A Review of Reliability Assessment and Lifetime Prediction Methods for Electrical Machine Insulation Under Thermal Aging
Abstract
1. Introduction
2. Insulation Accelerated Tests and Aging Indicators Under Thermal Stress
2.1. Insulation Aging Under Constant Thermal Stress
2.2. Insulation Aging Under Variable Thermal Stress
2.3. Macroscopic Aging Indicators
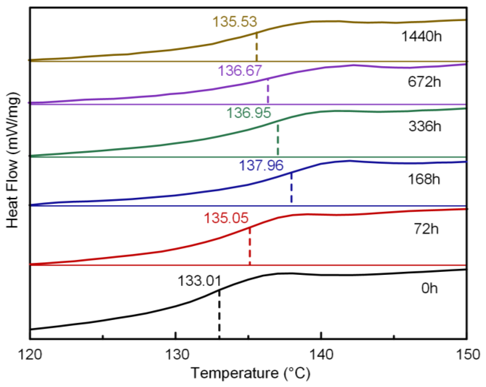
2.4. Microscopic Aging Indicators
3. Physics-of-Failure-Based Insulation Lifetime Modeling
3.1. Theoretical Foundations of PoF
3.2. Lifetime Modeling Process Under Thermal Stress
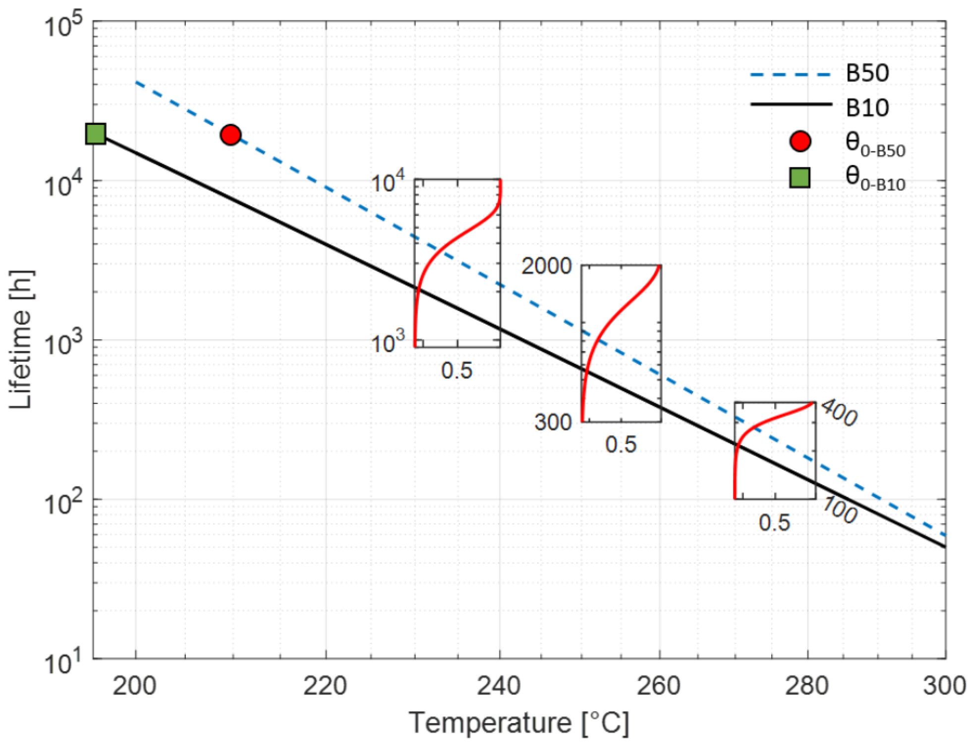
3.3. Application of the PoF Model in Insulation Lifetime Prediction
3.4. Advantages and Limitations
4. Data-Driven-Based Insulation Lifetime Modeling
4.1. Data-Driven Modeling Process
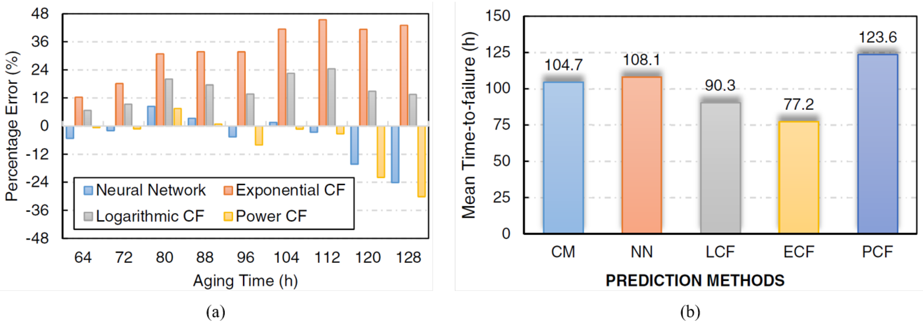
4.2. Application of the AI Algorithms in Insulation Lifetime Prediction
4.3. Advantages and Limitations
5. Stochastic Process-Based Insulation Lifetime Modeling
5.1. Theoretical Foundation of Stochastic Processes
5.2. Performance Degradation Modeling Based on Stochastic Processes
5.3. Application of Wiener Process Model in Insulation Lifetime Prediction
5.4. Advantages and Limitations
6. Potential Applications of Insulation Thermal Lifetime Models
6.1. Reliability-Oriented Optimization Design for EMs
6.2. Fault Prediction and Health Management
6.3. Standard Development and Testing Method Improvement
6.4. Future Applications in Intelligent EM Systems
7. Conclusions
Author Contributions
Funding
Conflicts of Interest
Abbreviations
| EM | Electrical Machine |
| EIS | Electrical Insulation System |
| CR | Corona-Resistant |
| ALT | Accelerated Lifetime Test |
| ADT | Accelerated Degradation Test |
| PoF | Physics of Failure |
| AI | Artificial Intelligence |
| GI | Groundwall Insulation |
| IR | Insulation Resistance |
| PD | Partial Discharge |
| RBV | Residual Breakdown Voltage |
| BV | Breakdown Voltage |
| IC | Insulation Capacitance |
| PDIV | Partial-Discharge Inception Voltage |
| PDEV | Partial-Discharge Extinction Voltage |
| SEM | Scanning Electron Microscopy |
| FTIR | Fourier Transform Infrared Spectroscopy |
| TGA | Thermogravimetric Analysis |
| OCT | Optical Coherence Tomography |
| DSC | Differential Scanning Calorimeter |
| CDF | Cumulative Distribution Function |
| PCA | Principal Component Analysis |
| NN | Neural Network |
| SVM | Support Vector Machine |
| RF | Random Forest |
| ANN | Artificial Neural Network |
| RBFG | Radial Basis Function Gaussian |
| ROM | Random Optimization Method |
| LM | Levenberg–Marquardt |
| BP | Back Propagation |
| LSM | Least-Squares Method |
| LSTM | Long Short-Term Memory |
| RNN | Recurrent Neural Network |
| BRP | Bayesian Regularized Back Propagation |
| CF | Curve Fitting |
| MTTF | Mean Time-to-Failure |
| FPT | First Passage Time |
| Probability Density Function | |
| RUL | Remaining Useful Lifetime |
| EM | Expectation–Maximization |
| SIC | Schwarz Information Criterion |
| KF | Kalman Filtering |
| CFD | Computational Fluid Dynamics |
| SCARA | Selective Compliance Assembly Robot Arm |
| PMSM | Permanent Magnet Synchronous Motors |
| RSSMC | Residual Sum of Squares Minimum Criterion |
| CUSUM | Cumulative Sum Control Chart |
| CRM | Common Representation Model |
| IRM | Individual Representation Model |
| ROD | Reliability-Oriented Design |
| IoT | Internet of Things |
References
- IEC 60505:2011; Evaluation and Qualification of Electrical Insulation Systems. International Electrotechnical Commission: Geneva, Switzerland, 2011.
- Giangrande, P.; Madonna, V.; Nuzzo, S.; Galea, M. Moving toward a reliability-oriented design approach of low-voltage electrical machines by including insulation thermal aging considerations. IEEE Trans. Transp. Electrif. 2020, 6, 16–27. [Google Scholar] [CrossRef]
- Madonna, V.; Giangrande, P.; Lusuardi, L.; Cavallini, A.; Gerada, C.; Galea, M. Thermal overload and insulation aging of short duty cycle, aerospace motors. IEEE Trans. Ind. Electron. 2019, 67, 2618–2629. [Google Scholar] [CrossRef]
- Fernando, M.; Naranpanawa, W.; Rathnayake, R.; Jayantha, G. Condition assessment of stator insulation during drying, wetting and electrical ageing. IEEE Trans. Dielectr. Electr. Insul. 2013, 20, 2081–2090. [Google Scholar] [CrossRef]
- Ji, Y.; Giangrande, P.; Madonna, V.; Zhao, W.; Galea, M. Reliability-oriented design of inverter-fed low-voltage electrical machines: Potential solutions. Energies 2021, 14, 4144. [Google Scholar] [CrossRef]
- Han, J.; Liu, X.; Shao, X.; Nie, L.; Jin, H.; Huang, X. Residual Breakdown Field Strength Prediction of Stator Bar Insulation of Pumped Storage Generator Based on SVM. In Proceedings of the 2022 4th International Conference on Power and Energy Technology (ICPET), Beijing, China, 28–31 July 2022; IEEE: Piscataway, NJ, USA, 2022; pp. 187–192. [Google Scholar]
- Lee, H.; Kim, H.; Jeong, J.; Lee, K.; Lee, S.B.; Stone, G.C. Inverter-embedded partial discharge testing for reliability enhancement of stator winding insulation in low voltage machines. IEEE Trans. Ind. Appl. 2022, 58, 2088–2096. [Google Scholar] [CrossRef]
- Kim, Y.; Nelson, J. Assessment of deterioration in epoxy/mica machine insulation. IEEE Trans. Electr. Insul. 1992, 27, 1026–1039. [Google Scholar] [CrossRef]
- Tanaka, K.; Kojima, H.; Onoda, M.; Suzuki, K. Prediction of residual breakdown electrical field strength of epoxy-mica paper insulation systems for the stator winding of large generators. IEEE Trans. Dielectr. Electr. Insul. 2015, 22, 1118–1123. [Google Scholar] [CrossRef]
- Riba, J.R.; Moreno-Eguilaz, M.; Bogarra, S. Tracking Resistance in Polymeric Insulation Materials for High-Voltage Electrical Mobility Applications Evaluated by Existing Test Methods: Identified Research Needs. Polymers 2023, 15, 3717. [Google Scholar] [CrossRef]
- Kong, X.; Zhang, C.; Du, H.; Miyake, H.; Tanaka, Y.; Du, B. Effects of Thermo-oxidative Aging on the Dielectric Property and Electrical Breakdown of Epoxy Resin Using in High Voltage Equipment. IEEE Trans. Dielectr. Electr. Insul. 2024. [Google Scholar] [CrossRef]
- Li, L.; Guan, C.; Zhang, A.; Chen, D.; Qing, Z. Thermal stabilities and the thermal degradation kinetics of polyimides. Polym. Degrad. Stab. 2004, 84, 369–373. [Google Scholar] [CrossRef]
- Yang, Y.; Yin, D.; Xiong, R.; Shi, J.; Tian, F.; Wang, X.; Lei, Q. Ftir and dielectric studies of electrical aging in polyimide under AC voltage. IEEE Trans. Dielectr. Electr. Insul. 2012, 19, 574–581. [Google Scholar] [CrossRef]
- Huang, X.; Li, Q.; Liu, T.; Han, S.; Lu, Y.; Wang, Z. Research on Kapton aerobic pyrolysis by using ReaxFF molecular dynamics simulation. In Proceedings of the 2016 IEEE International Conference on High Voltage Engineering and Application (ICHVE), Chengdu, China, 19–22 September 2016; IEEE: Piscataway, NJ, USA, 2016; pp. 1–5. [Google Scholar]
- Wu, G.; Wu, J.; Zhou, L.; Gao, B.; Zhou, K.; Guo, X.; Cao, K. Microscopic view of aging mechanism of polyimide film under pulse voltage in presence of partial discharge. IEEE Trans. Dielectr. Electr. Insul. 2010, 17, 125–132. [Google Scholar] [CrossRef]
- Yang, Y.; Yin, D.; Zhong, C.; Xiong, R.; Shi, J.; Liu, Z.; Wang, X.; Lei, Q. Surface morphology and raman analysis of the polyimide film aged under bipolar pulse voltage. Polym. Eng. Sci. 2013, 53, 1536–1541. [Google Scholar] [CrossRef]
- Wang, J.; Wu, J.; Zhang, J.; Zhang, Q.; Fang, Y.; Huang, X. Remaining useful life prediction method by integrating two-phase accelerated degradation data and field information. IEEE Trans. Instrum. Meas. 2024, 73, 3518417. [Google Scholar] [CrossRef]
- IEC 60034-18-21; Rotating Electrical Machines—Part 18–21: Functional Evaluation of Insulation Systems—Test Procedures for Wire-Wound Windings—Thermal Evaluation and Classification. International Electrotechnical Commission: Geneva, Switzerland, 2012.
- Khowja, M.R.; Turabee, G.; Giangrande, P.; Madonna, V.; Cosma, G.; Vakil, G.; Gerada, C.; Galea, M. Lifetime estimation of enameled wires under accelerated thermal aging using curve fitting methods. IEEE Access 2021, 9, 18993–19003. [Google Scholar] [CrossRef]
- Han, C. Lifetime evaluation of class E electrical insulation for small induction motors. IEEE Electr. Insul. Mag. 2011, 27, 14–19. [Google Scholar] [CrossRef]
- Madonna, V.; Giangrande, P.; Migliazza, G.; Buticchi, G.; Galea, M. A time-saving approach for the thermal lifetime evaluation of low-voltage electrical machines. IEEE Trans. Ind. Electron. 2019, 67, 9195–9205. [Google Scholar] [CrossRef]
- Zhang, J.; Zhang, Q.; Huang, X.; Fang, Y.; Tian, J. Motor Insulation Remaining Useful Life Prediction Method Based on Accelerating Degradation Data and Field Degradation Data. Trans. China Electrotech. Soc. 2023, 38, 599–609. (In Chinese) [Google Scholar]
- Stone, G.C.; Culbert, I.; Boulter, E.A.; Dhirani, H. Electrical Insulation for Rotating Machines: Design, Evaluation, Aging, Testing, and Repair; John Wiley & Sons: Hoboken, NJ, USA, 2014; Volume 83. [Google Scholar]
- Griffo, A.; Tsyokhla, I.; Wang, J. Lifetime of machines undergoing thermal cycling stress. In Proceedings of the 2019 IEEE Energy Conversion Congress and Exposition (ECCE), Baltimore, MD, USA, 29 September–3 October 2019; IEEE: Piscataway, NJ, USA, 2019; pp. 3831–3836. [Google Scholar]
- IEEE Std 1310-2012 (Revision of IEEE Std 1310-1996); IEEE Recommended Practice for Thermal Cycle Testing of Form-Wound Stator Bars and Coils for Large Rotating Machines. IEEE: Piscataway, NJ, USA, 2012.
- IEC 60034-18-34; Rotating Electrical Machines: Functional Evaluation of Insulation Systems: Test Procedures for Form-Wound Windings—Evaluation of Thermomechanical Endurance of Insulation Systems. International Electrotechnical Commission: Geneva, Switzerland, 2012.
- Kokko, V.I. Ageing due to thermal cycling by start and stop cycles in lifetime estimation of hydroelectric generator stator windings. In Proceedings of the 2011 IEEE International Electric Machines & Drives Conference (IEMDC), Niagara Falls, ON, Canada, 15–18 May 2011; IEEE: Piscataway, NJ, USA, 2011; pp. 318–323. [Google Scholar]
- Mitsui, H.; Yoshida, K.; Inoue, Y.; Kenjo, S. Thermal cyclic degradation of coil insulation for rotating machines. IEEE Trans. Power Appar. Syst. 1983, PAS-102, 67–73. [Google Scholar] [CrossRef]
- Zhou, X.; Ji, Y.; Giangrande, P.; Zhao, W.; Ijaz, S.; Galea, M. Extra Life Loss of Low Voltage Electrical Machine under Variable Temperature Aging. IEEE Trans. Transp. Electrif. 2024. [Google Scholar] [CrossRef]
- IEC 60216-1:1990; Guide for the Determination of Thermal Endurance Properties of Electrical Insulating Materials: Part 1: General Guidelines for Aging Procedures and Evaluation of Test Results. International Electrotechnical Commission: Geneva, Switzerland, 1990.
- Bhumiwat, S.A. Depolarization index for dielectric aging indicator of rotating machines. IEEE Trans. Dielectr. Electr. Insul. 2015, 22, 3126–3132. [Google Scholar] [CrossRef]
- Farahani, M.; Borsi, H.; Gockenbach, E. Study of capacitance and dissipation factor tip-up to evaluate the condition of insulating systems for high voltage rotating machines. Electr. Eng. 2007, 89, 263–270. [Google Scholar] [CrossRef]
- Emery, F. Partial discharge, dissipation factor, and corona aspects for high voltage electric generator stator bars and windings. IEEE Trans. Dielectr. Electr. Insul. 2005, 12, 347–361. [Google Scholar] [CrossRef]
- Farahani, M.; Borsi, H.; Gockenbach, E.; Kaufhold, M. Partial discharge and dissipation factor behavior of model insulating systems for high voltage rotating machines under different stresses. IEEE Electr. Insul. Mag. 2005, 21, 5–19. [Google Scholar] [CrossRef]
- Grubic, S.; Aller, J.M.; Lu, B.; Habetler, T.G. A survey on testing and monitoring methods for stator insulation systems of low-voltage induction machines focusing on turn insulation problems. IEEE Trans. Ind. Electron. 2008, 55, 4127–4136. [Google Scholar] [CrossRef]
- Werynski, P.; Roger, D.; Corton, R.; Brudny, J.F. Proposition of a new method for in-service monitoring of the aging of stator winding insulation in AC motors. IEEE Trans. Energy Convers. 2006, 21, 673–681. [Google Scholar] [CrossRef]
- Yang, J.; Cho, J.; Lee, S.B.; Yoo, J.Y.; Kim, H.D. An advanced stator winding insulation quality assessment technique for inverter-fed machines. IEEE Trans. Ind. Appl. 2008, 44, 555–564. [Google Scholar] [CrossRef]
- Savin, S.; Ait-Amar, S.; Roger, D. Turn-to-turn capacitance variations correlated to PDIV for AC motors monitoring. IEEE Trans. Dielectr. Electr. Insul. 2013, 20, 34–41. [Google Scholar] [CrossRef]
- Cavallini, A. Reliability of low voltage inverter-fed motors: What have we learned, perspectives, open points. In Proceedings of the 2017 International Symposium on Electrical Insulating Materials (ISEIM), Toyohashi, Japan, 11–15 September 2017; IEEE: Piscataway, NJ, USA, 2017; Volume 1, pp. 13–22. [Google Scholar]
- Wang, P.; Xu, H.; Wang, J.; Cavallini, A.; Montanari, G.C. Temperature effects on PD statistics and endurance of inverter-fed motor insulation under repetitive square wave voltages. In Proceedings of the 2016 IEEE Electrical Insulation Conference (EIC), Montreal, QC, Canada, 19–22 June 2016; IEEE: Piscataway, NJ, USA, 2016; pp. 202–205. [Google Scholar]
- Rumi, A.; Marinelli, J.; Cavallini, A. Towards the 2 nd edition of IEC 60034-18-41: Challenges and perspectives. In Proceedings of the 2021 3rd International Conference on High Voltage Engineering and Power Systems (ICHVEPS), Bandung, Indonesia, 5–6 October 2021; IEEE: Piscataway, NJ, USA, 2021; pp. 052–056. [Google Scholar]
- Ji, Y.; Giangrande, P.; Zhao, W.; Madonna, V.; Zhang, H.; Galea, M. Determination of hotspot temperature margin for rectangular wire windings considering insulation thermal degradation and partial discharge. IEEE Trans. Transp. Electrif. 2023, 10, 2057–2069. [Google Scholar] [CrossRef]
- Naderiallaf, H.; Degano, M.; Gerada, C. PDIV modelling for rectangular wire turn-to-turn insulation of inverter-fed motors through thermal ageing. IEEE Trans. Dielectr. Electr. Insul. 2023, 31, 550–559. [Google Scholar] [CrossRef]
- Madonna, V.; Giangrande, P.; Galea, M. Evaluation of strand-to-strand capacitance and dissipation factor in thermally aged enamelled coils for low-voltage electrical machines. IET Sci. Meas. Technol. 2019, 13, 1170–1177. [Google Scholar] [CrossRef]
- Zhe, H. Modeling and Testing of Insulation Degradation due to Dynamic Thermal Loading of Electrical Machines. Ph.D Thesis, Lund University, Lund, Sweden, 2017. [Google Scholar]
- Gyftakis, K.N.; Sumislawska, M.; Kavanagh, D.F.; Howey, D.A.; McCulloch, M.D. Dielectric characteristics of electric vehicle traction motor winding insulation under thermal aging. IEEE Trans. Ind. Appl. 2015, 52, 1398–1404. [Google Scholar]
- Farahani, M.; Gockenbach, E.; Borsi, H.; Schäfer, K.; Kaufhold, M. Behavior of machine insulation systems subjected to accelerated thermal aging test. IEEE Trans. Dielectr. Electr. Insul. 2010, 17, 1364–1372. [Google Scholar] [CrossRef]
- Khowja, M.R.; Vakil, G.; Ahmad, S.S.; Ramanathan, R.; Gerada, C.; Benarous, M. Life Characterisation of PEEK and Nanofilled Enamel Insulated Wires under Thermal Ageing. IEEE Access 2024, 12, 39470–39483. [Google Scholar] [CrossRef]
- Gyftakis, K.N.; Panagiotou, P.; Lophitis, N.; Howey, D.A.; McCulloch, M.D. Breakdown resistance analysis of traction motor winding insulation under thermal ageing. In Proceedings of the 2017 IEEE Energy Conversion Congress and Exposition (ECCE), Cincinnati, OH, USA, 1–5 October 2017; IEEE: Piscataway, NJ, USA, 2017; pp. 5819–5825. [Google Scholar]
- Zhang, Q.; Wu, J.; Wang, J.; Huang, X.; Fang, Y.; Niu, F.; Zhang, J. A Two-phase Lifetime Prediction Model of Generator Stator Main Wall Insulation Driven by Digital Twin. IEEE Trans. Instrum. Meas. 2024, 73, 3531512. [Google Scholar] [CrossRef]
- Wang, J.; Xu, L.; Cai, L.; Zhang, J.; Tian, J. CFD-based Temperature Field Analysis and Lifetime Prediction of Brushless DC Motor. In Proceedings of the 2022 IEEE Transportation Electrification Conference and Expo, Asia-Pacific (ITEC Asia-Pacific), Haining, China, 28–31 October 2022; IEEE: Piscataway, NJ, USA, 2022; pp. 1–5. [Google Scholar]
- Liao, R.; Tang, C.; Yang, L. Research on the microstructure and morphology of power transformer insulation paper after thermal aging. Proc. Chin. Soc. Electr. Eng. 2007, 27, 59. (In Chinese) [Google Scholar]
- Mezgebo, B.; Sherif, S.S.; Fernando, N.; Kordi, B. Paper Insulation Aging Estimation Using Swept-Source Optical Coherence Tomography. IEEE Trans. Dielectr. Electr. Insul. 2022, 29, 30–37. [Google Scholar] [CrossRef]
- Zhou, L.; Liu, C.; Quan, S.; Zhang, X.; Wang, D. Experimental study on ageing characteristics of electric locomotive ethylene propylene rubber cable under mechanical–thermal combined action. High Volt. 2022, 7, 792–801. [Google Scholar] [CrossRef]
- Xie, Q. AFM analysis and fractal feature extraction of epoxy resin after surface flashover. Trans. China Electrotech. Soc. 2017, 32, 245–254. (In Chinese) [Google Scholar]
- Hsu, Y.; Chang-Liao, K.; Wang, T.; Kuo, C. Monitoring the moisture-related degradation of ethylene propylene rubber cable by electrical and SEM methods. Polym. Degrad. Stab. 2006, 91, 2357–2364. [Google Scholar] [CrossRef]
- Hao, Y.; Xie, H. Degradation Behavior of Stator Insulation for Large Generators Using X-Ray Diffraction Method. Trans. China Electrotech. Soc. 2007, 22, 16–21. (In Chinese) [Google Scholar]
- Zheng, Z.; Lu, B.; Gan, W.; Huang, Z.; Li, J.; Wang, F.; Li, S.Q.; Wang, Q. Aging Characterization of Oil-paper Insulation Based on Fluorescence Characteristics of Suspended Fibers in Oil. IEEE Trans. Dielectr. Electr. Insul. 2024, 31, 3405–3413. [Google Scholar] [CrossRef]
- Popescu, M.; Staton, D.A.; Boglietti, A.; Cavagnino, A.; Hawkins, D.; Goss, J. Modern heat extraction systems for power traction machines—A review. IEEE Trans. Ind. Appl. 2016, 52, 2167–2175. [Google Scholar] [CrossRef]
- Kokko, V.I. Electrical ageing in lifetime estimation of hydroelectric generator stator windings. In Proceedings of the XIX International Conference on Electrical Machines-ICEM 2010, Rome, Italy, 6–8 September 2010; IEEE: Piscataway, NJ, USA, 2010; pp. 1–5. [Google Scholar]
- Montanari, G.C.; Simoni, L. Aging phenomenology and modeling. IEEE Trans. Electr. Insul. 1993, 28, 755–776. [Google Scholar] [CrossRef]
- Dakin, T.W. Electrical insulation deterioration treated as a chemical rate phenomenon. Trans. Am. Inst. Electr. Eng. 1948, 67, 113–122. [Google Scholar] [CrossRef]
- Sciascera, C.; Galea, M.; Giangrande, P.; Gerada, C. Lifetime consumption and degradation analysis of the winding insulation of electrical machines. In Proceedings of the 8th IET International Conference on Power Electronics, Machines and Drives (PEMD 2016), Glasgow, UK, 19–21 April 2016; IET: Stevenage, UK, 2016; pp. 1–5. [Google Scholar]
- Gnacinski, P. Windings temperature and loss of life of an induction machine under voltage unbalance combined with over-or undervoltages. IEEE Trans. Energy Convers. 2008, 23, 363–371. [Google Scholar] [CrossRef]
- Movahed, S.; Mirzamani, S.O.; Rajabi, A.; Daneshvar, H. Estimation of insulation life of inverter-fed induction motors. In Proceedings of the 2010 1st Power Electronic & Drive Systems & Technologies Conference (PEDSTC), Tehran, Iran, 17–18 February 2010; IEEE: Piscataway, NJ, USA, 2010; pp. 335–339. [Google Scholar]
- Kulan, M.C.; Baker, N.J. Life-time characteristics of random wound compressed stator windings under thermal stress. IET Electr. Power Appl. 2019, 13, 1287–1297. [Google Scholar] [CrossRef]
- Rahnamaei, S.R.; Nejad, S.M.S.; Rashidi, A.; Sohankar, A. Dynamic thermal model for winding temperature of an SRM in an integrated battery charger utilized in electric vehicles. IEEE Trans. Energy Convers. 2020, 36, 1766–1775. [Google Scholar] [CrossRef]
- Huang, Z.; Márquez-Fernández, F.J.; Loayza, Y.; Reinap, A.; Alaküla, M. Dynamic thermal modeling and application of electrical machine in hybrid drives. In Proceedings of the 2014 International Conference on Electrical Machines (ICEM), Berlin, Germany, 2–5 September 2014; IEEE: Piscataway, NJ, USA, 2014; pp. 2158–2164. [Google Scholar]
- IEC 60317-0-1; Specifications for Particular Types of Winding Wires—Part 0–1: General Requirements—Enamelled Round Copper Wire. International Electrotechnical Commission: Geneva, Switzerland, 2013.
- Feilat, E.A. Lifetime assessment of electrical insulation. In Electric Field; IntechOpen: London, UK, 2018. [Google Scholar]
- Mancinelli, P.; Stagnitta, S.; Cavallini, A. Qualification of hairpin motors insulation for automotive applications. IEEE Trans. Ind. Appl. 2016, 53, 3110–3118. [Google Scholar] [CrossRef]
- Du, S.; Huang, Z.; Jin, L.; Wan, X. Recent Progress in Data-Driven Intelligent Modeling and Optimization Algorithms for Industrial Processes. Algorithms 2024, 17, 569. [Google Scholar] [CrossRef]
- Zahra, S.T.; Imdad, S.K.; Khan, S.; Khalid, S.; Baig, N.A. Power transformer health index and life span assessment: A comprehensive review of conventional and machine learning based approaches. Eng. Appl. Artif. Intell. 2025, 139, 109474. [Google Scholar] [CrossRef]
- Gupta, T.K.; Raza, K. Optimization of ANN architecture: A review on nature-inspired techniques. In Machine Learning in Bio-Signal Analysis and Diagnostic Imaging; Academic Press: Cambridge, MA, USA, 2019; pp. 159–182. [Google Scholar]
- Turabee, G.; Khowja, M.R.; Giangrande, P.; Madonna, V.; Cosma, G.; Vakil, G.; Gerada, C.; Galea, M. The role of neural networks in predicting the thermal life of electrical machines. IEEE Access 2020, 8, 40283–40297. [Google Scholar] [CrossRef]
- Mokhnache, L.; Boubakeur, A.; Noureddine, B.O.; Bedja, M.; Feliachi, A. Application of Neural networks in the thermal ageing prediction of transformer oil. In Proceedings of the 2001 Power Engineering Society Summer Meeting. Conference Proceedings (Cat. No. 01CH37262), Vancouver, BC, Canada, 15–19 July 2001; IEEE: Piscataway, NJ, USA, 2001; Volume 3, pp. 1865–1868. [Google Scholar]
- Mokhnache, L.; Boubakeur, A.; Said, N.N. Application of neural networks paradigms in the diagnosis and thermal ageing prediction of transformer oil. In Proceedings of the 2002 IEEE 14th International Conference on Dielectric Liquids, ICDL 2002 (Cat. No. 02CH37319), Graz, Austria, 12 July 2002; IEEE: Piscataway, NJ, USA, 2002; pp. 258–261. [Google Scholar]
- Mokhnache, L.; Boubakeur, A.; Said, N.N. Comparison of different neural networks algorithms used in the diagnosis and thermal ageing prediction of transformer oil. In Proceedings of the IEEE International Conference on Systems, Man and Cybernetics, Yasmine Hammamet, Tunisia, 6–9 October 2002; IEEE: Piscataway, NJ, USA, 2002; Volume 6. [Google Scholar]
- Mokhnache, L.; Verma, P.; Boubakeur, A. Neural networks in prediction of accelerated thermal ageing effect on oil/paper insulation tensile strength. In Proceedings of the 2004 IEEE International Conference on Solid Dielectrics—ICSD 2004, Toulouse, France, 5–9 July 2004; IEEE: Piscataway, NJ, USA, 2004; Volume 2, pp. 575–577. [Google Scholar]
- Mokhnache, L.; Boubakeur, A. Prediction of the breakdown voltage in a point-barrier-plane air gap using neural networks. In Proceedings of the 2001 Annual Report Conference on Electrical Insulation and Dielectric Phenomena (Cat. No. 01CH37225), Kitchener, ON, Canada, 14–17 October 2001; IEEE: Piscataway, NJ, USA, 2001; pp. 369–372. [Google Scholar]
- Mokhnache, L.; Boubakeur, A. The use of some paradigms of neural networks in prediction of dielectric properties for high voltage liquid solid and gas insulations. In Proceedings of the Conference Record of the the 2002 IEEE International Symposium on Electrical Insulation (Cat. No. 02CH37316), Boston, MA, USA, 7–10 April 2002; IEEE: Piscataway, NJ, USA, 2002; pp. 306–309. [Google Scholar]
- Boukezzi, L.; Boubakeur, A. Prediction of mechanical properties of XLPE cable insulation under thermal aging: Neural network approach. IEEE Trans. Dielectr. Electr. Insul. 2013, 20, 2125–2134. [Google Scholar] [CrossRef]
- Boukezzi, L.; Boubakeur, A. Comparison of some neural network algorithms used in prediction of XLPE HV insulation properties under thermal aging. In Proceedings of the 2012 IEEE International Conference on Condition Monitoring and Diagnosis, Bali, Indonesia, 23–27 September 2012; IEEE: Piscataway, NJ, USA, 2012; pp. 1218–1222. [Google Scholar]
- Zhao, J.X.; Jin, H.Z.; Han, H.W. Dielectric loss factor forecasting based on artificial neural network. In Proceedings of the 2009 Second International Conference on Information and Computing Science, Manchester, UK, 21–22 May 2009; IEEE: Piscataway, NJ, USA, 2009; Volume 3, pp. 177–180. [Google Scholar]
- Shprekher, D.; Babokin, G.; Kolesnikov, E. Application of neural networks for prediction of insulation condition in networks with isolated neutral. In Proceedings of the 2019 International Russian Automation Conference (RusAutoCon), Sochi, Russia, 8–14 September 2019; IEEE: Piscataway, NJ, USA, 2019; pp. 1–6. [Google Scholar]
- Turabee, G.; Cosma, G.; Madonna, V.; Giangrande, P.; Khowja, M.R.; Vakil, G.; Gerada, C.; Galea, M. Predicting insulation resistance of enamelled wire using neural network and curve fit methods under thermal aging. In Proceedings of the 2020 International Joint Conference on Neural Networks (IJCNN), Glasgow, UK, 19–24 July 2020; IEEE: Piscataway, NJ, USA, 2020; pp. 1–7. [Google Scholar]
- Ye, Z.S.; Wang, Y.; Tsui, K.L.; Pecht, M. Degradation data analysis using Wiener processes with measurement errors. IEEE Trans. Reliab. 2013, 62, 772–780. [Google Scholar] [CrossRef]
- Hou, Y.; Du, Y.; Peng, Y.; Liu, D. An improved random effects Wiener process accelerated degradation test model for lithium-ion battery. IEEE Trans. Instrum. Meas. 2021, 70, 1–11. [Google Scholar] [CrossRef]
- Chen, M.; Zhang, B.; Li, H.; Gao, X.; Wang, J.; Zhang, J. Lifetime Prediction of Permanent Magnet Synchronous Motor in Selective Compliance Assembly Robot Arm Considering Insulation Thermal Aging. Sensors 2024, 24, 3747. [Google Scholar] [CrossRef]
- Van Noortwijk, J.M. A survey of the application of gamma processes in maintenance. Reliab. Eng. Syst. Saf. 2009, 94, 2–21. [Google Scholar] [CrossRef]
- Zhao, S.; Peng, Y.; Yang, F.; Ugur, E.; Akin, B.; Wang, H. Health state estimation and remaining useful life prediction of power devices subject to noisy and aperiodic condition monitoring. IEEE Trans. Instrum. Meas. 2021, 70, 1–16. [Google Scholar] [CrossRef]
- Wang, H.; Xu, T.; Mi, Q. Lifetime prediction based on Gamma processes from accelerated degradation data. Chin. J. Aeronaut. 2015, 28, 172–179. [Google Scholar] [CrossRef]
- Abdel-Hameed, M. A gamma wear process. IEEE Trans. Reliab. 1975, 24, 152–153. [Google Scholar] [CrossRef]
- Singpurwalla, N.D. Survival in dynamic environments. Stat. Sci. 1995, 10, 86–103. [Google Scholar] [CrossRef]
- Park, C.; Padgett, W. Accelerated degradation models for failure based on geometric Brownian motion and gamma processes. Lifetime Data Anal. 2005, 11, 511–527. [Google Scholar] [CrossRef] [PubMed]
- Lawless, J.; Crowder, M. Covariates and random effects in a gamma process model with application to degradation and failure. Lifetime Data Anal. 2004, 10, 213–227. [Google Scholar] [CrossRef] [PubMed]
- Mahmoodian, M.; Alani, A. Modeling deterioration in concrete pipes as a stochastic gamma process for time-dependent reliability analysis. J. Pipeline Syst. Eng. Pract. 2014, 5, 04013008. [Google Scholar] [CrossRef]
- Wei, Q.; Xu, D. Remaining useful life estimation based on gamma process considered with measurement error. In Proceedings of the 2014 10th International Conference on Reliability, Maintainability and Safety (ICRMS), Guangzhou, China, 6–8 August 2014; IEEE: Piscataway, NJ, USA, 2014; pp. 645–649. [Google Scholar]
- Park, S.H.; Kim, J.H. Application of gamma process model to estimate the lifetime of photovoltaic modules. Sol. Energy 2017, 147, 390–398. [Google Scholar] [CrossRef]
- Park, S.H.; Kim, J.H. Lifetime estimation of LED lamp using gamma process model. Microelectron. Reliab. 2016, 57, 71–78. [Google Scholar] [CrossRef]
- Bhattacharyya, G.; Fries, A. Fatigue Failure Models - Birnbaum-Saunders vs. Inverse Gaussian. IEEE Trans. Reliab. 1982, 31, 439–441. [Google Scholar] [CrossRef]
- Doksum, K.A.; Hbyland, A. Models for variable-stress accelerated life testing experiments based on wener processes and the inverse gaussian distribution. Technometrics 1992, 34, 74–82. [Google Scholar] [CrossRef]
- Guérin, F.; Barreau, M.; Cloupet, S.; Hersant, J.; Hambli, R. Bayesian estimation of degradation model defined by a Wiener process-Application on disc brake wear. IFAC Proc. Vol. 2010, 43, 74–79. [Google Scholar] [CrossRef]
- Çağlar, R.; İkizoğlu, S.; Şeker, S. Statistical Wiener process model for vibration signals in accelerated aging processes of electric motors. J. Vibroengineering 2014, 16, 800–807. [Google Scholar]
- Whitmore, G. Estimating degradation by a Wiener diffusion process subject to measurement error. Lifetime Data Anal. 1995, 1, 307–319. [Google Scholar] [CrossRef] [PubMed]
- Wang, X. Wiener processes with random effects for degradation data. J. Multivar. Anal. 2010, 101, 340–351. [Google Scholar] [CrossRef]
- Si, X.S.; Wang, W.; Hu, C.H.; Zhou, D.H.; Pecht, M.G. Remaining useful life estimation based on a nonlinear diffusion degradation process. IEEE Trans. Reliab. 2012, 61, 50–67. [Google Scholar] [CrossRef]
- Wang, X.; Balakrishnan, N.; Guo, B. Residual life estimation based on a generalized Wiener degradation process. Reliab. Eng. Syst. Saf. 2014, 124, 13–23. [Google Scholar] [CrossRef]
- Zhang, Z.X.; Si, X.S.; Hu, C.H. An age-and state-dependent nonlinear prognostic model for degrading systems. IEEE Trans. Reliab. 2015, 64, 1214–1228. [Google Scholar] [CrossRef]
- Liao, H.; Tian, Z. A framework for predicting the remaining useful life of a single unit under time-varying operating conditions. Iie Trans. 2013, 45, 964–980. [Google Scholar] [CrossRef]
- Liu, T.; Sun, Q.; Feng, J.; Pan, Z.; Huangpeng, Q. Residual life estimation under time-varying conditions based on a Wiener process. J. Stat. Comput. Simul. 2017, 87, 211–226. [Google Scholar] [CrossRef]
- Ye, Z.S.; Chen, N.; Shen, Y. A new class of Wiener process models for degradation analysis. Reliab. Eng. Syst. Saf. 2015, 139, 58–67. [Google Scholar] [CrossRef]
- Peng, C.Y.; Tseng, S.T. Statistical lifetime inference with skew-Wiener linear degradation models. IEEE Trans. Reliab. 2013, 62, 338–350. [Google Scholar] [CrossRef]
- Wen, Y.; Wu, J.; Das, D.; Tseng, T.L.B. Degradation modeling and RUL prediction using Wiener process subject to multiple change points and unit heterogeneity. Reliab. Eng. Syst. Saf. 2018, 176, 113–124. [Google Scholar] [CrossRef]
- Son, J.; Zhang, Y.; Sankavaram, C.; Zhou, S. RUL prediction for individual units based on condition monitoring signals with a change point. IEEE Trans. Reliab. 2014, 64, 182–196. [Google Scholar] [CrossRef]
- Gebraeel, N.Z.; Lawley, M.A.; Li, R.; Ryan, J.K. Residual-life distributions from component degradation signals: A Bayesian approach. IiE Trans. 2005, 37, 543–557. [Google Scholar] [CrossRef]
- Ng, T.S. An application of the EM algorithm to degradation modeling. IEEE Trans. Reliab. 2008, 57, 2–13. [Google Scholar]
- Yan, W.A.; Song, B.W.; Duan, G.l.; Shi, Y.M. Real-time reliability evaluation of two-phase Wiener degradation process. Commun. Stat.-Theory Methods 2017, 46, 176–188. [Google Scholar] [CrossRef]
- Chen, N.; Tsui, K.L. Condition monitoring and remaining useful life prediction using degradation signals: Revisited. IiE Trans. 2013, 45, 939–952. [Google Scholar] [CrossRef]
- Wang, X.; Jiang, P.; Guo, B.; Cheng, Z. Real-time reliability evaluation for an individual product based on change-point gamma and Wiener process. Qual. Reliab. Eng. Int. 2014, 30, 513–525. [Google Scholar] [CrossRef]
- Ke, X.; Xu, Z. A model for degradation prediction with change point based on Wiener process. In Proceedings of the 2015 IEEE International Conference on Industrial Engineering and Engineering Management (IEEM), Singapore, 6–9 December 2015; IEEE: Piscataway, NJ, USA, 2015; pp. 986–990. [Google Scholar]
- Zhang, J.X.; Hu, C.H.; He, X.; Si, X.S.; Liu, Y.; Zhou, D.H. A novel lifetime estimation method for two-phase degrading systems. IEEE Trans. Reliab. 2018, 68, 689–709. [Google Scholar] [CrossRef]
- Zhang, A.; Wang, Z.; Bao, R.; Liu, C.; Wu, Q.; Cao, S. A novel failure time estimation method for degradation analysis based on general nonlinear Wiener processes. Reliab. Eng. Syst. Saf. 2023, 230, 108913. [Google Scholar] [CrossRef]
- Ma, J.; Cai, L.; Liao, G.; Yin, H.; Si, X.; Zhang, P. A multi-phase Wiener process-based degradation model with imperfect maintenance activities. Reliab. Eng. Syst. Saf. 2023, 232, 109075. [Google Scholar] [CrossRef]
- Wang, Z.; Ta, Y.; Cai, W.; Li, Y. Research on a remaining useful life prediction method for degradation angle identification two-stage degradation process. Mech. Syst. Signal Process. 2023, 184, 109747. [Google Scholar] [CrossRef]
- Chen, Z.; Huang, X.; Liu, A.; Ma, Y.; Zhang, J.; Zhang, Q.; Wang, R.; Li, Z. Reliability-Oriented Multiobjective Optimization of Electrical Machines Considering Insulation Thermal Lifetime Prediction. IEEE Trans. Transp. Electrif. 2023, 10, 2264–2276. [Google Scholar] [CrossRef]
- IEC 60034-18-41; Rotating Electrical Machines—Part 18–41: Partial Discharge Free Electrical Insulation Systems (Type I) Used in Rotating Electrical Machines Fed from Voltage Converters—Qualification and Quality Control Tests. International Electrotechnical Commission: Geneva, Switzerland, 2014.
- Venkatesan, S.; Manickavasagam, K.; Tengenkai, N.; Vijayalakshmi, N. Health monitoring and prognosis of electric vehicle motor using intelligent-digital twin. IET Electr. Power Appl. 2019, 13, 1328–1335. [Google Scholar] [CrossRef]
- Wang, Q.; Jiao, W.; Zhang, Y. Deep learning-empowered digital twin for visualized weld joint growth monitoring and penetration control. J. Manuf. Syst. 2020, 57, 429–439. [Google Scholar] [CrossRef]
- Aivaliotis, P.; Georgoulias, K.; Arkouli, Z.; Makris, S. Methodology for enabling digital twin using advanced physics-based modelling in predictive maintenance. Procedia CIRP 2019, 81, 417–422. [Google Scholar] [CrossRef]
- Li, Y.; Li, M.; Yan, Z.; Li, R.; Tian, A.; Xu, X.; Zhang, H. Application of Life Cycle of Aeroengine Mainshaft Bearing Based on Digital Twin. Processes 2023, 11, 1768. [Google Scholar] [CrossRef]
- Xiong, M.; Wang, H.; Fu, Q.; Xu, Y. Digital twin–driven aero-engine intelligent predictive maintenance. Int. J. Adv. Manuf. Technol. 2021, 114, 3751–3761. [Google Scholar] [CrossRef]



















| Relevant Studies | Aging Indicators | Tests and Methods | Trends with Increasing Aging Time | Failure Criteria |
|---|---|---|---|---|
| [22,30,50] | RBV | Hi-pot tests | Decrease | Value > Criteria |
| [19,46,47] | IR | AC tip-up tests | Decrease | Value > Criteria |
| [44,47,48,51] | tan | AC tip-up tests | Increase | Value < Criteria |
| [39,45,46,48] | IC | AC tip-up tests | Decrease | Value > Criteria |
| [21,38,44] | Increase | Value < Criteria | ||
| [38,39,41,42,43,48] | PDIV | AC or pulse tests with PD sensors | Decrease | Value > Criteria |
| [42] | PDEV | AC or pulse tests with PD sensors | Decrease | Value > Criteria |
| Relevant Studies | Aging Indicators | Tests and Methods | Features with Increasing Aging Time |
|---|---|---|---|
| [11,16] | Color | Image | Gradual darkening |
| [16,52] | Atomic arrangement of cellulose | Atomic force microscope | Bond breakage between atoms; sparse arrangement; enlargement of voids |
| [11,15,39,52,54] | Cracks on fiber surface; diameter of white particles | SEM | Reduction in length and roughness; increase in particle size |
| [11,54,57] | Absorbance | FTIR | Decrease |
| [11,57] | TGA | Initial increase followed by decrease | |
| [52,57] | Grain size | X-ray diffraction | Decrease |
| [53] | Haralick texture features | OCT | Decrease |
| [58] | Fluorescence intensity | Fluorescence characteristic test platform | Decrease |
Disclaimer/Publisher’s Note: The statements, opinions and data contained in all publications are solely those of the individual author(s) and contributor(s) and not of MDPI and/or the editor(s). MDPI and/or the editor(s) disclaim responsibility for any injury to people or property resulting from any ideas, methods, instructions or products referred to in the content. |
© 2025 by the authors. Licensee MDPI, Basel, Switzerland. This article is an open access article distributed under the terms and conditions of the Creative Commons Attribution (CC BY) license (https://creativecommons.org/licenses/by/4.0/).
Share and Cite
Zhang, J.; Wang, J.; Li, H.; Zhang, Q.; He, X.; Meng, C.; Huang, X.; Fang, Y.; Wu, J. A Review of Reliability Assessment and Lifetime Prediction Methods for Electrical Machine Insulation Under Thermal Aging. Energies 2025, 18, 576. https://doi.org/10.3390/en18030576
Zhang J, Wang J, Li H, Zhang Q, He X, Meng C, Huang X, Fang Y, Wu J. A Review of Reliability Assessment and Lifetime Prediction Methods for Electrical Machine Insulation Under Thermal Aging. Energies. 2025; 18(3):576. https://doi.org/10.3390/en18030576
Chicago/Turabian StyleZhang, Jian, Jiajin Wang, Hongbo Li, Qin Zhang, Xiangning He, Cui Meng, Xiaoyan Huang, Youtong Fang, and Jianwei Wu. 2025. "A Review of Reliability Assessment and Lifetime Prediction Methods for Electrical Machine Insulation Under Thermal Aging" Energies 18, no. 3: 576. https://doi.org/10.3390/en18030576
APA StyleZhang, J., Wang, J., Li, H., Zhang, Q., He, X., Meng, C., Huang, X., Fang, Y., & Wu, J. (2025). A Review of Reliability Assessment and Lifetime Prediction Methods for Electrical Machine Insulation Under Thermal Aging. Energies, 18(3), 576. https://doi.org/10.3390/en18030576

