Coordinated Optimization Method of Electric Buses and Voltage Source Converters for Improving the Absorption Capacity of New Energy Sources and Loads in Distribution Networks
Abstract
1. Introduction
2. Problem Description
3. Multi-Layer Stochastic TSN Model for Electric Buses
4. Coordinated Optimization Model of VSC and EB
4.1. Establishment of the Optimization Model
4.2. Solution of the Optimization Model
5. Case Study
5.1. Background
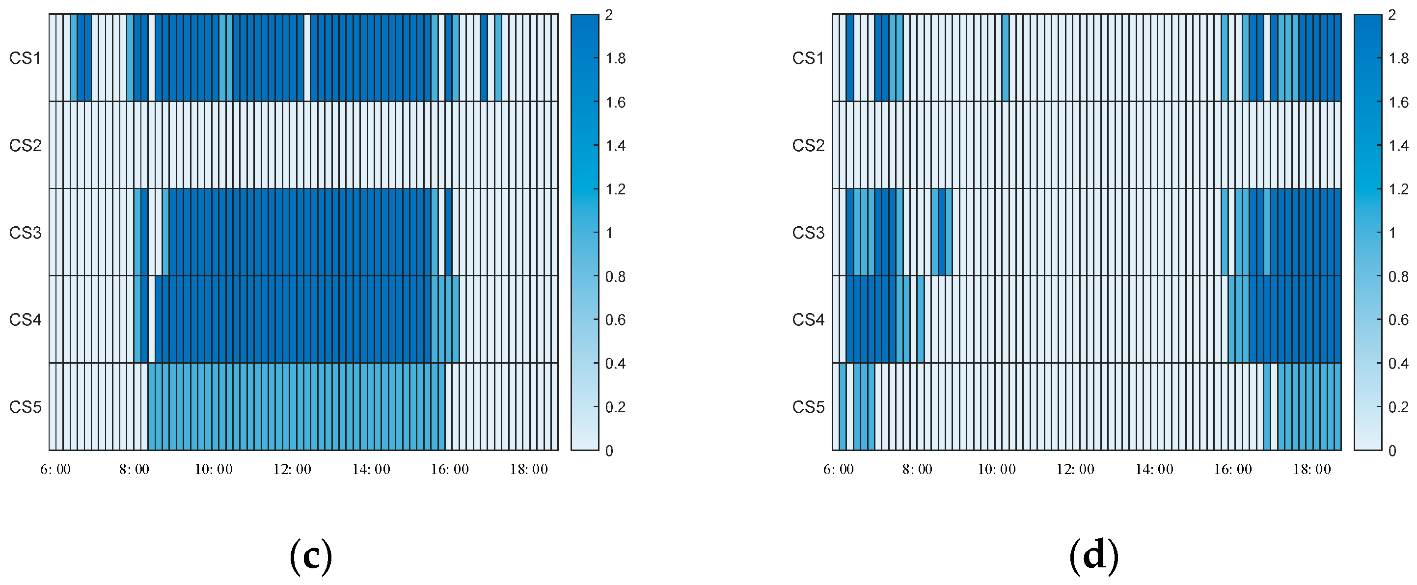
5.2. Effect Analysis of the Coordinated Optimization Method
6. Conclusions
Author Contributions
Funding
Data Availability Statement
Conflicts of Interest
Abbreviations
| PV | Photovoltaics |
| EB | Electric bus |
| EV | Electric vehicle |
| VSC | Voltage source converter |
| TSN | Time–Space Network model |
| The total number of EBs. | |
| The total time of the optimization dispatching. | |
| The selected unit time interval. | |
| The total number of unit time intervals in the optimization period. | |
| The total number of moments. | |
| The n-th time interval. | |
| The n-th moment. | |
| Parking arcs in the TSN model represent all possible situations where the m-th EB stops at a certain place in the s-th time interval. | |
| Transit arcs in the TSN model represent all possible paths for the m-th EB to travel from one node to another node within the s-th time interval. | |
| Fixed traffic task arcs in the TSN model represent the route that the m-th EB passes through when performing a transportation task p within the s-th time interval. | |
| A state variable, which is 1 if EB m is performing a transportation task p at moment s. | |
| A state variable, which is 1 when EB m is located on arc (n1,n2) in the s-th time interval. | |
| The set of space–time network nodes on the left side of the dividing line. | |
| The set of space–time network nodes on the right side of the dividing line. | |
| The set of arcs passed by the dividing line. | |
| A state variable, which is 1 when vehicle m is located at node n at moment t. | |
| The set of all arcs starting from node n. | |
| The sets of all arcs ending at node n. | |
| A state variable, which is 1 when EB m is charging at the charging station n at moment s. | |
| A state variable, which is 1 when EB m is discharging at the charging station n at moment s. | |
| The set of all charging station nodes. | |
| The charging powers of EB m at the charging station n at moment s. | |
| The discharging powers of EB m at the charging station n at moment s. | |
| The rated charging powers of the charging station n. | |
| The rated discharging powers of the charging station n. | |
| The capacity of the charging station n. | |
| The moving consumption of EB m at moment s. | |
| The charging consumption and discharging consumption of EB m at moment s. | |
| The average consumption of EB moving on section. | |
| / | The charging and discharging efficiencies. |
| The rated capacity of EB. | |
| The state of charge of EB m at moment t. | |
| The set of all nodes on the AC line. | |
| The set of nodes directly connected to node i. | |
| The current flowing through branch ij at moment t. | |
| The active powers output by the VSC connected to node i on the AC sides. | |
| The active powers output by the VSC connected to node i on the DC sides. | |
| The reactive power output by the VSC on the AC side. | |
| The capacity of the VSC. | |
| / | The active and reactive powers flowing from node j to node i through branch ij. |
| / | The active and reactive powers injected into node i. |
| / | The conductance and susceptance of branch ij. |
| The voltage of node i. | |
| The current flowing from node j to node i. | |
| / | The sets of branches with node i as the starting and ending nodes. |
References
- Abad, M.S.S.; Ma, J. Photovoltaic Hosting Capacity Sensitivity to Active Distribution Network Management. IEEE Trans. Power Syst. 2021, 36, 107–117. [Google Scholar] [CrossRef]
- Haxhiu, A.; Abdelhakim, A.; Kanerva, S.; Bogen, J. Electric Power Integration Schemes of the Hybrid Fuel Cells and Batteries-Fed Marine Vessels—An Overview. IEEE Trans. Transp. Electrif. 2022, 8, 1885–1905. [Google Scholar] [CrossRef]
- Reshikeshan, S.S.M.; Matthiesen, S.L.; Illindala, M.S.; Renjit, A.A.; Roychowdhury, R. Autonomous Voltage Regulation by Distributed PV Inverters With Minimal Inter-node Interference. IEEE Trans. Ind Appl. 2021, 57, 2058–2066. [Google Scholar] [CrossRef]
- Yao, M.; Hiskens, I.A.; Mathieu, J.L. Mitigating Voltage Unbalance Using Distributed Solar Photovoltaic Inverters. IEEE Trans. Power Syst. 2021, 36, 2642–2651. [Google Scholar] [CrossRef]
- Rubino, L.; Rubino, G.; Esempio, R. Linear Programming-Based Power Management for a Multi-Feeder Ultra-Fast DC Charging Station. Energies 2023, 16, 1213. [Google Scholar] [CrossRef]
- Zhang, L.; Liang, J.; Tang, W.; Li, G.; Cai, Y.; Sheng, W. Converting AC Distribution Lines to DC to Increase Transfer Capacities and DG Penetration. IEEE Trans. Smart Grid 2019, 10, 1477–1487. [Google Scholar] [CrossRef]
- Wu, T.; Zhao, C.; Zhang, Y.-J.A. Distributed AC-DC Optimal Power Dispatch of VSC-Based Energy Routers in Smart Microgrids. IEEE Trans. Power Syst. 2021, 36, 4457–4470. [Google Scholar] [CrossRef]
- Zhang, B.; Tang, W.; Liang, J.; Zhang, L.; Zhao, C. EV Integration-Oriented DC Conversion of AC Low-Voltage Distribution Networks and the Associated Adaptive Control Strategy. IEEE Trans. Transp. Electrif. 2024, 10, 213–223. [Google Scholar] [CrossRef]
- Zhang, T.; Pu, T.; Dong, L.; Yuan, X.; Mu, Y.; Jia, H. Distributed Reactive Power Optimization for Flexible Distribution Networks With Successive Relaxation Iteration Method. IEEE Trans. Sustain. Energy 2025, 16, 452–468. [Google Scholar] [CrossRef]
- Wang, C.; Sun, J.; Huang, M.; Zha, X.; Hu, W. Two-stage Optimization for Active Distribution Systems Based on Operating Ranges of Soft Open Points and Energy Storage System. J. Mod. Power Syst. Clean Energy 2023, 11, 66–79. [Google Scholar] [CrossRef]
- Zhuang, P.; Liang, H. Stochastic Energy Management of Electric Bus Charging Stations with Renewable Energy Integration and B2G Capabilities. IEEE Trans. Sustain. Energy 2021, 12, 1206–1216. [Google Scholar] [CrossRef]
- Saber, H.; Ranjbar, H.; Fattaheian-Dehkordi, S.; Moeini-Aghtaie, M.; Ehsan, M.; Shahidehpour, M. Transactive Energy Management of V2G-Capable Electric Vehicles in Residential Buildings: An MILP Approach. IEEE Trans. Sustain. Energy 2022, 13, 1734–1743. [Google Scholar] [CrossRef]
- Li, B.; Chen, Y.; Wei, W.; Mei, S.; Hou, Y.; Shi, S. Preallocation of Electric Buses for Resilient Restoration of Distribution Network: A Data-Driven Robust Stochastic Optimization Method. IEEE Syst. J. 2022, 16, 2753–2764. [Google Scholar] [CrossRef]
- Nimalsiri, N.; Ratnam, E.; Smith, D.; Mediwaththe, C.; Halgamuge, S. A Distributed Coordination Approach for the Charge and Discharge of Electric Vehicles in Unbalanced Distribution Grids. IEEE Trans. Ind. Inform. 2024, 20, 3551–3562. [Google Scholar] [CrossRef]
- Chen, P.; Han, L.; Xin, G.; Zhang, A.; Ren, H.; Wang, F. Game Theory Based Optimal Pricing Strategy for V2G Participating in Demand Response. IEEE Trans. Ind. Appl. 2023, 59, 4673–4683. [Google Scholar] [CrossRef]
- Meng, H.; Jia, H.; Xu, T.; Wei, W.; Wang, X. Battery Storage Configuration of AC/DC Hybrid Distribution Networks. CSEE J. Power Energy Syst. 2023, 9, 859–872. [Google Scholar]
- Liu, X.; Soh, C.B.; Zhao, T.; Wang, P. Stochastic Scheduling of Mobile Energy Storage in Coupled Distribution and Transportation Networks for Conversion Capacity Enhancement. IEEE Trans. Smart Grid 2021, 12, 117–130. [Google Scholar] [CrossRef]
- Zhang, Y.; Zhang, L.; Li, G.; Tang, W.; Tong, B.; Zhao, C.; Zhang, Q.; Zhang, B.; Chen, W. Co-Optimizing Electric Tourist Buses and VSC to Enhance the Flexibility of Hybrid AC/DC Distribution Networks With Distributed PV. IEEE Trans. Smart Grid 2025, 16, 741–753. [Google Scholar] [CrossRef]








| 1. Initialize the problem data. Include: traffic network topology, distribution network topology, node loads, DPV output, VSC data, charging station data, and public transportation routes. 2. Define decision variables (VSC power, EBs’ position and charging power). 3. Define the objective function: Minimize the distribution network power losses, as shown in (26) 4. Define the constraints: subject to: Traffic network and EB charging constraints: (1)–(14) Distribution network constraints: (20)–(25) 5. Call the MILP solver (e.g., CPLEX) to solve the problem 6. Retrieve the optimal solution and output the results |
| Case | VSC | EB |
|---|---|---|
| Base case | No | disordered charging |
| Case 1 | Has | disordered charging |
| Case 2 | No | ordered charge–discharge |
| Case 3 | Has | ordered charge–discharge |
| Case | Network Loss (kWh) | Maximum Voltage (p.u.) | Minimum Voltage (p.u.) |
|---|---|---|---|
| Base case | 67.95 | 1.0759 | 0.9287 |
| Case 1 | 77.92 | 1.0885 | 0.9387 |
| Case 2 | 52.15 | 1.0705 | 0.9314 |
| Case 3 | 42.35 | 1.0614 | 0.9356 |
| Direction: 5–8 | Direction: 8–5 | ||
|---|---|---|---|
| Departure Time | Executing Vehicle | Departure Time | Executing Vehicle |
| 6:00 | EB2 | 6:20 | EB14 |
| 7:00 | EB7 | 7:20 | EB1 |
| 8:00 | EB14 | 8:20 | EB7 |
| 9:00 | EB11 | 9:20 | EB14 |
| 10:00 | EB8 | 10:20 | EB11 |
| 11:00 | EB7 | 11:20 | EB8 |
| 12:00 | EB9 | 12:20 | EB7 |
| 13:00 | EB8 | 13:20 | EB9 |
| 14:00 | EB9 | 14:20 | EB11 |
| 15:00 | EB11 | 15:20 | EB3 |
| 16:00 | EB3 | 16:20 | EB9 |
Disclaimer/Publisher’s Note: The statements, opinions and data contained in all publications are solely those of the individual author(s) and contributor(s) and not of MDPI and/or the editor(s). MDPI and/or the editor(s) disclaim responsibility for any injury to people or property resulting from any ideas, methods, instructions or products referred to in the content. |
© 2025 by the authors. Licensee MDPI, Basel, Switzerland. This article is an open access article distributed under the terms and conditions of the Creative Commons Attribution (CC BY) license (https://creativecommons.org/licenses/by/4.0/).
Share and Cite
Liu, Y.; Huang, M.; Zhang, Y.; Zhang, L.; Liu, W.; Yu, H.; Wang, F.; Li, L. Coordinated Optimization Method of Electric Buses and Voltage Source Converters for Improving the Absorption Capacity of New Energy Sources and Loads in Distribution Networks. Energies 2025, 18, 832. https://doi.org/10.3390/en18040832
Liu Y, Huang M, Zhang Y, Zhang L, Liu W, Yu H, Wang F, Li L. Coordinated Optimization Method of Electric Buses and Voltage Source Converters for Improving the Absorption Capacity of New Energy Sources and Loads in Distribution Networks. Energies. 2025; 18(4):832. https://doi.org/10.3390/en18040832
Chicago/Turabian StyleLiu, Yang, Min Huang, Yujing Zhang, Lu Zhang, Wenbin Liu, Haidong Yu, Feng Wang, and Lisheng Li. 2025. "Coordinated Optimization Method of Electric Buses and Voltage Source Converters for Improving the Absorption Capacity of New Energy Sources and Loads in Distribution Networks" Energies 18, no. 4: 832. https://doi.org/10.3390/en18040832
APA StyleLiu, Y., Huang, M., Zhang, Y., Zhang, L., Liu, W., Yu, H., Wang, F., & Li, L. (2025). Coordinated Optimization Method of Electric Buses and Voltage Source Converters for Improving the Absorption Capacity of New Energy Sources and Loads in Distribution Networks. Energies, 18(4), 832. https://doi.org/10.3390/en18040832
