Abstract
To study the emission intensity of OH during H2/CH4/air mixtures explosion, experiments were performed inside a 20 L spherical closed tank. The pressure history and flame propagation characteristics of H2/CH4/air mixtures explosion were recorded and analyzed. The effects of the volume fraction of hydrogen and equivalence ratio on explosion pressure, flame radius, and emission intensity of OH were surveyed. The results show that after α > 0.6, hydrogen started to take a leading role in the explosion pressure and flame propagation of H2/CH4/air mixtures. The effect on the high equivalence ratio of H2/CH4/air mixtures is more obvious, which makes the reaction of H2/CH4/air mixtures explosion faster and more dangerous. The emission intensity of OH at 308.9 nm is strongest, with 282.8 nm being the earliest and 347.2 nm being the latest. As the volume fraction of hydrogen increases, the Imax and (dI/dt)max of OH continue to increase, and at a higher equivalence ratio, the Imax of OH begins to rise sharply from α = 0.6. As the equivalence ratio increases, Imax and (dI/dt)max of OH increase first and then decrease. The important sources of OH emissions in the H2/CH4/air mixtures explosion are the reaction of R38 and the reverse reaction of R84.
1. Introduction
The H2/CH4/air mixture is a feasible method to alleviate the energy crisis and reduce environmental pollution. It may exist in the process of hydrogen-mixed natural gas power generation and hydrogen production by natural gas. At the same time, to solve the problem of hydrogen energy storage, some scholars have proposed a method of H2/CH4 mixed storage. Once an accident occurs in the H2/CH4 mixtures, the consequences are more serious, and related accidents occur from time to time. To use energy safely and effectively, it is essential to investigate the explosion characteristics of H2/CH4 mixtures.
Since the last century, experts and scholars have done a lot of research on the explosion performance of methane and hydrogen, especially the research on hydrogen as an aerospace power fuel in pure oxygen atmosphere. Karim et al. [1] first proposed H2/CH4 mixtures as a fuel to significantly improve combustion performance in 1996. In the following decades, scholars have conducted a lot of research on the explosion characteristics of H2/CH4 mixtures and achieved fruitful research results. Most of them focus on the effective utilization of H2/CH4 mixtures in petrochemical, aerospace, transportation and metallurgical mineral production and life and related disaster prevention and control, and study its combustion performance [2,3], explosion characteristics and disaster prevention and control countermeasures. The experimental test, theoretical analysis and numerical simulation are mainly used to study the characteristic parameters such as ignition and limit [4], explosion pressure [5,6], flame propagation [7] and microscopic reaction kinetics [8] of H2/CH4 mixtures. The measurement results of explosion parameters are also affected by many factors, such as initial conditions (temperature, pressure, turbulence) [9,10,11,12], reaction vessel size (size, shape) [13,14], obstacles (size, position, blocking ratio) [15,16,17,18], and reaction components (N2, CO2, ABC powder, pulverized coal, water mist and other alkanes) [19,20,21,22,23].
Emission of free radicals is a phenomenon of radiative luminescence at a specific wavelength produced by the transition of excited free radicals produced by flame reaction during gas explosion. The detection of free radical emission is usually based on different principles of molecular emission spectroscopy and fluorescence spectroscopy [24]. The gradual application of emission spectrum detection technology in the detection of reaction free radicals, temperature and gas concentration during gas phase combustion, and explosion makes a lot of microscopic reaction processes during gas phase explosion verified and developed. The emission spectroscopy technology is applied to the determination of the emission intensity of OH, CN, CH, C2, CH2O and other free radicals of gas explosion [25,26], as well as its frequency domain and time domain characteristics, and provides basic support for the study of the related mechanism of free radical chain reaction in the reaction process [27]. In previous studies on free radical emission, most of them took the steady-state combustion process as the research object [28], and there are also a few studies on gas phase explosion [29], mainly on the emission characteristics of gas explosion and the influence of other additives on it [30,31,32,33]. However, previous studies have rarely involved the emission characteristics of free radicals at different wavelengths, and the source of free radical emission is still unclear. Thus, it is essential to study the emission characteristics of free radicals at different wavelengths of H2/CH4 mixtures explosion.
In this paper, the pressure history and flame propagation dynamics of H2/CH4 mixtures explosion are studied by using a 20 L closed explosion ball and high-speed camera. Combined with the monochromator, the emissions intensity of OH changes of H2/CH4 mixtures explosion at different characteristic wavelengths were studied. The explosion reaction process of H2/CH4 mixtures is studied by different emission modes of OH to provide an experimental basis for the study of the emission source of OH and the explosion reaction kinetics of H2/CH4 mixtures.
2. Experimental and Methodology
2.1. Experimental Setup
Figure 1 displays the experiment system mainly included the following devices: a 20 L tank, a spectral measurement system, an ignition system, a high-speed camera, a gas circulation pump, a vacuum pump, a control system, a data acquisition system, and a computer. The 20 L tank, made of steel with a radius of 168 mm, can withstand a pressure of 4 MPa. To match the optical fibers and the high-speed camera for optical acquisition, three windows (diameter = 110 mm) were set on three sides of the horizontal axis of the spherical tank, and quartz glass is installed in each window, which can withstand a pressure of 4 MPa. The ignition electrodes are mounted at the center of the 20 L tank, and the ignition energy is 1 J. The required H2/CH4 mixtures are prepared with an accuracy of 0.1% using the partial pressure method. After the gas distribution is completed, it is left to stand for 300 s to ensure uniform gas mixing. The flame front was captured by a high-speed camera (Vision Research, Wayne, NJ, USA) with a frame rate of 2000 Fps and a resolution of 1280 * 800 Pixels.
Figure 1.
Scheme of the experimental setup.
The explosion pressure is obtained by a pressure sensor with a measurement range of −0.1 to 2 MPa and a response time of 0.2 ms (Endress & Hause, Lörrach, Germany). The measured pressure curves are processed by the data acquisition system to obtain the explosion parameters directly, such as maximum explosion pressure (Pmax), the maximum rate of explosion pressure rise ((dP/dt) max), and the explosion time (tc) [34].
The emissions intensity is detected simultaneously by the spectral measurement system, which consists of a Czerny-Turner (C-T) monochromator (Zolix Instruments, Beijing, China) connected by a UV fiber to the center of the window. The applicable spectral range of the monochromator is 0~1200 nm, and the wavelength accuracy is ±0.2 nm. The UV fiber optic probe has a size of 0.4 mm in diameter. The emission intensity of OH is recorded by the voltage waveform of the electrical signal by an oscilloscope (Rohde & Schwarz, Munich, Germany), converted from light by a photomultiplier tube PMT embedded in the monochromators. The supply voltage is set to 1000 V, the electron transition time is 22 ns, and the wavelength range is 158~900 nm.
2.2. Methodology
The equivalence ratio φ and the volume fraction of hydrogen α is defined in Equation (1) and Equation (2), respectively, as follows:
where mfuel and mair are the mass of fuel mixtures and air, respectively, stioich is the stoichiometric value, V is the volume of methane or hydrogen. The emission intensity of OH* (wavelength at 282.8 nm, 308.9 nm, 347.2 nm) of the explosion of CH4/H2/air is measured by the spectral measurement system. The experimental conditions are listed in Table 1.
Table 1.
Experimental conditions.
Figure 2 shows the curves of explosion pressure (P) and emission intensity of OH (I) and the relevant parameters of H2/CH4/air mixtures. The curves of P and I were smoothed according to the well practices of previous studies [29,35,36]. After ignition, the curves of P and I increased gradually and then decreased, and their maximum value Pmax and Imax appeared. The rate of pressure rise (dP/dt) and emission intensity of OH (dI/dt) can be obtained by deriving the P-t curves and I-t curves, respectively. They have a similar trend as P and I, and their maximum value is Imax, and (dI/dt)max. For the time parameters, the tc, td, tI, and tdI represent the moment when P, dP/dt, I, and dI/dt reaches their maximum value, respectively, and te refers to the moment when dP/dt reach its minimum value.

Figure 2.
Definition of parameters.
For parallel experiments, each condition was tested 3 times in a row to make sure that the experiment could be repeated, and the data were accurate. Based on the analysis method and the working principle of the monochromator, the sources of uncertainty in the spectral analysis results mainly include monochromator measurement performance (such as stability), reaction vessel, background emission, experimental process, and environmental impact (temperature and humidity). The accuracy of measuring Pmax and Imax is 3% and 3.5%, respectively, and the accuracy of determining (dP/dt)max and tc is 3.5–4%.
3. Results
3.1. Explosion Pressure Evolution
The curves of P-t and dP/dt-t of H2/CH4/air mixtures explosion in the 20 L spherical explosion tank are similar at different equivalent ratios, taking the case of φ = 1 as an example, and Figure 3 gives its evolution. The evolution of explosion pressure shows three obvious stages: the short-term constant pressure retarding stage, the pressure increase stage, and the dissipation stage. After ignition is successful, the spherical flame is formed, and the flame propagation is in a laminar state. At this time, the velocity propagation is relatively slow, and the development of pressure presents a brief steady state during this phase. When the reaction process enters the second stage, the combustion reaction is gradually accelerated, the heat accumulates, and the explosion pressure begins to increase slowly. Subsequently, the gas mixtures began to burn rapidly, affected by the concentration of reactants and the reaction process, the dP/dt rise rapidly to (dP/dt)max and then gradually decrease, while P continues to rise rapidly. When the reaction heat release is equal to the heat loss, the explosion pressure reaches Pmax, and dP/dt decreases to 0. Then, P decreases, the reaction enters the dissipation stage, and the reaction in the vessel is completed when dP/dt reaches (dI/dt)min. Affected by the heat loss of the wall, the explosion pressure gradually decreases, and dP/dt gradually tends to 0, and the whole explosion process ends.
Figure 3.
Explosion pressure and rate of explosion pressure rise under φ = 1.
Figure 4a shows the Pmax of H2/CH4 mixture with α and φ in the 20 L tank. For the case of φ ≤ 1, as α increases, Pmax increases first and then decreases, and its maximum values appear at α = 0.6~0.8. The Pmax of hydrogen (α = 1) is smaller than that of methane (α = 0). In general, the variation range of Pmax is relatively small. For the case of φ > 1, when α increases from 0 to 1, Pmax increases by 21.5% (φ = 1.2) and 39% (φ = 1.4). Theoretically, when φ is constant, with the increase in α, the Pmax gradually decreases in a relatively small range in the reaction system. However, in the actual experiment, due to the unique chemical characteristics of hydrogen. Hydrogen has higher combustion and explosion characteristic parameters, such as laminar burning velocity (SL), adiabatic flame temperature, and (dP/dt)max, which can complete the whole reaction process faster. In addition, it is also affected by physical and chemical factors, such as the external environment, internal structure of the tank, and initial turbulence, which makes the experimental results of Pmax deviate from the theoretical results.
Figure 4.
The maximum of explosion pressure and rate of explosion pressure rise with α.
When α is constant, with the increase in φ, Pmax increases at first and then decreases, and the maximum value appears at φ = 1 and α = 0~0.6. Meanwhile, when α > 0.6, Pmax has the maximum value at φ = 1.2. φ is usually used to represent the composition ratio of fuel and oxidant in the combustible gas mixtures, which mainly affects SL, flame instability, and adiabatic temperature. In theory, when φ = 1, the amount of oxidant needed for the actual burning of fuel is the same as the amount of oxidant needed in, and the reaction is sufficient. However, due to the influence of many external conditions, the reaction is incomplete, and the maximum value of Pmax shifts to the direction of a larger equivalence ratio.
Figure 4b shows the curves of (dP/dt)max of H2/CH4 mixture with α and φ in the 20 L tank. The results show that when the φ is constant, the (dP/dt)max increases continuously as α increases, and there is a sudden increase trend around α = 0.6. As α increases from 0 to 1, (dP/dt)max increases by 768.9%, 645.3%, 1718.5%, and 3540.9% for the four values of φ, respectively. When α is certain (except for pure hydrogen), as φ increases, the (dP/dt)max increases first and then decreases. For pure hydrogen, the (dP/dt)max and φ increase linearly, with an increase of 54.9%. SL is the basic parameter of combustion and flame dynamics, although the flame is in a turbulent combustion state in most cases during the explosion process, even in the turbulent state. The chemical reaction also occurs in the local laminar flame, so SL is very important, which is closely related to Pmax and (dP/dt)max. The relationship is as follows [37]:
where P0 is the initial pressure, γu is the adiabatic coefficient of the unburned mixture. Referring to previous studies, SL of hydrogen reaches its maximum value when φ is around 1.6, and combined with Equation (3), which reasonably explains the phenomenon that (dP/dt)max increases as φ and α increase.
According to Equation (4) [38,39], the deflagration index KG of gas mixtures explosion can be obtained. Since the volume of the reaction vessel remains unchanged, the change of KG with α and φ is consistent with the changing trend and amplitude of (dP/dt)max. The addition of hydrogen increases KG, which increases its explosion hazard. In the experimental test range, the explosion risk of pure hydrogen continues to increase, while under other working conditions, when α is constant, the explosion risk is the highest around φ = 1~1.2.
Figure 5a shows the curves of explosion time tc of H2/CH4/air mixture with α. When φ is constant, with the increase in α, tc decreases continuously. When φ = 0.8 and φ = 1, tc decreases slightly, while when φ = 1.4, the decreases in tc are the largest, reaching 93.1%. When α is constant, as φ increases, tc decreases at first and then increases, and the tc is the shortest between φ = 1~1.2. This indicates that adding hydrogen has a significant enhancing effect on the explosion reaction of the mixture, which is mainly due to the unique chemical properties of hydrogen on the SL. The relevant research results of Chen et al. [40] also fully proved this point. Compared with tc, td and te have similar change trends. Taking α = 1 and φ = 1 as examples, the curves of each explosion time parameter of the gas explosion are given in Figure 5b. Based on the definition of each explosion time parameter, it is bound to make te > tc > td, and the increase in α makes the value of all the time parameters decrease. At the same time, because hydrogen has a faster combustion speed, the reaction completion time te is greatly reduced, which is larger than tc and td. The whole explosion chemical reaction process is compressed, and the gap between the three-time parameters is gradually reduced.
Figure 5.
Explosion time parameters of H2/CH4 mixture in the 20 L closed tank.
3.2. Flame Propagation Characteristics
For the spherical propagation flame, a stable ignition core is formed after ignition and expands outward to form a spherical flame. As the temperature of the gas increases rapidly, the gas gradually expands and compresses the unburned gas and transfers heat to it, and the spherical flame gradually propagates outward. During the early stage of flame spread, the flame front is in a laminar state and fairly smooth. After the flame develops to a certain extent, under the interaction of flame inherent instability (hydraulic instability, thermal diffusion instability, buoyancy instability, etc.) and turbulence, the spherical flame front wrinkles and gradually becomes unstable, making the flame begin to accelerate.
Figure 6 illustrates the evolution of flame radius with time and α when φ = 0.8~1.4 (because of the gravity instability, the curve of flame radius with time when φ = 1.4 and α = 0 is not given, which is analyzed below). The results show that the flame radius and time show a linear growth relationship under all conditions. In summary, the addition of hydrogen accelerates the process of flame propagation, and the duration of the flame propagation to the visible boundary decreases, that is, the flame has a larger radius in the meantime. Furthermore, with the increase in α, the acceleration effect is increasing. For the flame front speed, it is only necessary to derive the curves of the flame radius with time. The effects of φ and α on flame propagation speed are similar to those on flame radius. This paper no longer elaborate on this.

Figure 6.
Explosion flame radius of CH4/H2 mixtures in the 20 L closed tank.
It is worth noting the disturbing effect of gravity instability on the flame at higher and lower φ. There is an asymmetric flame phenomenon in the process of flame propagation. In this experiment, this phenomenon is particularly obvious when φ = 1.4 and α = 0. As shown in Figure 7, the phenomenon of gravity instability developed in the flame stage of 20 L spherical explosion tank is given. The buoyant flame is formed because the top flame spreads faster than the bottom flame due to the difference in density between the areas that have been burned and those that have not, and the annular vortex caused by the buoyancy as the spherical flame expands continuously [41]. The Richardson number Ri is defined as the measure index of buoyancy, which can be used to reasonably explain the floating flame [42] as follows:
where ρ is the density; the subscript u and b represent the unburned and burned gas, respectively; R is the radius of the flame front; g is the acceleration of gravity; and Δv is the relative value of flame front velocity and flame laminar velocity. When the equivalence ratio and other external conditions are constant, the density correlation term is fixed, and the value of Ri is only related to R and Δv. When the value of Ri is far less than 1, the influence of gravity on the flame development process is insignificant. However, when Ri is larger than 1, the flame propagation speed becomes relatively slower, and the impact of gravity on its propagation is relatively strong. With the increase in Ri, the influence of gravity is more obvious, and a “mushroom”, “heart”, or even “umbrella” flame can appear. Taking the experiment φ = 1.4, α = 0 as an example, ρu, ρb and laminar burning velocity were calculated by CHEMKIN Pro software 2.0, g = 9.81 m/s2. R and Δv were obtained from high-speed images and substituted into Equation (5). The maximum value of Ri was 2.6, and the buoyancy effect was also obvious. In Figure 7, the flame is spherical after successful ignition. As the flame develops, the propagation speed of the upper flame is greater than that of the lower flame, and then a flame image similar to the shape of the mushroom is formed.
Figure 7.
Buoyancy-induced flame instability.
3.3. Emission Intensity of OH*
Figure 8 shows the curves of emission intensity (I) and the rate of emission intensity rise (dI/dt) of OH* at three different characteristic wavelengths (φ = 1 and α = 0). Due to the influence of gas concentration, reaction process, reaction rate, and molecular transition probability in the explosion reaction process, the related parameters of emission intensity of OH at various characteristic wavelengths are different, but their overall law of evolution is similar. After the transition of free radicals in different electron excitation states, different characteristic wavelengths of light are radiated in the electromagnetic ultraviolet region. The emission intensity of OH* results from the release of light of the electronically excited OH A2Σ+(OH*) obtained in the ultraviolet zone of the electromagnetic. The wavelength corresponding to the three strongest peaks of emission intensity of OH* are located at 308.9 nm, 282.8 nm, and 347.2 nm, respectively. The emission intensity of OH is the strongest at 308.9 nm, and that of OH is the weakest at 282.8 nm.

Figure 8.
The I and dI/dt of OH.
The evolution of emission intensity of OH emitted by the flame of H2/CH4 mixture explosion, which is like that of explosion pressure, increases at first and then decreases, showing three obvious stages: (1) short-term slow combustion stage; (2) rapid reaction stage; and (3) reaction decay stage. After successful ignition, due to the slow reaction in the early stage, the flame spreads in a laminar fashion, and emission intensity is weak, showing a short period of stability first and then rising weakly. As the reaction accelerates, the heat release continues to increase and accumulate, and the I and dI/dt of the explosion flame begin to increase rapidly, the production rate of free radicals is always higher than the consumption rate in this stage. Primarily influenced by the concentration of reactants, the reaction pathway, and the effect of the cold wall, the dI/dt begins to decrease after reaching its maximum value, and then the I slowly rises to its maximum value, and dI/dt decreases to 0, at which point the production rate of free radicals is equal to its consumption rate. As the reaction enters the decay stage, the I gradually decreases, the dI/dt gradually decreases to the minimum value and gradually increases to 0, and the production rate of free radicals is always less than that of its consumption until the reaction is completed.
Figure 9 exhibits the trends in the maximum emission intensity (Imax) and the corresponding maximum time of emission intensity (tI) of OH in the flame of H2/CH4 mixture explosion under different variable conditions. When φ is constant, the Imax of OH continues to increase as α increases. When φ = 1 and φ = 0.8, the Imax of OH shows a linear upward trend with a small amplitude. Nilsson et al. [43] also found that the concentration of OH with the hydrogen content in the gas mixture increases linearly. The increase in α makes the system have more H radicals, and H produces more OH after oxidation, which makes the detected OH value increase continuously. For the case of φ = 1.2 and φ = 1.4, the Imax of OH shows an exponential upward trend with a sudden increase from around α = 0.6 of 12,763.6% and 12,204.4%, respectively. When φ = 1.2 and φ = 1.4, there is an oxidative competition between hydrogen and methane. When α is greater than 0.6, the oxidation of hydrogen dominates, and a large amount of H oxidation produces a large amount of OH. It is worth mentioning that with the increase in α, the emission intensity at 308.9 nm is most affected and the growth rate is also the largest. When α is constant, with the increase in φ, the Imax of OH increases first and then decreases, and when φ = 1~1.2, the maximum value appears.

Figure 9.
Maximum intensity and corresponding time of OH.
For tI, when φ is constant, tI decreases with the increase in α, and the increase in α has a more obvious impact on φ = 1.2 and φ = 1.4. For different characteristic wavelengths, the tI of OH decreases as α increases, but the intercept is different, which is mainly due to the different transition modes. The emission at 282.8 nm is earlier than that at other characteristic wavelengths, and the emission at 347.2 nm is the latest. When α is constant, as φ increases, tI decreases initially and then increases, reaching the minimum value when φ = 1. When pure hydrogen is used, the tI of OH will be shortened continuously.
Figure 10 demonstrates the curves of the maximum increase rate of OH emission intensity ((dI/dt)max) and the corresponding time of (dI/dt)max (tdI). The (dI/dt)max at different characteristic wavelengths is along with the change rule of I, which is the largest at 308.9 nm and has the largest increase with the increase in α. When the φ is constant, with the increase in α, the (dI/dt)max of OH continues to increase, and the larger the φ, the greater the (dI/dt)max of OH with α, and the increase rate is the largest when φ = 1.4. Based on the significance of dI/dt, the generation rate of free radicals is obtained from the perspective of intensity, which represents the combustion speed of the flame and shows a close relationship with the laminar combustion speed. When α is constant, the (dI/dt)max increases initially and then decreases as φ increases, and the maximum value of (dI/dt)max appears. When α is 0.6, the maximum value shifts to the side of a larger equivalence ratio. When the component is pure hydrogen, it is the largest at φ = 1.4.

Figure 10.
(dI/dt)max and tdI of OH.
The tdI shows a downward trend as a whole. When α < 0.6, the maximum value appears at φ = 1. When α > 0.6, the maximum value of tdI shifts to the side of a larger equivalence ratio. When the composition is pure hydrogen, tdI shows a downward trend as a whole, and the minimum value of tdI appears at φ = 1.4.
4. Discussion
4.1. Kinetic Analysis of OH
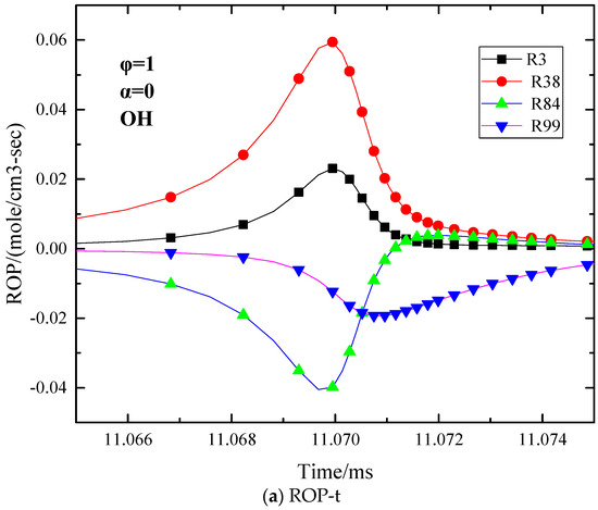
Based on the CHEMKIN-Pro reaction kinetics calculation software, a zero-dimensional homogeneous closed-reactor model was used to simulate the effects of φ and α on the chemical kinetic parameters, such as the sensitivity and ROP (rate of production) of the reaction intermediate product. Figure 11 plots the curves of sensitivity analysis and ROP analysis of OH of the mixtures at φ = 1 and α = 0. According to the ROP analysis, the formation of OH is mainly due to the oxidation of H2 and H, and the consumption of OH is mainly due to its reaction with CO and H2 to produce H, H2O, and CO2. Sensitivity analysis showed that R155 and R156 had the strongest effect on the formation of OH, and CH3 oxidizes to produce OH and provides O for subsequent reactions. R158 and R53 had the strongest effect on OH consumption. R158 is the polymerization reaction of CH3, and R53 is the reaction of producing H2, which promotes the consumption of H, the generation of H2, and promote the reaction R84.

Figure 11.
Sensitivity analysis and ROP analysis of OH at φ = 1 and α = 0.
Figure 12 shows the effects of α and φ on ROP and sensitivity of OH in the mixtures when φ = 1 and α = 0.6. The reactions with the strongest formation and consumption rates of OH are R38 and R84, respectively. With the increase in α, the ROP increase in reaction R84 is greater than that of R38, which promotes the consumption of OH, and the increase is significantly improved after α = 0.6. With the increase in φ, the ROP of R38 and R84 increased first and then decreased, and reached the maximum at φ = 1, which was closely related to the concentration of oxygen in the reaction system.


Figure 12.
Sensitivity analysis and ROP analysis of OH.
With the increase in φ, the sensitivity of each elementary reaction decreases significantly, and the reaction of hydrogen gradually dominates the reaction. After the addition of hydrogen, the elementary reactions that have the greatest influence on the generation and consumption of OH also changes, starting from R158 (consumption)/R155 (generation) to R53 (consumption)/R38 (generation). R38 is the reaction of H oxidation to OH. When α > 0.4, the formation of OH in R38 plays a major role, which promotes the formation of OH due to the large amount of oxidation of H in the system.
With the increase in φ, the effect of elementary reaction on methane in the mixtures increases first and then decreases, reaching the maximum at φ = 1.2, which is due to the change of oxygen content in the system. When φ > 1, R98 transits to R284. R284 provides H2 and CO for the reaction of R99 and R84 to react with OH in the system, resulting in a large consumption of OH.
4.2. Emissions of OH
Previous studies have shown that the emission of OH mainly comes from the oxidation of CH, the process of OH being excited by free radical recombination in the low-temperature reaction zone of a flame, and the excitation of hydrogen atom vibration energy level. The formation and depletion of OH* is modelled through a series of basic reactions [44]:
The above reactions are reversible except for Equation (8). The light emitted during a chemical reaction has two sources: the front of flame (from the discrete emissions of OH* radicals) and the steady emission by the hot post-combustion gas, usually called afterglow emissions [45]. Comparing the results in Section 4.1, it can be found that Equation (7) is the intermediate reaction of R3 and R38, while Equation (8) is the reverse intermediate reaction of R84 and R99. Combined with the analysis of ROP, it can be considered that the important sources of OH emissions in the process of hydrogen/methane explosion are the reaction of R38 and the reverse reaction of R84.
5. Conclusions
In this paper, the effect of φ and α on pressure history, flame propagation, and emission intensity of OH was scrutinized in a 20 L spherical closed tank. The experimentally measured explosion pressure characteristics and parameters of emission intensity were analyzed. The main findings are as follows.
- (1)
- As the volume fraction of hydrogen increases, its impact on the explosion characteristic parameters of H2/CH4/air mixtures becomes more significant, and the more obvious the influence on H2/CH4/air mixtures with a high equivalence ratio, the maximum value of curves of the explosion parameter–equivalence ratio shift towards a higher equivalence ratio. The increase in (dP/dt)max and flame radius, as well as the shortening of various explosion time parameters make the reaction of H2/CH4/air mixtures faster and more dangerous.
- (2)
- After α > 0.6, (dP/dt)max and flame radius suddenly increase with the addition of hydrogen, and hydrogen begins to play a dominant role in the explosion behavior of H2/CH4/air mixtures.
- (3)
- The emission intensity of OH at 308.9 nm is the strongest, and it is also the most affected by the equivalence ratio and volume fraction of hydrogen.
- (4)
- As the volume fraction of hydrogen increases, the Imax and (dI/dt)max of OH continue to increase. At a higher equivalence ratio, the Imax of OH begins to increase sharply from α = 0.6. The emission intensity of OH at 282.8 nm is the earliest, and the emission intensity of OH at 347.2 nm is the latest. The corresponding time parameters of emission intensity of OH continued to decrease.
- (5)
- As the equivalence ratio increases, Imax and (dI/dt)max of OH increase first and then decrease. The maximum value of Imax occurs on the right side of φ = 1, and the maximum value shifts to the side of the greater equivalence ratio when hydrogen is added. For pure hydrogen, the corresponding time parameters of emission intensity of OH is continuously shortened.
- (6)
- The important sources of OH emissions in the process of H2/CH4/air explosion are the reaction of R38 and the reverse reaction of R84.
Author Contributions
Conceptualization, Z.L.; methodology, R.L.; software, R.L.; validation, T.W.; formal analysis, R.L.; investigation, R.L.; resources, F.C.; data curation, R.L.; writing—original draft preparation, R.L.; writing—review and editing, A.Z.; visualization, R.L.; supervision, A.Z.; project administration, Z.L.; funding acquisition, Z.L. and R.L. All authors have read and agreed to the published version of the manuscript.
Funding
This research was funded by the National Natural Science Foundation of China (Grant No. 5217-4200), the Youth Project of National Natural Science Foundation of Shaanxi (2024JC-YBQN-0431), China Postdoctoral Science Foundation (Grant No. 2023-M-732824).
Data Availability Statement
Data is unavailable due to privacy.
Conflicts of Interest
The authors declare no conflict of interest.
Nomenclature
| Nomenclature | |
| α | Volume fraction of hydrogen |
| φ | Equivalence ratio |
| ρ | Density |
| I | Emission intensity of OH |
| m | Mass |
| P | Explosion pressure |
| R | Radius of flame front |
| Ri | Richardson number |
| t | Time |
| V | Volume |
| Subscript | |
| 0 | Initial condition |
| b | Burned mixture |
| c | Time to Pmax |
| d | Time to (dP/dt)max |
| e | Time to (dP/dt)min |
| i | Time to Imax |
| max | Maximum value |
| min | Minimum value |
References
- Karim, G.A.; Wierzba, I.; Al-Alousi, Y. Methane-hydrogen mixtures as fuels. Int. J. Hydrogen Energy 1996, 21, 625–631. [Google Scholar] [CrossRef]
- Araoye, A.A.; Abdelhafez, A.; Nemitallah, M.A.; Habib, M.A.; Ben-Mansour, R.; Hussain, M. Shape and stability characteristics of hydrogen-enriched natural-gas oxy-flames in a micromixer burner. Combust. Sci. Technol. 2023, 195, 1887–1909. [Google Scholar] [CrossRef]
- Yang, P.; Wang, T.; Sheng, Y.; Yu, Y.; Li, R.; Su, B.; Cheng, F.; Qu, J.; Deng, J.; Luo, Z. Recent advances in hydrogen process safety: Deflagration behaviors and explosion mitigation strategies. Process Saf. Environ. Prot. 2024, 188, 303–316. [Google Scholar] [CrossRef]
- Zhang, B.; Pang, L.; Gao, Y. Detonation limits in binary fuel blends of methane/hydrogen mixtures. Fuel 2016, 168, 27–33. [Google Scholar] [CrossRef]
- Li, Q.; Lin, B.; Dai, H.; Zhao, S. Explosion characteristics of H2/CH4/air and CH4/coal dust/air mixtures. Powder Technol. 2012, 229, 222–228. [Google Scholar] [CrossRef]
- Liu, G.; Wang, J.; Zheng, L.; Pan, R.; Lu, C.; Wang, Y.; Zhao, Y.; Li, Y. Effect of hydrogen addition on explosion characteristics of premixed methane/air mixture under different equivalence ratio distributions. Energy 2023, 276, 127607. [Google Scholar] [CrossRef]
- Di Sarli, V.; Di Benedetto, A. Laminar burning velocity of hydrogen-methane/air premixed flames. Int. J. Hydrogen Energy 2007, 32, 637–646. [Google Scholar] [CrossRef]
- Li, Y.; Bi, M.; Li, B.; Zhou, Y.; Gao, W. Effects of hydrogen and initial pressure on flame characteristics and explosion pressure of methane/hydrogen fuels. Fuel 2018, 233, 269–282. [Google Scholar] [CrossRef]
- Vanderstraeten, B.; Tuerlinckx, D.; Berghmans, J.; Vliegen, S.; Oost Van’t, E.; Smit, B. Experimental study of the pressure and temperature dependence on the upper flammability limit of methane/air mixtures. J. Hazard. Mater. 1997, 56, 237–246. [Google Scholar] [CrossRef]
- Shen, X.; Xiu, G.; Wu, S. Experimental study on the explosion characteristics of methane/air mixtures with hydrogen addition. Appl. Therm. Eng. 2017, 120, 741–747. [Google Scholar] [CrossRef]
- Cammarota, F.; Di Benedetto, A.; Di Sarli, V.; Salzano, E.; Russo, G. Combined effects of initial pressure and turbulence on explosions of hydrogen-enriched methane/air mixtures. J. Loss Prev. Process Ind. 2009, 22, 607–613. [Google Scholar] [CrossRef]
- Li, R.; Luo, Z.; Wang, T.; Cheng, F.; Lin, H.; Zhu, X. Effect of initial temperature and H2 addition on explosion characteristics of H2-poor/CH4/air mixtures. Energy 2020, 213, 118979. [Google Scholar] [CrossRef]
- Emami, S.D.; Rajabi, M.; Hassan, C.R.C.; Hamid, M.D.A.; Kasmani, R.M.; Mazangi, M. Experimental study on premixed hydrogen/air and hydrogenemethane/air mixtures explosion in 90 degree bend pipeline. Int. J. Hydrogen Energy 2013, 38, 14115–14120. [Google Scholar] [CrossRef]
- Carcassi, M.N.; Fineschi, F. Deflagrations of H2–air and CH4–air lean mixtures in a vented multi-compartment environment. Energy 2005, 30, 1439–1451. [Google Scholar] [CrossRef]
- Tseng, C. Effects of hydrogen addition on methane combustion in a porous medium burner. Int. J. Hydrogen Energy 2002, 27, 699–707. [Google Scholar] [CrossRef]
- Cai, P.; Liu, Z.; Li, P.; Zhao, Y.; Li, M.; Li, R.; Wang, C.; Xiu, Z. Effects of fuel component, airflow field and obstacles on explosion characteristics of hydrogen/methane mixtures fuel. Energy 2023, 265, 126302. [Google Scholar] [CrossRef]
- Wang, S.; Xiao, G.; Feng, Y.; Mi, H. Investigation of premixed hydrogen/methane flame propagation and kinetic characteristics for continuous obstacles with gradient barrier ratio. Energy 2023, 267, 126620. [Google Scholar] [CrossRef]
- Cai, C.Y.; Li, M.; Dong, J.Z.; Xiao, H.H. Flame Acceleration in Stoichiometric CH4/H2/air Mixtures with Different Hydrogen Blend Ratios in an Obstructed Channel. Combust. Sci. Technol. 2024, 196, 4057–4076. [Google Scholar] [CrossRef]
- Wang, F.; Yu, M.; Wen, X.; Deng, H.; Pei, B. Suppression of methane/air explosion in pipeline by water mist. J. Loss Prev. Process Ind. 2017, 49, 791–796. [Google Scholar] [CrossRef]
- Wang, Z.R.; Ni, L.; Liu, X.; Jiang, J.C.; Wang, R. Effects of N2/CO2 on explosion characteristics of methane and air mixture. J. Loss Prev. Process Ind. 2014, 31, 10–15. [Google Scholar] [CrossRef]
- Cao, X.; Ren, J.; Bi, M.; Zhou, Y.; Wang, Q. Experimental research on methane/air explosion inhibition using ultrafine water mist containing additive. J. Loss Prev. Process Ind. 2016, 43, 352–360. [Google Scholar] [CrossRef]
- Baigmohammadi, M.; Tabejamaat, S.; Faghani-Lamraski, M. Experimental study on the effects of mixture flow rate, equivalence ratio, oxygen enhancement, and geometrical parameters on propane-air premixed flame dynamics in non-adiabatic meso-scale reactors. Energy 2017, 121, 657–675. [Google Scholar] [CrossRef]
- Dong, Z.; Luo, Z.; Yang, P.; Yu, Y.; Meng, F.; Qu, J.; Cheng, F.; Liu, L.; Wen, H.; Deng, J.; et al. Investigation on the suppression effects of Na2CO3·10H2O–CO2 on hydrogen-air deflagration. Int J Hydrogen Energy 2025. [Google Scholar] [CrossRef]
- Smith, J.D.; Sick, V. High-speed fuel tracer fluorescence and OH radical chemiluminescence imaging in a spark-ignition direct-injection engine. Appl. Opt. 2005, 44, 6682–6691. [Google Scholar] [CrossRef]
- Luo, Z.; Li, D.; Su, B.; Wang, T.; Li, K.; Li, Q.; Deng, J. Thermodynamic e ff ects of the generation of H*/OH*/CH2O* on fl ammable gas explosion. Fuel 2020, 280, 118679. [Google Scholar] [CrossRef]
- Hardalupas, Y.; Orain, M.; Panoutsos, C.S.; Taylor, A.; Olofsson, J.; Seyfried, H.; Richter, M.; Hult, J.; Aldén, M.; Hermann, F.; et al. Chemiluminescence sensor for local equivalence ratio of reacting mixtures of fuel and air (FLAMESEEK). Appl. Therm. Eng. 2004, 24, 1619–1632. [Google Scholar] [CrossRef]
- Troutman, V.A.; Strand, C.L.; Campbell, M.F.; Tulgestke, A.M.; Miller, V.A.; Davidson, D.F.; Hanson, R.K. High—Speed OH* chemiluminescence imaging of ignition through a shock tube end—Wall. Appl. Phys. B 2016, 122, 1–7. [Google Scholar] [CrossRef]
- Li, T.; Adamovich, I.V.; Sutton, J.A. Effects of non-equilibrium plasmas on low-pressure, premixed flames. Part 1: CH* chemiluminescence, temperature, and OH. Combust. Flame 2016, 165, 50–67. [Google Scholar] [CrossRef]
- Reyes, M.; Tinaut, F.V.; Giménez, B.; Pastor, J.V. Effect of hydrogen addition on the OH* and CH* chemiluminescence emissions of premixed combustion of methane-air mixtures. Int. J. Hydrogen Energy 2018, 43, 19778–19791. [Google Scholar] [CrossRef]
- Yang, Z.; Yu, X.; Peng, J.; Wang, L.; Dong, Z.; Li, X.; Sun, S.; Meng, S.; Xu, H. Effects of N2, CO2 and H2O dilutions on temperature and concentration fields of OH in methane Bunsen flames by using PLIF thermometry and bi-directional PLIF. Exp. Therm. Fluid. Sci. 2017, 81, 209–222. [Google Scholar] [CrossRef]
- Yamamoto, K.; Ozeki, M.; Hayashi, N.; Yamashita, H. Burning velocity and OH concentration in premixed combustion. Proc. Combust. Inst. 2009, 32, 1227–1235. [Google Scholar] [CrossRef]
- Zhou, Q.; Cheung, C.S.; Leung, C.W.; Li, X.; Li, X.; Huang, Z. Effects of fuel composition and initial pressure on laminar flame speed of H2/CO/CH4 bio-syngas. Fuel 2019, 238, 149–158. [Google Scholar] [CrossRef]
- Wang, T.; Luo, Z.; Wen, H.; Zhang, J.; Mao, W.; Cheng, F.; Zhao, J.; Su, B.; Li, R.; Deng, J. Experimental study on the explosion and flame emission behaviors of methane-ethylene-air mixtures. J. Loss Prev. Process Ind. 2019, 60, 183–194. [Google Scholar] [CrossRef]
- Luo, Z.; Hao, Q.; Wang, T.; Li, R.; Cheng, F.; Deng, J. Experimental study on the deflagration characteristics of methane-ethane mixtures in a closed duct. Fuel 2020, 259, 116295. [Google Scholar] [CrossRef]
- Xie, Y.; Wang, J.; Cai, X.; Huang, Z. Pressure history in the explosion of moist syngas/air mixtures. Fuel 2016, 185, 18–25. [Google Scholar] [CrossRef]
- Zhou, Q.; Cheung, C.S.; Leung, C.W.; Li, X.; Huang, Z. Explosion characteristics of bio-syngas at various fuel compositions and dilutions in a confined vessel. Fuel 2020, 259, 116254. [Google Scholar] [CrossRef]
- Wang, T.; Luo, Z.; Wen, H.; Cheng, F.; Deng, J.; Zhao, J.; Guo, Z.; Lin, J.; Kang, K.; Wang, W. Effects of flammable gases on the explosion characteristics of CH4 in air. J. Loss Prev. Process Ind. 2017, 49, 183–190. [Google Scholar] [CrossRef]
- Dahoe, A.E.; Zevenbergen, J.F.; Lemkowitz, S.M.; Scarlett, B. Dust explosions in spherical vessels: Role of flame thickness in the validity of the ‘cube-root law’. J. Loss Prev. Process Ind. 1996, 9, 33–44. [Google Scholar] [CrossRef]
- Qu, J.; Zhou, T.; Luo, Z.-M.; Deng, J.; Xiao, Y. Research on explosion hazard and prevention of ultrafine aluminium powder based on orthogonal matrix analysis. Process Saf. Environ. Prot. 2024, 186, 910–920. [Google Scholar] [CrossRef]
- Chen, Z.; Dai, P.; Chen, S. A model for the laminar flame speed of binary fuel blends and its application to methane/hydrogen mixtures. Int. J. Hydrogen Energy 2012, 37, 10390–10396. [Google Scholar] [CrossRef]
- Berger, L.; Hesse, R.; Kleinheinz, K.; Hegetschweiler, M.J.; Attili, A.; Beeckmann, J.; Linteris, G.T.; Pitsch, H. A DNS study of the impact of gravity on spherically expanding laminar premixed flames. Combust. Flame 2020, 216, 412–425. [Google Scholar] [CrossRef]
- Law, C.K.; Faeth, G.M. Opportunities and challenges of combustion in microgravity. Prog. Energy Combust. Sci. 1994, 20, 65–113. [Google Scholar] [CrossRef]
- Nilsson, E.J.K.; van Sprang, A.; Larfeldt, J.; Konnov, A.A. The comparative and combined effects of hydrogen addition on the laminar burning velocities of methane and its blends with ethane and propane. Fuel 2017, 189, 369–376. [Google Scholar] [CrossRef]
- Kathrotia, T.; Fikri, M.; Bozkurt, M.; Hartmann, M.; Riedel, U.; Schulz, C. Study of the H+O+M reaction forming OH*: Kinetics of OH* chemiluminescence in hydrogen combustion systems. Combust. Flame 2010, 157, 1261–1273. [Google Scholar] [CrossRef]
- Withrow, L.; Rassweiler, G.M. Spectroscopic Studies of Engine Combustion. Ind. Eng. Chem. 1931, 23, 769–776. [Google Scholar] [CrossRef]
Disclaimer/Publisher’s Note: The statements, opinions and data contained in all publications are solely those of the individual author(s) and contributor(s) and not of MDPI and/or the editor(s). MDPI and/or the editor(s) disclaim responsibility for any injury to people or property resulting from any ideas, methods, instructions or products referred to in the content. |
© 2025 by the authors. Licensee MDPI, Basel, Switzerland. This article is an open access article distributed under the terms and conditions of the Creative Commons Attribution (CC BY) license (https://creativecommons.org/licenses/by/4.0/).