Next Article in Journal
Influence of the Control with a Fixed and Variable Roll, Pitch, and Yaw Axis on Unmanned Aerial Vehicles Energy Consumption
Previous Article in Journal
Design and Investigation of a Low-Cogging-Torque and High-Torque-Density Double-Sided Permanent Magnet Motor
 
 
Font Type:
Arial Georgia Verdana
Font Size:
Aa Aa Aa
Line Spacing:
Column Width:
Background:
Article

Improved Coordinated Control Strategy for Auxiliary Frequency Regulation of Gas-Steam Combined Cycle Units

1
Jiangsu Frontier Electric Technology Co., Ltd., Nanjing 211102, China
2
National Engineering Research Center of Power Generation Control and Safety, School of Energy and Environment, Southeast University, Nanjing 211189, China
*
Author to whom correspondence should be addressed.
Energies 2025, 18(22), 5997; https://doi.org/10.3390/en18225997
Submission received: 30 September 2025 / Revised: 3 November 2025 / Accepted: 13 November 2025 / Published: 15 November 2025

Abstract

With the increasing penetration of renewable energy, the frequency regulation burden on thermal power units is growing significantly. Among them, combined cycle gas turbine (CCGT) units are playing an increasingly important role in grid ancillary services due to their high efficiency and low emissions. This paper investigates coordinated control strategies to improve the auxiliary frequency regulation capability of CCGTs, addressing the limitations of traditional control approaches where gas turbines dominate while steam turbines respond passively. A decentralized model predictive control (MPC) strategy based on rate-limited signal decomposition is proposed to improve auxiliary frequency regulation. First, a dynamic model of the F-class CCGT systems oriented towards control is established. Then, predictive controllers are designed separately for the top and bottom cycles, with control accuracy improved through a fuzzy prediction model, Kalman filtering and state augmentation. Furthermore, a multi-scale decomposition method for AGC (Automatic Generation Control) signals is developed, separating the signals into load-following and high-frequency components, which are allocated to the gas and steam turbines respectively for coordinated response. Comparative simulations with a conventional MPC strategy demonstrate that the proposed method significantly improves power tracking speed, stability, and overshoot control, with the IAE (Integral of Absolute Error) index reduced by 83.7%, showing strong potential for practical engineering applications.

1. Introduction

Driven by the dual carbon goals, renewable energy continues to expand. By 2030, wind and solar power installations are projected to account for 28.2% of China’s total installed capacity, and this proportion is expected to exceed 50% by 2050 [1]. The large-scale integration of intermittent renewable energy sources into the grid poses significant challenges to its safe and stable operation [2]. Concurrently, China’s peak-to-off-peak electricity demand disparity has been widening annually, with the maximum peak-to-off-peak ratio now exceeding 50% [3]. This places higher demands on the power system regulation capabilities of power plants. Currently, combined cycle gas turbine (CCGT) units, with their high efficiency, low emissions, and rapid response capabilities [4], have become a key alternative to traditional coal-fired power for frequency regulation [5]. Therefore, enhancing the frequency regulation performance of CCGT units under conditions of high grid fluctuation amplitude and frequency has become an urgent issue in the current context.
Gas–steam combined cycle technology employs the gas turbine’s Brayton cycle as the upper-level cycle and the steam turbine’s Rankine cycle as the lower-level cycle. By utilizing energy in two stages—high-temperature and low-temperature zones—and leveraging the structural ease of connecting these systems, it organically integrates the gas turbine system with the steam turbine system. This achieves capacity expansion and efficiency gains for the unit, achieving overall efficiencies exceeding 60%, making it one of the most advanced technologies in the contemporary energy sector [6,7].
Currently, most combined cycle units employ PID controllers, with control schemes predominantly prioritizing the gas turbine over the steam turbine, failing to fully leverage the steam turbine’s rapid response advantages. Qiao Hong et al. [8] employed PID controllers to independently regulate six signals: startup, rotational speed, exhaust temperature, load control, compressor pressure ratio limitation, and cooling air limitation. They then utilized minimum value logic to determine the fuel quantity entering the fuel system, thereby achieving control of the CCGT unit. As PID controllers are limited to linear systems, improvements like fuzzy PID controllers emerged. Ma Limei et al. [9] integrated fuzzy control into traditional PID systems, enabling online self-tuning of PID parameters. In addition, many optimization algorithms have been used to optimize the gain of classical PID controllers to improve GT load frequency control [10,11].
Model Predictive Control (MPC), an optimization-based control strategy, has seen rapid development in recent years. Its strong capabilities in handling multiple variables and managing system input/output constraints make it particularly suitable for complex systems like CCGTs, which feature multivariable coupling and response rate constraints. Wei Jing et al. [12] simulated a single-shaft gas turbine system using Simulink and employed adaptive multi-model generalized predictive control to simulate the speed controller. Lu Nianci et al. [13] derived key parameters for coordinated control—such as the power allocation ratio and heat network energy storage coefficient—for a two-in-one cogeneration CCGT through dynamic modeling analysis. They employed predictive control to design the extraction steam control for the middle-pressure cylinder, enhancing the unit’s frequency tracking performance under combined heat and power load conditions. Vahab et al. [14] proposed an adaptive MPC method for online parameter estimation to improve the frequency response of gas turbines. Pires et al. [15] employed a nonlinear MPC to keep the gas turbine frequency within a limited range during load shedding. In the later stage of predictive control, various control methods such as fuzzy predictive control and deep learning predictive control were developed. Due to the nonlinearity of the research object, this paper adopts the method of fuzzy predictive control, which reduces the computational load while overcoming the nonlinearity of the system and enhancing the robustness of the control system.
For most non-heating CCGT units without energy storage retrofits, this study aims to improve auxiliary frequency regulation capability solely through improved coordination control strategies without additional modification costs. Leveraging the rapid load response advantage of the turbine main steam valve, an improved frequency regulation coordination control strategy is designed for CCGTs. It proposes a coordinated load prediction control strategy for the gas turbine and steam turbine based on decomposed rate-limited AGC commands. This approach achieves complementary advantages between different components across varying response time scales, enabling rapid and stable tracking of system frequency regulation AGC commands. It provides a valuable method for enhancing grid frequency regulation capabilities under high renewable energy penetration.
The organizational structure of this paper is as follows: First, a control-oriented dynamic model of the F-class CCGT is constructed. Decentralized unbiased fuzzy predictive controllers are designed for both the top and bottom cycles, with control accuracy improved through Kalman filtering and state augmentation mechanisms. Second, based on an online multiscale decomposition method for AGC command signals, the commands are divided into peak-shaving and high-frequency signals before being allocated to the gas turbine and steam turbine for coordinated response. Subsequently, a frequency regulation enhancement strategy for CCGT coordinated control is developed. This includes hierarchical power allocation based on rate-limited AGC decomposition, feedforward compensation for turbine response lag, and differential precompensation for AGC errors. This achieves multiple objectives: rapid AGC response, smooth power tracking, and controllable overshoot. Finally, the proposed method is simulated and evaluated against conventional MPC coordinated control strategies. The flowchart of the research subject is shown in Figure 1.

2. Control-Oriented Dynamic Modeling of F-Class Combined Cycles

2.1. Introduction to the F-Class Gas–Steam Combined Cycle Units

The CCGT units studied in this paper consist of one F-Class gas turbine (GT), one triple-pressure heat recovery steam generator (HRSG), and one steam turbine (ST), as shown in Figure 2. During unit operation, air is first compressed by the compressor and fed into the combustion chamber, where it mixes with fuel to burn and generate high-temperature, high-pressure combustion gases. These gases drive the gas turbine to perform work before being discharged. The exhaust gases from the gas turbine retain a high temperature. This flue gas enters the HRSG to further heat water and generate steam, which then drives the steam turbine to generate electricity, forming a combined cycle.

2.2. Combined Cycle Modeling Method

Based on the operational characteristics of a typical F-class combined cycle unit, a mechanistic model encompassing the GT, HRSG, and ST was developed under reasonable simplifications. This model aims to comprehensively reflect the unit’s dynamic processes and the coupling relationships among key parameters, serving as the simulation subject for coordinated control strategy design.

2.2.1. GT Modeling

Considering the significantly faster response speed of the GT compared to the steam unit, its main components are described using static models. Dynamic modeling is retained only for rotational speed and combustion chamber outlet temperature.
First, the compressor model is constructed based on the relationship between equivalent parameters and performance curves, in which the outlet temperature is calculated via the isentropic compression of ideal gas, and the outlet pressure is determined using the volumetric inertia equation. Second, a combustion chamber model incorporating combustion efficiency and thermal inertia is introduced to represent the nonlinear response between fuel input and flue gas temperature. The turbine section calculates output power based on expansion ratio and efficiency curves. Flue gas temperature calculations account for the energy distribution impact of cooling extraction steam, computed using efficiency and expansion ratio. Finally, a rotor model based on mechanical momentum conservation describes the dynamic response of rotational speed to load variations in the gas turbine.

2.2.2. HRSG Modeling

The core concept of HRSG modeling is based on the thermodynamic principle of energy conservation. By simplifying the heat transfer characteristics of the heat transfer surfaces across different pressure stages, the modeling achieves the representation of the heat transfer process from the flue gas side to the working fluid side.
The HRSG is internally divided into low-pressure, medium-pressure, and high-pressure sections, which share structural similarities. Each section is equipped with an economizer, a drum, and a superheater. The modeling methods for different pressure sections are fundamentally similar. Therefore, this paper briefly illustrates the modeling approach using the low-pressure section as an example:
The heat transfer equation for the economizer must account for variations in the heat transfer coefficient with flue gas flow rate. The drum section centers on mass conservation, volume conservation, and energy conservation equations to quantitatively analyze the mutual influence between steam generation and system pressure dynamics. To simplify calculations, the working fluid state within the drum is assumed to be saturated. The superheater similarly lists heat transfer equations for both the working fluid side and the flue gas side, but must additionally account for the influence of the desuperheating water. Due to the rapid dynamic characteristics of the desuperheating system, static formulas are employed.

2.2.3. ST Modeling

Turbine modeling primarily establishes a control-oriented simulation model for steam flow through the functional relationship between valve opening, main steam pressure, and first-stage pressure. In the model, the power of the high- and medium-pressure cylinders is determined by the enthalpy value of the main steam, while the enthalpy value of the extraction steam is generally approximated as a constant to simplify calculations. The modeling of the low-pressure cylinder considers valve delay and turbine time constants to simulate its dynamic response process.
Due to space limitations, the complete mechanism model is not elaborated here. Relevant modeling formulas can be found in Reference [16].

2.3. Dynamic Characteristics Analysis of Combined Cycle Units

2.3.1. Verification on the CCGT Model

To verify the accuracy of the model, simulation comparisons were conducted on various indicators of the system under three different operating conditions. The comparison results are shown in the Table 1, Table 2 and Table 3. The relative errors of all data were controlled within ±4.7%, fully verifying the accuracy and universality of the model in different operating scenarios.

2.3.2. Analysis on Dynamic Coupling Characteristics

To further study its dynamic coupling characteristics, open-loop step simulation experiments were conducted at the equilibrium point of the operating conditions shown in Table 4. At 5000 s, the fuel flow and main steam valve were stepped by 5%, respectively. The response curves for CCGT power, GT power, ST power, and flue gas temperature are shown in Figure 3 and Figure 4.
Firstly, when a 5% step disturbance is applied to either the fuel flow or the main steam valve opening, all key system outputs exhibit stable and reasonable dynamic responses. The fuel flow step primarily affects gas turbine output and flue gas temperature, with the response process displaying typical thermal inertia characteristics: output power gradually increases and approaches steady state, subsequently influencing steam turbine power and combined cycle power. Changes in the main steam valve opening primarily affect steam turbine power output. Its dynamic process aligns with actual unit operation patterns, with response speed and amplitude both within reasonable ranges. This validates that the combined cycle unit dynamic model provides a reliable foundation for controller design. Steady-state errors for all parameters are less than 5%.
Secondly, the dynamic coupling characteristics between the gas turbine and steam turbine are also clearly demonstrated in Figure 3 and Figure 4. The concern is about two pairs of manipulated variables and controlled variables, i.e., fuel to GT power and ST Power, and main-steam valve to GT power and ST Power. The response time of fuel to GT power is about 100 s and double for fuel to ST power since the latter covers both the top and bottom cycle. The response time of the main-steam valve to GT power is infinite and a few seconds from the main-steam valve to GT power. To sum up, changes in the steam valve do not affect GT, but they will rapidly alter ST power. Fuel flow has an impact on both GT power and ST power, but its effect on GT power is much faster. Therefore, we can tune the main-steam valve to speed up the total power response.
Thirdly, an outer AGC instruction decomposition can decouple the GT and ST power following according to different time-scale components, but a compensation link is still needed for the coupling caused by the closed-loop feedback of the total power. The design for the decentralized controllers of fuel to GT power and main-steam valve to ST power and their compensation link designed on the CCGT model will be introduced in Section 3.

3. Design of Distributed Predictive Controllers

3.1. Introduction to Controller Design

In combined cycle units, the step responses shown in Figure 2 and Figure 3 clearly reveal a significant difference in response speed between the gas turbine and steam turbine: the steam turbine responds faster while the gas turbine responds slower. Therefore, designing their controllers separately allows for leveraging the dynamic speed differences between different system components to improve frequency regulation capabilities, achieving superior frequency regulation performance and load distribution efficiency. To achieve high-performance cooperative control, this paper employs the Model Predictive Control (MPC) method to construct distributed controllers for the dynamic regulation of the gas turbine’s upper cycle and the steam turbine’s lower cycle, respectively.
In the distributed predictive controller design, state-space models serve as the foundation. Data-driven subspace identification methods are employed to obtain state matrices, enabling the development of separate predictive models for the top cycle and bottom cycle. To compensate for steady-state errors caused by model inaccuracies, state augmentation equations are introduced, incorporating integral actions into the predictive models to ensure output steady-state error-free operation. Since state variables cannot be directly measured, Kalman filters are integrated into the controller design for online state estimation.
By setting appropriate weight matrices and constraint boundaries, the MPC controller achieves rapid and stable load tracking while adhering to system physical limitations. Furthermore, considering both safety and economy, the controller architecture reserves expansion space for energy coupling and multi-objective optimization, laying the foundation for subsequent economic optimization control.

3.2. Model Predictive Control Method

Based on the established F-class combined cycle dynamic model, controllers are designed for both the upper and lower cycles. The upper cycle employs a two-input, two-output predictive controller, with inputs being fuel quantity and IGV opening, and outputs being gas turbine power and gas turbine exhaust gas temperature. The lower cycle adopts a single-input, single-output configuration, with the main steam valve opening as the input and turbine power as the output.

3.2.1. Predictive Model

A data-driven subspace identification method is employed to obtain the state matrix and derive the state-space model:
x k + 1 = A x k + B u k y k = C x k + D u k
In the equation, x k , u k , y k represent the state variable, input variable, and output variable at time k , respectively, while A , B , C and D denote the corresponding coefficient matrices.
Due to the obvious nonlinearity of CCGT operation, the fuzzy prediction control method is adopted in this paper. Multiple state space models are identified respectively under different working conditions. According to the interval where the instruction is located, the multiple state space models are weighted and integrated in real time to obtain a state space model that can better reflect the true characteristics of the system, and the coefficient matrix is updated in real time. The core of fuzzy MPC is the real-time fuzzy prediction model, which is presented in the following.
Taking the load as the premier variable to construct the three fuzzy triangular membership functions for low load, medium load and high load conditions, denoted as υ 1 N , υ 2 N and υ 3 N , shown in Figure 5 and denoted in the following.
υ 1 N = 1 ,     i f     N N 1 1 N N 1 N 2 N 1 ,     i f     N 1 < N < N 2 0 ,     i f     N > N 2
υ 2 N = 1 υ 1 N ,     i f     N N 2 1 υ 3 N ,     i f     N > N 2
υ 3 N = 1 ,     i f     N N 2 1 N N 2 N 3 N 2 ,     i f     N 2 < N < N 3 0 ,     i f     N > N 3
Based on the above membership function, Then the state-space model is expressed as the following fuzzy affine model:
R l : if   N e ( k ) is M l , then
x k + 1 = A l x k + B l u k y k = C l x k + D l u k
In the equation, l 1 , 2 , , L , where R l denotes the l -th fuzzy inference rule, L = 3 the number of inference rules,   M l the l -th fuzzy set, A l , B l , C l , D l the l -th local model.
By using a singleton fuzzifier, the product inference, and the center-average defuzzifier, the fuzzy model can be expressed by the global model.
x k + 1 = A μ x k + B μ u k y k = C μ x k + D μ u k
where   A μ   B μ   C μ   D μ   = l = 1 L μ l k   A l   B l     C l   D l   , l = 1 L μ l k = 1 and   μ l k 0 ,     l = 1 , 2 , , L .
Moreover, to avoid steady-state bias caused by mismatches between the predictive model and the simulation model, this paper employs augmented state equations in the controller design. By incorporating an integral term into the controller, the objective of bias-free tracking is achieved. The augmented state variable is defined as the vector form x k = [ Δ x k + 1 T y k T ] T , and the predictive model is rewritten as follows:
Δ x k + 1 y k + 1 = A μ O T C μ A μ I p × p Δ x k y k + B μ C μ B μ Δ u k y k = O I p × p Δ x k y k
In the equation, the coefficient matrix A = A μ O T C μ A μ I p × p , B = B μ C μ B μ , C = O I p × p .
Since state variables cannot be directly measured, a Kalman filter is incorporated into the controller design to perform online state estimation.

3.2.2. Optimization Objective

To achieve rapid tracking of the setpoint, the MPC objective function is defined as follows:
J = ( y ^ r f ) T Q ( y ^ r f ) + Δ u T R Δ u
y ^ represents the predicted output, r f denotes the output setpoint, Δ u signifies the control increment, and Q and R denote the weights for the output and control variables, respectively. The objective function can be simplified to a quadratic function related to the control variable increments. By invoking the quadratic programming function, a sequence of control increments that minimizes the objective function is obtained. The first control increment is then employed to control the system.

3.2.3. CCGT Operational Constraints

Numerous input and output constraints exist in actual systems, such as the power ramp rate constraint for gas turbines. Based on typical parameters of F-class gas turbine control systems, the maximum power ramp rate is 0.4 MW/s. This constraint can be further transformed into a constraint on the control input u ( k ) , enabling its simultaneous consideration when solving the quadratic programming ( Q R ) optimization problem.
To prevent the optimization problem from becoming non-optimal, a penalty term is added to the objective function of the predictive controller to address the output constraint issue:
P σ , u = σ i = 1 N P m a x y u , i y m a x , 0 2 + i = 1 N P m a x y u , i y m a x , 0 2
In the equation, σ represents the penalty factor. The first term imposes a maximum constraint on the output, while the second term imposes a minimum constraint.
Therefore, the objective function of MPC can be expressed by Equation (10):
J = y ^ r f T Q y ^ r f + u T R u + σ i = 1 N P m a x y u , i y m a x , 0 2 + i = 1 N P m i n y u , i y m a x , 0 2
The output soft-constrained objective function is established based on Equation (10), while the prediction model is formulated as an equality constraint using Equation (7). Inequality constraints are set for the control input u ( k ) as shown in Equation (11).
u m i n u k = u k 1 + Δ u k u m a x u m i n u k + 1 = u k 1 + Δ u k + Δ u k + 1 u m a x u m i n u k + N c 1 = u k 1 + Δ u k + · · · + Δ u k + N c 1 u m a x
Combining these with a Kalman filter constitutes the predictive control optimization problem, which employs a QP algorithm for online rolling-horizon solution of the optimal predictive control.
In summary, the controller design in this paper adopts a fuzzy prediction model to deal with the nonlinearity, uses an extended state space model to reduce steady-state deviation, and filters out the influence of noise through a Kalman filter to ensure the estimation accuracy of state variables. Ultimately, it effectively improves the adaptability and robustness of the control system.

4. Strategy for Frequency Modulation: Improved Coordinated Control

4.1. Basic Control Strategy for Gas Turbine-Steam and Turbine Systems

As demonstrated by the model validation in Figure 2 and Figure 3 of this paper, when subjected to a 5% step input, the gas turbine and steam turbine exhibit different times to reach steady state, with the steam turbine responding significantly faster than the gas turbine.
Traditional combined cycle control strategies typically feature a “gas turbine leading, steam turbine following” approach. This sequential control strategy, also known as unidirectional coupling, was widely adopted in scenarios with relatively stable grid load fluctuations.
However, with the increasing integration of renewable energy sources like wind and solar power into the grid, higher demands are placed on the frequency regulation performance of thermal power units. How to fully leverage the frequency regulation capabilities of combined-cycle units, improve their regulation performance, and achieve faster tracking of AGC commands has become a critical issue requiring urgent resolution.
To address this, this paper proposes a control strategy where the steam turbine participates in auxiliary frequency regulation. By utilizing the steam turbine’s faster response to load changes, the combined-cycle unit can better track AGC commands. The basic process is as follows: First, based on time-scale matching, AGC commands are categorized into high-frequency and peak-shaving signals according to their frequency characteristics. High-frequency signals are addressed solely by the turbine main steam valve, while peak-shaving signals are proportionally distributed between the gas turbine and steam turbine. The core concept of this approach is to align the system’s varying frequency response capabilities with the physical characteristics of different components, thereby enhancing overall response speed. Simultaneously, it controls the rate of change in gas turbine power, manages maximum temperature change rates, and protects equipment.

4.2. Signal Generation Algorithm

There are many methods for signal decomposition, such as wavelet decomposition and empirical mode decomposition. When performing wavelet decomposition, complex mathematical operations such as “wavelet basis convolution and multi-scale reconstruction” need to be completed. When the number of decomposition layers is large, the computational load will increase significantly. EMD decomposition requires extreme point search and envelope line calculation. Therefore, this method requires a relatively long time series when decomposing signals and is often used in the research of configuration methods.
This article aims to improve the real-time tracking effect of the combined loop on AGC instructions. A rate-limiting signal decomposition method capable of rapid and real-time signal processing is proposed. Its core is “rate calculation + threshold judgment”, which is decomposed through simple difference operations and comparison logic, featuring short calculation time and good real-time performance.
The principle of multi-scale signal decomposition is as follows [17]:
The signal x 0 s can be decomposed into the following:
x 0 s = N 0 x x 0 s + 1 N 0 x x 0 s
Define x 1 ( s ) = [ 1 N 0 ( x ) ] x 0 ( s ) , x c 1 ( s ) = N 0 ( x ) x 0 ( s ) . Continue decomposing the signal x 1 ( s ) :
x 1 s = N 1 x x 1 s + 1 N 1 x x 1 s
Using the same method, define x i ( s ) = [ 1 N i 1 ( x ) ] x i 1 ( s ) , x c i ( s ) = N i 1 ( x ) x i 1 ( s ) .
x i s = N i x x i s + 1 N i x x i s
Decomposing the signal x 0 ( s ) into n components yields the following formula:
x 0 s = x c 1 s + x c 2 s + x c n s + x n s
The signal processing stage N i x can be a linear stage, such as an inertia stage; or a nonlinear stage, such as a rate-limiting stage. This paper employs a rate-limiting stage to decompose load commands, meaning that based on command variations from different devices, corresponding settings for the speed limit value are applied during signal decomposition.
The mathematical description of the rate-limiting stage is as follows:
N i k x i k = x i k 1 + Δ t R r > R x i k , R r R x i k 1 Δ t R r < R
In the equation, R is the rate limiting value, and r is the current signal change rate.
Taking a three-stage rate-limited step signal as an example, its diagram is shown in Figure 6.
During actual control operations, the AGC commands received by combined-cycle units are composed of one tiny step signal per second superimposed. Therefore, we take the step signal as an example to show the output situation after the three-layer rate limiting decomposition. The decomposed signal curves after third-order decomposition are shown in Figure 7. In the figure, y represents the original load command, x 1 denotes the decomposed slow signal, and x 3 denotes the decomposed fast signal. The sum of x 1 , x 2 , and x 3 constitutes the original signal y .
The calculation table of the rate limiting decomposition is shown in Algorithm 1.
It is worth mentioning that the rate-limiting signal decomposition method is also applicable to non-step instructions, like slope signals, sine signals, random fluctuations, etc., since it ensures the composition of decomposed elements to be the full signal at each sampling point. Therefore, the rate-limiting signal decomposition method is suitable for the engineering applications of AGC tracking control.
Algorithm 1 Rate-limiting Decomposition
Input:AGC instructions, sampling period and rate limiting threshold.
Output:High-frequency signal and peak-shaving signal.
Algorithm process:
1Initialization: Set the reference value and the value of the slow-varying component accumulator at the previous moment to 0
2Calculate the change in the reference value so that the change in the reference value is equal to the difference between the AGC reference value at the current moment and that at the previous moment.
3Calculate the maximum allowable variation as the product of the rate-limiting threshold and the sampling period
4If the absolute value of the change in the reference value is greater than or equal to the maximum allowable change, the change after limiting is the maximum allowable change in the same direction as the change.
Otherwise, the change after limiting is equal to the change of the reference value
5Let the slow-varying component at the current moment be the sum of the slow-varying component accumulator and the variation after limiting.
Then update the slow-varying component accumulator to the slow-varying component at the current moment.
6Calculate the fast-varying component at the current moment as the AGC instruction at the current moment minus the slow-varying component at the current moment.
7Update the reference value of the previous moment to the AGC reference value of the current moment, and output high-frequency signal and peak-shaving signal in real time.
A rate-limited signal decomposition method was employed to decompose the AGC square wave signal, separating it into a high-frequency signal and a peak-shaving signal. The decomposition rate limit is set to 0.4 MW/s, derived by reverse-engineering the gas turbine command from the combined-cycle unit’s power allocation based on the PID controller parameters within the gas turbine control system.
The decomposed high-frequency signal and peak-shaving signal from the AGC are shown in Figure 8 below:
The high-frequency signal fluctuates near zero, reflecting real-time frequency variations in the power grid, while the peak-shaving signal reveals the overall trend of AGC command changes.

4.3. Design of Combined Cycle Frequency Modulation Control System

A coordinated control strategy for auxiliary frequency regulation in gas–steam combined cycles is proposed, as illustrated in Figure 9. This strategy incorporates hierarchical power allocation based on rate-limited AGC decomposition, feedforward compensation for disturbed turbine lag, and feedforward feedback for AGC error. It enables combined cycle units to achieve rapid response, smooth power output, and controllable overshoot when facing AGC command changes, thereby coordinating multiple objectives.

4.3.1. AGC Command Allocation Mechanism

The following allocation strategy is applied to decomposed AGC commands: Gas turbine load response is slower than steam turbine response. Its allocation command can be uniquely determined by the peak-shaving signal N l o w and its proportion K g t in the total power of the combined cycle.
The steam turbine load command is formed by superimposing the residual portion of the peak-shaving signal with the high-frequency signal extracted from the AGC command. As shown in the following formula:
N g t = K g t × N l o w
N s t = ( 1 K g t ) × N l o w + N h i g h
The proportion K g t of gas turbine power output to total combined cycle power can be obtained by fitting the actual power outputs of gas turbines and steam turbines collected under different operating conditions. Based on Table 5, the formula for K g t of the subject under study in this paper is calculated as follows:
K g t = 1.07 × 10 7 × A G C 2 2.26 × 10 4 × A G C + 0.7624
Since the high-frequency oscillation signal after AGC decomposition has a zero mean value and an amplitude that rarely exceeds 10 MW, the steam turbine is used to track this high-frequency signal by utilizing the HRSG’s energy storage and adjusting the main steam valve rapidly. The long-term impact on the energy distribution balance between the gas turbine and steam turbine can be considered negligible.

4.3.2. Dynamic Feedforward Compensation on the Steam Turbine Side

Due to time delays inherent in the fuel servo system and combustion process within the combustion chamber, significant dynamic response lag occurs in actual gas turbine operation. This characteristic prevents the gas turbine from instantly and accurately adjusting its power output when AGC commands change, leading to deviations in the combined cycle unit’s total power output. To compensate for the output lag caused by insufficient GT response, this paper designs a dynamic feedforward compensation loop implemented by the steam turbine, represented as “actual differential” in Figure 9. This loop dynamically compensates for the deviation between the GT setpoint and actual power output through the steam turbine, thereby enhancing load tracking speed and accuracy. The actual differential loop is defined as:
G z = K d z z 1 K d z T d ( z e T T d )
G z represents the transfer function, K d denotes the transfer coefficient, and T d signifies the time constant. During the initial phase of AGC command changes, when the gas turbine has not yet reached its setpoint output, the steam turbine can rapidly adjust the main steam valve opening through the leading command generated by the differential characteristic of this loop. This enables the HRSG to release or absorb additional thermal energy, thereby quickly outputting extra power or reducing output to compensate for the power lag of the gas turbine. This improves the rapid response capability and overall power tracking performance of the CCGT during the initial frequency regulation phase.
Conversely, this compensation loop functions as a low-pass filter. Under predictive control, the gas turbine’s output may exhibit minute high-frequency oscillations even near steady-state conditions. If these undamped signals directly propagate to the steam turbine for compensation, they could trigger frequent unnecessary turbine actions, degrade control efficiency, or even amplify power fluctuations. Therefore, the first-order inertia characteristic within the actual differential loop filters the power deviation between the gas turbine setpoint and actual output. This filtered signal is then introduced as a feedforward term into the steam turbine control command.
The actual differential feedforward compensation on the steam turbine side not only utilizes the heat storage capacity of the HRSG to compensate for insufficiently rapid power tracking by the gas turbine but also reduces unnecessary steam turbine actions through its inertia characteristic, resulting in smoother overall power output for the combined cycle.

4.3.3. Lead Compensation for AGC Error Feedback

To further optimize the dynamic performance of combined cycle power output during AGC command changes, this paper employs the difference between the AGC command and the total CCGT output power as a feedback signal. This feedback is superimposed onto the steam turbine control command through a lead compensation loop, expressed as follows:
F z = z 0.95 z 0.75
The primary objective of this design is to improve the unit’s phase margin and response rate, thereby reducing overshoot and oscillation caused by abrupt or discontinuous commands. Additionally, this lead compensation channel enables agile response and rapid correction of AGC errors through the steam turbine without affecting the main control structure of the gas turbine, demonstrating the controller’s coordinated performance across multiple time domains.

4.4. Control Performance Comparison

In the traditional CCGT control approaches, steam turbines respond passively to the gas turbine and thus the total load following rate cannot be faster than the GT. In the proposed strategy, the steam turbine responds actively through decentralized fuzzy MPC controller to small-amplitude and fast-varying load commands produced by the rate-limited signal decomposition. Therefore, the combined-cycle unit can better track AGC commands by utilizing the steam turbine’s faster response to load changes. To demonstrate the superiority of the coordinated control strategy proposed in this paper, based on the simulation model, the control strategy in this paper is compared with the other two control schemes. The first type is the common coordinated predictive control, and the second type is the improved PID control with the decomposition of the limiting rate signal and feedforward compensation of the gas turbine lag. The coordinated fuzzy MPC control strategy based on AGC limited rate decomposition proposed in this paper is called Strategy 1, the common coordinated MPC called Strategy 2, and the improved PID control called Strategy 3.
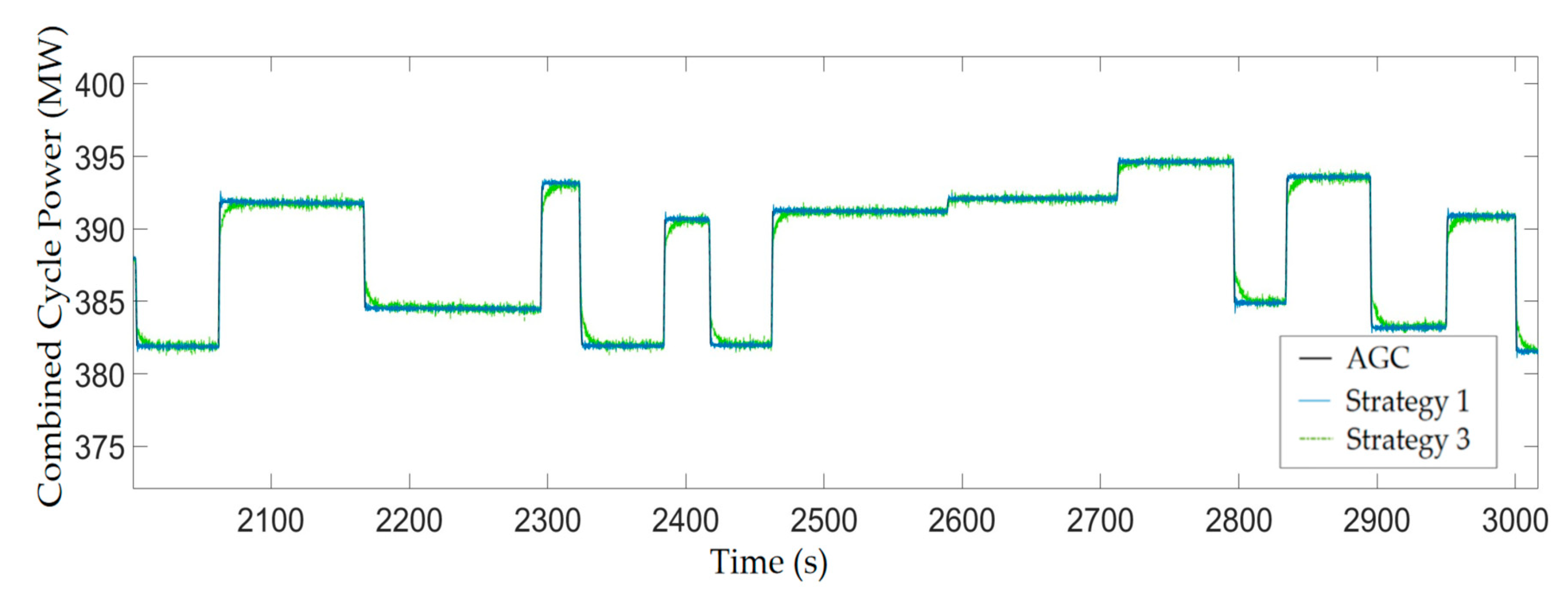
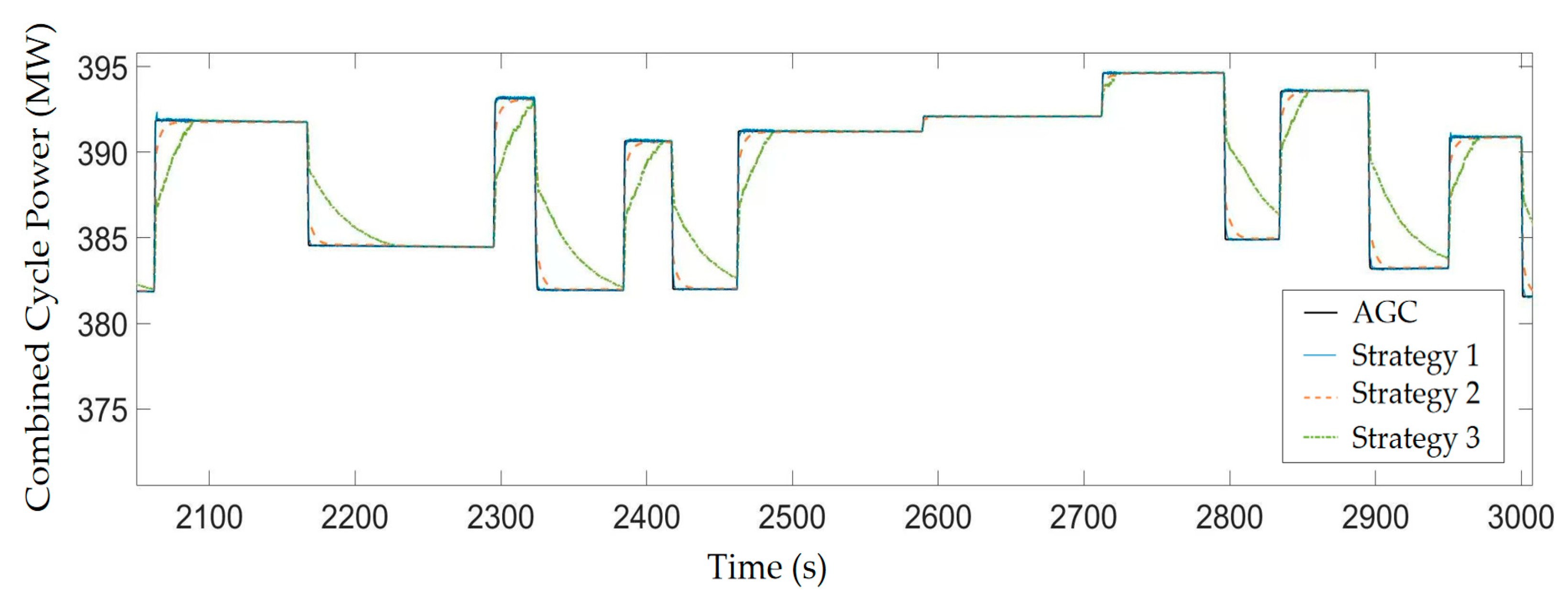
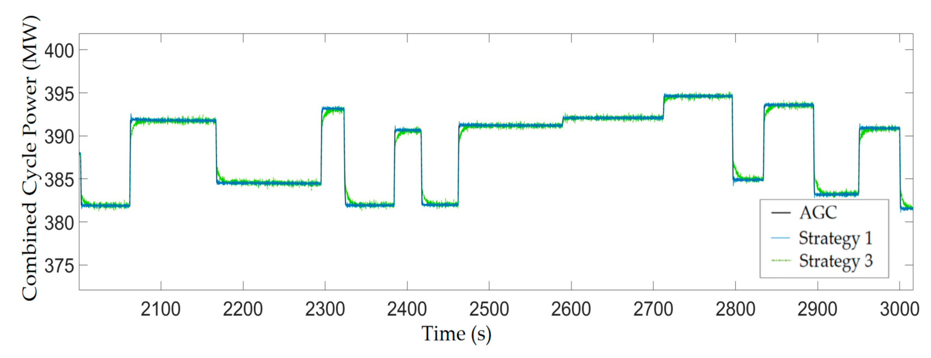
The control performance comparison between Strategy 1 and Strategy 2 is shown in Figure 10, Figure 11, Figure 12 and Figure 13. Simulation results demonstrate that Strategy 1, by decomposing the AGC command’s limiting rate, delegates high-frequency signals to the steam turbine response. It improves overall coordination between the gas turbine and steam turbine through dynamic feedforward and error feedback lead compensation. This enables the combined cycle unit’s power output to respond more rapidly to AGC variations. In contrast, Strategy 2 exhibits significant delay and inertia, resulting in slow tracking of the combined cycle unit’s power output during AGC changes. Its control performance is markedly inferior to Strategy 1. Strategy 3 has achieved good tracking results due to the adoption of the control strategy proposed in this paper, which is based on the decomposition of the limiting rate signal and includes the feedforward compensation of the gas turbine lag. However, when facing significant changes in working conditions, the problem of insufficient robustness of the PID control strategy is quite obvious, and the system’s ramp-up time is relatively long. The controller of Strategy 1 has a better control effect due to the adoption of fuzzy predictive control.
Observing the power variation curve of the steam turbine in Figure 12 reveals that, compared with Strategy 2, Strategy 1 demonstrates significant tracking performance for high-frequency signals, confirming that the approach of utilizing the steam turbine to respond to high-frequency signals has been effectively implemented.
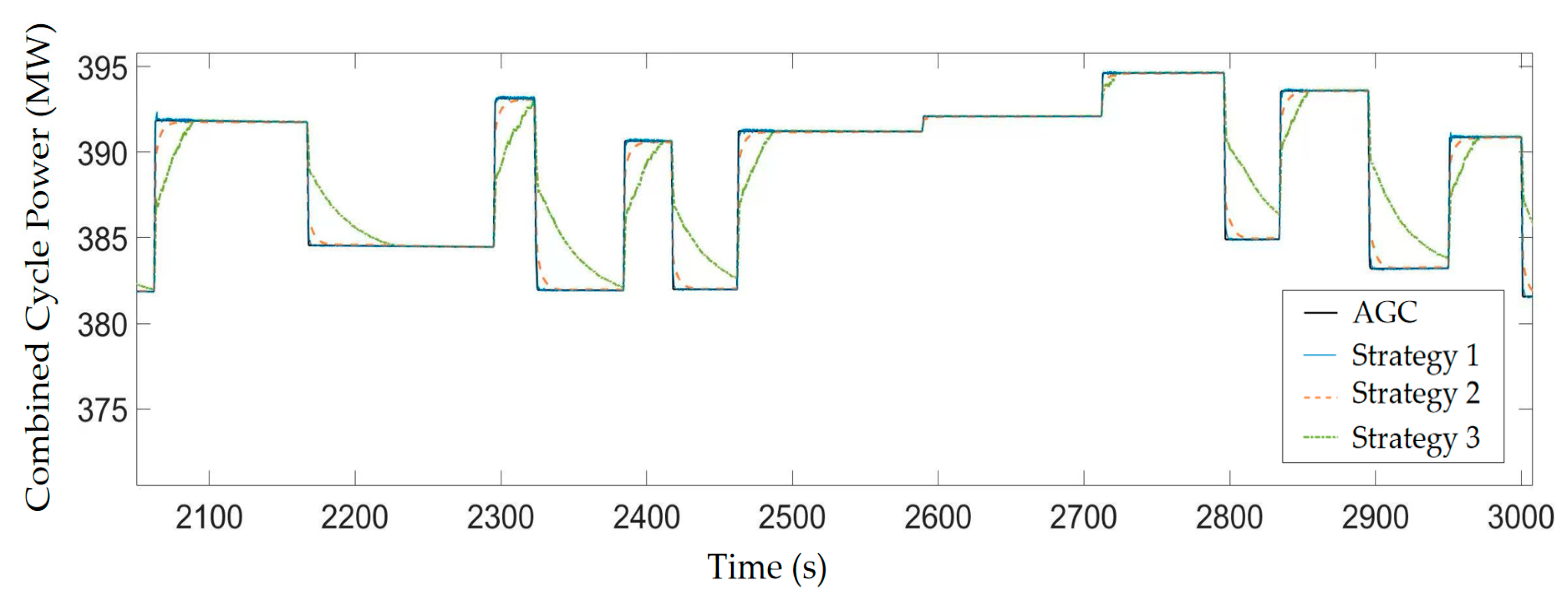
Observing the power variation curve of the gas turbine in Figure 13 also reveals that Strategy 1 demonstrates significant effectiveness in controlling the ramp-up power of the gas turbine. It effectively reduces the ramp-up rate, thereby contributing to extending the service life of the turbine’s high-temperature components.
In the actual operation of an electric field, the measurement of data often cannot avoid the influence of noise. To test the control performance of the system in the face of sensor noise, a white noise with a mean of 0 and a variance of 0.01 was superimposed on the power output value of the steam turbine. The total power output of the combined cycle system is shown in Figure 14. By comparing Strategy 1 and Strategy 3, it can be found that since Strategy 1 contains a Kalman filter, it has a good filtering effect on sensor noise, so the total power output fluctuates less. It has been proven that this strategy still has good applicability when facing noise.
The three control strategies show differences in various values, such as adjustment time and overshoot. The specific situation is shown in Table 6. The strategy proposed in this paper has obvious advantages over the other two strategies in terms of rising time and stabilizing deviation. Although the overshoot is slightly large, in the actual control process of the power plant, the short-term overshoot of 0.027% can be ignored. To comprehensively compare the control effects, the integral absolute error (IAE) is used as the data index to evaluate the control performance of the three control strategies. The results show that the performance of the dynamic compensation coordinated control strategy based on AGC limited rate decomposition allocation proposed in this paper is significantly better than that of Strategy 2 and Strategy 3. Its integral absolute error value is 786.6. Compared with 15,090 of Strategy 2, the IAE index has decreased by 94.7%, and compared with 2689 of Strategy 3, the IAE index has decreased by 70.7%.
In terms of economy, as this control strategy strictly limits the ramping rate of the gas turbine to ≤0.4 MW/s, the thermal stress amplitude of the turbine blades can be reduced, the fatigue life loss rate can be decreased, and the maintenance cycle can be extended.
Meanwhile, according to the auxiliary frequency modulation trading documents of Jiangsu Province, China, the frequency modulation strategy based on the method proposed in this paper can generate a revenue of 760,000 yuan per year, which is six times the revenue of Strategy 2.

5. Conclusions

To improve the secondary frequency regulation capability of existing gas combined cycle (CCGT) units, this paper proposes a distributed predictive control-assisted frequency regulation strategy based on rate signal decomposition for F-class CCGT units. A simulation model was established through mechanism analysis and parameter identification. Based on the analysis of system dynamics and temporal characteristics, distributed predictive controllers were designed for the top and bottom cycles, respectively. Control accuracy was improved using Kalman filtering and state augmentation mechanisms. A frequency-modulation-improved coordinated control strategy for CCGTs was designed, incorporating hierarchical power allocation based on speed-limited AGC decomposition, a feedforward compensation loop addressing turbine response lag, and a differential lead compensation module for AGC errors.
Simulation validation demonstrates that the proposed decomposed coordinated control strategy achieves significant improvements over conventional MPC schemes in output power smoothness, tracking speed, and steady-state accuracy. IAE metrics decreased by over 90%, substantially improving the frequency regulation performance of combined-cycle units and validating the strategy’s effectiveness and superiority.
However, in the process of engineering implementation and scenario expansion, this solution still needs to address three core challenges: First, eliminate the influence of actual working conditions such as equipment aging and fuel composition fluctuations on control accuracy through on-site parameter calibration; Secondly, during the hardware testing stage, a test platform should be built for specific objects, including physical simulation models of gas turbines and steam turbines, actual controller hardware, and communication delay simulation modules. The focus should be on verifying the robustness of the strategy under constraints such as sensor noise and actuator saturation to avoid performance deviations between the simulation and the actual system.
In terms of economy, since this improved frequency regulation coordinated control strategy improves performance solely through coordinated control without requiring additional investment, it offers significant economic benefits for practical applications. This method can effectively improve the utilization efficiency of renewable energy and play a significant role in reducing the safety risks of the power grid caused by frequency deviations. Meanwhile, precise AGC command decomposition and compensation control can not only reduce the dynamic loss of key equipment of the unit (such as steam turbine regulating valves and gas turbine combustion chambers) and extend the equipment maintenance cycle by about 15%, but also reduce the cost consumption and benefit loss caused by the shutdown maintenance of the combined cycle unit. It can also obtain six times the previous benefits related to auxiliary frequency modulation in Jiangsu Province.
In addition, this strategy also has broad application potential for extension to multiple scenarios and types of units. By optimizing the relevant coordination coefficients in a targeted manner, it can adapt to the dynamic characteristic differences of different units, thereby providing strong technical support for the power industry to achieve low-carbon transformation.
Finally, the “Distributed Unbiased Fuzzy MPC Based on rate-limiting Signal Decomposition” strategy proposed in this paper demonstrates its advantages in control accuracy, response speed and economy in the auxiliary frequency regulation scenario of a single F-class CCGT unit. However, from the perspective of engineering practice and the development needs of the power grid, this strategy is scalable in multi-unit coordination and cross-regional dispatching in the future: In the scenario of multi-unit coordination, based on the existing logic of “signal hierarchical decomposition + dynamic compensation” of the strategy, a distributed communication architecture and unit capacity weight coefficient can be introduced to achieve the collaborative distribution of load instructions among multiple CCGT units, which can further improve the overall stability of regional frequency modulation response. Meanwhile, in cross-regional power grid scenarios, this strategy can be combined with cross-regional tie line power deviation signals. By adding tie line power compensation modules, the frequency regulation of units within the region can be integrated with the cross-regional power balance requirements. At the same time, by taking advantage of the strategy’s adaptability to non-step instructions (slopes, random fluctuations), it can address the more complex characteristics of load and renewable energy output fluctuations in cross-regional power grids.

Author Contributions

Conceptualization, L.P.; Methodology, Y.Z. and L.P.; Validation, Z.H. and X.X.; Formal analysis, L.S.; Investigation, T.Z. and X.X.; Data curation, Z.H. and T.Z.; Writing—original draft, Y.Z.; Writing—review & editing, Z.H., L.S. and L.P.; Project administration, Z.H.; Funding acquisition, L.P. All authors have read and agreed to the published version of the manuscript.

Funding

This research was funded by the Science and Technology Project of State Grid Corporation of China (Contract No.0FW-24687-RD) and the Science and Technology Project of State Grid Corporation of China: (Contract No. SGJSFTDLRNJS2401165).

Data Availability Statement

The original contributions presented in the study are included in the article. Further inquiries can be directed to the corresponding author.

Conflicts of Interest

Authors Zunmin Hu, Tianhai Zhang and Xinyu Xiao are employed by Jiangsu Frontier Electric Technology Co., Ltd. The remaining authors declare that the research was conducted in the absence of any commercial or financial relationships that could be construed as a potential conflict of interest.

References

  1. Yang, C.; Liu, H.X.; Wang, P.; Fan, K.L.; Huang, Z.F.; Ma, X.Q. Economic Analysis on Peak-regulation of GTCC Cogeneration Unit with Extraction Heating. CSEE J. Power Energy 2020, 40, 592–601. [Google Scholar] [CrossRef]
  2. Molina-Garcia, A.; Bouffard, F.; Kirschen, D.S. Decentralized Demand-Side Contribution to Primary Frequency Control. IEEE Trans. Power Syst. 2011, 26, 411–419. [Google Scholar] [CrossRef]
  3. Ge, Z.H.; Ma, L.Q.; He, J.; Zhao, S.F. Study on Load Characteristics of Multiple Operation Modes of Gas-steam Combined Cycle Cogeneration Unit. CSEE J. Power Energy 2020, 40, 2587–2597. [Google Scholar] [CrossRef]
  4. Abudu, K.; Igie, U.; Roumeliotis, I.; Hamilton, R. Impact of gas turbine flexibility improvements on combined cycle gas turbine performance. Appl. Therm. Eng. Des. Process. Equip. Econ. 2021, 189, 116703. [Google Scholar] [CrossRef]
  5. Rúa, J.; Bui, M.; Lars, O.N.; Niall, M.D. Does CCS reduce power generation flexibility? A dynamic study of combined cycles with post-combustion CO2 capture. Int. J. Greenh. Gas Control 2020, 95, 102984. [Google Scholar] [CrossRef]
  6. Haakana, J.; Tikka, V.; Lassila, J.; Partanen, J. Methodology to analyze combined heat and power plant operation considering electricity reserve market opportunities. Energy 2017, 127, 408–418. [Google Scholar] [CrossRef]
  7. He, H.C.; Li, X.D.; Luo, X.; Chen, Y.P.; Wang, B.Y.; Lai, F.; Cao, X.; Chu, G.H.; Chai, S.K.; Wu, T.; et al. Performance analysis and diagnosis system of gas-steam combined cycle unit based on big data. Therm. Power Gener. 2020, 49, 14–19. [Google Scholar] [CrossRef]
  8. Qiao, H.; Cao, Y.; Dai, Y.P. Mathematical Modeling and Dynamic Simulation Study Based on 300MW Heavy-Duty Gas Turbine. Gas Turbine Technol. 2016, 29, 28–33. [Google Scholar] [CrossRef]
  9. Ma, L.M.; Zhang, Z.J.; Lin, Y.; Wu, Y.L. Research of fuzzy control of the fuel pressure system for micro gas turbine. Microcomput. Its Appl. 2012, 31, 20–22. [Google Scholar] [CrossRef]
  10. Saha, D.; Saikia, L.C. Automatic generation control of an interconnected CCGT-thermal system using stochastic fractal search optimized classical controllers. Int. Trans. Electr. Energy Syst. 2018, 28, 25. [Google Scholar] [CrossRef]
  11. Sharma, Y.; Saikia, L.C. Automatic generation control of a multi-area ST—Thermal power system using Grey Wolf Optimizer algorithm based classical controllers. Int. J. Electr. Power 2015, 73, 853–862. [Google Scholar] [CrossRef]
  12. Wei, J.; Zhang, B. Multiple model based predictive control for single shaft gas turbine. Gas Turbine Technol. 2009, 22, 55–60. [Google Scholar] [CrossRef]
  13. Lu, N.; Pan, L.; Pedersen, S.; Arabkoohsar, A. A two-dimensional design and synthesis method for coordinated control of flexible-operational combined cycle of gas turbine. Energy 2023, 284, 18. [Google Scholar] [CrossRef]
  14. Haji, V.H.; Fekih, A.; Monje, C.A.; Asfestani, R.F. Adaptive model predictive control design for the speed and temperature control of a V94.2 gas turbine unit in a combined cycle power plant. Energy 2020, 207, 16. [Google Scholar] [CrossRef]
  15. Pires, T.S.; Cruz, M.E.; Colaco, M.J.; Alves, M.A.C. Application of nonlinear multivariable model predictive control to transient operation of a gas turbine and NO X emissions reduction. Energy 2018, 149, 341–353. [Google Scholar] [CrossRef]
  16. Lu, N.; Pan, L.; Arabkoohsar, A.; Liu, Z.; Wang, J.; Pedersen, S. Power-heat conversion coordinated control of combined-cycle gas turbine with thermal energy storage in district heating network. Appl. Therm. Eng. 2023, 220, 13. [Google Scholar] [CrossRef]
  17. Deng, T.Y. Characteristic Analysis on Energy Storage and Control Methods of Rapid Load Change for Heat Supply Units. Ph.D. Thesis, North China Electric Power University, Beijing, China, 2016. [Google Scholar]
Figure 1. The Flowchart of the Research Subject.
Figure 1. The Flowchart of the Research Subject.
Energies 18 05997 g001
Figure 2. Schematic Diagram of the Combined Cycle Units’ Structure.
Figure 2. Schematic Diagram of the Combined Cycle Units’ Structure.
Energies 18 05997 g002
Figure 3. Changes in Parameters for a 5% Step Change in Fuel Quantity.
Figure 3. Changes in Parameters for a 5% Step Change in Fuel Quantity.
Energies 18 05997 g003
Figure 4. Changes in Parameters at 5% Step Change in Main Steam Valve Opening.
Figure 4. Changes in Parameters at 5% Step Change in Main Steam Valve Opening.
Energies 18 05997 g004
Figure 5. Membership Function of the Fuzzy Model.
Figure 5. Membership Function of the Fuzzy Model.
Energies 18 05997 g005
Figure 6. Three-Layer Rate-Limited Signal Decomposition Structure Diagram.
Figure 6. Three-Layer Rate-Limited Signal Decomposition Structure Diagram.
Energies 18 05997 g006
Figure 7. Decomposed Signal Curves.
Figure 7. Decomposed Signal Curves.
Energies 18 05997 g007
Figure 8. AGC Instruction Decomposition.
Figure 8. AGC Instruction Decomposition.
Energies 18 05997 g008
Figure 9. Auxiliary Frequency Modulation Control Strategy Diagram.
Figure 9. Auxiliary Frequency Modulation Control Strategy Diagram.
Energies 18 05997 g009
Figure 10. Total Power of Combined Cycle.
Figure 10. Total Power of Combined Cycle.
Energies 18 05997 g010
Figure 11. 2000–3000 s Total Power of Combined Cycle.
Figure 11. 2000–3000 s Total Power of Combined Cycle.
Energies 18 05997 g011
Figure 12. 2000–3000 s Steam Turbine Power.
Figure 12. 2000–3000 s Steam Turbine Power.
Energies 18 05997 g012
Figure 13. 2000–3000 s Gas Turbine Power.
Figure 13. 2000–3000 s Gas Turbine Power.
Energies 18 05997 g013
Figure 14. 2000–3000 s Total Power of Combined Cycle with Noise.
Figure 14. 2000–3000 s Total Power of Combined Cycle with Noise.
Energies 18 05997 g014
Table 1. Steam Turbine Back Pressure and High-Load Operating Conditions.
Table 1. Steam Turbine Back Pressure and High-Load Operating Conditions.
ParametersOn-Site DataSimulation DataRelative Error (%)
Outlet pressure of the compressor (MPa)1.971.904−3.35
Compressor outlet temperature (K)699.28702.050.65
Turbine outlet temperature (K)835.67844.51.06
GT power (MW)296.6283.7−4.35
ST power (MW)149.2146.5−1.81
Table 2. Steam Turbine Back Pressure and Low-Load Operating Conditions.
Table 2. Steam Turbine Back Pressure and Low-Load Operating Conditions.
ParametersOn-Site DataSimulation DataRelative Error (%)
Outlet pressure of the compressor (MPa)1.511.5814.7
Compressor outlet temperature (K)649.18652.750.55
Turbine outlet temperature (K)824854.63.71
GT power (MW)199.56200.30.37
ST power (MW)100.8101.50.69
Table 3. Steam Turbine Condensing and High-Load Operating Conditions.
Table 3. Steam Turbine Condensing and High-Load Operating Conditions.
ParametersOn-Site DataSimulation DataRelative Error (%)
Outlet pressure of the compressor (MPa)1.91.90
Compressor outlet temperature (K)712.45719.40.98
Turbine outlet temperature (K)848.53853.90.63
GT power (MW)281.16277−1.48
ST power (MW)141.8139.5−1.62
Table 4. Design Parameters for Combined Cycle Units.
Table 4. Design Parameters for Combined Cycle Units.
ParametersValue
Fuel flow rate (kg/s)19.44
IGV Opening (%)80
Main Steam Valve Opening (%)40
CCGT Power (MW)387.2
Gas Turbine Power (MW)258.2
Steam Turbine Power (MW)129
Flue Gas Temperature (K)810.96
Table 5. The Power of GT and ST under Different Total Powers of CCGT.
Table 5. The Power of GT and ST under Different Total Powers of CCGT.
Total Powers of CCGT (MW)GT Power (MW)ST Power (MW)
303.520598.5
334.6224.8109.8
366244.8121.2
376.8251.8125
391.8260.8131
Table 6. Comparison of Control Indicators.
Table 6. Comparison of Control Indicators.
Rising Time (s)Overshoot (%)Steady-State Deviation (%)IAE
Strategy 10.70.0270.00786.6
Strategy 221.80.0150.00515,090
Strategy 315.20−0.0052689
Disclaimer/Publisher’s Note: The statements, opinions and data contained in all publications are solely those of the individual author(s) and contributor(s) and not of MDPI and/or the editor(s). MDPI and/or the editor(s) disclaim responsibility for any injury to people or property resulting from any ideas, methods, instructions or products referred to in the content.

Share and Cite

MDPI and ACS Style

Hu, Z.; Zhang, Y.; Zhang, T.; Xiao, X.; Sun, L.; Pan, L. Improved Coordinated Control Strategy for Auxiliary Frequency Regulation of Gas-Steam Combined Cycle Units. Energies 2025, 18, 5997. https://doi.org/10.3390/en18225997

AMA Style

Hu Z, Zhang Y, Zhang T, Xiao X, Sun L, Pan L. Improved Coordinated Control Strategy for Auxiliary Frequency Regulation of Gas-Steam Combined Cycle Units. Energies. 2025; 18(22):5997. https://doi.org/10.3390/en18225997

Chicago/Turabian Style

Hu, Zunmin, Yilin Zhang, Tianhai Zhang, Xinyu Xiao, Li Sun, and Lei Pan. 2025. "Improved Coordinated Control Strategy for Auxiliary Frequency Regulation of Gas-Steam Combined Cycle Units" Energies 18, no. 22: 5997. https://doi.org/10.3390/en18225997

APA Style

Hu, Z., Zhang, Y., Zhang, T., Xiao, X., Sun, L., & Pan, L. (2025). Improved Coordinated Control Strategy for Auxiliary Frequency Regulation of Gas-Steam Combined Cycle Units. Energies, 18(22), 5997. https://doi.org/10.3390/en18225997

Note that from the first issue of 2016, this journal uses article numbers instead of page numbers. See further details here.

Article Metrics

Back to TopTop