Design and Simulation of Inductive Power Transfer Pad for Electric Vehicle Charging
Abstract
1. Introduction
2. Design of Inductive Power Pad
2.1. Geometry Structure Design
2.2. Finite Element Analysis (FEA) Tools
3. Performance Evaluation
3.1. Electromagnetic Properties
3.2. Coupling Coefficient (k)
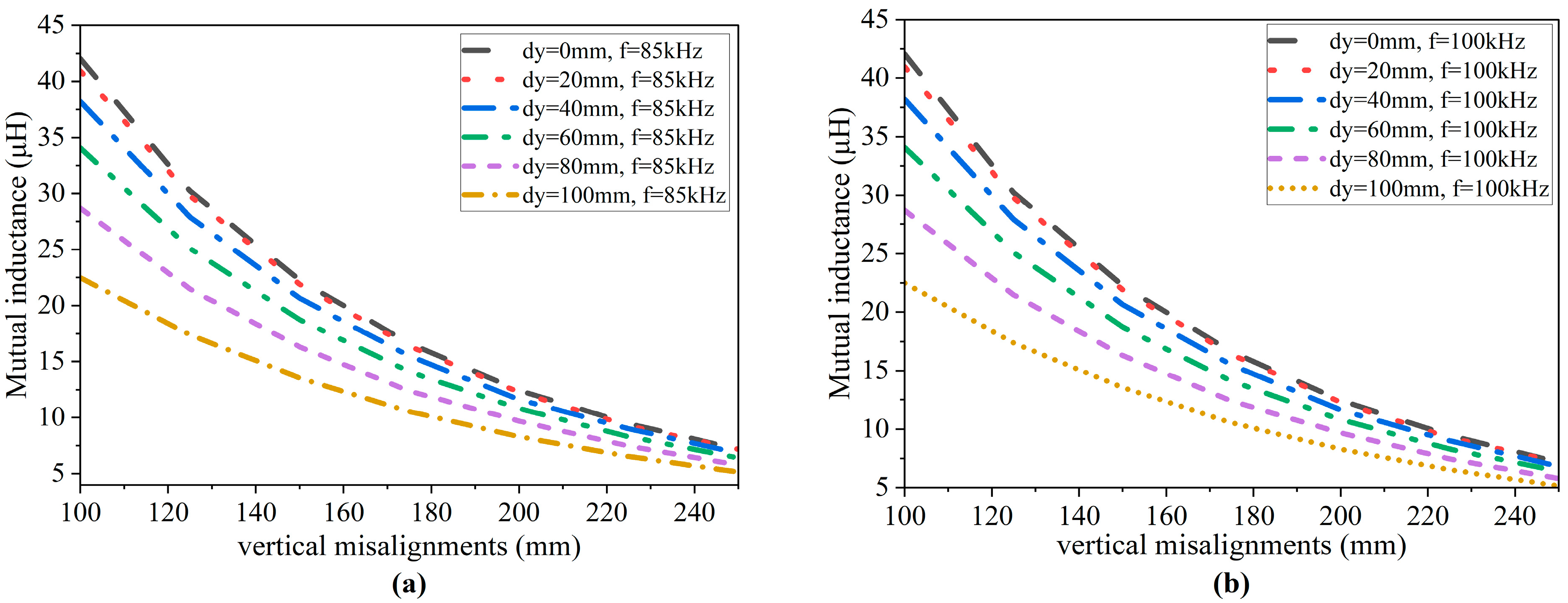
3.3. Mutual Inductance
3.4. Efficiency
3.5. Relationship Between Geometry and Performance
4. Conclusions
Author Contributions
Funding
Institutional Review Board Statement
Informed Consent Statement
Data Availability Statement
Conflicts of Interest
References
- Zhang, W.; Fang, X.; Sun, C. The alternative path for fossil oil: Electric vehicles or hydrogen fuel cell vehicles? J. Environ. Manag. 2023, 341, 118019. [Google Scholar] [CrossRef]
- Parikh, A.; Shah, M.; Prajapati, M. Fuelling the sustainable future: A comparative analysis between battery electrical vehicles (BEV) and fuel cell electrical vehicles (FCEV). Environ. Sci. Pollut. Res. 2023, 30, 57236–57252. [Google Scholar] [CrossRef]
- De Wolf, D.; Smeers, Y. Comparison of Battery Electric Vehicles and Fuel Cell Vehicles. World Electr. Veh. J. 2023, 14, 262. [Google Scholar] [CrossRef]
- Benalia, N.; Laroussi, K.; Benlaloui, I.; Kouzou, A.; Bensalah, A.-D.; Kennel, R.; Abdelrahem, M. Optimized Power Pads for Charging Electric Vehicles Based on a New Rectangular Spiral Shape Design. Sustainability 2023, 15, 1230. [Google Scholar] [CrossRef]
- Gnanavendan, S.; Selvaraj, S.K.; Dev, S.J.; Mahato, K.K.; Swathish, R.S.; Sundaramali, G.; Accouche, O.; Azab, M. Challenges, Solutions and Future Trends in EV-Technology: A Review. IEEE Access 2024, 12, 17242–17260. [Google Scholar] [CrossRef]
- Dorel, S.; Osman, M.G.; Strejoiu, C.-V.; Lazaroiu, G. Exploring Optimal Charging Strategies for Off-Grid Solar Photovoltaic Systems: A Comparative Study on Battery Storage Techniques. Batteries 2023, 9, 470. [Google Scholar] [CrossRef]
- Waseem, M.; Ahmad, M.; Parveen, A.; Suhaib, M. Battery technologies and functionality of battery management system for EVs: Current status, key challenges, and future prospectives. J. Power Sources 2023, 580, 233349. [Google Scholar] [CrossRef]
- Habib, A.K.M.A.; Hasan, M.K.; Issa, G.F.; Singh, D.; Islam, S.; Ghazal, T.M. Lithium-Ion Battery Management System for Electric Vehicles: Constraints, Challenges, and Recommendations. Batteries 2023, 9, 152. [Google Scholar] [CrossRef]
- Zhang, Z.; Pang, H.; Georgiadis, A.; Cecati, C. Wireless Power Transfer—An Overview. IEEE Trans. Ind. Electron. 2019, 66, 1044–1058. [Google Scholar] [CrossRef]
- Report on User Centric EV Charging Infrastructure—INCIT-EV Website. (n.d.). Available online: https://www.incit-ev.eu/report-on-user-centric-ev-charging-infrastructure/ (accessed on 3 December 2024).
- Palani, G.; Sengamalai, U. A critical review on inductive wireless power transfer charging system in electric vehicle. Energy Storage 2023, 5, e407. [Google Scholar] [CrossRef]
- Zhang, Y.; Wang, W.; Wu, X.; Lei, Y.; Cao, J.; Bowen, C.; Bader, S.; Yang, B. A comprehensive review on self-powered smart bearings. Renew. Sustain. Energy Rev. 2023, 183, 113446. [Google Scholar] [CrossRef]
- Li, Y.; Zhang, S.; Cheng, Z. Double-coil dynamic shielding technology for wireless power transmission in electric vehicles. Energies 2021, 14, 5271. [Google Scholar] [CrossRef]
- De Santis, V.; Giaccone, L.; Freschi, F. Chassis influence on the exposure assessment of a compact EV during WPT re-charging operations. Magnetochemistry 2021, 7, 25. [Google Scholar] [CrossRef]
- The Society of Automobile Engineers. SAE J2954: Wireless Power Transfer for Light-duty Plug-in/electric Vehicles and Alignment Methodology. In Surface Vehicle Information Report; SAE International: Warrendale, PA, USA, 2019. [Google Scholar]
- Budhia, M.; Covic, G.A.; Boys, J.T. Design and optimization of Circular Magnetic Structures for Lumped Inductive Power Transfer Systems. IEEE Trans. Power Electron. 2011, 26, 3096–3108. [Google Scholar] [CrossRef]
- Alam Chowdhury, M.S.; Liang, X. Design and Performance Evaluation for a New Power Pad in Electric Vehicles Wireless Charging Systems. Can. J. Electr. Comput. Eng. 2020, 43, 146–156. [Google Scholar] [CrossRef]
- Yang, Y.; El Baghdadi, M.; Lan, Y.; Benomar, Y.; Van Mierlo, J.; Hegazy, O. Design methodology, modeling, and comparative study of wireless power transfer systems for electric vehicles. Energies 2018, 11, 1716. [Google Scholar] [CrossRef]
- Song, K.; Yang, G.; Guo, Y.; Lan, Y.; Dong, S.; Jiang, J.; Zhu, C. Design of DD Coil with High Misalignment Tolerance and Low EMF Emissions for Wireless Electric Vehicle Charging Systems. IEEE Trans. Power Electron. 2020, 35, 9034–9045. [Google Scholar] [CrossRef]
- Kuzey, S.; Balci, S.; Altin, N. Design and analysis of a wireless power transfer system with alignment errors for electrical vehicle applications. Int. J. Hydrogen Energy 2017, 42, 17928–17939. [Google Scholar] [CrossRef]
- Ahmed, M.M.; Enany, M.A.; Shaier, A.A.; Bawayan, H.M.; Hussien, S.A. An Extensive Overview of Inductive Charging Technologies for Stationary and In-Motion Electric Vehicles. IEEE Access 2024, 12, 69875–69894. [Google Scholar] [CrossRef]
- Shafiq, Z.; Li, T.; Xia, J.; Li, S.; Yang, X.; Zhao, Y. Addressing EMI and EMF Challenges in EV Wireless Charging with the Alternating Voltage Phase Coil. Actuators 2024, 13, 324. [Google Scholar] [CrossRef]
- Dimitriadou, K.; Rigogiannis, N.; Fountoukidis, S.; Kotarela, F.; Kyritsis, A.; Papanikolaou, N. Current Trends in Electric Vehicle Charging Infrastructure; Opportunities and Challenges in Wireless Charging Integration. Energies 2023, 16, 2057. [Google Scholar] [CrossRef]
- Song, K.; Lan, Y.; Zhang, X.; Jiang, J.; Sun, C.; Yang, G.; Yang, F.; Lan, H. A Review on Interoperability of Wireless Charging Systems for Electric Vehicles. Energies 2023, 16, 1653. [Google Scholar] [CrossRef]
- Sifatul, M.; Chowdhury, A.; Liang, X. Design of a Ferrite-Less Power Pad for Wireless Charging Systems of Electric Vehicles. In Proceedings of the 2019 IEEE Canadian Conference of Electrical and Computer Engineering (CCECE), Edmonton, AB, Canada, 5–8 May 2019. [Google Scholar]
- Ahmad, A.; Alam, M.S.; Mohamed, A.A.S. Design and Interoperability Analysis of Quadruple Pad Structure for Electric Vehicle Wireless Charging Application. IEEE Trans. Transp. Electrif. 2019, 5, 934–945. [Google Scholar] [CrossRef]
- Budhia, M.; Boys, J.T.; Covic, G.A.; Huang, C.-Y. Development of a single-sided flux magnetic coupler for electric vehicle IPT charging systems. IEEE Trans. Ind. Electron. 2013, 60, 318–328. [Google Scholar] [CrossRef]
- Sulejmani, E.; Beltle, M.; Tenbohlen, S. EMC of Inductive Automotive Charging Systems According to Standard SAE J2954. Vehicles 2023, 5, 1532–1552. [Google Scholar] [CrossRef]
- Ghazizadeh, S.; Mekhilef, S.; Seyedmahmoudian, M.; Chandran, J.; Stojcevski, A. Performance Evaluation of Coil Design in Inductive Power Transfer for Electric Vehicles. IEEE Access 2024, 12, 108201–108223. [Google Scholar] [CrossRef]
- Vivarelli, C.; Censi, F.; Calcagnini, G.; Freschi, F.; Giaccone, L.; Canova, A.; Mattei, E. Electromagnetic Immunity of Pacemakers and Implantable Defibrillators to Wireless Power Transfer Systems for Automotive: A Provocative Study. IEEE Trans. Electromagn. Compat. 2024, 66, 97–107. [Google Scholar] [CrossRef]
- Zaheer, A.; Covic, G.A.; Kacprzak, D. A bipolar pad in a 10-kHz 300-W distributed IPT system for AGV applications. IEEE Trans. Ind. Electron. 2014, 61, 3288–3301. [Google Scholar] [CrossRef]
- Soleimani, J.; Kurt, G.K. High-power radio frequency wireless energy transfer system: Comprehensive survey on design challenges. IET Wirel. Sens. Syst. 2024, 14, 248–264. [Google Scholar] [CrossRef]
- Laha, A.; Kalathy, A.; Pahlevani, M.; Jain, P. A Comprehensive Review on Wireless Power Transfer Systems for Charging Portable Electronics. Eng 2023, 4, 1023–1057. [Google Scholar] [CrossRef]
- Mishra, K.; Kushawaha, A.; Chaurasia, N.; Kumar, S.; Singh, G.K.; Shahid, M. Development of Witricity Based Wireless Power Transmission System. Lect. Notes Electr. Eng. 2024, 1086, 619–634. [Google Scholar] [CrossRef]
- Alabsi, A.; Hawbani, A.; Wang, X.; Al-Dubai, A.; Hu, J.; Aziz, S.A.; Kumar, S.; Zhao, L.; Shvetsov, A.V.; Alsamhi, S.H. Wireless power transfer technologies, applications, and future trends: A review. IEEE Trans. Sustain. Comput. 2024, 1–18. [Google Scholar] [CrossRef]
- Patil, D.; McDonough, M.K.; Miller, J.M.; Fahimi, B.; Balsara, P.T. Wireless Power Transfer for Vehicular Applications: Overview and Challenges. IEEE Trans. Transp. Electrif. 2017, 4, 3–37. [Google Scholar] [CrossRef]
- Fahrbach, F.O.; Simon, P.; Rohrbach, A. Microscopy with self-reconstructing beams. Nat. Photonics 2010, 4, 780–785. [Google Scholar] [CrossRef]
- Lu, M.; Ngo, K.D.T. Pareto Fronts for Coils’ Efficiency Versus Stray Magnetic Field in Inductive Power Transfer. In Proceedings of the 2016 IEEE PELS Workshop on Emerging Technologies: Wireless Power Transfer (WoW), Knoxville, TN, USA, 4–6 October 2016. [Google Scholar]
- Xue, H.; Wu, X.; Cui, X.; Chang, M.; Liu, H.; Li, L.; Cui, T.J. Multitarget Wireless Power Transfer System Using Metasurface for Quasi-Bessel Beams with Large Half Power Beam Length. IEEE Trans. Microw. Theory Tech. 2022, 70, 4449–4462. [Google Scholar] [CrossRef]
- Kadem, K.; Bensetti, M.; Le Bihan, Y.; Labouré, E.; Debbou, M. Optimal coupler topology for dynamic wireless power transfer for electric vehicle. Energies 2021, 14, 3983. [Google Scholar] [CrossRef]
- Arduino, A.; Bottauscio, O.; Chiampi, M.; Giaccone, L.; Liorni, I.; Kuster, N.; Zilberti, L.; Zucca, M. Accuracy Assessment of Numerical Dosimetry for the Evaluation of Human Exposure to Electric Vehicle Inductive Charging Systems. IEEE Trans. Electromagn. Compat. 2020, 62, 1939–1950. [Google Scholar] [CrossRef]










| Materials | Inner Dimension | Outer Dimension | Hight |
|---|---|---|---|
| RX_Coil | 50 mm | 125 mm | 0.5 mm |
| TX_Coil | 50 mm | 200 mm | 0.5 mm |
| RX_Fe | 250 mm | 250 mm | 2 mm |
| TX_Fe | 400 mm | 400 mm | 2 mm |
Disclaimer/Publisher’s Note: The statements, opinions and data contained in all publications are solely those of the individual author(s) and contributor(s) and not of MDPI and/or the editor(s). MDPI and/or the editor(s) disclaim responsibility for any injury to people or property resulting from any ideas, methods, instructions or products referred to in the content. |
© 2025 by the authors. Licensee MDPI, Basel, Switzerland. This article is an open access article distributed under the terms and conditions of the Creative Commons Attribution (CC BY) license (https://creativecommons.org/licenses/by/4.0/).
Share and Cite
Aurongjeb, M.; Liu, Y.; Ishfaq, M. Design and Simulation of Inductive Power Transfer Pad for Electric Vehicle Charging. Energies 2025, 18, 244. https://doi.org/10.3390/en18020244
Aurongjeb M, Liu Y, Ishfaq M. Design and Simulation of Inductive Power Transfer Pad for Electric Vehicle Charging. Energies. 2025; 18(2):244. https://doi.org/10.3390/en18020244
Chicago/Turabian StyleAurongjeb, Md, Yumin Liu, and Muhammad Ishfaq. 2025. "Design and Simulation of Inductive Power Transfer Pad for Electric Vehicle Charging" Energies 18, no. 2: 244. https://doi.org/10.3390/en18020244
APA StyleAurongjeb, M., Liu, Y., & Ishfaq, M. (2025). Design and Simulation of Inductive Power Transfer Pad for Electric Vehicle Charging. Energies, 18(2), 244. https://doi.org/10.3390/en18020244

