Thermal Performance Improvement of Phase Change Plates in Underground Refuge Chambers Through Nano-Graphite Particles and Fins
Abstract
1. Introduction
2. Materials and Methods
2.1. Refuge Chamber Model
2.2. Experimental Methods
2.2.1. PCM Modification Setup
2.2.2. PCP Experimental System and Procedure
2.3. Numerical Methods
2.3.1. Physical Models
2.3.2. Mathematical Model
- (1)
- The delay in air temperature rise is neglected, and the air temperature within the chamber is considered spatially uniform;
- (2)
- The PCM is considered to be a uniform and isotropic medium [60];
- (3)
- The flow of the liquid PCM is assumed to be laminar, unsteady, and incompressible [61];
- (4)
- Thermal contact resistance and viscous dissipation effects are disregarded;
- (5)
- (1)
- The continuity equation is shown in Equation (1).
- (2)
- The momentum conservation equation is shown in Equation (2).
- (3)
- The momentum energy equation is shown in Equation (5).
2.3.3. Boundary and Initial Conditions
- (1)
- Initialize Q = 9 W, Qa = 0 W. Read previous air temperature Tf0 from UDM and plate surface temperature TPCM from Fluent. Set ΔQ = 0.1 W.
- (2)
- Update Qa: Qa = Qa + ΔQ.
- (3)
- Compute current air temperature Tf from Qa, then determine convective coefficient hPCM and plate absorption QPCM.
- (4)
- If Qa + QPCM < Q, return to Step 2; otherwise, proceed.
- (5)
- Save Tf and hPCM to UDM and transfer to Fluent as boundary conditions.

2.3.4. Mesh Partitioning and Model Validation
- (1)
- Grid Independence Analysis
- (2)
- Model Validation of Accuracy
3. Results and Discussion
3.1. Thermal Performance
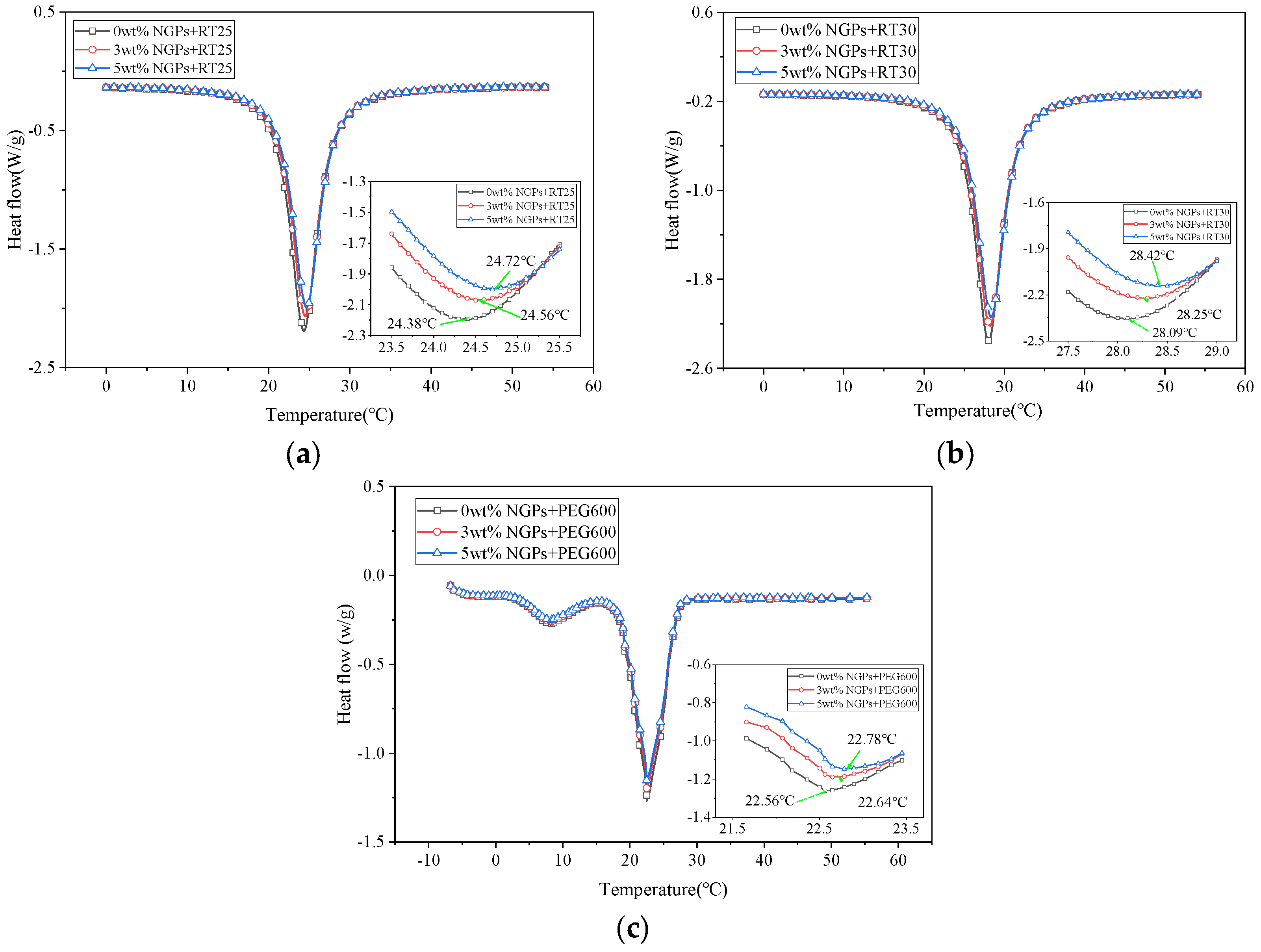
3.1.1. Thermal Properties
3.1.2. Temperature Variations
3.2. Melting Process
3.2.1. Liquid Fraction of PCPs
3.2.2. Temperature Distribution of PCPs
3.3. Temperature-Controlling Characteristics
3.4. Limitations and Outlook
4. Conclusions
- (1)
- Adding NGPs significantly increases the thermal conductivity of PCMs but simultaneously reduces their latent heat capacity. For example, adding 5 wt% NGPs to RT25 increased the thermal conductivity by 0.19 W/(m·°C) and reduced the phase change latent heat by 15.3 kJ/kg.
- (2)
- PCMs with higher melting points have longer temperature control times, and PCMs with larger latent heat and broader phase change intervals exhibit flatter melting curves. For example, the RT25 PCM shows the best thermal performance among tested PCMs, with lower wall and air temperatures and minimal late-stage temperature increase. Adding 5 wt% NGPs enhances its thermal conductivity, slightly raising the plateau temperature but significantly lowering the surface temperature by 1.02 °C.
- (3)
- Enhancement techniques profoundly impact the phase transition behavior of PCMs. The base PCP liquid fraction and temperature distribution demonstrate marked stratification. NGPs foster consistent melting within the PCM, whereas plate fins and pin fins augment melting rates and promote a more even temperature distribution.
- (4)
- In extended operation, the NGP structure demonstrates the best overall performance. Compared to the standard, the temperature drops by 1.64 °C at the 96th hour, and the temperature control period is prolonged by 53.8 h. In comparison with base PCP, the average wall temperature is reduced by 0.66 °C, a reduction in the average air temperature of 0.69 °C and an extension in the temperature control duration of 13 h.
- (5)
- To further enhance the application effectiveness of PCP systems in underground refuge chambers, additional research is required. It is necessary to conduct medium-scale experimental validation using multiple PCP modules and subsequently perform field testing under actual chamber conditions. Secondly, long-term cyclic stability studies should be carried out on NGP-PCM composite materials. Furthermore, key parameters including NGP mass fraction as well as fin height, thickness, and spacing need optimization to achieve the optimal balance between performance and cost.
Author Contributions
Funding
Data Availability Statement
Conflicts of Interest
Abbreviations
| PCM | Phase change material |
| PCP | Phase change plate |
| NGP | Nano-graphite particle |
| RT25 | No. 25 paraffin wax |
| RT30 | No. 30 paraffin wax |
| PEG600 | No. 600 polyethylene glycol |
| DSC | Differential scanning calorimeter |
| UDF | User defined function |
References
- Xie, H.P.; Zhang, J.X.; Gao, F.; Li, B.Y.; Li, C.B.; Xie, Y.C.; Zhou, N. Theory and technical conception of carbon-negative and high-efficient backfill mining in coal mines. J. China Coal Soc. 2024, 49, 36–46. [Google Scholar]
- Wu, Q.; Tu, K.; Zeng, Y.F.; Liu, S. Discussion on the main problems and countermeasures for building an upgrade version of main energy (coal) industry in China. J. China Coal Soc. 2019, 44, 1625–1636. [Google Scholar]
- International Energy Agency. World Energy Statistics Yearbook; International Energy Agency: Paris, France, 2025. [Google Scholar]
- Xie, H.P.; Li, W.X.; Zheng, Z.D. Prediction on the energy consumption and coal demand of China in 2025. J. China Coal Soc. 2019, 44, 1949–1960. [Google Scholar]
- Liu, Y.L.; Li, J.L.; Wang, Y.P.; Li, G.Q.; Hu, Z.X.; Chen, H.; Zhou, K.P. Comparison of artificial refrigeration cooling schemes for high temperature tunneling roadway in deep mines—The case of Yunnan Dahongshan Copper Mine. Case Stud. Therm. Eng. 2024, 61, 104997. [Google Scholar] [CrossRef]
- Zhang, W.J.; Huang, T.W. Current Situation and Prospect of Coal Mine Safety Regulation System in China. Saf. Coal Mines 2020, 51, 10–17. [Google Scholar]
- Yang, H.S.; Zhang, Z.J.; Zhou, J.; Mao, R.Y.; Wu, H.W.; Liang, X. Enhanced temperature control performance in underground refuge chambers through optimization of air inlets layout. Build. Environ. 2025, 280, 113109. [Google Scholar] [CrossRef]
- Guo, W.S.; Zhang, Z.J.; Wu, H.W.; Ge, L.; Liang, X.; Mao, R.Y. Experimental study on cooling and dehumidification performance of an ice storage air conditioner used in underground refuge chamber. Int. Commun. Heat Mass Transf. 2023, 146, 106930. [Google Scholar] [CrossRef]
- Jin, T.; Zhang, Z.J.; Ge, L.; Liang, X.; Wu, H.W.; Zhou, J.R.; Mao, R.Y. Investigation on temperature control performance of an underground confined space under ventilation. Therm. Sci. Eng. Prog. 2024, 50, 102591. [Google Scholar] [CrossRef]
- Zhang, Z.J.; Yuan, Y.P.; Wang, K.Q.; Gao, X.K.; Cao, X.L. Experimental investigation on Influencing Factors of air curtain systems barrier efficiency for mine refuge chamber. Process Saf. Environ. Prot. 2016, 102, 534–546. [Google Scholar] [CrossRef]
- Chen, L.; Shi, Q.C. Experimental study and performance analysis on a closed-cycle rotary dehumidification air conditioning system in deep underground spaces. Case Stud. Therm. Eng. 2022, 37, 102245. [Google Scholar] [CrossRef]
- Jin, H.; Zhang, Z.J.; Zhou, J.R.; Mao, R.Y.; Wu, H.W.; Liang, X. Study on surrounding rock thermal physical properties on thermal comfort in a ventilated underground refuge chamber. Int. J. Therm. Sci. 2025, 211, 109755. [Google Scholar] [CrossRef]
- Yuan, Y.P.; Gao, X.K.; Wu, H.W.; Zhang, Z.J.; Cao, X.L.; Sun, L.L.; Yu, N.Y. Coupled cooling method and application of latent heat thermal energy storage combined with pre-cooling of envelope: Method and model development. Energy 2017, 119, 817–833. [Google Scholar] [CrossRef]
- Wang, X.M.; Wang, Y.J.; Wang, Z.Y.; Lai, X.J.; Sang, C.L. Development and validation of modified predicted heat strain model for various metabolic rates in hot-humid underground environments. J. Therm. Biol. 2025, 127, 104066. [Google Scholar] [CrossRef]
- Wang, Y.J.; Wang, Y.T.; Wang, X.M.; Wang, C.X.; Li, G. Experimental investigation on physiological and perceptual thermal responses through simulated hot-humid deep mine conditions. Build. Environ. 2024, 255, 111435. [Google Scholar] [CrossRef]
- Wang, F.M.; Wang, X.M.; Su, W.; Liu, J.Y.; Lei, T.; Yang, J.; Yang, B. Shift work duration and heatstroke risk among healthcare workers during hot summer months: A modelling study across 34 Chinese cities. Build. Environ. 2024, 248, 111100. [Google Scholar] [CrossRef]
- Wang, X.M.; Zhang, Y.T.; Huang, Y.M.; Yang, J. Development and validation of an individualized predicted heat strain model for simulating physiological responses in various conditions. Build. Environ. 2022, 214, 108922. [Google Scholar] [CrossRef]
- Marsicek, J.; Shuman, B.N.; Bartlein, P.J.; Shafer, S.L.; Brewer, S. Reconciling divergent trends and millennial variations in Holocene temperatures. Nature 2018, 554, 92–96. [Google Scholar] [CrossRef]
- Xu, T.T.; Yao, R.M.; Du, C.Q.; Li, B.Z. Outdoor thermal perception and heatwave adaptation effects in summer—A case study of a humid subtropical city in China. Urban Clim. 2023, 52, 101724. [Google Scholar] [CrossRef]
- Yang, J.L.; Yang, L.W.; Wei, J.; Ma, Y.Z.; Zhang, Z. Study on open-cycle carbon dioxide refrigerator for movable mine refuge chamber. Appl. Therm. Eng. 2013, 52, 304–312. [Google Scholar] [CrossRef]
- Yan, L.C.; Yantek, D.; Reyes, M.; Whisner, B.; Bickson, J.; Srednicki, J.; Damiano, N.; Bauer, E. Cryogenic Air Supply for Cooling Built-in-Place Refuge Alternatives in Hot Mine. Min. Metall. Explor. 2020, 37, 861–871. [Google Scholar] [CrossRef]
- Zhang, Z.J.; Wu, H.W.; Wang, K.Q.; Day, R.; Yuan, Y.P. Air quality control in mine refuge chamber with ventilation through pressure air pipeline. Process Saf. Environ. Prot. 2020, 135, 46–58. [Google Scholar] [CrossRef]
- Wang, S.; Jin, L.Z.; Yang, Z.; Ou, S.N.; Zhong, H.L. Effect of ice storage air conditioning condition on human thermal comfort in refuge station living area. J. China Coal Soc. 2014, S2, 405–410. [Google Scholar]
- Sang, D.; Sun, S.F.; Hu, Y.; Song, W.L.; Wang, L. Development Application Status and Thermodynamic Analysis for Air Conditioning Technology of Mine Rescue Capsule. Saf. Coal Mines 2012, 43, 161–164. [Google Scholar]
- Li, X.; Yang, H.S.; Mao, R.Y.; Wu, H.W.; Liang, X.; Zhou, J.R.; Zhang, Z.J. Experimental investigation on the temperature control performance of compressed air coupled phase change plate system for underground refuge chamber. Int. J. Heat Mass Transf. 2024, 233, 126028. [Google Scholar] [CrossRef]
- Gao, X.K.; Zhang, Z.J.; Yuan, Y.P.; Cao, X.L.; Zeng, C.; Yan, D. Coupled cooling method for multiple latent heat thermal storage devices combined with pre-cooling of envelope: Model development and operation optimization. Energy 2018, 159, 508–524. [Google Scholar] [CrossRef]
- Du, Y.; Gai, W.M.; Jin, L.Z.; Sheng, W. Thermal comfort model analysis and optimization performance evaluation of a multifunctional ice storage air conditioning system in a confined mine refuge chamber. Energy 2017, 141, 964–974. [Google Scholar] [CrossRef]
- Xu, X.; You, S.J.; Zheng, X.J.; Zhang, H.; Liu, S. Cooling performance of encapsulated ice plates used for the underground refuge chamber. Appl. Therm. Eng. 2017, 112, 259–272. [Google Scholar] [CrossRef]
- Nazir, H.; Batool, M.; Bolivar Osorio, F.J.; Isaza-Ruiz, M.; Xu, X.; Vignarooban, K.; Phelan, P.; Inamuddin; Kannan, A.M. Recent developments in phase change materials for energy storage applications: A review. Int. J. Heat Mass Transf. 2019, 129, 491–523. [Google Scholar] [CrossRef]
- Qin, Y.H.; Ghalambaz, M.; Sheremet, M.; Fteiti, M.; Alresheedi, F. A bibliometrics study of phase change materials (PCMs). J. Energy Storage 2023, 73, 108987. [Google Scholar] [CrossRef]
- Jin, X.; Zhang, S.L.; Xu, X.D.; Zhang, X.S. Effects of PCM state on its phase change performance and the thermal performance of building walls. Build. Environ. 2014, 81, 334–339. [Google Scholar] [CrossRef]
- Wu, B.; Lei, B.W.; Zhou, C.H.; Zhao, Z.Y. Experimental Study of Phase Change Material’s Application in Refuge Chamber of Coal Mine. Procedia Eng. 2012, 45, 936–941. [Google Scholar] [CrossRef][Green Version]
- Gao, X.K.; Yuan, Y.P.; Cao, X.L.; Wu, H.W.; Zhao, X.D. Coupled cooling method and application of latent heat thermal energy storage combined with pre-cooling of envelope: Sensitivity analysis and optimization. Process Saf. Environ. Prot. 2017, 107, 438–453. [Google Scholar] [CrossRef]
- Liu, S.X.; Meng, X.X.; Xu, W.R.; Xin, S. Study of a thermal regulation mortar incorporating phase change microcapsules for overheating reduction underground engineering. Mater. Lett. 2023, 347, 134561. [Google Scholar] [CrossRef]
- Wu, X.H.; Gao, M.T.; Wang, K.; Wang, Q.W.; Cheng, C.X.; Zhu, Y.J.; Zhang, F.F.; Zhang, Q. Experimental Study of the Thermal Properties of a Homogeneous Dispersion System of a Paraffin-based Composite Phase Change Materials. J. Energy Storage 2021, 36, 102398. [Google Scholar] [CrossRef]
- Abdulateef, A.M.; Abdulateef, J.; Al-Abidi, A.A.; Sopian, K.; Mat, S.; Mahdi, M.S. A combination of fins-nanoparticle for enhancing the discharging of phase-change material used for liquid desiccant air conditioning unite. J. Energy Storage 2019, 24, 100784. [Google Scholar] [CrossRef]
- Mishra, A.K.; Morciano, M.; Agegnehu, B.W.; Campagnoli, E.; Giaretto, V.; Bottega, A.; Fasano, M.; Mongibello, L.; Chiavazzo, E. Dynamic PCM strategies with nano-enhanced composites for optimal thermal energy storage and management. Chem. Eng. J. Adv. 2025, 23, 100789. [Google Scholar] [CrossRef]
- Kumar, K.S.; Munimathan, A.; Ravi, S.; Gupta, D.; Rajan, K.; Dhairiyasamy, R.; Mohanavel, V.; Subbiah, R.; Soudagar, M.E.M. Improving the thermal efficiency of a solar water heater by using PCM with copper powder (Cu), silicon carbide (SiC), and boron nitride (BN) nano particles. Results Eng. 2025, 27, 105952. [Google Scholar] [CrossRef]
- Baby, R.; Balaji, C. Thermal optimization of PCM based pin fin heat sinks: An experimental study. Appl. Therm. Eng. 2013, 54, 65–77. [Google Scholar] [CrossRef]
- Abdi, A.; Martin, V.; Chiu, J.N.W. Numerical investigation of melting in a cavity with vertically oriented fins. Appl. Energy 2019, 235, 1027–1040. [Google Scholar] [CrossRef]
- Sahan, N.; Paksoy, H.O. Thermal enhancement of paraffin as a phase change material with nanomagnetite. Sol. Energy Mater. Sol. Cells 2014, 126, 56–61. [Google Scholar] [CrossRef]
- Yang, R.T.; Li, D.; Salazar, S.L.; Rao, Z.H.; Arıcı, M.; Wei, W. Photothermal properties and photothermal conversion performance of nano-enhanced paraffin as a phase change thermal energy storage material. Sol. Energy Mater. Sol. Cells 2021, 219, 110792. [Google Scholar] [CrossRef]
- Zhang, N.; Jing, Y.G.; Song, Y.L.; Du, Y.X.; Yuan, Y.P. Thermal properties and crystallization kinetics of pentaglycerine/graphene nanoplatelets composite phase change material for thermal energy storage. Int. J. Energy Res. 2019, 44, 448–459. [Google Scholar] [CrossRef]
- Yu, Z.T.; Fang, X.; Fan, L.W.; Wang, X.; Xiao, Y.Q.; Zeng, Y.; Xu, X.; Hu, Y.C.; Cen, K.F. Increased thermal conductivity of liquid paraffin-based suspensions in the presence of carbon nano-additives of various sizes and shapes. Carbon 2013, 53, 277–285. [Google Scholar] [CrossRef]
- Saydam, V.; Duan, X. Dispersing different nanoparticles in paraffin wax as enhanced phase change materials. J. Therm. Anal. Calorim. 2019, 135, 1135–1144. [Google Scholar] [CrossRef]
- Nourani, M.; Hamdami, N.; Keramat, J.; Moheb, A.; Shahedi, M. Preparation of a stable nanocomposite phase change material (NCPCM) using sodium stearoyl lactylate (SSL) as the surfactant and evaluation of its stability using image analysis. Renew. Energy 2016, 93, 404–411. [Google Scholar] [CrossRef]
- Sun, X.Q.; Liu, L.H.; Mo, Y.J.; Li, J.; Li, C.C. Enhanced thermal energy storage of a paraffin-based phase change material (PCM) using nano carbons. Appl. Therm. Eng. 2020, 181, 115992. [Google Scholar] [CrossRef]
- Talati, F.; Mosaffa, A.H.; Rosen, M.A. Analytical approximation for solidification processes in PCM storage with internal fins: Imposed heat flux. Heat Mass Transf. 2011, 47, 369–376. [Google Scholar] [CrossRef]
- Zou, J.L.; Ge, W.Y.; Hu, C.X.; Fukuda, H.; Meng, X. Effect of copper foam fin shapes on the thermal performance of spherical encapsulated Phase-Change Material (PCM) in packed-bed latent heat storage system. Case Stud. Therm. Eng. 2025, 72, 106390. [Google Scholar] [CrossRef]
- Zhang, D.X.; Yang, L.S.; Kong, X.Q.; Lu, X. Thermal control performance of a novel PCM-based pin fin hybrid heat sink. J. Energy Storage 2025, 131, 117630. [Google Scholar] [CrossRef]
- Sheikholeslami, M.; Haq, R.; Shafee, A.; Li, Z. Heat transfer behavior of nanoparticle enhanced PCM solidification through an enclosure with V shaped fins. Int. J. Heat Mass Transf. 2019, 130, 1322–1342. [Google Scholar] [CrossRef]
- Abdulateef, A.M.; Abdulateef, J.; Sopian, K.; Mat, S.; Ibrahim, A. Optimal fin parameters used for enhancing the melting and solidification of phase-change material in a heat exchanger unite. Case Stud. Therm. Eng. 2019, 14, 100487. [Google Scholar] [CrossRef]
- Zheng, J.Y.; Yu, C.; Chen, T.T.; Yu, Y.S.; Wang, F. Optimization of the Melting Performance of a Thermal Energy Storage Unit with Fractal Net Fins. Processes 2019, 7, 42. [Google Scholar] [CrossRef]
- Zhang, C.B.; Li, J.; Chen, Y.P. Improving the energy discharging performance of a latent heat storage (LHS) unit using fractal-tree-shaped fins. Appl. Energy 2020, 259, 114102. [Google Scholar] [CrossRef]
- Xu, Y.; Wang, J.L.; Li, T. Experimental study on the heat transfer performance of a phase change material based pin-fin heat sink for heat dissipation in airborne equipment under hypergravity. J. Energy Storage 2022, 52, 104742. [Google Scholar] [CrossRef]
- Ren, Q.L.; Guo, P.H.; Zhu, J.J. Thermal management of electronic devices using pin-fin based cascade microencapsulated PCM/expanded graphite composite. Int. J. Heat Mass Transf. 2020, 149, 119199. [Google Scholar] [CrossRef]
- Chuang, C.A.; Chueh, C.C. Enhanced thermal efficiency of PCM-integrated heat sinks: Insights into T-shaped fins and PCM–air Interface morphology. J. Energy Storage 2025, 128, 117201. [Google Scholar] [CrossRef]
- Bouguila, M.; Samet, A.; Souf, M.A.B.; Hami, A.E.; Haddar, M. Thermal performances of finned heat sink filled with nano-enhanced phase change materials: Design optimization and parametric study. Int. J. Heat Mass Transf. 2023, 202, 123710. [Google Scholar] [CrossRef]
- Kumar, A.; Kothari, R.; Sahu, S.K.; Kundalwal, S.I. A comparative study and optimization of phase change material based heat sinks for thermal management of electronic components. J. Energy Storage 2021, 43, 103224. [Google Scholar] [CrossRef]
- Pakrouh, R.; Hosseini, M.J.; Ranjbar, A.A.; Bahrampoury, R. A numerical method for PCM-based pin fin heat sinks optimization. Energy Conv. Manag. 2015, 103, 542–552. [Google Scholar] [CrossRef]
- Dmitruk, A.; Naplocha, K.; Kaczmar, J.W.; Smykowski, D. Pin-fin metal alloy structures enhancing heat transfer in PCM-based heat storage units. Heat Mass Transf. 2020, 56, 2265–2271. [Google Scholar] [CrossRef]
- Chen, Z.Q.; Gao, D.Y.; Shi, J. Experimental and numerical study on melting of phase change materials in metal foams at pore scale. Int. J. Heat Mass Transf. 2014, 72, 646–655. [Google Scholar] [CrossRef]
- Akula, R.; Minnikanti, A.; Balaji, C. Pin fin-PCM composite heat sink solution for thermal management of cylindrical Li-ion battery. Appl. Therm. Eng. 2024, 248, 123146. [Google Scholar] [CrossRef]
- Jia, X.J.; Zhai, X.Q.; Cheng, X.W. Thermal performance analysis and optimization of a spherical PCM capsule with pin-fins for cold storage. Appl. Therm. Eng. 2019, 148, 929–938. [Google Scholar] [CrossRef]
- Mahdi, J.M.; Nsofor, E.C. Melting enhancement in triplex-tube latent heat energy storage system using nanoparticles-metal foam combination. Appl. Energy 2017, 191, 22–34. [Google Scholar] [CrossRef]
- Vajjha, R.S.; Das, D.K.; Namburu, P.K. Numerical study of fluid dynamic and heat transfer performance of Al2O3 and CuO nanofluids in the flat tubes of a radiator. Int. J. Heat Fluid Flow 2010, 31, 613–621. [Google Scholar] [CrossRef]
- Li, W.H.; Lai-Iskandar, S.; Tan, D.L.; Simonini, L.; Dudon, J.; Leong, F.N.; Tay, R.Y.; Tsang, S.H.; Joshi, S.C.; Teo, E.H.T. Thermal Conductivity Enhancement and Shape Stabilization of Phase-Change Materials Using Three-Dimensional Graphene and Graphene Powder. Energy Fuels 2020, 34, 2435–2444. [Google Scholar] [CrossRef]
- Wang, F.X.; Zhang, C.; Liu, J.; Fang, X.M.; Zhang, Z.G. Highly stable graphite nanoparticle-dispersed phase change emulsions with little supercooling and high thermal conductivity for cold energy storage. Appl. Energy 2017, 188, 97–106. [Google Scholar] [CrossRef]
- Liu, J.; Chen, L.L.; Fang, X.M.; Zhang, Z.G. Preparation of graphite nanoparticles-modified phase change microcapsules and their dispersed slurry for direct absorption solar collectors. Sol. Energy Mater. Sol. Cells 2017, 159, 159–166. [Google Scholar] [CrossRef]
- Lu, Z.; Wang, S.L.; Ying, H.H.; Liu, B.; Jia, W.R.; Xie, J.S.; Sun, Y.W. Preparation and thermal properties of eutectic phase change materials (EPCMs) with nanographite addition for cold thermal energy storage. Energy 2024, 290, 130148. [Google Scholar] [CrossRef]
- Tang, Z.L.; Zhan, B.; Zhang, S.Y.; Zhang, H.S.; Yuan, X.G. Microconvection phenomena accompanying CO2 desorption from nanofluids. CISESC J. 2012, 63, 1691–1696. [Google Scholar]
- Kittusamy, R.K.; Rajagopal, V.; Felix, P.G. Numerical and experimental investigation on the melting heat transfer of nanographene-enhanced phase change material composites for thermal energy storage applications. Int. J. Heat Mass Transf. 2023, 206, 123940. [Google Scholar] [CrossRef]
- Arshad, A.; Ali, H.M.; Ali, M.; Manzoor, S. Thermal performance of phase change material (PCM) based pin-finned heat sinks for electronics devices: Effect of pin thickness and PCM volume fraction. Appl. Therm. Eng. 2017, 112, 143–155. [Google Scholar] [CrossRef]
- Pakrouh, R.; Hosseini, M.J.; Ranjbar, A.A. A parametric investigation of a PCM-based pin fin heat sink. Mech. Sci. 2015, 6, 65–73. [Google Scholar] [CrossRef]
- Chen, J.Q.; Cao, S.H. Effect of Natural Convection on Melting Heat Storage of Phase Change Paraffin in a Square Cavity. Sci. Technol. Eng. 2022, 22, 10586–10593. [Google Scholar]
- Han, L.; Zhang, X.L.; Ji, J.; Ma, K.L. Research progress on the influence of nano-additives on phase change materials. J. Energy Storage 2022, 55, 105807. [Google Scholar] [CrossRef]
- Bayat, M.; Faridzadeh, M.R.; Toghraie, D. Investigation of finned heat sink performance with nano enhanced phase change material (NePCM). Therm. Sci. Eng. Prog. 2018, 5, 50–59. [Google Scholar] [CrossRef]
















| Material | Peak Melting Temperature (°C) | Phase Change Latent Heat (kJ·kg−1) |
|---|---|---|
| RT25 | 24 | 160 |
| RT30 | 30 | 170 |
| PEG600 | 23 | 146 |
| Equipment | Manufacturer | Type | Range | Precision |
|---|---|---|---|---|
| Electronic balance | Shanghai Precision Instruments and Meters Co., Ltd., Shanghai, China | LS-I2000 | 0~500 g | 0.01 g |
| Magnetic mixer | LINGKE, Shanghai, China | ZNCL-GS130*70 | Water bath at room temperature~100 °C; Oil bath at room temperature~250 °C | — |
| Ultrasonic dispersion instrument | Fuyang, Shenzhen, China | F-020SD | Room temperature~80 °C | — |
| DSC tester | NETZSCH, Bavaria, Germany | DSC200F3 | 0~±500 mW | 0.1 μW |
| Hot Disk 500 | Hot Disk, Gothenburg, Sweden | Hot Disk 500 | 0.005~500 W/(m·°C) | ±3% |
| Material | NGP Content (wt%) | Thermal Conductivity W/(m·°C) | Peak Melting Temperature (°C) | Phase Change Latent Heat (kJ·kg−1) |
|---|---|---|---|---|
| RT25 | 0 | 0.41 | 24.38 | 159.8 |
| 3 | 0.52 | 24.56 | 150.1 | |
| 5 | 0.59 | 24.71 | 144.5 | |
| RT30 | 0 | 0.36 | 28.09 | 172.3 |
| 3 | 0.51 | 28.25 | 161.9 | |
| 5 | 0.57 | 28.42 | 155.6 | |
| PEG600 | 0 | 0.25 | 22.56 | 108 |
| 3 | 0.39 | 22.64 | 101.5 | |
| 5 | 0.46 | 22.78 | 97.5 |
Disclaimer/Publisher’s Note: The statements, opinions and data contained in all publications are solely those of the individual author(s) and contributor(s) and not of MDPI and/or the editor(s). MDPI and/or the editor(s) disclaim responsibility for any injury to people or property resulting from any ideas, methods, instructions or products referred to in the content. |
© 2025 by the authors. Licensee MDPI, Basel, Switzerland. This article is an open access article distributed under the terms and conditions of the Creative Commons Attribution (CC BY) license (https://creativecommons.org/licenses/by/4.0/).
Share and Cite
Li, G.; Wang, Y.; Liu, M.; Zhu, Y.; Wang, Y. Thermal Performance Improvement of Phase Change Plates in Underground Refuge Chambers Through Nano-Graphite Particles and Fins. Energies 2025, 18, 6224. https://doi.org/10.3390/en18236224
Li G, Wang Y, Liu M, Zhu Y, Wang Y. Thermal Performance Improvement of Phase Change Plates in Underground Refuge Chambers Through Nano-Graphite Particles and Fins. Energies. 2025; 18(23):6224. https://doi.org/10.3390/en18236224
Chicago/Turabian StyleLi, Gang, Yangjie Wang, Menghan Liu, Yuesong Zhu, and Yijiang Wang. 2025. "Thermal Performance Improvement of Phase Change Plates in Underground Refuge Chambers Through Nano-Graphite Particles and Fins" Energies 18, no. 23: 6224. https://doi.org/10.3390/en18236224
APA StyleLi, G., Wang, Y., Liu, M., Zhu, Y., & Wang, Y. (2025). Thermal Performance Improvement of Phase Change Plates in Underground Refuge Chambers Through Nano-Graphite Particles and Fins. Energies, 18(23), 6224. https://doi.org/10.3390/en18236224

