.01876 | 0.07504 |
| machine | |||||
| Laptop | 5 | 0.00114 | 0.0057 | 0.0399 | 0.1596 |
| TV | 4 | 0.00067 | 0.00268 | 0.01876 | 0.07504 |
| Total | 14 | 0.00326 | 0.04564 | 0.31948 | 1.27792 |
| Equipment | Standby Consumption kWh | Standby Consumption with System kWh | Standby Consumption kWh/Day | Standby Consumption with System kWh/Day | Standby Consumption kWh/Month | Standby Consumption with System kWh/Month |
|---|---|---|---|---|---|---|
| Washing machine | 0.02139 | 0.00178 | 0.51336 | - | 15.40080 | - |
| Laptop | 0.01373 | 0.00114 | 0.32952 | - | 10.21512 | - |
| TV | 0.00815 | 0.00067 | 0.1956 | - | 6.0636 | - |
| Proposed system | - | - | - | - | - | 4.968 |
| Total | 0.04327 | 0.00359 | 1.0384 | - | 31.65192 | 4.968 |
| Household Equipment with System | Standby Consumption Achieved (kWh) | Standby Consumption Regulation EU 2025 (kWh) | Standby Consumption Regulation EU 2027 (kWh) |
|---|---|---|---|
| Washing machine | 0.0017 | 0.0005–0.0008 | 0.0003–00005 |
| TV | 0.0011 | ||
| Laptop | 0.0006 |
| Aspect | Gheorghe et al. [54] | Gheorghe et al. [55] | Chauhan et al. [10] | Molla et al. [34] |
|---|---|---|---|---|
| Objective | Reduce standby energy consumption in household appliances. | Develop an intelligent system for optimizing residential standby consumption. | Optimize electrical energy waste in households using smart management systems. | Integrated optimization of smart home appliances for cost-effective energy management. |
| Core Technology | Microcontroller-based system (e.g., Arduino Nano), and sensors for monitoring energy use. | ESP32 microcontroller, web-based control application, and power sensors. | Smart Appliances Management System (SAMS) with sensors and controllers. | Home Energy Management System (HEMS) in a smart grid scenario. |
| Optimization Method | Heuristic approaches for detecting and disconnecting standby appliances. | Real-time monitoring with web-based user controls. | Restricted and multi-restricted scheduling for appliances. | Novel restricted and multi-restricted scheduling methods. |
| Key Features | Focus on standby mode; automatic disconnection via relay. | Web application for customization; advanced control features for standby appliances. | User preferences integrated; real-world case study validation. | Focus on peak load management; cost-effective energy optimization. |
| Application Scope | Residential appliances in standby mode. | Residential households; designed for scalability. | Residential energy management in smart homes. | Smart grid-integrated residential homes. |
| Results | Monthly energy savings of approximately 26.68 kWh. | Enhanced control flexibility with significant energy savings. | Reduction in standby energy waste; improved efficiency and reduced bills. | Significant cost reduction; improved energy efficiency. |
| Limitations | Limited scalability; primarily designed for small residential setups. | Requires user setup; potential cost implications for hardware. | Scalability not fully evaluated; limited real-world validation beyond case study. | Needs real-world implementation; limited user preference integration. |
Disclaimer/Publisher’s Note: The statements, opinions and data contained in all publications are solely those of the individual author(s) and contributor(s) and not of MDPI and/or the editor(s). MDPI and/or the editor(s) disclaim responsibility for any injury to people or property resulting from any ideas, methods, instructions or products referred to in the content. |
© 2025 by the authors. Licensee MDPI, Basel, Switzerland. This article is an open access article distributed under the terms and conditions of the Creative Commons Attribution (CC BY) license (https://creativecommons.org/licenses/by/4.0/).
Share and Cite
Gheorghe, A.C.; Andrei, H.; Diaconu, E.; Andrei, P.C. Advances in Reducing Household Electrical and Electronic Equipment Energy Consumption in Standby Mode: A Review of Emerging Strategies, Policies, and Technologies. Energies 2025, 18, 965. https://doi.org/10.3390/en18040965
Gheorghe AC, Andrei H, Diaconu E, Andrei PC. Advances in Reducing Household Electrical and Electronic Equipment Energy Consumption in Standby Mode: A Review of Emerging Strategies, Policies, and Technologies. Energies. 2025; 18(4):965. https://doi.org/10.3390/en18040965
Chicago/Turabian StyleGheorghe, Andrei Cosmin, Horia Andrei, Emil Diaconu, and Paul Cristian Andrei. 2025. "Advances in Reducing Household Electrical and Electronic Equipment Energy Consumption in Standby Mode: A Review of Emerging Strategies, Policies, and Technologies" Energies 18, no. 4: 965. https://doi.org/10.3390/en18040965
APA StyleGheorghe, A. C., Andrei, H., Diaconu, E., & Andrei, P. C. (2025). Advances in Reducing Household Electrical and Electronic Equipment Energy Consumption in Standby Mode: A Review of Emerging Strategies, Policies, and Technologies. Energies, 18(4), 965. https://doi.org/10.3390/en18040965

