Dynamic Effect of the Delayed Neutron Precursor Distribution on System Safety Analysis in Liquid-Fueled Molten Salt Reactor
Abstract
1. Introduction
2. Method
2.1. RELAP5
- (1)
- The addition of two-point reactor kinetics models for liquid-fueled MSRs: the volume ratio model and the decay model.
- (2)
- The integration of a special fifth-order Runge–Kutta solver to resolve delay differential equations, which are used to compute the point reactor kinetics models of liquid-fueled MSRs.
- (3)
- The inclusion of internal heat source terms, based on the original RELAP5 equations, alongside the addition of control volumes with internal heat sources to address the thermal fluid dynamics of liquid-fueled MSRs with internal heat sources.
- (4)
- The establishment of empirical correlations for forced convection heat transfer within the Prandtl number range of 0.5 < Pr < 100, as well as the definition of corresponding input card formats. This allows users to modify the parameters of the correlations via input cards to customize the forced convection heat transfer correlations.
- (5)
- The introduction of gas phase property parameters for molten salts and the alteration of the associated calculation procedures to address the software’s inability to compute the interaction between non-condensing gas and flowing molten salts.
- (6)
- The extension of the 1-D DNP transport model, enabling the software to conduct DNP transport computations in the primary loop of liquid-fueled MSRs. This further broadens the point reactor model and enhances the precision of transient analysis and safety assessment for liquid-fueled MSRs.
2.2. Neutron Kinetics Model
3. Results and Analysis
3.1. Description of MSBR
3.2. Modeling of MSBR
- (1)
- Modeling only one quarter of the reactor core;
- (2)
- Modeling a single primary heat exchanger;
- (3)
- Modeling only one of the four secondary loops and consolidating the four steam generators within that loop into a single unit.
3.3. Steady-State Analysis
3.4. Transient Analysis
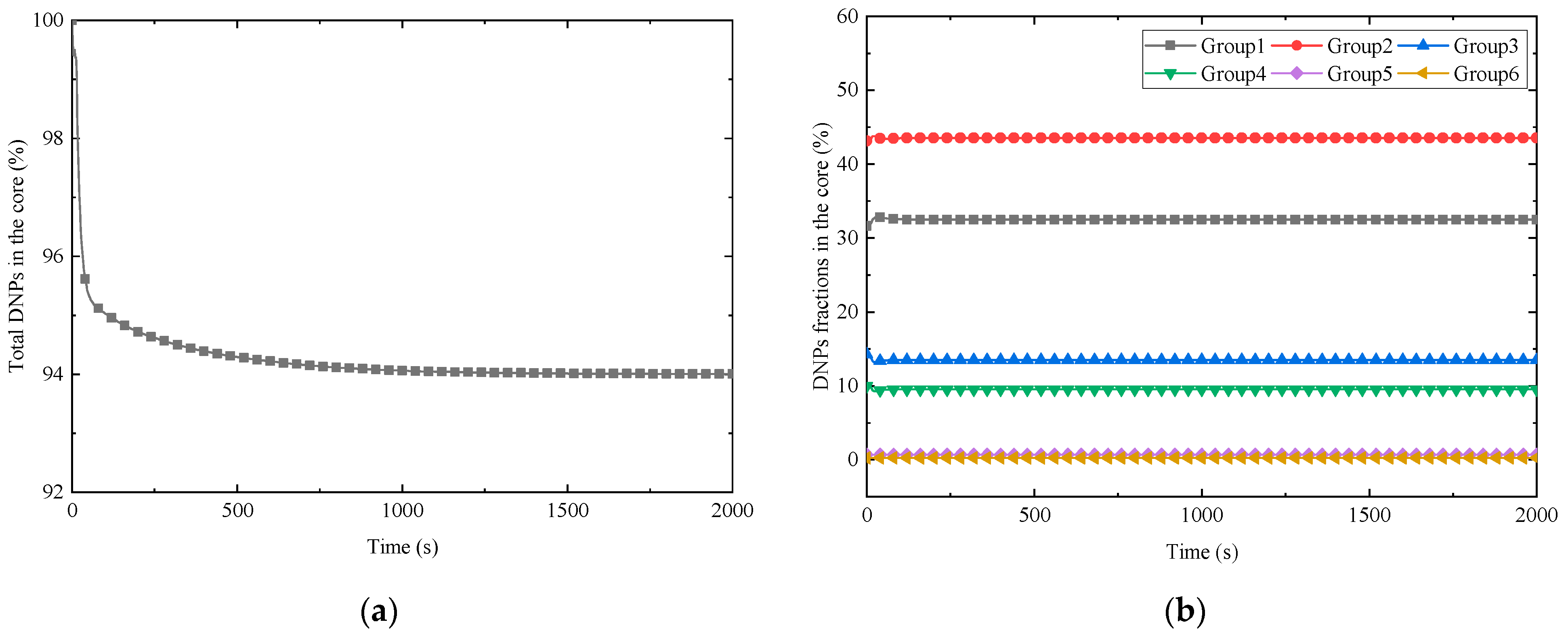
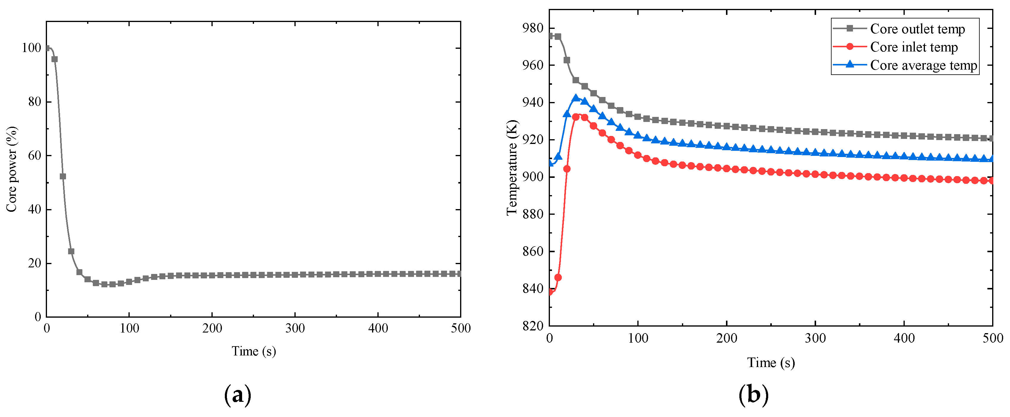
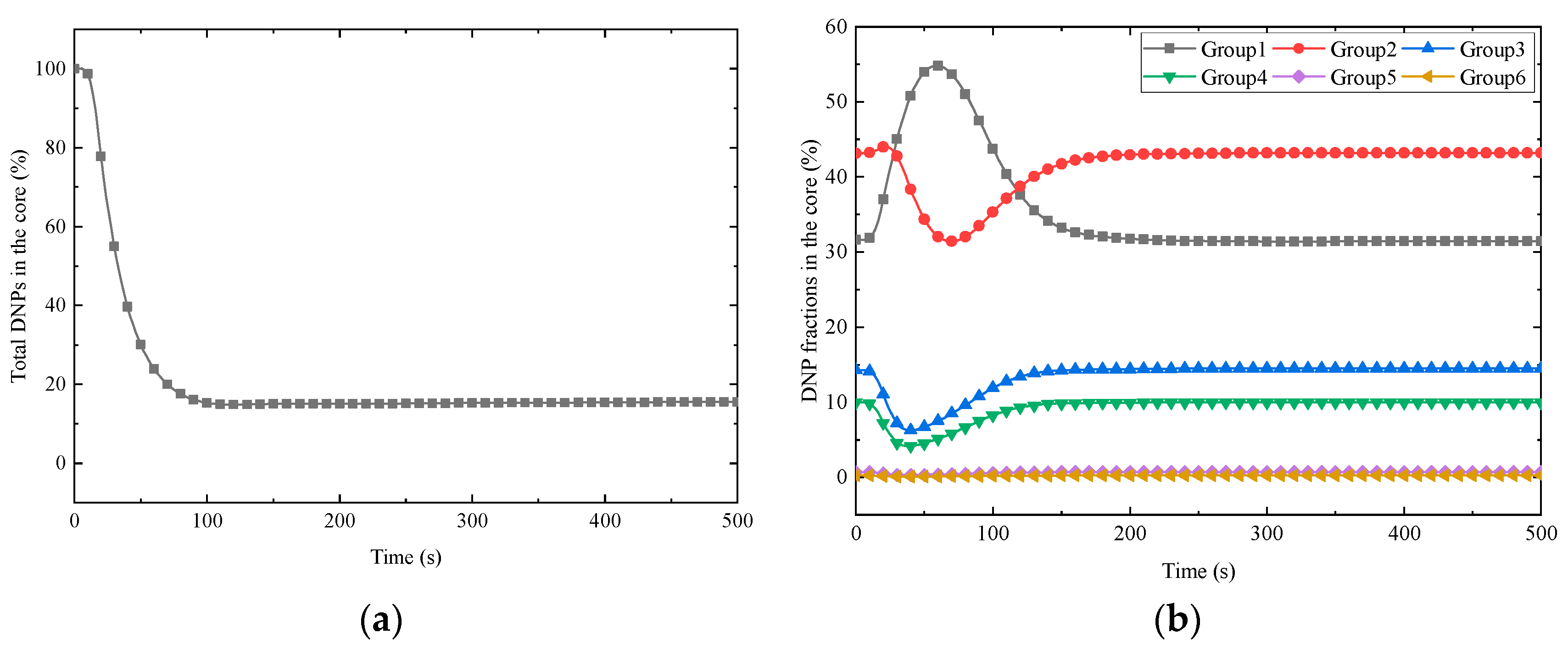
3.4.1. Loss of Primary Flow
3.4.2. Increase in Primary Flow
3.4.3. Loss of Secondary Flow
3.4.4. Reactivity Perturbations
3.4.5. Load Change
4. Conclusions
- (1)
- The trend of core power response are different at different power levels during change in primary flow. This is because the core power is affected by the opposite reactivity introduced by DNP loss change and temperature feedback when flowrate decreases, and the temperature feedbacks differ at different power levels. Besides, during primary loop flow increase transients, the temperature changes in all loops remain within safe limits, and the reactor can maintain normal operation.
- (2)
- In secondary loop transients, a sudden reduction in secondary loop coolant flow can lead to the freezing of the molten salt in the cold leg, causing a reactor accident. The concentration of DNP in each group within the core changes with power, and the fraction of DNP in each group is closely related to their decay constants.
- (3)
- For the reactivity disturbance transients, although the DNP concentrations change, the DNP loss rate does not change significantly due to the unchanged fuel salt flow velocity, so the core power is mainly affected by the temperature feedback. Due to the negative temperature feedback effect, the MSBR core will stabilize at a new power and temperature level, but without control system intervention, there is a risk of the core outlet temperature exceeding the safety limit.
- (4)
- During the load change transients, the change in the DNP loss rate in the MSBR core is relatively small, and the overall temperature reactivity coefficient of the core is negative, so the core power can be automatically adjusted to the corresponding power level under the action of the negative temperature feedback. Due to the large specific heat capacity of the molten salt coolant, the adjustment speed is relatively slow. The transient temperature changes in all loops are within the safe range, demonstrating the inherent safety characteristics of liquid fuel molten salt reactors.
Author Contributions
Funding
Institutional Review Board Statement
Informed Consent Statement
Data Availability Statement
Acknowledgments
Conflicts of Interest
Abbreviations
| MSR | molten salt reactor |
| DNPs | delayed neutron precursors |
| MSBR | Molten Salt Breeder Reactor |
| ORNL | Oak Ridge National Laboratory |
| GIF | Generation IV International Forum |
| TMSR | Thorium-based Molten Salt Reactor |
| DNF | delayed neutron fraction |
| MSRE | Molten Salt Reactor Experiment |
| MSFR | Molten Salt Fast Reactor |
| MOSART | Molten Salt Actinide Recycler and Transmuter |
| MSDR | Molten Salt Demonstration Reactor |
| MOOSE | Multiphysics Object-Oriented Simulation Environment |
| INEL | Idaho National Engineering Laboratory |
| US.NRC | US Nuclear Regulatory Commission |
| FP | full power |
References
- Bettis, E.S.; Schroeder, R.W.; Cristy, G.A.; Savage, H.W.; Affel, R.G.; Hemphill, L.F. The Aircraft Reactor Experiment—Design and Construction. Nucl. Sci. Eng. 1957, 2, 804–825. [Google Scholar] [CrossRef]
- Rosenthal, M.W.; Kasten, P.R.; Briggs, R.B. Molten-Salt Reactors—History, Status, and Potential. Nucl. Appl. Technol. 1970, 8, 107–117. [Google Scholar] [CrossRef]
- MacPherson, H.G. The Molten Salt Reactor Adventure. Nucl. Sci. Eng. 1985, 90, 374–380. [Google Scholar] [CrossRef]
- Mathieu, L.; Heuer, D.; Brissot, R.; Garzenne, C.; Le Brun, C.; Lecarpentier, D.; Liatard, E.; Loiseaux, J.M.; Méplan, O.; Merle-Lucotte, E.; et al. The thorium molten salt reactor: Moving on from the MSBR. Prog. Nucl. Energy 2006, 48, 664–679. [Google Scholar] [CrossRef]
- Abram, T.; Ion, S. Generation-IV nuclear power: A review of the state of the science. Energy Policy 2008, 36, 4323–4330. [Google Scholar] [CrossRef]
- Jiang, M.; Xu, H.; Dai, Z. Advanced fission energy program-TMSR nuclear energy system. Bull. Chin. Acad. Sci 2012, 27, 366–374. [Google Scholar] [CrossRef]
- Krepel, J.; Grundmann, U.; Rohde, U.; Weiss, F.-P. DYN1D-MSR dynamics code for molten salt reactors. Ann. Nucl. Energy 2005, 32, 1799–1824. [Google Scholar] [CrossRef]
- Krepel, J.; Rohde, U.; Grundmann, U.; Weiss, F.-P. DYN3D-MSR spatial dynamics code for molten salt reactors. Ann. Nucl. Energy 2007, 34, 449–462. [Google Scholar] [CrossRef]
- Cammi, A.; Di Marcello, V.; Luzzi, L.; Memoli, V.; Ricotti, M.E. A multi-physics modelling approach to the dynamics of Molten Salt Reactors. Ann. Nucl. Energy 2011, 38, 1356–1372. [Google Scholar] [CrossRef]
- Fiorina, C.; Lathouwers, D.; Aufiero, M.; Cammi, A.; Guerrieri, C.; Kloosterman, J.L.; Luzzi, L.; Ricotti, M.E. Modelling and analysis of the MSFR transient behaviour. Ann. Nucl. Energy 2014, 64, 485–498. [Google Scholar] [CrossRef]
- Zanetti, M.; Cammi, A.; Fiorina, C.; Luzzi, L. A Geometric Multiscale modelling approach to the analysis of MSR plant dynamics. Prog. Nucl. Energy 2015, 83, 82–98. [Google Scholar] [CrossRef]
- Aufiero, M.; Brovchenko, M.; Cammi, A.; Clifford, I.; Geoffroy, O.; Heuer, D.; Laureau, A.; Losa, M.; Luzzi, L.; Merle-Lucotte, E.; et al. Calculating the effective delayed neutron fraction in the Molten Salt Fast Reactor: Analytical, deterministic and Monte Carlo approaches. Ann. Nucl. Energy 2014, 65, 78–90. [Google Scholar] [CrossRef]
- Zhang, D.; Rineiski, A.; Wang, C.; Guo, Z.; Xiao, Y.; Qiu, S. Development of a kinetic model for safety studies of liquid-fuel reactors. Prog. Nucl. Energy 2015, 81, 104–112. [Google Scholar] [CrossRef]
- Singh, V.; Lish, M.R.; Chvála, O.; Upadhyaya, B.R. Dynamics and control of molten-salt breeder reactor. Nucl. Eng. Technol. 2017, 49, 887–895. [Google Scholar] [CrossRef]
- Singh, V.; Lish, M.R.; Wheeler, A.M.; Chvála, O.; Upadhyaya, B.R. Dynamic Modeling and Performance Analysis of a Two-Fluid Molten-Salt Breeder Reactor System. Nucl. Technol. 2018, 202, 15–38. [Google Scholar] [CrossRef]
- Singh, V.; Wheeler, A.M.; Lish, M.R.; Chvála, O.; Upadhyaya, B.R. Nonlinear dynamic model of Molten-Salt Reactor Experiment—Validation and operational analysis. Ann. Nucl. Energy 2018, 113, 177–193. [Google Scholar] [CrossRef]
- Greenwood, M.S.; Betzler, B.R.; Qualls, A.L.; Yoo, J.; Rabiti, C. Demonstration of the Advanced Dynamic System Modeling Tool TRANSFORM in a Molten Salt Reactor Application via a Model of the Molten Salt Demonstration Reactor. Nucl. Technol. 2020, 206, 478–504. [Google Scholar] [CrossRef]
- Yang, G.; Jaradat, M.K.; Sik Yang, W.; Lee, C. Development of coupled PROTEUS-NODAL and SAM code system for multiphysics analysis of molten salt reactors. Ann. Nucl. Energy 2022, 168, 108889. [Google Scholar] [CrossRef]
- Zuo, X.; Cheng, M.; Dai, Y.; Yu, K.; Dai, Z. Flow field effect of delayed neutron precursors in liquid-fueled molten salt reactors. Nucl. Sci. Tech. 2022, 33, 96. [Google Scholar] [CrossRef]
- Shi, C.; Cheng, M.; Liu, G. Extending and verification of RELAP5 code for liquid fueled molten salt reactor. Nucl. Power Eng. 2016, 37, 16–20. [Google Scholar] [CrossRef]
- Li, R.; Cheng, M.; Dai, Z. Improvement of the delayed neutron precursor transport model in RELAP5 for liquid-fueled molten salt reactor. Nucl. Eng. Des. 2022, 394, 111817. [Google Scholar] [CrossRef]
- Hedayat, A. Reactor dynamic simulation to analyze possible scenarios after a spurious opening of the safety flapper valve of TRR during the normal operation regarding the inherently safety features and Design Extension Conditions (DEC) by using the RELAP5 code. Int. J. Adv. Nucl. React. Des. Technol. 2021, 3, 119–133. [Google Scholar] [CrossRef]
- Sloan, S.M.; Schultz, R.R.; Wilson, G.E. RELAP5/MOD3 Code Manual. Nureg/Cr Egg 1998. Available online: https://www.nrc.gov/docs/ML1103/ML110330252.pdf (accessed on 29 December 2024).
- Jiang, S.; Cheng, M.; Chen, Y. Extension and validation of RELAP/SCDAPSIM/MOD4. 0 code on FHR. Nucl. Power Eng. 2016, 37, 33–36. [Google Scholar] [CrossRef]
- Robertson, R.C. Conceptual Design Study of a Single-Fluid Molten-Salt Breeder Reactor; Oak Ridge National Lab. (ORNL): Oak Ridge, TN, USA, 1971; 207p. [Google Scholar]
- Run, L.; Chunyu, L.; Rafael, M. Investigation of Control Characteristics for a Molten Salt Reactor Plant under Normal and Accident Conditions. Energies 2021, 14, 5279. [Google Scholar] [CrossRef]
- Sides, W.H., Jr. Control Studies of a 1000-Mw(e) MSBR; Oak Ridge National Lab. (ORNL): Oak Ridge, TN, USA, 1970; 46p. [Google Scholar]
- Shi, C. Study on the System Analysis Code and the Safety Characteristics of Liquid Fueled Molten Salt Reactors. Ph.D. Thesis, University of Chinese Academy of Sciences, Beijing, China, 2016; 90p. [Google Scholar]
























| Parameter | Value | Unit |
|---|---|---|
| Core (1/4) | ||
| Thermal power | 562.5 | MW |
| Flow area of the core | 1.02 | m2 |
| Flow area of central zone | 0.494 | m2 |
| Flow area of outer zone | 0.524 | m2 |
| Core height | 3.96 | m |
| Hydraulic diameter of central zone | 0.0414 | m |
| Hydraulic diameter of outer zone | 0.0695 | m |
| Mass flow | 2955 | kg∙s−1 |
| Mass flow in central zone | 2427 | kg∙s−1 |
| Mass flow in outer zone | 558 | kg∙s−1 |
| Heat transfer area | 1029 | m2 |
| Heat transfer area of central zone | 699 | m2 |
| Heat transfer area of outer zone | 330 | m2 |
| Primary heat exchanger | ||
| Tube side (hot fluid) | ||
| Mass flow | 2955 | kg∙s−1 |
| Flow area | 0.269 | m2 |
| Fluid volume | 1.61 | m3 |
| Hydraulic diameter | 0.00775 | m |
| Heat transfer area | 1027 | m2 |
| Inlet–outlet temperatures | 839–978 | K |
| Shell side (coolant fluid) | ||
| Mass flow | 2218 | kg∙s−1 |
| Flow area | 1.47 | m2 |
| Fluid volume | 8.35 | m3 |
| Heat transfer coefficient | 9221 | W∙m−2∙K−1 |
| Heat transfer area | 1027 | m2 |
| Inlet–outlet temperatures | 727–894 | K |
| Steam generator | ||
| Shell side (molten salt) | ||
| Flow area | 0.578 | m2 |
| Fluid volume | 11.6 | m3 |
| Heat transfer coefficient | 7472 | W∙m−2∙K−1 |
| Mass flow | 2242 | kg∙s−1 |
| Inlet–outlet temperature | 728–894 | K |
| Tube side | ||
| Flow area | 0.113 | m2 |
| Fluid volume | 2.27 | m3 |
| Hydraulic diameter | 0.00880 | m |
| Mass flow | 371 | kg∙s−1 |
| Inlet–outlet temperature | 644–811 | K |
| Parameter | Group | Value |
|---|---|---|
| Delayed neutron fraction (pcm) | 1 | 22.8 |
| 2 | 78.8 | |
| 3 | 66.4 | |
| 4 | 73.6 | |
| 5 | 13.6 | |
| 6 | 8.8 | |
| Total | 264 | |
| Decay constant (s−1) | 1 | 0.0126 |
| 2 | 0.0337 | |
| 3 | 0.139 | |
| 4 | 0.325 | |
| 5 | 1.13 | |
| 6 | 2.50 | |
| Mean neutron lifetime (s) | 0.00036 | |
| Graphite temperature feedback coefficient (pcm·K−1) | 1.90 | |
| Fuel salt temperature feedback coefficient (pcm·K−1) | −2.40 |
| Parameter | Simulation | Design | Deviation (%) |
|---|---|---|---|
| Core power (MW) | 562.59 | 562.50 | 0.02 |
| Core inlet temp (K) | 838.05 | 839 | 0.11 |
| Core outlet temp (K) | 976.15 | 978 | 0.19 |
| Inlet temp of secondary loop (K) | 727.56 | 727 | 0.08 |
| Outlet temp of secondary loop (K) | 891.31 | 894 | 0.30 |
| Steam temp (K) | 811.60 | 811 | 0.02 |
| Feedwater temp (K) | 644.00 | 644 | 0.00 |
| Mass flow rate in primary loop (kg/s) | 2985.26 | 2955 | 1.02 |
| Mass flow rate in secondary loop (kg/s) | 2224.73 | 2218 | 0.30 |
| Mass flow rate of steam generator (kg/s) | 371.00 | 371 | 0.00 |
Disclaimer/Publisher’s Note: The statements, opinions and data contained in all publications are solely those of the individual author(s) and contributor(s) and not of MDPI and/or the editor(s). MDPI and/or the editor(s) disclaim responsibility for any injury to people or property resulting from any ideas, methods, instructions or products referred to in the content. |
© 2025 by the authors. Licensee MDPI, Basel, Switzerland. This article is an open access article distributed under the terms and conditions of the Creative Commons Attribution (CC BY) license (https://creativecommons.org/licenses/by/4.0/).
Share and Cite
Chen, S.; Li, R.; Zuo, X.; Cheng, M.; Dai, Z. Dynamic Effect of the Delayed Neutron Precursor Distribution on System Safety Analysis in Liquid-Fueled Molten Salt Reactor. Energies 2025, 18, 670. https://doi.org/10.3390/en18030670
Chen S, Li R, Zuo X, Cheng M, Dai Z. Dynamic Effect of the Delayed Neutron Precursor Distribution on System Safety Analysis in Liquid-Fueled Molten Salt Reactor. Energies. 2025; 18(3):670. https://doi.org/10.3390/en18030670
Chicago/Turabian StyleChen, Shichao, Rui Li, Xiandi Zuo, Maosong Cheng, and Zhimin Dai. 2025. "Dynamic Effect of the Delayed Neutron Precursor Distribution on System Safety Analysis in Liquid-Fueled Molten Salt Reactor" Energies 18, no. 3: 670. https://doi.org/10.3390/en18030670
APA StyleChen, S., Li, R., Zuo, X., Cheng, M., & Dai, Z. (2025). Dynamic Effect of the Delayed Neutron Precursor Distribution on System Safety Analysis in Liquid-Fueled Molten Salt Reactor. Energies, 18(3), 670. https://doi.org/10.3390/en18030670

