Next Article in Journal
Estimation of Lithium Battery State of Health Using Hybrid Deep Learning with Multi-Step Feature Engineering and Optimization Algorithm Integration
Next Article in Special Issue
Designing a Rice Straw-Based Biofuel Supply Chain Using Mixed-Integer Programming in South Korea
Previous Article in Journal
The Role of Double-Φ Floating Semi-Submersible Vertical Axis Wind Turbines in Suppressing the Gyroscopic Effect
Previous Article in Special Issue
Optimization and Simulation in Biofuel Supply Chain
 
 
Font Type:
Arial Georgia Verdana
Font Size:
Aa Aa Aa
Line Spacing:
Column Width:
Background:
Article

Impact Analysis of Energy and Emissions in Lane-Closure-Free Road Inspections

1
Department of Smart Industrial Engineering, Kangwon National University, Chuncheon 24341, Gangwon, Republic of Korea
2
Interdisciplinary Program in Earth Environmental System Science & Engineering, Kangwon National University, Chuncheon 24341, Gangwon, Republic of Korea
3
Department of Regional Infrastructure Engineering, Kangwon National University, Chuncheon 24341, Gangwon, Republic of Korea
*
Author to whom correspondence should be addressed.
Energies 2025, 18(21), 5848; https://doi.org/10.3390/en18215848
Submission received: 25 September 2025 / Revised: 28 October 2025 / Accepted: 5 November 2025 / Published: 6 November 2025

Abstract

Road damage threatens driving safety, making timely maintenance essential. However, conventional repairs require on-site personnel, necessitating traffic control and lane closures. These restrictions cause traffic congestion, leading to unnecessary idling and repeated acceleration and deceleration of vehicles, reducing fuel efficiency and increasing energy consumption. To overcome these limitations, this study proposes a method for performing inspections without lane closures, utilizing machine vision and AI-based damage detection technology. Furthermore, to quantitatively verify the effectiveness of the proposed method, an energy consumption analysis is conducted using the traffic simulator simulation of urban mobility (SUMO) and the vehicle energy simulator future automotive systems technology simulator (FASTSim). Results show lane closures reduced average speed by 25% and increased driving time by over 40%, adding 5044.73 L of fuel for gasoline vehicles and 3208.63 L for diesel vehicles, with CO2 emissions rising by 11.86 and 8.60 t, respectively. In contrast, the proposed method had minimal traffic impact, with less than 0.1% increases in fuel use and emissions. This approach enables simultaneous multi-lane inspection, improving maintenance efficiency and reducing social costs and energy waste caused by traffic control.

1. Introduction

Maintaining aging transportation infrastructure is a critical global challenge, essential for ensuring public safety, economic vitality, and societal connectivity. Among these infrastructures, road networks require constant monitoring and maintenance to counteract the degradation caused by traffic loads and environmental factors. Portland cement concrete (PCC) is a widely adopted road paving material due to its high flexural strength, long-term durability, and low life-cycle maintenance costs [1,2]. However, repeated loading and environmental factors (freeze–thaw, alkali-silica reaction, deicing salt penetration, moisture and temperature gradients) can cause accumulated damage such as spalling, cracking, and surface delamination at joints, edges, and repair joints [3,4]. This damage causes cross-sectional weakening and stress concentration, which reduces structural stability and reduces driver drivability and safety [5,6]. If not repaired promptly, the damage spreads, increasing maintenance expenditure and broader social burdens [6]. Therefore, regular and systematic inspection is essential to maintain the functionality of PCC pavements [7].
Traditional inspection methods rely on manual intervention to detect damage, often necessitating lane or road closures for safety reasons, which in turn cause traffic congestion and delays [8,9,10]. Consequently, vehicles passing through affected sections are forced to idle repeatedly or decelerate and accelerate [11], which reduces fuel economy, wastes energy, and increases greenhouse gas (GHG) emissions [12,13,14]. The transportation sector is a major energy consumer, responsible for approximately 20% of global CO2 emissions and about 77% of total transportation energy use [15,16,17]. Enhancing maintenance efficiency is therefore essential for building a low-carbon and energy-efficient transportation system that aligns with global decarbonization goals [18,19,20]. It is, therefore, crucial to adopt maintenance practices that minimize traffic disruptions and unnecessary fuel use, thereby reducing GHG emissions.
To address these challenges, recent advances in artificial intelligence (AI), machine vision (MV), and computer vision (CV) have enabled the development of automated damage detection methods. Early research primarily focused on image-based pavement assessment. For instance, Wu et al. [21] proposed an automated system for detecting cracks and evaluating their severity by integrating convolutional neural networks (CNNs) with unmanned aerial vehicle (UAV) imagery to assess structural integrity. Similarly, Dorafshan et al. [22] demonstrated that a deep convolutional neural network (DCNN) achieved an accuracy of 86%, outperforming traditional edge-detection methods. Kumar et al. [23] employed the mask region-based convolutional neural network (Mask R-CNN), which enables precise pixel-level segmentation, to assign crack and severity scores to concrete surfaces, thereby improving detection accuracy.
In subsequent work, Mandal et al. [24] applied the you only look once (YOLO) model, which offers high processing speed, to improve real-time crack detection performance. They further demonstrated that YOLO could identify smaller defects more efficiently than R-CNN-based models, achieving faster inference with reduced computational load. To improve detection efficiency further, Zeng and Zhong [25] developed the YOLOv8-PD model, a lightweight variant of YOLOv8 designed to improve real-time detection efficiency. By integrating bottleneck transformer (BOT) and large separable kernel attention (LSKA) modules, the model reduced computational cost (GFLOPs) while improving mean average precision (mAP) by 1.4%.
Recent studies have also explored hybrid architectures that combine CNNs and Transformers to enhance detection accuracy and feature representation. Cheng et al. [26] proposed the receptive field context aggregation detection transformer (RC-DETR) framework, based on the teal-time detection transformer (RT-DETR). This architecture aggregates contextual features across receptive fields to enhance global object representation, achieving superior detection accuracy and computational efficiency compared with conventional CNN or Kolmogorov–Arnold network (KAN)-based approaches. The reviewed studies are summarized in Table 1.
Existing studies have proposed various damage detection techniques to mitigate the limitations of visual inspection. However, most of these studies have focused on improving the accuracy of detection models, leaving limited examples of quantitative analysis of the impact of these proposed methods on traffic operation, energy consumption, and pollutant emissions compared with conventional inspection practices.
To address this gap, the present study introduces an energy-aware maintenance framework that enhances process efficiency through a closure-free, MV and AI-based inspection approach. Through simulation, inspection scenarios with and without lane closures are modeled to quantify induced changes in traffic states and to estimate vehicle fuel consumption and GHG emissions from scenario-specific speed–acceleration profiles. The framework explicitly represents the causal pathway linking inspection method, traffic conditions, driving behavior, and subsequent energy use and emissions. This enables a system-level comparison that extends beyond simple congestion metrics to evaluate comprehensive operational and environmental efficiency.
The objective is to quantitatively compare inspection strategies using an integrated indicator system encompassing traffic efficiency, energy consumption, and pollutant emissions, thereby reframing maintenance inspection as a process that jointly considers operational and energy performance. Unlike most previous studies, which have been largely energy-unaware and have overlooked operational inefficiencies during inspection activities [27], the proposed approach explicitly models the congestion–energy–emissions chain induced by maintenance operations and provides a strategy to minimize these effects.
This paper is structured as follows: Section 2 describes the methodology, Section 3 and Section 4 present simulation results and discussion, and Section 5 presents conclusions and future research directions.

2. Materials and Methods

This study quantitatively compares the differences in traffic flow, energy consumption, and emissions between traditional inspections that involve lane closures and non-closure (operational maintenance) AI-based inspections. A DETR-based damage detection model was applied, and traffic-energy-emission metrics were calculated for each traffic simulation scenario.

2.1. Inspection System Design and Framework

The method deploys a machine-vision spall inspection workflow built around a vehicle-mounted line-scan camera. As the vehicle travels at 80–100 km/h, the sensor continuously acquires lane-width, high-resolution pavement imagery; because acquisition occurs at traffic speed, lane closures and heavy traffic control are unnecessary, limiting idling and queue formation. Line-scan imaging also maintains uniform ground sampling over long distances, yielding stable texture and scale for reliable detection across extended road sections. For image analysis, commonly used detectors in road-surface vision were reviewed. YOLO is valued for very high processing speed, but it relies on heuristic post-processing—especially non-maximum suppression (NMS)—that can split or suppress elongated, overlapping defects and makes outcomes sensitive to threshold tuning [28]. Mask R-CNN offers strong accuracy with pixel-level delineation, yet its multi-step pipeline is comparatively heavy to operate and integrate for continuous, high-speed roadway imaging [29]. DETR is therefore adopted as the detector: its transformer architecture reasons over the entire image with global self-attention and performs end-to-end set prediction without NMS. This global context preserves the continuity and boundaries of surface defects under aggregate texture, illumination variation, and slight motion blur at traffic speed, while simplifying deployment by removing heuristic post-processing [26,30]. This closure-free process avoids work-zone setups and associated traffic interventions during inspection and supplies the geo-referenced defect maps used to quantify how inspection choices affect driving history, energy consumption, emissions, and overall traffic conditions (Figure 1).
To validate the AI-based damage detection method proposed in this study, 1844 road surface images were collected using a vehicle equipped with a line scan camera. Of the collected images, 1620 were divided into training, validation, and test sections (70, 15, and 15, respectively) and used for model training. 224 images were used for model detection. For detection, 224 images were used for inference across three test sections (Test 1–3) to assess detection accuracy under different road and lighting conditions. The detection results for these 224 images are as Table 2. Across the three tests, the model generally demonstrated promising detection capability. Tests 1 and 2 achieved high precision and recall under typical surface and imaging conditions, confirming the feasibility of the approach for practical inspection. On the other hand, Test 3 exhibited a drop in recall due to factors such as surface shadows and uneven illumination, highlighting its sensitivity to such factors, as shown in Figure 1d. Accordingly, the subsequent analyses proceed from the representative case where imaging conditions remain within the valid operational range of the method. This assumption isolates the framework’s functional potential under normal conditions, while the observed sensitivity underscores the need for controlled image acquisition to ensure reliable field performance.
This study quantitatively evaluates the energy efficiency and emission reduction effects of the proposed AI damage detection system, which enables road inspections without lane closures. This analysis is conducted by linking a traffic simulator and a vehicle energy analysis model. The traffic simulator uses the simulation of urban mobility (SUMO) [31,32], developed by the German Aerospace Center (DLR) in the Cologne, Germany, which precisely simulates complex traffic situations such as lane changes and signal control, enabling realistic reproduction of traffic congestion and changes in traffic flow that occur during lane closures. The generated driving data, such as hourly speed and acceleration data for individual vehicles, can then be analyzed using the future automotive systems technology simulator (FASTSim) [33], a vehicle energy analysis model developed by the National Renewable Energy Laboratory (NREL) in the Golden, CO, USA. This vehicle analysis model can analyze the instantaneous energy consumption of each vehicle by reflecting the characteristics of various powertrains [34]. Using this simulation modeling and analysis framework, the differences between lane closures and the presence or absence of lane closures are quantitatively analyzed (Figure 2).

2.2. Traffic Simulation

To enable clear observation of traffic congestion and energy efficiency variations, the simulation targeted a 4.2 km segment of the Gyeongbu expressway between Singar JC and Suwon Singar IC, which carries the highest traffic volume of all expressways in South Korea (Figure 3). Traffic volume was calculated using highway traffic statistics, vehicle detector system (VDS), tollgate vehicle type data, and vehicle registration data. The source data of each are outlined in Table 3.
The traffic volume by time zone was set based on weekday conditions to exclude variations caused by weekend traffic. A total of 93,671 vehicles were modeled over a 24 h period. The vehicle type composition was composed of light vehicles (4%), compact vehicles (86%), medium-sized vehicles (2%), large vehicles (3%), and others (5%), determined from tollgate statistics. For compact vehicles, the fuel type distribution was based on automobile registration data from Statistics Korea, comprising gasoline (47.2%), diesel (34.6%), LPG (7.0%), hybrid (7.7%), electric (2.6%), and other types (0.9%). The speed limit of the road reflected the road regulation of 110 km/h, and the ramp usage was set to 15%, which is commonly used in simulation studies [39]. The simulation assumed a 0% road gradient to eliminate topographic variability and ensure that any observed differences in traffic performance, fuel consumption, or emissions were exclusively attributable to the inspection conditions rather than terrain-related resistance effects.
To implement lane closures due to road inspections, control zones were established based on traffic management guidelines from each country. According to South Korea’s road construction traffic management guidelines, road closures are divided into caution zones, relaxation zones, work zones, and termination zones. The minimum control zone, excluding work zones, is set at 1.6 km. In contrast, the Department of Transportation (DoT) in South Dakota, USA, allows for up to 8 km of control zones for short-term work, while Europe and Manitoba, Canada, allow up to 10 km of control zones. Different countries apply different standards based on road conditions and regulations (Table 4).
Accordingly, this study reflected both the minimum standards of the Republic of Korea and the control standards of the U.S. DoT, adopting a 2 km control section as a realistic and field-applicable compromise. This length falls within the empirically validated range of 1.8–2.2 km reported by Hu et al. [44], which demonstrated optimal driver comfort and safety performance. Hence, these setting balances construction safety with congestion management, ensuring adequate deceleration and merging distance while avoiding the excessive delay associated with longer control zones (Figure 4).
The SUMO program can arbitrarily set the section speed, road ID, and type of vehicle allowed to pass on the mapped road, so in the case of the control section, this study implemented the vehicle permitting condition on the mapped road as all prohibited. In the case of general roads under the condition that allows all types of vehicles used in the study, it is black, which means general roads, and in the case of the control section reflecting the condition that prohibits all vehicles from passing, it is light green. Through this function, it is possible to set a customized road for the location and distance of the control section desired in the study (Figure 5).
Three scenarios were established to compare and analyze the impact of road inspection methods on the energy efficiency of the transportation system:
  • Scenario 1: Normal conditions without road inspection work.
  • Scenario 2: Conventional inspection method with 2 km lane closures.
  • Scenario 3: Proposed detection method deploying inspection vehicles at 80 km/h every hour without lane closures.
In the case of Scenario 1, which shows a normal traffic flow, a set number of vehicles divided by time zone was put into the road to show the general traffic flow of the target road. While in scenario 2, the simulation mapping data setting was used to implement the lane closure situation while using the vehicle input log data as in scenario 1. By prohibiting all road traffic in one lane in the 2 km section, the congested section caused by the lane closure was simulated. Finally, in Scenario 3, the inspection situation without lane closure was simulated by using mapping data of normal roads without lane closure as shown in Scenario 1, setting one vehicle per hour as a working vehicle in the vehicle input data, and adjusting the speed limit of the vehicle to 80 km/h.
The representative vehicles used in this study are the 2016 Hyundai Elantra 4-cylinder 2WD (gasoline) and the 2020 Volkswagen Golf 2.0 TDI (diesel). Both vehicles are provided as default models in the parameter library of FASTSim. These vehicles were selected for the following reasons: (1) Both vehicles belong to the compact car category, which is the most common vehicle type among registered vehicles in Korea (compact cars account for approximately 86%, gasoline for 47.2%, and diesel for 34.6%), and among the models that satisfy the compact car and internal combustion engine criteria provided by FASTSim, they were selected based on the fact that they are the most common or relatively common vehicles in Korea, (2) Using a validated parameter set in FASTSim allows for reproducibility and international comparisons, thereby avoiding uncertainties, and lastly, (3) both the Elantra and Golf belong to the same compact sedan category with similar body size and weight, which can be used as a technical benchmark for comparing gasoline and diesel powertrains, allowing for isolating energy consumption differences due to fuel type and engine efficiency rather than vehicle geometry. Detailed vehicle specifications were based on parameters provided by FASTSim, and vehicle weight and maximum engine output were adjusted to reflect the manufacturer’s specifications (Table 5).
FASTSim calculates fuel consumption based on the vehicle’s power train parameters using driving information including speed, acceleration, and deceleration information generated by SUMO. For an analysis similar to the actual vehicle’s driving results, the energy acting on the vehicle, such as aerodynamics, road environment information, inertia, and acceleration, is analyzed in a complex manner, and for this purpose, high-level analysis results are provided using the actual vehicle’s parameter information.
The fuel consumption results analyzed using FASTSim were then used to estimate the CO2 emissions generated by the target vehicles on the road. To this end, the emission factors calculated for vehicles by the Environmental Protection Agency (EPA) were applied [45], and the formula is as follows:
C = V × f s
where C is total of CO2 emission, V is fuel consumption (L) and f s is CO2 emission factor by fuel type (gasoline: 2.35, diesel: 2.69).
Through this, it is possible to analyze the vehicle fuel efficiency in the simulation and the resulting pollution emissions. In addition, for the analysis of FASTSim, the following conditions are controlled in addition to the parameters provided in Table 6.

3. Results

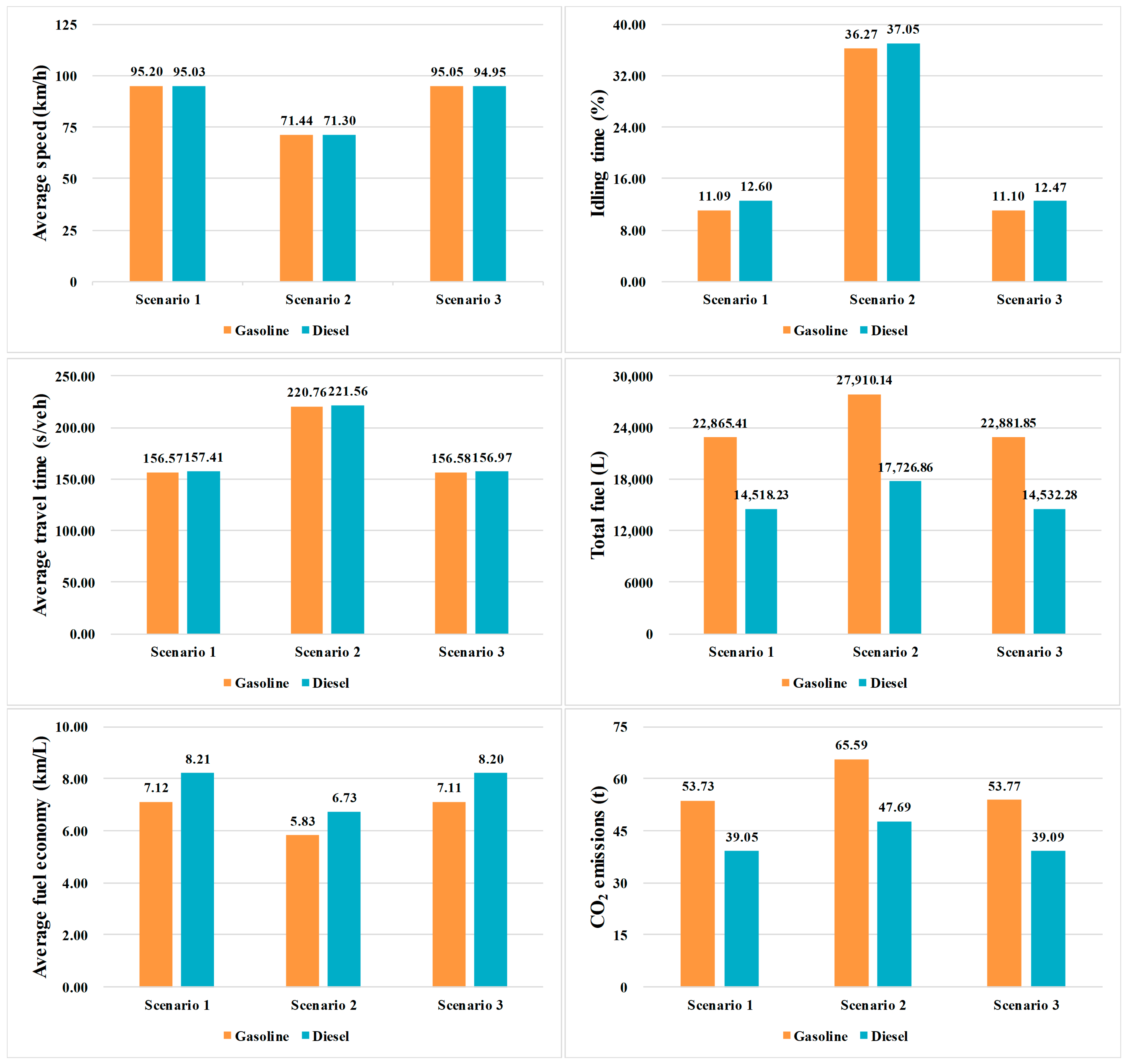
The simulation results demonstrated clear differences in traffic performance across the three inspection scenarios. Under lane closure conditions (Scenario 2), traffic flow efficiency deteriorated markedly compared with normal traffic (Scenario 1), while the proposed inspection approach (Scenario 3) maintained conditions effectively equivalent to the baseline.
Average vehicle speeds decreased by approximately 25% under lane closures, indicating substantial disruption to traffic flow. For gasoline vehicles, the mean speed reduced from 95.2 km/h to 71.44 km/h, accompanied by a 41% increase in average travel time (from 156.57 s to 220.76 s per vehicle). Diesel vehicles exhibited similar trends, with a 40.75% increase in average driving time. These reductions were not observed in Scenario 3, where average speeds and travel times were statistically comparable to those of Scenario 1, suggesting that the mobile inspection method did not impair traffic progression.
Lane closures also produced more unstable driving behavior, characterized by higher idling ratios and increased stop–go activity. The proportion of idling time for gasoline vehicles increased from 11.09% to 36.27%, and for diesel vehicles from 12.60% to 37.05%. Such behavior indicates repetitive acceleration and deceleration cycles, which contribute to energy inefficiency. Scenario 3 showed no significant variation in idling behavior relative to the baseline, confirming that uninterrupted traffic flow can be maintained when inspection activities do not involve lane restrictions.
The degradation in driving stability under Scenario 2 was reflected in fuel and emission performance. Average fuel economy for both gasoline and diesel vehicles declined by approximately 18%. Additional fuel consumption totaled 5044.73 L for gasoline and 3208.63 L for diesel, resulting in CO2 emission increases of 11.86 t and 8.64 t, respectively. In contrast, Scenario 3 incurred only marginal increases in fuel consumption, 16.44 L for gasoline and 14.05 L for diesel, with corresponding CO2 increments of 0.04 t for each fuel type. These results indicate that the mobile inspection method preserves the energy and environmental efficiency of normal operations.
Overall, the findings confirm that lane closures have a pronounced negative impact on traffic stability, fuel efficiency, and emissions. The proposed mobile inspection method effectively eliminates these impacts, achieving performance almost identical to that observed under unconstrained conditions. This demonstrates its potential to support continuous inspection without compromising network efficiency or environmental performance. The quantitative results are summarized in Table 7 and Table 8 and illustrated in Figure 6.

4. Discussion

The simulation results clearly demonstrate that the proposed closure-free inspection method maintains stable traffic conditions and energy efficiency, confirming its superiority over conventional lane-closure-based inspections. Under identical traffic demand and vehicle composition, the choice of inspection method substantially influenced traffic performance and energy outcomes. The observed deterioration in Scenario 2 (lane closure) is attributable to bottleneck formation and congestion propagation, leading to lower average speeds, longer travel times, and extended idling. This behavior is consistent with previous simulation-based analyses that linked unstable flow conditions with elevated energy consumption and emissions [46,47,48]. However, unlike those studies, which focused on network design, traffic policy, or automation scenarios, the present research quantifies these inefficiencies within the context of maintenance operations—as aspect largely unexamined in the current literature.
The closure-free inspection method effectively suppressed these adverse effects, producing results nearly identical to normal operating conditions. The analysis confirms that lane restrictions, rather than the inspection activity itself, are the primary drivers of energy loss. This distinction fills a critical gap in energy-aware maintenance research. While earlier studies, such as those by Boubaker et al. [46] and Zhao et al. [49], demonstrated substantial fuel savings under optimized flow conditions or autonomous-vehicle control, the current findings show that comparable energy benefits can be achieved through the elimination of physical lane closures during routine inspection. Hence, this study extends the established simulation–energy framework to maintenance planning, demonstrating its potential to reduce recurring operational inefficiencies.
From a vehicle-dynamics standpoint, the increase in energy consumption under lane-closure conditions arises from three mechanisms: prolonged base combustion during extended travel times, higher tractive effort from repeated acceleration and deceleration, and energy losses due to idling. These mechanisms, also identified in previous traffic–energy analyses [47,50], operated concurrently in Scenario 2, amplifying overall energy demand. Conversely, the closure-free approach prevented such disturbances, yielding energy performance consistent with the baseline.
Quantitatively, the lane-closure inspection caused an 18% reduction in fuel efficiency across both fuel types. Gasoline vehicles consumed an additional 5044.73 L of fuel and emitted 11.86 t of CO2, while diesel vehicles consumed 3208.63 L and emitted 8.64 t of CO2. These magnitudes align with prior observations that moderate congestion or interrupted flow can reduce fuel economy by 10–20% [47], reinforcing the consistency of the model results. Differences between fuel types reflect their inherent thermochemical properties: diesel fuel’s higher energy density (≈36 MJ/L) and greater engine efficiency partially offset its higher carbon intensity (2.69 kg CO2/L versus 2.35 kg CO2/L for gasoline [51]). Consequently, absolute fuel consumption was lower for diesel, but the emissions impact remained comparable, confirming that lane-induced inefficiencies affect both fuels similarly in relative terms.
Despite its advantages, this study has several limitations that should be acknowledged. The analysis is based on a microscopic traffic–energy simulation that has not been empirically validated against real-world data. Such validation would require intentional lane closures on major expressways, which is infeasible due to the social, legal, and safety costs associated with induced congestion. Accordingly, simulation provides a necessary and widely accepted approach for comparative analysis of this nature [46,47,48,49,50].
In this study, a single-lane closure was modeled to represent the most common and operationally practical form of roadwork management, in which only the minimum number of lanes is closed to reduce traffic disruption. The aim was to isolate and quantify the relative impact of the closure event itself on energy consumption and pollutant emissions, rather than to evaluate the effect of varying closure scales. As such, the single-lane configuration served as the representative condition for controlled comparison. Future research should extend this framework to multi-lane and mixed-road environments, where interaction effects among lanes, traffic compositions, and geometric layouts may generate more complex congestion and energy responses.
The simulations in this study were designed to isolate the causal effects of lane closures on traffic-energy interactions under controlled and conservative freeway conditions; however, the simulation parameters—traffic demand (93,671 vehicles/day), speed limit (110 km/h), flat road (0% slope), and controlled length 2.0 km—represent conservative assumptions that do not fully reflect typical freeway conditions. Real-world environments and driver behavior in many countries are more variable than the deterministic algorithm used in the simulation, and this heterogeneity can amplify congestion shockwaves and energy losses. For instance, under lower-density or rural traffic conditions, the congestion-induced energy penalty would likely be smaller, whereas in urban or mixed-traffic networks with higher heavy-vehicle proportions and frequent lane changes, the propagation of congestion waves would amplify energy loss. Furthermore, more complex road network configurations, including ramps and interchanges, can exacerbate the ripple effects of lane closures beyond those estimated in this study under the specified parameters. The analysis was also limited to representative gasoline and diesel passenger vehicles. While the absolute magnitudes of fuel consumption and emissions would vary for fleets containing heavy-duty or alternative-fuel vehicles, this limitation does not affect the fundamental conclusion that closure-free inspection eliminates the energy and emissions penalties inherent to conventional lane-closure operations.
Nevertheless, the results of this study are significant in that they clearly quantify the external social and environmental costs caused by the existing inspection methods. This indicates that when establishing a road maintenance strategy, it is possible to switch to energy-aware maintenance, one that integrates not only the direct cost of work, but also overhead costs due to traffic congestion, waste of fuel, and environmental pollution. The effectiveness of the proposed method is expected to be maximized in metropolitan areas where traffic congestion and air pollution are severe. Beyond this, the proposed SUMO–FASTSim integration framework is modular and parameter-driven, allowing the same workflow to be extended to other settings by modifying traffic density, geometric gradients, or lane-closure configurations. In practice, it can evaluate policies such as variable speed limits, ramp metering/coordination, detour and incident-response plans, work-zone layouts. Under these adaptations, the framework quantifies how each control strategy reshapes speed profiles, stop-and-go intensity, and idle time, and converts those changes into decision metrics enabling cost–benefit analyses that support investments in maintenance technologies and traffic-flow control aimed at energy and emissions reduction.
Future research will utilize this flexibility to test additional scenarios—including multi-lane closures, mountainous alignments, and mixed-vehicle fleets—to more comprehensively assess the extrapolation boundaries of the proposed method. Furthermore, comparative simulations with multiple control-zone lengths (e.g., 1.6, 2, 4, and 8 km) will be conducted to quantitatively support optimal workzone planning and provide more generalized design guidance. In addition, future extensions of the impact analysis will incorporate detection-related uncertainty into sensitivity assessments to examine how variations in detection accuracy affect the estimated maintenance efficiency, energy consumption, and emissions outcomes.

5. Conclusions

This study was validated based on its ability to operate in a conventional manner and to reduce vehicle consumption and CO2 emissions compared to conventional methods. By integrating machine-based technologies with transportation-based energy analysis, it highlights the potential to increase vehicle suitability and environmental performance. Key conclusions include:
  • The existing lane closure method resulted in an additional fuel consumption of 8253.36 L (5044.73 L for gasoline, 3208.63 L for diesel) and an additional CO2 emission of 20.5 t (11.86 t for gasoline, 8.64 t for diesel) compared to the baseline model. In contrast, the proposed non-closure method virtually eliminated these negative effects, demonstrating that it can reduce energy loss and environmental burden due to inspections.
  • The existing method reduced average driving speed by approximately 25%, increased average driving time by more than 41%, and significantly increased the proportion of unproductive idling time by more than 25 percentage points. In contrast, the proposed method fully preserves traffic flow at steady-state levels, minimizing the social costs of traffic congestion and ensuring the stability of road operations.
  • The proposed method can improve traffic flow by preventing traffic bottlenecks during the damage detection stage, reduce fuel consumption and CO2 emissions due to traffic congestion, and improve overall operational efficiency.
The core contribution of this study lies in quantitatively identifying the indirect social and environmental costs of traffic congestion caused by road maintenance activities and demonstrating the effectiveness of an energy-aware maintenance framework for minimizing these costs. This provides a scientific basis for road management agencies to make comprehensive decisions that consider not only direct factors such as detection performance and operational costs, but also the efficiency and sustainability of the entire system.
Future research should collect data on diverse road and traffic conditions, refine AI detection algorithms, and expand the reliability and applicability of the proposed framework through empirical studies in real-world road environments. Therefore, this study will contribute to a shift in the road maintenance paradigm beyond simple facility management toward one that simultaneously pursues both transportation system efficiency and environmental sustainability.

Author Contributions

Conceptualization, J.Y.; methodology, J.Y. and K.-S.L.; software, J.Y. and J.L.; validation, J.Y.; formal analysis, J.L.; investigation, J.C. and S.A.R.; resources, S.A.R.; data curation J.C.; writing—original draft, J.L.; writing—review and editing. J.C. and J.Y.; visualization, J.L. and S.A.R.; supervision, K.-S.L. and J.Y.; project administration, K.-S.L. and J.Y. All authors have read and agreed to the published version of the manuscript.

Funding

This research was supported by the Industry-Academia-Research Collaboration R&D Program (RS-2025-02221718) funded by the Ministry of SMEs and Startups (MSS, Republic of Korea).

Data Availability Statement

Data set available on request from the authors.

Conflicts of Interest

The authors declare no conflicts of interest.

References

  1. Yaowarat, T.; Suddeepong, A.; Hoy, M.; Horpibulsuk, S.; Takaikaew, T.; Vichitcholchai, N.; Arulrajah, A.; Chinkulkijniwat, A. Improvement of Flexural Strength of Concrete Pavements Using Natural Rubber Latex. Constr. Build. Mater. 2021, 282, 122704. [Google Scholar] [CrossRef]
  2. Pranav, S.; Aggarwal, S.; Yang, E.-H.; Kumar Sarkar, A.; Pratap Singh, A.; Lahoti, M. Alternative Materials for Wearing Course of Concrete Pavements: A Critical Review. Constr. Build. Mater. 2020, 236, 117609. [Google Scholar] [CrossRef]
  3. Raffaniello, A.; Bauer, M.; Safiuddin, M.d.; El-Hakim, M. Traffic and Climate Impacts on Rutting and Thermal Cracking in Flexible and Composite Pavements. Infrastructures 2022, 7, 100. [Google Scholar] [CrossRef]
  4. Yang, J.; Tan, J.; Shen, A.; Li, Y.; Guo, Y.; Zheng, P.; Wang, W.; Lyu, Z. Deterioration of Concrete Pavement Subjected to Coupled Fatigue Loading and Hydrodynamic Scouring. Case Stud. Constr. Mater. 2022, 17, e01579. [Google Scholar] [CrossRef]
  5. Shakhovska, N.; Yakovyna, V.; Mysak, M.; Mitoulis, S.-A.; Argyroudis, S.; Syerov, Y. Real-Time Monitoring of Road Networks for Pavement Damage Detection Based on Preprocessing and Neural Networks. Big Data Cogn. Comput. 2024, 8, 136. [Google Scholar] [CrossRef]
  6. Wasiq, S.; Golroo, A. Probabilistic Pavement Performance Modeling Using Hybrid Markov Chain: A Case Study in Afghanistan. Case Stud. Constr. Mater. 2024, 20, e03023. [Google Scholar] [CrossRef]
  7. Huang, L.-L.; Lin, J.-D.; Huang, W.-H.; Kuo, C.-H.; Chiou, Y.-S.; Huang, M.-Y. Developing Pavement Maintenance Strategies and Implementing Management Systems. Infrastructures 2024, 9, 101. [Google Scholar] [CrossRef]
  8. Sun, C.; Hong, W.; Li, H.; Zhou, C. Lane Optimization of Highway Reconstruction and Expansion Work Zone Considering Carbon Dioxide Emission Factors. Sustainability 2022, 14, 12090. [Google Scholar] [CrossRef]
  9. Rezaei, D.; Aghayan, I.; Hadadi, F. Studying perturbations and wave propagations by lane closures on traffic characteristics based on a dynamic approach. Phys. A Stat. Mech. Its Appl. 2021, 566, 125654. [Google Scholar] [CrossRef]
  10. Ma, M.; Liu, M.; Li, Z. Quantifying the Environmental Impact of Vehicle Emissions Due to Traffic Diversion Plans for Road Infrastructure Construction Projects: A Case Study in China. Sustainability 2023, 15, 7825. [Google Scholar] [CrossRef]
  11. Li, X.; Cui, J.; An, S.; Parsafard, M. Stop-and-Go Traffic Analysis: Theoretical Properties, Environmental Impacts and Oscillation Mitigation. Transp. Res. Part B Methodol. 2014, 70, 319–339. [Google Scholar] [CrossRef]
  12. Vlieger, I.D.; Keukeleere, D.D.; Kretzschmar, J.G. Environmental e!Ects of Driving Behaviour and Congestion Related to Passenger Cars. Atmos. Environ. 2000, 34, 4649–4655. [Google Scholar] [CrossRef]
  13. Zhang, K.; Batterman, S. Air Pollution and Health Risks Due to Vehicle Traffic. Sci. Total Environ. 2013, 450–451, 307–316. [Google Scholar] [CrossRef]
  14. Śmieszek, M.; Kostian, N.; Mateichyk, V.; Mościszewski, J.; Tarandushka, L. Determination of the Model Basis for Assessing the Vehicle Energy Efficiency in Urban Traffic. Energies 2021, 14, 8538. [Google Scholar] [CrossRef]
  15. Santos, G. Road Transport and CO2 Emissions: What Are the Challenges? Transp. Policy 2017, 59, 71–74. [Google Scholar] [CrossRef]
  16. Hosseini, S.H.; Irannezhad, E.; Rashidi, T.H. Exploring the Dynamics of the Transport System Energy Consumption in Australia—A Preliminary Systems Modelling Effort. Case Stud. Transp. Policy 2025, 19, 101334. [Google Scholar] [CrossRef]
  17. Chen, Y.; Li, S.; Li, Y. A Review on Quantitative Energy Consumption Models from Road Transportation. Energies 2023, 17, 2. [Google Scholar] [CrossRef]
  18. Barriera, M.; Pouget, S.; Lebental, B.; Van Rompu, J. In Situ Pavement Monitoring: A Review. Infrastructures 2020, 5, 18. [Google Scholar] [CrossRef]
  19. Croce, A.I.; Musolino, G.; Rindone, C.; Vitetta, A. Traffic and Energy Consumption Modelling of Electric Vehicles: Parameter Updating from Floating and Probe Vehicle Data. Energies 2021, 15, 82. [Google Scholar] [CrossRef]
  20. Oskarbski, J.; Biszko, K. Estimation of Vehicle Energy Consumption at Intersections Using Microscopic Traffic Models. Energies 2022, 16, 233. [Google Scholar] [CrossRef]
  21. Wu, W.; Qurishee, M.A.; Owino, J.; Fomunung, I.; Onyango, M.; Atolagbe, B. Coupling Deep Learning and UAV for Infrastructure Condition Assessment Automation. In Proceedings of the 2018 IEEE International Smart Cities Conference (ISC2), Kansas City, MO, USA, 16–19 September 2018; IEEE: Piscataway, NJ, USA, 2018; pp. 1–7. [Google Scholar]
  22. Dorafshan, S.; Thomas, R.J.; Maguire, M. Comparison of Deep Convolutional Neural Networks and Edge Detectors for Image-Based Crack Detection in Concrete. Constr. Build. Mater. 2018, 186, 1031–1045. [Google Scholar] [CrossRef]
  23. Kumar, P.; Sharma, A.; Kota, S.R. Automatic Multiclass Instance Segmentation of Concrete Damage Using Deep Learning Model. IEEE Access 2021, 9, 90330–90345. [Google Scholar] [CrossRef]
  24. Mandal, V.; Uong, L.; Adu-Gyamfi, Y. Automated Road Crack Detection Using Deep Convolutional Neural Networks. In Proceedings of the 2018 IEEE International Conference on Big Data (Big Data), Seattle, WA, USA, 10–13 December 2018; IEEE: Piscataway, NJ, USA, 2018; pp. 5212–5215. [Google Scholar]
  25. Zeng, J.; Zhong, H. YOLOv8-PD: An Improved Road Damage Detection Algorithm Based on YOLOv8n Model. Sci. Rep. 2024, 14, 12052. [Google Scholar] [CrossRef]
  26. Cheng, J.; Li, Y.; Zhao, Z.; Li, D.; Zhong, L.; Ding, S.; Yan, X. A Hybrid Transformer Framework with Receptive Field Context Aggregation and Learnable Basis Functions for Road Crack Detection. Meas. Sci. Technol. 2025, 36, 085406. [Google Scholar] [CrossRef]
  27. Kim, C.; Butt, A.A.; Harvey, J.T.; Ostovar, M. Environmental Impacts from Traffic on Highway Construction Work Zones: Framework and Simulations. Int. J. Sustain. Transp. 2024, 18, 680–694. [Google Scholar] [CrossRef]
  28. Ali, M.L.; Zhang, Z. The YOLO Framework: A Comprehensive Review of Evolution, Applications, and Benchmarks in Object Detection. Computers 2024, 13, 336. [Google Scholar] [CrossRef]
  29. Lv, Y.; Zhang, C.; Yun, W.; Gao, L.; Wang, H.; Ma, J.; Li, H.; Zhu, D. The Delineation and Grading of Actual Crop Production Units in Modern Smallholder Areas Using RS Data and Mask R-CNN. Remote Sens. 2020, 12, 1074. [Google Scholar] [CrossRef]
  30. Carion, N.; Massa, F.; Synnaeve, G.; Usunier, N.; Kirillov, A.; Zagoruyko, S. End-to-End Object Detection with Transformers. In Computer Vision—ECCV 2020; Springer: Cham, Switzerland, 2020; Volume 2020, pp. 213–229. [Google Scholar] [CrossRef]
  31. Schuhmann, F.; Nguyen, N.A.; Schweizer, J.; Huang, W.-C.; Lienkamp, M. Creating and Validating Hybrid Large-Scale, Multi-Modal Traffic Simulations for Efficient Transport Planning. Smart Cities 2024, 8, 2. [Google Scholar] [CrossRef]
  32. Brzozowska, A.; Korczak, J.; Kalinichenko, A.; Bubel, D.; Sukiennik, K.; Sikora, D.; Stebila, J. Analysis of Pollutant Emissions on City Arteries—Aspects of Transport Management. Energies 2021, 14, 3007. [Google Scholar] [CrossRef]
  33. Torreglosa, J.P.; Garcia-Triviño, P.; Vera, D.; López-García, D.A. Analyzing the Improvements of Energy Management Systems for Hybrid Electric Vehicles Using a Systematic Literature Review: How Far Are These Controls from Rule-Based Controls Used in Commercial Vehicles? Appl. Sci. 2020, 10, 8744. [Google Scholar] [CrossRef]
  34. Ahn, K.; Rakha, H.A. Simple Energy Model for Hydrogen Fuel Cell Vehicles: Model Development and Testing. Energies 2024, 17, 6360. [Google Scholar] [CrossRef]
  35. Ministry of Land. Available online: https://www.molit.go.kr/USR/NEWS/m_71/dtl.jsp?lcmspage=81&id=95089729 (accessed on 16 August 2025).
  36. Korea Expressway Corporation. Available online: https://data.ex.co.kr/portal/traffic/trafficVds (accessed on 16 August 2025).
  37. Korea Expressway Corporation. Available online: https://data.ex.co.kr/visual/cartype (accessed on 16 August 2025).
  38. Ministry of Land. Available online: https://www.molit.go.kr/USR/NEWS/m_71/dtl.jsp?lcmspage=1&id=95090619 (accessed on 16 August 2025).
  39. He, Y.; Xiang, D.; Wang, D. Traffic Safety Evaluation of Emerging Mixed Traffic Flow at Freeway Merging Area Considering Driving Behavior. Sci. Rep. 2025, 15, 10686. [Google Scholar] [CrossRef]
  40. Ministry of Land. Available online: https://www.molit.go.kr/USR/policyData/m_34681/dtl.jsp?search=&srch_dept_nm=&srch_dept_id=&srch_usr_nm=&srch_usr_titl=Y&srch_usr_ctnt=&search_regdate_s=&search_regdate_e=&psize=10&s_category=&p_category=&lcmspage=1&id=4772 (accessed on 16 August 2025).
  41. South Dakota Department of Transportation. Available online: https://dot.sd.gov/media/b6e80d7c/Chapter%2015%20-%20Work%20Zone%20Traffic%20Control.pdf (accessed on 16 August 2025).
  42. United Nations Economic Commission for Europe. Available online: https://unece.org/info/publications/pub/365354 (accessed on 16 August 2025).
  43. Manitoba Infrastructure. Available online: https://www.gov.mb.ca/mti/contracts/pdf/associated_work_zone_policies.pdf (accessed on 16 August 2025).
  44. Hu, A.; Huang, R.; Yang, Y.; El-Dimeery, I.; Easa, S.M. Length Requirements for Urban Expressway Work Zones’ Warning and Transition Areas Based on Driving Safety and Comfort. Systems 2025, 13, 525. [Google Scholar] [CrossRef]
  45. Mofolasayo, A. Assessing and Managing the Direct and Indirect Emissions from Electric and Fossil-Powered Vehicles. Sustainability 2023, 15, 1138. [Google Scholar] [CrossRef]
  46. Boubaker, S.; Rehimi, F.; Kalboussi, A. Impact of Intersection Type and a Vehicular Fleet’s Hybridization Level on Energy Consumption and Emissions. J. Traffic Transp. Eng. 2016, 3, 253–261. [Google Scholar] [CrossRef]
  47. Chen, H.; Wu, F.; Qiu, T.Z. Achieving Energy-Efficient and Travel Time-Optimized Trajectory and Signal Control for CAEVs. IEEE Trans. Intell. Transport. Syst. 2024, 25, 10246–10259. [Google Scholar] [CrossRef]
  48. Ansari Esfeh, M.; Kattan, L. A New Design and Evaluation Approach for Managed Lanes from a Sustainability Perspective. Int. J. Sustain. Transp. 2020, 14, 35–55. [Google Scholar] [CrossRef]
  49. Zhao, B.; Lin, Y.; Hao, H.; Yao, Z. Fuel Consumption and Traffic Emissions Evaluation of Mixed Traffic Flow with Connected Automated Vehicles at Multiple Traffic Scenarios. J. Adv. Transp. 2022, 2022, 1–14. [Google Scholar] [CrossRef]
  50. Fu, Y.; Chen, Y. An Integrated Traffic and Powertrain Simulation Framework to Evaluate Fuel Efficiency Impacts of Fully and Partial Vehicle Automation. Sustainability 2025, 17, 5527. [Google Scholar] [CrossRef]
  51. US Department of Energy, Office of Energy Efficiency & Renewable Energy, Alternative Fuels Data Center. Fuel Properties Comparison. Available online: https://afdc.energy.gov/fuels/properties (accessed on 18 October 2025).
Figure 1. Conceptual framework: (a) capturing road pavement condition, (b) deep learning algorithm for damage detection, and (c) detection results marked with a mask (green), (d) Test 3 detection results.
Figure 1. Conceptual framework: (a) capturing road pavement condition, (b) deep learning algorithm for damage detection, and (c) detection results marked with a mask (green), (d) Test 3 detection results.
Energies 18 05848 g001
Figure 2. Main framework of the simulation analysis.
Figure 2. Main framework of the simulation analysis.
Energies 18 05848 g002
Figure 3. (a) Satellite image of Singar JC to Suwon Singar IC, (b) Entire road network including the study section, (c) Main line section under analysis (4.2 km).
Figure 3. (a) Satellite image of Singar JC to Suwon Singar IC, (b) Entire road network including the study section, (c) Main line section under analysis (4.2 km).
Energies 18 05848 g003
Figure 4. (a) Setting the parameters for the general road, (b) Setting the parameters for the control section.
Figure 4. (a) Setting the parameters for the general road, (b) Setting the parameters for the control section.
Energies 18 05848 g004
Figure 5. (a) General road settings (b) Setting the control section (c) Start point of the controlled segment, (d) End point of the controlled segment.
Figure 5. (a) General road settings (b) Setting the control section (c) Start point of the controlled segment, (d) End point of the controlled segment.
Energies 18 05848 g005
Figure 6. Comprehensive analysis of simulation results.
Figure 6. Comprehensive analysis of simulation results.
Energies 18 05848 g006
Table 1. Summary of literature review.
Table 1. Summary of literature review.
Author
(Year)
PurposeMethodsResultsLimitation
Wu et al. [21]Automated damage classification and health assessment using drone imageryCombining UAVs and CNNsAchieving efficient crack and spall detectionLimited by UAV image resolution and data quality
Dorafshan et al. [22]Comparison of DCNN and edge detectors for crack detectionDCNNAchieves higher accuracy (86%) and reduces noise compared to traditional edge detectorsRequires large training data; computationally expensive
Kumar et al. [23]Multi-class instance segmentation of concrete damageMask R-CNNImproved detection accuracy at the pixel levelHigh computational cost; needs extensive training data
Mandal et al. [24]Automatic road crack detection using YOLOYOLOAchieving high accuracy in road crack classificationSensitive to image quality/lighting; poor on small objects
Zeng & Zhong [25]Lightening the YOLO model and improving real-time detection performanceYOLOv8-PD (BOT, LSKA)mAP improved by 1.4% while reducing computational load by 25.7%Low accuracy (53.1%); frequent misses of small/clustered potholes
Cheng et al. [26]Overcoming microcrack detection limitations through a hybrid Transformer FrameworkRC-DETRmAP0.5 improved by 11.5% and computational complexity decreased by 26.5%Unreliable under extreme conditions; difficulty with hidden cracks
Table 2. Performance metrics of DETR.
Table 2. Performance metrics of DETR.
DETRTest 1Test 2Test 3
Test data size1005470
Accuracy636549
Precision788750
Recall506135
F1-score0.610.720.41
Table 3. List of source data for simulation.
Table 3. List of source data for simulation.
CategoryData Utilized
Simulation section selectionDaily traffic volume data on highways [35]
Hourly traffic volumeVDS data [36]
Vehicle type compositionTollgate traffic volume by vehicle type [37]
Powertrain compositionRegistered vehicles by fuel type [38]
Table 4. Highway control section regulations.
Table 4. Highway control section regulations.
CountryRegulation
Korea/Ministry of Land, Infrastructure and Transport [40]Minimum 1.6 km
USA/South Dakota DoT [41]Maximum 8 km or less, within 1 day short-term work or high productivity work: 16 km
EU/United Nations Economic Commission for Europe [42]Maximum 10 km, within 100 km, Maximum 20 km
Canada/Manitoba Infrastructure [43]Maximum 10 km
Table 5. Vehicle properties by fuel type.
Table 5. Vehicle properties by fuel type.
ParameterGasolineDiesel
Curb weight (kg)14001390
Engine peak power (W)120110
Drag coefficient0.300.275
Frontal area (m2)2.6112.210
Rolling-resistance coef0.0120.009
Wheel radius (m)0.3360.316
Transmnission efficiency0.920.98
Table 6. Controlled assumptions for FASTSim simulation.
Table 6. Controlled assumptions for FASTSim simulation.
ConditionAppliedDescription
Cold start effectExcludeAssuming a normal driving state, the effect of increasing fuel consumption during cold start is excluded.
Regenerative brakingDisabledSince the analysis target is an internal combustion engine, the regenerative braking function is deactivated.
Idle stop/start systemDisabledControl to reflect highway conditions and to exclude performance differences caused by differences between vehicle options.
Air-conditioningExcludedControl to keep the detailed conditions of each vehicle the same.
Table 7. Gasoline vehicle analysis results.
Table 7. Gasoline vehicle analysis results.
MetricsScenario 1Scenario 2Scenario 3
Average speed (km/h)95.271.4495.05
Average travel time (s/veh)156.57220.76156.58
Average fuel economy (km/L)7.125.837.11
Idling time (%)11.0936.2711.10
Total fuel (L)22,865.4127,910.1422,881.85
Total distance (km)162,698.68162,698.68162,698.68
CO2 emissions (t)53.7365.5953.77
Total vehicles38,04538,04538,045
Table 8. Diesel vehicle analysis results.
Table 8. Diesel vehicle analysis results.
MetricsScenario 1Scenario 2Scenario 3
Avg speed (km/h)95.0371.3094.95
Avg travel time (s/veh)157.41221.56156.97
Avg fuel economy (km/L)8.216.738.20
Idling time (%)12.6037.0512.47
Total fuel (L)14,518.2317,726.8614,532.28
Total distance (km)119,219.7119,219.7119,219.7
CO2 emissions (t)39.0947.6939.09
Total vehicles27,87827,87827,878
Disclaimer/Publisher’s Note: The statements, opinions and data contained in all publications are solely those of the individual author(s) and contributor(s) and not of MDPI and/or the editor(s). MDPI and/or the editor(s) disclaim responsibility for any injury to people or property resulting from any ideas, methods, instructions or products referred to in the content.

Share and Cite

MDPI and ACS Style

Lee, J.; Cho, J.; Rodrigazo, S.A.; Lee, K.-S.; Yeon, J. Impact Analysis of Energy and Emissions in Lane-Closure-Free Road Inspections. Energies 2025, 18, 5848. https://doi.org/10.3390/en18215848

AMA Style

Lee J, Cho J, Rodrigazo SA, Lee K-S, Yeon J. Impact Analysis of Energy and Emissions in Lane-Closure-Free Road Inspections. Energies. 2025; 18(21):5848. https://doi.org/10.3390/en18215848

Chicago/Turabian Style

Lee, Junseo, Junhwi Cho, Shanelle Aira Rodrigazo, Kyung-Sun Lee, and Jaeheum Yeon. 2025. "Impact Analysis of Energy and Emissions in Lane-Closure-Free Road Inspections" Energies 18, no. 21: 5848. https://doi.org/10.3390/en18215848

APA Style

Lee, J., Cho, J., Rodrigazo, S. A., Lee, K.-S., & Yeon, J. (2025). Impact Analysis of Energy and Emissions in Lane-Closure-Free Road Inspections. Energies, 18(21), 5848. https://doi.org/10.3390/en18215848

Note that from the first issue of 2016, this journal uses article numbers instead of page numbers. See further details here.

Article Metrics

Back to TopTop