Potential Impacts of Climate Change on South China Sea Wind Energy Resources Under CMIP6 Future Climate Projections
Abstract
1. Introduction
2. Materials and Methods
2.1. Data
2.1.1. Scatterometer Wind Data
2.1.2. CMIP6 Wind Data
2.2. Methods
3. Results and Discussion
3.1. Evaluation of Sea Surface Wind Data from CMIP6 GCMs
3.2. Projected Change in Wind Energy Resources Under Future Climatic Scenarios
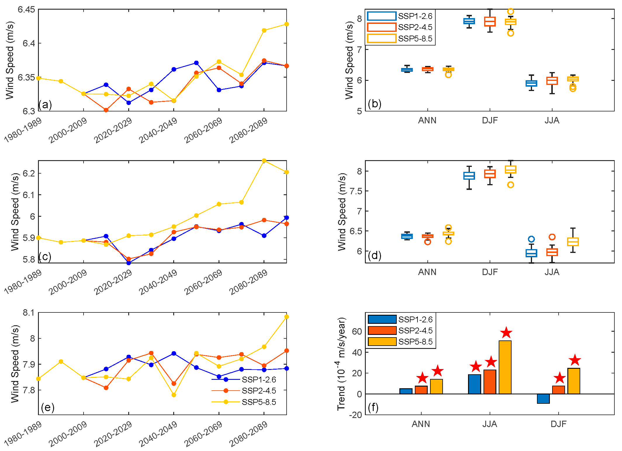
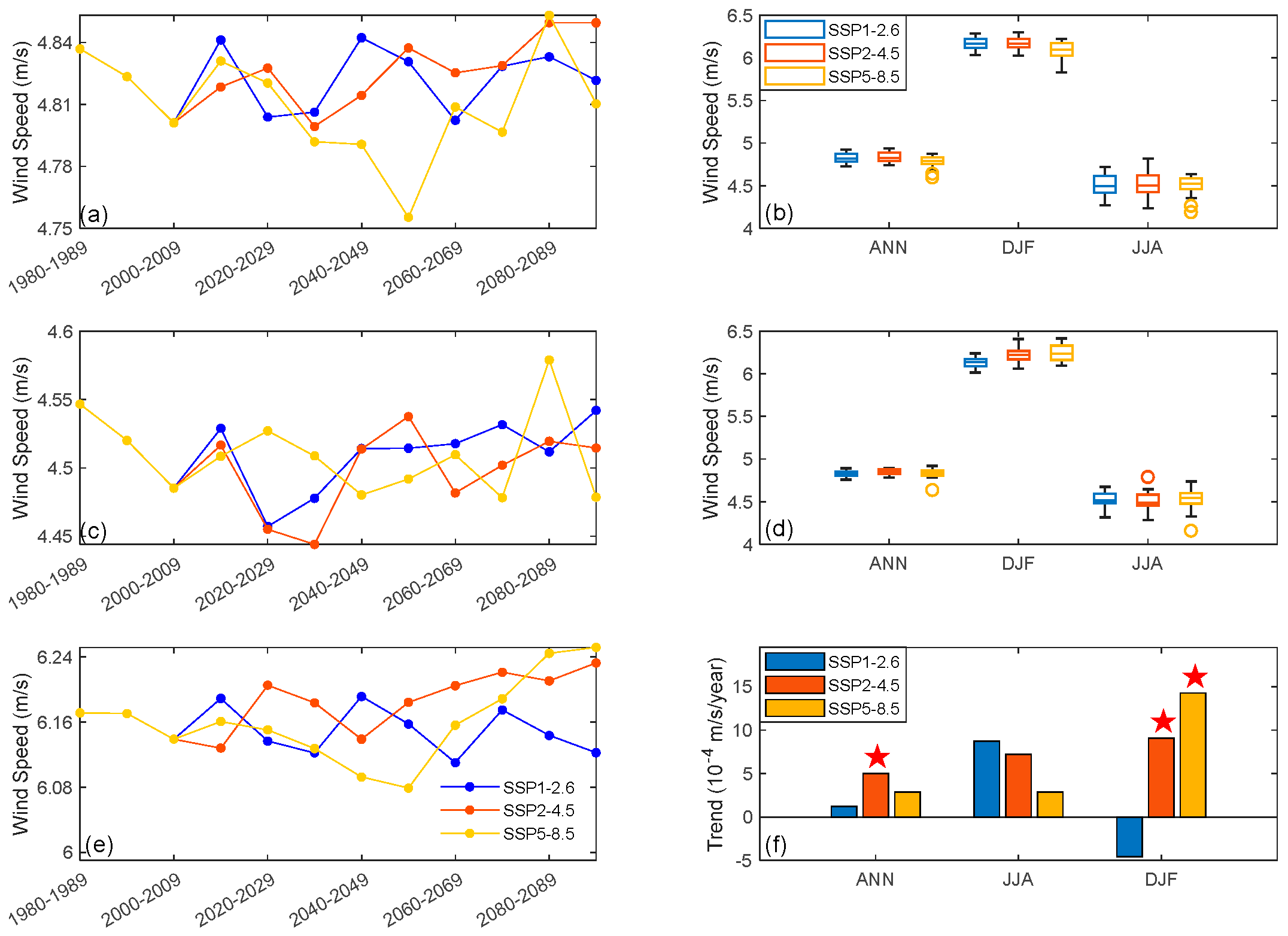
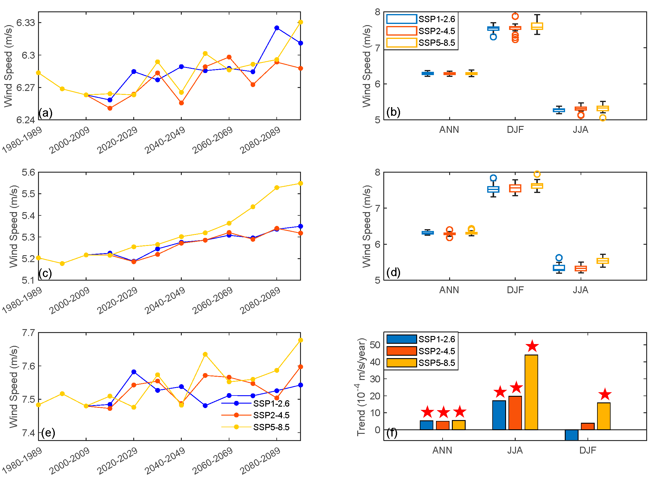
3.3. Long-Term Trends in Sea Surface Wind: Seasonal and Regional Dependency
3.4. Projected Changes in Extreme Wind Speed with Different Return Periods
4. Summary and Conclusions
4.1. Summary of Major Findings
4.2. Conclusions
Author Contributions
Funding
Data Availability Statement
Acknowledgments
Conflicts of Interest
Abbreviations
| CMIP6 | Coupled Model Intercomparison Project Phase 6 |
| CV | Coefficient of Variation |
| ECMWF | European Centre for Medium-range Weather Forecasts |
| EWS | extreme wind speed |
| GCMs | global climate models |
| IPCC | Intergovernmental Panel on Climate Change |
| KNMI | Royal Netherlands Meteorological Institute |
| MME | multi-model ensemble |
| OSI | EUMETSAT Ocean and Sea Ice Satellite Application Facility |
| RMSE | root mean square error |
| SCS | South China Sea |
| SSP | Shared Socioeconomic Pathway |
| WPD | wind power density |
References
- Olivier, J.G.; Schure, K.; Peters, J. Trends in Global CO2 and Total Greenhouse Gas Emissions; PBL Netherlands Environmental Assessment Agency: Hague, The Netherlands, 2017.
- IEA. Global Energy Review 2025; IEA: Paris, France, 2025; Available online: https://www.iea.org/reports/global-energy-review-2025 (accessed on 23 July 2025).
- Díaz, H.; Soares, C.G. Review of the current status, technology and future trends of offshore wind farms. Ocean Eng. 2020, 209, 107381. [Google Scholar] [CrossRef]
- Casey, J. The Future Is Offshore. Energy Global. 2024. Available online: https://www.energyglobal.com/special-reports/21062024/the-future-is-offshore/#embed (accessed on 13 June 2025).
- Satymov, R.; Bogdanov, D.; Breyer, C. Techno-economics of offshore wind power in global resolution. Appl. Energy 2025, 393, 125980. [Google Scholar] [CrossRef]
- Carvalho, D.; Rocha, A.; Costoya, X.; de Castro, M.; Gomez-Gesteira, M. Wind energy resource over Europe under CMIP6 future climate projections: What changes from CMIP5 to CMIP6. Renew. Sustain. Energy Rev. 2021, 151, 111594. [Google Scholar] [CrossRef]
- Pryor, S.C.; Barthelmie, R.J. Climate change impacts on wind energy: A review. Renew. Sustain. Energy Rev. 2010, 14, 430–437. [Google Scholar] [CrossRef]
- IPCC. Climate Change 2023: Synthesis Report Contribution of Working Groups, I; II; III to the Sixth Assessment Report of the Intergovernmental Panel on Climate Change; Core Writing Team, Lee, H., Romero, J., Eds.; IPCC: Geneva, Switzerland, 2023; pp. 35–115. [Google Scholar] [CrossRef]
- Eyring, V.; Bony, S.; Meehl, G.A.; Senior, C.A.; Stevens, B.; Stouffer, R.J.; Taylor, K.E. Overview of the coupled model intercomparison project phase 6 (CMIP6) experimental design and organization. Geosci. Model Dev. 2016, 9, 1937–1958. [Google Scholar] [CrossRef]
- Martinez, A.G.; Iglesias, G. Global wind energy resources decline under climate change. Energy 2024, 288, 129765. [Google Scholar] [CrossRef]
- Martinez, A.; Iglesias, G. Climate change impacts on wind energy resources in North America based on the CMIP6 projections. Sci. Total Environ. 2022, 806, 150580. [Google Scholar] [CrossRef]
- Moradian, S.; Akbari, M.; Iglesias, G. Optimized hybrid ensemble technique for CMIP6 wind data projections under different climate-change scenarios. Case study: United Kingdom. Sci. Total Environ. 2022, 826, 154124. [Google Scholar] [CrossRef]
- Barkanov, E.; Penalba, M.; Martinez, A.; Martinez-Perurena, A.; Zarketa-Astigarraga, A.; Iglesias, G. Evolution of the European offshore renewable energy resource under multiple climate change scenarios and forecasting horizons via CMIP6. Energ. Convers. Manag. 2024, 301, 118058. [Google Scholar] [CrossRef]
- Decastro, M.; Salvador, S.; Gómez-Gesteira, M.; Costoya, X.; Carvalho, D.; Sanz-Larruga, F.; Gimeno, L. Europe, China and the United States: Three different approaches to the development of offshore wind energy. Renew. Sustain. Energy Rev. 2019, 109, 55–70. [Google Scholar] [CrossRef]
- Kulkarni, S.; Deo, M.C.; Ghosh, S. Evaluation of wind extremes and wind potential under changing climate for Indian offshore using ensemble of 10 GCMs. Ocean Coast Manag. 2016, 121, 141–152. [Google Scholar] [CrossRef]
- Hagos, S.; Foltz, G.R.; Zhang, C.; Thompson, E.; Seo, H.; Chen, S.; Capotondi, A.; Reed, K.A.; DeMott, C.; Protat, A. Atmospheric Convection and Air–Sea Interactions over the Tropical Oceans: Scientific Progress, Challenges, and Opportunities. Bull. Am. Meteorol. Soc. 2020, 101, E253–E258. [Google Scholar] [CrossRef]
- Wang, F.; Li, X.; Tang, X.; Sun, X.; Zhang, J.; Yang, D.; Xu, L.; Zhang, H.; Yuan, H.; Wang, Y.; et al. The seas around China in a warming climate. Nat. Rev. Earth Environ. 2023, 4, 535–551. [Google Scholar] [CrossRef]
- Jiang, B.; Wei, Y.; Ding, J.; Zhang, R.; Liu, Y.; Wang, X.; Fang, Y. Trends of sea surface wind energy over the South China Sea. Oceanol. Limnol. 2019, 37, 1510–1522. [Google Scholar] [CrossRef]
- Yu, Z.; Metzger, E.J.; Fan, Y. Generation mechanism of the counter-wind South China Sea Warm Current in winter. Ocean Model. 2021, 167, 101875. [Google Scholar] [CrossRef]
- Feng, S.; Song, Z.; Yang, Q.; Hou, Y.; Wang, Z.; Liu, F.; Wang, B.; Wang, W. Long-term changes of wind resources and its impact on wind power development under climate change in China. Energy Int. 2024, 1, 52–62. [Google Scholar] [CrossRef]
- Wang, J.; Sun, X.; Xia, D.; Wu, Z.; Sun, L.; Li, Z. The wind resistance grade of constructions on an island near Zhuhai. Acta Sci. Nat. Univ. Sunyatseni 2023, 62, 25–34. [Google Scholar] [CrossRef]
- Zhang, S.; Yang, X.; Weng, H.; Zhang, T.; Tang, R.; Wang, H.; Su, J. Spatial Distribution and Trends of Wind Energy at Various Time Scales over the South China Sea. Atmosphere 2023, 14, 362. [Google Scholar] [CrossRef]
- Hong, B.; Zhang, J. Long-Term Trends of Sea Surface Wind in the Northern South China Sea under the Background of Climate Change. J. Mar. Sci. Eng. 2021, 9, 752. [Google Scholar] [CrossRef]
- Wang, Z.; Duan, C.; Dong, S. Long-term wind and wave energy resource assessment in the South China sea based on 30-year hindcast data. Ocean Eng. 2018, 163, 58–75. [Google Scholar] [CrossRef]
- Jiang, Y.; Luo, Y.; Zhao, Z. Maximum wind speed changes over China. Acta Meteorol. Sin. 2013, 27, 63–74. [Google Scholar] [CrossRef]
- Wu, J.; Shi, Y.; Xu, Y. Evaluation and projection of surface wind speed over China based on CMIP6 GCMs. J. Geophys. Res. Atmos. 2020, 125, e2020JD033611. [Google Scholar] [CrossRef]
- Zhang, S.; Li, X. Future projections of offshore wind energy resources in China using CMIP6 simulations and a deep learning-based downscaling method. Energy 2021, 217, 119321. [Google Scholar] [CrossRef]
- Fournier, A.; Martinez, A.; Iglesias, G. Impacts of climate change on wind energy potential in Australasia and South-East Asia following the Shared Socioeconomic Pathways. Sci. Total Environ. 2023, 882, 163347. [Google Scholar] [CrossRef] [PubMed]
- Liu, L.; He, G.; Wu, M.; Liu, G.; Zhang, H.; Chen, Y.; Shen, J.; Li, S. Climate change impacts on planned supply–demand match in global wind and solar energy systems. Nat. Energy 2023, 8, 870–880. [Google Scholar] [CrossRef]
- Kong, L.; Zhang, X.; Wu, H.; Li, Y. Estimation of extreme wind speeds with different return periods in the Northwest Pacific. Meteorol. Appl. 2021, 31, e7001. [Google Scholar] [CrossRef]
- Global Ocean Monthly Mean Sea Surface Wind Stress from Scatterometer Model, E.U. Copernicus Marine Service Information (CMEMS). Marine Data Store (MDS). Available online: https://data.marine.copernicus.eu/product/WIND_GLO_PHY_CLIMATE_L4_MY_012_003/description (accessed on 10 December 2024).
- Belmonte Rivas, M.; Stoffelen, A. Characterizing ERA-Interim and ERA5 surface wind biases using ASCAT. Ocean Sci. 2019, 15, 831–852. [Google Scholar] [CrossRef]
- Taylor, K.E. Summarizing multiple aspects of model performance in a single diagram. J. Geophys. Res. Atmos. 2001, 106, 7183–7192. [Google Scholar] [CrossRef]
- Huang, F.; Zeng, M.; Xu, Z.; Wang, B.; Sun, M.; Ge, H.; Wu, S. Evaluating vector winds over eastern China in 2022 predicted by the CMA-MESO model and ECMWF forecast. Atmos. Ocean. Sci. Lett. 2025, 18, 100559. [Google Scholar] [CrossRef]
- Ghanghermeh, A.; Roshan, G.H.R.; Martinez, A.; Iglesias, G. Offshore wind resources in the Caspian Sea under climate change. Energy 2025, 328, 136355. [Google Scholar] [CrossRef]
- Burton, T.; Jenkins, N.; Sharpe, D.; Bossanyi, E. Wind Energy Handbook; John Wiley & Sons: Hoboken, NJ, USA, 2011. [Google Scholar]
- Mohan, S.; Bhaskaran, P.K. Evaluation of CMIP5 climate model projections for surface wind speed over the Indian Ocean region. Clim. Dyn. 2019, 53, 5415–5435. [Google Scholar] [CrossRef]
- Ersado, D.L.; Awoke, A.G. A multi-criteria decision analysis approach for ranking the performance of CMIP6 models in reproducing precipitation patterns over Abaya-Chamo sub-basin, Ethiopia. Heliyon 2024, 10, e32442. [Google Scholar] [CrossRef]
- Lee, B.-H.; Ahn, D.-J.; Kim, H.-G.; Ha, Y.-C. An estimation of the extreme wind speed using the Korea wind map. Renew. Energy 2012, 42, 4–10. [Google Scholar] [CrossRef]
- Kang, D.; Ko, K.; Huh, J. Determination of extreme wind values using the Gumbel distribution. Energy 2015, 86, 51–58. [Google Scholar] [CrossRef]
- Gumbel, E.J. Statistics of Extremes; Columbia Univ Press: New York, NY, USA, 1958. [Google Scholar]
- Pereira, H.; Picado, A.; Sousa, M.C.; Alvarez, I.; Dias, J.M. Assessing CMIP6 models in simulating meteo-oceanographic variability on Spanish continental coasts. Ocean Model. 2024, 190, 102395. [Google Scholar] [CrossRef]
- Jiang, J.; Yu, Y.; Zhou, Y.; Qian, S.; Deng, H.; Tao, J.; Hua, W. Influence of Model Resolution on Wind Energy Simulations over Tibetan Plateau Using CMIP6 HighResMIP. Atmosphere 2024, 15, 1323. [Google Scholar] [CrossRef]
- Kumar, D.; Mishra, V.; Ganguly, A.R. Evaluating wind extremes in CMIP5 climate models. Clim. Dyn. 2015, 45, 441–453. [Google Scholar] [CrossRef]
- Wang, B.; Huang, F.; Wu, Z.; Yang, J.; Fu, X.; Kikuchi, K. Multi-scale climate variability of the South China Sea monsoon: A review. Dyn. Atmos. Oceans 2009, 47, 15–37. [Google Scholar] [CrossRef]
- Xie, Q.; Wang, W.Q.; Mao, Q. Comparison among four kinds of data of sea surface wind stress in the South China Sea. Acta Oceanol. Sin. 2002, 21, 263–273. [Google Scholar]
- Xie, S.-P.; Xie, Q.; Wang, D.; Liu, W.T. Summer upwelling in the South China Sea and its role in regional climate variations. J. Geophys. Res. 2003, 108, 3261. [Google Scholar] [CrossRef]
- Soukissian, T.H.; Tsalis, C. The effect of the generalized extreme value distribution parameter estimation methods in extreme wind speed prediction. Nat. Hazards 2015, 78, 1777–1809. [Google Scholar] [CrossRef]
- Zheng, Y.; Chen, J.; Tao, Z. Distribution characteristics of the intensity and extreme intensity of tropical cyclones influencing China. J. Meteorol. Res. 2014, 28, 393–406. [Google Scholar] [CrossRef]
- Yan, Z.; Wang, Z.; Pang, L. Study of the wind conditions in the South China Sea and its adjacent sea area. J. Ocean Univ. China 2022, 21, 264–276. [Google Scholar] [CrossRef]













| Institution_id | CMIP6 Model | CMIP6 Model Resolution (Longitude × Latitude) | Grid Value |
|---|---|---|---|
| CSIRO-ARCCSS | ACCESS-CM2 | 192 × 144 | 240 |
| CSIRO | ACCESS-ESM1-5 | 192 × 145 | 257 |
| AWI | AWI-CM-1-1-MR ✺ | 384 × 192 | 284 |
| AWI | AWI-ESM-1-REcoM | 192 × 96 | 256 |
| BCC | BCC-CSM2-MR ✺ | 320 × 160 | 287 |
| CAMS | CAMS-CSM1-0 | 320 × 160 | 175 ▲ |
| CAS | CAS-ESM2-0 | 256 × 128 | 65 ▲ |
| NCAR | CESM2-WACCM | 288 × 192 | 281 |
| CMCC | CMCC-CM2-SR5 ✺ | 288 × 192 | 262 |
| CMCC | CMCC-ESM2 ✺ | 288 × 192 | 264 |
| CCCma | CanESM5 ✺ | 128 × 64 | 255 |
| CCCma | CanESM5-1 ✺ | 128 × 64 | 258 |
| CAS | FGOALS-g3 ✺ | 180 × 80 | 275 |
| FIO-QLNM | FIO-ESM-2-0 | 288 × 192 | 286 |
| CCCR-IITM | IITM-ESM | 192 × 94 | 252 |
| MIROC | MIROC6 | 256 × 128 | 152 ▲ |
| DKRZ | MPI-ESM1-2-HR ✺ | 384 × 192 | 259 |
| MPI-M | MPI-ESM1-2-LR ✺ | 192 × 96 | 219 |
| MRI | MRI-ESM2-0 ✺ | 320 × 160 | 296 |
| NCC | NorESM2-LM | 144 × 96 | 227 |
| NCC | NorESM2-MM | 288 × 192 | 252 |
| AS-RCEC | TaiESM1 | 288 × 192 | 262 |
| NSCS | CSCS | SSCS | ||
|---|---|---|---|---|
| SSP1-2.6 | 5.33 | 5.01 | 1.20 | |
| Annual | SSP2-4.5 | 5.04 | 7.42 | 5.01 |
| SSP5-8.5 | 5.50 | 14.09 | 2.89 | |
| SSP1-2.6 | 17.14 | 18.50 | 8.68 | |
| Summer | SSP2-4.5 | 19.78 | 22.93 | 7.21 |
| SSP5-8.5 | 44.06 | 50.86 | 2.85 | |
| SSP1-2.6 | −6.41 | −9.10 | −4.59 | |
| Winter | SSP2-4.5 | 3.87 | 7.55 | 9.03 |
| SSP5-8.5 | 15.74 | 24.51 | 14.23 |
Disclaimer/Publisher’s Note: The statements, opinions and data contained in all publications are solely those of the individual author(s) and contributor(s) and not of MDPI and/or the editor(s). MDPI and/or the editor(s) disclaim responsibility for any injury to people or property resulting from any ideas, methods, instructions or products referred to in the content. |
© 2025 by the authors. Licensee MDPI, Basel, Switzerland. This article is an open access article distributed under the terms and conditions of the Creative Commons Attribution (CC BY) license (https://creativecommons.org/licenses/by/4.0/).
Share and Cite
Zhuo, Y.; Hong, B. Potential Impacts of Climate Change on South China Sea Wind Energy Resources Under CMIP6 Future Climate Projections. Energies 2025, 18, 5370. https://doi.org/10.3390/en18205370
Zhuo Y, Hong B. Potential Impacts of Climate Change on South China Sea Wind Energy Resources Under CMIP6 Future Climate Projections. Energies. 2025; 18(20):5370. https://doi.org/10.3390/en18205370
Chicago/Turabian StyleZhuo, Yue, and Bo Hong. 2025. "Potential Impacts of Climate Change on South China Sea Wind Energy Resources Under CMIP6 Future Climate Projections" Energies 18, no. 20: 5370. https://doi.org/10.3390/en18205370
APA StyleZhuo, Y., & Hong, B. (2025). Potential Impacts of Climate Change on South China Sea Wind Energy Resources Under CMIP6 Future Climate Projections. Energies, 18(20), 5370. https://doi.org/10.3390/en18205370

