Thermo-Economic Investigation of an ORC-Based Carnot Battery Driven by the Ocean Temperature Gradient
Abstract
1. Introduction
2. System Description
3. Mathematic Model
- (1)
- Steady-state assumption is applied to all components [15].
- (2)
- (3)
3.1. Thermodynamic Model
3.2. Economic Analysis
3.3. Working Conditions and Thermodynamic Calculation Process
3.4. Optimization Method
4. Results and Discussion
4.1. Model Verification
4.2. Effect of Working Fluid Combinations
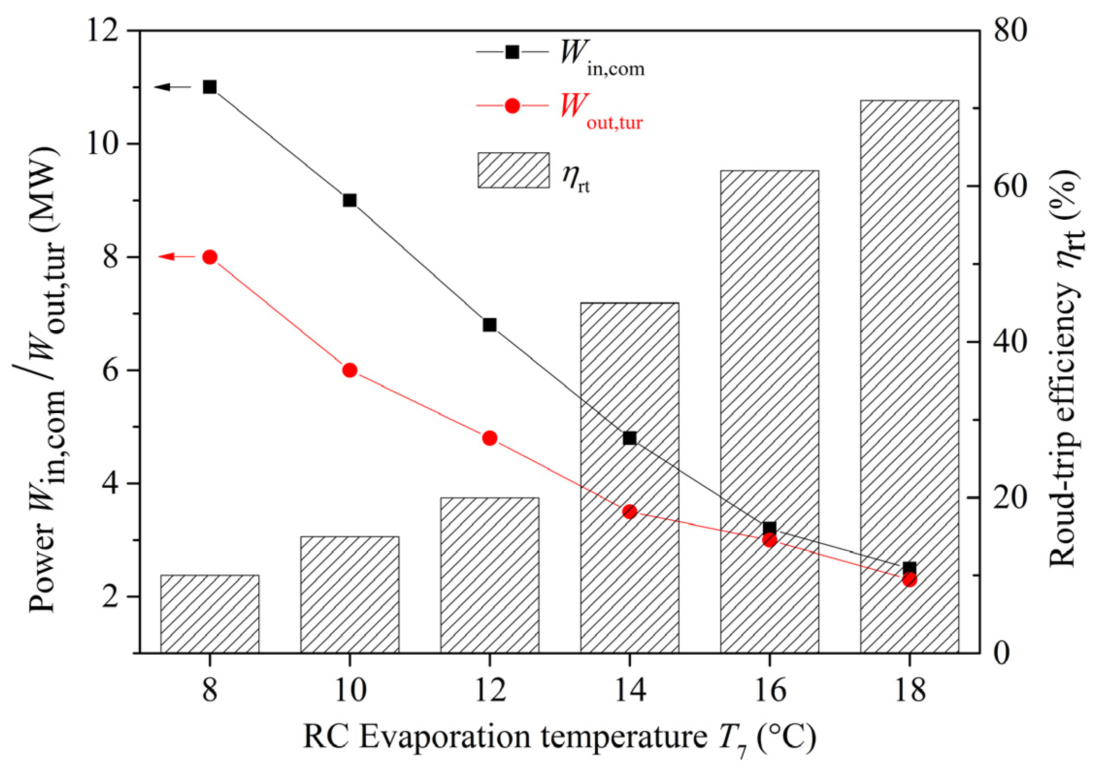
4.3. Effect of RC Evaporation Temperature
4.4. Effect of ORC Evaporation Temperature
4.5. Effect of Cold Storage Temperature
4.6. Multi-Objective Optimization
5. Conclusions
- (1)
- Ammonia and R1234yf proved to be the optimal working fluids for the RC and ORC sub-cycles, respectively, under the specified design conditions. With this configuration, the system reached its peak performance: a 71.79% round-trip efficiency and a 36.24% exergy efficiency.
- (2)
- The RC evaporation temperature has the greatest effect on system thermodynamic performance; as the evaporation temperature of RC sub-cycle increased, the EER of RC increased by nearly 15% and the CB system efficiency increased by nearly 20%. Meanwhile, raising the evaporation temperature of the ORC sub-cycles can significantly enhance its thermal efficiency, without affecting the RC system, while the cold storage temperature has no significant impact on the thermal efficiency of ORC sub-cycle.
- (3)
- A TOPSIS-based multi-objective optimization was conducted to achieve an optimal trade-off between the system’s thermodynamic and economic performance. The optimal solution is characterized by a round-trip efficiency of 65.30% with a corresponding total cost of USD 65.90 M.
Author Contributions
Funding
Data Availability Statement
Conflicts of Interest
Nomenclature
| C | Cost, USD |
| D | Diameter, m |
| cp | Specific heat, kJ·kg−1K−1 |
| E | Exergy, W |
| h | Specific enthalpy, kJ·kg−1 |
| H | Latent heat, kJ·kg−1 |
| I | Exergy destruction, W |
| Mass flow rate, kg/s | |
| m | Mass, kg |
| Q | Heat capacity, W |
| PPTD | Pinch point |
| s | Specific entropy, kJ·kg−1K−1 |
| △s | Entropy difference, kJ·K−1 |
| T | Temperature, K |
| △T | Temperature difference, K |
| τ | Time duration, h |
| v | Velocity, m/s |
| V | Volume, m3 |
| W | Work, W |
| ε | Roughness, m |
| η | Efficiency, % |
| Subscripts | |
| 0 | Environment state |
| 1–14 | State point |
| com | Compressor |
| cha | Charge |
| cri | Critical |
| deep | Deep seawater |
| dis | Discharge |
| ex | Exergy |
| f | Working fluid |
| g | Generator |
| hs | Heat storage |
| in | Inlet |
| inv | Investment |
| is | Isentropic |
| o | Outlet |
| ORC | ORC sub-cycle |
| RC | Refrigeration sub-cycle |
| sto | Storage |
| t | Storage tank |
| tot | Total |
| tur | Turbine |
| w | Water |
References
- Li, M.H.; Liu, X.X.; Yang, M. Analyzing the regional inequality of renewable energy consumption and its driving factors: Evidence from China. Renew. Energy 2024, 223, 120043. [Google Scholar] [CrossRef]
- Mclarnon, F.R.; Cairn, E.J. Energy storage. Annu. Rev. Energy 1989, 14, 241–271. [Google Scholar] [CrossRef]
- Rahman, M.M.; Oni, A.O.; Gemechu, E.; Kumar, A. The development of techno-economic models for the assessment of utility-scale electro-chemical battery storage systems. Appl. Energy 2021, 283, 116343. [Google Scholar] [CrossRef]
- Jankowski, M.; Pałac, A.; Sornek, K.; Goryl, W.; Żołądek, M.; Homa, M.; Filipowicz, M. Status and Development Perspectives of the Compressed Air Energy Storage (CAES) Technologies—A Literature Review. Energies 2024, 17, 2064. [Google Scholar] [CrossRef]
- Dumont, O.; Frate, G.F.; Pillai, A.; Lecompte, S.; De Paepe, M.; Lemort, V. Carnot battery technology: A state-of-the-art review. J. Energy Storage 2020, 32, 101756. [Google Scholar] [CrossRef]
- Novotny, V.; Basta, V.; Smola, P.; Spale, J. Review of Carnot Battery Technology Commercial Development. Energies 2022, 15, 647. [Google Scholar] [CrossRef]
- Liu, S.H.; Bai, H.P.; Jiang, P.; Xu, Q.; Taghav, M. Economic, energy and exergy assessments of a Carnot battery storage system: Comparison between with and without the use of the regenerators. J. Energy Storage 2022, 50, 104577. [Google Scholar] [CrossRef]
- Li, W.; Wang, S.Y.; Xu, S.G.; Wang, Q.W.; Markides, C.H. An intensive review of ORC-based pumped thermal energy storage. Energy 2025, 330, 136792. [Google Scholar] [CrossRef]
- Morandin, M.; Mercangöz, M.; Hemrle, J.; Maréchal, F.; Favrat, D. Thermoeconomic design optimization of a thermo-electric energy storage system based on transcritical CO2 cycles. Energy 2013, 58, 58571–58587. [Google Scholar] [CrossRef]
- Frate, F.; Ferrari, L.; Desideri, U. Multi-criteria investigation of a pumped thermal electricity storage (PTES) system with thermal integration and sensible heat storage. Energy Convers. Manag. 2020, 208, 112530. [Google Scholar] [CrossRef]
- Chen, L.; Hu, P.; Zhao, P.P. Thermodynamic analysis of a high temperature pumped thermal electricity storage (HT-PTES) integrated with a parallel organic Rankine cycle (ORC). Energy Convers. Manag. 2018, 77, 150–160. [Google Scholar] [CrossRef]
- Fan, R.; Xi, H. Exergoeconomic optimization and working fluid comparison of low- temperature Carnot battery systems for energy storage. J. Energy Storage 2022, 51, 104453. [Google Scholar] [CrossRef]
- Jockenhofer, H.; Steinmann, W.D.; Bauter, D. Detailed numerical investigation of a pumped thermal energy storage with low temperature heat integration. Energy 2018, 145, 665–676. [Google Scholar] [CrossRef]
- Hu, S.; Yang, Z.; Li, J.; Duan, Y. Thermo-economic analysis of the pumped thermal energy storage with thermal integration in different application scenarios. Energy Convers. Manag. 2021, 236, 114072. [Google Scholar] [CrossRef]
- Xia, R.; Wang, Z.; Cao, M.; Jiang, Y.; Tang, H.; Ji, Y.; Han, F. Comprehensive performance analysis of cold storage Rankine Carnot batteries: Energy, exergy, economic, and environmental perspectives. Energy Convers. Manag. 2023, 293, 117485. [Google Scholar] [CrossRef]
- Eppinger, B.; Zigan, L.; Karl, J.; Will, S. Pumped thermal energy storage with heat pump-ORC-systems: Comparison of latent and sensible thermal storages for various fluids. Appl. Energy 2020, 280, 15940. [Google Scholar] [CrossRef]
- Ameen, M.T.; Ma, Z.; Smallbone, A.; Norman, R.; Roskilly, A.P. Experimental study and analysis of a novel layered packed-bed for thermal energy storage applications: A proof of concept. Energy Convers. Manag. 2023, 277, 116648. [Google Scholar] [CrossRef]
- Benato, A.; Stoppato, A. Integrated thermal electricity storage system: Energetic and cost performance. Energy Convers. Manag. 2019, 197, 111833. [Google Scholar] [CrossRef]
- Tassenoy, R.; Couvreur, K.; Beyne, W.; De Paepe, M.; Lecompte, S. Techno-economic assessment of carnot batteries for load-shifting of solar PV production of an office building. Renew. Energy 2022, 199, 1133–1144. [Google Scholar] [CrossRef]
- Kursun, B.; Okten, K. Comprehensive energy, exergy, and economic analysis of the scenario of supplementing pumped thermal energy storage (PTES) with a concentrated photovoltaic thermal system. Energy Convers. Manag. 2022, 260, 115592. [Google Scholar] [CrossRef]
- Kursun, B. Comparison with carnot battery of an alternate thermal electricity storage charged by concentrated photovoltaic thermal system and resistance heater. Appl. Therm. Eng. 2025, 258, 124587. [Google Scholar] [CrossRef]
- Wang, P.; Li, Q.; Wang, S.; He, C.; Wu, C. Off-design performance evaluation of thermally integrated pumped thermal electricity storage systems with solar energy. Energy Convers. Manag. 2024, 301, 118001. [Google Scholar] [CrossRef]
- Wang, P.; Li, Q.; Wang, S.; Xiao, T.; Wu, C. Thermo-economic and life cycle assessment of pumped thermal electricity storage systems with integrated solar energy contemplating distinct working fluids. Energy Convers. Manag. 2024, 318, 118895. [Google Scholar] [CrossRef]
- Su, Z.; Yang, L.; Song, J.; Jin, X.; Wu, X.; Li, X. Multi-dimensional comparison and multi- objective optimization of geothermal-assisted Carnot battery for photovoltaic load shifting. Energy Convers. Manag. 2023, 289, 117156. [Google Scholar] [CrossRef]
- Wang, P.; Li, Q.; Wang, S.; He, C.; Tang, J. Thermo-economic analysis and comparative study of different thermally integrated pumped thermal electricity storage systems. Renew. Energy 2023, 217, 119150. [Google Scholar] [CrossRef]
- Wang, P.; Li, Q.; Liu, C.; Wang, R.; Luo, Z.; Zou, P.; Wang, S. Comparative analysis of system performance of thermally integrated pumped thermal energy storage systems based on organic flash cycle and organic Rankine cycle. Energy Convers. Manag. 2022, 273, 116416. [Google Scholar] [CrossRef]
- Yin, S.Z.; Bai, C.G.; Zheng, K.Y.; Zhang, Y.L.; Yan, X.P.; Liu, Z. Geothermal energy-assisted pumped thermal energy storage: Configuration mapping. Energy Convers. Manag. 2025, 329, 119660. [Google Scholar] [CrossRef]
- Barberis, S.; Maccarini, S.; Shamsi, S.S.M.; Traverso, A. Untapping Industrial Flexibility via Waste Heat-Driven Pumped Thermal Energy Storage Systems. Energies 2023, 16, 6249. [Google Scholar] [CrossRef]
- Ravindran, R.V.; Cotter, D.; Wilson, C.; Huang, M.J.; Hewitt, N.J. Experimental investigation of a small-scale reversible high-temperature heat pump—organic Rankine cycle system for industrial waste heat recovery. Appl. Therm. Eng. 2024, 257, 124237. [Google Scholar] [CrossRef]
- Zhou, T.; Shi, L.; Sun, X.; Zhang, M.; Zhang, Y.; Yao, Y.; Pan, Z.; Hu, Q.; Jiang, Z.; Tian, H.; et al. Performance enhancement of thermal-integrated Carnot battery through zeotropic mixtures. Energy 2024, 311, 133328. [Google Scholar] [CrossRef]
- Xue, X.J.; Zhao, Y.; Zhao, C.Y. Multi-criteria thermodynamic analysis of pumped- thermal electricity storage with thermal integration and application in Electric Peak shaving of coal-fired power plant. Energy Convers. Manag. 2022, 258, 115502. [Google Scholar] [CrossRef]
- Jing, F.M.; Wang, X.R.; Mei, Y.L.; Tian, R. A comprehensive review on ocean thermal energy conversion technology: Thermodynamic optimization, multi-energy integration, and byproduct utilization. Energy Convers. Manag. 2025, 27, 101188. [Google Scholar] [CrossRef]
- Gao, W.Z.; Wang, F.; Zhang, Y.; Tian, Z.; Wu, D.W.; Farrukh, S. Review of performance improvement strategies and technical challenges for ocean thermal energy conversion. Appl. Therm. Eng. 2025, 266, 125506. [Google Scholar] [CrossRef]
- Wang, C.K. A Survey of Ocean Energy Resources China; China Ocean Press: Beijing, China, 1987; pp. 93–106. (In Chinese) [Google Scholar]
- Ghilardi, A.; Baccioli, A.; Frate, G.F.; Ferrari, L. Thermodynamic feasibility of a pumped thermal energy storage driven by ocean temperature gradient. In Proceedings of the 7th International Seminar of ORC Power Systems, Seville, Spain, 9–11 September 2023. [Google Scholar]
- Ghilardi, A.; Baccioli, A.; Frate, G.F.; Volpe, M.; Ferrari, L. Integration of ocean thermal energy conversion and pumped thermal energy storage: System design, off-design and LCOS evaluation. Appl. Therm. Eng. 2024, 236, 121551. [Google Scholar] [CrossRef]
- Zhang, Y.L.; Liu, J.X.; Liu, Z. Thermo-economic examination of ocean heat-assisted pumped thermal energy storage system using transcritical CO2 cycles. Appl. Therm. Eng. 2025, 255, 123992. [Google Scholar] [CrossRef]
- Hamdy, S.; Morosuk, T.; Tsatsaronis, G. Exergetic and economic assessment of integrated cryogenic energy storage systems. Cryogenics 2019, 99, 39–50. [Google Scholar] [CrossRef]
- Benato, A. Performance and cost evaluation of an innovative Pumped Thermal Electricity Storage power system. Energy 2017, 138, 419–436. [Google Scholar] [CrossRef]
- Liang, T.; Vecchi, A.; Knobloch, K.; Sciacovelli, A.; Engelbrecht, K.; Li, Y.L.; Ding, Y.L. Key components for Carnot Battery: Technology review, technical barriers and selection criteria. Renew. Sustain. Energy Rev. 2022, 163, 112478. [Google Scholar] [CrossRef]
- Gutierrez, J.C.; Ochoa, G.V.; Duarte-Forero, J. A comparative study of the energy, exergetic and thermo-economic performance of a novelty combined Brayton S-CO2-ORC configurations as bottoming cycles. Heliyon 2020, 6, e04459. [Google Scholar] [CrossRef]
- Hu, S.; Li, J.; Yang, F.; Yang, Z.; Duan, Y. Multi-objective optimization of organic Rankine cycle using hydrofluorolefins (HFOs) based on different target preferences. Energy 2020, 13, 117848. [Google Scholar] [CrossRef]
- Carotenuto, A.; Figaj, R.; Vanoli, L. A novel solar-geothermal district heating, cooling and domestic hot water system: Dynamic simulation and energy-economic analysis. Energy 2017, 141, 2652–2669. [Google Scholar] [CrossRef]
- Zhou, X.Y.; Lin, X.X.; Su, W.; Ding, R.C.; Liang, Y.R. Thermo-Economic Potential of Carnot Batteries for theWaste Heat Recovery of Liquid-Cooled Data Centers with Different Combinations of Heat Pumps and Organic Rankine Cycles. Energies 2025, 18, 1556. [Google Scholar] [CrossRef]
- Coker, A. Ludwig’s Applied Process Design for Chemical and Petrochemical Plants; Gulf Professional Publishing: Woburn, MA, USA, 2014. [Google Scholar]
- Li, F.H.; Xing, L.L.; Su, W.; Lin, X.X.; Liang, Y.R.; Shi, W.J. An idea to construct integrated energy systems of data center by combining CO2 heat pump and compressed CO2 energy storage. J. Energy Storage 2024, 75, 109581. [Google Scholar] [CrossRef]
- Homepage of NIST Reference Fluid Thermodynamic and Transport Properties Database. Available online: https://www.nist.gov/srd/refprop (accessed on 6 September 2025).
- Mohan, S.; Sinha, A. Elitist non-dominated sorting directional bat algorithm (ENSdBA). Expert. Syst. Appl. 2023, 227, 120292. [Google Scholar] [CrossRef]
- Hu, S.; Li, J.; Yang, F.; Yang, Z.; Duan, Y. How to design organic Rankine cycle system under fluctuating ambient temperature: A multi-objective approach. Energy Convers. Manag. 2020, 224, 113331. [Google Scholar] [CrossRef]
- Shirazi, A.; Najafi, B.; Aminyavari, M.; Rinaldi, F.; Taylor, R.A. Thermal–economic–environmental analysis and multi-objective optimization of an ice thermal energy storage system for gas turbine cycle inlet air cooling. Energy 2014, 69, 212–226. [Google Scholar] [CrossRef]
- Sadni, F.E.; Salhi, I.; Belhora, F.; Hajjaji, A. Multi-objective optimization of energy and exergy efficiencies in ORC configurations using NSGA-II and TOPSIS. Therm. Sci. Eng. Prog. 2025, 63, 103606. [Google Scholar] [CrossRef]










| Component | Equation | |
|---|---|---|
| Heat exchanger | (24) | |
| Compressor | (25) | |
| Throttle valve | (26) | |
| Turbine | (27) | |
| Pump | (28) | |
| Component | Equation | ||
|---|---|---|---|
| Heat exchanger | (32) | [38] | |
| Compressor | (33) | [39] | |
| Storage tank | (34) | [40] | |
| Turbine | (35) | [41] | |
| Generator | (36) | [42] | |
| Pump | (37) | [43] | |
| Working fluid | 2% of the total initial investment cost | [44] | |
| Terms | Description | Equation | |
|---|---|---|---|
| Cinv | System investment cost | The sum of initial investments for the equipment listed in Table 2 | |
| Csite | Cost of site development | (39) | |
| Cinstal | Cost of installation of equipment | (40) | |
| Ceng | Cost of engineering, planning, and management of the plant construction | (41) | |
| Ccont | Contingency cost | (42) | |
| Parameter | Symbol | Unit | Value | |
|---|---|---|---|---|
| Latent heat of water–glycol | Hsto | kJ/kg | 334 | |
| Energy efficiency of the storage tank | ηsto | - | 0.95 | [14] |
| Isentropic efficiency of RC compressor | ηis,com | - | 0.8 | [14] |
| Isentropic efficiency of pump | ηis,pump | - | 0.75 | [14] |
| Isentropic efficiency of ORC turbine | ηis,tur | - | 0.85 | [14] |
| Superheat degree of ORC | ΔTsuper_h,ORC | K | 5 | |
| Supercooling degree of ORC | ΔTsuper_c,ORC | K | 2 | |
| Supercooling degree of RC | ΔTsuper_c,RC | K | 2 | |
| Deepwater inlet temperature | Tdeep,in | K | 277.15 | |
| Pinch point temperature difference in heat exchanger | PPTD | K | ≥5 | |
| Surface seawater inlet temperature | Tsur,in | K | 300.15 | |
| Specific heat of seawater | Cp,sea | J/(kg·K) | 4186 | |
| Velocity of seawater inside the pipeline | v | m/s | 2 | |
| Surface roughness of pipelines | ε | m | 0.05 | [14] |
| Charge duration | Tcha | h | 8 | [46] |
| Discharge duration | Tdis | h | 7[ | [46] |
| Parameter | Reference [36] | This Work | Relative Error |
|---|---|---|---|
| ηrt of CB | 42.80 | 42.28 | 1.2% |
| EER of RC | 7.30 | 7.15 | 2.1% |
| ηth of ORC | 5.45 | 5.28 | 3.1% |
| Working Fluid Combinations (RC/ORC) | EER of RC | Thermal Efficiency of ORC (%) | Round-Trip Efficiency of CB (%) | Exergy Efficiency of CB (%) |
|---|---|---|---|---|
| Ammonia/Ammonia | 7.01 | 5.25 | 71.25 | 35.05 |
| Ammonia/R152 | 6.95 | 5.20 | 70.85 | 35.22 |
| Ammonia/R1234yf | 7.12 | 5.27 | 71.79 | 36.24 |
| Ammonia/R1234ze | 7.02 | 5.23 | 71.02 | 36.02 |
| R152/Ammonia | 6.75 | 5.20 | 65.88 | 34.25 |
| R152/R1234yf | 6.80 | 5.18 | 66.10 | 34.30 |
| R152/R1234ze | 6.52 | 5.21 | 66.08 | 34.18 |
| R1234yf/R152 | 6.28 | 5.16 | 68.45 | 33.50 |
| R1234yf/R1234ze | 6.50 | 5.18 | 68.60 | 33.86 |
| R1234ze/R152 | 6.48 | 5.20 | 69.15 | 34.52 |
| R1234ze/R1234ze | 6.52 | 5.22 | 69.10 | 34.27 |
| R1234ze/R1234yf | 6.52 | 5.18 | 69.12 | 35.01 |
Disclaimer/Publisher’s Note: The statements, opinions and data contained in all publications are solely those of the individual author(s) and contributor(s) and not of MDPI and/or the editor(s). MDPI and/or the editor(s) disclaim responsibility for any injury to people or property resulting from any ideas, methods, instructions or products referred to in the content. |
© 2025 by the authors. Licensee MDPI, Basel, Switzerland. This article is an open access article distributed under the terms and conditions of the Creative Commons Attribution (CC BY) license (https://creativecommons.org/licenses/by/4.0/).
Share and Cite
Liu, L.; Yang, Y.; Dai, J. Thermo-Economic Investigation of an ORC-Based Carnot Battery Driven by the Ocean Temperature Gradient. Energies 2025, 18, 6005. https://doi.org/10.3390/en18226005
Liu L, Yang Y, Dai J. Thermo-Economic Investigation of an ORC-Based Carnot Battery Driven by the Ocean Temperature Gradient. Energies. 2025; 18(22):6005. https://doi.org/10.3390/en18226005
Chicago/Turabian StyleLiu, Liuchen, Yining Yang, and Jiarui Dai. 2025. "Thermo-Economic Investigation of an ORC-Based Carnot Battery Driven by the Ocean Temperature Gradient" Energies 18, no. 22: 6005. https://doi.org/10.3390/en18226005
APA StyleLiu, L., Yang, Y., & Dai, J. (2025). Thermo-Economic Investigation of an ORC-Based Carnot Battery Driven by the Ocean Temperature Gradient. Energies, 18(22), 6005. https://doi.org/10.3390/en18226005
