Next Article in Journal
Diffusion Neural Learning for Market Power Risk Assessment in the Electricity Spot Market
Previous Article in Journal
Comparative Dynamic Performance Evaluation of Si IGBTs and SiC MOSFETs
Previous Article in Special Issue
A Study on the Enhanced Extraction of Ultra-High-Frequency Signals Induced by Transformer Core Coupling
 
 
Font Type:
Arial Georgia Verdana
Font Size:
Aa Aa Aa
Line Spacing:
Column Width:
Background:
Article

Parameter Tuning and Adaptive Strategy for Grid-Forming Energy Storage Systems Under Multi-Disturbance Conditions

1
Electric Power Research Institute, Yunnan Power Grid Co., Ltd., Kunming 650214, China
2
Power Dispatch and Control Center, Yunnan Power Grid Co., Ltd., Kunming 650011, China
3
Power Planning and Construction Research Center, Yunnan Power Grid Co., Ltd., Kunming 655211, China
4
School of Energy and Electrical Engineering, Wuhan University, Wuhan 430072, China
*
Author to whom correspondence should be addressed.
Energies 2025, 18(24), 6541; https://doi.org/10.3390/en18246541 (registering DOI)
Submission received: 8 August 2025 / Revised: 29 August 2025 / Accepted: 29 August 2025 / Published: 14 December 2025

Abstract

In power systems with a high penetration of renewable energy, integrating battery energy storage systems can enhance frequency regulation capabilities. However, in “islanded” operation mode, the lack of large grid interconnection support may cause significant frequency fluctuations or even instability when the system faces fault disturbances. To ensure the dynamic stability of the grid-forming energy storage system, this paper proposes a virtual synchronous machine (VSM) control parameter tuning and adaptive switching strategy. A control model is developed, which incorporates virtual inertia, damping, droop control, and transient virtual impedance. An optimization model for control parameter tuning is established for two typical disturbances: generator disconnection and three-phase symmetrical short-circuit fault. Additionally, a control parameter adaptive switching mechanism is designed based on voltage threshold and recovery time criteria. The application of this method to a simulation of an islanded power system demonstrates that high damping (e.g., greater than 15 pu) is suitable for generator disconnection disturbances, while a combination of low inertia (0.1 s) and high damping (50 pu) is appropriate for three-phase short-circuit disturbances. The control parameter tuning for three independent and aggregated scenarios successfully achieves effective frequency support. The adaptive switching criteria are set with a voltage threshold of 0.4 pu and a recovery time of 2 s, ensuring that the system frequency recovers within the specified range (48.5–51.5 Hz) within 1 s under short-circuit disturbance. The proposed method shows great potential for improving the operational stability of grid-forming energy storage systems.

1. Introduction

In remote areas, islands, or situations involving grid disconnection or fault-induced islanding, power systems often operate in an “islanded” mode, forming what is known as an isolated power system [1]. These systems are typically small-scale, with limited resource availability and heightened sensitivity to external disturbances [2]. With the increasing implementation of dual-carbon policy objectives [3], traditional fossil-fuel-based generation units in these systems are progressively being replaced by renewable energy sources such as wind and solar power [4]. As a result, system operation has become increasingly reliant on power-electronics-interfaced sources [5]. In this context, the frequency support and rotational inertia originally provided by synchronous generators are diminishing, leading to growing concerns about frequency stability [6]. Particularly in the absence of interconnection with a large power grid, isolated systems are more susceptible to significant frequency deviations or even instability in the event of disturbances [7]. Therefore, establishing a fast frequency response control mechanism to ensure dynamic stability under high renewable energy penetration has become a critical focus in the control of grid-forming energy storage systems.
To address the insufficient frequency support capacity in isolated power systems, recent research has increasingly focused on grid-forming control strategies based on battery energy storage systems [8,9]. Among these strategies, the virtual synchronous machine (VSM) control scheme has emerged as a representative solution. By embedding inertia and damping responses within power electronic converters, VSM control emulates the dynamic behavior of conventional synchronous machines, offering a novel approach to frequency regulation under high renewable energy penetration [10,11]. For example, Li et al. emphasized that the effectiveness of VSM control is highly dependent on the configuration of its control parameters, particularly the settings of virtual inertia and damping [12]. To achieve optimal control performance under different disturbance types, various studies have developed VSM parameter tuning models based on frequency response metrics [13,14]. Sun et al. proposed a tuning method that accounts for constraints in storage capacity and response speed, introducing a dual-layer control architecture wherein fast-responding storage emulates inertia and damping, while slow-responding storage provides long-term support [15]. Elwakil et al. further advanced an adaptive control strategy based on frequency response optimization, enabling dynamic parameter tuning in islanded microgrids [16]. While these studies have laid a theoretical foundation for VSM parameter optimization, most have concentrated on single-disturbance scenarios and have lacked a systematic approach for multi-disturbance and multi-operating-condition contexts. As energy storage systems are increasingly tasked with balancing functions in islanded grids, there is an urgent need to develop generalized parameter tuning models that can accommodate representative disturbances. Such models would enhance the adaptability and robustness of control strategies under complex operational conditions.
In response to the limitations of fixed-parameter control—particularly its inadequate adaptability and slow response under various disturbance conditions—adaptive control strategies for VSM parameters have gained significant attention in recent years [17]. A prominent line of research introduces intelligent algorithms such as fuzzy logic and neural networks [18,19], which dynamically adjust virtual inertia and damping parameters based on operating conditions such as frequency deviation and power fluctuation. This approach improves both frequency regulation performance and response speed [20]. For example, Li et al. proposed a deep reinforcement learning-based VSM controller that autonomously tunes virtual inertia and damping to suppress system frequency oscillations [21]. Another approach utilizes rule-based logic with predefined switching conditions, allowing rapid parameter switching in response to substantial changes in system states to adapt to various disturbance scenarios [22]. Yu et al., for instance, developed a feedforward reference-based damping tuning method for VSMs that effectively suppresses low-frequency power oscillations without compromising inertia response [23]. Compared to fixed-parameter schemes, adaptive control strategies can better balance frequency stability with the regulatory burden placed on energy storage systems. However, most existing adaptive strategies lack a unified disturbance identification criterion, which makes it difficult to address multiple disturbances—such as sudden generation losses and voltage fluctuations—simultaneously. Particularly, under fault conditions with significant voltage variations, issues like improper inertia settings and delayed control switching frequently arise, negatively impacting frequency recovery and the overall stability of the system.
Despite notable progress in the modeling, parameter tuning, and adaptive control strategies of VSMs, several critical challenges remain in current research [24,25]. On the one hand, most existing parameter tuning methods rely on pre-disturbance operating conditions, limiting their applicability in isolated systems where uncertainties, such as generation unit availability, voltage levels, and synchronous inertia, can dynamically fluctuate. As a result, these methods often show poor generalization across diverse scenarios. On the other hand, many adaptive control strategies are based on single indicators, such as frequency deviation or power error, and lack integrated multi-source information and disturbance identification mechanisms. This shortcoming hampers precise control under complex operational conditions. Particularly, in grid fault scenarios, abrupt voltage sags and the strong dynamic coupling between synchronous machines and grid-forming converters can significantly alter the system’s frequency response pathways. If control parameters designed for steady-state conditions are maintained, this may lead to exacerbated frequency dips or amplified power transients. Furthermore, in practical engineering applications, grid-forming energy storage systems are often required to operate across multiple scenarios. Therefore, the development of a control parameter configuration framework that combines broad applicability with dynamic responsiveness to disturbance variations remains an urgent challenge.
To address the need for dynamic frequency support provided by battery energy storage stations in grid-forming power systems, this study proposes a parameter tuning and adaptive switching strategy for VSM control. First, a comprehensive control model is developed that incorporates virtual inertia, virtual damping, active/reactive power droop control, and transient virtual impedance, enabling a detailed characterization of the dynamic response of energy storage systems under varying operating conditions. Second, an optimization model for control parameter tuning is formulated based on two representative disturbances—generator disconnection and three-phase symmetrical short-circuit faults—to identify the applicability patterns of VSM parameter configurations. Finally, a rule-based adaptive switching mechanism is designed, which utilizes voltage at the converter terminal and system frequency as criteria to achieve integrated mode recognition and real-time parameter updates. This approach aims to enhance the system’s dynamic stability, providing robust frequency regulation even under complex and fluctuating grid conditions.
The features of this study are as follows: (1) An adaptive parameter tuning method for VSM control is proposed, which is applicable to multiple disturbance scenarios, revealing the underlying mechanisms of virtual inertia and damping configurations under different disturbance types; (2) A rule-based adaptive switching strategy for control parameters is developed, significantly enhancing the frequency stability of the grid-forming energy storage system under fault disturbances; (3) The integrated design of control, parameter tuning, and adaptive switching mechanisms is achieved, improving the adaptability and engineering implementability of the control strategy. The similarities and differences between existing research on VSM control in grid-forming systems and this study are summarized in Table 1.
The remainder of this paper is organized as follows. Section 2 develops the power converter control model for the grid-forming energy storage system, providing theoretical support for the subsequent control parameter tuning. Section 3 focuses on two typical disturbance scenarios and reveals the impact of VSM control parameters on the dynamic frequency characteristics of the system. Section 4 establishes a model for tuning inertia and damping parameters, analyzing the system frequency response characteristics under two types of disturbances and four scenario combinations. Section 5 proposes a rule-based adaptive control parameter switching strategy, enhancing the system’s ability to respond to frequency disturbances. Section 6 presents the conclusions.

2. Control Model of Grid-Forming Energy Storage Systems

This section presents a control-oriented model for the key functional loops within the power converter of a grid-forming energy storage system, encompassing VSM control, virtual speed regulation, reactive power–voltage control, and transient virtual impedance. Here, the term “VSM” specifically refers to the power converter control system of a battery energy storage system operating in a grid-forming mode. By mimicking the dynamic characteristics of a synchronous generator, the VSM facilitates a rapid response to frequency disturbances and is widely recognized as a highly effective method for enhancing frequency stability and providing inertia support in low-inertia power systems [35]. The overall architecture of the control system implemented in this section is depicted in Figure 1.

2.1. VSM Control Modeling

A VSM model based on the classical swing equation is introduced to capture the dynamic behavior of synchronous generators induced by inertia and damping characteristics [36], as illustrated in Figure 2. The model can be expressed as
2 H · d Δ ω ( t ) d t = P M ( t ) P E ( t ) D · Δ ω ( t ) Δ ω ( t ) = ω r e f ω ( t )
Here, t denotes the current time, ω r e f represents the system rated angular frequency, Δω represents the deviation in the virtual rotor’s angular frequency, and ω is the actual angular frequency. H is the virtual inertia, and D is the virtual damping coefficient; both H and D are tunable control parameters. PM and PE represent the virtual mechanical input power and electrical output power, respectively. All angular frequency and power quantities are expressed in pu. Accordingly, the virtual mechanical power term in Equation (1) can be reformulated as
P M = P r e f + P F
Here, Pref denotes the active power reference, and PF represents the active power regulation component induced by the virtual rotor’s angular velocity error. The outputs of this module include the angular frequency ω and the phase angle θ , where θ is obtained by integrating ω . Together, these two variables determine the output voltage’s frequency and phase characteristics.

2.2. Virtual Speed Regulation Control Modeling

The virtual speed regulation controller is designed to emulate the load-frequency control functionality of conventional synchronous generators. As illustrated in Figure 2, it dynamically adjusts the active power output based on the deviation in the virtual rotor’s angular velocity. The control logic is formulated as follows.
P F = ω r e f ω c D
Here, cD denotes the active power–frequency droop coefficient. This module serves as a key component in enabling primary frequency regulation for grid-forming converters, allowing them to autonomously modulate active power output in response to frequency deviations, thereby supporting system frequency stability.

2.3. Reactive Power–Voltage Control Modeling

The reactive power–voltage control module regulates the output voltage magnitude of the converter in response to deviations in reactive power, thereby contributing to system voltage stability. As illustrated in Figure 3 [37], the control principle can be expressed as
V r e f ( t ) = V 0 k D · Q ( t ) Q ref
Here, Qref and Q represent the reference and actual reactive power, respectively (in pu); tD denotes the time constant of the control loop; kD is the reactive power–voltage droop coefficient; Vref is the voltage reference value; V is the output voltage magnitude of the converter. V0 denotes the rated voltage, and V also serves as the target output voltage magnitude of the converter as determined by the controller.

2.4. Transient Virtual Impedance Control Modeling

To effectively limit the converter output current under fault conditions, a transient virtual impedance control strategy is introduced. A virtual impedance is dynamically superimposed at the converter output, with its magnitude adjusted according to the real-time current amplitude [38]. As illustrated in Figure 4, when an overcurrent event occurs, the transient virtual impedance controller applies a virtual voltage drop on top of the voltage reference generated by the reactive power–voltage controller, which can be expressed as
V C = V Δ V V I
where VC is the compensated output voltage magnitude, and ΔVVI is the voltage drop introduced by the virtual impedance.
When the current magnitude is below the threshold I I th , the voltage drop is
Δ V V I = I · R V I + j · X V I
where RVI and XVI represent the predefined maximum values of virtual resistance and reactance, respectively. When the output current exceeds the threshold I > I th , the controller activates the current-limiting function, and the voltage drop is given by
Δ V V I = I · Z V I
where ZVI is the virtual impedance that varies linearly with the output current magnitude, expressed as
Z V I ( i ) = I I t h I m a x I t h · ( R V I + j · X V I ) ,   I t h < I I m a x R V I + j · X V I ,         I > I m a x
The diesel generator unit is modeled using the standard synchronous machine model and the IEEE Type_I automatic voltage regulator model provided in the MATLAB R2013b/Simulink® toolbox [39]. The wind power and photovoltaic station systems are modeled based on existing simplified grid-following control models [40,41], which describe dynamic response through first-order transfer functions and account for the current-limiting characteristics of power electronic converters.
In summary, the proposed control model for the grid-forming energy storage system integrates key controllers, including VSM, virtual speed regulation, reactive power–voltage control, and transient virtual impedance. Compared with conventional models that simplify power converters as ideal voltage sources or static controllers, this model offers a more precise representation of the converter’s control response under dynamic disturbances. This enhanced accuracy makes it particularly suitable for characterizing system behavior under representative scenarios, such as generator disconnection and short-circuit faults, thus improving the system’s overall stability and responsiveness to various disturbances.

3. Control Parameters and Their Impact on Frequency Dynamic Characteristics

Based on the control model of the grid-forming energy storage system, this section evaluates the influence of VSM control parameters on the system’s frequency dynamic characteristics. Focusing on two representative disturbance scenarios—(1) sudden disconnection of the largest generation unit and (2) occurrence of a three-phase symmetrical short-circuit fault—this analysis elucidates the roles of virtual inertia and damping parameters in shaping the system’s frequency response, thereby providing theoretical support for subsequent parameter tuning.

3.1. System Configuration and Operating Scenario

The study focuses on the power system of a demonstration industrial park located in a mountainous area of Yunnan Province, China, operating in an isolated microgrid mode. This industrial park is rich in renewable energy resources and has deployed medium- to large-scale wind and photovoltaic power generation systems. Due to the relatively weak power grid infrastructure in the region and its unstable connection to the external grid, isolated operation is common. The system serves as a demonstration project for the optimized configuration of grid-forming energy storage, with its topology shown in Figure 5 and system component parameters listed in Table 2. The transmission network operates at a voltage level of 20 kV, and the power generation system includes two diesel power plants, one photovoltaic power plant, and two wind farms. The two diesel power plants are equipped with three 15.4 MVA units and three 10 MVA units, respectively; the photovoltaic power plant has an installed capacity of 9.6 MW, occupying 7.6 hectares; the two wind farms have installed capacities of 9.8 MW and 4.9 MW, respectively. The system’s total load fluctuates with time, ranging from 15.6 MW (off-peak) to 31.8 MW (peak). To improve the system’s frequency stability, an 11.5 MW battery energy storage station is introduced, with its power converter operating in VSM control mode to support the system’s frequency regulation in conjunction with at least one diesel generator.
Figure 6 illustrates the typical daily load profile of the industrial park under islanded operation, with the system load fluctuating between 14.5 MW and 28.5 MW. It can be observed that the load remains at around 15 MW during the off-peak period from 2:00 to 5:00. From 6:00 to 10:00, the load exhibits a pronounced increase, reaching a peak of 28.5 MW around 9:00–10:00. Subsequently, between 11:00 and 15:00, the load decreases slightly and stabilizes within the range of 23–25 MW. A secondary peak of approximately 27.5 MW occurs during 17:00–21:00, after which the load gradually declines toward the end of the day (22:00–23:00). As listed in Table 3, this load profile highlights two representative operational challenges: (1) During the midday and peak periods, the rotational reserve provided by the diesel generators is insufficient; (2) During the off-peak period, the system frequency becomes unstable due to the integration of renewable energy sources.
The system prioritizes scheduling the large-capacity Diesel Generator 1 (15.4 MVA), which operates within a conventional power range of 4.2–12.3 MW. The battery energy storage system serves as a rotating reserve resource for frequency regulation, with an initial output of zero. The system frequency tolerance range is set between 48.5 and 51.5 Hz; if the frequency falls below the lower limit, a load shedding protection mechanism will be triggered. It is important to note that the power system operates in an isolated mode without large grid interconnection support and has a high proportion of renewable energy integration. Therefore, a broader frequency range is set to ensure that the system has greater flexibility to adjust during disturbances and avoid prolonged frequency deviation from the normal range, which could lead to system instability.
To reveal the system frequency response characteristics under different diesel generator output ratios, scenarios 2 and 3 were selected for analysis. Although both scenarios operate under relatively weak rotating reserve capacity, there is a significant difference in the output share of the diesel generators in the total load, reflecting different typical cases of synchronous generation support capability. Additionally, since this paper focuses on evaluating the dynamic regulation performance of the battery energy storage system in primary frequency control, the simulation does not include secondary frequency regulation mechanisms. The default control parameters of the virtual synchronous generator are set according to reference [22], with specific values listed in Table 4. The virtual inertia (H) and virtual damping (D) are the tuning parameters, with no default values set.

3.2. Disturbance Scenario 1: Generator Disconnection

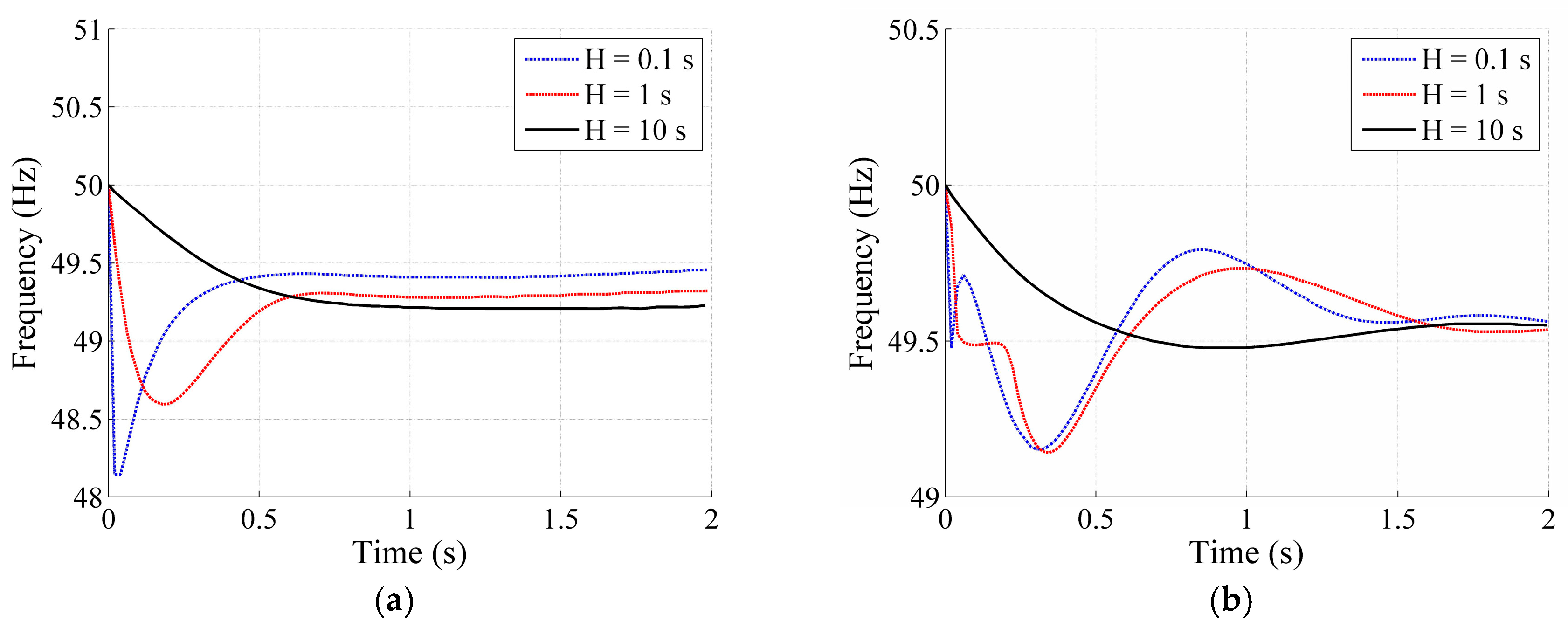
The simulation for this condition assumes the sudden disconnection of Diesel Generator 1 after the system stabilizes (given: t = 0   s ), resulting in a 12 MW power loss in scenario 2 and a 10.5 MW power loss in scenario 3. To analyze the impact of VSM control parameters on frequency response, virtual damping (D) is first fixed at 20 pu, and the effect of virtual inertia on the synthesized frequency of the VSM is examined. The simulation results are shown in Figure 7a,b. Under three different inertia settings, the system stabilization time in scenario 2 is less than 1 s, and, in scenario 3, it is less than 2 s, both achieving rapid stabilization. A larger virtual inertia can suppress the frequency fluctuation range. With a larger inertia H = 10   s , the frequency fluctuation widths for the two scenarios are 8 Hz and 5 Hz, significantly smaller than the other two inertia settings. Next, with virtual inertia (H) fixed at 1 s, the effect of virtual damping on frequency is analyzed, as shown in Figure 7c,d. Under three different damping settings, the system stabilization time in both scenario 2 and scenario 3 is less than 2 s. The analysis indicates that virtual damping mainly affects the frequency decay process, with higher virtual damping helping to increase the lowest frequency point. With high damping D = 50   pu , the system frequency is approximately 0.4 Hz higher compared to the lower damping setting.

3.3. Disturbance Scenario 2: Three-Phase Symmetrical Short-Circuit Fault

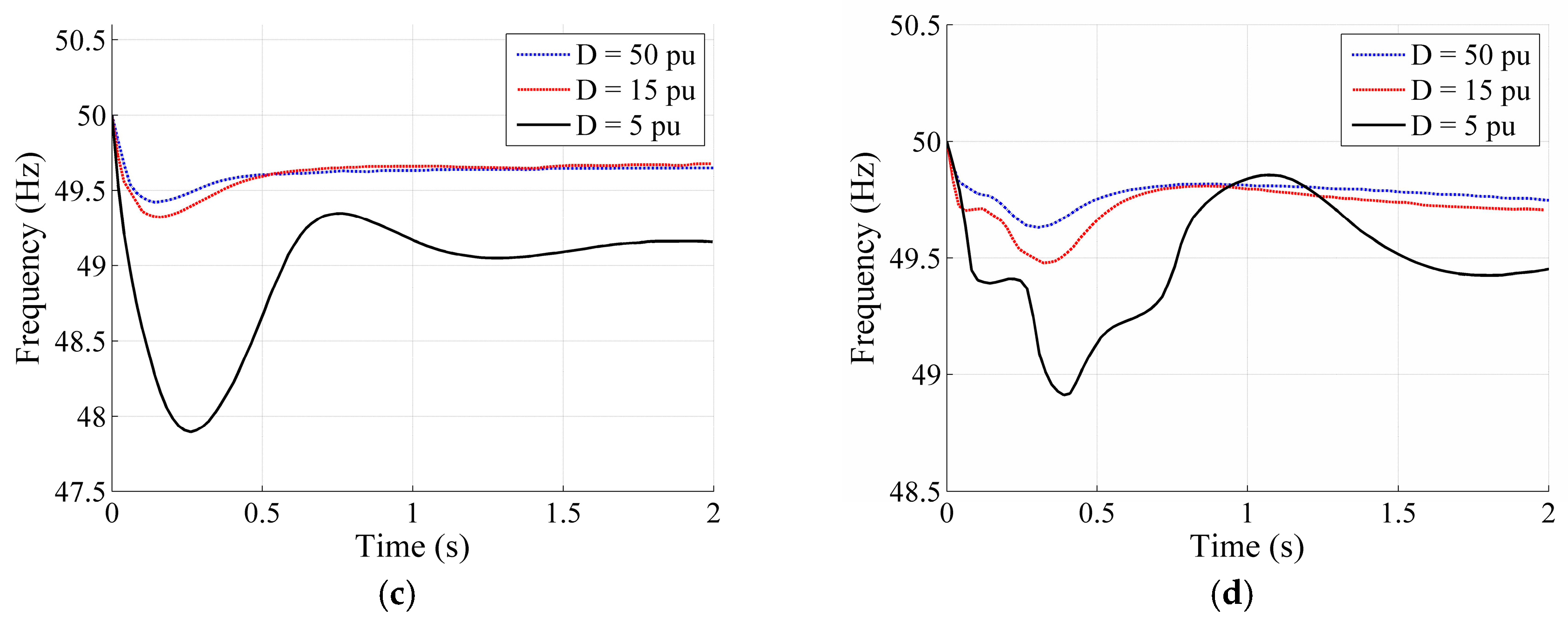
In this scenario, a three-phase symmetrical short-circuit fault occurs at the given time t = 0   s , located on the transmission line connecting buses B7 and B8, as shown in Figure 5. The fault is cleared after 200 milliseconds, followed by the permanent disconnection of the affected line. First, the virtual damping coefficient (D) is fixed at 20 pu to analyze the effect of varying virtual inertia on the synthesized frequency response of the VSM. The corresponding results are presented in Figure 8a,b. Next, the virtual inertia (H) is fixed at 0.1 s to investigate the influence of virtual damping on frequency response, with results shown in Figure 8b,d. Under both scenario 2 and scenario 3, the frequency response evolution exhibits a generally consistent trend.
The results indicate that during the short-circuit fault, variations in virtual inertia have limited impact on the frequency response. This is attributed to the significantly reduced residual voltage in the system, which causes the VSM to promptly activate current limiting, thereby preventing the inertia control from taking effect. After the fault is cleared, the frequency response is significantly sensitive to the inertia setting. Low inertia H = 0.1   s facilitates quick frequency recovery, with the system stabilization time in both scenarios being less than 2 s. On the other hand, high inertia H = 1.5   s induces noticeable oscillations. This is due to the fact that, although high inertia suppresses the rate of frequency change, it also delays frequency restoration. Similarly, virtual damping has minimal influence on frequency response during the initial fault period. After the fault is cleared, the frequency stabilizes within 2 s, but the frequency response shows significant differences based on the damping setting. Under low damping D = 5   pu , the VSM-synthesized frequency rises rapidly with large amplitude, whereas high damping D = 50   pu effectively suppresses such fluctuations. These results suggest that virtual damping begins to play a significant role once voltage recovery occurs. Although lower damping helps reduce the active power surge between the VSM and diesel generator, it also weakens the system’s frequency stability.
To further evaluate the impact of control parameters on system response, the variation in rotor angle difference between the diesel generator and the VSM under different control parameter settings is analyzed, with results shown in Figure 9. Taking scenario 2 as an example, after the fault is cleared, a smaller inertia setting H = 0.1   s leads to a rapid stabilization of the angle difference, while a larger inertia setting H = 1.5   s induces pronounced oscillations. The effect of virtual damping follows a similar pattern: low damping D = 5   pu results in severe angle fluctuations, whereas high damping D = 50   pu effectively suppresses such oscillations and facilitates faster resynchronization of the system. In summary, although the influence of virtual inertia and damping is limited during the fault period, these parameters significantly determine the angle response characteristics after voltage recovery. The proper tuning of control parameters can help suppress angle oscillations, reduce the risk of loss of synchronism, and enhance system synchronization stability.

4. Parameter Tuning of Grid-Forming Control

The control parameters of the VSM have a significant impact on grid frequency performance, with effects varying depending on the type of disturbance. This section proposes a VSM parameter tuning method tailored to two representative disturbance scenarios: (1) generator disconnection, and (2) three-phase symmetrical short-circuit fault.

4.1. Control Parameter Tuning Model

To improve the frequency regulation performance of the battery energy storage station under typical disturbance conditions, a tuning method for VSM control parameters is proposed. The optimization objective is to minimize the total energy (E) delivered by the battery energy storage system to support system frequency. The control variables are the virtual inertia (H) and virtual damping (D) of the VSM. Three constraints are imposed: (1) the system frequency must remain within the allowable range of 48.5–51.5 Hz after the disturbance occurs; (2) the frequency must settle within this range within 8 s after the disturbance; (3) the optimization must satisfy the above constraints simultaneously across all three operating scenarios (scenarios 1–3). These constraints aim to balance the system’s frequency stability and energy consumption. Constraint 1 ensures that the frequency remains within a reasonable range during disturbances, preventing excessive fluctuations that could lead to system instability or equipment damage. Constraint 2 requires the system to stabilize within 8 s, ensuring that the battery energy storage system can quickly provide frequency support and prevent prolonged oscillations. Constraint 3 guarantees that the system can operate efficiently and provide stable frequency support across different scenarios while controlling energy consumption.
The optimization model is formulated as
min   E =   E 1 + E 2 + E 3 s . t .     f m i n Δ f k f m a x ,       k = 1 ,   2 ,   3 t 8 s ,   28 s ,       Δ f m a x ,   k Δ f m i n ,   k f B
where subscript k denotes the scenario index as listed in Table 1. The objective function (E) represents the sum of the absolute energy output by the battery energy storage system over the first 20 s following the disturbance across the three scenarios. Δ f denotes the system frequency deviation from the nominal value of 50 Hz; the lower and upper deviation limits f m i n ,   f m a x correspond to 48.5 Hz and 51.5 Hz, respectively. The allowable frequency fluctuation bandwidth fB is set to 100 mHz. The system frequency is defined as the center-of-inertia frequency [42], expressed as
ω C = H · ω + i = 1 m H i · ω i H + i = 1 m H i ,   i = 1 ,   2 ,   . . .   ,   m
where H i and ω i denote the synchronous inertia and actual angular frequency of the i-th diesel generator, and m is the number of diesel generators currently in operation. The optimization problem is solved using a genetic algorithm [43], which does not rely on gradient information and offers strong global search capabilities, making it well-suited for handling nonlinear problems with multiple constraints.

4.2. Tuning Results and Discussion

The proposed optimization model is applied to two typical disturbance scenarios: (1) Disturbance 1: disconnection of the largest-capacity diesel generator unit; and (2) Disturbance 2: a three-phase symmetrical short-circuit fault occurring at the upstream end of the distribution line supplying load point L2. Two parameter tuning strategies are considered: (1) joint tuning across scenarios 1–3, forming an aggregated scenario referred to as scenario 0; and (2) independent tuning for each of the three scenarios. Table 5 presents the optimal control parameter configurations under each disturbance condition, including the VSM’s inertia (H), damping coefficient (D), and the corresponding objective function value (E).
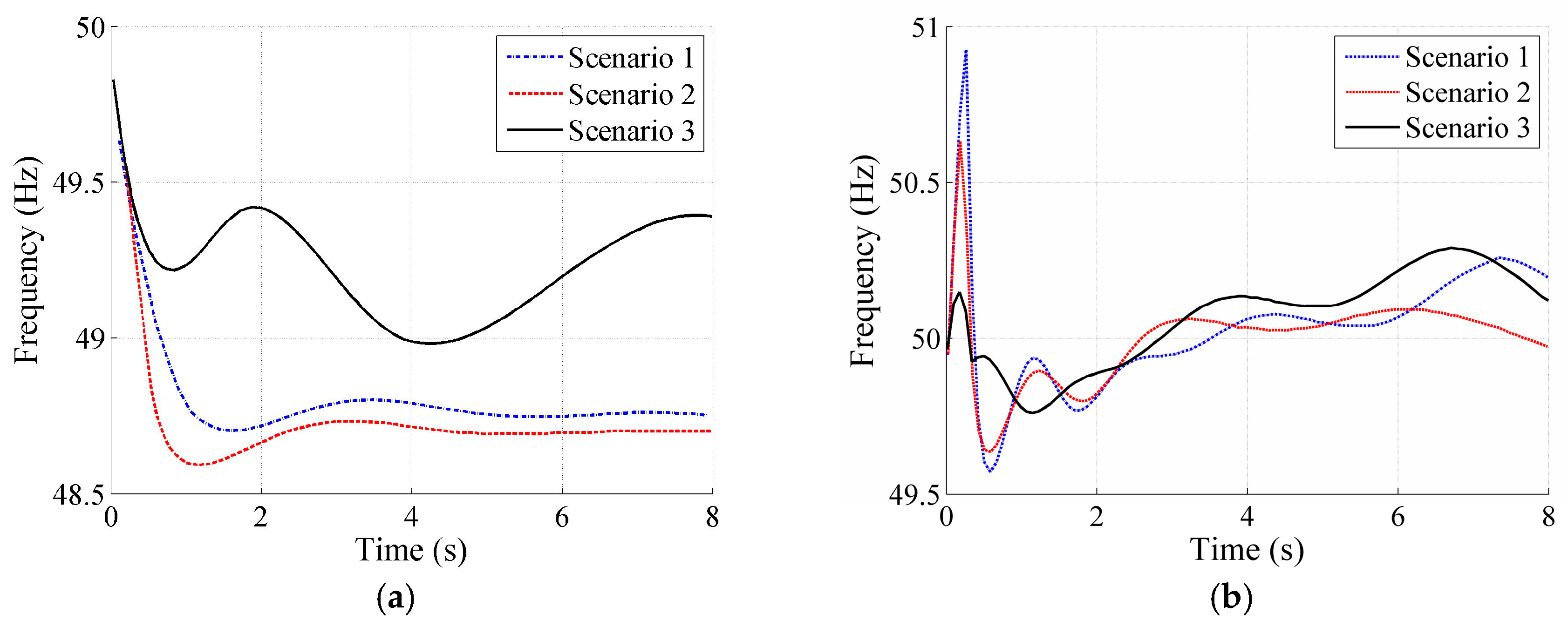
As shown in Figure 10, applying the optimal control parameters obtained from the aggregated scenario results in stable and adaptive frequency responses under both typical disturbance conditions. Figure 10a shows that, in the case of a diesel generator disconnection, the system frequency rapidly drops initially but quickly recovers, stabilizing within the specified range (48.5–51.5 Hz) within 1 s. Differences in frequency evolution are observed across operating scenarios, particularly in scenario 2, where only two diesel generators are in operation. Due to the reduced synchronous inertia, the frequency drop is most pronounced. To enhance frequency support in this case, the corresponding optimal configuration includes a relatively large virtual inertia H = 6.5   s . Figure 10b illustrates that, under the short-circuit fault disturbance, the system frequency initially fluctuates but stabilizes rapidly after 1 s. Effective frequency suppression is achieved in all operating scenarios, demonstrating good transient stability. A combination of smaller virtual inertia H = 0.015   s and larger virtual damping D = 4.5   pu effectively mitigates frequency oscillations and facilitates rapid system resynchronization.
Overall, the parameter configurations obtained through disturbance-specific tuning exhibit strong adaptability across different operating scenarios and significantly enhance frequency regulation performance. Further comparison reveals that the control parameters tuned for the aggregated scenario (scenario 0) maintain compliant frequency responses in all individual scenarios (1–3), indicating a certain level of generalizability. Although the objective function values for the aggregated scenario are slightly higher compared to scenario-specific optimization—by 0.3% for Disturbance 1 and 4.8% for Disturbance 2—this approach simplifies the parameter switching process and reduces the coupling between the controller and operational states. As a result, it improves the engineering feasibility and consistency of the grid-forming control strategy. In addition, the simulation results reveal a general trend in VSM parameter behavior: under large-scale generation loss, the optimal configurations typically correspond to higher virtual inertia values. For example, in Scenario 3, although the system load is relatively high, the limited number of operating diesel generators restricts the available synchronous inertia. Consequently, increasing virtual inertia becomes essential to enhance frequency stability. In actual system operations, more unpredictable disturbances may arise, such as fluctuations in wind and photovoltaic power generation, as well as sudden changes in load demand. These random disturbances could lead to deviations in the system’s frequency response compared to the simulation results. To address this, a stochastic disturbance model could be introduced to simulate real-world conditions. Additionally, dynamic adjustment of control parameters based on real-time monitoring data could further enhance the adaptability and robustness of the control strategy.

5. Adaptive Switching Strategy for Control Parameters

To enhance the control performance of VSMs under typical disturbances, this paper proposes a rule-based adaptive switching strategy for control parameters. This strategy enables the automatic adjustment of the VSM’s virtual inertia and damping parameters in response to changes in system operating conditions, thereby improving the responsiveness to frequency disturbances. The preceding analysis has shown that control parameters significantly influence system frequency behavior under different types of disturbances, and the optimal configuration is highly dependent on fault characteristics, system synchronous inertia, and voltage dynamics. Using fixed parameter settings may lead to degraded frequency regulation performance and even trigger operational risks such as frequency limit violations. To avoid this issue, specific thresholds are set to enable smooth switching between different modes, thereby enhancing the system’s stability and recovery capability.
In the proposed strategy, system operating conditions are classified into two modes: normal mode and fault mode. Based on real-time measurements of converter terminal voltage, grid frequency, and voltage recovery time, the current operating mode is identified, and the control system switches between two corresponding sets of control parameters. During fault detection, measurement noise or transient fluctuations may occur. To prevent false triggering, Kalman filtering or rate-of-change-based identification strategies can be employed.
As illustrated in Figure 11, the design logic of the rule-based mechanism can be summarized as follows. (1) When the voltage drops below the threshold, the system is identified as being subject to a severe disturbance; it immediately switches to the fault mode, where the low-inertia and high-damping settings are employed to rapidly suppress voltage and frequency decline. (2) Once the voltage recovers above the threshold and remains stable for a certain duration, or when the system frequency falls below the prescribed limit, the control is switched back to the normal mode (high inertia and low damping), thereby avoiding excessive oscillations caused by frequent parameter switching. The control logic is defined as
H N , D N , if   V M V t h     f < f l i m H F , D F , if     V M < V t h     t R < t l i m
Here, the subscripts N and F represent the normal mode and fault mode, respectively; V denotes the measured converter terminal voltage, f is the system frequency, and t R is the voltage recovery time. The control rule parameters include V t h , f l i m , and t l i m , which correspond to the voltage threshold, the lower frequency limit, and the maximum allowable voltage recovery time, respectively. According to system operating requirements, the frequency threshold f l i m is set to 48.5 Hz.

5.1. Tuning of Control Rule Parameters

The fault mode is defined as a three-phase short-circuit fault occurring between buses B1 and B2, which is cleared after 200 ms. Various fault resistance values R = 20   Ω ,     15   Ω ,     10   Ω are considered to reflect different levels of residual voltage. The control parameters are based on the optimal results obtained from the aggregated scenario: the configuration H N = 6.5   s ,   D N = 0   pu is applied in the normal mode, while the configuration H F = 0.015   s ,   D N = 4.5   pu is used in the fault mode. By comparing system frequency stability and the regulation behavior of the energy storage system under different conditions, appropriate values for the control rule parameters—voltage threshold V t h and voltage recovery time limit t l i m —are determined.
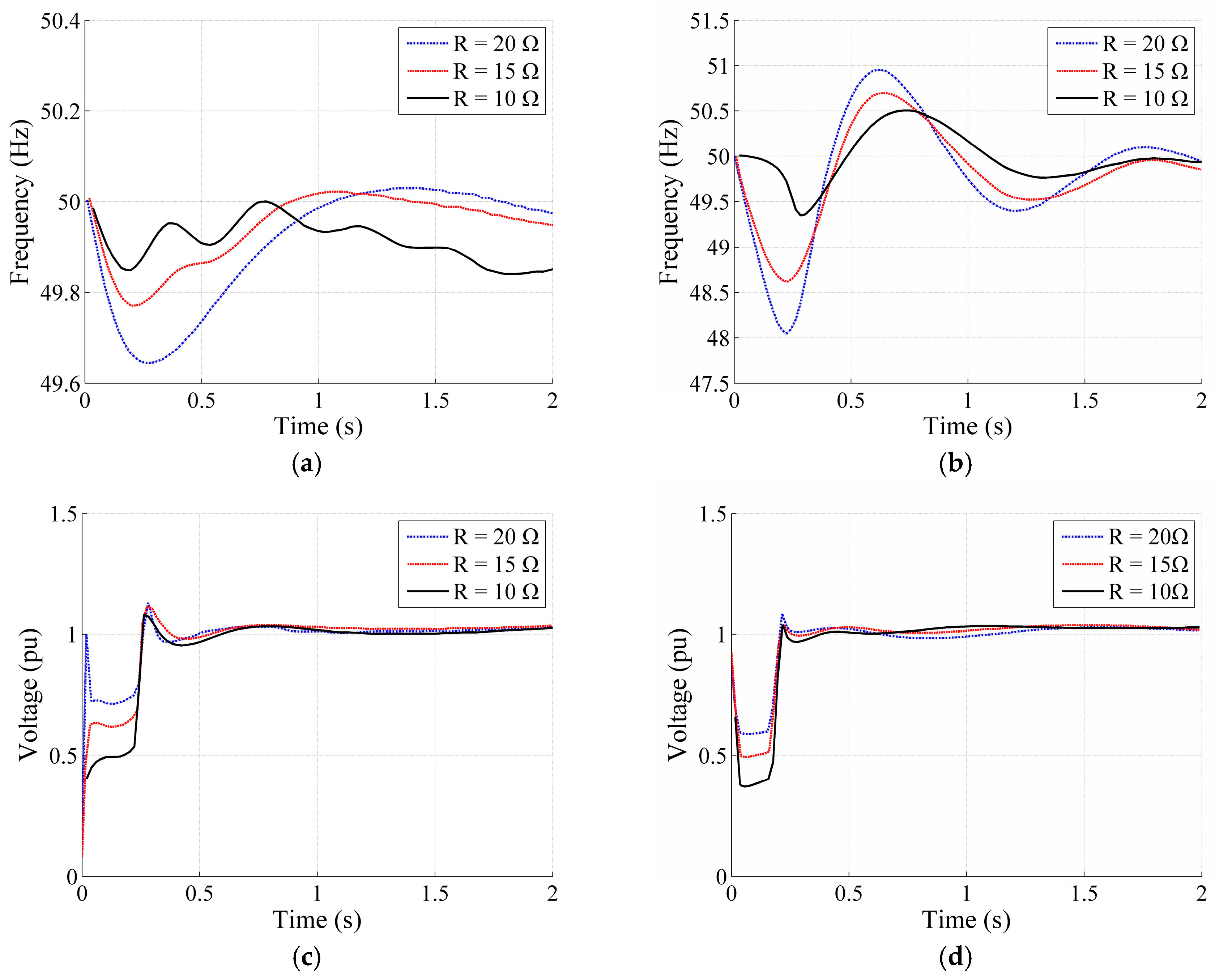
Figure 12c,d show that, under normal mode control, the minimum terminal voltage is approximately 0.38 pu when using the parameter R = 10   Ω , while it remains above 0.4 pu when using the parameter R = 20   Ω ,     15   Ω . Combined with the frequency response in Figure 9a, it can be seen that applying fault-mode parameters under the condition V > 0.4   pu would lead to intensified frequency fluctuations or even violations of frequency limits. Therefore, a voltage threshold V t h = 0.4   pu is defined as the boundary criterion for mode switching. The voltage threshold has a significant impact on the frequency response. If the voltage recovery is slow or exceeds the set threshold, it may lead to excessive frequency fluctuations, thus affecting system stability. When the voltage recovery is delayed, the system cannot switch back to normal mode in time, which increases the recovery time and delays frequency stabilization.
Figure 12 also shows that, under all three fault resistance conditions, the voltage recovers to 0.9 pu within 0.2 s. However, if the control parameters are immediately switched back to normal mode, the abrupt change in inertia may induce unnecessary frequency oscillations and increase the regulation burden on the energy storage system. To avoid false switching and power surges, a minimum voltage recovery holding time t l i m = 2   s is defined as a delay condition for switching from fault mode back to normal mode, ensuring a stable system transition. This delay helps to ensure a smooth transition, preventing system oscillations or unstable responses caused by frequent switching.

5.2. Performance Comparison

To verify the effectiveness of the proposed adaptive control parameter switching strategy, a three-phase symmetrical short-circuit fault lasting 200 milliseconds is applied at bus B6. After the fault is cleared, the associated wind power station is disconnected. This disturbance combination simulates the coupled impact of a sudden voltage drop and generation loss, aiming to assess the strategy’s capability to maintain frequency stability. Three operating conditions are established to compare the performance of the proposed strategy with conventional strategies: (1) Operating condition 1 uses the normal mode parameters, i.e., the parameter tuning strategy without considering disturbances, as in reference [34]; (2) Operating condition 2 uses fixed fault mode parameters, i.e., the conventional non-adaptive parameter tuning strategy, as in reference [23]; (3) Operating condition 3 applies the proposed adaptive control parameter switching strategy. Scenario 2, characterized by the lowest synchronous inertia and minimal spinning reserve, is selected for system frequency simulation analysis. The results are shown in Figure 13.
The results show significant differences in system frequency response across the three operating conditions. In operating condition 1, the system maintains high inertia throughout the process, leading to excessive inertia injection during the fault period, which results in increased frequency oscillations, preventing convergence within 2 s. In operating condition 2, the system stability time is less than 2 s, but, due to insufficient inertia, the frequency drop reaches 47.6 Hz, exceeding the frequency safety limit. In contrast, operating condition 3 employs low inertia and high damping parameters during the initial fault period to mitigate the frequency drop and achieve a smooth transition within 0.5 s.
After voltage recovery, the system switches promptly to the normal mode, enabling rapid frequency restoration and stabilization above 48.5 Hz, within the allowable operating range. In summary, the proposed adaptive switching strategy for control parameters effectively balances frequency stability and response speed, while also reducing the regulation burden on the battery energy storage system, demonstrating strong adaptability and practical engineering applicability.

6. Conclusions

This paper proposes a VSM control parameter tuning and adaptive switching strategy to improve the frequency regulation performance of grid-forming energy storage systems under multiple disturbance conditions. The main contributions of this paper are summarized as follows. First, based on the grid-forming control structure, a comprehensive control model is established, covering virtual inertia, virtual damping, droop control, and transient virtual impedance. Second, an optimization model for parameter tuning is developed for two typical disturbances: generator disconnection and three-phase symmetrical short-circuit faults, specifying the optimal configurations of virtual inertia and damping under different operating conditions. Lastly, a rule-based adaptive control parameter switching strategy is proposed, integrating multi-disturbance aggregation scenario-based parameter tuning and real-time state recognition based on voltage/frequency criteria into a control framework.
This method is applied to control parameter tuning and operational state simulation of a specific isolated microgrid system, leading to the following key conclusions. (1) The performance of the grid-forming energy storage system in frequency regulation tasks in an isolated grid is highly dependent on the virtual synchronous generator (VSG) parameter settings. In the case of a sudden disconnection of a large-capacity generation unit, a larger virtual inertia (e.g., greater than 15 pu) should be selected to enhance the frequency support capability. In the case of a three-phase symmetrical short-circuit fault, low inertia (e.g., 0.1 s) and high damping (e.g., 50 pu) parameters should be used to suppress oscillations and ensure transient stability. (2) The joint tuning of parameters for multiple operating conditions can effectively improve the applicability of the control strategy. Compared to single-scenario parameter optimization, the aggregated scenario parameter tuning results exhibit good frequency maintenance capability across all scenarios, significantly improving the consistency of system operation state control and the engineering feasibility. (3) The rule-based adaptive control parameter switching strategy significantly improves the system’s dynamic response performance. By judging the system state through port voltage, frequency, and recovery time, it automatically switches the VSG control mode, effectively balancing adjustment speed, frequency stability, and energy storage power burden, demonstrating excellent dynamic adaptability. The voltage threshold is set to 0.4 pu, and the recovery time is set to 2 s, ensuring that the system frequency can recover to the specified range within 1 s under short-circuit disturbances.
The limitation of the proposed method lies in the reliance on simulation-based analysis and offline tuning for rule parameter selection, which lacks adaptability to stochastic uncertainties and variations in network topology. Future research may focus on online parameter identification, the optimization of intelligent switching logic, and the development of multi-source integrated regulation mechanisms to further enhance the applicability of grid-forming energy storage system control in complex power system environments.

Author Contributions

S.X.: Conceptualization, Methodology, Writing—original draft preparation; X.X.: Software, Data curation, Visualization, Investigation, Formal analysis; H.S.: Supervision, Resources, Validation, Funding acquisition; J.C.: Writing—reviewing and editing, Project administration. H.M.: Data curation, Visualization. All authors have read and agreed to the published version of the manuscript.

Funding

This research was funded by research and application of regional distribution network reliability improvement technology based on energy storage and distributed power sources (grant numbers YNKJXM20240274, YNKJXM20240212, YNKJXM20240272).

Data Availability Statement

Data will be made available on request.

Conflicts of Interest

Author Shoudong Xu, Xinze Xi, Hengchu Shi, and Junzhao Cheng were employed by the company Yunnan Power Grid Co., Ltd. The remaining authors declare that the research was conducted in the absence of any commercial or financial relationships that could be construed as potential conflicts of interest.

References

  1. Ranjan, S.; Jaiswal, S.; Latif, A.; Das, D.C.; Sinha, N.; Hussain, S.S.; Ustun, T.S. Isolated and interconnected multi-area hybrid power systems: A review on control strategies. Energies 2021, 14, 8276. [Google Scholar] [CrossRef]
  2. Panigrahi, B.K.; Bhuyan, A.; Shukla, J.; Ray, P.K.; Pati, S. A comprehensive review on intelligent islanding detection techniques for renewable energy integrated power system. Int. J. Energy Res. 2021, 45, 14085–14116. [Google Scholar] [CrossRef]
  3. Yi, Y.; Chang, L.; Wu, B.; Zhao, J.; Peng, H.; Li, L.; Wang, A. Life cycle assessment of energy storage technologies for new power systems under dual-carbon target: A review. Energy Technol. 2024, 12, 2301129. [Google Scholar] [CrossRef]
  4. Tan, B.; Zhao, J.; Netto, M.; Krishnan, V.; Terzija, V.; Zhang, Y. Power system inertia estimation: Review of methods and the impacts of converter-interfaced generations. Int. J. Electr. Power Energy Syst. 2022, 134, 107362. [Google Scholar] [CrossRef]
  5. Rana, M.M.; Uddin, M.; Sarkar, M.R.; Meraj, S.T.; Shafiullah, G.M.; Muyeen, S.M.; Jamal, T. Applications of energy storage systems in power grids with and without renewable energy integration—A comprehensive review. J. Energy Storage 2023, 68, 107811. [Google Scholar] [CrossRef]
  6. Ram-Babu, N.; Bhagat, S.K.; Saikia, L.C.; Chiranjeevi, T.; Devarapalli, R.; García Márquez, F.P. A comprehensive review of recent strategies on automatic generation control/load frequency control in power systems. Arch. Comput. Methods Eng. 2023, 30, 543–572. [Google Scholar] [CrossRef]
  7. Elalfy, D.A.; Gouda, E.; Kotb, M.F.; Bureš, V.; Sedhom, B.E. Comprehensive review of energy storage systems technologies, objectives, challenges, and future trends. Energy Strategy Rev. 2024, 54, 101482. [Google Scholar] [CrossRef]
  8. Sutikno, T.; Arsadiando, W.; Wangsupphaphol, A.; Yudhana, A.; Facta, M. A review of recent advances on hybrid energy storage system for solar photovoltaics power generation. IEEE Access 2022, 10, 42346–42364. [Google Scholar] [CrossRef]
  9. Zhao, C.; Andersen, P.B.; Træholt, C.; Hashemi, S. Grid-connected battery energy storage system: A review on application and integration. Renew. Sustain. Energy Rev. 2023, 182, 113400. [Google Scholar] [CrossRef]
  10. Muftau, B.; Fazeli, M. The role of virtual synchronous machines in future power systems: A review and future trends. Electr. Power Syst. Res. 2022, 206, 107775. [Google Scholar] [CrossRef]
  11. Citroni, R.; Mangini, F.; Frezza, F. Efficient integration of ultra-low power techniques and energy harvesting in self-sufficient devices: A comprehensive overview of current progress and future directions. Sensors 2024, 24, 4471. [Google Scholar] [CrossRef]
  12. Li, C.; Yang, Y.; Cao, Y.; Aleshina, A.; Xu, J.; Blaabjerg, F. Grid inertia and damping support enabled by proposed virtual inductance control for grid-forming virtual synchronous generator. IEEE Trans. Power Electron. 2022, 38, 294–303. [Google Scholar] [CrossRef]
  13. Cheema, K.M.; Chaudhary, N.I.; Tahir, M.F.; Mehmood, K.; Mudassir, M.; Kamran, M.; Milyani, A.H.; Elbarbary, Z.M. Virtual synchronous generator: Modifications, stability assessment and future applications. Energy Rep. 2022, 8, 1704–1717. [Google Scholar] [CrossRef]
  14. Wald, F.; Tao, Q.; De Carne, G. Virtual synchronous machine control for asynchronous grid connections. IEEE Trans. Power Deliv. 2023, 39, 397–406. [Google Scholar] [CrossRef]
  15. Sun, C.; Ali, S.Q.; Joos, G.; Bouffard, F. Design of hybrid-storage-based virtual synchronous machine with energy recovery control considering energy consumed in inertial and damping support. IEEE Trans. Power Electron. 2021, 37, 2648–2666. [Google Scholar] [CrossRef]
  16. Elwakil, M.M.; El Zoghaby, H.M.; Sharaf, S.M.; Mosa, M.A. Adaptive virtual synchronous generator control using optimized bang-bang for Islanded microgrid stability improvement. Prot. Control Mod. Power Syst. 2023, 8, 57. [Google Scholar] [CrossRef]
  17. Lal, M.D.; Varadarajan, R. A review of machine learning approaches in synchrophasor technology. IEEE Access 2023, 11, 33520–33541. [Google Scholar] [CrossRef]
  18. Ammari, C.; Belatrache, D.; Touhami, B.; Makhloufi, S. Sizing, optimization, control and energy management of hybrid renewable energy system—A review. Energy Built Environ. 2022, 3, 399–411. [Google Scholar] [CrossRef]
  19. Huang, B.; Wang, J. Applications of physics-informed neural networks in power systems—A review. IEEE Trans. Power Syst. 2022, 38, 572–588. [Google Scholar] [CrossRef]
  20. Li, Y.; Ding, Y.; He, S.; Duan, J.; Wen, G. Artificial intelligence-based methods for renewable power system operation. Nat. Rev. Electr. Eng. 2024, 1, 163–179. [Google Scholar] [CrossRef]
  21. Li, Y.; Gao, W.; Huang, S.; Wang, R.; Gevorgian, V.; Gao, D. Data-driven optimal control strategy for virtual synchronous generator via deep reinforcement learning approach. J. Mod. Power Syst. Clean Energy 2021, 9, 919–929. [Google Scholar] [CrossRef]
  22. Oboreh-Snapps, O.; She, B.; Fahad, S.; Chen, H.; Kimball, J.; Li, F.; Cui, H.; Bo, R. Virtual synchronous generator control using twin delayed deep deterministic policy gradient method. IEEE Trans. Energy Convers. 2023, 39, 214–228. [Google Scholar] [CrossRef]
  23. Yu, Y.; Chaudhary, S.K.; Tinajero, G.D.; Xu, L.; Bakar, N.; Vasquez, J.C.; Guerrero, J.M. A reference-feedforward-based damping method for virtual synchronous generator control. IEEE Trans. Power Electron. 2022, 37, 7566–7571. [Google Scholar] [CrossRef]
  24. Alshahrani, M.H.; Maashi, M.S. A systematic literature review: Facial expression and lip movement synchronization of an audio track. IEEE Access 2024, 12, 75220–75237. [Google Scholar] [CrossRef]
  25. Wang, Y.; Chen, S.; Yang, M.; Liao, P.; Xiao, X.; Xie, X.; Li, Y. Low-frequency oscillation in power grids with virtual synchronous generators: A comprehensive review. Renew. Sustain. Energy Rev. 2025, 207, 114921. [Google Scholar] [CrossRef]
  26. Li, J.; Ali, M.; Fletcher, J.E.; Nurdin, H.I. Modeling and analysis of multiple inverters with dual-loop-based virtual oscillator control. IEEE J. Emerg. Sel. Top. Power Electron. 2021, 10, 3963–3974. [Google Scholar] [CrossRef]
  27. Samanta, S.; Chaudhuri, N.R. Stability analysis of grid-forming converters under dc-side current limitation in primary frequency response regime. IEEE Trans. Power Syst. 2021, 37, 3077–3091. [Google Scholar] [CrossRef]
  28. Mohamed, M.M.; El Zoghby, H.M.; Sharaf, S.M.; Mosa, M.A. Optimal virtual synchronous generator control of battery/supercapacitor hybrid energy storage system for frequency response enhancement of photovoltaic/diesel microgrid. J. Energy Storage 2022, 51, 104317. [Google Scholar] [CrossRef]
  29. Ávila-Martínez, R.E.; Renedo, J.; Rouco, L.; Garcia-Cerrada, A.; Sigrist, L.; Qoria, T.; Guillaud, X. Fast voltage boosters to improve transient stability of power systems with 100% of grid-forming VSC-based generation. IEEE Trans. Energy Convers. 2022, 37, 2777–2789. [Google Scholar] [CrossRef]
  30. Areed, E.F.; Yan, R.; Saha, T.K. Impact of battery ramp rate limit on virtual synchronous machine stability during frequency events. IEEE Trans. Sustain. Energy 2023, 15, 567–580. [Google Scholar] [CrossRef]
  31. Gerini, F.; Zuo, Y.; Gupta, R.; Zecchino, A.; Yuan, Z.; Vagnoni, E.; Paolone, M. Optimal grid-forming control of battery energy storage systems providing multiple services: Modeling and experimental validation. Electr. Power Syst. Res. 2022, 212, 108567. [Google Scholar] [CrossRef]
  32. Ghadiriyan, S.; Rahimi, M. Grid-forming assisted based power management of AC microgrid system comprising multiple battery energy storage units, DFIG-based wind turbines and inverter-based resources. J. Energy Storage 2024, 97, 112772. [Google Scholar] [CrossRef]
  33. Yan, Z.; Li, L.; Wu, W.; Song, H.; Che, B.; Jin, P. Energy storage configuration and scheduling strategy for microgrid with consideration of grid-forming capability. Electr. Eng. 2025, 107, 7709–7724. [Google Scholar] [CrossRef]
  34. Bao, Y.; Pan, J.; Wang, K.; Wu, M.; Lu, Q.; Li, Y. An improved grid-connected control method combining GFM and GFL merits based on virtual synchronous generator. J. Energy Storage 2025, 112, 115483. [Google Scholar] [CrossRef]
  35. Smahi, A.; Makhloufi, S. The power grid inertia with high renewable energy sources integration: A comprehensive review. J. Eng. 2025, 2025, 7975311. [Google Scholar] [CrossRef]
  36. Zhong, C.; Li, H.; Zhou, Y.; Lv, Y.; Chen, J.; Li, Y. Virtual synchronous generator of PV generation without energy storage for frequency support in autonomous microgrid. Int. J. Electr. Power Energy Syst. 2022, 134, 107343. [Google Scholar] [CrossRef]
  37. Shabbir, M.N.; Liang, X.; Chakrabarti, S. A hierarchical voltage control scheme for wind power plants through enhanced reactive power support. IEEE Trans. Ind. Appl. 2022, 58, 5776–5791. [Google Scholar] [CrossRef]
  38. Chen, Y.; Tang, H.; Wang, K.; Lin, J.; Tang, Y. Control of transient power compensation for virtual impedance VSG in Quasi-Z-source photovoltaic grid integration system. Electr. Power Syst. Res. 2025, 238, 111180. [Google Scholar] [CrossRef]
  39. Han, P.; Ellefsen, A.L.; Li, G.; Æsøy, V.; Zhang, H. Fault prognostics using LSTM networks: Application to marine diesel engine. IEEE Sens. J. 2021, 21, 25986–25994. [Google Scholar] [CrossRef]
  40. Gonzalez, H.D.P.; Bianchi, F.D.; Dominguez-Garcia, J.L.; Gomis-Bellmunt, O. Co-located wind-wave farms: Optimal control and grid integration. Energy 2023, 272, 127176. [Google Scholar] [CrossRef]
  41. Narang, A.; Farivar, G.G.; Tafti, H.D.; Ceballos, S.; Beniwal, N.; Pou, J.; Konstantinou, G. Dynamic reserve power point tracking in grid-connected photovoltaic power plants. IEEE Trans. Power Electron. 2023, 38, 5939–5951. [Google Scholar] [CrossRef]
  42. Akram, U.; Mithulananthan, N.; Shah, R.; Alzahrani, S. Design of energy storage for frequency stability in low-inertia power grid. IEEE Syst. J. 2023, 17, 4763–4774. [Google Scholar] [CrossRef]
  43. Jiang, C.; Acosta, J.S.; Gole, A.M. Optimizing the performance of a new current source type grid-forming modular multilevel converter using genetic algorithms. Electr. Power Syst. Res. 2024, 234, 110808. [Google Scholar] [CrossRef]
Figure 1. Control block diagram of the grid-forming energy storage system power converter.
Figure 1. Control block diagram of the grid-forming energy storage system power converter.
Energies 18 06541 g001
Figure 2. Control block diagram of the virtual synchronous generator.
Figure 2. Control block diagram of the virtual synchronous generator.
Energies 18 06541 g002
Figure 3. Reactive power–voltage control principle diagram.
Figure 3. Reactive power–voltage control principle diagram.
Energies 18 06541 g003
Figure 4. Transient virtual impedance control principle diagram.
Figure 4. Transient virtual impedance control principle diagram.
Energies 18 06541 g004
Figure 5. The power system structure diagram used in this study.
Figure 5. The power system structure diagram used in this study.
Energies 18 06541 g005
Figure 6. The typical load curve.
Figure 6. The typical load curve.
Energies 18 06541 g006
Figure 7. Analysis of the impact of control parameters on the synthesized frequency response under Disturbance 1. (a) Inertia analysis under Scenario 2; (b) Inertia analysis under Scenario 3; (c) Damping analysis under Scenario 2; (d) Damping analysis under Scenario 3.
Figure 7. Analysis of the impact of control parameters on the synthesized frequency response under Disturbance 1. (a) Inertia analysis under Scenario 2; (b) Inertia analysis under Scenario 3; (c) Damping analysis under Scenario 2; (d) Damping analysis under Scenario 3.
Energies 18 06541 g007aEnergies 18 06541 g007b
Figure 8. Analysis of the impact of control parameters on the synthesized frequency response under Disturbance 2. (a) Virtual inertia impact under scenario 2; (b) Virtual inertia impact under scenario 3; (c) Virtual damping impact under scenario 2; (d) Virtual damping impact under scenario 3.
Figure 8. Analysis of the impact of control parameters on the synthesized frequency response under Disturbance 2. (a) Virtual inertia impact under scenario 2; (b) Virtual inertia impact under scenario 3; (c) Virtual damping impact under scenario 2; (d) Virtual damping impact under scenario 3.
Energies 18 06541 g008
Figure 9. Analysis of the impact of control parameters on the power angle difference under Disturbance 2. (a) Virtual inertia under scenario 2; (b) Virtual inertia under scenario 3; (c) Virtual damping under scenario 2; (d) Virtual damping under scenario 3.
Figure 9. Analysis of the impact of control parameters on the power angle difference under Disturbance 2. (a) Virtual inertia under scenario 2; (b) Virtual inertia under scenario 3; (c) Virtual damping under scenario 2; (d) Virtual damping under scenario 3.
Energies 18 06541 g009
Figure 10. System frequency response under optimal control parameters for the aggregated scenario. (a) Power grid frequency response under Disturbance 1; (b) Power grid frequency response under Disturbance 2.
Figure 10. System frequency response under optimal control parameters for the aggregated scenario. (a) Power grid frequency response under Disturbance 1; (b) Power grid frequency response under Disturbance 2.
Energies 18 06541 g010
Figure 11. The adaptive rule-based mechanism.
Figure 11. The adaptive rule-based mechanism.
Energies 18 06541 g011
Figure 12. Power system response under control parameters of two operating modes. (a) Power grid frequency under normal mode control parameters; (b) Power grid frequency under fault mode control parameters; (c) Converter terminal voltage under normal mode control parameters; (d) Converter terminal voltage under fault mode control parameters.
Figure 12. Power system response under control parameters of two operating modes. (a) Power grid frequency under normal mode control parameters; (b) Power grid frequency under fault mode control parameters; (c) Converter terminal voltage under normal mode control parameters; (d) Converter terminal voltage under fault mode control parameters.
Energies 18 06541 g012
Figure 13. Comparison of system frequency response under fixed and adaptive control parameters.
Figure 13. Comparison of system frequency response under fixed and adaptive control parameters.
Energies 18 06541 g013
Table 1. The progress and limitations of VSM control in grid-forming energy storage systems.
Table 1. The progress and limitations of VSM control in grid-forming energy storage systems.
LiteratureContributionLimitation
Li et al., 2021 [26]A voltage and current dual-loop control structure enhances virtual oscillator control, effectively compensating for system voltage deviations.Focuses on the stability analysis of multi-inverter microgrid systems using virtual oscillator control technology.
Samanta & Chaudhuri, 2021 [27]A stability analysis method for grid-forming inverters improves the DC link voltage stability under DC-side current limitations.Does not address adaptive switching strategies for VSM control in multi-disturbance environments or their application in isolated systems.
Sun et al., 2021 [15]A hybrid energy storage-based VSM control method that achieves energy recovery in inertial and damping support.Focuses on energy recovery and storage management in VSM control.
Li et al., 2021 [21]A data-driven optimal control strategy that does not rely on system models, enabling distributed generators to adaptively adjust control variables.Focuses on VSM adaptive control without expert knowledge or system models.
Mohamed et al., 2022 [28]A hybrid energy storage system control method based on virtual VSM that enhances frequency response in photovoltaic/diesel microgrids.Does not address multi-disturbance adaptability or adaptive control parameter tuning in isolated systems with complex scenarios.
Ávila-Martínez et al., 2022 [29]Two fast voltage boosting strategies that improve transient stability of grid-forming generation systems via VSM.Focuses on transient stability in grid-forming voltage source converter systems.
Yu et al., 2022 [23]A reference feedforward control-based damping method that suppresses low-frequency power oscillations in VSM control.Does not address adaptive switching of VSM control parameters in multi-disturbance environments.
Oboreh-Snapps et al., 2023 [22]A data-driven method that adaptively adjusts VSM control to achieve optimal frequency response under disturbances.Does not address joint tuning of VSM control parameters in multi-disturbance and multi-scenario environments.
Areed et al., 2023 [30]Reveals that slow ramp rates can lead to system instability during frequency events.Does not discuss joint tuning of VSM control parameters and adaptive switching strategies in multi-disturbance environments.
Gerini et al., 2022 [31]A combined control and scheduling framework that optimizes battery storage for frequency reserve and voltage control in power systems.Focuses on scheduling and control optimization for battery storage in centralized power systems.
Ghadiriyan & Rahimi, 2024 [32]A grid-forming assisted AC microgrid power management method.Focuses on decentralized control and power management in AC microgrids, without addressing VSM control parameter tuning.
Yan et al., 2025 [33]A new energy storage configuration and scheduling strategy for microgrids that optimizes energy storage cost, system inertia, and reserve power.Focuses on energy storage configuration and scheduling optimization in microgrids, without addressing VSM control parameter tuning.
Bao et al., 2025 [34]An improved grid-connected control method based on VSM that balances system stability under strong and weak grid conditions.Does not consider frequency regulation requirements in isolated systems or multi-disturbance adaptability.
Table 2. The system simulation parameter settings.
Table 2. The system simulation parameter settings.
Parameter NameValueParameter NameValue
Diesel Power Plant 1 Installed Capacity46.2 MVADiesel Power Plant 1 Rated Voltage10 kV
Diesel Power Plant 2 Installed Capacity30 MVADiesel Power Plant 2 Rated Voltage10 kV
Photovoltaic Power Plant Installed Capacity9.6 MWPhotovoltaic Power Plant Rated Voltage0.4 kV
Wind Farm 1 Installed Capacity9.8 MWWind Farm 1 Rated Voltage0.69 kV
Wind Farm 2 Installed Capacity4.9 MWWind Farm 2 Rated Voltage0.69 kV
Battery Energy Storage System Installed Capacity11.5 MWBattery Storage Charge/Discharge Efficiency95%
Battery Storage State-of-Charge Upper Limit0.9Battery Storage State-of-Charge Lower Limit0.1
Table 3. Operating scenario parameters.
Table 3. Operating scenario parameters.
Operating ScenarioOff-Peak PeriodNoon PeriodPeak Period
Scenario Number123
Wind/PV Installed Capacity (MW)9.614.512.5
Diesel Generator 1 Output (MW)61210.5
Diesel Generator 2 Output (MW)10
Diesel Generator 3 Output (MW)
Battery Energy Storage Output (MW)000
Load Demand (MW)14.525.528.5
Table 4. Default control parameters of the virtual synchronous generator.
Table 4. Default control parameters of the virtual synchronous generator.
ParameterSymbolUnitValueModel Reference
Active power–frequency droop coefficientcDpu0.04Equation (3)
Rated output voltage of converterV0V400Equation (4)
Reactive power–voltage droop coefficientkDpu0.1Equation (4)
Reactive power control time constanttDs0.02Equation (4)
Transient virtual resistanceRVIpu1Equation (6)
Transient virtual reactanceXVIpu1Equation (6)
Threshold of transient virtual currentIthpu1Equation (8)
Maximum transient virtual currentImaxpu1.5Equation (8)
Table 5. Tuning results of virtual synchronous generator control parameters.
Table 5. Tuning results of virtual synchronous generator control parameters.
ScenarioDisturbance 1Disturbance 2
D (pu)H (s)E (MW·s)D (pu)H (s)E (MW·s)
006.5303.04.50.01545.5
101.757.620.019.4
206.1154.84.60.0216.8
307.889.75.10.0117.2
Disclaimer/Publisher’s Note: The statements, opinions and data contained in all publications are solely those of the individual author(s) and contributor(s) and not of MDPI and/or the editor(s). MDPI and/or the editor(s) disclaim responsibility for any injury to people or property resulting from any ideas, methods, instructions or products referred to in the content.

Share and Cite

MDPI and ACS Style

Xu, S.; Xi, X.; Shi, H.; Cheng, J.; Ma, H. Parameter Tuning and Adaptive Strategy for Grid-Forming Energy Storage Systems Under Multi-Disturbance Conditions. Energies 2025, 18, 6541. https://doi.org/10.3390/en18246541

AMA Style

Xu S, Xi X, Shi H, Cheng J, Ma H. Parameter Tuning and Adaptive Strategy for Grid-Forming Energy Storage Systems Under Multi-Disturbance Conditions. Energies. 2025; 18(24):6541. https://doi.org/10.3390/en18246541

Chicago/Turabian Style

Xu, Shoudong, Xinze Xi, Hengchu Shi, Junzhao Cheng, and Hengrui Ma. 2025. "Parameter Tuning and Adaptive Strategy for Grid-Forming Energy Storage Systems Under Multi-Disturbance Conditions" Energies 18, no. 24: 6541. https://doi.org/10.3390/en18246541

APA Style

Xu, S., Xi, X., Shi, H., Cheng, J., & Ma, H. (2025). Parameter Tuning and Adaptive Strategy for Grid-Forming Energy Storage Systems Under Multi-Disturbance Conditions. Energies, 18(24), 6541. https://doi.org/10.3390/en18246541

Note that from the first issue of 2016, this journal uses article numbers instead of page numbers. See further details here.

Article Metrics

Article metric data becomes available approximately 24 hours after publication online.
Back to TopTop