Next Article in Journal
Energy-Efficient Enclosures in Natural Convection Systems Using Partition Control
Previous Article in Journal
Joint Dispatch Model for Power Grid and Wind Farms Considering Frequency Modulation Delay
Previous Article in Special Issue
A Review of Key Technologies for Active Midpoint Clamping (ANPC) Topology in Energy Storage Converters: Modulation Strategies, Redundant Control, and Multi-Physics Field Co-Optimization
 
 
Font Type:
Arial Georgia Verdana
Font Size:
Aa Aa Aa
Line Spacing:
Column Width:
Background:
Article

SiC MOSFET Switching Dynamics and Power Conversion Loss Characterization Under Parametric Variations †

Department of Electrical and Mechanical Engineering, Nagoya Institute of Technology, Gokisho-cho, Showa-ku, Nagoya 466-8555, Japan
*
Author to whom correspondence should be addressed.
This is an extended version of our paper which was published in the Sustainable Research and Innovation Conference (SRI), JKUAT, Juja, Kenya, 2–3 October 2024. “Quantitative Analysis of Switching Losses and Efficiency Estimation in High-Frequency Power Device Applications”.
Energies 2025, 18(23), 6264; https://doi.org/10.3390/en18236264 (registering DOI)
Submission received: 5 October 2025 / Revised: 19 November 2025 / Accepted: 25 November 2025 / Published: 28 November 2025
(This article belongs to the Special Issue Advancements in Power Electronics for Power System Applications)

Abstract

In pursuit of enhancing the performance of power converters, high-frequency power devices have become indispensable due to their superior switching capabilities, reduced conduction loss, and enhanced thermal performance. However, optimizing their efficiency requires a profound comprehension of the interplay between various parameters (the current, voltage, and gate resistance) on switching dynamics and power losses. This study presents a comprehensive framework of loss characterization with multi-parametric variations. The influence of drain-source current ( I d s ) , DC voltage ( V d c ) , and gate resistor ( R g ) on switching and conduction losses are explicitly quantified. A significant contribution of this study lies in the comprehensive analytical and empirical characterization of the turn-on and turn-off power dissipation dynamics in SiC MOSFETs, emphasizing the intricate interplay between parameters and efficiency. Conventional studies primarily focus on empirical loss characterization, yet this work advances the field by introducing a predictive loss model that systematically correlates R g , I d s , and V d c variations with induced switching dynamics, and EMI mitigation strategies. Increasing R g effectively suppresses voltage overshoots and mitigates ringing effects, concurrently prolonging switching events, thereby broadening the power dissipation profile and influencing system-level performance. Furthermore, this study rigorously evaluates the commutation behavior of the SiC MOSFET/SBD pair, providing an in-depth examination of its dynamic loss characterization under varying conditions. This novel insight establishes a crucial framework for efficiency drive optimization.

1. Introduction

The evolution and continuous development of switching devices with improved fast switching speed, low on-state resistance, low switching losses, Wide Band Gap (WBG), high blocking voltages, improved thermal conductivity, high operational temperature capability, and potentially high voltage capabilities present optimism in the next generation of power devices. The development of Silicon Carbide (SiC) MOSFET devices has kept a fast pace by ensuring that they seamlessly meet the requirements of extremely high performance [1]. Additionally, the SiC MOSFET performs perfectly and efficiently when operating in high power density conversion and increased fast switching [2,3]. These devices possess superior characteristics over and above their counterpart (Si) Silicon semiconductor devices, especially in reducing power loss and improving their efficiency even when operating at very high switching frequencies. The significant reduction in the size of the converter modules delivering the same power output and significantly reduced loss implies that a smaller size of the heat sink is required to dissipate the heat, with a consequent increase in the power density of the module. Higher critical electric field permits the use of a thinner device with very high doping density capability for the same blocking voltage [4,5,6]. Moreover, in relation to the amount of the current delivered, the overall parasitic capacitance of the SiC MOSFET is usually small [7].
High-frequency systems are characterized by being compact, albeit with smaller passive elements, and a fast transient response. The major limitations in high switching are ringing, high oscillation, and overshoot since current and voltage fluctuate precipitously during the turn-on and turn-off operation [7,8,9]. Additionally, it is prone to EMI noise and thermal stresses.
The result of the ringing phenomenon and overshoot is an increase in converter power losses, the introduction of substantial EMI noise, and subsequent failure of the SiC MOSFET if its limits are exceeded, threatening its reliability. Furthermore, a significant power loss, especially in lower power levels and fast-charging, d v / d t and d i / d t , generate the EMI noise. The effects of parasitic elements also become severe as the switching performance is intensified, which is crucial in achieving the device’s real performance. Therefore, the high switching frequency in SiC MOSFETs significantly imposes an inevitable challenge in realizing a seamless switching operation, albeit the ability to work at higher power densities [10]. With increased losses, their positive trend is limited. However, due to its ultra-low recovery loss of body diodes, low trail current, low conduction loss over a wide range, and the precedent favorable conditions, the cumulative loss in a SiC MOSFET is lower than in Si devices [11]. Additionally, the SiC device has low on-state drain resistance due to its higher breakdown field strength, making the conduction losses significantly low. The switching frequency is inversely proportional to the required capacitor and inductor, making the device weight and size smaller, albeit with increased efficiency. This is critical in some applications, such as in military and aerospace equipment [12].
Soft switching becomes an important technique that is employed to alleviate these problems. All the presiding research agrees that the high d v / d t and d i / d t occurring during the switching transients, coupled with parasitic elements of the circuits, are responsible for the oscillations. The authors of [13] try to design an RLC equivalent circuit that aids in dampening the oscillations during the turn-on and turn-off switching process. It is reported by [14] that the RC snubber, when placed next to the module, aids in reducing the switching ringing. However, this will be at the cost and complexity of the circuit. Additionally, the introduction of SiC diodes significantly reduces the main switching device stress, as the reverse recovery current is absent as compared to Si diodes.
It is agreed by the authors of [15] that there is a scarcity of an accurate and detailed elucidation of the SiC MOSFET switching loss estimation process, especially when there is variation of the parameters. Additionally, there is an urge for various designers to push the switching frequency higher. This necessitates a clear understanding of the various analysis and switching methodologies [16]. Furthermore, adopting a higher frequency switching for the inverter comes with a cost because of high power losses, reducing the efficiency. This, therefore, calls for a clear understanding of the switching process and analysis of the switching losses, as well as knowledge of their dominant contributors. This will aid in considering how to limit these losses during high-frequency operations. The quest for the above issues, on the performance of the SiC MOSFETs under various influencing factors, and a defined, precise methodology to quantify these losses are the main motivations behind this work.
Ensuring that the conduction loss in the switches and the High-Frequency Transformer (HFT) is maintained significantly low is a good practice. The power loss known as circulating loss resulting from the energy commutating ideally stored by the energy storage devices of the circuit should be scaled down. Whereas, in some instances, this circulating current is critical in achieving the ZVS, and it should be maintained just enough for ZVS. The authors of [17] noted that these current and voltage oscillations can be suppressed effectively by introducing gate resistance at the expense of the loss and switching time. Furthermore, they pointed out that a very small value of gate resistance causes fast switching, with resultant lowering of switching loss at the expense of the ringing and high EMI. However, a very high value of the R g slows the switching and consequently increases losses, though with less ringing. Therefore, for an optimal performance of balanced EMI and losses, and for better efficiency, an optimal value of R g must be selected.
To fully utilize SiC devices, there is a need to evaluate the switching losses and the major effects of the variation in the input voltages, current, gate signal resistance, and parasitic elements on the switching performance of the SiC device for clear optimization. This work explores the study of switching behavior, considering different parametric variations of SiC MOSFET inputs, which have not received much attention previously. Resulting from the above issues, this work addresses a simple yet important loss analysis as well as understanding how to critically evaluate and optimize the switching efficiency when different parameters are being varied, either as one or multiple variations. The switching modeling process is critical to achieve accurate switching loss estimation. Additionally, unlike the conventional loss characterization studies, which focus on voltage and current variations separately, this research explores a multi-parametric loss quantification with high granularity, combining sweeps of gate resistance, voltage, and current. Moreover, this work unveils synergistic effects among these parameters, providing a comprehensive multi-dimensional loss surface, as opposed to the conventional loss plots, which enable a more holistic and detailed characterization of the system performance across wide varying operational conditions.
The knowledge of switching losses assessment is inevitable since it aids in understanding the losses and coming up with a methodology for minimization. Therefore, this is imperative as these losses have a significant effect on the overall system efficiency.
The objective of this work, therefore, deals with the comprehensive investigation of the effect, resulting in varying the input parameters (voltage, current, and external gate resistor) on the SiC MOSFET.
The rest of the paper is organized as follows: Section 2 provides a detailed explanation of the model parameters in the SiC MOSFET/SBD configuration, where the Double Pulse Test (DPT) is introduced. Furthermore, a comprehensive elucidation of the SiC MOSFET switching transients during the turn-on and turn-off is given, with a stage-by-stage explanation. An inductive load current is investigated in the analytic loss modeling, switching sequences of SiC MOSFET switches are detailed, and Section 3 provides the electrical circuit analysis and the switching characteristics of the SiC MOSFET. Also, the mathematical formulation used to quantify the converter losses and efficiency is introduced. Additionally, a typical simulation of the SiC MOSFET and the simulation results are presented. Finally, Section 4 provides a brief conclusion.

2. Analytical Loss Modeling of SiC MOSFET

2.1. Model Parameters Description

To understand the intrinsic switching behavior of the SiC MOSFET and guarantee the accuracy of the analysis; a Double Pulse Test (DPT) was developed in LTspice simulation software V24.1.10. The main parameters of the DPT were introduced, which include the main Device Under Test (DUT), a SiC MOSFET from Wolf-speed C2M0080120D [18], and a SiC Barrier Diode (SBD), also from Wolf speed C4D20120A [19]. These were used to explain the switching behaviors of the SiC MOSFET.
Figure 1a is a typical DPT circuit adopted to assist in modeling the switching characteristics, and the analysis of the switching losses. This switch configuration consists of the switch, with an anti-parallel free-wheeling diode. The lower switch is the Device Under Test (DUT), and the upper part is the SiC SBD. The SBD remains in the off state during the test with its anti-parallel diode utilized as a free-wheeling diode. The circuit equivalent model consists of the main parasitic elements, the varied input voltage source V d c , and the output drain current I d s . The reverse recovery behavior of the free-wheeling diode and the parasitic capacitance significantly affects the turn-on of the switch. Whereas, Figure 1b is dedicated to showing the switch with its parasitic inductance, parasitic capacitance, and the associated voltages of the SiC device. The gate drive signal commutates between −4 V to V d r - m a x (20 V) with insignificantly small rise time and fall time, which is a square wave voltage. V g s is the gate-source voltage, V d s is the drain-source voltage and V g d is the gate-drain voltage. The parasitic elements are the gate-source capacitance C g s , drain-source capacitance C d s , and the gate-drain capacitance, also known as miller capacitance C g d . V d r is the square wave gate drive output voltage, I d represents drain current, I c h denotes channel current, I d i o d e the diode current, and V d i o d e is the cathode–anode voltage of the SiC Schottky Barrier Diode. R g is gate drive-equivalent series resistance, R e x t the external gate resistance, and R s t r a y represents parasitic stray circuit resistance. It is noted in [20] that the gate resistor R g significantly affects the turn-on and the turn-off losses. A low value of R g implies a significant reduction of the losses, both turn-on and turn-off. However, a higher d v / d t occurs in the switching transients resulting in a significant shoot-through energy density. The common non-linear parasitic capacitance includes the reverse transfer capacitance C r s s , input capacitance, C i s s , and output capacitance C o s s . Their values can be expressed in terms of data-sheet parameters as
C r s s = C g d
C i s s = C g d + C g s
C o s s = C g d + C d s
In this case, the above three capacitance are given in the data-sheet. That is, C r s s , C i s s , and C o s s . Thus, to simulate the dynamic model: the capacitance C g s , C d s , and C g d , are required. These can be obtained from Equations (1)–(3), using the following equations showing their relationship. C g d = C r s s , C g s = C i s s C r s s , and C d s = C o s s C r s s . It should be noted that C g s is almost constant whereas C g d , and C d s are voltage V d s -dependent [21,22].
The SiC MOSFET output capacitance C o s s consists of gate-source, gate-drain and drain-source capacitance of the switch. The mentioned capacitance have an indirect effect on the switching losses, as they affect the rise time and fall time intervals of the voltage and current.

2.2. Ideal Switching Transcients of SiC MOSFET

Figure 2a shows the ideal drive voltage and the load current waveform of the DPT, while Figure 2b shows the actual simulated waveform. In the ideal switching transients, a few assumptions were made in that the inductor does not change during the switching process, the free-wheeling diode is ideal, that is, it does not have a junction capacitance nor forward voltage drop, and lastly that the gate driver is an ideal, step voltage source—that is, the off-stage voltage is zero and on-state voltage lever is V g s ( o n ) . The authors of [17,23,24] elucidated on the various switching behaviors of Si MOSFET with a flat Miller region and SiC MOSFET whose Miller plateau is non-flat, as it varies with change in V g s . However, the existing methods assume a constant value of V g s , Miller .
Additionally, during the analysis, a few assumptions are made as follows: I ds = g fs V gs V gs ( th ) and SiC MOSFET is active, with V d s > I d s R d s ( o n ) and V g s > V g s ( t h ) . When the SiC MOSFET is off, I d s = 0 , and V g s > V g s ( t h ) . The switch is fully on when g f s V g s V g s ( t h ) > V d s / R d s ( o n ) .
The switching characteristics of the SiC MOSFET involve the turn-on and turn-off of the switch with charging and discharging of the various non-linear parasitic capacitance. Switching loss constitutes the highest power loss of the power dissipated during the whole switching event [25]; it is very imperative to note this when computing the converter power losses.
During the turn-on process, as shown in Figure 3, the switch leakage current rises from its negligible amount to the turn-on current while the voltage which was at maximum, falls to the on-state voltage V d s ( o n ) , which is significantly small. Ideally, the reverse recovery effects are usually not considered; it is assumed to have a zero voltage drop and insignificant junction capacitance. This is because the SiC technology inherently minimizes their effects since the reverse recovery charge Q r r is insignificant. Additionally, the SiC MOSFET reverse conduction is through its channel rather than the body diode. The turn-on and turn-off are completely independent. Figure 3 is a typical turn-on event in a SiC MOSFET.

2.3. Turn-On Switching Transients Analysis

It is noted clearly that during the turn-on process, the gate drive circuit state commutates from V d r , min to the maximum, V d r , max . This initiates the gate-source voltage, V g s , to increase linearly. Consequently, the drain current linearly increases till the final value while the drain-source voltage drops to the turn-on voltage value V d s ( o n ) , which is almost zero. This is realized since the free-wheeling diode is forward-biased at the beginning, which forces it to sustain a constant drain-source voltage till the SiC MOSFET conducts all the output current. The working regions of the model are divided into small segments for easy elucidation [16,26]. The wave patterns are observed as the gate drive voltage is applied at the gate and source terminals of the switch at normal operating conditions. A brief elucidation of these stages is given in the sub-sections below, noting that increasing the internal drain to source voltage higher than the ( V g s V t h ) makes the MOSFET enter into saturation.
 Stage 1 
( t 0 < t < t 1 ): Turn-on Time Delay ( t d )
Initially, the applied drive voltage between the gate and source is zero or less for SiC technology (−4 V). Then, V g s begins to rise, and C g d and C g s will be charged by the gate’s current I g . The majority of the current charges the C g s , thus is higher than C g d . As the gate signal is increased, the switch remains in the cut-off region until V g s reaches the threshold voltage, V g s , th . Before the value of V g s reaches higher than V g s , th , the current I d remains at zero, which effectively blocks the V d c [27]. Gate voltage rises exponentially with a time constant τ which is defined by switch-equivalent capacitance ( C i s s = C g s + C g d ) and gate equivalent series resistance R g as shown in Equation (4). The stage has no switching losses generated since the switch is not activated, as it is still off. Generally, the capacitance in this cut-off region is calculated and added to the SiC MOSFET data-sheet parameters [28]. Only the load current circulates through the SiC Schottky Barrier Diode. This stage ends when V g s equals V g s , th . When the threshold voltage V g s , th is higher than the gate-to-source V g s , the SiC MOSFET remains off, and the value of the drain current I d remains zero. V d s and I d s do not change [16,29,30]. The initial conditions are i g = 0 and V g s = 0 ; V g s < V g s , th , V d r = 0 , V d s = V d c :
τ = R g ( C g s + C g d )
where τ is the charging time constant of the input parasitic capacitance. R g is the gate resistance component, which is varied during tests and is connected to the SiC MOSFET gate for the purpose of protecting it against over-current during the turn-on [31]. I d remains zero until V g s equals V g s , th . From Figure 3, the Equations (5) and (6) governing this conduction delay region t 0 < t < t 1 are
I g = I g s + I g d
I g = V d r V g s R g
and since SiC MOSFET is open, the capacitor C g s is being charged thus,
I g s = C g s d V g s d t
The value of V d s is fixed and V g s = V d g + V d s . From Equations (5)–(7), we receive Equation (8).
V d r V g s R g = C g s d V g s d t + C g d d V g s d t
0 t d 1 R g ( C g s + C g d ) d t = 0 V g s t h 1 V d r V g s d V g s
Solving the Equation (9) above provides (10):
V g s ( t ) = V d r 1 e ( t 1 t 0 ) τ
Rewriting and solving for the delay over a period t 0 < t < t 1 , equivalent to t d , produces Equation (11):
t d = τ ln 1 V g s , th V d r
 Stage 2 
( t 1 < t < t 2 ): Drain-Source Current Rise Period ( t r i )
Increasing the V g s , higher than the threshold voltage V g s , th , will initiate the switch to start turning on. Drain current I d s starts to increase linearly from zero to its maximum value I d s - m a x , taking over the load current. This is known as the current rise period. This current increases high above the inductive load current, I o . The load current commutates from the free-wheeling diode to the switch, which is still conducting. This is contributed by the free-wheeling diode reverse current. V d s remains almost constant in this region at blocking conditions [23,25]. Its derivative remains zero. The linear transfer characteristic of the switch is given by Equation (12) [32,33,34]:
I d s ( t ) = g f s V g s ( t ) V g s , th
where g f s is the non-linear transconductance of the SiC MOSFET, and with V d s being as Equation (13):
V d s = V d c ( L d + L s ) d i d t
From Equations (4) and (8), we obtain the value of t r i as elucidated by Equations (14)–(16):
0 t r i d t = V g s , t h V g s 1 R g C i s s V d r V g s d V g s
t r i = R g C i s s log V d r V g s V d r V g s 1 = τ log V d r V g s V d r V g s 1
 Stage 3 
( t 2 < t < t 3 ): Voltage Fall Time I, Miller Plateau:
In this stage, the free-wheeling diode has been switched off, blocking voltage. The reverse recovery current decreases from I d s - m a x to I d s , and thereafter remains constant. The Miller effect takes place, and the V g s is clamped at V g s = V M i l l e r . When I d s is held constant by the external circuit, the SiC MOSFET operates in a saturation or active region known as the Miller plateau, and V g s thus remains almost constant. V d s drops fairly quickly from the maximum to the minimum value given by I o R d s ( o n ) in this region. The V d s slope is determined by the gate current that flows through the C g d = C r s s . V g s and I d s insignificantly varies. Additionally, the SiC MOSFET output capacitance C o s s starts to discharge. In the case of the SiC Schottky diode, it suffers from almost zero reverse recovery effects; only a small portion of reverse current is introduced by its junction capacitance. This reverse capacitance current increases switching losses. At this moment, the total gate current passes through the gate-drain capacitor. Thus, the gate current can be said to be (16):
I g = C g d d V d s d t
The losses in this region can be computed through overlap area between the current increasing and the voltage decreasing.
 Stage 4 
( t 3 < t < t 4 ): Drain-Source Voltage Fall Time: Gate Voltage Rise Remaining Charging Time ( t f v ) :
In this region, the value of V g s > V t h and V d s > ( V g s V g s , th ). The SiC MOSFET enters into a linear or ohmic region. The drain-source V d s value falls and reaches its minimum on-state voltage V d s ( o n ) , and the Miller plateau ends. V g s charges C g s and continues to rise till it reaches the maximum of V c c , which is imposed by the driver voltage, which rises to the maximum value V d r H . V d s and I d s are in their steady-state condition. At this stage, the value of I g s falls to zero as shown in Figure 3. After this, the switch will be in a conduction state till the next turn-off begins. The current reaches saturation, and the gate-source voltage reaches its operating point, and thereafter becomes constant. The average gate drive current I g in this region is given by Equation (18), whereas Equation (19) provides the voltage fall time, t f v .
I g = V d r i v e H V M i l l e r R g
0 t f v d t = V d s , m a x V d s ( o n ) R g C r s s V g s V d r d V d s
t f v = V d s , m a x V d s o n R g C r s s V g s V d r
 Stage 5 
( t 4 < t < t 5 ): On-State Operation:
The switch enters conduction mode, during which it conducts the entire inductive load current, I o = I d s . The V d s ( o n ) at this stage is not zero and contributes to the conduction losses. Figure 4 is an illustration of the SiC MOSFET waveform during the off-transition. This includes the gate drive voltage V d r , the gate-source voltage V g s , the drain-source voltage V d s , and the gate’s current I g s . Since the switch was in an ON state, the value of V d s ( o n ) is low at the beginning, and I d s is high. The switch input capacitance C i s s is discharged through I g s and the R g as V g s begins to decrease when the gate drive V d r is decreased, as explained in the next stage. Significant SiC MOSFET losses occur in this stage.

2.4. Turn-Off Switching Transients/Transition Process

Figure 4 shows an ideal waveform presentation of the turn-off events of a SiC MOSFET switch. The SiC MOSFET is on and conducting the full load inductive current. The drain-source voltage V d s is V d c V g s ( t h ) . The Schottky diode is off. The gate drive voltage imposes a varying voltage V d r _ m a x and reduces to a minimum. The gate current I g , the drain current I d , the gate-source voltage V g s , and the gate drive voltage V d r are indicated. During the turn-off transition, the total turn-off energy loss is obtained from the integral of the gate voltage rise and current fall overlap region, present in the Figure 4 in blue, capturing the transient power dissipation. The turn-off process can be divided into smaller parts for explanation.
 Stage 6 
( t 5 < t < t 6 ): Turn-off Time Delay
The gate voltage V g s decreases up to V M i l l e r . The voltage V d s ( o n ) remains significantly low, and the switch current I g s insignificantly changes. The rate of V g s decrease is given by a time constant dependent on the switch input capacitance C i s s and the gate resistor R g . The input capacitance C i s s is discharged through the gate drive circuit. The turn-off initial conditions are I g s = I o , V g s = V d c , and V g s ( o n ) = R d s ( o n ) I g s .
 Stage 7 
( t 6 < t < t 7 ): Voltage Rise Time I: Miller Plateau
In this region, the switch is in saturation. The voltage V g s reaches the V M i l l e r and remains insignificantly changing within the region. The SiC MOSFET operates in the ohmic region. At the same time, C g d is discharged. I g s and I d s remains constant in this stage. Drain-source voltage V d s rises to the bus voltage V d c .
 Stage 8 
( t 7 < t < t 8 ): Drainage-Source Voltage Rise Time II: Current Fall time
The load current I d s starts to divert from the switch to the free-wheeling diode as the free-wheeling diode is no longer blocking voltage, as it is forward-biased. I d s quickly decreases to zero at the end of this region. An overshoot of V d s occurs in this region due to the parasitic component induced by the current. This stage ends when the V g s drops to V t h . Once the drain current decreases, the SiC MOSFET suffers extra voltage stress, as there is a voltage drop across the parasitic inductance. The drain-source voltage rise time is given by Equation (21) as
0 t r v d t = V d s , o n V d s , m a x R g C r s s V g s V d r d V d s
t r v = ( V d s , m a x V d s ( o n ) ) R g C r s s V g s 1 V d r , o f f
 Stage 9 
( t 8 < t < t 9 ): Current Falling Time/Voltage Ringing Time ( t f i ) :
The drain-source voltage V d s forms oscillations (ringing) since parasitic components exist (stray inductance and SiC MOSFET output capacitance) and thereafter remains fairly constant after the overshoot at V d s , m a x . The stray capacitance eventually damps the high frequency, and all the remaining energy is dissipated, whereas the value of V g s continues to exponentially decrease with a constant dependent on C i s s and R g till it reaches zero. The value of ( t f i ) is given by Equation (23) as
0 t f i d t = V g s 1 V g s ( t h ) R g C i s s V d r V g s d V g s
t f i = R g C i s s log V d r , o f f V g s 1 V d r , o f f V g s ( t h )
 Stage 10 
( t 9 < t < t 0 ): Off-State Operation:
When the V g s reaches the maximum threshold V g s = V g s , th , the drive voltage is reduced to zero, and thus the gate-source voltage becomes zero. The SiC MOSFET turns completely off in this region.

2.5. Analysis of Switching Losses in SiC MOSFETs

 i. 
Conduction Loss.
When the SiC MOSFET is in operation, there are various power dissipation losses which include the conduction loss, the switching loss, the current leakage loss, and reverse-recovery losses of the body diode. The leakage current loss in SiC MOSFET is usually far less than the conduction power loss; this, therefore, is neglected in the preceding study. In some instances, at very high frequencies, this may not be neglected.
Additionally, there is an insignificantly small to almost zero reverse recovery charge due to the use of the Schottky diodes, which are the majority of device carriers in SiC devices; this means that there is no reverse recovery charge. The implication is that for the computation in this manuscript, the recovery loss of the diode is also ignored [35,36].
On the other hand, the conduction power loss occurs when the switch is in the on-state, that is, the voltage, which is a function of the current flowing through the switch. The drain-source current I d s rises during the conduction and causes heating primarily due to the on-state resistance R d s ( o n ) that passes through. The conduction loss is temperature-dependent as it depends on R d s ( o n ) , which is a high-temperature-dependent parameter. Since R d s ( o n ) is not a constant parameter, it varies in response to changes in V g s , drain-source current I d s , and temperature. The value of R d s ( o n ) has a distinct positive temperature coefficient characteristic; thus, its value is usually higher at higher temperatures [37].
The instantaneous conduction loss via the SiC MOSFET and diode can be obtained as follows [38]:
p cond_SiC ( t ) = v d s i d s ( t ) · i d s ( t ) · D S i C ( t )
p cond_SBD ( t ) = v f i d s ( t ) · i f ( t ) · D S B D ( t )
With p cond_SiC ( t ) and p cond_SBD ( t ) as the instantaneous SiC MOSFET and SBD conduction loss, and D S i C ( t ) and D S B D ( t ) as the duty cycle for the SiC and SBD, respectively. The average conduction loss during a fundamental cycle can be calculated using Equations (26) and (27) as follows, where t 3 to t 6 is the conduction period of the switch as shown in Figure 3 and Figure 4.
P S i C = 1 T s t 3 t 6 p cond_SiC ( t ) d t
P S B D = 1 T s t 3 t 6 p cond_SBD ( t ) d t
 ii. 
Switching Loss.
The switching power loss of the SBD, in this case, is usually very small. This is because the switching energy of the SBD is very insignificant in comparison with the SiC MOSFET switching loss [39]; thus, in this discussion, this is neglected. The increased size of SiC MOSFET leads to a corresponding increase in its intrinsic parasitic capacitance, not limited to the gate-to-source C g s , gate-to-drain C g d , and drain-to-source C d s capacitances. This results in higher charge storage and discharge requirements during the switching transition, which thereby increases the overall switching losses. Ideally, the switching power loss occurs as a result of the overlap of the non-zero current and voltage in the drain-source path during switching, that is, during the switching turn-on events and turn-off events, thereby dissipating energy. This causes power loss as a result of the changing and discharging of the gate-source and gate drive parasitic capacitances (hence called switching power loss). The switching turn-on and switching turn-off energy dissipated is depicted as in Equations (28) and (29):
E on ( SiC ) = f sw t 1 t 3 V ds ( on ) I ds ( on ) d t
E off ( SiC ) = f sw t 6 t 8 V ds ( off ) I ds ( off ) d t
where I d s ( o n ) and I d s ( o f f ) are the current flowing through the switch during the switching-on and -off transitions, E on ( SiC ) and E off ( SiC ) are the total energy loss during the switch on time and switch off time, and f sw is the switching frequency. The switching-on transition period is shown in Figure 3, where, at this stage, the voltage V d s increases and the current I d s decreases as the transition occurs. This is the period in which the turn-on losses occur due to the overlap between the rising current and decreasing voltage. Therefore, the t o n period ranges from t 1 to t 3 , i.e., t o n = t 1 t 3
Similarly, Figure 4 shows the t o f f switching period spanning from t 6 to t 8 , corresponding to V d s and I d s transitions. That is, t o f f = t 6 t 8 . Equation (15) provides the current rise time t r i whereas Equation (19) provides the voltage fall time t f v . The summation of these two equations produces the total turn-on time, shown by Equation (30):
t on = t ri + t fv
The turn-off period is given by the summation of the voltage rise time t r v and current fall time t f i , which are given by Equation (21) and Equation (23), respectively, giving Equation (31):
t off = t rv + t fi
Therefore, the turn-on switching power loss and turn-off switching power loss are given by Equations (32) and (33) as
P sw ( on ) = 1 2 t on V ds I ds f sw
P sw ( off ) = 1 2 t off V ds I ds f sw
This implies that the total switching power loss is given by the summation of Equations (32) and (33), giving Equation (34) as
P sw = 1 2 V ds I ds ( t on + t off ) f sw
The summation of the above losses associated with the switching device was used to quantify the efficiency. It is clearly noted from Equations (30) and (31) that the time taken during the transition plays a significant role in the amount of losses dissipated, with a prolonged switching period depicting more losses and vice versa.

3. Electrical Circuit Analysis

3.1. Model Parameters Description, DPT Model Circuit Analysis

A typical dynamic circuit characteristic of the power SiC MOSFET was characterized in the half-bridge inductive DPT circuit. At the end of the first pulse, the switch was tested for the turn-off characteristics. This was because the inductor current rose to the desired value, after which the inductor current flows through the SBD free-wheeling diode freely till the start of the second pulse, when the device was tested for the turn-on losses [40,41]. In this case, this was extended to the second pulse, where the turn-on and turn-off simulation results were considered, as this enhanced a stable situation in the switch. To analyze the influence of varied R g on V g s transient response, the drive voltage, V d r , which is a square wave with an amplitude equal to V d s m a x and corresponding switching frequency f s w and duty cycle, D, is supplied at the gate terminal of the DUT. Table 1 below shows the extracted data-sheet parameters for the SiC MOSFET used in the voltage-current characterization.
The Wolf-speed Schottky Barrier Diode (C4D20120A) parameters are indicated in Table 2, and were chosen for this work, as its optimal voltage corresponds with that of the DUT. The SiC SBD diode parameters extracted from the manufacturer’s data-sheets were used in the model and simulation work of this manuscript.
Table 3 shows the critical SiC power device parameters and their impact on the output of the DUT. As can be observed in the table, R d s ( o n ) is a temperature-dependent parameter; it is assumed that the SiC MOSFET junction temperature is equivalent to ambient temperatures of (25 °C) throughout the work. This implies that the R d s ( o n ) given in the manufacturer’s data-sheet at ambient temperature is used for the simulation and computation since the temperature at the junction is not affected by power loss within a short period. However, in the preceding work, the variation of the value of R g was adopted to study its effects. Additionally, the other assumptions made are as listed in [42].

3.2. Simulation Results

The Double Pulse Test was utilized in evaluating the switching transitions, specifically during the turn-on and turn-off transitions. During the simulations, the gate resistance R g was varied in steps from 5 Ω to 25 Ω . The load current was varied from I d s = 4 A in steps of 4 A up to 36 A. This could have been increased since the maximum the switch can operate with is 60 A. However, the data-sheet maximum DC continuous drain-source current is 36; thus, this was considered in these tests. The DC voltage initially considered was 800 V. However, to receive the effect on variation of the DC voltage, this was also varied from 200 V to the maximum drain-source voltage of the device, which is 1200 V.
It should be noted that the inner equivalent gate resistance of the SiC MOSFET is not zero. The Wolf-speed Device Under Test has an internal gate resistance of R g ( int ) = 3.9 Ω at test conditions of f = 1 MHz . The test driver circuit, which is basically used in practical tests, does have an internal gate resistance; thus, it is another source of gate resistance to the gate of the switch under consideration. Other parameters that are not mentioned were not modelled.
This proposed design was simulated using LTspice, and the plots are listed below. Figure 5 shows the switching waveform of the SiC MOSFET during the turn-on event.
The waveform of the drain-source voltage V d s , drain-source current I d s , and the drive voltage V g s , which is the gate-source voltage, are plotted for specific switching intervals to show the switching transitions. Figure 6 is an illustration of the turn-off transition where the voltage increases from the on voltage V d s ( o n ) to maximum voltage, and the current I d s falls from maximum to the minimum value. The upper part of both Figure 5 and Figure 6 shows the variation of the gate-source voltage V g s during the two switching transition periods.
It is known that the value of R g has a significant impact on the switching behaviors. This is because it affects the rate of charge and discharge of the gate-source capacitances C g s and C g d . Tests were performed at V d s = 800 V and a constant drain-source current I d s . The gate resistor R g was varied from 5 Ω to 25 Ω . For higher values of R g , the transition is slower (takes more time) and the transition during the over-voltage is minimized. This is seen in Figure 7a,b for turn-on and turn-off, respectively, for current transitions, and Figure 8a,b, for voltage transitions.
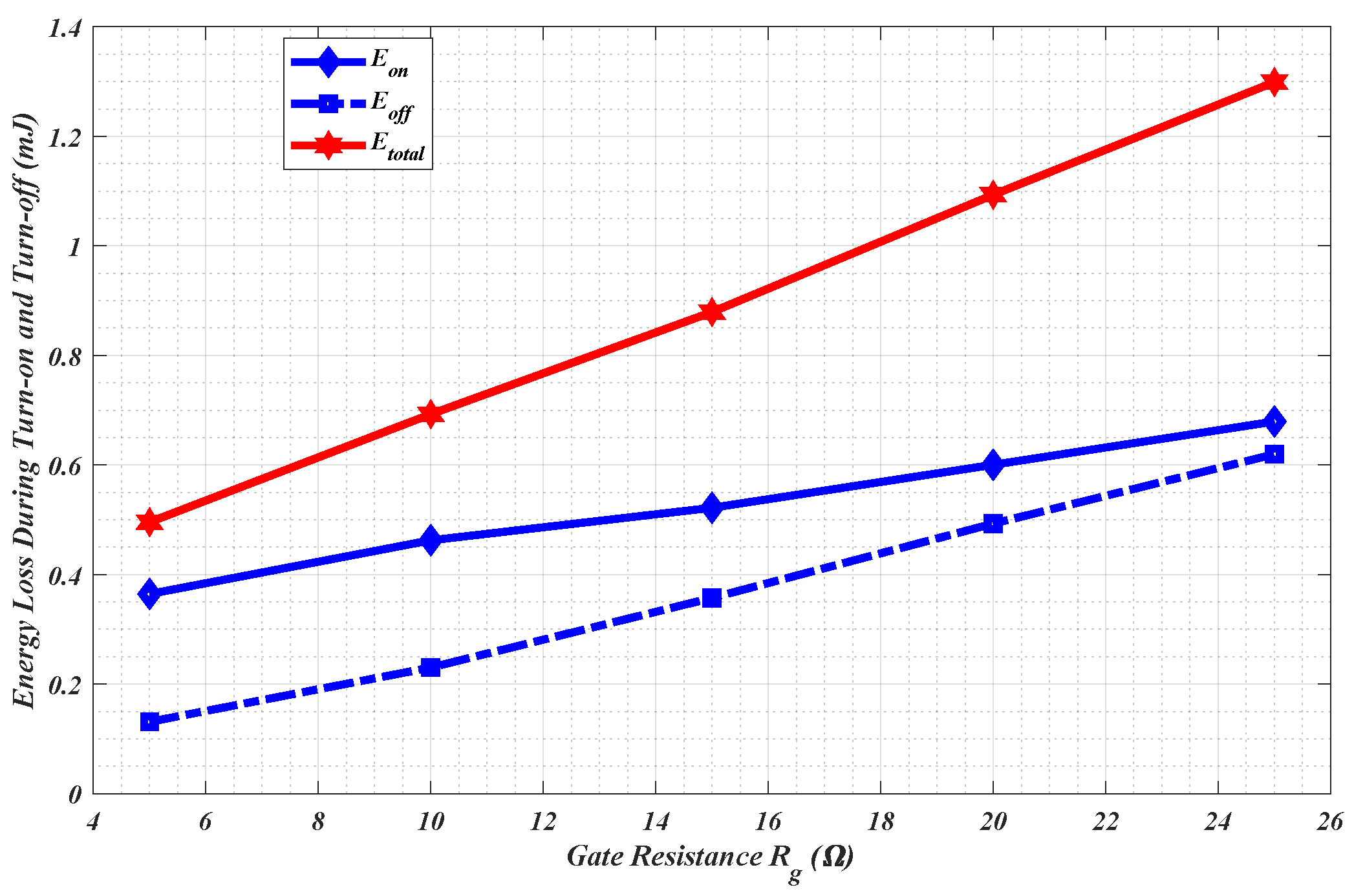
Figure 9 shows the energy loss as the gate resistor is varied. As the gate resistance R g is increased, the slope increases. That is the amount of energy lost as the value of R g is varied from 5 Ω to 25 Ω increases. For R g = 5 Ω , the turn-on energy is 0.364 mJ and turn-off energy is 0.131 mJ , respectively, while at R g = 25 Ω , the turn-on energy is 0.679 mJ and turn-off energy is 0.619 mJ , respectively. The total energy loss curve indicates a linear dependency on the value of the gate resistance. This behavior is consistent with the simulations and measurements reported in [43].
The turn-on loss characteristics are observed from the plots of power loss during the turn-on process. Figure 10a indicates that the loss strongly depends on the gate resistance ( R g ). As observed, the total energy loss during turn-on increases as the value of R g increases, despite the reduction in peak power loss. This is because the peak power loss shifts to the right (indicating a longer and more gradual turn-on time), leading to a broader power dissipation curve. This suggests that higher R g results in slower switching, and the transition is slower, so the amplitude of the gate oscillations is reduced, but this increases power dissipation. That is, the wider the power dissipation curve, the longer the turn-on time and, consequently, the higher the energy loss. When R g is lower, the turn-on transition occurs more rapidly, leading to reduced turn-on energy loss. However, excessively low R g can cause voltage overshoot, high transient current, Electromagnetic Interference (EMI) noise concerns, and increased d v / d t , thus the device current spike increase. Moreover, during the turn-off, as the gate resistance decreases, the fall time of the current decreases. If there was a fast turn-off, there would be a subsequent increase in d i / d t , and the device overshoot and oscillations would increase.
Since the gate resistance controls the gate charging and discharging speed, it dictates the speed at which the gate turns on or off. Also, higher gate resistance limits gate current, thus more time is taken to reach V g s ( t h ) , increasing power dissipation. Slowed turn-on also means an extended overlap period of I d s and V d s with the resultant increase in the instantaneous power dissipation.
Optimizing the value of R g is critical in balancing thermal performance, switching loss, and EMI considerations. This implies a trade-off between switching efficiency and EMI control while ensuring overall circuit robustness. Therefore, selecting an optimal R g value is essential for achieving the best performance of the SiC MOSFET in high-frequency power applications.
As in the case of the turn-on loss plot, the turn-off plot in Figure 10b exhibits a strong dependency on the value of the gate resistance ( R g ) as well, which influences both the peak power dissipation and the switching energy. The higher values of ( R g ) lead to higher peak power loss attributed to slower turn-off transition time resulting from restricted charge injection rate to the gate. However, this leads to gradual voltage and current overlap over a longer duration, which increases the energy loss. In contrast, the lower values of R g enable a fast turn-off process (sharper transition) with lower peak power curves, leading to less energy loss. However, this can potentially cause higher switching noise, thus requirements for an optimal value of ( R g ) to balance the switching loss, EMI, and thermal efficiency. In both Figure 10a,b, a single curve demonstrating the area under energy loss during the turn on and turn-off loss when R g = 25 Ω , was inserted, respectively.

3.3. Turn-On Switching Transients/Transition Turn-On Switching Transients Simulations Results

The turn-on energy is contributed by the overlap between the decreasing V d s and increasing value of I d s . As the value of I d s increases, as observed from Figure 11a, the value of energy loss increases. It is observed that at elevated values of V d c , that is, from 200 V to 1200 V, there is a proportional increase in the turn-on energy loss. This demonstrates the impact of higher voltage stress on turn-on energy dissipation. On the other hand, a non-linear behavior is observed in the plot of Figure 11b during low values of I d s . However, at elevated values of drain current I d s , the turn-off energy curve shows a significant increase in the losses, and is more pronounced at higher voltages. These variations show that the turn-off losses are influenced by both the current and voltages, with higher values exacerbating power dissipation during switching. It is observed in Figure 11c,d that the turn-on energy loss increases as V d s increases, and is strongly dependent on the drain current, with a higher current resulting in subsequent high energy loss during both the turn-on and turn-off transients. Figure 11e,f show the turn-on and turn-off energy loss evaluated across different DC-bus voltages, currents, and temperatures. The observation was that at elevated voltage operation, the turn-on became dominant switching losses in comparison with the turn-off energy loss. However, there is minimal influence observed from the temperature variation across all conditions. This is due to lower reverse recovery effects. This implies that SiC maintains predictable switching behavior over wide thermal changes, thus showing thermal robustness, which is an advantage of the SiC at high temperature operations. It can be inferred that the high-voltage high-current operation leads to large losses, for both turn-on energy loss and turn-off energy loss, thus the necessity for soft switching during the design of the converter when using the SiC MOSFET devices.
Figure 12a shows an illustration of the summation of the total energy loss during the turn-on and turn-off transition. That is, the total amount of energy loss during a complete switching transition, with various steps of current variations. Considering the input DC voltages at discrete points and currents, which are being varied, the summation of the turn-on energy loss and turn-off energy loss shows an increase in the loss as the current passing through the switch is increased.
Figure 13a shows conduction power loss with varying I d s . The figure shows that the conduction power loss follows a quadratic increase with an increase in drain-source current P cond = I d s 2 R d s ( on ) , and various voltage curves overlap. Let us say, at 20 A, the conduction power loss for the 200 V to 1200 V curve remains consistently at approximately 100 W, and at 36 A, the conduction power loss is approximately 329 W with a small variation with changes in V d c . This implies that the conduction loss does not change with changing V d c , as can be seen from Figure 13b, where the conduction loss remains significantly the same, thus a flat curve. The reason for this is that conduction losses are highly dependent on I d s and the device’s on-resistance R d s ( o n ) than applied DC voltage.
This acts as a confirmation that the SiC MOSFET is predominantly dependent on the drain current and the device’s on-state resistance, rather than on the applied voltage. Each curve on the Figure 13b corresponds to a specific drain current I d s (4 A to 36 A), with higher currents resulting in significantly high losses. This invariance of the conduction losses with respect to V d c acts as a confirmation that in the event of switching, the conduction power loss dissipated is independent of the switching events. In conclusion, higher current leads to significant conduction losses. In Figure 13b, the conduction power loss characteristic is clearly seen across different varying voltages. Since each curve corresponds to a specific I d s , higher current results in higher losses.
Figure 14a is a graph that represents the turn-on power loss transitions. As the value of I d s and V d c increases, there is a consistent increase in the power loss. Higher voltages (1200 V) exhibit a greater voltage loss than the lower voltages (200 V). The turn-off transition power loss shown in Figure 13b shows a similar pattern, though with a steeper rise in losses for higher current values. It is clear that at low values of current, I d s = 20 A, the loss is relatively small, beyond which the power loss becomes significantly pronounced. The variation in the two curves is an indication that the power turn-on and turn-off power loss is strongly influenced by both the current and the voltage.
Figure 15a shows that the cumulative power loss in a SiC MOSFET is significantly high at high voltages, and lower at low-voltage levels. However, there is a smaller variation in the total loss due to voltage variations at a specific drain-source current. As the current increases, the losses increase to higher values.
It should be noted that, at the same power output, the efficiency is significantly higher at high voltage as compared to operation at lower voltages. This is because at higher voltages, the conduction loss remains significantly the same as the loss at lower voltages. SiC MOSFET also exhibits properties of lower R d s ( o n ) at higher voltages. Whilst switching loss increases with switching voltages, they do so at a lower rate in comparison to the conduction loss. Since high-voltage switches are well optimized for faster switching and high voltages, they have lower transitional losses at high voltages. However, extremely high voltage can result in the turn-on and turn-off losses being higher as a result of high energy dissipation during the transition.
In contrast, at lower I d s , even with variation of gate resistance, the efficiency remains significantly high. This is seen in Figure 16, as when I d s = 4A, the efficiency is noted to be 99.71% at R g = 5 Ω and 99.71% at R g = 25 Ω , showing an insignificant deviation of 0.00005%. At higher I d s , the efficiency is observed to be a bit lower at 98.73% for R g = 5 Ω as compared to 98.51% at R g = 25 Ω .

3.4. Application and Discussion

In this section, the potential of the SiC MOSFETs integrated with Schottky Barrier Diode in a power converter is critical, as this leads to improved performance and significant power dissipation reduction. The combination, which has significant fast switching and high frequency, leads to low switching loss, lower power dissipation, and thus high efficiency. The modules designed for the devices are well suited, particularly for the high-power, high-density, and high-frequency applications, which among them include and are not limited to hybrid electrical vehicle traction inverters, electric vehicles, high-voltage DC transmission systems, solid-state transformers, renewable energy integration systems, PV DC-DC converters, and industrial motor drives among others [44]. Attaining high power density, high efficiency, and reliability are critical in these devices.
The process of characterization of the SiC MOSFETs plays a critical role during the design of high-efficiency converter. The multi-parametric variation emulates the actual working environment where different parameters are varied simultaneously. The quantification of power dissipation depends on gate resistance, current, and voltage under realistic operating condition, which is critical in ensuring the right gate resistance is chosen, switching frequency is optimally selected, and cooling strategy implemented. Moreover, the converter designer gains prerequisite insights on predicting the EMI noise and their mitigation techniques, ensuring the ZVS/ZCS operation is achieved to lower the voltage and current overlap during the turn-on and turn-off switching transitions events, significantly reducing the switching time; thus an informed choice of switching frequencies, the size of magnetic, heat-sink, and design of adaptive and active gate drivers can be optimally achieved.
The theoretical analysis is validated, which is critical when proposing methodologies for optimization and improving the converter performance, as there is knowledge of how the device performs when subjected to different varying input–output parameters. Thus, it is possible to design a more reliable system that is less sensitive to input variations during the operations. Additionally, the knowledge of influence due to these parameters in the inductive clamp circuit would otherwise help in peak voltage stress mitigation, and current slew rate mitigation during the switching, ultimately improving reliability of the device, reducing aging, and improving the converter lifespan.
Investigating these parameters’ influence on high switching frequencies and high switching speeds is imperative in that it is possible to alleviate the EMI noise associated, which could result in damaging the converters, the device supplied by the converter, and other accessories that would otherwise be expensive to replace. According to the authors of [45], it is demonstrated that the SiC device offers significant advantages; thus, in any application, a clear understanding of the device is prudent to ensure high reliability.
When the converter operates in hard-switching, the inferred information helps in balancing efficiency against EMI noise, as well as voltage oscillations and overshoots by correct selection of R g that maintains d v / d t and d i / d t within limits while minimizing switching and gate drive energy loss. The optimal selection of the value of R g should ensure that the acceptable voltage overshoot, EMI noise, d i / d t , d v / d t , peak driver current, and switching losses are within the system limits. These can be easily picked from the DPT results obtained for the minimal loss. These parameters must be evaluated together, as variation in the value of R g has a direct influence to all the others simultaneously. The implication is that the Double Pulse Test is a simple arrangement that is easy to perform, providing the data set for the designers. DPT produces the values for the on–off energy loss, overshoot, current, and voltage slew rates for each step value of R g , making it easy for the designers to perform the appropriate tests before designing a full converter, ensuring that they fully quantify the power losses.

3.5. Limitations

This study presented a detailed evaluation of the impact of variations of different parameters on the losses and efficiency. These results are valuable since they are obtained using manufacturer-provided device models and have been validated to provide reliable insight into the switching behavior of the device across different operating conditions, as they closely present the actual device behavior. The multi-parametric approach adopted provides insights into device behavior that could otherwise be difficult to experimentally obtain. Thus, the simulation study provides a credible foundation for understanding and guiding practical design. Nevertheless, it may need future experimental verification.

4. Conclusions

This study successfully employed LTspice simulation to evaluate the comprehensive multi-parametric characterization and prediction of switching and conduction loss in a 1200 V, 36 A SiC MOSFET/SBD pair, which effectively moves beyond the conventional empirical analysis. The obtained simulation results demonstrate a significant influence of the DC-bus voltage V d c , drain current I d s , and gate resistance R g , on the turn-on and turn-off switching energy losses. This emphasizes the critical role of these parameters in a dynamic performance. Conversely, while the energy losses increase with voltage, gate resistance, and drain current, they remain largely invariant with increasing temperature. These validated findings provide critical, invaluable insights for efficiency optimization, well-informed gate drive design, and development of a reliable, high-efficiency power converter. Future research is directed towards exploring dynamic gate drive techniques, real-time thermal effects to further enhance transient performance, and overall system efficiency.

Author Contributions

Conceptualization, J.M.K. and M.A.; methodology, J.M.K.; software, J.M.K.; validation, J.M.K.; formal analysis, J.M.K.; investigation, J.M.K.; resources, J.M.K. and M.A.; writing—original draft J.M.K.; writing—review and editing M.A.; visualization, M.A.; supervision M.A. All authors have read and agreed to the published version of the manuscript.

Funding

This research received no external funding.

Data Availability Statement

The original contributions presented in this study are included in the article. Further inquiries can be directed to the corresponding author.

Conflicts of Interest

The authors declare no conflicts of interest.

Abbreviations

The following abbreviations are used in this manuscript:
DCDirect Current
DPTDouble Pulse Test
DUTDevice Under Test
EMIElectromagnetic Interference
HFTHigh-Frequency Transformer
SiSilicon
SiC MOSFETSilicon Carbide Metal-Oxide Semiconductor Field-Effect Transistor
SiC SBDSilicon Carbide Schottky Barrier Diode
WBGWide Band Gap
PVPhotovoltaic system
ZCSZero Current Switching
ZVSZero Voltage Switching

References

  1. Liang, M.; Zheng, T.Q.; Li, Y. An Improved Analytical Model for Predicting the Switching Performance of SiC MOSFETs. J. Power Electron. 2016, 16, 374–387. [Google Scholar] [CrossRef]
  2. Li, H.; Munk-Nielsen, S. Detail Study of SiC MOSFET Switching Characteristics. In Proceedings of the 2014 IEEE 5th International Symposium on Power Electronics for Distributed Generation Systems (PEDG), Galway, Ireland, 24–27 June 2014; pp. 1–5. [Google Scholar] [CrossRef]
  3. Lemmon, A.; Mazzola, M.; Gafford, J.; Parker, C. Instability in Half-Bridge Circuits Switched with Wide Band-Gap Transistors. IEEE Trans. Power Electron. 2014, 29, 2380–2392. [Google Scholar] [CrossRef]
  4. Cui, Y.; Chinthavali, M.S.; Xu, F.; Tolbert, L.M. Characterization and Modeling of Silicon Carbide Power Devices and Paralleling Operation. In Proceedings of the 2012 IEEE International Symposium on Industrial Electronics, Hangzhou, China, 28–31 May 2012; pp. 228–233. [Google Scholar] [CrossRef]
  5. Kumar, K.; Bertoluzzo, M.; Buja, G.; Ortenzi, F. Quantitative Analysis of Efficiency Improvement of a Propulsion Drive by Using SiC Devices: A Case of Study. Adv. Power Electron. 2017, 2017, 9149472. [Google Scholar] [CrossRef]
  6. Hazra, S.; Madhusoodhanan, S.; Moghaddam, G.K.; Hatua, K.; Bhattacharya, S. Design Considerations and Performance Evaluation of 1200-V 100-A SiC MOSFET-Based Two-Level Voltage Source Converter. IEEE Trans. Ind. Appl. 2016, 52, 4257–4268. [Google Scholar] [CrossRef]
  7. Li, X.; Zhang, L.; Guo, S.; Lei, Y.; Huang, A.Q.; Zhang, B. Understanding Switching Losses in SiC MOSFET: Toward Lossless Switching. In Proceedings of the 2015 IEEE 3rd Workshop on Wide Bandgap Power Devices and Applications (WiPDA), Blacksburg, VA, USA, 2–4 November 2015; pp. 257–262. [Google Scholar] [CrossRef]
  8. Sayed, H.; Zurfi, A.; Zhang, J. Investigation of the Effects of Load Parasitic Inductance on SiC MOSFETs Switching Performance. In Proceedings of the 2017 IEEE International Conference on Industrial Technology (ICIT), Toronto, ON, Canada, 22–25 March 2017; pp. 125–129. [Google Scholar] [CrossRef]
  9. Kinyua, J.M.; Aoki, M. Investigating the Parasitic Elements Sensitivity on Switching Transients in SiC MOSFET for High Frequency Power Conversion. In Proceedings of the 2025 IEEE PES/IAS PowerAfrica Conference, Cairo, Egypt, 28 September–2 October 2025. [Google Scholar]
  10. Nitzsche, M.; Cheshire, C.; Fischer, M.; Ruthardt, J.; Roth-Stielow, J. Comprehensive Comparison of a SiC MOSFET and Si IGBT Based Inverter. In Proceedings of the PCIM Europe 2019, International Exhibition and Conference for Power Electronics, Intelligent Motion, Renewable Energy and Energy Management, Nuremberg, Germany, 7–9 May 2019; pp. 1–7. Available online: https://ieeexplore.ieee.org/document/8767737 (accessed on 10 March 2025).
  11. Antony, M.S.; Raj, R.P. Switching Loss Estimation of SiC MOSFET in LTspice. Int. J. Adv. Electr. Electron. Eng. 2015, 4, 5–8. Available online: https://www.irdindia.in/journal_ijaeee/pdf/vol4_iss4/2.pdf (accessed on 10 March 2025).
  12. Liu, T.; Ning, R.; Wong, T.T.Y.; Shen, Z.J. Modeling and Analysis of SiC MOSFET Switching Oscillations. IEEE J. Emerg. Sel. Top. Power Electron. 2016, 4, 747–756. [Google Scholar] [CrossRef]
  13. Huang, H.; Yang, X.; Wen, Y.; Long, Z. A Switching Ringing Suppression Scheme of SiC MOSFET by Active Gate Drive. In Proceedings of the 2016 IEEE 8th International Power Electronics and Motion Control Conference (IPEMC-ECCE Asia), Hefei, China, 22–26 May 2016; pp. 285–291. [Google Scholar] [CrossRef]
  14. Li, X.; Lu, Y.; Ni, X.; Wang, S.; Zhang, Y.; Tang, X. Novel Driver Circuit for Switching Performance Improvements in SiC MOSFETs. J. Power Electron. 2020, 20, 1583–1591. [Google Scholar] [CrossRef]
  15. Wittig, B.; Fuchs, F. Analysis and Comparison of Turn-off Active Gate Control Methods for Low-Voltage Power MOSFETs with High Current Ratings. IEEE Trans. Power Electron. 2012, 27, 1632–1640. [Google Scholar] [CrossRef]
  16. Wang, X.; Zhao, Z.; Li, K.; Zhu, Y.; Chen, K. Analytical Methodology for Loss Calculation of SiC MOSFETs. IEEE J. Emerg. Sel. Top. Power Electron. 2019, 7, 71–83. [Google Scholar] [CrossRef]
  17. Raee, H.; Rabiei, A.; Thirnger, T. Analytical Prediction of Switching Losses in MOSFETs for Variable Drain-Source Voltage and Current Applications. In Proceedings of the 2013 IEEE 8th Conference on Industrial Electronics and Applications (ICIEA), Melbourne, VIC, Australia, 19–21 June 2013; pp. 705–709. [Google Scholar] [CrossRef]
  18. Wolfspeed, Inc. C2M0080120D Silicon Carbide Power MOSFET C2M MOSFET Technology N-Channel Enhancement Mode. 2024. Available online: https://assets.wolfspeed.com/uploads/2024/01/Wolfspeed_C2M0080120D_data_sheet.pdf (accessed on 3 March 2025).
  19. Wolfspeed, Inc. C4D20120A 4th Generation 1200 V, 20 A, Silicon Carbide Schottky Diode Datasheet. 2024. Available online: https://assets.wolfspeed.com/uploads/2023/05/Wolfspeed_C4D20120A_data_sheet.pdf (accessed on 3 March 2025).
  20. Song, Q.; Wang, W.; Zhang, S.; Li, Y.; Ahmad, M. The Analysis of Power Losses of Power Inverter Based on SiC MOSFETs. In Proceedings of the 2019 1st Global Power, Energy and Communication Conference (GPECOM), Nevsehir, Turkey, 12–15 June 2019. [Google Scholar] [CrossRef]
  21. Arribas, A.P.; Shang, F.; Krishnamurthy, M.; Shenai, K. Simple and Accurate Circuit Simulation Model for SiC Power MOSFETs. IEEE Trans. Electron Devices 2015, 62, 449–457. [Google Scholar] [CrossRef]
  22. Christen, D.; Biela, J. Analytical Switching Loss Modeling Based on Datasheet Parameters for MOSFET in a Half-Bridge. IEEE Trans. Power Electron. 2019, 34, 3700–3710. [Google Scholar] [CrossRef]
  23. Agrawal, B.; Preindl, M.; Bilgin, B.; Emadi, A. Estimating Switching Losses for SiC MOSFETs with Non-Flat Miller Plateau Region. In Proceedings of the 2017 IEEE Applied Power Electronics Conference and Exposition (APEC), Tampa, FL, USA, 26–30 March 2017; pp. 2664–2670. [Google Scholar] [CrossRef]
  24. Kinyua, J.M.; Aoki, M. Quantitative Analysis of Switching Losses and Efficiency Estimation in High-Frequency Power Device Applications. In Proceedings of the 2024 Sustainable Research and Innovation Conference (SRI), Helsinki and Espoo, Finland; Juja, Kenya, 10–15 June 2024, pp. 26–32. Available online: https://sri.jkuat.ac.ke/jkuatsri/index.php/sri/article/view/800/487 (accessed on 15 May 2025).
  25. Emami, Z.; Nikpendar, M.; Shafiei, N.; Motahari, S.R. Leading and Lagging Legs Power Loss Analysis in ZVS Phase-Shift Full Bridge converter. In Proceedings of the 2011 2nd Power Electronics, Drive Systems and Technologies Conference, Tehran, Iran, 16–17 February 2011; pp. 632–637. [Google Scholar] [CrossRef]
  26. Peng, K.; Eskandari, S.; Santi, E. Analytical Loss Model for Power Converters with SiC MOSFET and SiC Schottky Diode Pair. In Proceedings of the 2015 IEEE Energy Conversion Congress and Exposition (ECCE), Montreal, QC, Canada, 20–24 September 2015; pp. 6153–6160. [Google Scholar] [CrossRef]
  27. Roy, S.K.; Basu, K. Analytical Estimation of Turn on Switching Loss of SiC MOSFET and Schottky Diode Pair From Datasheet Parameters. IEEE Trans. Power Electron. 2019, 34, 9118–9130. [Google Scholar] [CrossRef]
  28. Orabi, M.; Shawky, A. Proposed Switching Losses Model for Integrated Point-of-Load Synchronous Buck Converters. IEEE Trans. Power Electron. 2015, 30, 5136–5150. [Google Scholar] [CrossRef]
  29. Li, X.; Li, X.; Yang, L.; Huang, A.Q.; Liu, P.; Deng, X.; Zhang, B. Switching Loss Model of SiC MOSFET Promoting High Frequency Applications. In Proceedings of the 2019 31st International Symposium on Power Semiconductor Devices and ICs (ISPSD), Shanghai, China, 19–23 May 2019; pp. 231–234. [Google Scholar] [CrossRef]
  30. Cheng, H.C.; Shen, Y.H.; Chen, W.H. Parasitic Extraction and Power Loss Estimation of Power Devices. J. Mech. 2020, 37, 134–148. [Google Scholar] [CrossRef]
  31. Lirio, L.E.A.; Bellar, M.D.; Neto, J.A.M.; Dos Reis, M.S.; Aredes, M. Switching Losses Analysis in SiC Power MOSFET. In Proceedings of the 2015 IEEE 13th Brazilian Power Electronics Conference and 1st Southern Power Electronics Conference (COBEP/SPEC), Fortaleza, Brazil, 29 November–2 December 2015; pp. 1–6. [Google Scholar] [CrossRef]
  32. Rodríguez, M.; Rodríguez, A.; Miaja, P.F.; Lamar, D.G.; Zúniga, J.S. An Insight into the Switching Process of Power MOSFETs: An Improved Analytical Losses Model. IEEE Trans. Power Electron. 2010, 25, 1626–1640. [Google Scholar] [CrossRef]
  33. Wang, J.; Chung, H.S.h.; Li, R.T.h. Characterization and Experimental Assessment of the Effects of Parasitic Elements on the MOSFET Switching Performance. IEEE Trans. Power Electron. 2013, 28, 573–590. [Google Scholar] [CrossRef]
  34. Chen, K.; Zhao, Z.; Yuan, L.; Lu, T.; He, F. The Impact of Nonlinear Junction Capacitance on Switching Transient and Its Modeling for SiC MOSFET. IEEE Trans. Electron Devices 2015, 62, 333–338. [Google Scholar] [CrossRef]
  35. Wu, L.; Xiao, L.; Zhao, J.; Chen, G. Physical Analysis and Modeling of the Non-linear Miller Capacitance for SiC MOSFET. In Proceedings of the IECON 2017—43rd Annual Conference of the IEEE Industrial Electronics Society, Beijing, China, 29 October–1 November 2017; pp. 1411–1416. [Google Scholar] [CrossRef]
  36. Guo, J.; Ge, H.; Ye, J.; Emadi, A. Improved Method for MOSFET Voltage Rise-Time and Fall-Time Estimation in Inverter Switching Loss Calculation. In Proceedings of the 2015 IEEE Transportation Electrification Conference and Expo (ITEC), Dearborn, MI, USA, 14–17 June 2015. [Google Scholar] [CrossRef]
  37. Nexperia. How to Interpret SiC Datasheet Parameters: Apply Them in Typical Power Electronics Design. 2024. Available online: https://my.avnet.com/ebv/products/product-highlights/nexperia-silicon-carbide-mosfets/ (accessed on 13 March 2025).
  38. Wang, W.; Song, Q.; Zhang, S.; Li, Y.; Ahmad, M.; Gong, Y. The Loss Analysis and Efficiency Optimization of Power Inverter Based on SiC mosfets Under the High-Switching Frequency. IEEE Trans. Ind. Appl. 2021, 57, 1521–1534. [Google Scholar] [CrossRef]
  39. Ahmed, M.H.; Wang, M.; Hassan, M.A.S.; Ullah, I. Power Loss Model and Efficiency Analysis of Three-Phase Inverter Based on SiC MOSFETs for PV Applications. IEEE Access 2019, 7, 75768–75781. [Google Scholar] [CrossRef]
  40. Hazra, S.; Madhusoodhanan, S.; Bhattacharya, S.; Moghaddam, G.K.; Hatua, K. Design Considerations and Performance Evaluation of 1200V, 100A SiC MOSFET Based Inverter for High Power Density Application. In Proceedings of the 2013 IEEE Energy Conversion Congress and Exposition, Denver, CO, USA, 15–19 September 2013; pp. 4278–4285. [Google Scholar] [CrossRef]
  41. Hazra, S.; De, A.; Cheng, L.; Palmour, J.; Schupbach, M.; Hull, B.; Allen, S.; Bhattacharya, S. High Switching Performance of 1700 V, 50 A SiC Power MOSFET over Si IGBT/BiMOSFET for Advanced Power Conversion Applications. IEEE Trans. Power Electron. 2016, 31, 4742–4754. [Google Scholar] [CrossRef]
  42. Hu, A.; Biela, J. Fast and Accurate Data Sheet Based Analytical Switching Loss Model for a SiC MOSFET and Schottky Diode Half-Bridge. IEEE Open J. Power Electron. 2024, 5, 1684–1696. [Google Scholar] [CrossRef]
  43. Ionita, C.; Nawaz, M.; Ilves, K.; Iannuzzo, F. Comparative Assessment of 3.3kV/400A SiC MOSFET and Si IGBT Power Modules. In Proceedings of the 2017 IEEE Energy Conversion Congress and Exposition (ECCE), Cincinnati, OH, USA, 1–5 October 2017; pp. 1343–1349. [Google Scholar] [CrossRef]
  44. Rasul, A.; Teixeira, R.; Baptista, J. Silicon Carbide Converter Design: A Review. Energies 2025, 18, 2140. [Google Scholar] [CrossRef]
  45. Shi, B.; Ramones, A.I.; Liu, Y.; Wang, H.; Li, Y.; Pischinger, S.; Andert, J. A review of silicon carbide MOSFETs in electrified vehicles: Application, challenges, and future development. IET Power Electron. 2023, 16, 2103–2120. [Google Scholar] [CrossRef]
Figure 1. (a) Equivalent basic load switching model of the SiC-MOSFET configuration. (b) A SiC switch device construction model with parasitic capacitances.
Figure 1. (a) Equivalent basic load switching model of the SiC-MOSFET configuration. (b) A SiC switch device construction model with parasitic capacitances.
Energies 18 06264 g001
Figure 2. Waveforms illustrating the Double Pulse Test (DPT) and LTSpice simulation results. (a) Ideal load current and drive signals of the DPT; (b) LTSpice simulation waveform for V d s and I d s in a SiC device.
Figure 2. Waveforms illustrating the Double Pulse Test (DPT) and LTSpice simulation results. (a) Ideal load current and drive signals of the DPT; (b) LTSpice simulation waveform for V d s and I d s in a SiC device.
Energies 18 06264 g002
Figure 3. SiC MOSFET switching transients during the turn-on process.
Figure 3. SiC MOSFET switching transients during the turn-on process.
Energies 18 06264 g003
Figure 4. SiC MOSFET switching transients during the turn-off process.
Figure 4. SiC MOSFET switching transients during the turn-off process.
Energies 18 06264 g004
Figure 5. Simulated switching waveform for SiC MOSFET during turn-on: the drain-source voltage V d s , drain-source current I g s , and gate-source voltage V g s . V d c = 800 V, V d s = (−4 V to 20 V).
Figure 5. Simulated switching waveform for SiC MOSFET during turn-on: the drain-source voltage V d s , drain-source current I g s , and gate-source voltage V g s . V d c = 800 V, V d s = (−4 V to 20 V).
Energies 18 06264 g005
Figure 6. Simulated SiC MOSFET turn-off drain-source voltage V d s , drain-source current I g s , and gate-source voltage V g s . V d c = 800 V, V d s = (−4 V to 20 V).
Figure 6. Simulated SiC MOSFET turn-off drain-source voltage V d s , drain-source current I g s , and gate-source voltage V g s . V d c = 800 V, V d s = (−4 V to 20 V).
Energies 18 06264 g006
Figure 7. Turn-on and turn-off transient current of the SiC MOSFET for different gate resistors R g at a supply voltage of 800 V: (a) analytical switching waveform showing the effects of R g on the turn-on drain-source current I d s (time (20 ns/div)); (b) analytical switching waveform showing the effects of R g on the turn-off drains source current I d s (time (20 ns/div)).
Figure 7. Turn-on and turn-off transient current of the SiC MOSFET for different gate resistors R g at a supply voltage of 800 V: (a) analytical switching waveform showing the effects of R g on the turn-on drain-source current I d s (time (20 ns/div)); (b) analytical switching waveform showing the effects of R g on the turn-off drains source current I d s (time (20 ns/div)).
Energies 18 06264 g007
Figure 8. Turn-on and turn-off transient voltage of the SiC MOSFET for different gate resistors R g at a supply voltage of 800 V: (a) analytical switching waveform showing the effects of R g on the turn-on drain-source voltage V d s (time (20 ns/div)); (b) analytical switching waveform showing the effects of R g on the turn-off drain-source voltage V d s (time (20 ns/div)).
Figure 8. Turn-on and turn-off transient voltage of the SiC MOSFET for different gate resistors R g at a supply voltage of 800 V: (a) analytical switching waveform showing the effects of R g on the turn-on drain-source voltage V d s (time (20 ns/div)); (b) analytical switching waveform showing the effects of R g on the turn-off drain-source voltage V d s (time (20 ns/div)).
Energies 18 06264 g008
Figure 9. Simulated turn-on and turn-off energy loss of a SiC MOSFET for different gate resistor values with drain-source current I g s and gate-source voltage V g s . V d c = 800 V, V g s = (−4 V to 20 V).
Figure 9. Simulated turn-on and turn-off energy loss of a SiC MOSFET for different gate resistor values with drain-source current I g s and gate-source voltage V g s . V d c = 800 V, V g s = (−4 V to 20 V).
Energies 18 06264 g009
Figure 10. Analysis of turn-on and turn-off power loss characterization in SiC MOSFET under varying ( R g ): (a) proposed analytical switching waveform showing the effects of R g on the turn-on drain-source voltage V d s (time (20 ns/div)); (b) proposed analytical switching waveform showing the effects of ( R g ) on the turn-off drain-source voltage V d s (time (20 ns/div)).
Figure 10. Analysis of turn-on and turn-off power loss characterization in SiC MOSFET under varying ( R g ): (a) proposed analytical switching waveform showing the effects of R g on the turn-on drain-source voltage V d s (time (20 ns/div)); (b) proposed analytical switching waveform showing the effects of ( R g ) on the turn-off drain-source voltage V d s (time (20 ns/div)).
Energies 18 06264 g010
Figure 11. Turn-on and turn-off variations for different drain-source current and DC-bus voltage: (a) Turn-on energy loss variations with I d s (4–36 A) and V d c (200–1200 V). (b) Turn-off energy loss variations with I d s (4–36 A) and V d c (200–1200 V). (c) Turn-on loss variation of V d c and I d s . (d) Turn-off loss variation of V d c and I d s . (e) Turn-on energy vs. load current for 400 V, 800 V, and 1200 V (25 °C and 100 °C). (f) Turn-off energy vs. load current for 400 V, 800 V, and 1200 V (25 °C and 100 °C).
Figure 11. Turn-on and turn-off variations for different drain-source current and DC-bus voltage: (a) Turn-on energy loss variations with I d s (4–36 A) and V d c (200–1200 V). (b) Turn-off energy loss variations with I d s (4–36 A) and V d c (200–1200 V). (c) Turn-on loss variation of V d c and I d s . (d) Turn-off loss variation of V d c and I d s . (e) Turn-on energy vs. load current for 400 V, 800 V, and 1200 V (25 °C and 100 °C). (f) Turn-off energy vs. load current for 400 V, 800 V, and 1200 V (25 °C and 100 °C).
Energies 18 06264 g011
Figure 12. Total transition energy loss and switching power loss curves: (a) total energy loss in SiC MOSFET under varying operating conditions; (b) switching power Loss in SiC MOSFET as a function of I d s .
Figure 12. Total transition energy loss and switching power loss curves: (a) total energy loss in SiC MOSFET under varying operating conditions; (b) switching power Loss in SiC MOSFET as a function of I d s .
Energies 18 06264 g012
Figure 13. Variations of the conduction power with varying drain-source current and with varying input V d c : (a) curves of conduction power loss with varying drain-source current; (b) variation of conduction power Loss with varying input V d c .
Figure 13. Variations of the conduction power with varying drain-source current and with varying input V d c : (a) curves of conduction power loss with varying drain-source current; (b) variation of conduction power Loss with varying input V d c .
Energies 18 06264 g013
Figure 14. The turn-on and turn-off transition power loss against the switch drain-source current I d s : (a) turn of transition power loss against the drain-source current; (b) turn of transition power loss against the drain-source current.
Figure 14. The turn-on and turn-off transition power loss against the switch drain-source current I d s : (a) turn of transition power loss against the drain-source current; (b) turn of transition power loss against the drain-source current.
Energies 18 06264 g014
Figure 15. The curve of the total turn-on and turn-off power loss and efficiency of the switch: (a) summation of the turn-on and turn-off power loss in the SiC MOSFET against the drain-source current; (b) percentage efficiency of the SIC MOSFET with variations in drain-source current.
Figure 15. The curve of the total turn-on and turn-off power loss and efficiency of the switch: (a) summation of the turn-on and turn-off power loss in the SiC MOSFET against the drain-source current; (b) percentage efficiency of the SIC MOSFET with variations in drain-source current.
Energies 18 06264 g015
Figure 16. Efficiency variation as a function of gate resistance R g under different currents I d s .
Figure 16. Efficiency variation as a function of gate resistance R g under different currents I d s .
Energies 18 06264 g016
Table 1. Wolf-speed C2M0080120D SiC MOSFET data-sheet parameters at (25 °C) used for LTSpice simulations.
Table 1. Wolf-speed C2M0080120D SiC MOSFET data-sheet parameters at (25 °C) used for LTSpice simulations.
ParameterDescriptionValueUnit
T j Junction Temperature25°C
V d s Drain-Source Voltage1200V
V g s ( t h ) Gate-Threshold Voltage2.9V
V g s Gate-Source Voltage−5/20V
I d s Drain-Source current36A
R d s ( o n ) Drain-Source On-State Resistance80m Ω
R g ( i n t ) Internal Gate Resistance3.9 Ω
g ( f s ) Transconductance10S
Table 2. Data-sheet parameters of the Schottky diode Wolf-speed C4D20120A at (25 °C).
Table 2. Data-sheet parameters of the Schottky diode Wolf-speed C4D20120A at (25 °C).
ParameterDescriptionValueUnitTemp. Dep
V d c DC Blocking Voltage1200VNo
V F Diode Forward Voltage1.5–1.8VYes
R ( o n ) On-State Diode Resistance80m Ω Yes
I F Continuous Forward Current (C)20AYes
nDiode Identity Factor1.05–1.3 No
I R Reverse Current35–200 μ AYes
I s Reverse Saturation Current1 μ AYes
Table 3. Parameters Influencing SiC MOSFET performance.
Table 3. Parameters Influencing SiC MOSFET performance.
ParameterImpact on SiC MOSFETInfluenced by
R d s ( o n ) Conduction loss T j , V g s ( o n ) , I d
Q g Device loss, delay times V g s ( o n ) , V g s ( o f f ) , I d s
Q g d , Q g s Switching stability I d , V d s
V g s ( t h ) Delay time, safety margin V g s ( o f f )
E o n , E o f f Switching loss energy T j , V g s ( o n ) , V g s ( o f f ) , R g , V d c , I L
R t h ( j c ) , Z t h ( j c ) Heat dissipation, T j
Disclaimer/Publisher’s Note: The statements, opinions and data contained in all publications are solely those of the individual author(s) and contributor(s) and not of MDPI and/or the editor(s). MDPI and/or the editor(s) disclaim responsibility for any injury to people or property resulting from any ideas, methods, instructions or products referred to in the content.

Share and Cite

MDPI and ACS Style

Kinyua, J.M.; Aoki, M. SiC MOSFET Switching Dynamics and Power Conversion Loss Characterization Under Parametric Variations. Energies 2025, 18, 6264. https://doi.org/10.3390/en18236264

AMA Style

Kinyua JM, Aoki M. SiC MOSFET Switching Dynamics and Power Conversion Loss Characterization Under Parametric Variations. Energies. 2025; 18(23):6264. https://doi.org/10.3390/en18236264

Chicago/Turabian Style

Kinyua, Jamlick M., and Mutsumi Aoki. 2025. "SiC MOSFET Switching Dynamics and Power Conversion Loss Characterization Under Parametric Variations" Energies 18, no. 23: 6264. https://doi.org/10.3390/en18236264

APA Style

Kinyua, J. M., & Aoki, M. (2025). SiC MOSFET Switching Dynamics and Power Conversion Loss Characterization Under Parametric Variations. Energies, 18(23), 6264. https://doi.org/10.3390/en18236264

Note that from the first issue of 2016, this journal uses article numbers instead of page numbers. See further details here.

Article Metrics

Article metric data becomes available approximately 24 hours after publication online.
Back to TopTop