Energy-Storage Performance of High-Entropy (NaBiBa)0.205 (SrCa)0.1925TiO3-La(Mg0.5Zr0.5)O3 Ceramic Under Moderate Electric Fields
Abstract
1. Introduction
2. Materials and Methods
2.1. High Entropy Caculation
2.2. Experimental
3. Results and Discussion
3.1. XRD
3.2. SEM
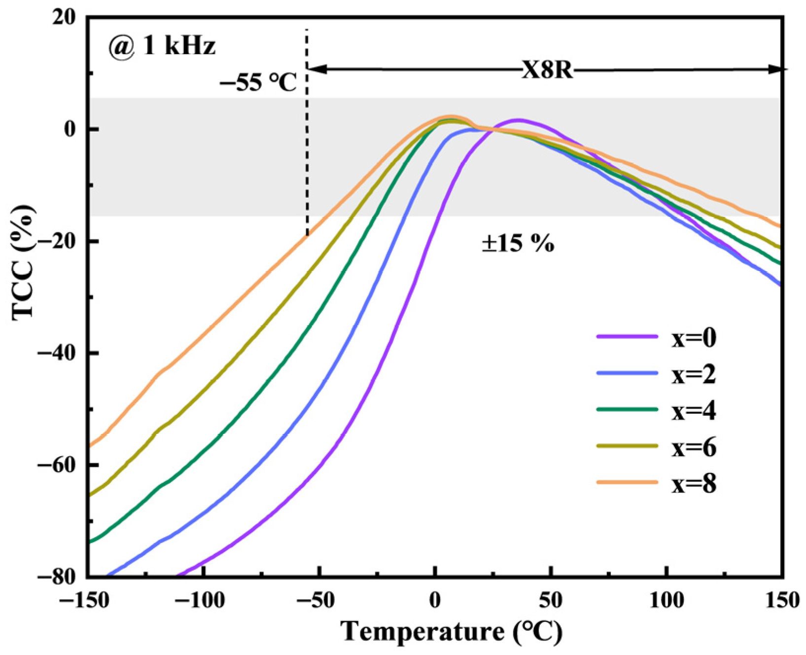
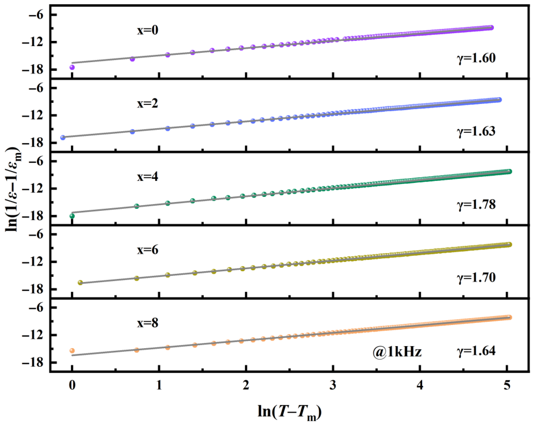
3.3. Dielectric Properties
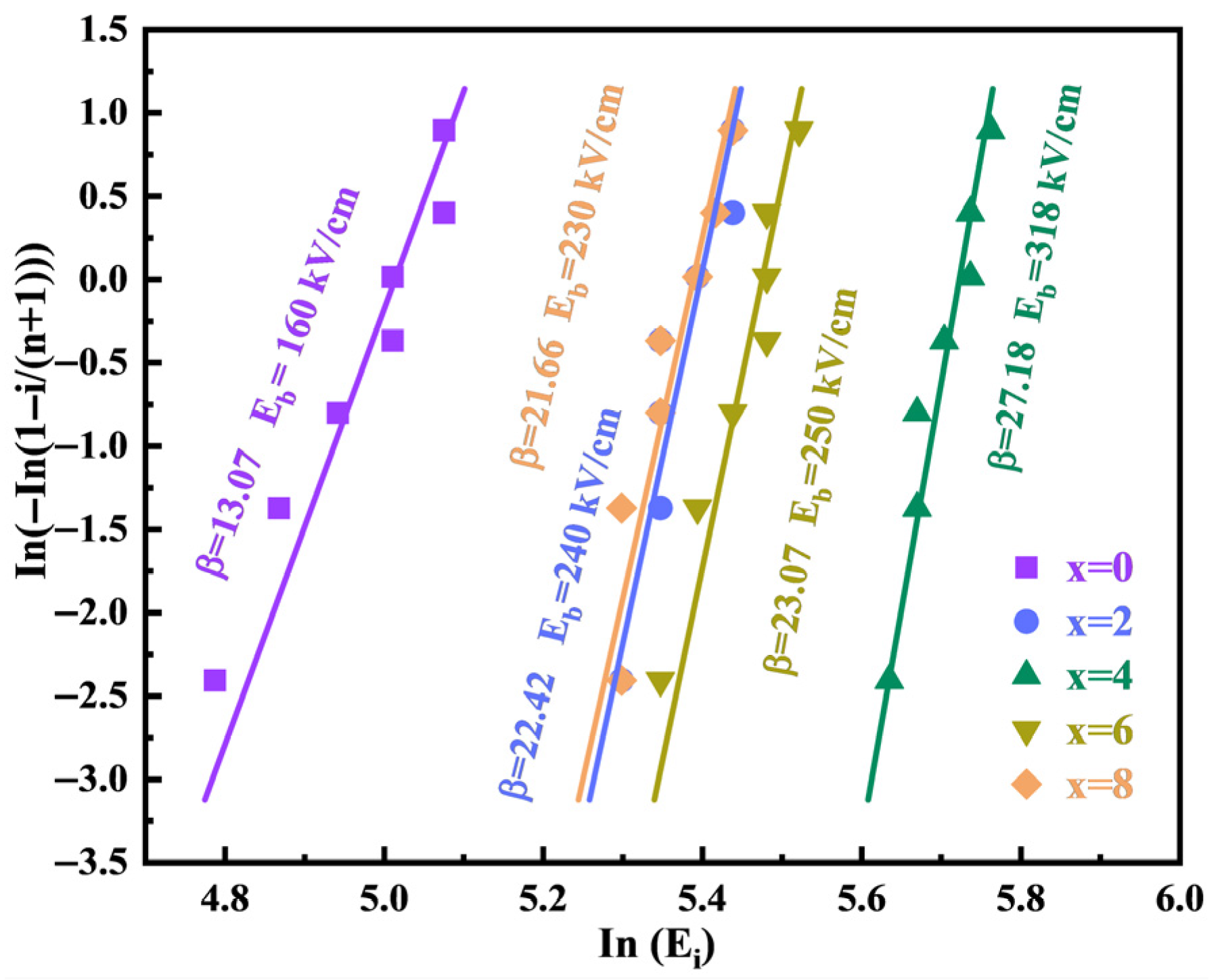
3.4. Energy-Storage Properties
4. Conclusions
Author Contributions
Funding
Data Availability Statement
Conflicts of Interest
References
- Zhang, L.; Chen, Z.; Luo, G.; Ai, F.; Luo, N.N. NaNbO3-based short-range antiferroelectric ceramics with ultrahigh energy storage performance. J. Eur. Ceram. Soc. 2023, 43, 6077–6083. [Google Scholar] [CrossRef]
- Liu, Z.; Lu, T.; Ye, J.; Wang, G.; Dong, X.L.; Withers, R.; Liu, Y. Antiferroelectrics for Energy Storage Applications: A Review. Adv. Mater. 2018, 3, 1800111. [Google Scholar] [CrossRef]
- Yang, L.T.; Kong, X.; Cheng, Z.X.; Zhang, H.Y.; Wang, F.; Li, B.; Li, J.F.; Li, Y.L.; Chen, L.Q.; Zhang, S.J. Ultra-high energy storage performance with mitigated polarization saturation in lead-free relaxors. J. Mater. Chem. A 2019, 7, 8573–8580. [Google Scholar] [CrossRef]
- Zhang, M.; Lan, S.; Yang, B.B.; Pan, H.; Liu, Y.Q.; Zhang, Q.H.; Qi, J.L.; Chen, D.; Su, H.; Yi, D.; et al. Ultrahigh energy storage in high-entropy ceramic capacitors with polymorphic relaxor phase. Science 2024, 384, 185–189. [Google Scholar] [CrossRef] [PubMed]
- Fu, S.; Jia, Z.J.; Wan, D.T.; Bao, Y.W. Synthesis, microstructure and thermophysical properties of (La0.2Y0.2Sm0.2Eu0.2Gd0.2)2Zr2O7 high-entropy oxide ceramic. Ceram. Inter. 2024, 50, 5510–5515. [Google Scholar] [CrossRef]
- Chen, H.; Fu, J.; Zhang, P.; Peng, H.; Abney, C.W.; Jie, K.; Liu, X.; Chi, M.; Dai, S. Entropy-stabilized metal oxide solid solutions as CO oxidation catalysts with high-temperature stability. J. Mater. Chem. A 2018, 6, 11129–11133. [Google Scholar] [CrossRef]
- Peng, H.; Wu, T.; Fu, Z.; Wang, D.; Hao, Y.; Xu, F.; Wang, G.; Chu, J. High-entropy relaxor ferroelectric ceramics for ultrahigh energy storage. Nat. Commun. 2024, 15, 11187193. [Google Scholar] [CrossRef]
- Yang, B.; Zhang, Y.; Pan, H.; Si, W.; Zhang, Q.; Shen, Z.; Yu, Y.; Lan, S.; Meng, F.; Liu, Y.; et al. High-entropy enhanced capacitive energy storage. Nat. Mater. 2022, 21, 1074–1080. [Google Scholar] [CrossRef]
- Wang, T.; Li, Y.J.; Zhang, X.F.; Zhang, D.D.; Gong, W.P. Simultaneous excellent energy storage density and efficiency under applied low electric field for high entropy relaxor ferroelectric ceramics. Mater Res Bull. 2023, 157, 112024. [Google Scholar] [CrossRef]
- Ning, Y.; Pu, Y.; Chen, Z.; Zhang, L.; Wu, C.; Zhang, X.; Wang, B.; Zhang, J. Novel high-entropy relaxors with ultrahigh energy-storage efficiency and density. Chem. Eng. J. 2023, 476, 146673. [Google Scholar] [CrossRef]
- Wen, Z.; Tang, Z.; Liu, Y.; Zhuang, L.; Yu, H.; Chu, Y. Ultrastrong and High Thermal Insulating Porous High-Entropy Ceramics up to 2000 °C. Adv. Mater. 2024, 36, 2311870. [Google Scholar] [CrossRef] [PubMed]
- Du, C.H.; Yu, T.T.; Sui, X.D.; Zhang, Z.C.; Cai, R.X.; Zhang, L.; Feng, Y.; Feng, M.; Zhou, F.; Wang, D. Macro-Superlubricity Induced by Tribocatalysis of High-Entropy Ceramics. Adv. Mater. 2025, 37, 2413781. [Google Scholar] [CrossRef] [PubMed]
- Gao, C.; Zhu, J.P.; Ye, S.B.; Liu, Y.W.; Zhang, Y.; Zhao, X.; Wu, J.M. Novel high-entropy perovskite titanate: A potential thermal protective material with improved thermophysical properties. J. Eur. Ceram. Soc. 2025, 45, 116878. [Google Scholar] [CrossRef]
- Wang, J.; Wang, W.; Liu, X.N.; Zhang, T.; Li, D.; Zhou, Y.C. High-entropy (YErYbLu)2SiO5 ceramic aerogel: A potential ceramic insulator with low thermal conductivity. Ceram. Inter. 2024, 50, 1795–1806. [Google Scholar] [CrossRef]
- Kumar, R.; Singh, I.; Meena, R.; Asokan, K.; Birajdar, B.; Patnaik, S. Effect of La-doping on dielectric properties and energy storage density of lead-free Ba(Ti0.95Sn0.05)O3 ceramics. Mater. Res. Bull. 2020, 123, 110694. [Google Scholar] [CrossRef]
- Zhu, X.P.; Gao, Y.F.; Shi, P.; Kang, R.R.; Kang, F.; Qiao, W.J.; Zhao, J.Y.; Wang, Z.; Yuan, Y.; Lou, X.J. Ultrahigh energy storage density in (Bi0.5Na0.5)0.65Sr0.35TiO3-based lead-free relaxor ceramics with excellent temperature stability. Nano Energy 2022, 98, 107276. [Google Scholar] [CrossRef]
- Ren, P.; Wang, Q.; Li, S.; Zhao, G. Energy storage density and tunable dielectric properties of BaTi0.85Sn0.15O3/MgO composite ceramics prepared by spark plasma sintering. J. Eur. Ceram. Soc. 2017, 37, 1501–1507. [Google Scholar] [CrossRef]
- Li, H.Y.; Zhou, Y.; Liang, Z.H.; Zhang, T.; Wang, J.; Yang, Z. High-Entropy Oxides: Advanced Research on Electrical Properties. Coatings 2021, 11, 628. [Google Scholar] [CrossRef]
- Salian, A.; Mandal, S. Entropy stabilized multicomponent oxides with diverse functionality-a review. Crit. Rev. Solid. State 2022, 47, 142–193. [Google Scholar] [CrossRef]
- Xiang, H.M.; Xing, Y.; Dai, F.Z.; Zhang, L.; Zhang, B.; Zhang, J.X.; Zhang, X.; Zhou, Y.C. High-entropy ceramics: Present status, challenges, and a look forward. J. Adv. Ceram. 2021, 10, 385–441. [Google Scholar] [CrossRef]
- Fan, L.C.; Li, Y.X.; Li, J.; Xiang, Q.; Wang, X.; Wen, T.; Zhong, Z.; Liao, Y. High entropy dielectrics. J. Adv. Dielectr. 2023, 13, 2350014. [Google Scholar] [CrossRef]
- Li, X.Q.; Cai, W.; Chen, D.K.; Du, M.C.; Gao, R.L.; Chen, G.; Deng, X.L.; Fu, C.L. Dielectric and energy storage performances of Na0.7Bi0.1NbO3 relaxor ferroelectric ceramics with submicron grain size fabricated via cold sintering. J. Mater. Res. Bul. 2024, 180, 113018. [Google Scholar] [CrossRef]
- Yang, H.; Cai, Z.M.; Zhu, C.Q.; Feng, P.Z.; Wang, X.H. Ultra-high energy storage performance in BNT-based ferroelectric ceramics with simultaneously enhanced polarization and breakdown strength. ACS Sustainable Chem. Eng. 2022, 10, 9176–9183. [Google Scholar] [CrossRef]
- Zhang, Y.Y.; Wang, D.; Li, Q.; Liu, H.; Sun, S.K.; Cui, Z.; Li, L.L.; Li, C.C.; Li, J.; Li, W. Medium temperature sintered BaTiO3-based ceramics for X8R capacitors. J. Materiomics 2025, 11, 123–130. [Google Scholar] [CrossRef]
- Zhu, W.; Song, F.S.; Shen, Z.Y.; Luo, W.Q.; Wang, Z.M.; Li, Y.M. KNN+Nb2O5 co-modified BNBST-based relaxor ferroelectric ceramics for X8R energy storage capacitors. Ceram. Int. 2023, 49, 38196–38203. [Google Scholar] [CrossRef]
- Lan, J.; Li, H.; Zhang, G.; Lin, F.; Liu, G. Mixed Three-Parameter Weibull Breakdown Distribution Model and Breakdown Mechanism of Metalized Films. In Proceedings of the 2023 4th International Symposium on Insulation and Discharge Computation for Power Equipment (IDCOMPU2023), Wuhan, China, 26–28 May 2023; Springer: Singapore, 2024; Volume 1101, pp. 1–12. [Google Scholar]
- Niu, Y.W.; Zhang, F.; Zhang, X.; Zhang, Z.Q.; Bai, Y.; Wang, Z.J. Enhanced energy storage properties of (Bi0.2Na0.2Ca0.2Ba0.2Sr0.2) (Ti1-xZrx)O3 high entropy ceramics by Zr doping at B-site. Ceram. Int. 2024, 50, 230–237. [Google Scholar] [CrossRef]
- Zhu, X.; Li, Q.; Liu, Q.; Ke, S.; Zhang, Y.; Wu, J.; Xiao, D.; Zhu, J. Excellent energy-storage performance in Bi0.5Na0.5TiO3-based lead-free high-entropy relaxor ferroelectrics via B-site modification. J. Adv. Ceram. 2024, 13, 9220859. [Google Scholar]
- Veerapandiyan, V.; Benes, F.; Gindel, T.; Deluca, M. Strategies to improve the energy-storage properties of perovskite lead-free relaxor ferroelectrics: A review. Materials 2020, 13, 5742. [Google Scholar] [CrossRef]
- Yang, W.; Zeng, H.R.; Yang, F.; Lin, J.F.; Ge, G.L.; Cao, Y.; Du, W.T.; Zhao, K.Y.; Li, G.R.; Xie, H.J.; et al. Superior energy storage properties in NaNbO3-based ceramics via synergistically optimizing domain and band structures. J. Mater. Chem. A 2022, 10, 11613–11624. [Google Scholar] [CrossRef]
- Deng, T.; Liu, Z.; Hu, T.; Dai, K.; Hu, Z.; Wang, G. Excellent energy-storage performance in Bi0.5Na0.5TiO3-based lead-free composite ceramics via introducing pyrochlore phase Sm2Ti2O7. Chem. Eng. J. 2023, 465, 142992. [Google Scholar] [CrossRef]
- Ning, Y.; Pu, Y.; Wu, C.; Zhou, S.; Zhang, L.; Zhang, J.; Zhang, X.; Shang, Y. Enhanced capacitive energy-storage and dielectric temperature stability of A-site disordered high-entropy perovskite oxides. J. Mater. Sci. Technol. 2023, 145, 66–73. [Google Scholar] [CrossRef]
- Ning, Y.; Pu, Y.; Zhang, Q.; Zhou, S.; Wu, C.; Zhang, L.; Shi, Y.; Sun, Z. Achieving high energy-storage properties in perovskite oxide via high-entropy design. Ceram. Int. 2023, 49, 12214–12223. [Google Scholar] [CrossRef]
- Ning, Y.; Pu, Y.; Zhang, X.; Chen, Z.; Wu, C.; Zhang, L.; Wang, B.; Li, X. Remarkable energy-storage density together with efficiency of above 92% in high-entropy ferroelectric ceramics. Mater. Today Phys. 2024, 43, 101418. [Google Scholar] [CrossRef]
- Ning, Y.; Pu, Y.; Zhang, Q.; Chen, Z.; Zhang, J.; Ouyang, T.; Shang, J.; Zhang, L.; Wang, B.; Li, X. Improved energy-storage capacity of high-entropy ferroelectric perovskite ceramic via flash sintering. J. Phys. D Appl. Phys. 2024, 618, 235205. [Google Scholar] [CrossRef]
- Niu, Y.; Zhang, F.; Zhang, Z.; Li, M.; Liu, J.; Wang, Z. Improving energy-storage performance of (Bi0.5Na0.5)0.94Ba0.06TiO3-based high-entropy ceramics by A/B-site co-regulation. Ceram. Int. 2025, 51, 25182–25191. [Google Scholar] [CrossRef]















| Content | Cell Parameter (Å) | V (Å3) | Rwp (%) | Rp (%) | χ2 (%) |
|---|---|---|---|---|---|
| x = 0 | a = b = c = 3.914799 | 59.997 | 8.05 | 6.23 | 1.16 |
| x = 2 | a = b = c = 3.917804 | 60.135 | 8.32 | 6.24 | 1.43 |
| x = 4 | a = b = c = 3.920143 | 60.243 | 8.45 | 6.32 | 1.44 |
| x = 6 | a = b = c = 3.922619 | 60.357 | 8.78 | 6.61 | 1.47 |
| x = 8 | a = b = c = 3.924548 | 60.446 | 7.28 | 5.60 | 1.26 |
| Element | Line | Apparent Conc. (wt%) | k-Ratio | Wt% ± 1σ | At% | Standard Used |
|---|---|---|---|---|---|---|
| O | Kα | 29.27 | 0.09849 | 18.11 ± 0.25 | 50.68 | SiO2 |
| Na | Kα | 5.46 | 0.02302 | 2.58 ± 0.06 | 5.03 | Albite |
| Mg | Kα | 0.50 | 0.00334 | 0.31 ± 0.04 | 0.57 | MgO |
| Ca | Kα | 7.35 | 0.06566 | 4.27 ± 0.09 | 4.77 | Wollastonite |
| Ti | Kα | 33.69 | 0.33690 | 23.76 ± 0.31 | 22.21 | Ti metal |
| Sr | Lα | 10.85 | 0.09546 | 8.24 ± 0.15 | 4.21 | SrF2 |
| Zr | Lα | 6.62 | 0.06621 | 5.60 ± 0.17 | 2.75 | Zr metal |
| Ba | Lα | 16.60 | 0.15547 | 14.16 ± 0.56 | 4.62 | BaF2 |
| La | Lα | 2.76 | 0.02473 | 2.24 ± 0.56 | 0.72 | LaB6 |
| Bi | Mα | 21.96 | 0.21958 | 20.72 ± 0.32 | 4.44 | Bi metal |
| Total | 100.00 | 100.00 |
| Year | Composition | E (kV/cm) | Wrec (J/cm3) | η (%) | Ref. |
|---|---|---|---|---|---|
| 2023 | (BaNaBi)0.205(SrCa)0.1925Ti0.92Nb0.08O3 | 340 | 7.3 | 94.3 | [10] |
| 2023 | (Na0.2Bi0.2Ba0.2Sr0.2Ca0.2)(Ti0.94Zr0.06)O3 | 550 | 6.6 | 93.5 | [31] |
| 2023 | 0.8(Na0.2Bi0.2Ba0.2Sr0.2Ca0.2)TiO3-0.2NaNbO3 | 310 | 3.51 | 77.7 | [32] |
| 2023 | (NaBiBa)0.205(SrCa)0.1925TiO3 | 335 | 3.86 | 75 | [33] |
| 2024 | 0.95(NaBiBaSrCa)0.2TiO3-0.05SmTaO4 | 445 | 5.6 | 92.2 | [34] |
| 2024 | (Na0.2Bi0.2Ba0.2Sr0.2Ca0.2)TiO3 | 320 | 5.8 | 85 | [35] |
| 2025 | [((Bi0.5Na0.5)0.94Ba0.06)0.75(Ca0.5Sr0.5)0.25]0.955Nd0.03Ti0.9(Zr1/3Hf1/3Sn1/3)0.10O3 | 597 | 6.84 | 82.9 | [36] |
| This work | 0.96(NaBiBa)0.205(SrCa)0.1925TiO3-0.04La(Zr0.5Mg0.5)O3 | 318 | 4.46 | 94.55 |
Disclaimer/Publisher’s Note: The statements, opinions and data contained in all publications are solely those of the individual author(s) and contributor(s) and not of MDPI and/or the editor(s). MDPI and/or the editor(s) disclaim responsibility for any injury to people or property resulting from any ideas, methods, instructions or products referred to in the content. |
© 2025 by the authors. Licensee MDPI, Basel, Switzerland. This article is an open access article distributed under the terms and conditions of the Creative Commons Attribution (CC BY) license (https://creativecommons.org/licenses/by/4.0/).
Share and Cite
Shi, P.; Li, H.; Zhou, Y.; Wang, Z.; Wang, Y. Energy-Storage Performance of High-Entropy (NaBiBa)0.205 (SrCa)0.1925TiO3-La(Mg0.5Zr0.5)O3 Ceramic Under Moderate Electric Fields. Energies 2025, 18, 5838. https://doi.org/10.3390/en18215838
Shi P, Li H, Zhou Y, Wang Z, Wang Y. Energy-Storage Performance of High-Entropy (NaBiBa)0.205 (SrCa)0.1925TiO3-La(Mg0.5Zr0.5)O3 Ceramic Under Moderate Electric Fields. Energies. 2025; 18(21):5838. https://doi.org/10.3390/en18215838
Chicago/Turabian StyleShi, Peng, Heng Li, Yu Zhou, Ziying Wang, and Yiming Wang. 2025. "Energy-Storage Performance of High-Entropy (NaBiBa)0.205 (SrCa)0.1925TiO3-La(Mg0.5Zr0.5)O3 Ceramic Under Moderate Electric Fields" Energies 18, no. 21: 5838. https://doi.org/10.3390/en18215838
APA StyleShi, P., Li, H., Zhou, Y., Wang, Z., & Wang, Y. (2025). Energy-Storage Performance of High-Entropy (NaBiBa)0.205 (SrCa)0.1925TiO3-La(Mg0.5Zr0.5)O3 Ceramic Under Moderate Electric Fields. Energies, 18(21), 5838. https://doi.org/10.3390/en18215838

