Coupling Impedance Modeling Analysis of Grid-Connected Inverters Under Three-Phase Voltage Unbalance
Abstract
1. Introduction
2. Impedance Analysis of Inverters Under Unbalanced Grid Voltage
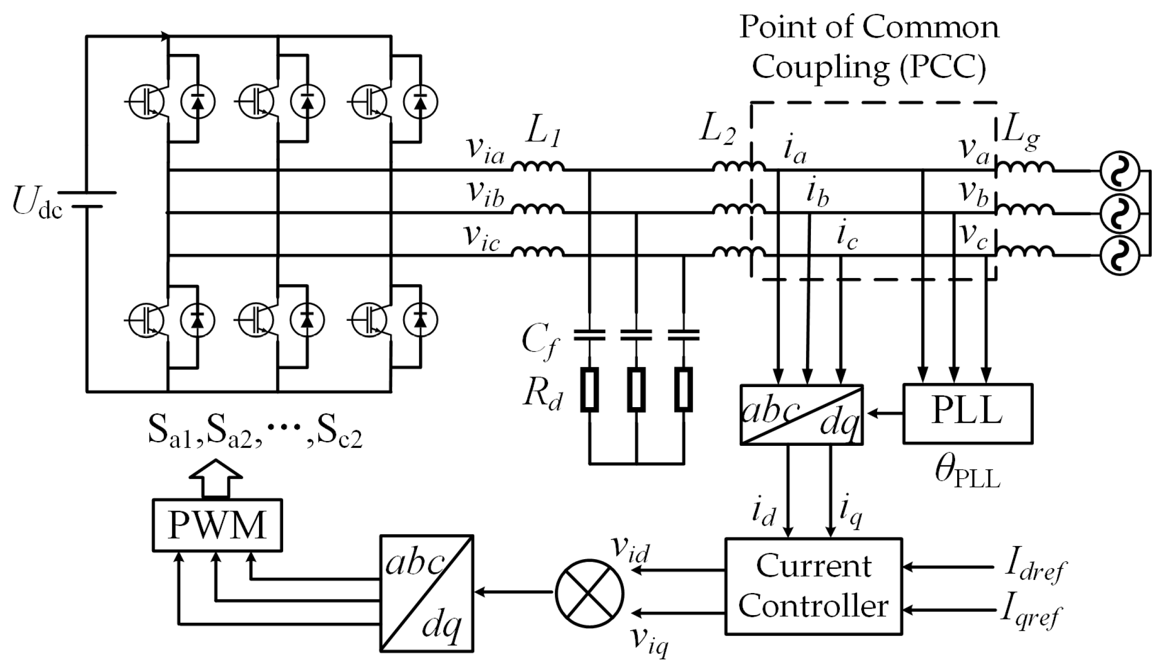
2.1. Main Circuit Model of the Grid-Connected Inverter
2.2. Phase-Locked Loop Modeling
2.3. Current Loop Modeling
2.4. Coupling Impedance Expressions
3. Simulation Validation
3.1. Simulation Validation of the Inverter Impedance Mathematical Model
3.2. Study of Frequency Coupling Characteristics
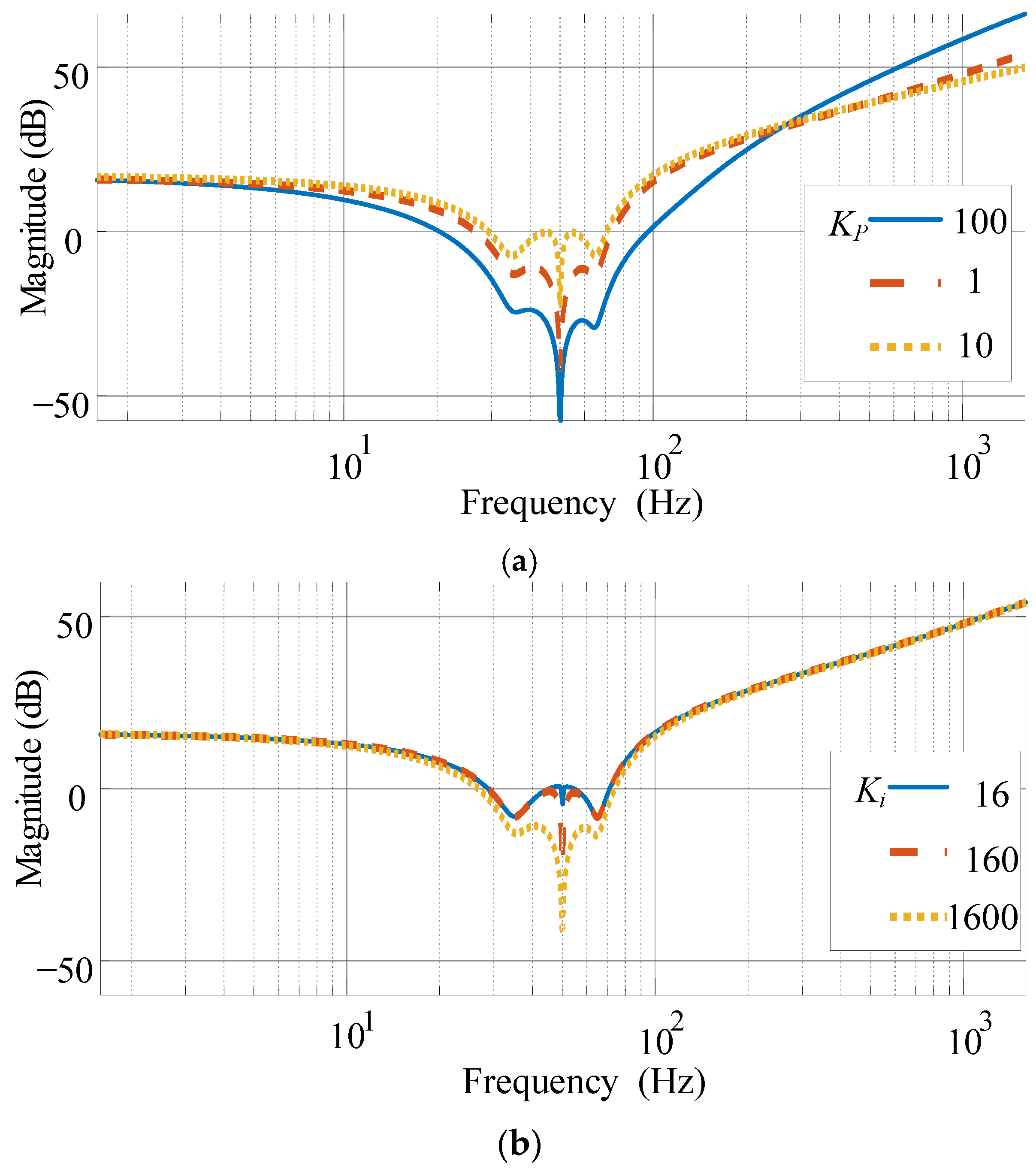
3.2.1. The Impact of PLL Parameters on the Coupling Impedance Characteristics of the Inverter
3.2.2. Impact of Current Loop Parameters on the Output Impedance Characteristics of the Inverter
3.2.3. Impact of Phase-Locked Loop Parameters on Inverter Coupling Impedance Characteristics
4. Conclusions
Author Contributions
Funding
Data Availability Statement
Conflicts of Interest
References
- Khalili, S.; Lopez, G.; Breyer, C. Role and trends of flexibility options in 100% renewable energy system analyses towards the Power-to-X Economy. Renew. Sustain. Energy Rev. 2025, 212, 115383. [Google Scholar] [CrossRef]
- da Silva, D.S.; Moraes, G.R.; Penna, L.D.; Decker, I.C.; Aquino, A.F.; Issicaba, D. Monitoring systemic dynamic effects following disturbances affecting HVDC power transmission in the BIPS using WAMS infrastructure. Electr. Power Syst. Res. 2024, 235, 110821. [Google Scholar] [CrossRef]
- Frigo, G.; Pegoraro, P.A.; Toscani, S. Tracking power system events with accuracy-based PMU adaptive reporting rate. Int. J. Electr. Power Energy Syst. 2023, 153, 109384. [Google Scholar] [CrossRef]
- Zhang, C.; Molinas, M.; Rygg, A.; Lyu, J.; Cai, X. Harmonic transfer-function-based impedance modeling of a three-phase VSC for asymmetric AC grid stability analysis. IEEE Trans. Power Electron. 2019, 34, 12552–12566. [Google Scholar] [CrossRef]
- Liu, B.; Zhang, P.; Lu, G.; Chen, X. Influence Analysis of Oscillation Harmonics in LCC-HVDC Delivery System Based on Impedance Modeling. IEEE Trans. Circuits Syst. I Regul. Pap. 2023, 70, 4194–4203. [Google Scholar] [CrossRef]
- He, B.; Chen, W.; Zhang, C.; Yuan, Y.; Zhang, C. Impedance-Based Stability of Grid-Connected DC Distribution Power Systems: AC- and DC-Side Stability Criteria, Equivalence, and Difference. IEEE J. Emerg. Sel. Top. Power Electron. 2023, 11, 5842–5852. [Google Scholar] [CrossRef]
- Qiao, Y.; Zhao, J.; Ma, J.; Zeng, Z.; Mao, L.; Qu, K. Method for frequency coupling elimination and stability enhancement of grid-connected inverters based on symmetrical PLL structure under weak grid conditions. Power Syst. Technol. 2022, 46, 3893–3901. [Google Scholar]
- Liu, Z.; Li, D.; Wang, W.; Wang, J.; Gong, D. A review of the research on the wide-band oscillation analysis and suppression of renewable energy grid-connected systems. Energies 2024, 17, 1809. [Google Scholar] [CrossRef]
- Golestan, S.; Guerrero, J.M.; Al-Turki, Y.; Abusorrah, A.M.; Vasquez, J.C. Open-loop synchronization systems for grid-tied power converters: Literature overview design considerations advantages and disadvantages. IEEE Ind. Electron. Mag. 2022, 16, 14–22. [Google Scholar] [CrossRef]
- Awal, M.A.; Cen, S.; Rachi, M.R.K.; Yu, H.; Schröder, S.; Husain, I. Modeling, Analysis, and Design for Small-Signal Stability in Sequence-Decomposed Grid-Forming Control. IEEE Trans. Ind. Appl. 2024, 60, 865–875. [Google Scholar]
- Yang, L.; Chen, Y.; Luo, A.; Chen, Z.; Zhou, L.; Zhou, X.; Wu, W.; Tan, W.; Guerrero, J.M. Effects of phase-locked loops under weak grid conditions on small disturbance modeling and stability analysis of three-phase LCL grid-connected inverters. Proc. CSEE 2018, 38, 3792–3804+4020. [Google Scholar]
- Vahabzadeh, T.; Ebrahimi, S.; Jatskevich, J. Numerical Recursive Aggregation of VSC-Based Systems Using Impedance Modeling for Stability Analysis. IEEE Open J. Ind. Electron. Soc. 2025, 6, 62–75. [Google Scholar] [CrossRef]
- Amin, M.; Molinas, M. A Gray-Box Method for Stability and Controller Parameter Estimation in HVDC-Connected Wind Farms Based on Nonparametric Impedance. IEEE Trans. Ind. Electron. 2019, 66, 1872–1882. [Google Scholar] [CrossRef]
- Chen, X.; Wang, Y.; Gong, C.; Sun, J. Overview of grid-connected inverter stability research using impedance analysis methods. Proc. CSEE 2018, 38, 2082–2094+2223. [Google Scholar]
- Zhang, X.; Yang, S.; Zheng, X.; Zhu, M. Harmonic Linearization and Stability Analysis for LCL Microgrid Inverter. In Proceedings of the IECON 2023-49th Annual Conference of the IEEE Industrial Electronics Society, Singapore, 16–19 October 2023. [Google Scholar]
- Qian, W.C.; Yin, J.; Chen, Z.A.; Huang, X.B. Improved sequential impedance modeling and stability analysis of virtual synchronous generators considering frequency coupling effects. Energy Rep. 2024, 12, 2631–2641. [Google Scholar] [CrossRef]
- Liao, Y.; Nian, H.; Li, H.; Chen, L.; Hu, B.; Li, M.; Sun, D. Small-Signal Stability Analysis of Three-Phase Four-Wire System Integrated With Single-Phase PV Inverters Considering Phase to Phase Coupling. IEEE Trans. Energy Convers. 2024, 39, 82–96. [Google Scholar] [CrossRef]
- Ma, J.; Zhao, J.; Qian, Y. Multifrequency coupling suppression and stability analysis of grid-connected inverters under non-ideal grid conditions. Electr. Power Autom. Equip. 2022, 42, 191–197. [Google Scholar]
- Wang, X.; Wen, X.; Wang, S.; Zhao, X.; Niu, C. Stability analysis of multi-parallel inverters with different control strategies based on global admittance. Electr. Power Syst. Res. 2025, 241, 111373. [Google Scholar] [CrossRef]
- Zou, Z.; Xu, R.; Tang, J.; Chen, W.; Wang, Z. Reduced-Order Symbolic Admittance Model and Stability Analysis of Grid-Connected Converters. IEEE Trans. Power Deliv. 2024, 39, 1271–1282. [Google Scholar] [CrossRef]







Disclaimer/Publisher’s Note: The statements, opinions and data contained in all publications are solely those of the individual author(s) and contributor(s) and not of MDPI and/or the editor(s). MDPI and/or the editor(s) disclaim responsibility for any injury to people or property resulting from any ideas, methods, instructions or products referred to in the content. |
© 2025 by the authors. Licensee MDPI, Basel, Switzerland. This article is an open access article distributed under the terms and conditions of the Creative Commons Attribution (CC BY) license (https://creativecommons.org/licenses/by/4.0/).
Share and Cite
Liu, Y.; Yu, H.; Wu, Q.; Wang, B.; Li, L.; Liu, W. Coupling Impedance Modeling Analysis of Grid-Connected Inverters Under Three-Phase Voltage Unbalance. Energies 2025, 18, 743. https://doi.org/10.3390/en18030743
Liu Y, Yu H, Wu Q, Wang B, Li L, Liu W. Coupling Impedance Modeling Analysis of Grid-Connected Inverters Under Three-Phase Voltage Unbalance. Energies. 2025; 18(3):743. https://doi.org/10.3390/en18030743
Chicago/Turabian StyleLiu, Yang, Haidong Yu, Qihang Wu, Bin Wang, Lisheng Li, and Wenbin Liu. 2025. "Coupling Impedance Modeling Analysis of Grid-Connected Inverters Under Three-Phase Voltage Unbalance" Energies 18, no. 3: 743. https://doi.org/10.3390/en18030743
APA StyleLiu, Y., Yu, H., Wu, Q., Wang, B., Li, L., & Liu, W. (2025). Coupling Impedance Modeling Analysis of Grid-Connected Inverters Under Three-Phase Voltage Unbalance. Energies, 18(3), 743. https://doi.org/10.3390/en18030743

