Agar-Based Composites in Sustainable Energy Storage: A Comprehensive Review
Abstract
1. Introduction
2. Fundamentals of Agar
3. Role of Agar in Energy Storage Applications
3.1. Film-Forming and Gelation Behavior
3.2. Ionic Conductivity and Electrolyte Compatibility
3.3. Mechanical and Thermal Stability
3.4. Role as Matrix or Binder in Composite Electrodes
3.5. Synergistic Effects with Conducting Constituents
4. Agar vs. Other Biopolymers in Energy Storage Applications
5. Agar-Based Composites
5.1. Types of Agar-Based Composites
5.1.1. Agar–Polymer Composites
5.1.2. Agar–Metal Composites
5.1.3. Agar–Carbon Composites
| Composite | Carbon Type | Synthesis | Properties | Application in Energy Storage | Ref. |
|---|---|---|---|---|---|
| Agar-N-doped porous carbon | N-doped porous carbon | Sol–gel process followed by freeze-drying and activation with KHCO3 | Ultra-high SSA of 3184 m2/g; hierarchical porous structure; specific capacitance of 443.0 F/g at 0.5 A/g in 6 M KOH; excellent rate capability (255 F/g at 50 A/g) | Used in supercapacitors; achieved energy density of 35.5 Wh/kg with a capacitance retention of 99.7% after 20,000 cycles | [172] |
| Nitrogen-doped porous carbon (NPC-750), coupled with LiFePO4 cathode | N-doped porous carbon | One-pot pyrolysis of agar at 750 °C | High surface area (2914 m2/g); N content (2.84%); excellent capacity and cycle life; fast charging | Anode material for lithium-ion batteries | [173] |
| Water-soluble graphene (WSG)-incorporated agar gel-electrolyte | Graphene | - | Ionic conductivity: 8.62 × 10−2 S cm−1; OCV: 1.7–1.6 V; high discharge capacity (1010.60 mAh g−1); high energy density (1406.09 mWh g−1) | Electrolyte for magnesium–air batteries | [174] |
| Agar/graphene conductive organoge | Graphene | - | Excellent adhesion to various substrates; rapid self-healing via hydrogen bonding; wearable | Wearable electronic devices for motion and physiological activity detection | [175] |
| Agarose/GO | GO | - | Ionic conductivity 73.8 mS cm−1; specific capacitance (791.67 mF cm−2) | Solid-state supercapacitor | [176] |
6. Fabrication Routes
6.1. Solvent Casting
6.2. Electrospinning Technique
6.3. Chemical and Physical Crosslinking
6.4. Freeze-Drying
6.5. 3D Printing
6.6. EMR-Assisted Routes
7. Applications in Energy Storage Devices
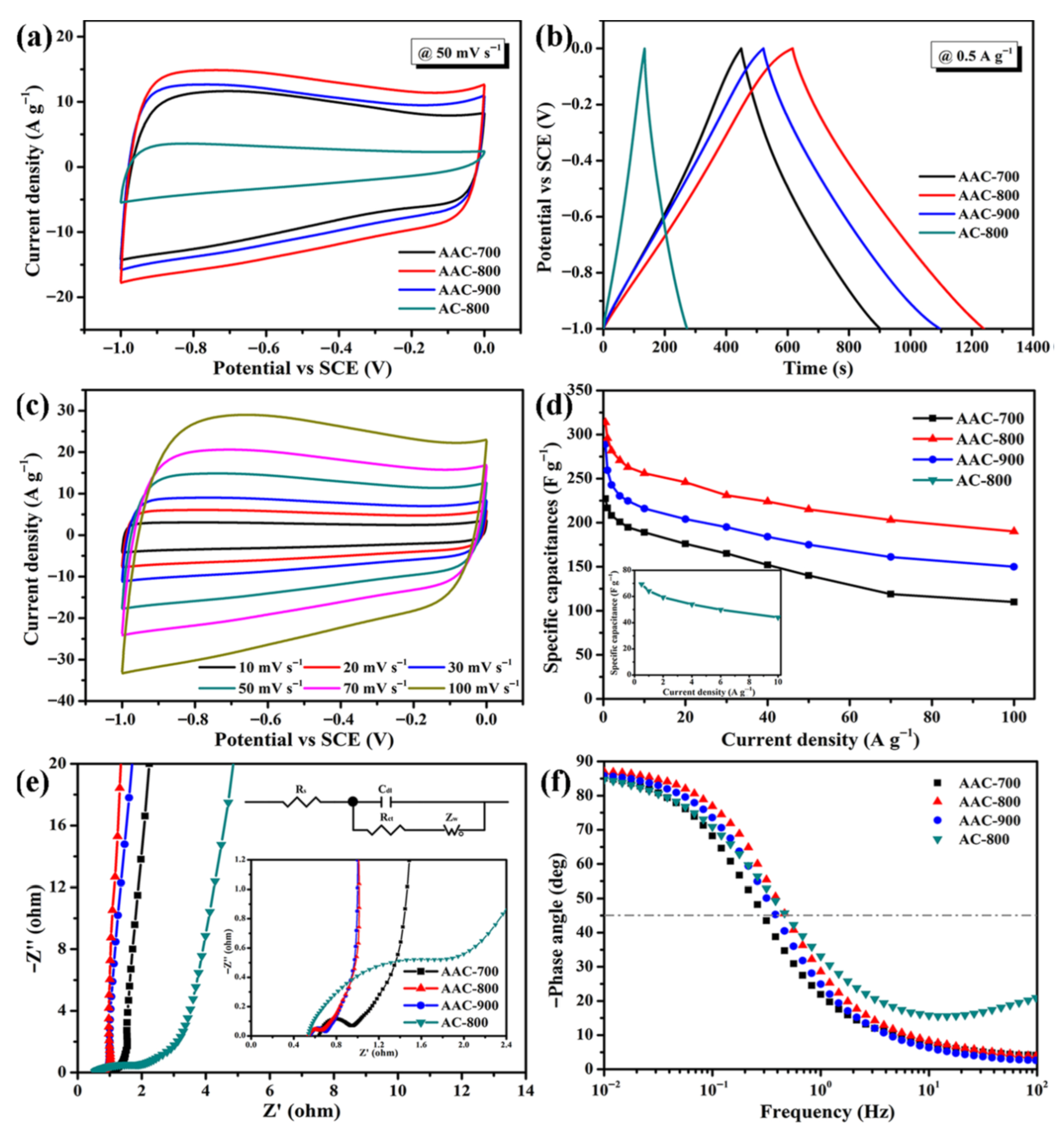
7.1. Agar-Based Composites in Supercapacitors
7.2. Agar-Based Composites in Battery Technology

| Composite | Role in Battery | Battery Type | Performance Metrics | Ref. |
|---|---|---|---|---|
| Melamine–agar SSE | Solid-state electrolyte with enhanced mechanical and electrochemical properties | FZAB | Maximum output power: 126 mW/cm2; Areal capacity: 24 mAh/cm2; improved mechanical strength, water retention, and ionic conductivity; stable performance under extreme conditions | [26] |
| Agar–polyacrylamide hydrogel polymer electrolyte | Electrolyte for ion transport and mechanical flexibility | Flexible quasi-solid-state aqueous lithium–zinc hybrid ion batteries | Ionic conductivity: high; electrochemical stability: broad window; ion migration number: notable; symmetric cell cycling stability: 350 h at 1 mA/cm2; full battery cycle life: retains 80.5% capacity after 500 cycles at 1 C | [264] |
| CPE3: Ce-LLZO, chitosan/agar–agar, PEG, LiClO4 | Solid-state polymer electrolyte | Lithium-ion batteries | Lithium-ion conductivity: 5.18 × 10−3 S cm−1; transference number: 0.937; electrochemical stability: up to 4.1 V; coin-cell discharge capacity: 163 mAh/g over 100 cycles at 0.1 C; symmetric cell stability: 550 h at 2.0 mA/cm2 | [265] |
| Heteroatom-codoped carbon aerogels (ON-CA with O, N, B) | Electrode material | Supercapacitors and ion batteries | Specific capacity and capacitance optimized; contact angle: 9.26° indicating enhanced wetting ability; adsorption capacity: −1.62 eV; diffusion barrier: 0.12 eV for K+; energy density: 51.8 Wh kg−1; power density: 443 W kg−1; cycling stability: maintains 83.3% capacity after 10,000 cycles in 1 M KPF6 | [206] |
| Agar-derived carbon/NH4F@nanosilicon composites | Anode material | High-energy-density lithium-ion batteries | First discharge capacity: 2001.0 mAh·g−1 at 500 mA g−1; residual capacity: 836.7 mAh·g−1 after 200 cycles; enhanced cyclic stability and electrical conductivity post-NH4F modification | [266] |
| Polysulfone/agarose bi-functional protective layer | Protective layer for anode | Zinc-ion batteries | Uniform electric field and Zn2+ distribution; low desolvation energy and nucleation overpotential; excellent cycling performance: 4200 h at 1 mA cm−2/1 mAh cm−2, 1000 h at 5 mA cm−2/5 mAh cm−2; high stability in full cell with ZnVO cathode: maintains 72% capacity after 7000 cycles at 10 A g−1 | [267] |
| Agar interface layer on Zn foil | Interface modification for anode | Aqueous zinc-ion batteries | Enhanced Zn2+ desolvation and uniform deposition; reduced hydrogen evolution and corrosion | [268] |
| Agarose/PVA mesoporous membrane | Separator | SIB | Outperforms conventional separators in thermal stability, electrolyte wettability, and Na+ conductivity; limits dendrite growth; stable operation at 200 μA cm−2; superior performance in Na3V2(PO4)3/Na half-cells: 108 mAh g−1 after 50 cycles at C/10, with remarkable rate capability | [269] |
| High-modulus agarose gel electrolyte | Electrolyte | Zinc-ion batteries | Enhances the coordination environment of Zn2+; reduces H2O molecule mobility and sulfate ion diffusion; significantly mitigates dendrite formation and inhibits zinc hydroxysulfate by-product | [25] |
| Ultra-thin polymer electrolyte based on single-helical-structured agarose | Electrolyte | Solid-state lithium batteries | Ionic conductivity: 1.2 × 10−4 S cm−1; tensile strength: 5.5 MPa; thickness: <32 μm; Li symmetric-cell cycle life: 600 h at room temperature; LiFePO4‖Li battery capacity: 131 mAh g−1 over 600 cycles at 1.0 C, retention rate of 92.9% | [270] |
7.3. Agar-Based Composites in Fuel Cells


| Composite | Role in Fuel Cell | Fuel-Cell Type | Performance Metrics | Ref. |
|---|---|---|---|---|
| Agar (2, 4, 6, 8 wt%) and agar + KCl (2–8 wt% agar, 10 wt% KCl), agar 2 wt% + KCl (2–10 wt%) | Membrane material and ionic-salt enhancement | Microbial fuel cells | Increase in proton conductivity and O2 permeability up to 4 wt% agar; beyond 4 wt% agar, conductivity levels off and O2 permeability increases; addition of KCl negatively affects O2 permeability; no significant conductivity increase with higher KCl concentrations; worsened O2 permeability with higher KCl. | [276] |
| Agar with immobilized yeast S. cerevisiae | Bio-catalyst for electron transfer | Microbial fuel cells | Current density: 7 mA/m2 in 23 h; maximum power density (MPD): 0.91 mW/m2; Km: 9.15 ± 1.01 mg/mL; sensitivity: 0.39 ± 0.03 (mA/m2)/(mg/mL); Jmax: 3.53 ± 0.16 mA/m2 | [279] |
| Agarose (4 wt%) in anodic catalyst layer | Enhancer of hydrophilicity and performance under low humidity | PEM fuel cells | Improved low-humidity performance; current density of 960 mA/cm2 at 0.6 V and 500 mA/cm2 at 0.7 V; minimal degradation after 10 h (960 to 840 mA/cm2) compared to sharp decline in blank MEA without agarose. | [283] |
| Agar hydrolysate (galactose and glucose) | Renewable carbon source for electricity production | Microbial fuel cells | Enhanced sugar yield with increased HCl concentration, autoclaving temperature, and time; used in a two-compartment MFC reactor to examine the potential of agar as a renewable electricity source. | [284] |
| Agar chemical hydrogel (ACH) with glutaraldehyde and acetic acid | Electrode binder | Fuel-electrolyte-fed fuel cells | Enhanced mass/charge transport due to hydrophilic nature and water retention of agar; improved cell performance compared to Nafion ionomer-based electrodes, suggesting potential as a cost-effective alternative. | [65] |
| Agar with 50 M wt% NH4Br | Ion-conducting matrix | PEM fuel cells and batteries | Ionic conductivity: 1.33 × 10−4 S cm−1; temperature dependence follows Arrhenius law; high ionic transference numbers; electrochemical stability confirmed via linear sweep voltammetry; battery output: 1.80 V; PEMFC output: 500 mV | [285] |
| Agar–Agar with 50 wt% NH4 | Electrolyte | Electrochemical cells and PEM fuel cells | Conductivity: 1.20 × 10−4 S/cm; electrochemical cell output: 1.73 V; PEM fuel cell output: 408 mV | [286] |
| Agar with 2% ACPC (activated carbon from pine cones) | Salt bridge for ion transfer | Microbial fuel cells | Optimum performance in MFC-1 with open circuit voltage: 421 mV; current: 1.052 A; power density: 61.51 mW/m2; COD removal efficiency: 65.84%; stable performance up to day 12, operational up to day 20. | [287] |
| Agar doped with 40 mol% NH4Cl | Solid polymer electrolyte | Batteries and fuel cells | Ionic conductivity: 4 × 10−3 S cm−1; ionic transference number: 0.99; battery output voltage: 1.89 V; fuel cell output voltage: 541 mV. | [24] |
| Agar salt bridge with sludges from various sources | Proton-exchange medium | Dual-chamber microbial fuel cells | Best performance with Buriganga sludge: voltage: 244.88 mV, current density: 35.16 mA/m2, power density: 8.61 mW/m2; BOD5 reduction: drain (50.15%), textile plant (43.64%), tannery (47.32%), Buriganga River (35.20%). | [281] |
8. Future Perspective
- Research should focus on enhancing the electrochemical stability of agar-based composites to prolong their operational life and performance during charge–discharge cycles.
- Enhancing the mechanical properties of agar composites is essential to increase their durability and withstand the stresses encountered in real-world applications.
- Developing scalable fabrication techniques and optimizing the cost of production for agar-based systems will help facilitate their commercialization and widespread adoption.
- Agar’s biodegradable nature positions it as a promising material for sustainable energy storage solutions, with less environmental impact compared with traditional synthetic polymers.
- Future advancements should focus on improving the ionic conductivity of agar-based composites, possibly by incorporating advanced dopants or hybrid materials to increase efficiency.
- Agar composites can be combined with other bio-based or conductive materials to enhance performance metrics such as energy density and power output, opening pathways for multifunctional devices.
- AI- and machine learning-guided optimization can revolutionize the development of agar-based energy storage devices by predicting material behaviors, optimizing compositions, and enhancing device performance.
9. Conclusions
Author Contributions
Funding
Data Availability Statement
Acknowledgments
Conflicts of Interest
References
- Jumaidin, R. Agar based composite as a new alternative biopolymer. In Composites from the Aquatic Environment; Springer: Singapore, 2023; pp. 67–82. [Google Scholar]
- Kumar, S.; Jahan, K.; Verma, A.; Agarwal, M.; Chandraprakash, C. Agar-based composite films as effective biodegradable sound absorbers. ACS Sustain. Chem. Eng. 2022, 10, 8242–8253. [Google Scholar] [CrossRef]
- Shah, M.; Hameed, A.; Kashif, M.; Majeed, N.; Muhammad, J.; Shah, N.; Rehan, T.; Khan, A.; Uddin, J.; Khan, A. Advances in agar-based composites: A comprehensive review. Carbohydr. Polym. 2024, 346, 122619. [Google Scholar] [CrossRef] [PubMed]
- Xiong, C.; Li, T.; Zhu, Y.; Zhao, T.; Dang, A.; Li, H.; Ji, X.; Shang, Y.; Khan, M. Two-step approach of fabrication of interconnected nanoporous 3D reduced graphene oxide-carbon nanotube-polyaniline hybrid as a binder-free supercapacitor electrode. J. Alloys Compd. 2017, 695, 1248–1259. [Google Scholar] [CrossRef]
- Kakanejadifard, A.; Safarimehr, P.; Karmakar, B.; Pirhayati, M.; Veisi, H. Application of supported palladium nanoparticles over chitosan-agarose encapsulated Fe3O4 microspheres as efficient catalyst in the Sonogashira cross-coupling reactions. J. Organomet. Chem. 2025, 1029, 123553. [Google Scholar] [CrossRef]
- Nejad, S.L.; Shekarchizadeh, H. An agar hydrogel-CuNPs/N@ CQDs dual-mode colorimetric/fluorescent indicator for non-destructive monitoring of banana ripening. Food Chem. 2025, 473, 143098. [Google Scholar]
- Belay, M.; Nagarale, R.K.; Verma, V. Preparation and characterization of graphene-agar and graphene oxide-agar composites. J. Appl. Polym. Sci. 2017, 134, 45085. [Google Scholar] [CrossRef]
- Contessa, C.R.; Rosa, G.S.d.; Moraes, C.C.; Burkert, J.F.d.M. Agar-Agar and Chitosan as Precursors in the Synthesis of Functional Film for Foods: A Review. Macromol 2023, 3, 275–289. [Google Scholar] [CrossRef]
- Torres, F.G.; Troncoso, O.P.; Urtecho, A.; Soto, P.; Pachas, B. Recent Progress in Polysaccharide-Based Materials for Energy Applications: A Review. ACS Appl. Mater. Interfaces 2024, 17, 13179–13196. [Google Scholar] [CrossRef]
- Chen, L.; Li, Y.; Du, Q.; Wang, Z.; Xia, Y.; Yedinak, E.; Lou, J.; Ci, L. High performance agar/graphene oxide composite aerogel for methylene blue removal. Carbohydr. Polym. 2017, 155, 345–353. [Google Scholar] [CrossRef]
- Cao, W.; Cheng, X.; Gong, L.; Li, Y.; Zhang, R.; Zhang, H. Thermal conductivity of highly porous ceramic foams with different agar concentrations. Mater. Lett. 2015, 139, 66–69. [Google Scholar] [CrossRef]
- Wu, J.-M.; Ma, Y.-X.; Chen, Y.; Cheng, L.-J.; Chen, A.-N.; Liu, R.-Z.; Li, C.-H.; Shi, Y.-S.; Lin, J.-P. Preparation of Si3N4 ceramics by aqueous gelcasting using non-toxic agar powder as gelling agent without cooling crosslink process. Ceram. Int. 2019, 45, 20961–20966. [Google Scholar] [CrossRef]
- Rukmanikrishnan, B.; Lee, J. Montmorillonite clay and quaternary ammonium silane-reinforced pullulan/agar-based nanocomposites and their properties for packaging applications. Int. J. Biol. Macromol. 2021, 191, 956–963. [Google Scholar] [CrossRef]
- Shah, N.; Shah, M.; Khan, F.; Rehan, T.; Shams, S.; Khitab, F.; Khan, A.; Ullah, M.W.; Yousaf, J.; Awwad, F.A.; et al. Fabrication and Characterization of Montmorillonite Clay/Agar-Based Magnetic Composite and Its Biological and Electrical Conductivity Evaluation. ACS Omega 2024, 9, 15904–15914. [Google Scholar] [CrossRef] [PubMed]
- Zhu, Q.; Su, X.; Mai, K.; Huang, R.; Yang, S.; Liu, H.; He, F.; Bao, Y.; Yu, G.; Feng, Y. Amphiphilic colloidal particles/Ca2+ reinforced edible agar nanocomposite film by multiple cross-linking/microphase separation strategies. Food Hydrocoll. 2025, 159, 110602. [Google Scholar] [CrossRef]
- Orabi, S.; Ibrahim, A.A.; Gebreil, A.; Kospa, D.A. Sponge-like fluorapatite/expanded graphite@ agar biohydrogel with self-healing and salt resistance ability for solar steam and electricity cogeneration. Desalination 2025, 600, 118502. [Google Scholar] [CrossRef]
- Dongre, M.; Varma, P.; Parthasarathy, A.; Kandasubramanian, B. Algae-Derived Precursors for Sustainable Electrochemical Energy Storage. Energy Technol. 2025, 13, 2401465. [Google Scholar] [CrossRef]
- Ahmed, S.; Arshad, T.; Zada, A.; Afzal, A.; Khan, M.; Hussain, A.; Hassan, M.; Ali, M.; Xu, S. Preparation and Characterization of a Novel Sulfonated Titanium Oxide Incorporated Chitosan Nanocomposite Membranes for Fuel Cell Application. Membranes 2021, 11, 450. [Google Scholar] [CrossRef]
- Liu, Q.; Bi, S.; Xu, X.; Xiao, X.; Lei, Y. N, O-codoped carbon aerogel electrode improves capacitive deionization performance. J. Colloid Interface Sci. 2025, 680, 54–63. [Google Scholar] [CrossRef]
- Ghosh, T. Graphene Oxide–Agar–Agar Hydrogel for Efficient Removal of Methyl Orange from Water. In Proceedings of the International Conference on Transportation Infrastructure Projects: Conception to Execution, Andhra Pradesh, India, 16–18 November 2022; pp. 9–19. [Google Scholar]
- Shin, J.; Park, J.-K.; Kim, G.W.; Nam, I.; Park, S. Agarose Gel-Templating Synthesis of a 3D Wrinkled Graphene Architecture for Enhanced Supercapacitor Performance. Micromachines 2022, 13, 1113. [Google Scholar] [CrossRef]
- Belay, M. Preparation of Biodegradable Reduced Graphene Oxide/Agar Composites by In Situ Reduction of Graphene Oxide. Int. J. Polym. Sci. 2023, 2023, 4583522. [Google Scholar] [CrossRef]
- Zhu, P.; Zhuo, S.; Zhang, W.; Ying, X.; Huang, J.; Li, X. Performance and application of microbial fuel cells with sodium alginate/agar/activated carbon composite as efficient biocompatible anode. J. Appl. Polym. Sci. 2023, 140, e53999. [Google Scholar] [CrossRef]
- Selvalakshmi, S.; Vanitha, D.; Saranya, P.; Selvasekarapandian, S.; Mathavan, T.; Premalatha, M. Structural and conductivity studies of ammonium chloride doped agar–agar biopolymer electrolytes for electrochemical devices. J. Mater. Sci. Mater. Electron. 2022, 33, 24884–24894. [Google Scholar] [CrossRef]
- Sun, P.; Liu, W.; Yang, D.; Zhang, Y.; Xiong, W.; Li, S.; Chen, J.; Tian, J.; Zhang, L. Stable Zn anodes enabled by high-modulus agarose gel electrolyte with confined water molecule mobility. Electrochim. Acta 2022, 429, 140985. [Google Scholar] [CrossRef]
- Zuo, Y.; Wang, K.; Wei, M.; Zhang, P.; Zhao, S.; Pei, P.; Wang, H.; Chen, Z.; Shang, N. An Agar gel modulation with melamine foam skeleton for flexible Zn-air batteries. Chem. Eng. J. 2023, 452, 139301. [Google Scholar] [CrossRef]
- Hasan, K.; Bashir, S.; Subramaniam, R.; Kasi, R.; Kamran, K.; Iqbal, J.; Algarni, H.; Al-Sehemi, A.G.; Wageh, S.; Pershaanaa, M. Poly (vinyl alcohol)/agar hydrogel electrolytes based flexible all-in-one supercapacitors with conducting polyaniline/polypyrrole electrodes. Polymers 2022, 14, 4784. [Google Scholar] [CrossRef] [PubMed]
- Dang, A.; Sun, Y.; Fang, C.; Li, T.; Liu, X.; Xia, Y.; Ye, F.; Zada, A.; Khan, M. Rational design of Ti3C2/carbon nanotubes/MnCo2S4 electrodes for symmetric supercapacitors with high energy storage. Appl. Surf. Sci. 2022, 581, 152432. [Google Scholar] [CrossRef]
- Kasprzak, D.; Mayorga-Martinez, C.C.; Pumera, M. Sustainable and flexible energy storage devices: A review. Energy Fuels 2022, 37, 74–97. [Google Scholar] [CrossRef]
- Torres, F.G.; De-la-Torre, G.E. Algal-based polysaccharides as polymer electrolytes in modern electrochemical energy conversion and storage systems: A review. Carbohydr. Polym. Technol. Appl. 2021, 2, 100023. [Google Scholar] [CrossRef]
- Parsimehr, H.; Ehsani, A. Algae-based electrochemical energy storage devices. Green Chem. 2020, 22, 8062–8096. [Google Scholar] [CrossRef]
- Gupta, P.; Gupta, A.K.; Gupta, S.K.; Gupta, S.; Shriwastav, M.; Yadav, R.K. DFT Study on Na-Ion Conducting Solid Biopolymer Electrolyte-Based on Agar-Agar and NaPF6 for Sodium-Ion Batteries. Nano Hybrids Compos. 2023, 40, 65–78. [Google Scholar] [CrossRef]
- Li, D.; Wang, Y.; Sun, Y.; Lu, Y.; Chen, S.; Wang, B.; Zhang, H.; Xia, Y.; Yang, D. Turning gelidium amansii residue into nitrogen-doped carbon nanofiber aerogel for enhanced multiple energy storage. Carbon 2018, 137, 31–40. [Google Scholar] [CrossRef]
- Padmesh, S.; Singh, A. Agars: Properties and applications. In Polysaccharides: Properties and Applications; WILEY: Hoboken, NJ, USA, 2021; pp. 75–93. [Google Scholar]
- Yadav, S.K.; Yohannan, A.S.K.; Palanisamy, M. Seaweeds as natural resource for agar-Agar extraction in India-A review. Agro Econ.—Int. J. 2023, 10, 201–208. [Google Scholar] [CrossRef]
- Veerakumar, S.; Manian, R.P. Recombinant β-agarases: Insights into molecular, biochemical, and physiochemical characteristics. 3 Biotech 2018, 8, 445. [Google Scholar] [CrossRef] [PubMed]
- Ogrenci, A.S.; Pekcan, O.; Kara, S.; Bilge, A.H. Mathematical characterization of thermo-reversible phase transitions of agarose gels. J. Macromol. Sci. Part B 2018, 57, 364–376. [Google Scholar] [CrossRef]
- Bertasa, M.; Poli, T.; Riedo, C.; Di Tullio, V.; Capitani, D.; Proietti, N.; Canevali, C.; Sansonetti, A.; Scalarone, D. A study of non-bounded/bounded water and water mobility in different agar gels. Microchem. J. 2018, 139, 306–314. [Google Scholar] [CrossRef]
- Armisen, R.; Gaiatas, F. Agar. In Handbook of Hydrocolloids; Elsevier: Amsterdam, The Netherlands, 2009; pp. 82–107. [Google Scholar]
- Lee, W.-K.; Lim, Y.-Y.; Ho, C.-L. Gracilaria as the major source of agar for food, health and biotechnology applications. In Sustainable Global Resources of Seaweeds Volume 2: Food, Pharmaceutical and Health Applications; Springer: Berlin/Heidelberg, Germany, 2022; pp. 145–161. [Google Scholar]
- Vijayakumar, M.; Adduru, J.; Rao, T.N.; Karthik, M. Conversion of Solar Energy into Electrical Energy Storage: Supercapacitor as an Ultrafast Energy-Storage Device Made from Biodegradable Agar-Agar as a Novel and Low-Cost Carbon Precursor. Glob. Chall. 2018, 2, 1800037. [Google Scholar] [CrossRef] [PubMed]
- Raphael, E.; Avellaneda, C.; Aegerter, M.; Silva, M.; Pawlicka, A. Agar-based gel electrolyte for electrochromic device application. Mol. Cryst. Liq. Cryst. 2012, 554, 264–272. [Google Scholar] [CrossRef]
- Raphael, E.; Avellaneda, C.O.; Manzolli, B.; Pawlicka, A. Agar-based films for application as polymer electrolytes. Electrochim. Acta 2010, 55, 1455–1459. [Google Scholar] [CrossRef]
- Zhang, X.; Xing, P.; Madanu, T.L.; Li, J.; Shu, J.; Su, B.-L. Aqueous batteries: From laboratory to market. Natl. Sci. Rev. 2023, 10, nwad235. [Google Scholar] [CrossRef]
- García-Gaitán, E.; Morant-Miñana, M.C.; Frattini, D.; Maddalena, L.; Fina, A.; Gerbaldi, C.; Cantero, I.; Ortiz-Vitoriano, N. Agarose-based Gel Electrolytes for Sustainable Primary and Secondary Zinc-Air Batteries. Chem. Eng. J. 2023, 472, 144870. [Google Scholar] [CrossRef]
- Moon, W.G.; Kim, G.-P.; Lee, M.; Song, H.D.; Yi, J. A biodegradable gel electrolyte for use in high-performance flexible supercapacitors. ACS Appl. Mater. Interfaces 2015, 7, 3503–3511. [Google Scholar] [CrossRef] [PubMed]
- Kim, J.S.; Kim, J.-H.; Cho, Y.; Shim, T.S. Agarose/Spherical Activated Carbon Composite Gels for Recyclable and Shape-Configurable Electrodes. Polymers 2019, 11, 875. [Google Scholar] [CrossRef] [PubMed]
- Nath, P.C.; Debnath, S.; Sridhar, K.; Inbaraj, B.S.; Nayak, P.K.; Sharma, M. A Comprehensive Review of Food Hydrogels: Principles, Formation Mechanisms, Microstructure, and Its Applications. Gels 2023, 9, 1. [Google Scholar] [CrossRef]
- Wenger, L.; Radtke, C.P.; Gerisch, E.; Kollmann, M.; Niemeyer, C.M.; Rabe, K.S.; Hubbuch, J. Systematic evaluation of agarose-and agar-based bioinks for extrusion-based bioprinting of enzymatically active hydrogels. Front. Bioeng. Biotechnol. 2022, 10, 928878. [Google Scholar] [CrossRef] [PubMed]
- Zheng, Z.; Shi, W.; Zhou, X.; Zhang, X.; Guo, W.; Shi, X.; Xiong, Y.; Zhu, Y. Agar-based hydrogel polymer electrolyte for high-performance zinc-ion batteries at all climatic temperatures. iScience 2023, 26, 106437. [Google Scholar] [CrossRef]
- Zhang, L.; Liao, W.; Huang, Y.; Wen, Y.; Chu, Y.; Zhao, C. Global seaweed farming and processing in the past 20 years. Food Prod. Process. Nutr. 2022, 4, 23. [Google Scholar] [CrossRef]
- Duceac, I.A.; Stanciu, M.-C.; Nechifor, M.; Tanasă, F.; Teacă, C.-A. Insights on some polysaccharide gel type materials and their structural peculiarities. Gels 2022, 8, 771. [Google Scholar] [CrossRef]
- Lee, W.-K.; Lim, Y.-Y.; Leow, A.T.-C.; Namasivayam, P.; Abdullah, J.O.; Ho, C.-L. Factors affecting yield and gelling properties of agar. J. Appl. Phycol. 2017, 29, 1527–1540. [Google Scholar] [CrossRef]
- Jiang, F.; Xu, X.-W.; Chen, F.-Q.; Weng, H.-F.; Chen, J.; Ru, Y.; Xiao, Q.; Xiao, A.-F. Extraction, modification and biomedical application of agarose hydrogels: A review. Mar. Drugs 2023, 21, 299. [Google Scholar] [CrossRef]
- Zucca, P.; Fernandez-Lafuente, R.; Sanjust, E. Agarose and its derivatives as supports for enzyme immobilization. Molecules 2016, 21, 1577. [Google Scholar] [CrossRef]
- Zarrintaj, P.; Bakhshandeh, B.; Rezaeian, I.; Heshmatian, B.; Ganjali, M.R. A Novel Electroactive Agarose-Aniline Pentamer Platform as a Potential Candidate for Neural Tissue Engineering. Sci. Rep. 2017, 7, 17187. [Google Scholar] [CrossRef]
- Rayung, M.; Aung, M.M.; Azhar, S.C.; Abdullah, L.C.; Su’ait, M.S.; Ahmad, A.; Jamil, S.N.A.M. Bio-Based Polymer Electrolytes for Electrochemical Devices: Insight into the Ionic Conductivity Performance. Materials 2020, 13, 838. [Google Scholar] [CrossRef] [PubMed]
- Kasem, K.K. Electrochemical behavior of some redox systems pendant in agar gel. J. New Mater. Electrochem. Syst. 2005, 8, 189. [Google Scholar]
- Osinska-Broniarz, M.; Martyla, A.; Manczak, R.; Sierczynska, A. Agar as a compound of alkaline solid polymer electrolyte. Trans. Environ. Dev. 2018, 14, 474–480. [Google Scholar]
- Mohd Rafi, N.S.; Abidin, S.Z.Z.; Majid, S.R.; Zakaria, R. Preparation of Agarose-based Biopolymer Electrolytes Containing Calcium Thiocyanate: Electrical and Electrochemical Properties. Int. J. Electrochem. Sci. 2022, 17, 220713. [Google Scholar] [CrossRef]
- Shauli, L.; Salomon, E. A Simple Method for Measuring Agar Gel Strength. Phycology 2025, 5, 6. [Google Scholar] [CrossRef]
- Bertasa, M.; Dodero, A.; Alloisio, M.; Vicini, S.; Riedo, C.; Sansonetti, A.; Scalarone, D.; Castellano, M. Agar gel strength: A correlation study between chemical composition and rheological properties. Eur. Polym. J. 2020, 123, 109442. [Google Scholar] [CrossRef]
- Wüstenberg, T. General overview of food hydrocolloids. In Cellulose and Cellulose Derivatives in the Food Industry Fundamentals and Applications; Wüstenberg, T., Ed.; John Wiley & Sons: Hoboken, NJ, USA, 2015; pp. 1–68. [Google Scholar]
- Nishinari, K. Gelling properties. In Food Hydrocolloids: Functionalities and Applications; Springer: Berlin/Heidelberg, Germany, 2021; pp. 119–170. [Google Scholar]
- An, L.; Zhao, T.; Zeng, L. Agar chemical hydrogel electrode binder for fuel-electrolyte-fed fuel cells. Appl. Energy 2013, 109, 67–71. [Google Scholar] [CrossRef]
- Han, X.; Li, M.; Fan, Z.; Zhang, Y.; Zhang, H.; Li, Q. PVA/Agar interpenetrating network hydrogel with fast healing, high strength, antifreeze, and water retention. Macromol. Chem. Phys. 2020, 221, 2000237. [Google Scholar] [CrossRef]
- Boopathi, G.; Pugalendhi, S.; Selvasekarapandian, S.; Premalatha, M.; Monisha, S.; Aristatil, G. Development of proton conducting biopolymer membrane based on agar–agar for fuel cell. Ionics 2017, 23, 2781–2790. [Google Scholar] [CrossRef]
- Zhang, B.; da Silva, M.; Johnston, I.; Aspinall, S.; Cook, M. Poly(vinyl alcohol)-Agar Double Network Hydrogels: Linking Formulation to Mechanical and Rheological Properties. Macromol. Chem. Phys. 2005, e00257. [Google Scholar] [CrossRef]
- Tang, Z.; Xiong, C. Agar as water soluble binder for lithium-sulfur battery. Energy Storage Sci. Technol. 2017, 6, 493. [Google Scholar]
- Nwanya, A.; Amaechi, C.; Udounwa, A.; Osuji, R.; Maaza, M.; Ezema, F. Complex impedance and conductivity of agar-based ion-conducting polymer electrolytes. Appl. Phys. A 2015, 119, 387–396. [Google Scholar] [CrossRef]
- Zuo, L.; Sun, H.; Yuan, X.; Wen, J.; Chen, X.; Zhou, S.; Wu, Y.; van Ree, T. Agar acts as cathode microskin to extend the cycling life of Zn//α-MnO2 batteries. Materials 2021, 14, 4895. [Google Scholar] [CrossRef] [PubMed]
- Sutharsan, M.; Murugan, K.S.; Narayanan, K.; Natarajan, T.S. Chitosan/agar-agar/TiO2 biopolymer nanocomposite film for solar photocatalysis, antibacterial activity, and food preservation applications. Next Mater. 2025, 9, 101225. [Google Scholar] [CrossRef]
- Hsieh, S.; Huang, B.; Hsieh, S.; Wu, C.; Wu, C.; Lin, P.; Huang, Y.; Chang, C. Green fabrication of agar-conjugated Fe3O4 magnetic nanoparticles. Nanotechnology 2010, 21, 445601. [Google Scholar] [CrossRef]
- Roux, D.C.D.; Caton, F.; Jeacomine, I.; Maîtrejean, G.; Rinaudo, M. Reversibility in the Physical Properties of Agarose Gels following an Exchange in Solvent and Non-Solvent. Polymers 2024, 16, 811. [Google Scholar] [CrossRef]
- Tanaka, F. Thermoreversible gelation strongly coupled to coil-to-helix transition of polymers. Colloids Surf. B Biointerfaces 2004, 38, 111–114. [Google Scholar] [CrossRef]
- Lizundia, E.; Costa, C.M.; Alves, R.; Lanceros-Méndez, S. Cellulose and its derivatives for lithium ion battery separators: A review on the processing methods and properties. Carbohydr. Polym. Technol. Appl. 2020, 1, 100001. [Google Scholar] [CrossRef]
- Turossi, T.C.; Júnior, H.L.O.; Monticeli, F.M.; Dias, O.T.; Zattera, A.J. Cellulose-Derived Battery Separators: A Minireview on Advances Towards Environmental Sustainability. Polymers 2025, 17, 456. [Google Scholar] [CrossRef] [PubMed]
- Rosli, N.A.H.; Loh, K.S.; Wong, W.Y.; Yunus, R.M.; Lee, T.K.; Ahmad, A.; Chong, S.T. Review of Chitosan-Based Polymers as Proton Exchange Membranes and Roles of Chitosan-Supported Ionic Liquids. Int. J. Mol. Sci. 2020, 21, 632. [Google Scholar] [CrossRef] [PubMed]
- Wang, Y.; Lu, Y. Sodium Alginate-Based Functional Materials toward Sustainable Applications: Water Treatment and Energy Storage. Ind. Eng. Chem. Res. 2023, 62, 11279–11304. [Google Scholar] [CrossRef]
- Wang, H.; Yang, L.; Yang, Y. A review of sodium alginate-based hydrogels: Structure, mechanisms, applications, and perspectives. Int. J. Biol. Macromol. 2025, 292, 139151. [Google Scholar] [CrossRef] [PubMed]
- Wang, Y.; Shen, Z.; Wang, H.; Song, Z.; Yu, D.; Li, G.; Liu, X.; Liu, W. Progress in Research on Metal Ion Crosslinking Alginate-Based Gels. Gels 2025, 11, 16. [Google Scholar] [CrossRef] [PubMed]
- Jain, A.; Mahata, K.; Onkarnath; Banerjee, S. Biopolymer Derived Gel Polymer Electrolytes: Current Status and Future Perspectives. Macromol. Rapid Commun. 2005, e00472. [Google Scholar] [CrossRef]
- Wang, W.; Guo, X.; Yang, Y. Lithium iodide effect on the electrochemical behavior of agarose based polymer electrolyte for dye-sensitized solar cell. Electrochim. Acta 2011, 56, 7347–7351. [Google Scholar] [CrossRef]
- Fuzlin, A.F.; Aynharan, S.; Hafidz, N.N.A.; Ghazali, N.M.; Diantoro, M.; Nagao, Y.; Samsudin, A.S. Advances in Gel Biopolymer Electrolytes: Sustainable Polymers for Energy Storage Applications. Polym. Adv. Technol. 2025, 36, e70319. [Google Scholar] [CrossRef]
- Dalwadi, S.; Goel, A.; Kapetanakis, C.; Salas-de la Cruz, D.; Hu, X. The Integration of Biopolymer-Based Materials for Energy Storage Applications: A Review. Int. J. Mol. Sci. 2023, 24, 3975. [Google Scholar] [CrossRef]
- Mahajan, P.; Sharma, M. A comprehensive review on developments and future perspectives of biopolymer-based materials for energy storage. Energy Storage 2024, 6, e634. [Google Scholar] [CrossRef]
- Banu, J.R.; Kumar, M.D.; Gunasekaran, M.; Kumar, G. Biopolymer production in bio electrochemical system: Literature survey. Bioresour. Technol. Rep. 2019, 7, 100283. [Google Scholar] [CrossRef]
- Taji, K.; Shekarchizadeh, H. Development of an active agar aerogel with dual antioxidant and UV-blocking activities using chlorine-doped graphene quantum dots. Heliyon 2024, 10, e34387. [Google Scholar] [CrossRef]
- Kandhol, G.; Wadhwa, H.; Verma, A. Glass transition temperature of Agar-Reduced Graphene Oxide (RGO) Composites using 2-D contour mapping of temperature dependent FTIR spectra. Chem. Phys. Impact 2024, 9, 100690. [Google Scholar] [CrossRef]
- Sarwar, O.; Munir, R.; Mushtaq, N.; Ambreen, H.; Bashir, M.Z.; Sana, M.; Muneer, A.; Sayed, M.; Noreen, S. Synthesis, utilization, and recycling of graphene oxide-based nanohybrid biopolymeric hydrogels for purification of dye wastewater. AQUA—Water Infrastruct. Ecosyst. Soc. 2024, 73, 1228–1256. [Google Scholar] [CrossRef]
- Namasivayam, S.K.R.; Pandian, U.K.; Samrat, K.; Bharani, R.A.; John, A.; Kavisri, M.; Kadaikunnan, S.; Thiruvengadam, M.; Moovendhan, M. Fungal derived herbicidal metabolite loaded starch-chitosan-gum acacia-agar based bio composite: Preparation, characterization, herbicidal activity, release profile and biocompatibility. Int. J. Biol. Macromol. 2024, 259, 129264. [Google Scholar] [CrossRef] [PubMed]
- Yin, H.; You, M.; Yu, H.; Si, X.; Zheng, Y.; Cui, W.; Zhu, L.; Chen, Q. Rate-Dependent Fracture Behaviors of Agar-Based Hybrid Double-Network Hydrogels. Macromolecules 2024, 57, 4024–4033. [Google Scholar] [CrossRef]
- Riahi, Z.; Khan, A.; Rhim, J.-W.; Shin, G.H.; Kim, J.T. Synergistic effect of iron-based metal-organic framework hybridized with carbon quantum dots in agar/gelatin films for fruit preservation. Food Packag. Shelf Life 2024, 45, 101330. [Google Scholar] [CrossRef]
- Kumar, S.; Boro, J.C.; Ray, D.; Mukherjee, A.; Dutta, J. Bionanocomposite films of agar incorporated with ZnO nanoparticles as an active packaging material for shelf life extension of green grape. Heliyon 2019, 5, e01867. [Google Scholar] [CrossRef] [PubMed]
- Herath, H.; Jinendra, B. Recent advancement in agarwood induction technology: A comprehensive review for the transformation of artificial agar resin induction methods. J. Agro-Technol. Rural. Sci. 2023, 3, 6–17. [Google Scholar] [CrossRef]
- Fujiwara, E.; Rosa, L.O. Soft optical waveguides made of agar. MRS Adv. 2024, 9, 574–579. [Google Scholar] [CrossRef]
- Elhefian, E.A.; Nasef, M.M.; Yahaya, A.H. Preparation and characterization of chitosan/agar blended films: Part 2. Thermal, mechanical, and surface properties. J. Chem. 2012, 9, 510–516. [Google Scholar] [CrossRef]
- Cuvillier, L.; Passaretti, A.; Guilminot, E.; Joseph, E. Agar and Chitosan Hydrogels’ Design for Metal-Uptaking Treatments. Gels 2024, 10, 55. [Google Scholar] [CrossRef]
- Liu, J.; Tang, X.; Chen, X.; Wang, G. Investigation of MXene-modified agar/polyurethane hydrogel elastomeric repair materials with tunable water absorption. e-Polymers 2023, 23, 20230035. [Google Scholar] [CrossRef]
- Oprea, S. Preparation and characterization of the agar/polyurethane composites. J. Compos. Mater. 2011, 45, 2039–2045. [Google Scholar] [CrossRef]
- Sousa, A.M.; Souza, H.K.; Uknalis, J.; Liu, S.-C.; Goncalves, M.P.; Liu, L. Electrospinning of agar/PVA aqueous solutions and its relation with rheological properties. Carbohydr. Polym. 2015, 115, 348–355. [Google Scholar] [CrossRef] [PubMed]
- Madera-Santana, T.; Misra, M.; Drzal, L.; Robledo, D.; Freile-Pelegrin, Y. Preparation and characterization of biodegradable agar/poly (butylene adipate-co-terephatalate) composites. Polym. Eng. Sci. 2009, 49, 1117–1126. [Google Scholar] [CrossRef]
- Giménez, B.; De Lacey, A.L.; Pérez-Santín, E.; López-Caballero, M.; Montero, P. Release of active compounds from agar and agar–gelatin films with green tea extract. Food Hydrocoll. 2013, 30, 264–271. [Google Scholar] [CrossRef]
- Jagadish, R.; Rai, S.K.; Guru, G. Miscibility studies of agar-agar/starch blends using various techniques. Int. J. Res. Pharm. Chem. 2012, 2, 1049–1056. [Google Scholar]
- Entezam, M.; Daneshian, H.; Nasirizadeh, N.; Khonakdar, H.A.; Jafari, S.H. Hybrid hydrogels based on Poly (vinyl alcohol)(PVA)/Agar/Poly (ethylene glycol) (PEG) prepared by high energy electron beam irradiation: Investigation of physico-mechanical and rheological properties. Macromol. Mater. Eng. 2017, 302, 1600397. [Google Scholar] [CrossRef]
- Hamimed, S.; Ammar, N.E.B.; Slimi, H.; Asses, N.; Hamzaoui, A.H.; Chatti, A. Innovative entrapped Yarrowia lipolytica within polyvinylpyrrolidone (PVP)/polyethylene glycol (PEG)/agar for improving olive mill wastewater bioremediation. J. Clean. Prod. 2024, 449, 141828. [Google Scholar] [CrossRef]
- Khan, M.; Tiehu, L.; Hussain, A.; Raza, A.; Zada, A.; Alei, D.; Khan, A.R.; Ali, R.; Hussain, H.; Hussain, J.; et al. Physiochemical evaluations, mechanical attenuations and thermal stability of graphene nanosheets and functionalized nanodiamonds loaded pitch derived carbon foam composites. Diam. Relat. Mater. 2022, 126, 109077. [Google Scholar] [CrossRef]
- Hamid, A.; Khan, M.; Hussain, F.; Zada, A.; Li, T.; Alei, D.; Ali, A. Synthesis and physiochemical performances of PVC-sodium polyacrylate and PVC-sodium polyacrylate-graphite composite polymer membrane. Z. Phys. Chem. 2021, 235, 1791–1810. [Google Scholar] [CrossRef]
- Wang, T.; Li, M.; Zhang, H.; Sun, Y.; Dong, B. A multi-responsive bidirectional bending actuator based on polypyrrole and agar nanocomposites. J. Mater. Chem. C 2018, 6, 6416–6422. [Google Scholar] [CrossRef]
- Sung, J.-H.; Kim, S.-J.; Lee, K.-H. Preparation of compact polyaniline films: Electrochemical synthesis using agar gel template and charge-storage applications. J. Power Sources 2004, 126, 258–267. [Google Scholar] [CrossRef]
- Alves, R.; Fidalgo-Marijuan, A.; Salado, M.; Gonçalves, R.; Silva, M.M.; Bazán, B.a.; del Campo, F.J.; Costa, C.M.; Lanceros-Mendez, S. Agar-Based Solid Polymer Electrolyte-Containing Ionic Liquid for Sustainable Electrochromic Devices. ACS Sustain. Chem. Eng. 2023, 11, 16575–16584. [Google Scholar] [CrossRef]
- Ahmad Ruzaidi, D.A.; Mahat, M.M.; Mohamed Sofian, Z.; Nor Hashim, N.A.; Osman, H.; Nawawi, M.A.; Ramli, R.; Jantan, K.A.; Aizamddin, M.F.; Azman, H.H. Synthesis and characterization of porous, electro-conductive chitosan–gelatin–agar-based PEDOT: PSS scaffolds for potential use in tissue engineering. Polymers 2021, 13, 2901. [Google Scholar] [CrossRef]
- Wang, J.; Khan, M.; Hussain, A.; Khan, I.; Nawaz, A.; Ragab, A.H.; Sayqal, A.; Lei, T.; Zada, A. Carbon foam composites containing carbon nanotubes and graphene oxide as additives for enhanced mechanical, thermal, electrical and catalytic properties. J. Mater. Res. Technol. 2023, 24, 608–622. [Google Scholar] [CrossRef]
- Nie, Z.; Peng, K.; Lin, L.; Yang, J.; Cheng, Z.; Gan, Q.; Chen, Y.; Feng, C. A conductive hydrogel based on nature polymer agar with self-healing ability and stretchability for flexible sensors. Chem. Eng. J. 2023, 454, 139843. [Google Scholar] [CrossRef]
- Kang, M.; Bin Mohammed Khusrin, M.S.; Kim, Y.-J.; Kim, B.; Park, B.J.; Hyun, I.; Imani, I.M.; Choi, B.-O.; Kim, S.-W. Nature-derived highly tribopositive ϰ-carrageenan-agar composite-based fully biodegradable triboelectric nanogenerators. Nano Energy 2022, 100, 107480. [Google Scholar] [CrossRef]
- Lin, Y.; Zhang, L.; Li, X.; Zhai, C.; Liu, J.; Zhang, R. Effect and characterization of konjac glucomannan on xanthan gum/κ-carrageenan/agar system. Int. J. Biol. Macromol. 2024, 257, 128639. [Google Scholar] [CrossRef] [PubMed]
- Qiao, D.; Li, H.; Jiang, F.; Zhao, S.; Chen, S.; Zhang, B. Incorporation of κ-carrageenan improves the practical features of agar/konjac glucomannan/κ-carrageenan ternary system. Food Sci. Hum. Wellness 2023, 12, 512–519. [Google Scholar] [CrossRef]
- Shakya, K.R.; Nigam, K.; Sharma, A.; Jahan, K.; Tyagi, A.K.; Verma, V. Preparation and assessment of agar/TEMPO-oxidized bacterial cellulose cryogels for hemostatic applications. J. Mater. Chem. B 2024, 12, 3453–3468. [Google Scholar] [CrossRef]
- Lee, Y.; Kim, H.J.; Kim, M.W.; Miyawaki, J.; Chae, H.G.; Eom, Y. All-biomass-based strong nanocomposite fibers of agar and cellulose nanocrystals and their dye removal applications. Korea-Aust. Rheol. J. 2024, 36, 109–118. [Google Scholar] [CrossRef]
- Manna, A.; Lahiri, S.; Sen, K.; Banerjee, K. Fe(III) cross-linked cellulose-agar hydrogel beads for efficient phosphate removal from aqueous solutions. Environ. Monit. Assess. 2023, 196, 54. [Google Scholar] [CrossRef] [PubMed]
- How, Y.H.; Wong, L.X.; Kong, I.; Nyam, K.L.; Pui, L.P. Development of Multilayered pH-Sensitive Chitosan–Gelatin-Agar Intelligent Film Incorporated with Roselle Anthocyanin Extract for Monitoring of the Freshness of Snapper Fish. Food Bioprocess Technol. 2024, 17, 4177–4194. [Google Scholar] [CrossRef]
- Safarimehr, P.; Kakanejadifard, A.; Veisi, H. Decorated palladium nanoparticles over chitosan-agarose encapsulated Fe3O4 microspheres: Investigation of its catalytic efficiency in the Suzuki-Miaura coupling reactions. J. Organomet. Chem. 2024, 1017, 123282. [Google Scholar] [CrossRef]
- Mohapatra, S.; Behera, L. A stretchable PVA-agar hydrogel patch embedded with metal-doped carbon dots (MCD) for monitoring the Ca2+ biomarker. Mater. Adv. 2025, 6, 1392–1402. [Google Scholar]
- Xu, Y.; Hu, Y.; Zhang, H.; Bao, W.; Maimaitiyiming, X. Influence of cellulose on the properties of physically cross-linked poly(vinyl alcohol)/Agar double network hydrogels and investigation of multifunctional flexible sensors. Colloids Surf. A Physicochem. Eng. Asp. 2025, 705, 135626. [Google Scholar] [CrossRef]
- Hamza, R.S.A.; Habeeb, M.A. Reinforcement of morphological, structural, optical, and antibacterial characteristics of PVA/CMC bioblend filled with SiO2/Cr2O3 hybrid nanoparticles for optical nanodevices and food packing industries. Polym. Bull. 2024, 81, 4427–4448. [Google Scholar] [CrossRef]
- Sun, K.; Cui, S.; Gao, X.; Liu, X.; Lu, T.; Wei, H.; Peng, H.; Ma, G. Graphene oxide assisted triple network hydrogel electrolyte with high mechanical and temperature stability for self-healing supercapacitor. J. Energy Storage 2023, 61, 106658. [Google Scholar] [CrossRef]
- Peng, H.; Gao, X.; Sun, K.; Xie, X.; Ma, G.; Zhou, X.; Lei, Z. Physically cross-linked dual-network hydrogel electrolyte with high self-healing behavior and mechanical strength for wide-temperature tolerant flexible supercapacitor. Chem. Eng. J. 2021, 422, 130353. [Google Scholar] [CrossRef]
- Wang, J.; Zhang, J.; Gu, J.; Chen, C.; Xu, Y.; Zhang, X. Plate-type solid-state Ag/AgCl reference electrode modified with KCl agar-PVA and PDMS composites. IEEE Sens. J. 2024, 24, 29659–29668. [Google Scholar] [CrossRef]
- Shukla, M.K.; Singh, R.P.; Reddy, C.; Jha, B. Synthesis and characterization of agar-based silver nanoparticles and nanocomposite film with antibacterial applications. Bioresour. Technol. 2012, 107, 295–300. [Google Scholar] [CrossRef]
- Balalakshmi, C.; Alharbi, N.S.; Kadaikunnan, S.; Khaled, J.M.; Alanzi, K.F.; Gopinath, K.; Arumugam, A.; Govindarajan, M. Development of chitosan/agar-silver nanoparticles-coated paper for antibacterial application. Green Process. Synth. 2020, 9, 751–759. [Google Scholar] [CrossRef]
- Mofidian, R.; Hosseini, S.S.; Miansari, M.; Salmani, H. Separation and Clarification of Mazandaran Wood and Paper Factory Effluent to Remove Heavy Metals Using Zeolite–Agar Nanoadsorbent Immobilized by Cibacron Blue Dye Ligand. Korean J. Chem. Eng. 2024, 41, 325–336. [Google Scholar] [CrossRef]
- Alenad, A.M.; Taha, T.A.; Amin, M.A.; Irfan, A.; Oliva, J.; Al-Hadeethi, Y.; Palamanit, A.; Khan, M.; Hayat, A.; Kumar Baburao Mane, S.; et al. Selectivity, stability and reproducibility effect of Uric acid integrated carbon nitride for photocatalytic application. J. Photochem. Photobiol. A Chem. 2022, 423, 113591. [Google Scholar] [CrossRef]
- Chostak, C.L.; López-Delgado, A.; Padilla, I.; Lapolli, F.R.; Lobo-Recio, M.Á. Agarose-Immobilized LTA Zeolite: A Novel Material to Use in an Improved Treatment Process of Mine-Impacted Water. Water Air Soil Pollut. 2023, 234, 365. [Google Scholar] [CrossRef]
- Xiong, C.; Yang, Q.; Li, B.; Nie, S.; Qin, C.; Dai, L.; Khan, M.; Xu, Y.; Ni, Y. Carbonized porous wood as an effective scaffold for loading flower-like CoS, NiS nanofibers with Co, Ni nanoparticles served as electrode material for high-performance supercapacitors. Ind. Crops Prod. 2021, 167, 113545. [Google Scholar] [CrossRef]
- Magesh, G.; Bhoopathi, G.; Nithya, N.; Arun, A.P.; Ranjith Kumar, E. Structural, morphological, optical and biological properties of pure ZnO and agar/zinc oxide nanocomposites. Int. J. Biol. Macromol. 2018, 117, 959–966. [Google Scholar] [CrossRef]
- Roy, S.; Rhim, J.-W. Preparation of pectin/agar-based functional films integrated with zinc sulfide nano petals for active packaging applications. Colloids Surf. B Biointerfaces 2021, 207, 111999. [Google Scholar] [CrossRef]
- Hu, Y.; Zeng, Q.; Hu, Y.; He, J.; Wang, H.; Deng, C.; Li, D. MXene/zinc ion embedded agar/sodium alginate hydrogel for rapid and efficient sterilization with photothermal and chemical synergetic therapy. Talanta 2024, 266, 125101. [Google Scholar] [CrossRef]
- Rhim, J.W.; Wang, L.F.; Hong, S.I. Preparation and characterization of agar/silver nanoparticles composite films with antimicrobial activity. Food Hydrocoll. 2013, 33, 327–335. [Google Scholar] [CrossRef]
- Ghosh, S.; Kaushik, R.; Nagalakshmi, K.; Hoti, S.L.; Menezes, G.A.; Harish, B.N.; Vasan, H.N. Antimicrobial activity of highly stable silver nanoparticles embedded in agar–agar matrix as a thin film. Carbohydr. Res. 2010, 345, 2220–2227. [Google Scholar] [CrossRef] [PubMed]
- Mostafa, S.I.; Ali, M.A.; El-Wassefy, N.A.; Saad, E.M.; Hussein, M.H. Adsorption and interaction studies of methylene blue dye onto agar-carboxymethylcellulose-silver nanocomposite in aqueous media. Biomass Convers. Biorefinery 2024, 14, 3363–3383. [Google Scholar] [CrossRef]
- Gautam, B.; Nabat Al-Ajrash, S.M.; Hasan, M.J.; Saini, A.; Watzman, S.J.; Ureña-Benavides, E.; Vasquez-Guardado, E.S. Experimental Thermal Conductivity Studies of Agar-Based Aqueous Suspensions with Lignin Magnetic Nanocomposites. Magnetochemistry 2024, 10, 12. [Google Scholar] [CrossRef]
- Gupta, K.K.; Tan, C.-P.; Hsu, C.-M.; Lin, B.-C.; Lu, C.-H. Bio-polymer agar-assisted sol-gel synthesis and electrochemical characterization of bi-pyramidal LiNi0.8Co0.1Mn0.1O2 cathode materials for lithium-ion batteries. J. Sol-Gel Sci. Technol. 2023, 108, 685–694. [Google Scholar] [CrossRef]
- Lu, C.-H.; Subburaj, T.; Chiou, H.-T.; Som, S.; Ou, C.Y.; Kumar, P.S.; Balaji, S. Facile sol-gel synthesis of LiMn0.5Fe0.5PO4 cathode materials fostered by bio-derived natural agar. Ionics 2020, 26, 1051–1056. [Google Scholar] [CrossRef]
- Azevêdo, H.V.S.B.; Raimundo, R.A.; Ferreira, L.S.; Silva, M.M.S.; Morales, M.A.; Macedo, D.A.; Gomes, U.U.; Cavalcante, D.G.L. Green synthesis of CoWO4 powders using agar-agar from red seaweed (Rhodophyta): Structure, magnetic properties and battery-like behavior. Mater. Chem. Phys. 2020, 242, 122544. [Google Scholar] [CrossRef]
- Hazaana, S.A.; Joseph, A.; Selvasekarapandian, S.; Naachiyar, R.M.; Vignesh, N.M. Performance of solid-state Li-ion conducting battery using biopolymer electrolyte based on agar–agar/lithium chloride. J. Solid State Electrochem. 2023, 27, 539–557. [Google Scholar] [CrossRef]
- Raphael, E.; Jara, D.H.; Schiavon, M.A. Optimizing photovoltaic performance in CuInS2 and CdS quantum dot-sensitized solar cells by using an agar-based gel polymer electrolyte. RSC Adv. 2017, 7, 6492–6500. [Google Scholar] [CrossRef]
- Fetyan, A.; Alhammadi, A.; Matouk, Z.; Andisetiawan, A.; Bahaa, A. Influence of eco-friendly agar-derivatives on the electrochemical performance of carbon felts electrodes of vanadium redox flow battery. J. Energy Storage 2024, 84, 110599. [Google Scholar] [CrossRef]
- Xu, C.; Yang, C.; Liu, X.; He, Y.; Xing, X.; Zhao, Y.; Qian, Z.; Zheng, J.; Hao, Z. Agar-stabilized sulfidated microscale zero-valent iron: Its stability and performance in chromate reduction. J. Hazard. Mater. 2021, 417, 126019. [Google Scholar] [CrossRef] [PubMed]
- Sun, P.; Chen, J.; Huang, Y.; Tian, J.-H.; Li, S.; Wang, G.; Zhang, Q.; Tian, Z.; Zhang, L. High-Strength agarose gel electrolyte enables long-endurance wearable Al-air batteries with greatly suppressed self-corrosion. Energy Storage Mater. 2021, 34, 427–435. [Google Scholar] [CrossRef]
- Yan, T.; Zou, Y.; Zhang, X.; Li, D.; Guo, X.; Yang, D. Hydrogen Bond Interpenetrated Agarose/PVA Network: A Highly Ionic Conductive and Flame-Retardant Gel Polymer Electrolyte. ACS Appl. Mater. Interfaces 2021, 13, 9856–9864. [Google Scholar] [CrossRef] [PubMed]
- Liu, J.; Maimaitiyiming, X.; Kuerban, Z. Oxygen reduction performance study of Fe/Ni doped PAAM/Agar double net hydrogel carbon materials. ChemistrySelect 2023, 8, e202302746. [Google Scholar] [CrossRef]
- Liu, G.; Ma, Q.; Zhang, X. Agar-polyacrylamide dual network hydrogel-carbon nanotube composites with long-term stability for high efficient solar water purification. Compos. Commun. 2025, 53, 102248. [Google Scholar] [CrossRef]
- Cirillo, G.; Hampel, S.; Spizzirri, U.G.; Parisi, O.I.; Picci, N.; Iemma, F. Carbon nanotubes hybrid hydrogels in drug delivery: A perspective review. BioMed Res. Int. 2014, 2014, 825017. [Google Scholar] [CrossRef]
- Sivashankari, P.; Prabaharan, M. Three-dimensional porous scaffolds based on agarose/chitosan/graphene oxide composite for tissue engineering. Int. J. Biol. Macromol. 2020, 146, 222–231. [Google Scholar] [CrossRef]
- Xiong, C.; Li, T.; Khan, M.; Li, H.; Zhao, T. A three-dimensional MnO2/graphene hybrid as a binder-free supercapacitor electrode. RSC Adv. 2015, 5, 85613–85619. [Google Scholar] [CrossRef]
- Khan, M.; Hussain, A.; Saleh, M.T.; Ibrahim, M.; Attique, F.; Sun, X.; Unalan, H.E.; Shafi, M.; Khan, Y.; Khan, I.; et al. Cutting-edge advancements in MXene-derived materials: Revolutionary electrocatalysts for hydrogen evolution and high-performance energy storage. Coord. Chem. Rev. 2024, 506, 215722. [Google Scholar] [CrossRef]
- Khan, M.; Tiehu, L.; Zaidi, S.B.A.; Javed, E.; Hussain, A.; Hayat, A.; Zada, A.; Alei, D.; Ullah, A. Synergistic effect of nanodiamond and titanium oxide nanoparticles on the mechanical, thermal and electrical properties of pitch-derived carbon foam composites. Polym. Int. 2021, 70, 1733–1740. [Google Scholar] [CrossRef]
- Vaghela, C.; Kulkarni, M.; Karve, M.; Zinjarde, S. Selective electrochemical sensing of bisphenol derivatives using novel bioelectrode of agarose-guar gum-graphene oxide immobilized with tyrosinase. J. Environ. Chem. Eng. 2022, 10, 107360. [Google Scholar] [CrossRef]
- Guo, Z.; Hao, T.; Duan, J.; Wang, S.; Wei, D. Electrochemiluminescence immunosensor based on graphene–CdS quantum dots–agarose composite for the ultrasensitive detection of alpha fetoprotein. Talanta 2012, 89, 27–32. [Google Scholar] [CrossRef] [PubMed]
- Hwang, S.; Zhou, J.; Tang, T.; Goossens, K.; Bielawski, C.W.; Geng, J. Agarose-Based Hierarchical Porous Carbons Prepared with Gas-Generating Activators and Used in High-Power Density Supercapacitors. Energy Fuels 2021, 35, 19775–19783. [Google Scholar] [CrossRef]
- Rehman, A.U.; Khan, M.; Maosheng, Z. Hydration behavior of MgSO4–ZnSO4 composites for long-term thermochemical heat storage application. J. Energy Storage 2019, 26, 101026. [Google Scholar] [CrossRef]
- Xiong, C.; Li, T.; Zhao, T.; Khan, M.; Wang, J.; Ji, X.; Li, H.; Liu, W.; Shang, Y. Preparation of C/C–SiC composite by low temperature compression molding–liquid silicon infiltration and its application in automobile brake. Ceram. Int. 2016, 42, 1057–1062. [Google Scholar] [CrossRef]
- Yang, Y.; Wang, T.; Guo, Y.; Liu, P.; Han, X.; Wu, D. Agar-PVA/GO double network gel electrolyte for high performance flexible zinc-air batteries. Mater. Today Chem. 2023, 29, 101384. [Google Scholar] [CrossRef]
- Ji, Y.; Wang, T.; Yao, X.; Gao, J.; Chu, Y.; Sun, J.; Dong, H.; Sha, J. Regulating microstructure in agar-derived N-doped hard carbon towards enhanced sodium ion storage. J. Energy Storage 2025, 106, 114640. [Google Scholar] [CrossRef]
- Samadi, N.; Sabzi, M.; Babaahmadi, M. Self-healing and tough hydrogels with physically cross-linked triple networks based on Agar/PVA/Graphene. Int. J. Biol. Macromol. 2018, 107, 2291–2297. [Google Scholar] [CrossRef] [PubMed]
- de Araujo, C.M.B.; Rios, A.G.; Ferreira, A.F.P.; da Motta Sobrinho, M.A.; Rodrigues, A.E.; Ghislandi, M.G. Agar/graphene oxide hydrogels as nano-bioadsorbents: A comparative analysis for dye removal. Environ. Sci. Pollut. Res. 2024, 31, 53629–53641. [Google Scholar] [CrossRef] [PubMed]
- de Araujo, C.M.B.; Ghislandi, M.G.; Rios, A.G.; da Costa, G.R.B.; do Nascimento, B.F.; Ferreira, A.F.P.; da Motta Sobrinho, M.A.; Rodrigues, A.E. Wastewater treatment using recyclable agar-graphene oxide biocomposite hydrogel in batch and fixed-bed adsorption column: Bench experiments and modeling for the selective removal of organics. Colloids Surf. A Physicochem. Eng. Asp. 2022, 639, 128357. [Google Scholar] [CrossRef]
- Bezerra de Araujo, C.M.; Wernke, G.; Ghislandi, M.G.; Diório, A.; Vieira, M.F.; Bergamasco, R.; Alves da Motta Sobrinho, M.; Rodrigues, A.E. Continuous removal of pharmaceutical drug chloroquine and Safranin-O dye from water using agar-graphene oxide hydrogel: Selective adsorption in batch and fixed-bed experiments. Environ. Res. 2023, 216, 114425. [Google Scholar] [CrossRef]
- Felipe Melo Lima Gomes, B.; de Araujo, C.M.B.; do Nascimento, B.F.; da Silva Santos, R.K.; de Luna Freire, E.M.P.; Da Motta Sobrinho, M.A.; Carvalho, M.N. Adsorption of Cd (II) ions and methyl violet dye by using an agar-graphene oxide nano-biocomposite. Environ. Technol. 2024, 45, 2957–2968. [Google Scholar] [CrossRef] [PubMed]
- Tang, T.; Goossens, K.; Lu, S.J.; Meng, D.; Bielawski, C.W. Agar-reduced graphene oxide selectively adsorbs organic dyes and strengthens double-network hydrogels. RSC Adv. 2020, 10, 29287–29295. [Google Scholar] [CrossRef] [PubMed]
- Bagheri, O.; Esmkhani, M.; Javanshir, S.; Aghabarari, B. Preparation of agar functionalized graphene oxide-immobilized copper ferrite aerogel for dye degradation via dark-Fenton oxidative process. Int. J. Biol. Macromol. 2023, 253, 127432. [Google Scholar] [CrossRef] [PubMed]
- Liu, Q.; Wu, D.; Wang, T.; Guo, Y. Polysaccharide of agar based ultra-high specific surface area porous carbon for superior supercapacitor. Int. J. Biol. Macromol. 2023, 228, 40–47. [Google Scholar] [CrossRef]
- Wang, T.; Sha, J.; Wang, W.; Ji, Y.; Zhang, Z.-M. Agar-derived nitrogen-doped porous carbon as anode for construction of cost-effective lithium-ion batteries. Chin. Chem. Lett. 2023, 34, 107929. [Google Scholar] [CrossRef]
- Liew, S.Y.; Juan, J.C.; Lai, C.W.; Pan, G.-T.; Yang, T.C.K.; Lee, T.K. An eco-friendly water-soluble graphene-incorporated agar gel electrolyte for magnesium-air batteries. Ionics 2019, 25, 1291–1301. [Google Scholar] [CrossRef]
- Jiang, J.; Zhao, R.; Wang, T.; Song, B.; Chen, Y.; Zhang, H.; Dong, B. Agar/graphene conductive organogel with self-healable, adhesive, and wearable properties. J. Mater. Sci. 2023, 58, 5287–5297. [Google Scholar] [CrossRef]
- Lv, L.; Hui, B.; Zhang, X.; Zou, Y.; Yang, D. Lamellar agarose/graphene oxide gel polymer electrolyte network for all-solid-state supercapacitor. Chem. Eng. J. 2023, 452, 139443. [Google Scholar] [CrossRef]
- Guo, Y.; Wang, T.; Chen, X.; Wu, D. Agar-based porous electrode and electrolyte for flexible symmetric supercapacitors with ultrahigh energy density. J. Power Sources 2021, 507, 230252. [Google Scholar] [CrossRef]
- Krempiński, A.; Rudnicki, K.; Korzonek, W.; Poltorak, L. 3D-printed gelled electrolytes for electroanalytical applications. Sci. Rep. 2025, 15, 6917. [Google Scholar] [CrossRef]
- Wei, J.; Wang, J.; Su, S.; Wang, S.; Qiu, J.; Zhang, Z.; Christopher, G.; Ning, F.; Cong, W. 3D printing of an extremely tough hydrogel. RSC Adv. 2015, 5, 81324–81329. [Google Scholar] [CrossRef]
- Kong, I.; Tshai, K.; Hoque, M.E. Manufacturing of natural fibre-reinforced polymer composites by solvent casting method. In Manufacturing of Natural Fibre Reinforced Polymer Composites; Springer: Berlin/Heidelberg, Germany, 2015; pp. 331–349. [Google Scholar]
- Siemann, U. Solvent cast technology–a versatile tool for thin film production. In Scattering Methods and the Properties of Polymer Materials; Springer: Berlin/Heidelberg, Germany, 2005; pp. 1–14. [Google Scholar]
- Munro, C.D.; Plucknett, K.P. Agar-Based Aqueous Gel Casting of Barium Titanate Ceramics. Int. J. Appl. Ceram. Technol. 2011, 8, 597–609. [Google Scholar] [CrossRef]
- Han, K.; Sathiyaseelan, A.; Lu, Y.; Kim, K.M.; Wang, M.-H. Agar/carboxymethyl cellulose composite film loaded with hydroxyapatite nanoparticles for bone regeneration. Cellulose 2024, 31, 9319–9334. [Google Scholar] [CrossRef]
- Jayram, J.; Kondaveeti, S.S.; Balu, A.; Madhavan, Y.; Kalachaveedu, M. Polymer blended Acalypha indica bioactive for potential wound dressing applications through solvent casting—An experimental interrogation. Biomass Convers. Biorefinery 2023, 15, 4985–4997. [Google Scholar] [CrossRef]
- Rathore, K.; Upadhyay, D.; Verma, N.; Gupta, A.K.; Matheshwaran, S.; Sharma, S.; Verma, V. Asymmetric Janus Nanofibrous Agar-Based Wound Dressing Infused with Enhanced Antioxidant and Antibacterial Properties. ACS Appl. Bio Mater. 2024, 7, 7608–7623. [Google Scholar] [CrossRef]
- Diop, C.I.K.; Beltran, S.; Sanz, M.-T.; Garcia-Tojal, J.; Trigo-lopez, M. Designing bilayered composite films by direct agar/chitosan and citric acid-crosslinked PVA/agar layer-by-layer casting for packaging applications. Food Hydrocoll. 2023, 144, 108987. [Google Scholar] [CrossRef]
- Jiang, S.; Chen, Y.; Duan, G.; Mei, C.; Greiner, A.; Agarwal, S. Electrospun nanofiber reinforced composites: A review. Polym. Chem. 2018, 9, 2685–2720. [Google Scholar] [CrossRef]
- Lee, J.K.Y.; Chen, N.; Peng, S.; Li, L.; Tian, L.; Thakor, N.; Ramakrishna, S. Polymer-based composites by electrospinning: Preparation & functionalization with nanocarbons. Prog. Polym. Sci. 2018, 86, 40–84. [Google Scholar] [CrossRef]
- Badshah, F.; Zhou, Y.; Idrees, M.; Ziauddin; Rahmatullah. Vacuum-induced excitation of surface plasmon polaritons. Phys. Rev. A 2025, 112, 043706. [Google Scholar] [CrossRef]
- Duman, O.; Uğurlu, H.; Diker, C.Ö.; Tunç, S. Fabrication of highly hydrophobic or superhydrophobic electrospun PVA and agar/PVA membrane materials for efficient and selective oil/water separation. J. Environ. Chem. Eng. 2022, 10, 107405. [Google Scholar] [CrossRef]
- Rathore, K.; Singh, I.; Balani, K.; Sharma, S.; Verma, V. Fabrication and characterization of multi-layered coaxial agar-based electrospun biocomposite mat, novel replacement for transdermal patches. Int. J. Biol. Macromol. 2024, 275, 133712. [Google Scholar] [CrossRef] [PubMed]
- Wypych, G. Handbook of Curatives and Crosslinkers; Elsevier: Amsterdam, The Netherlands, 2024. [Google Scholar]
- Trimukhe, K.D. Crosslinking Reactions of Chitosan and Their Applications. Ph.D. Thesis, University of Pune, Pune, India, 2007. [Google Scholar]
- Belay, M.; Tyeb, S.; Rathore, K.; Kumar, M.; Verma, V. Synergistic effect of bacterial cellulose reinforcement and succinic acid crosslinking on the properties of agar. Int. J. Biol. Macromol. 2020, 165, 3115–3122. [Google Scholar] [CrossRef] [PubMed]
- Wang, R.; Li, N.; Jiang, B.; Li, J.; Hong, W.; Jiao, T. Facile preparation of agar/polyvinyl alcohol-based triple-network composite hydrogels with excellent mechanical performances. Colloids Surf. A Physicochem. Eng. Asp. 2021, 615, 126270. [Google Scholar] [CrossRef]
- Gürkan Polat, T.; Duman, O.; Tunç, S. Preparation and characterization of environmentally friendly agar/κ-carrageenan/montmorillonite nanocomposite hydrogels. Colloids Surf. A Physicochem. Eng. Asp. 2020, 602, 124987. [Google Scholar] [CrossRef]
- Hennink, W.E.; van Nostrum, C.F. Novel crosslinking methods to design hydrogels. Adv. Drug Deliv. Rev. 2012, 64, 223–236. [Google Scholar] [CrossRef]
- Li, X.; Zhang, Y.; Yang, Q.; Li, D.; Zhang, G.; Long, S. Agar/PAAc-Fe3+ hydrogels with pH-sensitivity and high toughness using dual physical cross-linking. Iran. Polym. J. 2018, 27, 829–840. [Google Scholar] [CrossRef]
- Mahamoud, M.M.; Ketema, T.M.; Kuwahara, Y.; Takafuji, M. Enhancement of Mechanical Properties of Benign Polyvinyl Alcohol/Agar Hydrogel by Crosslinking Tannic Acid and Applying Multiple Freeze/Thaw Cycles. Gels 2024, 10, 527. [Google Scholar] [CrossRef]
- Li, W.; Wu, Z.; Zhao, J.; Jiang, M.; Yuan, L.; Guo, Y.; Li, S.; Hu, L.; Xie, X.; Zhang, Y.; et al. Fabrication of dual physically cross-linked polyvinyl alcohol/agar hydrogels with mechanical stability and antibacterial activity for wound healing. Int. J. Biol. Macromol. 2023, 247, 125652. [Google Scholar] [CrossRef]
- Huang, D.; Quan, Q.; Zheng, Y.; Tang, W.; Zhang, Z.; Qiang, X. Dual-network design to enhance the properties of agar aerogel adsorbent by incorporating in situ ion cross-linked alginate. Environ. Chem. Lett. 2020, 18, 251–255. [Google Scholar] [CrossRef]
- Hu, W.; Yu, L.; Ma, Z.; Liu, Y. W-Y2O3 composite nanopowders prepared by freeze-drying method and its sintering characteristics. J. Alloys Compd. 2019, 806, 127–135. [Google Scholar] [CrossRef]
- Du, Y.; Zhang, M.; Mujumdar, A.S.; Liu, W.; Yang, C. Innovative applications of freeze-drying to produce compound formula instant foods: A review. Dry. Technol. 2022, 40, 2583–2597. [Google Scholar] [CrossRef]
- Badshah, F.; Lü, D.-Y.; Xie, J.; Shi, Z.; He, Q.; Idrees, M. Manipulation of photonic spin Hall effect via controllable double-tunneling induced transparency in quantum dot molecules. Opt. Laser Technol. 2025, 192, 113816. [Google Scholar] [CrossRef]
- Ajisafe, V.A.; Raichur, A.M. Snail Mucus-Enhanced Adhesion of Human Chondrocytes on 3D Porous Agarose Scaffolds. ACS Appl. Mater. Interfaces 2024, 16, 11324–11335. [Google Scholar] [CrossRef] [PubMed]
- Xie, K.; Liu, X.; Li, H.; Fang, L.; Xia, K.; Yang, D.; Zou, Y.; Zhang, X. Heteroatom tuning in agarose derived carbon aerogel for enhanced potassium ion multiple energy storage. Carbon Energy 2024, 6, e427. [Google Scholar] [CrossRef]
- Duman, O.; Diker, C.Ö.; Uğurlu, H.; Tunç, S. Highly hydrophobic and superoleophilic agar/PVA aerogels for selective removal of oily substances from water. Carbohydr. Polym. 2022, 286, 119275. [Google Scholar] [CrossRef] [PubMed]
- Sang, S.; Zhao, Y.; Shen, Z.; Cao, Y.; Cheng, R.; Yan, Y.; Jian, A.; Wang, J. Collagen-coated agarose–chitosan scaffold used as a skin substitute. Biotechnol. Appl. Biochem. 2023, 70, 1206–1216. [Google Scholar] [CrossRef]
- Kumar, N.; Desagani, D.; Chandran, G.; Ghosh, N.N.; Karthikeyan, G.; Waigaonkar, S.; Ganguly, A. Biocompatible agarose-chitosan coated silver nanoparticle composite for soft tissue engineering applications. Artif. Cells Nanomed. Biotechnol. 2018, 46, 637–649. [Google Scholar] [CrossRef]
- Prabhakar, M.M.; Saravanan, A.; Lenin, A.H.; Mayandi, K.; Ramalingam, P.S. A short review on 3D printing methods, process parameters and materials. Mater. Today Proc. 2021, 45, 6108–6114. [Google Scholar] [CrossRef]
- Zhang, D.; Liu, X.; Qiu, J. 3D printing of glass by additive manufacturing techniques: A review. Front. Optoelectron. 2021, 14, 263–277. [Google Scholar] [CrossRef]
- Ngo, T.D.; Kashani, A.; Imbalzano, G.; Nguyen, K.T.; Hui, D. Additive manufacturing (3D printing): A review of materials, methods, applications and challenges. Compos. Part B Eng. 2018, 143, 172–196. [Google Scholar] [CrossRef]
- El-Sayegh, S.; Romdhane, L.; Manjikian, S. A critical review of 3D printing in construction: Benefits, challenges, and risks. Arch. Civ. Mech. Eng. 2020, 20, 34. [Google Scholar] [CrossRef]
- Prashar, G.; Vasudev, H.; Bhuddhi, D. Additive manufacturing: Expanding 3D printing horizon in industry 4.0. Int. J. Interact. Des. Manuf. 2023, 17, 2221–2235. [Google Scholar] [CrossRef]
- Ghaedamini, S.l.; Karbasi, S.; Hashemibeni, B.; Honarvar, A.; Rabiei, A. PCL/Agarose 3D-printed scaffold for tissue engineering applications: Fabrication, characterization, and cellular activities. Res. Pharm. Sci. 2023, 18, 566–579. [Google Scholar] [CrossRef] [PubMed]
- Yang, B.; Liu, T.; Gao, G.; Zhang, X.; Wu, B. Fabrication of 3D GelMA Scaffolds Using Agarose Microgel Embedded Printing. Micromachines 2022, 13, 469. [Google Scholar] [CrossRef]
- Wang, J.; Liu, Y.; Zhang, X.; Rahman, S.E.; Su, S.; Wei, J.; Ning, F.; Hu, Z.; Martínez-Zaguilán, R.; Sennoune, S.R.; et al. 3D printed agar/calcium alginate hydrogels with high shape fidelity and tailorable mechanical properties. Polymer 2021, 214, 123238. [Google Scholar] [CrossRef]
- Vijayaraghavan, R.; Loganathan, S.; Valapa, R.B. Fabrication of GelMA–Agarose Based 3D Bioprinted Photocurable Hydrogel with In Vitro Cytocompatibility and Cells Mirroring Natural Keratocytes for Corneal Stromal Regeneration. Macromol. Biosci. 2024, 24, 2400136. [Google Scholar] [CrossRef] [PubMed]
- Mukundan, L.M.; Rajasekaran, R.; Das, S.; Seesala, V.S.; Ganguly, D.; Kumar, N.; Dhara, S.; Chattopadhyay, S. Tailoring of agarose hydrogel to modulate its 3D bioprintability and mechanical properties for stem cell mediated bone tissue engineering. Int. J. Biol. Macromol. 2025, 309, 142795. [Google Scholar] [CrossRef] [PubMed]
- Sartip, E.; Behzad, T.; Kharaziha, M. Fabrication and characterization of 3D printed agarose/poly(ethylene glycol) diacrylate/hydroxyapatite nanocomposite hydrogel for cartilage tissue engineering. Int. J. Biol. Macromol. 2025, 320, 145573. [Google Scholar] [CrossRef] [PubMed]
- Zhang, W.; Hao, M.-F.; Peng, H.; Wei, D.-Y.; Yao, J.-J.; Guo, T.; Yang, L.-M.; Wang, H.-J. Fabrication of PBS/PLA/Fibroin-Agarose nerve guidance conduit with sandwich compression resistant wall structure for repairment of 10 mm-sciatic nerve defect. Chem. Eng. J. 2025, 505, 159312. [Google Scholar] [CrossRef]
- Cao, F.; Zadeh, H.N.; Świacka, K.; Maculewicz, J.; Bowles, D.; Huber, T.; Clucas, D. An additive manufacturing approach for fabrication of agarose hydrogel structures for protein sorption application. Mater. Des. 2025, 250, 113581. [Google Scholar] [CrossRef]
- Chaudhary, J.; Thakur, S.; Sharma, M.; Gupta, V.K.; Thakur, V.K. Development of biodegradable agar-agar/gelatin-based superabsorbent hydrogel as an efficient moisture-retaining agent. Biomolecules 2020, 10, 939. [Google Scholar] [CrossRef]
- Oe, T.; Dechojarassri, D.; Kakinoki, S.; Kawasaki, H.; Furuike, T.; Tamura, H. Microwave-assisted incorporation of AgNP into chitosan–alginate hydrogels for antimicrobial applications. J. Funct. Biomater. 2023, 14, 199. [Google Scholar] [CrossRef] [PubMed]
- Qi, B.; Yang, S.; Zhao, Y.; Wang, Y.; Yang, X.; Chen, S.; Wu, Y.; Pan, C.; Hu, X.; Li, C. Comparison of the Physicochemical Properties of Carboxymethyl Agar Synthesized by Microwave-Assisted and Conventional Methods. Gels 2022, 8, 162. [Google Scholar] [CrossRef] [PubMed]
- Kabir, E. Application of microwave heating in polymer synthesis: A review. Results Chem. 2023, 6, 101178. [Google Scholar] [CrossRef]
- Chen, X.; Yang, J.; Shen, M.; Chen, Y.; Yu, Q.; Xie, J. Structure, function and advance application of microwave-treated polysaccharide: A review. Trends Food Sci. Technol. 2022, 123, 198–209. [Google Scholar] [CrossRef]
- More, A.P.; Chapekar, S. Irradiation assisted synthesis of hydrogel: A Review. Polym. Bull. 2024, 81, 5839–5908. [Google Scholar] [CrossRef]
- Wali, A.S.; Kumar, S.; Khan, D. A review on recent development and application of radiation curing. Mater. Today Proc. 2023, 82, 68–74. [Google Scholar] [CrossRef]
- Abliz, D.; Duan, Y.; Steuernagel, L.; Xie, L.; Li, D.; Ziegmann, G. Curing methods for advanced polymer composites-a review. Polym. Polym. Compos. 2013, 21, 341–348. [Google Scholar] [CrossRef]
- Tudoran, C.; Roşu, M.C.; Coroş, M. A concise overview on plasma treatment for application on textile and leather materials. Plasma Process. Polym. 2020, 17, 2000046. [Google Scholar] [CrossRef]
- Chang, G.; Yang, M.; Xu, Z.; Wang, X.; Li, W.; He, M.; Zhang, J.; Xu, Y.; Wang, L.; Zhang, L. Preparation of agarose microspheres with large pore size and high load and purification of antibody in serum based on microfluidic technology. Colloid. Polym. Sci. 2025, 303, 693–711. [Google Scholar] [CrossRef]
- Wang, J.; Hu, H.; Yang, Z.; Wei, J.; Li, J. IPN hydrogel nanocomposites based on agarose and ZnO with antifouling and bactericidal properties. Mater. Sci. Eng. C 2016, 61, 376–386. [Google Scholar] [CrossRef]
- Xie, K.; Xia, K.; Ding, X.; Fang, L.; Liu, X.; Zhang, X. Facile preparation of 3D porous agar-based heteroatom-doped carbon aerogels for high-energy density supercapacitors. RSC Adv. 2022, 12, 20975–20982. [Google Scholar] [CrossRef]
- Hu, X.; Zhuo, K.; Sun, D.; Du, Q.; Sun, L.; Chen, Y.; Bai, G.; Wang, J. Nitrogen-doped agar-derived porous carbon with long cycle life for high-performance ionic liquid-based supercapacitors. Diam. Relat. Mater. 2023, 139, 110332. [Google Scholar] [CrossRef]
- Wang, T.; Liu, L.; Wei, Y.; Gao, Y.; Wang, S.; Jia, D.; Zhang, W.; Sha, J. Agar-Derived Slope-Dominated Carbon Anode with Puparium Like Nano-Morphology for Cost-Effective SIBs. Small 2024, 20, 2309809. [Google Scholar] [CrossRef] [PubMed]
- Cao, C.; Liu, S.; Fan, J.; Li, G.; Arenal, R.; Wang, C.; Li, W.; Xie, F. MoS2 Anchored on Agar-Derived 3D Nitrogen-Doped Porous Carbon for Electrocatalytic Hydrogen Evolution Reaction and Lithium-Ion Batteries. Adv. Sustain. Syst. 2022, 6, 2100393. [Google Scholar] [CrossRef]
- Wustoni, S.; Nikiforidis, G.; Ohayon, D.; Inal, S.; Indartono, Y.S.; Suendo, V.; Yuliarto, B. Performance of PEDOTOH/PEO-based Supercapacitors in Agarose Gel Electrolyte. Chem. Asian J. 2022, 17, e202200427. [Google Scholar] [CrossRef] [PubMed]
- Appiah, E.S.; Dzikunu, P.; Mahadeen, N.; Ampong, D.N.; Mensah-Darkwa, K.; Kumar, A.; Gupta, R.K.; Adom-Asamoah, M. Biopolymers-derived materials for supercapacitors: Recent trends, challenges, and future prospects. Molecules 2022, 27, 6556. [Google Scholar] [CrossRef]
- Tanwar, S.; Sharma, A. Insight into use of biopolymer in hybrid electrode materials for supercapacitor applications—A critical review. J. Appl. Phys. 2023, 133, 180701. [Google Scholar] [CrossRef]
- Ding, J.; Yang, Y.; Poisson, J.; He, Y.; Zhang, H.; Zhang, Y.; Bao, Y.; Chen, S.; Chen, Y.M.; Zhang, K. Recent advances in biopolymer-based hydrogel electrolytes for flexible supercapacitors. ACS Energy Lett. 2024, 9, 1803–1825. [Google Scholar] [CrossRef] [PubMed]
- Liang, W.; Ge, X.; Ge, J.; Li, T.; Zhao, T.; Chen, X.; Song, Y.; Cui, Y.; Khan, M.; Ji, J.; et al. Reduced Graphene Oxide Embedded with MQ Silicone Resin Nano-Aggregates for Silicone Rubber Composites with Enhanced Thermal Conductivity and Mechanical Performance. Polymers 2018, 10, 1254. [Google Scholar] [CrossRef] [PubMed]
- Yasmeen, H.; Zada, A.; Ali, S.; Khan, I.; Ali, W.; Khan, W.; Khan, M.; Anwar, N.; Ali, A.; Huerta-Flores, A.M.; et al. Visible light-excited surface plasmon resonance charge transfer significantly improves the photocatalytic activities of ZnO semiconductor for pollutants degradation. J. Chin. Chem. Soc. 2020, 67, 1611–1617. [Google Scholar] [CrossRef]
- Zhou, Y.; Wang, J.-W.; Cao, L.-Z.; Wang, G.-H.; Shi, Z.-Y.; Lü, D.-Y.; Huang, H.-B.; Hu, C.-S. Realization of chiral two-mode Lipkin–Meshkov–Glick models via acoustics. Rep. Prog. Phys. 2024, 87, 100502. [Google Scholar] [CrossRef] [PubMed]
- Wang, Z.; Li, H.; Tang, Z.; Liu, Z.; Ruan, Z.; Ma, L.; Yang, Q.; Wang, D.; Zhi, C. Hydrogel electrolytes for flexible aqueous energy storage devices. Adv. Funct. Mater. 2018, 28, 1804560. [Google Scholar] [CrossRef]
- Chan, C.Y.; Wang, Z.; Jia, H.; Ng, P.F.; Chow, L.; Fei, B. Recent advances of hydrogel electrolytes in flexible energy storage devices. J. Mater. Chem. A 2021, 9, 2043–2069. [Google Scholar] [CrossRef]
- Xu, T.; Liu, K.; Sheng, N.; Zhang, M.; Liu, W.; Liu, H.; Dai, L.; Zhang, X.; Si, C.; Du, H. Biopolymer-based hydrogel electrolytes for advanced energy storage/conversion devices: Properties, applications, and perspectives. Energy Storage Mater. 2022, 48, 244–262. [Google Scholar] [CrossRef]
- Badshah, F.; Sohrab, A.; Chuang, Y.-L.; Ziauddin; Shi, Z.; Dong, S.-H. Advanced manipulation of surface plasmon resonance and the Goos-Hänchen shift in a coupler-free system. Phys. Rev. A 2025, 111, 033702. [Google Scholar] [CrossRef]
- Ji, X.; Geng, H.; Akhtar, N.; Yang, X. Floquet engineering of point-gapped topological superconductors. Phys. Rev. B 2025, 111, 195419. [Google Scholar] [CrossRef]
- Zhang, M.; Cheng, J.; Zhang, L.; Li, Y.; Chen, M.; Chen, Y.; Shen, Z. Activated Carbon by One-Step Calcination of Deoxygenated Agar for High Voltage Lithium Ion Supercapacitor. ACS Sustain. Chem. Eng. 2020, 8, 3637–3643. [Google Scholar] [CrossRef]
- Kim, S.-K.; Koo, H.-J.; Liu, J.; Braun, P.V. Flexible and Wearable Fiber Microsupercapacitors Based on Carbon Nanotube–Agarose Gel Composite Electrodes. ACS Appl. Mater. Interfaces 2017, 9, 19925–19933. [Google Scholar] [CrossRef] [PubMed]
- Lizundia, E.; Kundu, D. Advances in natural biopolymer-based electrolytes and separators for battery applications. Adv. Funct. Mater. 2021, 31, 2005646. [Google Scholar] [CrossRef]
- Singh, R.; Polu, A.R.; Bhattacharya, B.; Rhee, H.-W.; Varlikli, C.; Singh, P.K. Perspectives for solid biopolymer electrolytes in dye sensitized solar cell and battery application. Renew. Sustain. Energy Rev. 2016, 65, 1098–1117. [Google Scholar] [CrossRef]
- Ghazali, N.M.; Samsudin, A.S. Progress on biopolymer as an application in electrolytes system: A review study. Mater. Today Proc. 2022, 49, 3668–3678. [Google Scholar] [CrossRef]
- Lin, A.; Yang, X. Seaweed extractions as promising polymer electrolytes for lithium batteries. E3S Web Conf. 2021, 308, 01022. [Google Scholar] [CrossRef]
- Lu, C.-H.; Li, K.-C.; Balaji, S.; Kumar, P.S. Agar-assisted sol-gel synthesis and electrochemical characterization of TiNb2O7 anode materials for lithium-ion batteries. Ceram. Int. 2021, 47, 18619–18624. [Google Scholar] [CrossRef]
- Sowmiya, S.; Shanthi, C. Preparation and characterization of sodium-ion conducting biopolymer electrolyte membrane based on agar-agar with sodium nitrite for primary Na-ion battery. Mater. Sci. Chem. Eng. 2024. [Google Scholar]
- Zhang, K.; Zhou, J.; Liu, H.; Wang, X.; Gao, J.; Chen, J.-L.; Qin, H.; Liu, W.; Lei, X.; Miao, L. Facile formation of Mg-containing interphase on nanosilicon from Agar/MgCO3 precursor for lithium-ion battery anodes. Prog. Nat. Sci. Mater. Int. 2024, 35, 177–186. [Google Scholar] [CrossRef]
- Lu, C.-H.; Li, W.Y.; Subburaj, T.; Ou, C.Y.; Kumar, P.S. Influence of bio-derived agar addition on the electrochemical performance of LiFePO4 cathode powders for Li-ion batteries. Ceram. Int. 2019, 45, 12218–12224. [Google Scholar] [CrossRef]
- Ali, N.I.; Abidin, S.Z.Z.; Majid, S.R. The High-Performance Polymer Electrolytes Based on Agarose–Mg (ClO4)2 for Application in Electrochemical Energy Storage Devices. J. Adv. Res. Fluid Mech. Therm. Sci. 2024, 118, 65–85. [Google Scholar]
- Hu, C.; Zhang, W.; Zhang, J.; Zhao, X.; Xu, C.; Yang, L.; Jiang, N.; Yin, S. Three-Dimensional Porous Spongy Ti3C2Tx MXene/Polyvinyl Alcohol/Agar Gel Electrolyte with High Ionic Conductivity Enables Highly Reversible Zinc-Ion Batteries. Energy Technol. 2024, 12, 2400772. [Google Scholar] [CrossRef]
- Mittal, N.; Ojanguren, A.; Kundu, D.; Lizundia, E.; Niederberger, M. Bottom-Up Design of a Green and Transient Zinc-Ion Battery with Ultralong Lifespan. Small 2023, 19, 2206249. [Google Scholar] [CrossRef]
- Li, B.; Ullah Khan, M.; Qv, C.; Chen, L.; Xiong, Y.; Zhang, L.; Wu, M. A wearable zinc-air battery based on an Agar hydrogel electrolyte for stable operation at −30 °C. Chem. Phys. Lett. 2023, 832, 140883. [Google Scholar] [CrossRef]
- Zheng, Z.; Liu, Y.; Li, Y.; Zhou, J.; Fu, G.; Yang, B.; Zhu, Y. Agar/polyacrylamide-based hydrogel polymer electrolyte for ultra-stable flexible aqueous lithium-zinc hybrid ion batteries. Appl. Mater. Today 2025, 42, 102585. [Google Scholar] [CrossRef]
- Leo Edward, M.; Roselin Ranjitha, M.; Thennarasu, G.; Ranjith Kumar, E.; Abd El-Rehim, A.F.; Jaisankar, V. A high-performance flexible biopolymer-based Ce oxide composite electrolyte for lithium-ion battery dendrite reduction. Mater. Sci. Semicond. Process. 2025, 187, 109101. [Google Scholar] [CrossRef]
- Li, Z.; Wu, Q.; Zhou, J.; Qin, H.; Miao, L.; Liu, W.; Lei, X.; Zhang, Z.; Lu, A.; Mo, Z. Agar-coated and NH4F Modified Nanosilicon as Anode Material for Lithium-ion Battery. J. Ceram. 2024, 45, 501–507. [Google Scholar] [CrossRef]
- Zhang, X.; Huang, Y.; Liu, Z.; Yang, Q.; Li, M.; Jiang, Y.; Wang, Z.; Chen, X.; Liu, Z.; Zhang, K. Bi-Functional Agarose-Filled Porous Polysulfone Protective Layer for Dendrite-Free Zn Anode. Small 2024, 21, 2407411. [Google Scholar] [CrossRef]
- Qu, Y.F.; Liu, X.; Qian, J.W.; Chen, J.; Chen, L.F. Agar-Based Interface for Suppressing Parasitic Reactions toward High-Performance Aqueous Zn-Ion Batteries. Batter. Supercaps 2024, 7, e202400159. [Google Scholar] [CrossRef]
- Ojanguren, A.; Mittal, N.; Lizundia, E.; Niederberger, M. Stable Na Electrodeposition Enabled by Agarose-Based Water-Soluble Sodium Ion Battery Separators. ACS Appl. Mater. Interfaces 2021, 13, 21250–21260. [Google Scholar] [CrossRef] [PubMed]
- Zhang, X.; Chu, Y.; Cui, X.; Li, Y.; Pan, Q. An ultra-thin polymer electrolyte based on single-helical-structured agarose for high performance solid-state lithium batteries. J. Mater. Chem. A 2021, 9, 26939–26948. [Google Scholar] [CrossRef]
- Joshi, J.S.; Langwald, S.V.; Ehrmann, A.; Sabantina, L. Algae-Based Biopolymers for Batteries and Biofuel Applications in Comparison with Bacterial Biopolymers—A Review. Polymers 2024, 16, 610. [Google Scholar] [CrossRef] [PubMed]
- Musa, M.T.; Shaari, N.; Kamarudin, S.K.; Wong, W.Y. Recent biopolymers used for membrane fuel cells: Characterization analysis perspectives. Int. J. Energy Res. 2022, 46, 16178–16207. [Google Scholar] [CrossRef]
- Palanisamy, G.; Thangarasu, S.; Dharman, R.K.; Patil, C.S.; Negi, T.P.P.S.; Kurkuri, M.D.; Pai, R.K.; Oh, T.H. The growth of biopolymers and natural earthen sources as membrane/separator materials for microbial fuel cells: A comprehensive review. J. Energy Chem. 2023, 80, 402–431. [Google Scholar] [CrossRef]
- Shi, J.; Shi, B. Environment-friendly design of lithium batteries starting from biopolymer-based electrolyte. Nano 2021, 16, 2130006. [Google Scholar] [CrossRef]
- Lee, W.-H.; Choi, S.-R.; Kim, J.-G. Effect of agar as electrolyte additive on the aluminum-air batteries. J. Electrochem. Soc. 2020, 167, 110503. [Google Scholar] [CrossRef]
- Hernández-Flores, G.; Andrio, A.; Compañ, V.; Solorza-Feria, O.; Poggi-Varaldo, H.M. Synthesis and characterization of organic agar-based membranes for microbial fuel cells. J. Power Sources 2019, 435, 226772. [Google Scholar] [CrossRef]
- Park, Y.-S.; Choe, Y.-J.; Lee, K.-J.; Yoon, K.-Y.; Hwang, H.-J. Fabrication and performance of an agar-aerogel composite membrane for polymer electrolyte membrane fuel cells. Int. J. Nanotechnol. 2018, 15, 568–577. [Google Scholar] [CrossRef]
- John, N. Comparative Study of the Effect of Clay-Based Proton Exchange Membrane and Agar-Agar in a Microbial Fuel Cell. UNIZIK J. Eng. Appl. Sci. 2020, 17, 228–241. [Google Scholar]
- Christwardana, M.; Kuntolaksono, S. Immobilization of Saccharomyces cerevisiae in agar polymer matrix to improves the performance of a yeast microbial fuel cell. AIP Conf. Proc. 2023, 2626, 100001. [Google Scholar]
- Singh, K. Optimization and performance evaluation of microbial fuel cell by varying agar concentration using different salts in salt bridge medium. Arch. Mater. Sci. Eng. 2020, 101, 79–84. [Google Scholar] [CrossRef]
- Uddin, S.S.; Prodhan, M.M.H.; Nurnabi, M. Studies on agar salt bridge based dual chamber microbial fuel cells using sludge and dustbin waste. Biomass Convers. Biorefinery 2025, 15, 9435–9443. [Google Scholar] [CrossRef]
- Zou, S.; Li, Y.; Jin, H.; Ning, F.; Xu, P.; Wen, Q.; Pan, S.; Dan, X.; Li, W.; Zhou, X. Highly Safe, Durable, Adaptable, and Flexible Fuel Cell Using Gel/Sponge Composite Material. Adv. Energy Mater. 2022, 12, 2103178. [Google Scholar] [CrossRef]
- Hou, S.; Liao, S.; Xiong, Z.; Zou, H.; Dang, D.; Zheng, R.; Shu, T.; Liang, Z.; Li, X.; Li, Y. Improvement of proton exchange membrane fuel cell performance in low-humidity conditions by adding hygroscopic agarose powder to the catalyst layer. J. Power Sources 2015, 273, 168–173. [Google Scholar] [CrossRef]
- Park, D.; Ok, J.; Lim, S.-R.; Lee, D.S. Saccharification of Agar for Electricity Production in Microbial Fuel Cells. J. Nanoelectron. Optoelectron. 2012, 7, 508–512. [Google Scholar] [CrossRef]
- Selvalakshmi, S.; Mathavan, T.; Selvasekarapandian, S.; Premalatha, M. Characterization of biodegradable solid polymer electrolyte system based on agar-NH4Br and its comparison with NH4I. J. Solid State Electrochem. 2019, 23, 1727–1737. [Google Scholar] [CrossRef]
- Selvalakshmi, S.; Mathavan, T.; Selvasekarapandian, S.; Premalatha, M. A study of electrochemical devices based on Agar-Agar-NH4I biopolymer electrolytes. AIP Conf. Proc. 2018, 1942, 140019. [Google Scholar]
- Saini, A.; Shankar, V. Investigating microbial fuel cell performance by developing salt bridge from agar and activated carbon derived from pine cones. Adv. Environ. Technol. 2025, 11, 116–129. [Google Scholar]


























| Composite | Polymer Type | Synthesis | Properties | Application in Energy Storage | Ref. |
|---|---|---|---|---|---|
| PVA/agar/PANI/PPy composite | PVA, PANI, PPy | Chemical crosslinking and in situ polymerization | Flexible; high areal capacitance (750.13 mF/cm2); high energy density (103.02 μWh/cm2); excellent cyclic stability (149% retention after 15,000 cycles) | All-in-one, lamination-free, flexible supercapacitors | [27] |
| PVA–agar hydrogel (PAGH) crosslinked with copper-doped carbon dots | PVA | Crosslinking with copper-doped carbon dots | Ca2+ recognition; fluorescence and electrical response; non-cytotoxic; bactericidal; flexible; biocompatible; ionic conductivity | Wearable biosensors for calcium ion monitoring in sweat | [123] |
| PVA/HPMC/agar hydrogel | PVA, HPMC, methyl cellulose, | Utilizes citric acid as a crosslinking agent in lieu of conventional PVA crosslinkers to promote polymerization of hydrogel | Mechanical property: 1.77 MPa; elongation at break: 766%; good recovery, fatigue resistance, and adhesion | Flexible hydrogel sensors capable of detecting mechanical strain and environmental changes (temperature and humidity) | [124] |
| PVA–CMC–SiO2–Cr2O3 NCs | PVA, CMC | Solution-casting technique with varying concentrations of SiO2 and Cr2O3 nanoparticles | Uniform morphology; amorphous structure; improved optical characteristics; enhanced antimicrobial efficacy | Optoelectronic nanodevices | [125] |
| PVA/agar/GO–EMIMBF4–Li2SO4 | PVA, graphene nanosheets | Freeze–thaw cycles | High specific capacitance (130 F g−1); excellent ion conductivity (39.2 mS cm−1); outstanding self-healing; wide temperature range (−30–80 °C); long cycle life | Wearable supercapacitors for energy storage devices | [126] |
| PVA/agar–EMIMBF4–Li2SO4 | PVA, ionic liquids | One-pot physical crosslinking; freeze–thaw cycles | Better tensile properties; excellent flexibility; temperature tolerance (−30 °C to 80 °C); high self-healing efficiency | Flexible supercapacitors for energy storage devices | [127] |
| PVA/agar hydrogel electrolytes | PVA | Chemically crosslinked | Biodegradable; cost-effective; environmentally friendly | Electrolytes in supercapacitors | [27] |
| PANI/PPy electrodes | PANI, PPy | Binder-free growth on hydrogel | High areal capacitance; energy and power density; excellent cyclic stability | Electrolytes in supercapacitors | [27] |
| Combined PVA/agar with PANI/PPy | PVA, PANI, PPy | Fabrication on hydrogel base | Areal capacitance: 750.13 mF/cm2; energy density: 103.02 μWh/cm2; power density: 497.22 μW/cm2; 149% capacity retention after 15,000 cycles | High-performance flexible energy storage devices | [27] |
| Solid-state Ag/AgCl reference electrode | PVA, polydimethylsiloxane (PDMS) | Modified with KCl–agar–PVA gel and PDMS liquid-junction layer | Low sensitivity to chloride; excellent potential stability; minimal drift; reliable electrochemical performance | pH sensing in culture-substrate online detection | [128] |
| Composite | Metal Type | Synthesis | Properties | Application in Energy Storage | Ref. |
|---|---|---|---|---|---|
| Agar–agar CoWO4 | Co, W | Proteic sol–gel | Particle size: 284 nm; crystallite size: 84 nm; paramagnetic behavior; magnetic moment: 4.926 μB | Used as electrodes in batteries for high-capacity energy storage in alkaline media | [144] |
| Agar–agar and LiCl electrolyte | Li | Solution-casting technique | Highly amorphous nature; low glass transition temperature (37 °C); high ionic conductivity (3.12 × 10−2 S/cm); good thermal and cyclic stability | Solid-state primary and secondary Li-ion batteries | [145] |
| Agar-based gel polysulfide electrolyte | Cd, Ti | Electrophoretic deposition | Conductivity comparable to liquid electrolytes; high wettability and permeation into TiO2 films | Enhanced performance and stability in solar cells | [146] |
| Agar-loaded felts | V | Agar-solution treatment on felts | Increased hydrophilicity; good catalytic activity for V4+/V5+ and V2+/V3+ redox couples; enhanced oxygen-functional groups on fibers | Electrode material in all-vanadium redox flow batteries for improved energy efficiency and discharge capacity retention | [147] |
| Agarose-based GPE | Zn | One-pot encapsulation of KOH in agarose | High ionic conductivity (0.45 S cm−1); excellent water retention; reduced zinc corrosion; high zinc utilization; good cyclability | Gel-polymer electrolytes in Zn-air batteries for stationary applications | [45] |
| LiMn0.5Fe0.5PO4 | Li, Mn, Fe | Agar-assisted sol–gel | Orthorhombic structure; reduced calcination temperature; enhanced particle size control; lower charge-transfer resistance | Cathode material for lithium-ion batteries | [143] |
| Sulfidated mZVI | Fe | Milling mZVI with elemental sulfur at 0.05 S/Fe molar ratio for 10 h | Improved stability in 2.0 g/L agar solution; decreased capacity and reaction kinetics for chromate reduction when coated with agar | Groundwater remediation for chromate reduction | [148] |
| Agar-coated MnO2 electrode | Mn | Agar as a microskin coating | Improved wettability; enhanced diffusion rate of Zn2+; reduced interface impedance; increased reversibility of MnO2/Mn2+ | Enhanced cycle life and stability in Zn/MnO2 batteries | [71] |
| High-strength agarose gel electrolyte | Al | Quasi-solid electrolyte interface | Extended discharge duration (20.1 h); high specific capacity (2148.5 mAh g−1, 2766.9 Wh kg−1) | Driving LED arrays and smartphones in wearable applications | [149] |
| Agarose/PVA gel-polymer electrolyte | Li | - | Specific capacitance: 697.22 mF cm−2 at 5 mA cm2; enhanced diffusion coefficient for Li+ | High-performance solid-state supercapacitors | [150] |
| Fe–Ni–NC electrocataylst | Fe, Ni | Enhanced ORR activity; methanol tolerance of 67.3%; Tafel slope: 93.24 mV dec−1; low H2O2 yield (3.31%); high electron transfer number | Electro-catalyst for DMFCs, particularly in oxygen-reduction reaction | [151] |
| Composite | Device Type | Specific Capacitance (F g−1) | Energy Density (Wh kg−1) | Power Density (W kg−1) | Cycle Life (Retention %/Cycles) | Ref. |
|---|---|---|---|---|---|---|
| 3D porous carbon from agar (N,O,S-doped APC) | Symmetric supercapacitor | 272 | 20.4 | 449 | 103.2%/10,000 | [234] |
| Agarose gel electrolyte with 8 M KOH | Zinc–air battery | - | 20.77 | 57.8%/302 | [45] | |
| N,O-codoped agar porous carbon (APC) | Symmetric supercapacitor | 272 (at 0.5 A g−1) | 20.4 | 449 | 100%/10,000 | [234] |
| Agar–agar-derived carbon | Supercapacitor (integrated with solar cell) | 170 | 17.7 | 85%/15,000 (at 1 A g−1) | [41] | |
| Agar-based porous electrode + agar electrolyte | Flexible supercapacitor | - | 22.1 | 450 | [172] | |
| Agarose-derived hierarchical porous carbon | Symmetric supercapacitor | 64 (1 A g−1) | 14.4 | 2000 | ~100%/10,000 | [160] |
| Agarose-gel-templated 3D wrinkled graphene electrode | Symmetric supercapacitor | - | 1.2–10 | 45–562 | - | [21] |
| Agarose/PVA gel polymer electrolyte | Solid-state supercapacitor | (697 mF cm−2 at 5 mA cm−2) | - | - | - | [150] |
| High-modulus agarose gel electrolyte (AGE) | Aqueous Zn-ion battery | - | - | - | 90%/10,000 | [25] |
| N-doped agar-derived porous carbon | Symmetric supercapacitor | - | 70.2 | 1810 | 83.3%/50,000 | [235] |
| PVA/agar hydrogel electrolyte | Symmetric supercapacitor | 200 (CV at 5 mV s−1) | - | - | - | [27] |
| PEDOT-OH/PEO electrodes in agarose gel electrolyte | Symmetric supercapacitor | 195.2 (10 mV s−1) | - | - | - | [238] |
| Agar-based hydrogel polymer electrolyte (agar + PAM) | Aqueous Zn-ion battery | - | - | - | 85%/50,000 | [50] |
Disclaimer/Publisher’s Note: The statements, opinions and data contained in all publications are solely those of the individual author(s) and contributor(s) and not of MDPI and/or the editor(s). MDPI and/or the editor(s) disclaim responsibility for any injury to people or property resulting from any ideas, methods, instructions or products referred to in the content. |
© 2025 by the authors. Licensee MDPI, Basel, Switzerland. This article is an open access article distributed under the terms and conditions of the Creative Commons Attribution (CC BY) license (https://creativecommons.org/licenses/by/4.0/).
Share and Cite
Akhter, Z.; Ullah, S.; Palevicius, A.; Janusas, G. Agar-Based Composites in Sustainable Energy Storage: A Comprehensive Review. Energies 2025, 18, 5618. https://doi.org/10.3390/en18215618
Akhter Z, Ullah S, Palevicius A, Janusas G. Agar-Based Composites in Sustainable Energy Storage: A Comprehensive Review. Energies. 2025; 18(21):5618. https://doi.org/10.3390/en18215618
Chicago/Turabian StyleAkhter, Zeenat, Sultan Ullah, Arvydas Palevicius, and Giedrius Janusas. 2025. "Agar-Based Composites in Sustainable Energy Storage: A Comprehensive Review" Energies 18, no. 21: 5618. https://doi.org/10.3390/en18215618
APA StyleAkhter, Z., Ullah, S., Palevicius, A., & Janusas, G. (2025). Agar-Based Composites in Sustainable Energy Storage: A Comprehensive Review. Energies, 18(21), 5618. https://doi.org/10.3390/en18215618

