Abstract
Transmission line towers play an important role in power transmission, and the assessment of transmission line tower grounding by pulsed eddy current detection technology is conducive to the safe and reliable operation of power transmission. Aiming at the problem that the primary and secondary magnetic fields of the traditional pulsed eddy current transmitting coil structure overlap, resulting in the loss of shallow information, this paper first discusses the loss of shallow information caused by the aliasing of the magnetic field under the non-zero current shutdown effect, and then analyzes the traditional weak magnetic field coupling separation principle, and proposes the array coil structure of this paper based on the magnetic field vector destructive separation principle. Subsequently, the corresponding finite element simulation model was established, and the magnetic field distribution, magnetic field size, induced voltage, and mutual inductance coefficient of the array coil and the traditional center loop structure at the receiving coil were compared in the static field. In the transient field, the response signal of the array coil structure with or without the grounding body and the receiving coil is equidistant was simulated. The simulation results show that, under the same excitation, the vector coil array structure can greatly reduce the mutual inductance coefficient between the excitation and transmitting coils, reduce the influence of the primary magnetic field of the excitation coil on the receiving coil, and avoid the loss of shallow information. Finally, experimental tests were carried out on different tower grounding bodies. The experimental results at different measuring points prove that the array coil structure proposed in this paper can separate well the magnetic field generated by the excitation signal, improve the effective resolution time, avoid the loss of shallow information, and improve the operational stability of power transmission systems.
1. Introduction
The stable and safe operation of power transmission is closely related to people’s lives and social stability, and electricity safety has gradually attracted people’s attention [1]. As an indispensable component in power transmission, the grounding state of transmission line towers is closely linked to the safety of the power supply system [2]. The grounding resistance of transmission line towers directly affects power system safety, the smaller the grounding resistance of the transmission line tower, the lower the possibility of tripping due to overvoltage caused by lightning strikes. Therefore, it is very important to detect the grounding of transmission line towers [2,3,4].
At present, the detection of grounding bodies on towers is mainly carried out by manually measuring the grounding resistance. This measurement method presents problems, such as low effectiveness and being affected by complex terrain. Eddy current testing (ECT) is based on the principle of electromagnetic induction. When applied to the grounding body status detection on the side of the transmission line tower, it can achieve non-contact and non-destructive detection. At the same time, the apparent resistivity imaging through the smoke ring effect can intuitively diagnose the conductor defects and burial depth of the grounding body, and has the characteristics of fast efficiency, high sensitivity, and strong reliability [5,6,7,8]. Among them, the excitation signal used by pulsed eddy current detection (PEC) is a pulse signal, which can be applied to detection at different depths [9].
A pulsed eddy current generally uses square wave pulses as excitation signals. In practical applications, the square wave is not turned off instantly, so there is a turn-off time. The existing pulsed eddy current transmitting structure has the problem of primary magnetic field interference measurement. During the current off time, the magnetic field of the excitation signal and the magnetic field signal generated by the eddy current are mutually overlapped [10]. At this time, the signal collected in the receiving coil is the change corresponding to the synthetic magnetic field of the primary magnetic field and the secondary magnetic field. Since the primary magnetic field is large, the existence of the turn-off time will cause serious distortion of the data collected by the receiving coil, and then lead to the loss of shallow information [11,12]. The burial depth of the tower grounding is generally 0.6 m to 1.5 m. The loss of shallow signals will seriously affect the detection and evaluation of the grounding body. To solve the problem of primary and secondary magnetic field aliasing, reference [13] proposed a method to record the transient response and the transmitting current waveform of the whole process, using high-speed AD acquisition to record the current changes of the transmitting and receiving coils, respectively, and eliminate the influence of the primary magnetic field from the total magnetic field through numerical calculation. Reference [14] analyzed the influence of the current non-zero turn-off effect and the transition process of the receiving coil on the early signal and eliminated the influence of the transition process through numerical methods. Reference [12] studied the influence of different wire diameters, side lengths, and number of turns on the mutual inductance coefficient of the coil and reduced the influence of the primary magnetic field by reducing the mutual inductance of the transmitting and receiving loops. Reference [15] designed a winding method for a co-center zero flux coil and used the method of connecting the inner and outer receiving coils in series to achieve the total magnetic flux of the primary field in the receiving coil approaching zero. In terms of hardware design, reference [16] designed a high-power voltage regulator tube connected in parallel at both ends of the transmitting bridge circuit to achieve a short transmission current shutdown time, good linearity, and no overshoot or oscillation after shutdown. Reference [17] designed a transient electromagnetic transmitter based on segmented discharge technology to shorten the current shutdown time.
The method of reducing the turn-off time in the above literature can only reduce the aliasing of the primary magnetic field to a certain extent, and the method of collecting the transmitting and receiving signals and then analyzing them numerically is not applicable because the mutual inductance between the coils of the small return line will cause the distortion of the signal and make the computation inaccurate [18]. It is an effective method to reduce the mutual inductance of the transmitting and receiving coils as well as eliminate the flux of the primary field at the receiving coils through the design of the coil structure. In view of the need for superficial information in pulsed eddy current detection and the impact of the aliasing of the primary and secondary magnetic fields on signal analysis, this paper starts with an analysis of the aliasing of magnetic field signals and then analyzes the loss of shallow information under the non-zero off-time effect. On the basis of the existing separation coil design, an array coil design based on the principle of magnetic field vector cancellation is proposed. Subsequently, through simulation modeling and analysis, the mutual inductance coefficient, induced voltage, and magnetic field distribution are compared with the traditional center loop structure to verify the magnetic field separation principle of the array coil. Finally, the experiment verifies that the array coil structure proposed in this paper has the ability to separate the pulsed eddy current excitation and response magnetic field signals, which can improve the effective resolution time and avoid the loss of shallow information.
2. Analysis of Aliasing of Excitation and Target Magnetic Field Signals Under Non-Zero Turn-Off Effect
The basic tower grounding model is shown in Figure 1a. When the pulsed eddy current is used for detection, the excitation signal is generally a pulse signal. At the falling edge of the pulse, the current change causes a sudden change in the magnetic field and generates eddy currents in the metal body [9,19,20]. Since the current is not turned off immediately, the primary magnetic field continues to decay during the current shutdown period. At this time, the total magnetic field is the superposition of the primary excitation magnetic field and the secondary eddy current magnetic field. The corresponding pulsed eddy current tower detection schematic diagram is shown in Figure 1b.
Figure 1.
Schematic diagram of pulsed eddy current grounding detection. (a) Schematic diagram of tower grounding. (b) Schematic diagram of pulsed eddy current detection signal and eddy currents.
During the period when the current is turned off, the vertical component of the magnetic induction intensity generated by the excitation coil at any point in the plane is as follows:
Among them, I(t) is the excitation current, R is the radius of the excitation coil, N1 is the number of turns of the excitation coil, and r is the distance from any point in the coil to the center of the circle.
The magnetic flux Φ(t) generated by the primary magnetic field in the receiving coil can be expressed as follows:
where R0 is the radius of the receiving coil. According to the law of electromagnetic induction, the corresponding induced voltage V1(t) can be expressed as follows:
N2 is the number of turns of the receiving coil. According to the law of electromagnetic induction, the time characteristic of the induced voltage V2(t) on the receiving coil caused by the secondary magnetic field excited by the underground grounding body can be expressed as follows (see [21]):
From Equation (4), it can be seen that the amplitude and decay rate of the induced voltage are largely determined by the value of the conductor’s time constant τ, which corresponds to different underground media. When performing shallow detection, the high-frequency component in the pulse excitation corresponds to the state information of the shallow detected object, and the high-frequency component will decay rapidly. At this time, the induced voltage in the receiving coil is the sum of V1(t) and V2(t), which contains the signal to be measured and the interference signal of the primary magnetic field. In order to obtain shallow information, it is necessary to solve the problem of primary and secondary magnetic field aliasing during the current shutdown period, eliminate the primary magnetic field signal, and ensure that the early signal is not distorted.
3. Principle of Magnetic Field Vector Destructive Separation and Array Coil Design
3.1. Principle of Magnetic Field Vector Destructive Separation
In order to solve the problem of aliasing of the primary and secondary magnetic fields, the weak magnetic coupling coil design is an effective way to solve the aliasing problem of primary magnetic field response.
The weak magnetic design schemes (a) and (b) in Figure 2 offset the interference of the primary magnetic field through the difference of the two receiving coils, and the effect of the cancellation is affected by the design of the receiving coils. Figure 2c designed the reverse flux compensation coil to counteract the primary magnetic field interference at the receiving coil by applying a reverse current in the reverse flux coil, but there were design difficulties and the introduction of a new mutual inductance between the reverse flux coil and the receiving coil interfered with the signal. Figure 2d arranged the receiving coil on the edge of the transmitting coil and adjusted the position of the receiving coil to achieve the cancellation of the primary field. However, the shielding effect of the structure on the primary field was significantly affected by the distance between the two coils, so the influence of the structural stability on the signal quality was difficult to ignore. Based on the principle of magnetic field vector cancellation, this paper designs the excitation coil at the hardware level to reduce the interference of the primary magnetic field on the receiving coil, improve the accuracy of eddy current detection, and ensure that shallow information is not lost.
Figure 2.
Weak magnetic coupling design. (a) Differential structure. (b) Co-centered zero flux coils. (c) Anti-flux coil design. (d) Eccentric coil design.
The rectangular multilayer coil is shown in Figure 3. According to the Biot–Savart law, the magnetic field generated by the entire solenoid can be obtained by summing the magnetic fields generated by each coil. The magnetic field generated by a single rectangular coil at any point P (x, y, z) in space is symmetrically distributed about the z axis:
Figure 3.
Schematic diagram of N-turn rectangular multilayer coil.
Among them, I represents the coil current, l1 and l2 represent the length of the two sides of the rectangular coil, and the corresponding coefficient K is as follows:
That is, the y-axis components of the magnetic field strength at points P1 (x, y, z) and P2 (x, y, −z) are equal in magnitude and opposite in direction. Then, the z-axis components cancel each other out in the s-plane parallel to the xz-plane.
The weak magnetic coupling array coil in this paper is shown in Figure 4. According to the principle of magnetic field superposition, a single arc-shaped multi-turn coil can be differentially equivalent to a combination of rectangular multi-layer coils. From Figure 3 and the analysis results of Formulas (5) and (6), it can be seen that the magnetic induction intensities of the rectangular multi-layer coils cancel each other out at the receiving coil (∫Bz∙dS = 0), and the induced voltage of the receiving coil is generated by the z-axis component. At this time, the magnetic flux in the receiving coil with respect to the primary magnetic field is 0, so the primary magnetic field can be separated. At the same time, when the array coil is used as an excitation coil, the mutual inductance coefficient between the excitation and receiving coils can be greatly reduced.
Figure 4.
Schematic diagram of weak magnetic coupling array coil.
3.2. Static Magnetic Field Distribution and Parameter Simulation Analysis
A simulation model of the array coil was built in ANSYS Maxwell to verify the performance of the coil array, as shown in Figure 4. The excitation coil consists of four symmetrically arranged segments. Each segment has a radius of 0.5 m, a coil thickness of 0.02 m, and a width and overall height of 0.1 m. The receiving coil is a circular coil with a radius of 0.1 m, a thickness and height of 0.05 meters, positioned at the center of the array coil.
Under the static field natural boundary condition, a steady-state current of 60A is applied to the array coil and the center loop wire wound by copper wire, and simulation analysis is performed under the same size and receiving coil. The simulation structure is shown in Figure 5. It can be seen from the XY plane magnetic field distribution diagram in Figure 5a that the magnetic field intensity at the receiving coil is small. It can be seen from the YZ plane magnetic field intensity vector diagrams of the center loop and the array coil in Figure 5b,c that the magnetic field distribution formed by the two is similar under the coil. It can be seen from the XY plane magnetic field intensity vector diagrams of the center loop and the array coil in Figure 5b,c that, on this plane, the magnetic field direction of the center loop is perpendicular to the XY plane, while the magnetic field direction of the array coil is parallel to the XY plane. On the YZ plane, the magnetic field distribution is symmetrical about the center plane. Since the receiving coil is placed horizontally, the induced voltage is determined by the magnetic field component of the secondary magnetic field generated by the eddy current in the vertical direction at the receiving coil, and the primary magnetic field generated by the array coil is horizontal in the plane and symmetrically distributed up and down. Therefore, the horizontal magnetic field at the receiving coil does not generate an induced voltage, and the vertical magnetic fields cancel each other out, which can achieve the separation of the primary magnetic field and avoid the influence of the primary magnetic field on the measurement signal.
Figure 5.
Simulation results of magnetic field distribution under static field. (a) Magnetic field intensity distribution cloud diagram of array coil. (b) Magnetic field intensity vector diagram of the central loop. (c) Magnetic field strength vector diagram of array coil.
In the static field, the differential structure, eccentric coil design, and co-centered zero flux coils use the same incentives and receiving coils as the central circuit, where the offset D of the eccentric coil design structure is 40 cm; the upper and lower spacing of the differential structure is 50 cm; the external receiving coil radius of co-centered zero flux coils is set to 0.8 cm; the corresponding simulation parameters each receive are shown in Table 1. From the comparisons in Table 1, under the same structural size and conditions, the array coil structure has been greatly reduced compared to the central circuit and compared to the center line, which reduces about 10,000 times. The coil design structure has a limited effect on the reduction of interdependence from the induced voltage formula, as follows:
Table 1.
Static Field Simulation Parameter Comparisons.
Compared with the center loop structure, the array coil structure can significantly reduce the impact of the excitation coil on the receiving coil.
3.3. Grounding Simulation Analysis
To simulate the receiving coil signal under pulse excitation, transient field simulation is performed in ANSYS Maxwell 2022 R2. Through external circuit settings, a pulsed signal with a peak value of 60 A, as shown in Figure 6, is added to the excitation coil. To simulate the induced voltage of the receiving coil under irrational shutdown conditions, the falling and rising edge times of the pulsed square wave are set to 20 μs.
Figure 6.
The induced voltage of the primary magnetic field in the receiving coil.
The interference of the magnetic field generated by the excitation coil on the receiving coil can be divided into two parts. One part is the interference of the primary magnetic field at the receiving coil when there is no grounding body in the air domain. The other part is when the eddy current secondary magnetic field is generated in the grounding body, the secondary magnetic field will also generate an induced signal in the excitation coil accordingly. This part of the induced signal will also act on the receiving coil and interfere with the target response signal in the receiving coil.
First, the induced voltage generated by the primary magnetic field in the receiving coil under the center loop and the array coil is compared without a grounding body. The comparison result is shown in Figure 6. In order to facilitate the distinction of waveforms, the induced voltage waveform of the array coil corresponding to the receiving coil is shifted down by 2000 μV as a whole. It can be seen from the figure that, during the period when the pulsed excitation signal is turned off, the corresponding induced voltage is generated in the receiving coil due to the transient change of the magnetic field. By comparing the induced voltage curves of the receiving structure of the two excitation coils under the same conditions, it can be seen that the induced voltage generated by the primary magnetic field in the center loop is relatively large, with a peak value of 54,342.213 μV, while the array coil can greatly reduce the induced voltage of the magnetic field generated by the excitation coil in the receiving coil, and the maximum induced voltage peak is only 7.9514 μV.
At the same time, in order to further verify the relationship between the magnetic field generated by the primary magnetic field in the receiving coil and the magnitude of the excitation signal, the relationship between the induced voltage and the magnitude of the excitation current obtained by the parametric scanning method in this paper is shown in Figure 7. The induced voltage in the receiver coil can be seen from the diagram. The strength of the magnetic field is linearly related to the magnitude of the current in the excitation coil. However, the specific figures are small, and the magnetic induction intensity is very small at the center point due to the cancellation of each other at the center point, as shown in Figure 5, which is consistent with the theoretical analysis. At the same time, the magnetic field strength at the center of the entire array of coils is analyzed with or without a grounding body under different excitation currents in the static field and when the grounding body is located at different spacings directly below the coil. As shown in Figure 8a, the introduction of the grounding body and the different spacings will affect the magnetic field strength at the center of the receiving coil, but the overall change is not large, so the magnetic field of the receiving coil has little effect under the static field. As can be seen from Figure 8b, the change trend of the magnetic field strength in the area 0.3 m to 1.8 m below the coil is similar to that of the conventional center loop structure.
Figure 7.
The relationship between the induced voltage, the strength of the magnetic field at the center point, and the excitation current.
Figure 8.
Analysis of the change in magnetic field strength under different excitation currents. (a) The change in magnetic field strength at the center point due to different distances between the grounding bodies. (b) The change trend of magnetic field strength in the area below the array coil.
In order to simulate the eddy current detection of the tower grounding body, a tower grounding body model, as shown in Figure 9a, was built in the transient field. The diameter of the grounding body was set to 20 mm, the burial was set to 0.8 m, the length of a single horizontal grounding body was set to 12 m, and the length of the vertical grounding body was set to 3 m [3,22]. The magnetic field distribution, after the excitation is applied, is shown in Figure 9b. It can be seen from the figure that, at the falling edge of the current, due to the eddy current effect itself, the magnetic field intensity at the grounding body is greater than that in the air domain. The comparison results of the induced voltage of the receiving coil with and without the grounding body are shown in Figure 10. It can be seen from the figure that the induced voltage of the receiving coil in the air domain without the grounding body is small, which can be ignored compared with the induced voltage magnitude generated by the eddy current secondary field. Therefore, the excitation coil structure in this paper can effectively remove the interference of the primary magnetic field. At the same time, because there is a large difference between the amplitude of the response signal with or without a grounding body, the presence or absence of the response signal can be preliminarily judged by the amplitude of the response signal.
Figure 9.
Schematic diagram of grounding body simulation. (a) Model diagram. (b) Schematic diagram of grounding magnetic field distribution.
Figure 10.
Comparison of induced voltage of array coil.
To further verify the performance of the coil, the vertical grounding body is removed in the simulation and the same receiving coils are set at equal intervals in the vertical direction of the grounding body. The schematic diagram and the comparison of the receiving signals of the upper and lower coils are shown in Figure 11. It can be seen from the figure that, although the peak values of the signals in the two symmetrically placed upper and lower receiving coils are different, the waveforms are basically the same, which proves that the array coil in this paper can separate well the influence of the magnetic field of the excitation coil on the receiving signal.
Figure 11.
Equidistant receiving coil simulation. (a) Schematic diagram of equidistant receiving coils. (b) Comparison of received signals under array coil.
4. Tower Grounding Test
In order to verify the rationality of the method and structural design in this paper, a grounding pulsed eddy current detection platform was built, as shown in Figure 12. The experimental system includes an excitation module, consisting of an excitation power supply and a driving circuit; a measurement module, consisting of an excitation coil, a receiving coil, and a ground body; and a signal acquisition and processing module, consisting of an amplifier circuit, data acquisition, and a computer. At the same time, Tektronix TBS1104 (Antai Testing Equipment Co., Ltd., Xi’an, China) is used to observe the excitation and receiving signal waveforms, and MOTECH LPS305 (Shenzhen Maoxu Electronic Technology Co., Ltd., Shenzhen, China) is used as the power supply module. In the experiment, the radius r1 of the array coil and the circular excitation coil is 0.8 m, the number of turns is 10, and the radius r2 of the receiving coil is 0.2 m, the number of turns is 50. The two coils use the same steady-state transmission current I = 20 A, and the off-time Toff = 46 μs.
Figure 12.
Experimental Schematic.
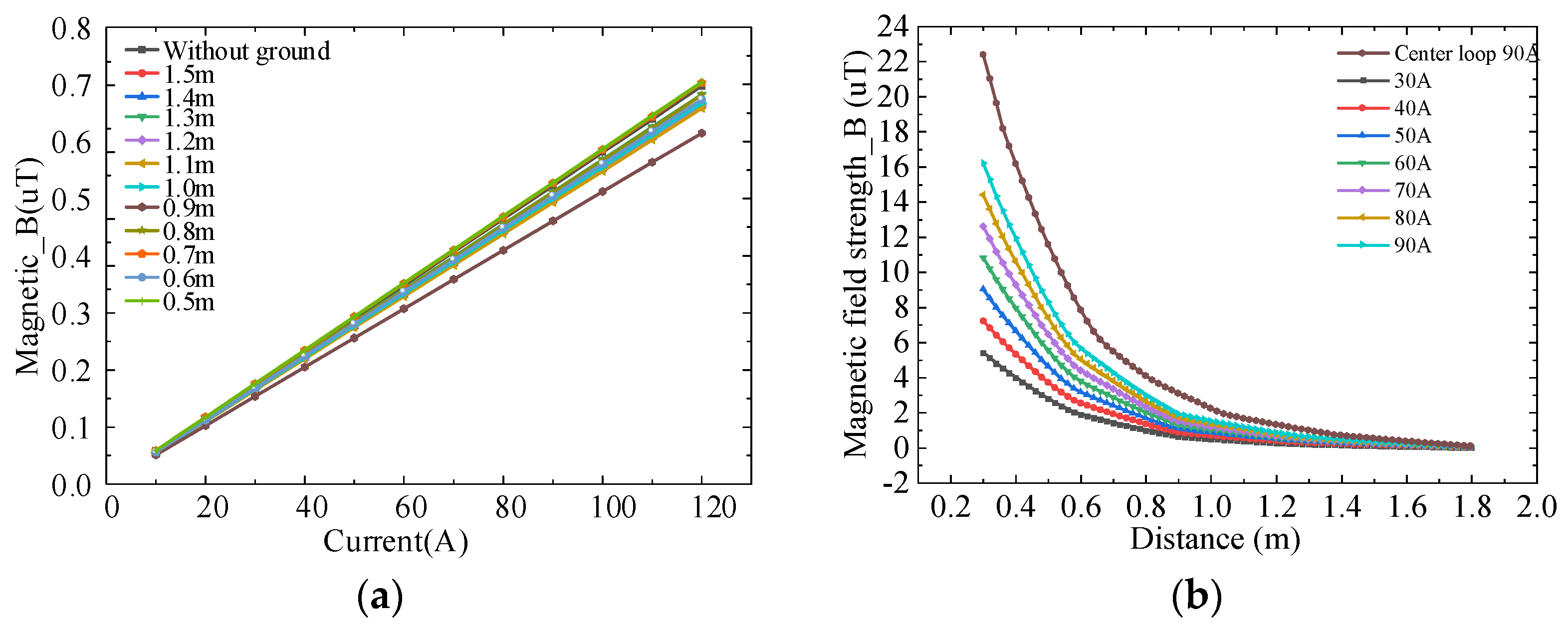
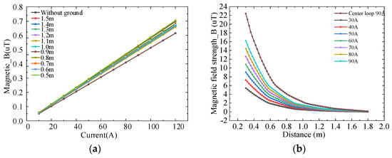
First, the magnetic induction intensity at the center point of the receiving coil is measured by a Gauss meter; the measurement results are shown in Figure 13.
Figure 13.
Magnetic induction intensity at the center.
It can be seen from Figure 13 that the magnetic induction intensity at the center point of the excitation coil increases approximately linearly with the increase of the excitation current. Due to the deviation in the actual coil position arrangement, the value is larger than the simulation result but, in general, the magnetic induction intensity near the center point is small, which is consistent with the simulation result.
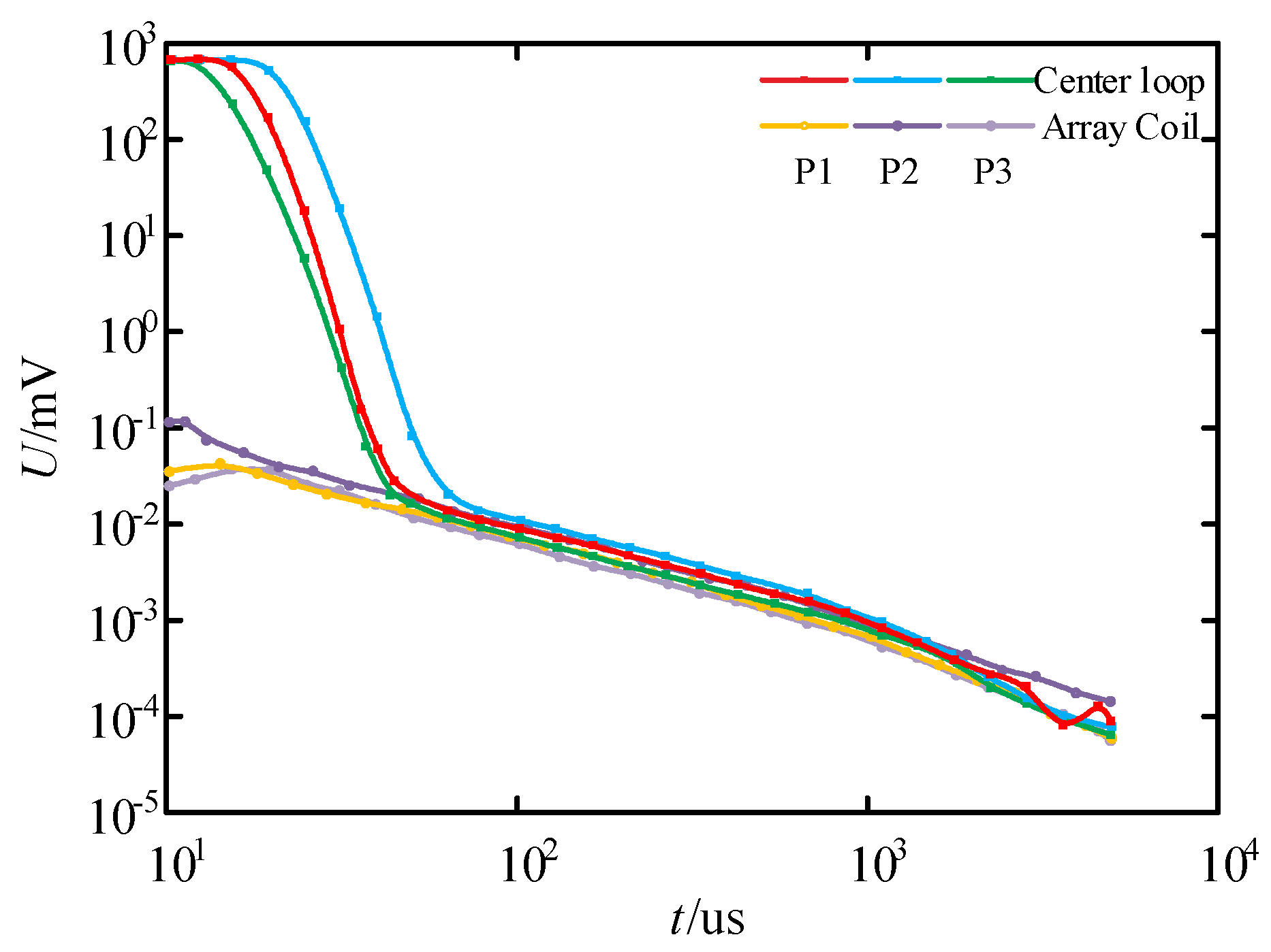
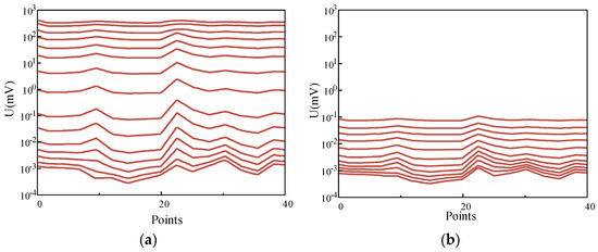
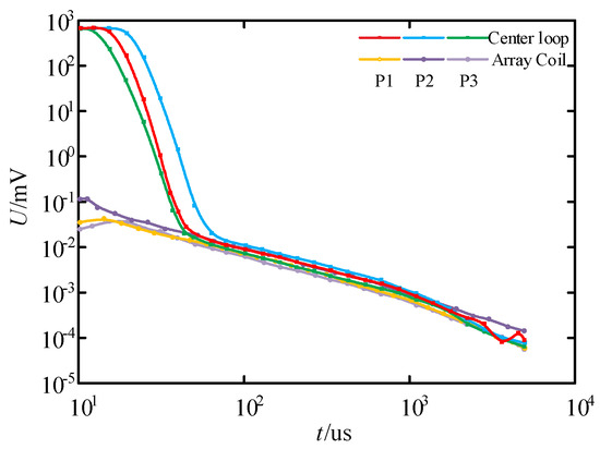
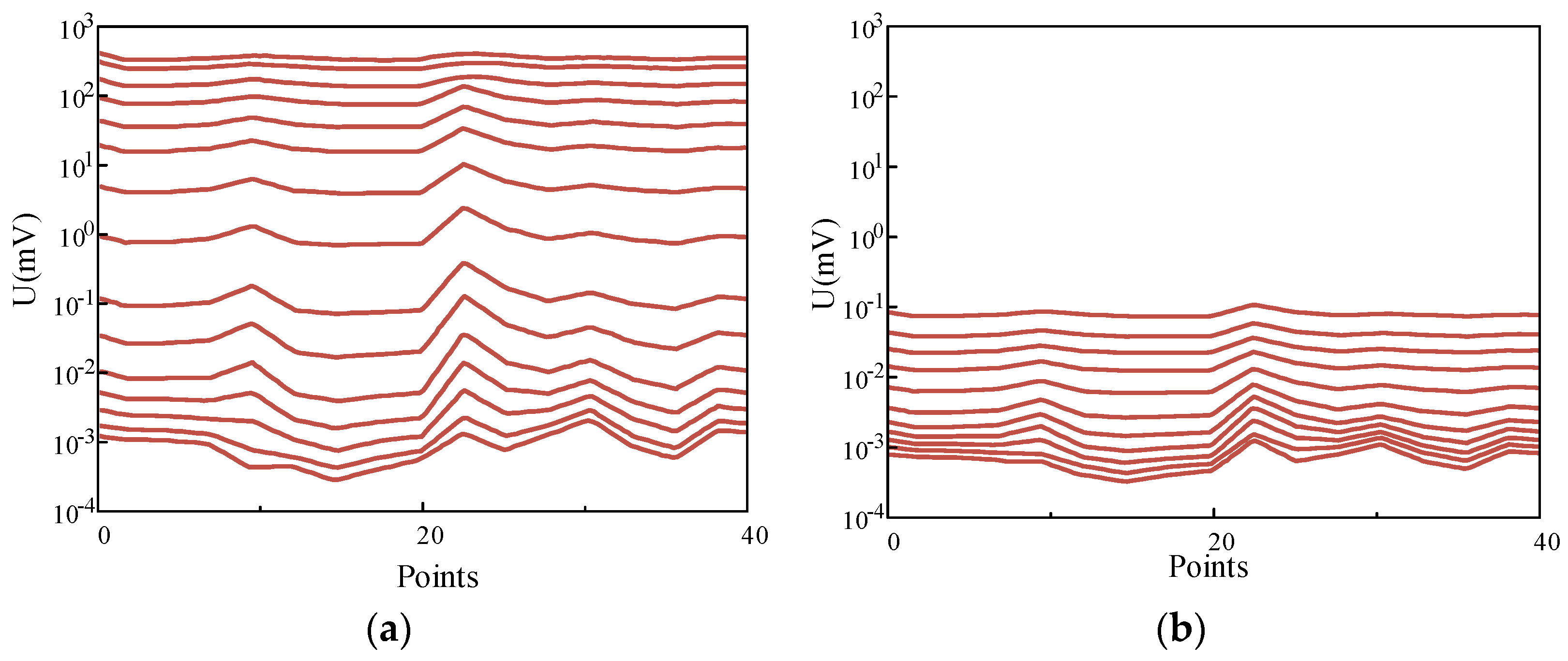
To further verify the separation effect of the array coil structure on the primary magnetic field signal, the laid ground body is tested, and the magnetic field response signals of the center loop and the array coil are measured, respectively. The comparison of the detection signals at different measuring points and the normalized curves are shown in Figure 14, Figure 15 and Figure 16.
Figure 14.
Comparison of detection signals measured by center loop and array coil.
Figure 15.
Comparison of detection signals under different grounding steel bars.
Figure 16.
Detection signals and normalized curves measured by the center loop of P1 measuring point and array coil.
As can be seen from Figure 14 and Figure 16, when testing a flat steel 2 mm × 12 mm, due to the aliasing of the primary and secondary magnetic fields, the detection signal in the receiving coil corresponding to the center loop has a higher amplitude before the current is turned off and contains the induction signals of the primary and secondary magnetic fields. The data of the array coil is better than the center loop data as a whole. Compared with the center loop coil, the effective resolution time is shifted forward, which reduces the interference of the primary magnetic field in the early detection signal, avoids the loss of shallow information, and also improves the data quality of the late signal. As can be seen from Figure 15, under different grounding bodies, when the array coil is used as an excitation coil, the difference in the received signal is small. As can be seen from Figure 17, in the 10~45 μs section, the voltage data obtained by the two coils are quite different, and there is a significant primary field interference in the data obtained based on the central coil. After 45 μs, the profile response characteristics of the two coils are basically the same, which proves that the array coil transmitting structure involved in this paper can realize the separation of excitation and response magnetic field signals. Therefore, when conducting pulse-based grounding detection, employing an array coil structure for pulsed excitation and positioning the receiving coil at the center of the array coil can effectively capture shallow grounding response signals. This approach minimizes detection errors that may arise from signal attenuation in shallow layers.
Figure 17.
Induced voltage profiles of the center loop and array coils. (a) Center loop; (b) Array coils.
5. Conclusions
At present, the conventional center loop structure based on a pulsed eddy current has the problem of primary and secondary magnetic field aliasing. In the detection process based on a pulsed eddy current, there is the problem of shallow layer information loss, which affects the effect of time-domain electromagnetic detection on a shallow layer. In order to solve this problem, we undertook the following steps:
- (1)
- Based on the analysis of the principle of magnetic field separation, an array coil design based on magnetic field vector cancellation is proposed on the basis of the existing weak magnetic coupling coil.
- (2)
- Based on numerical analysis, it is proved that the magnetic flux generated by the array coil at the receiving coil is 0, so the decoupling of primary and secondary magnetic fields can be realized.
- (3)
- Based on the simulation analysis, compared with the existing weak magnetic coupling coil structure, it is verified that the array coil structure can greatly reduce the mutual inductance coefficient between the excitation coil and the receiving coil, avoid the influence of the mutual inductance voltage on the received signal, so as to realize the separation of the primary and secondary magnetic fields in the pulsed eddy current testing process and avoid the loss of shallow information.
- (4)
- Finally, by conducting experiments at different measuring points compared with the conventional central loop coil, it is proved, from the angle of detection signal and induced voltage profile, that the array coil can significantly reduce the interference of the primary magnetic field on the received signal, improve the effective resolution time, solve the shallow information loss under the early delay signal, and provide device support for the subsequent actual detection.
This paper avoids the aliasing of shallow information by reducing the mutual inductance coefficient between the excitation and receiving coils through array coil design. Subsequently, the influence of the mutual inductance coefficient of the excitation and receiving coils on the signal in the early stage can be further analyzed to ensure the accuracy of early signal acquisition.
Author Contributions
Conceptualization, Z.Z. and Z.G.; methodology, F.G.; software, Y.Z.; validation, X.T.; formal analysis, X.W. (Xinxun Wang); investigation, Z.L.; resources, W.Z.; data curation, J.W.; writing—original draft preparation, X.W. (Xiaotian Wang); writing—review and editing, J.W.; visualization, Z.Z.; supervision, J.W.; project administration, X.W. (Xiaotian Wang); funding acquisition, Z.G. All authors have read and agreed to the published version of the manuscript.
Funding
This research was funded by the Construction Branch of State Grid Jiangxi Electric Power Co., Ltd., grant number 521824230001.
Data Availability Statement
The data used in the analysis presented in this paper will be made available, subject to the approval of the data owner.
Conflicts of Interest
Z.Z., Z.G., F.G., Y.Z., X.W. (Xinxun Wang), Z.L., and W.Z. were employed by the Construction Branch of the State Grid Jiangxi Electric Power Co., Ltd. X.T. was employed by the Institute of Electric Power Research of Jiangxi Electric Power Company. The remaining authors declare that the research was conducted in the absence of any commercial or financial relationships that could be construed as a potential conflict of interest. The authors declare that this study received funding from the Construction Branch of the State Grid Jiangxi Electric Power Co., Ltd. The funder was not involved in the study design, collection, analysis, interpretation of data, the writing of this article, or the decision to submit it for publication.
References
- Liao, X.; Xu, Z.; Liu, W.; Hu, X.; Zhou, J.; Fu, Z. Influence of Parasitic Capacitance on Turn-off Current and its Optimization Method for Transient Electromagnetic System. IEEE Trans. Instrum. Meas. 2023, 73, 6000311. [Google Scholar] [CrossRef]
- Li, Y.; Tian, G.Y.; Simm, A. Fast analytical modelling for pulsed eddy current evaluation. NDT E Int. 2008, 41, 477–483. [Google Scholar] [CrossRef]
- Yang, J.; Jiang, Z.; Shu, S.; Hu, Y.; Su, X.; Liu, W. Research on grounding characteristics and influencing factors of fractal extension grounding grid of transmission line tower. Smart Electr. Power 2023, 51, 1–8, 38. [Google Scholar]
- Yao, Z.; Yang, X.; Jiangm, L.; Wu, W.; Wang, Y.; Tang, X. Single-phase line installation method of parallel gap in 35 kV overhead line. J. Electr. Power Sci. Technol. 2023, 38, 241–251. [Google Scholar] [CrossRef]
- Arjun, V.; Sasi, B.; Rao, B.P.C.; Mukhopadhyay, C.; Jayakumar, T. Optimisation of pulsed eddy current probe for detection of sub-surface defects in stainless steel plate. Sens. Actuators A Phys. 2015, 226, 69–75. [Google Scholar] [CrossRef]
- Huang, S.; Fu, Z.; Wang, Q.; Zhu, X.; Qin, S. Service Life Estimation for the Small- and Medium-Sized Earth Grounding Grids. IEEE Trans. Ind. Appl. 2015, 51, 5442–5451. [Google Scholar] [CrossRef]
- Yu, C.; Fu, Z.; Wu, G.; Zhou, L.; Zhu, X.; Bao, M. Configuration detection of substation grounding grid using transient electromagnetic method. IEEE Trans. Ind. Electron. 2017, 64, 6475–6483. [Google Scholar] [CrossRef]
- Zhao, P.; Wang, J.; Xia, H.; He, W. A Novel Industrial Magnetically Enhanced Hydrogen Production Electrolyzer and Effect of Magnetic Field Configuration. Appl. Energy 2024, 367, 123402. [Google Scholar] [CrossRef]
- Sophian, A.; Tian, G.; Fan, M. Pulsed Eddy Current Non-Destructive Testing and Evaluation: A Review. Chin. J. Mech. Eng. 2017, 30, 500–514. [Google Scholar] [CrossRef]
- Ida, N. Eddy Current Nondestructive Evaluation—The Challenge of Accurate Modeling. In Proceedings of the 2014 International Conference on Development and Application Systems (DAS), Suceava, Romania, 15–17 May 2014; pp. 97–102. [Google Scholar]
- Xu, Z.; Fu, Z.; Fu, N. Firefly Algorithm for Transient Electromagnetic Inversion. IEEE Trans. Geosci. Remote Sens. 2022, 60, 5901312. [Google Scholar] [CrossRef]
- Xu, Z.; Liao, X.; Liu, L.; Fu, N.; Fu, Z. Research on Small-Loop Transient Electromagnetic Method Forward and Nonlinear Optimization Inversion Method. IEEE Trans. Geosci. Remote Sens. 2023, 61, 5901913. [Google Scholar] [CrossRef]
- Smith, R.S.; Balch, S.J. Robust estimation of the band-limited inductive limit response from impulse-response TEM measurements taken during the transmitter switch-off and the transmitter off-time: Theory and an example from Voisey’s Bay, Labrador, Canada. Geophysics 2000, 65, 476–481. [Google Scholar] [CrossRef]
- Xi, Z.; Long, X.; Huang, L.; Zhou, S.; Song, G.; Hou, H.; Chen, X.; Wang, L.; Xiao, W.; Qi, Q. Opposing-coils transient electromagnetic method focused near-surface resolution. Geophysics 2016, 81, E279–E285. [Google Scholar] [CrossRef]
- Hu, X.; Chen, R.; Zhang, P.; Wu, R.; Fu, M.; Zhou, H. Development and experiment of transient electromagnetic common center zero flux coil. J. China Coal Soc. 2023, 48, 918–930. [Google Scholar] [CrossRef]
- Sun, S.; Peng, L.; Shang, X.; Lin, J.; Ju, C. A system design for improving the waveform of transient electromagnetic emission current. Electr. Meas. Instrum. 2017, 54, 89–93, 115. [Google Scholar]
- Han, Z. Development of Multi-Turn Coil Fast Shut-Off Transient Electromagnetic Transmitter Based on Segmented Discharge Technology. Master’s Thesis, Jilin University, Changchun, China, 2019. [Google Scholar]
- Fu, Z.; Wang, H.; Wang, Y.; Fu, N.; Tai, H.-M.; Qin, S. Elimination of mutual inductance effect for small-loop transient electromagnetic devices. Geophysics 2019, 84, E143–E154. [Google Scholar] [CrossRef]
- Auld, B.A.; Moulder, J.C. Review of Advances in Quantitative Eddy Current Nondestructive Evaluation. J. Nondestruct. Eval. 1999, 18, 3–36. [Google Scholar] [CrossRef]
- Sha, J.; Fan, M.; Cao, B.; Liu, B. Noncontact and Nondestructive Evaluation of Heat-Treated Bearing Rings Using Pulsed Eddy Current Testing. J. Magn. Magn. Mater. 2021, 521, 167516. [Google Scholar] [CrossRef]
- Nabighian, M.N. Electromagnetic Methods in Applied Geophysics; Society of Exploration Geophysicists: Tulsa, OK, USA, 1987; pp. 402–431. [Google Scholar]
- Ding, Z. Optimal Design and Application of Grounding Poles for Transmission Line Towers. Master’s Thesis, China University of Mining and Technology, Xuzhou, China, 2022. [Google Scholar]
Disclaimer/Publisher’s Note: The statements, opinions and data contained in all publications are solely those of the individual author(s) and contributor(s) and not of MDPI and/or the editor(s). MDPI and/or the editor(s) disclaim responsibility for any injury to people or property resulting from any ideas, methods, instructions or products referred to in the content. |
© 2025 by the authors. Licensee MDPI, Basel, Switzerland. This article is an open access article distributed under the terms and conditions of the Creative Commons Attribution (CC BY) license (https://creativecommons.org/licenses/by/4.0/).
















