High-Frequency Model of the Toroidal Powder Core and Winding of a Litz Wire
Abstract
1. Introduction
1.1. Power Losses in Powder Magnetic Core
Estimation of Power Losses in a Powder Magnetic Core in Analytical Terms
| [mW] | hysteresis power losses in the magnetic core, | |
| [–] | Steinmetz parameter determined by the method of best fit to experimental results, | |
| f | [Hz] | frequency of the current flowing through the inductor winding, |
| [T] | the value of the amplitude of the sinusoidal waveform of magnetic induction, | |
| [cm3] | effective volume of the magnetic core, | |
| [cm] | average length of the magnetic path of the magnetic core, | |
| [cm2] | cross-sectional area of the magnetic core. |
1.2. Power Losses in Inductor Winding
Estimation of Power Losses in the Winding of Inductor with Litz Wire in Analytical Terms
1.3. Magnetic Coil Winding Dissipation Capacitance
2. Analytical Model of the Powder Alloy Inductor
2.1. Power Losses in Powder Magnetic Core
2.1.1. Determination of Total Power Losses in a Powder Alloy Toroidal Magnetic Core in Analytical Terms
2.1.2. Amplitude of Magnetic Flux Density of Inductor for Sinusoidal Inductor Voltage
| [V] | amplitude of the sinusoidal inductor voltage, | |
| [A] | amplitude of the sinusoidal inductor current, | |
| [H] | inductance of the inductor, | |
| [–] | number of turns in the layer. |
2.1.3. Magnetic Core Resistance
2.2. Power Losses in the Inductor Winding
| [W] | total power losses in the magnetic inductor winding, | |
| [W] | power losses in the winding from the DC component of the current without taking into account the effect of skin and prox., | |
| [W] | power losses in the winding from the alternating component of the current, taking into account the effect of skin and prox., | |
| [A] | average value of current (DC component) flowing through the winding, | |
| [A] | maximum value for the h-th harmonic of the winding current (alternating current component), | |
| [Ω] | resistance of the DC component of the current, | |
| [Ω] | resistance of the h-th harmonic component of the alternating current according to Formula (11). |
2.2.1. A New Method of Determining the Resistance for the Alternating Component of Sinusoidal and Deformed Current for the Winding from the Litz Wire Wound on a Toroidal Core
| h | [–] | h-th harmonic of current (), |
| type | [–] | type of wire used for the inductor winding, i.e., (Litz or Solid), |
| [–] | type = Litz—effective coefficient taking into account the interaction of the litz wire’s strands in the effective winding layers (13), type = Solid—effective coefficient taking into account the interaction of conductors in the winding layer (14), | |
| [–] | skin effect factor, | |
| [–] | proximity effect factor between effective winding layers, | |
| [–] | effective number of layers of the wound from the litz wire, | |
| [–] | number of winding layers, | |
| [–] | number of strands of the litz wire. |
| [m] | depth of current penetration, | |
| [Ω·m] | resistivity of the conductor, | |
| [–] | effective packing factor taking into account the interaction of strands in the litz wire and winding wires in the layer, | |
| [–] | packing factor of the winding wires in the layer, | |
| [–] | packing factor of the strands in the litz wire, | |
| [m] | diameter of a single strand of litz wire of the exposed wire with insulation, | |
| [m] | distance between the centers of the neighboring strands in the litz wire, | |
| [m] | outer diameter of the litz wire with insulation (Figure 1), acc. (19), | |
| [m] | the average distance between adjacent turns of the litz in the layer, | |
| [rad] | unwound part of the toroid (Figure 2b), | |
| [m] | effective toroid diameter (Figure 2a), acc. (34a). |
| [m] | diameter of a solid wire with a circular cross-section without insulation, | |
| [–] | effective full wire packing factor on the toroid arc, | |
| [m] | average distance between adjacent turns of an unbraided solid wire. |
2.2.2. Transformation of the Litz Wire to Solid Wire

| [m] | the thickness of the insulation of the single core of which the litz wire is composed, | |
| [m] | thickness of the insulation of the litz wire, | |
| [–] | dielectric permittivity of a single core of the litz wire, | |
| [–] | dielectric permittivity of the insulation of the litz wire. |
2.2.3. Resistance for the DC Component of the Current
| [m] | length of the winding wire with a circular cross-section, | |
| [m2] | cross-sectional area of a solid wire with a diameter (Figure 2b). |
| [m] | length of the litz wire taking into account the effect of twisting, | |
| [m2] | cross-sectional area of the litz wire with diameter (Figure 1 and Figure 2b). |
2.2.4. A New Way to Calculate the Length of the Winding Conductor and a Single Turn of the Single-Layer Winding

| [m] | length of the litz-wire twisting, | |
| [m] | length of one strand of the litz wire corresponds to one twist. |
| [m] | denotes the height of a single turn, | |
| [m] | the width of the coil determined between the axes of the wire, | |
| [m] | correction taking into account the radius of the core edge (27), | |
| [m] | core height (Figure 2a,c), | |
| [m] | radius of the insulation winding wire with insulation (Figure 1 and Figure 2b), | |
| [m] | inner radius of the toroid (Figure 2a), | |
| [m] | outer radius of the toroid (Figure 2a), | |
| [m] | inner radius of the toroid minus the winding wire radius (Figure 2b), | |
| [m] | inner radius of the toroid increased by the radius of the winding wire (Figure 2b). |
| [rad] | part of the core used for winding (Figure 2b), | |
| [rad] | part of the core not used for winding (Figure 2b), | |
| [m] | effective core radius (Figure 2a). |
| [m] | is the distance on which the tightly wound winding is made. |
| [m] | average distance between adjacent ganglia distributed in a layer on the toroid, | |
| [m] | inner diameter of the toroid, | |
| [m] | outer diameter of the toroid, | |
| [m] | effective diameter of the toroid. |
2.3. Model of Magnetic Coil Winding in Analytic Terms
| [Ω] | equivalent coil resistance is the sum of and , | |
| [Ω] | total series resistance of the coil, | |
| [Ω] | total series reactance of the coil, | |
| [rad/sec] | pulsation of the coil. |
| [F/m] | permittivity of vacuum , | |
| [–] | relative permittivity of the dielectric, which is the de facto insulating material of the winding, | |
| [mm2] | surface area of the equivalent flat capacitor, | |
| [mm] | length of a single coil in the layer, | |
| [mm] | height of the core covered with the winding, | |
| [mm] | distance between the turns in the layer, | |
| [mm] | effective (equivalent) distance between the plates of the flat capacitor, | |
| [mm] | distance between the winding layers determined between the axes of the wires, | |
| [mm] | distance between the turns in the layer determined between the axes of the wires, | |
| [mm] | coating thickness of the winding insulation material. |
3. Results of Analytical Calculations
3.1. Estimation of the Accuracy of the Proposed Method of Determining the Resistance Increase Factor for the Winding Made with a Litz Wire on a Toroid. Influence of Angle on the Value of the Resistance Increase Factor for a Winding Made with a Litz Wire on a Toroid
3.2. Influence of the Number of Layers on the Value of the Resistance Increase Factor for the Winding Made with a Litz Wire or Solid-Round Wire Wound on a Toroidal Core
3.3. Influence of the Magnetic Core and the Type of Wire Winding Wire on the Value of the Resistance Increase Factor for the Winding Made with a Litz Wire on a Toroid
3.4. Estimation of Self-Capacitance in a Toroid-Shaped Magnet Coil with a Single-Layer Winding Made of Litz Wire
3.5. Summary
- Type and geometry of the winding conductor from which the winding will be made;
- The type of magnetic material from which the magnetic core is made;
- The geometry of the magnetic core, i.e., its shape and dimensions;
- Winding method;
- The shape of the current flowing through the winding;
- The number of winding layers.
4. Experimental Verification of Inductor Parameters
4.1. Comparison of the Self-Capacitance of the Inductor Determined from the Model with the Value Determined from the Experiment
| [–] | magnetic permeability of the Micrometals powder core for any frequency of converter operation, | |
| [–] | magnetic permeability of the Micrometals powder core [70] at the converter operating frequency of 500 kHz, | |
| [H] | inductor inductance at a given frequency, | |
| [H] | inductor inductance resulting from the frequency of converter operation, | |
| [–] | parameters determined by the best fit to the experimental results. |
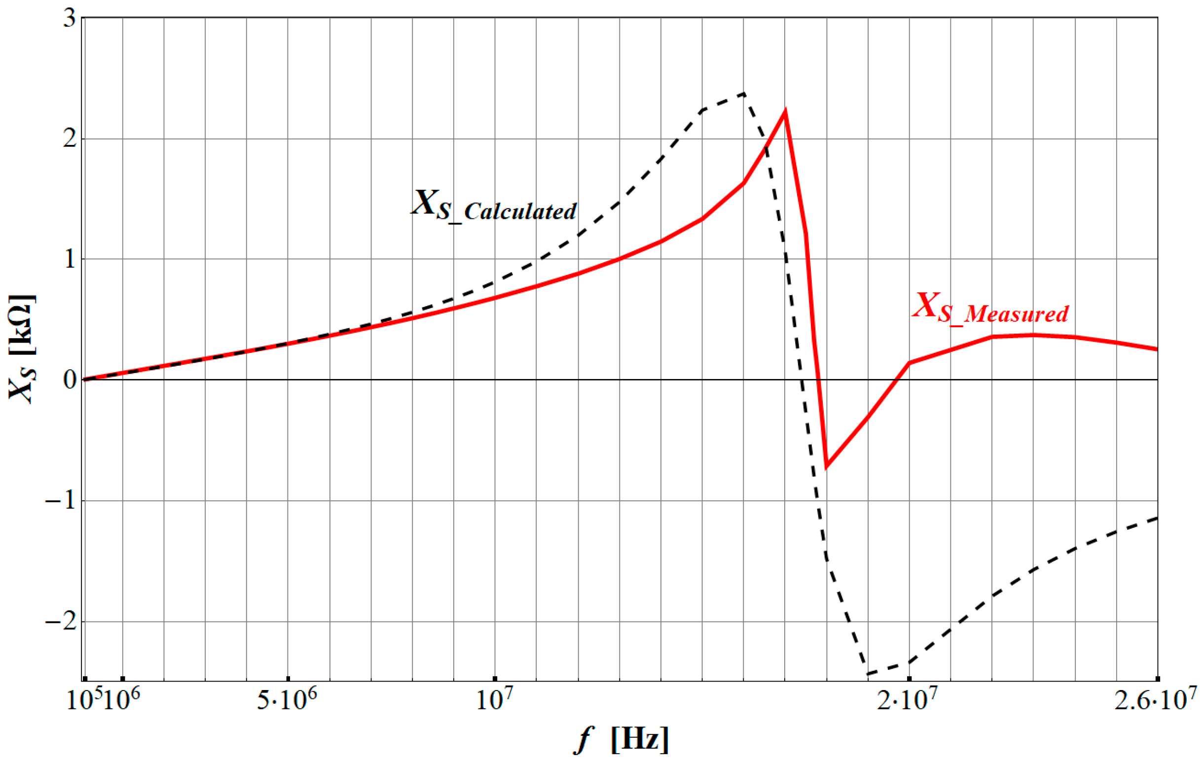
4.2. Comparison of the Equivalent Coil Resistance Determined from the Model and Measured
5. Conclusions
Author Contributions
Funding
Data Availability Statement
Conflicts of Interest
References
- Chen, M.; Poor, V.H. High Frequency Power Electronics at the Grid Edge: A Bottom Up Approach towards the Smart Grid. IEEE Electrif. Mag. 2020, 8, 6–17. [Google Scholar] [CrossRef]
- Nicieza, L. The Supply Chain for Magnetics APEC 2022. Available online: https://www.psma.com/sites/default/files/uploads/node/7179/IS01.6.pdf (accessed on 10 May 2023).
- Yuchuan, L.; Abdelrahman, E.; Yudi, X.; Rafael, P.A.; Min, Z.; Weijia, Y.; Alfonso, J.C.F.; Lukas, G. Review of semiconductor devices and other power electronics components at cryogenic temperature. Energy 2024, 3, 95–107. [Google Scholar]
- Nowak, M.; Barlik, R.; Rąbkowski, J. Power Electronics Engineer’s Handbook; WNT Publishing House: Warsaw, Poland, 2014; Volume 2. [Google Scholar]
- Perreault, D. In search of Powerful Circuits: Developments in Very High Frequency Power Conversion; Massachusetts Institute of Technology, Laboratory for Electromagnetic and Electric Systems: 2014. Available online: https://www.scribd.com/document/572641623/David-Perreault-Slide-Presentation (accessed on 11 May 2023).
- Perreault, D. Opportunities, Progress and Challenges in High-Frequency Power Conversion, APEC 2024. Available online: https://apec-conf.org/wp-content/uploads/2024/05/David-Perreault_-Opportunities-Progress-and-Challenges-in-High-Frequency-Power-Conversion.pdf (accessed on 20 April 2024).
- Steinmetz, C.P.; Note on the Law of Hysteresis. Electrical Engineer, No. 137, 1890. Available online: https://edlab.wdfiles.com/local--files/pionering-papers/Steinmetz_1892.pdf (accessed on 21 April 2019).
- Steinmetz, C.P. On the Law of Hysteresis. Proc. IEEE Eng. 1984, 72, 197–221. [Google Scholar] [CrossRef]
- Bozorth Richard, M. Ferromagnetism. Princeton, D. Van Nostrand Company, Inc., 1951. Available online: https://archive.org/details/in.ernet.dli.2015.140821/page/n19/mode/2up (accessed on 5 March 2019).
- Graham, C.D. Physical origin of losses in conducting ferromagnetic materials invited. J. Appl. Phys. 1982, 53, 8276–8280. [Google Scholar] [CrossRef]
- Christopher, G.O. Powder Core Materials for Magnetic Components in GaN and SiC Power Devices, APEC 2016. Available online: https://www.psma.com/sites/default/files/uploads/tech-forums-magnetics/presentations/is96-powder-core-materials-magnetic-components-gan-and-sic-power-devices.pdf (accessed on 22 July 2019).
- Christopher, G.O. New Materials and Design Tools for Magnetic Materials Suitable for GaN and SiC Switching Frequencies, APEC 2017. Available online: https://www.psma.com/sites/default/files/uploads/tech-forums-magnetics/presentations/is12-new-materials-and-design-tools-magnetic-materials-suitable-gan-and-sic-switching-frequencies.pdf (accessed on 6 March 2019).
- Swihart, A.M. New and Modified Alloy Powder Core Materials. APEC 2019 Industry Session–Hihg Frequency Magnetic. Available online: https://www.psma.com/sites/default/files/IS01.6%20New%20and%20Modified%20Alloy%20Powder%20Core%20Materials.pdf (accessed on 22 September 2020).
- Rine, M. Materials Magic–Nanocrystalline, Amorphous and Powdered Amorphous Cores, APEC 2019. Available online: https://www.psma.com/sites/default/files/IS01.7%20Materials%20Magic%20%E2%80%93%20Nanocrystalline,%20Amorphous%20and%20Powdered%20Amorphous%20Cores.pdf (accessed on 22 September 2020).
- Jiang, C.; Li, X.; Ghosh, S.S.; Zhao, H.; Shen, Y.; Long, T. Nanocrystalline Powder Cores for High-Power High-Frequency Power Electronics Applications. IEEE Trans. Power Electron. 2020, 35, 10821–10830. [Google Scholar]
- Li, Z.; Han, W.; Xin, Z.; Liu, Q.; Chen, J.; Loh, P.C. A Review of Magnetic Core Materials, Core Loss Modeling and Measurements in High-Power High-Frequency Transformers. CPSS Trans. Power Electron. Appl. 2022, 7, 359–373. [Google Scholar] [CrossRef]
- He, J.; Yuan, H.; Nie, M.; Guo, H.; Yu, H.; Liu, Z.; Sun, R. Soft magnetic materials for power inductors: State of art and future development. Materials Today Electronics 2023, 6, 100066. [Google Scholar] [CrossRef]
- Reinert, J.; Brockmeyer, A.; De Doncker, W.R. Calculation of Losses in Ferro- and Ferrimagnetic Materials Based on the Modified Steimetz Equation. In Proceedings of the IEEE Industry Applications Conference, Phoenix, AZ, USA, 3–7 October 1999. [Google Scholar]
- Venkatachalam, K.; Sullivan, R.C.; Abdallah, T.; Tacca, H. Accurate Prediction of Ferrite Core Loss with Nonsinusoidal Waveforms Using Only Steinmetz Parameters. In Proceedings of the IEEE Workshop on Computers in Power Electronics, Mayaguez, PR, USA, 3–4 June 2002. [Google Scholar]
- Van den Bossche, A.; Valchev, C.V.; Georgiev, B.G. Measurement and Loss Model of Ferrites with Non-sinusoidal Waveforms. In Proceedings of the IEEE Power Electronics Specialists Conference, Aachen, Germany, 20–25 June 2004. [Google Scholar]
- Olivier, C.G. Measurement and modeling core loss powder core materials. Micrometals. 2012. Available online: https://www.psma.com/sites/default/files/uploads/tech-forums-magnetics/presentations/2012-apec-131b-measurement-and-modeling-core-loss-powder-core-materials.pdf (accessed on 11 September 2019).
- Muller, L. Design Supplement I: Steinmetz Coefficients. Micrometals. 2023. Available online: https://www.micrometals.com/design-and-applications/literature/ (accessed on 2 March 2024).
- Liu, X.; Wang, Y.; Zhu, J.; Guo, Y.; Lei, G.; Liu, C. Calculation of core loss and copper loss in amorphous nanocrystalline core-based high-frequency transformer. AIP Adv. 2016, 6, 055927. [Google Scholar] [CrossRef]
- Rodriguez-Sotelo, D.; Rodriguez-Licea, A.M.; Araujo-Vargas, I.; Prado-Olivarez, J.; Barranco-Gutiérrez, A.-I.; Francisco, J.; Perez-Pinal, J.F. Power Losses Models for Magnetic Cores: A Review. Micromachines 2022, 13, 418. [Google Scholar] [CrossRef]
- Butterworth, S. Eddy Current Losses in Cylindrical Conductors, with Special Applications to the Alternating Resistances of Short Coils. Philos. Trans. R. Soc. Lond. Ser. A Contain. Pap. A Math. Or Phys. Character 1922, 222, 57–100. [Google Scholar]
- Wheeler, A.H. Formulas for the Skin Effect. Proc. IRE 1942, 30, 412–424. [Google Scholar] [CrossRef]
- Dowell, P.L. Effects of eddy currents in transformer windings. Proc. IEE 1966, 113, 1–16. [Google Scholar] [CrossRef]
- Dixon, J.H. Eddy Current Losses in Transformer Windings and Circuit Wiring; Texas Instruments Incorporated: Dallas, TX, USA, 2003. [Google Scholar]
- Bartoli, M.; Reatti, A.; Kazimierczuk, M.K. High-Frequency Models of Ferrite Core Inductors. In Proceedings of the IECON’94—20th Annual Conference of IEEE Industrial Electronics, Bologna, Italy, 5–9 September 1994. [Google Scholar]
- Kazimierczuk, M.K.; Hiroo, S. Design of AC Resonant Inductors Using Area Product Method. In Proceedings of the IEEE Energy Convwersion Congress and Exposition, San Jose, CA, USA, 20–24 September 2009. [Google Scholar]
- Cheng, K.W.E.; Evans, P.D. Calculation of winding losses in high-frequency toroidal inductors using single strand conductors. IEE Proc. Electr. Power Appl. 1994, 141, 52–62. [Google Scholar] [CrossRef]
- Cheng, K.W.E.; Evans, P.D. Calculation of winding losses in high frequency toroidal inductors using multiistrand conductors. IEEE Proc. Electr. Power Appl. 1995, 142, 313–322. [Google Scholar] [CrossRef]
- Murthy-Bellur, D.; Kazimierczuk, M.K. Harmonic winding loss in buck DC–DC converter for discontinuous conduction. IET Power Electron. 2010, 3, 740–754. [Google Scholar] [CrossRef]
- Wojda, R.P.; Kazimierczuk, M.K. Winding resistance of litz-wire and multi-strand inductors. IET Power Electron. 2012, 5, 257–268. [Google Scholar] [CrossRef]
- Wojda, P.R. Winding Resistance and Power Loss for Inductors With Litz and Solid-Round Wires. In Proceedings of the IEEE International Power Electronics and Motion Control Conferene, Hefei, China, 22–26 May 2016. [Google Scholar]
- Wojda, P.R.; Kazimierczuk, K.M. Winding Resistance and Power Loss of Inductors With Litz and Solid-Round Wires. IEEE Trans. Ind. Appl. 2018, 54, 3548–3557. [Google Scholar] [CrossRef]
- Shuqin, G.; Menghao, C.; Wensi, W.; Peiyuan, W.; Xiaohong, P.; Hang, L.; Pengkun, L. Modelling and optimization of winding resistance for litz wire inductors. IET Power Electron. 2021, 14, 1834–1843. [Google Scholar]
- Elizondo, D.; Barrios, L.E.; Ursua, A.; Sanchis, P. Analytical Modeling of High-Frequency Winding. IEEE Trans. Ind. Electron. 2021, 70, 5581–5591. [Google Scholar] [CrossRef]
- Reddy, B.P.; Jahns, M.T. Transposition effects on bundle proximity losses in high-speed PM machines. In Proceedings of the IEEE Energy Conversion Congress and Exposition, San Jose, CA, USA, 20–24 September 2009. [Google Scholar]
- Plumed, E.; Acero, J.; Lope, I.C.; Carretero, C. 3D Finite Element Simulation of Litz Wires with Multilevel Bundle Structure. In Proceedings of the Annual Conference of the IEEE Industrial Electronics Society, Washington, DC, USA, 21–23 October 2018. [Google Scholar]
- Panchal, J.; Antti Lehikoinen, A.; Paavo Rasilo, P. Efficient finite element modelling of litz wires in toroidal inductors. IET Power Electron. 2021, 14, 2610–2619. [Google Scholar] [CrossRef]
- Cruciani, S.; Campi, T.; Maradei, F.; Felizia, M. Modeling of a Litz Wire with Perfect Strand Pattern. In Proceedings of the International Conference on Embedded and Multimedia Computing, Taipei City, Taiwan, 18–22 July 2022. [Google Scholar]
- David, E.; Ernesto, L.B.; Alfredo, U.; Pablo, S. Analytical Modeling of High-Frequency Winding Loss in Round-Wire Toroidal Inductors. IEEE Trans. Ind. Electron. 2023, 70, 5581–5591. [Google Scholar]
- Um, D.Y.; Chae, S.A.; Park, G.S. AC winding resistance calculations of Toroidal Inductors with Solid-Round-Wire and Litz-Wire Winding. Machines 2024, 12, 228. [Google Scholar] [CrossRef]
- Zhang, Y.R.; White, K.J.; Sullivan, R.C. Real litz wire characterization using fast numerical simulations. In Proceedings of the IEEE Applied Power Electronics Conference and Exposition–APEC, Fort Worth, TX, USA, 16–20 March 2014. [Google Scholar]
- Roskopf, A.; Bar, E.; Joffe, C.; Bonse, C. Calculation of power losses in litz wire systems by coupling FEM and PEEC method. IEEE Trans. Power Electron. 2016, 31, 6442–6449. [Google Scholar] [CrossRef]
- Guillod, T.; Huber, J.; Krismer, F.; Kolar, W.J. Litz wire losses: Effects of twisting imperfections. In Proceedings of the Workshop on Control and Modeling for Power Electronics (COMPEL), Stanford, CA, USA, 9–12 July 2017. [Google Scholar]
- Ehrlich, S.; Rossmanith, H.; Sauer, M.; Joffe, C.; März, M. Fast Numerical Power Loss Calculation for High-Frequency Litz Wires. IEEE Trans. Power Electron. 2021, 36, 2018–2032. [Google Scholar] [CrossRef]
- Sullivan, R.C. Computationally efficient winding loss calculation with multiple windings, arbitrary waveforms, and two-dimensional or three-dimensional field geometry. IEEE Trans. Power Electron. 2001, 16, 142–150. [Google Scholar] [CrossRef]
- Liu, J.; Deng, Q.; Czarkowski, D.; Kazimierczuk, K.M.; Zhou, H.; Hu, W. Frequency optimization for inductive power transfer based on ac resistance evaluation in litz-wire coil. IEEE Trans. Power Electron. 2019, 34, 2355–2363. [Google Scholar] [CrossRef]
- Meng, Q.; Biela, J. Survey and Comparison of 1D/2D Analytical Models of HF Losses in Litz Wire; ETH Library: Zurich, Switzerland, 2020. [Google Scholar]
- Snelling, C.E. Soft-ferrites. Properties and Applications; Iliffe Books Ltd.: London, UK, 1969. [Google Scholar]
- Weber, S.; Schinkel, M.; Guttowski, S.; John, W.; Reichl, H. Calculating Parasitic Capacitance of Three-Phase Common-Mode Chokes. Proceedings of PCIM Europe, Nuremberg, 2005. Available online: http://www.stefan-peter-weber.de/publikationen/pcim05.pdf (accessed on 31 January 2025).
- Weber, S. Effizienter Entwurf von EMV-Filtern für leistungselektronische Geräte unter Anwendung der Methode der partiellen Elemente; Elektrotechnik und Informatik der Technischen Universität: Berlin, Germany, 2007. [Google Scholar]
- Biela, J.; Kolar, W.J. Using Transformer Parasitics for Resonant Converters—A Review of the Calculation of the Stray Capacitance of Transformers. IEEE Trans. Ind. Appl. 2008, 44, 223–233. [Google Scholar] [CrossRef]
- Djukic, N.; Encica, L.; Paulides, J.H.J. Overview of Capacitive Couplings in Windings. In Proceedings of the Tenth International Conference on Ecological Vehicles and Renewable Energies, Monte Carlo, Monaco, 31 March–2 April 2015. [Google Scholar]
- Zdanowski, M. Multi-Branch High-Frequency DC/DC Converter with SiC Connectors and Magnetic Elements with Reduced Parasitic Capacitance. Ph.D. Dissertation, Warsaw, Poland, 2015. [Google Scholar]
- Grandi, G.; Kazimierczuk, M.K.; Massarini, A.; Reggiani, U. Stray Capacitances of Single-Layer Air-Core Inductors for High-Frequency Applications. In Proceedings of the IEEE Industry Applications Conference Thirty-First IAS Annual Meeting, San Diego, CA, USA, 6–10 October 1996. [Google Scholar]
- Grandi, G.; Kazimierczuk, M.K.; Massarini, A.; Reggiani, U. Stray Capacitances of Single-Layer Solenoid Air-Core Inductors. IEEE Trans. Ind. Appl. 1999, 35, 1162–1168. [Google Scholar] [CrossRef]
- Massarini, A.; Kazimierczuk, M.K.; Grandi, G. Lumped Parameter Models for Single and Multiple-Layer Inductors. In Proceedings of the IEEE Power Electronics Specialists Conference, Baveno, Italy, 23–27 June 1996. [Google Scholar]
- Massarini, A.; Kazimierczuk, M.K. Self-Capacitance of Inductors. IEEE Trans. Power Electron. 1997, 12, 671–676. [Google Scholar] [CrossRef]
- Dalessandro, L.; Cavalcante, F.; da Silveira Kolar, W.J. Self Capacitance of High Voltage Transformers. IEEE Transactions on Power Electronics 2007, 22, 2081–2092. [Google Scholar] [CrossRef]
- Prieto, R.; Cobos, J.A.; Bataller, V.; Garcia, O.; Ucedci, J. Study of toroidal transformers by means of 2D approaches. In Proceedings of the Annual IEEE Conference on Power Electronics Specialists (PESC), St. Louis, MO, USA, 27 June 1997. [Google Scholar]
- Alkraimeen, Y.; Gomez, P. On the computation of frequency-dependent core and proximity effects for transient analysis of transformer windings. IEEE Trans. Power Del. 2019, 34, 891–898. [Google Scholar] [CrossRef]
- Hashimoto, K.; Okuda, T.; Hikihara, T. Investigation of effect of stray capacitances in air-core toroidal transformer at high-frequency oscillation based on internal magnetic flux density. In Proceedings of the IEEE International Symposium on Circuits and Systems (ISCAS), Seville, Spain, 12–14 October 2020. [Google Scholar]
- Elektrisola.com. Available online: https://www.elektrisola.com/en/Litz-Wire/Info#filling-factors (accessed on 11 May 2022).
- Reatti, A.; Grasso, F. Solid and Litz-Wire Winding Non-linear Resistance Comparison. In Proceedings of the 43rd IEEE Midwest Symposium on Circuits and Systems, Lansing, MI, USA, 8–11 August 2000. [Google Scholar]
- Koch, J. Berechnung der Kapazität von Spulen, insbesondere in Schalenkernen. Volvo Berichte 1968, 14, 99–119. [Google Scholar]
- Pawlak, M. Modeling of Boost DC/DC Pulse Converter with Regard of Conduction Power Losses for Continuous Current Mode. Struct. Environ. 2012, 4, 27–35. [Google Scholar]
- Micrometals.com. Micrometals Arnold Powder Cores, Part Number: MS-157026-2. Available online: https://datasheets.micrometals.com/MS-157026-2-DataSheet.pdf (accessed on 19 September 2024).
- PackLitzWire.com. Available online: https://www.packlitzwire.com (accessed on 11 May 2023).
- Microtest.com.tw or Twe.eu. User Manual, Precision LCR Meter 6630, Version: V1.37, 2022. Available online: https://www.tme.eu/Document/429e477643b646b97d52c99f1cd40957/6630-INS.pdf (accessed on 11 February 2023).















| Number of Layers Winding | The Beginning of the Second Winding Layer is Located at the Beginning of the First | The Beginning of the Second Winding Layer Located at the End of the First |
|---|---|---|
| by Dependency (45) | by Dependency (46) | |
| 1 | ||
| 2 | ||
| 3 | ||
| … | … | … |
| 10 | ||
| Number of Turns in a Layer | Self-Capacitance of a Single-Layer Coil Inductor |
|---|---|
| 2 | 2·Ctt |
| 3 | 1.5·Ctt |
| 4 | 1.4·Ctt |
| 5 | 1.375·Ctt |
| 6 | 1.368·Ctt |
| 7 | 1.3667·Ctt |
| 8 | 1.3662·Ctt |
| 9 | 1.36607·Ctt |
| 10 | 1.36604·Ctt |
| … | … |
| 100 | 1.36603·Ctt |
| Toroidal Core MS-157026-2 | ||||||||
|---|---|---|---|---|---|---|---|---|
| Parameters Read from Data Sheets | ||||||||
| – | ||||||||
| [mm] | [mm] | [mm] | – | [cm] | [cm2] | [cm3] | [cm] | |
| 40.69 | 23.32 | 15.37 | – | 9.85 | 1.072 | 10.557 | 5.98 | |
| Measured Parameters | Parameters Determined | |||||||
| [mm] | [mm] | [mm] | [mm] | – | – | – | [cm] | [cm] |
| 40.30 | 23.32 | 14.80 | 1.30 | – | – | – | 5.03 | 5.18 |
| Bobbin winding wound with a solid wire with a circular cross-section | |||||||||||
| – | – | ||||||||||
| – | [mm] | – | – | [mm] | [°] | [cm] | [cm] | [cm] | [cm] | [mΩ] | |
| 1 | 2.10 | – | – | 1.3 | – | 4.99 | 82.44 | 16 | 98.44 | 5.402 | |
| Winding on a toroid wound with a solid wire with a circular cross-section | |||||||||||
| – | – | ||||||||||
| – | [mm] | – | – | [mm] | [°] | [cm] | [cm] | [cm] | [cm] | [mΩ] | |
| 1 | 2.10 | – | – | 1.3 | 0 | 5.03 | 82.96 | 16 | 98.96 | 5.431 | |
| Bobbin winding wound with a a litz wire with a circular cross-section | |||||||||||
| – | [mm] | – | [mm] | [mm] | [°] | [cm] | [cm] | [cm] | [cm] | [cm] | [mΩ] |
| 20 | 2.56 | 400 | 0.1 | 1.3 | – | 5.15 | 85.02 | 16 | 101.02 | 108.43 | 5.950 |
| Winding on a toroid wound with a litz wire with a circular cross-section | |||||||||||
| – | [mm] | – | [mm] | [mm] | [°] | [cm] | [cm] | [cm] | [cm] | [cm] | [mΩ] |
| 20 | 2.56 | 400 | 0.1 | 1.3 | 0 | 5.18 | 85.49 | 16 | 101.49 | 108.93 | 5.978 |
| Litz Wire | Multi-Strand Wire (Square Cross-Sectional Area of a Wire and Him Strands) | ||||||
|---|---|---|---|---|---|---|---|
| BEFORE THE TRANSFORMATION | [–] | 400 | AFTER THE TRANSFORMATION | [–] | 400 | ||
| [–] | 1.085 | – | – | – | |||
| [mm] | 0.1 | – | 0.0886 | ||||
| [mm] | 0.009 | [mm] | 0.0079 | ||||
| [mm] | 0.118 | [mm] | 0.1045 | ||||
| [–] | 1.00 | [–] | 0.9074 | ||||
| [mm] | 0.04 | [mm] | 0.107 | ||||
| [mm] | 2.60 | [mm] | 2.304 | ||||
| [mm2] | π | [mm2] | π | ||||
| Pre-Transformation: Litz Wire— | ||||||||||||
| AWG Strand | AWG Litz | |||||||||||
| [–] | [–] | [–] | [mm] | [mm] | [mm] | [–] | [mm] | [–] | [mm] | [–] | [mm] | [–] |
| 38 | 400 | 1.085 | 0.1 | 0.009 | 0.118 | 3.3 | 2.00 | 1.00 | 0.04 | 1.4 | 2.60 | 10 |
| After the Transformation: Solid-Round Wire— | ||||||||||||
| – | – | AWG Solid | ||||||||||
| [mm] | [mm] | [–] | [mm] | [–] | ||||||||
| 2.00 | 0.30 | 1.566 | 2.60 | 10 | ||||||||
| Number of winding layers | [–] | 1 | |
| Number of turns in a layer | [–] | 16 | |
| Unwound part of the toroid | [rad] | 0 | |
| Outer diameter of wire after transformation with insulation | [mm] | 2.60 | |
| Inner diameter of wire after transformation without insulation | [mm] | 2.00 | |
| Distance of the first layer of winding from the core | [mm] | 1.50 | |
| Winding coated core height | [mm] | 99.93 | |
| Length of coil in layer | [mm] | 51.70 | |
| Distance of turns in layer | [mm] | 6.246 | |
| Equivalent dielectric permittivity of wire after transformation | [–] | 1.566 | |
| Effective surface area of capacitor plates | [mm2] | 5166.59 | |
| Effective distance of capacitor plates | [mm] | 2.438 | |
| Capacitance between the first winding layer and the core | [pF] | 29.379 | |
| Inductor self-capacity | [pF] | 9.793 |
| Number of winding layers | [–] | 1 | |
| Number of turns in a layer | [–] | 16 | |
| Unwound part of the toroid | [rad] | 0 | |
| Outer diameter of wire after transformation with insulation | [mm] | 2.60 | |
| Inner diameter of wire after transformation without insulation | [mm] | 2.00 | |
| Distance of the first layer coils from the core | [mm] | 1.50 | |
| Winding coated core height | [mm] | 99.93 | |
| Diameter of a single turn | [mm] | 29.65 | |
| Distance of turns in layer | [mm] | 6.246 | |
| Equivalent dielectric permittivity of wire after transformation | [–] | 1.566 | |
| Equivalent insulation thickness of the wire after transformation | [mm] | 0.30 | |
| Capacity between turns in the first layer | [pF] | 1.435 | |
| Capacitance between the first winding layer and the core | [pF] | 3.068 | |
| Inductor self-capacity | [pF] | 2.066 |
| Number of winding layers | [–] | 1 | |
| Number of turns in a layer | [–] | 16 | |
| Unwound part of the toroid | [rad] | 0 | |
| Outer diameter of wire after transformation with insulation | [mm] | 2.60 | |
| Inner diameter of wire after transformation without insulation | [mm] | 2.00 | |
| Distance of the first layer coils from the core | [mm] | 1.50 | |
| Winding coated core height | [mm] | 99.93 | |
| Diameter of a single turn | [mm] | 29.65 | |
| Distance of turns in layer | [mm] | 6.246 | |
| Equivalent dielectric permittivity of wire after transformation | [–] | 1.566 | |
| Equivalent insulation thickness of the wire after transformation | [mm] | 0.30 | |
| Capacity between turns in the first layer | [pF] | 7.443 | |
| Capacitance between the first winding layer and the core | [pF] | 2.682 | |
| Inductor self-capacity | [pF] | 1.645 |
| Measurement | Inductor Winding Model | ||||
|---|---|---|---|---|---|
| Equation | (39) | (43)–(43a) | (47)–(48) | (49)–(50) | |
| Inductor self-capacity—CS | [pF] | 10.4056 | 9.793 | 2.066 | 1.645 |
| Normalized error—|ɛ| | [%] | – | 5.89 | 80.145 | 84.191 |
Disclaimer/Publisher’s Note: The statements, opinions and data contained in all publications are solely those of the individual author(s) and contributor(s) and not of MDPI and/or the editor(s). MDPI and/or the editor(s) disclaim responsibility for any injury to people or property resulting from any ideas, methods, instructions or products referred to in the content. |
© 2025 by the authors. Licensee MDPI, Basel, Switzerland. This article is an open access article distributed under the terms and conditions of the Creative Commons Attribution (CC BY) license (https://creativecommons.org/licenses/by/4.0/).
Share and Cite
Pawlak, M.; Pawlak, U. High-Frequency Model of the Toroidal Powder Core and Winding of a Litz Wire. Energies 2025, 18, 713. https://doi.org/10.3390/en18030713
Pawlak M, Pawlak U. High-Frequency Model of the Toroidal Powder Core and Winding of a Litz Wire. Energies. 2025; 18(3):713. https://doi.org/10.3390/en18030713
Chicago/Turabian StylePawlak, Marcin, and Urszula Pawlak. 2025. "High-Frequency Model of the Toroidal Powder Core and Winding of a Litz Wire" Energies 18, no. 3: 713. https://doi.org/10.3390/en18030713
APA StylePawlak, M., & Pawlak, U. (2025). High-Frequency Model of the Toroidal Powder Core and Winding of a Litz Wire. Energies, 18(3), 713. https://doi.org/10.3390/en18030713
