Next Article in Journal
Heat, Cold and Power Supply with Thermal Energy Storage in Battery Electric Vehicles: A Holistic Evaluated Concept with High Storage Density, Performance and Scalability
Previous Article in Journal
Performance Study and Implementation of Accurate Solar PV Power Prediction Methods for the Nagréongo Power Plant in Burkina Faso
Previous Article in Special Issue
Experimental Investigation of Flash Spray Cooling for Power Electronics
 
 
Font Type:
Arial Georgia Verdana
Font Size:
Aa Aa Aa
Line Spacing:
Column Width:
Background:
Article

Modeling and Optimization of Nanofluid-Based Shaft Cooling for Automotive Electric Motors

by
Davide Di Battista
*,
Ali Deriszadeh
,
Giammarco Di Giovine
,
Federico Di Prospero
and
Roberto Cipollone
Department of Industrial and Information Engineering and Economics, University of L’Aquila, Piazzale Ernesto Pontieri 1, Monteluco di Roio, 67100 L’Aquila, Italy
*
Author to whom correspondence should be addressed.
Energies 2025, 18(19), 5286; https://doi.org/10.3390/en18195286
Submission received: 29 August 2025 / Revised: 25 September 2025 / Accepted: 3 October 2025 / Published: 6 October 2025
(This article belongs to the Special Issue Advanced Thermal Simulation of Energy Systems: 2nd Edition)

Abstract

Electrified powertrains in the transportation sector have increased significantly in recent years, thanks to the need for decarbonization of the on-the-road transport means. However, management of powertrains still deserves particular attention to assess necessary improvements for reducing electric consumption and increasing the mileage of the vehicles. In this regard, electric motor cooling is essential for maintaining optimal performance and longevity. In fact, as electric motors operate, they generate heat due to electric and magnetic phenomena as well as mechanical friction. If not properly managed, this heat can lead to decreased efficiency, accelerated wear, or even failure of critical components. Effective cooling systems ensure that the motor runs within its ideal temperature range, reducing the occurrence of the mentioned concerns. This improves operational reliability and, at the same time, contributes to energy savings and reduced maintenance costs over the components’ life. In this study, the cooling of the rotor of a 130-kW electric motor via refrigerating fluid circulating inside the shaft has been investigated. Two configurations of fluid passages have been considered: a direct-through flow crossing the shaft along its axis and a hollow shaft with recirculating flow, with three types of rotating helical configurations at different pitches. The benefits when using nanofluids as a cooling medium have also been evaluated to enhance the heat transfer coefficient and decrease temperature values. Compared with the baseline configuration using standard fluids (water), the proposed solution employing nanofluids demonstrates effectiveness in terms of heat transfer coefficients (up to 28% higher than pure water), with limited impact on pressure losses, thus reducing rotor temperature by up to 30 K with respect to the baseline. This study opens the possibility of integrating the cooling of the rotor with whole electric motor cooling for electric and hybrid powertrains.

1. Introduction

Current road transportation regulations ask for an urgent and dramatic reduction in CO2 emissions to help mitigate global warming and climate change [1,2]. Hence, cleaner technologies for the propulsion system of vehicles need to be implemented on a large scale [3]. Internal combustion engines (ICEs) have been widely improved in recent decades, significantly enhancing engine energy recovery [4,5] and thermal management [6,7], while reducing friction and advancing the combustion process [8]. However, to further cut CO2 emissions, fuel consumption by vehicles must be reduced even more.
In this context, hybrid (HEV) and electric (EV) vehicles, as well as hydrogen-based vehicles and the use of biofuels [9], can be effective options if coupled with renewable and environmentally friendly methods for producing the energy vector for traction, as well as all powertrain components (batteries, electric motors, etc.) [10,11]. Nevertheless, several factors still limit the wide-scale diffusion of EVs, most importantly limited range, long charging times, and dependency on rare and expensive materials for motors and batteries (rare metals, lithium, etc.) [12,13]. Geopolitical aspects are also important to sustain the adoption of a stronger diffusion.
Significant improvements can be achieved by enhancing the electrochemical batteries used on board. Ensuring consistency in materials and manufacturing processes [14], along with effective thermal management of cells [15,16], holds substantial potential to enhance the performance and extend the lifespan of battery packs [17]. However, electric motors also still have room for improvement, concerning both the materials used for their manufacturing [18] and strategies to ensure their proper thermal management even under high-load driving conditions [19]. This latter aspect can be particularly challenging in the automotive sector, due to the need for compact and power-intensive motors to fulfill space constraints on board the vehicle [20]. In fact, high power requests can determine hotspots inside the motor, potentially leading to demagnetization of magnets and aging of insulation materials, which reduce the motor’s efficiency and, eventually, its service life [21].
Consequently, efficient thermal management systems are also necessary for electric traction motors. Many solutions have been proposed in the literature, mainly referring to the most-often used motor technologies in EVs, i.e., permanent magnet synchronous motors (PMSMs), alternating current induction motors (AC-IMs), and synchronous motors (AC-SMs) [22]. In particular, high temperature has adverse effects on PMSMs, eventually causing demagnetization of permanent magnets in the rotor [23]. Depending on the heat extraction method, conduction and convection-based cooling systems can be distinguished [24]. High thermal conductivity materials/components [25,26], phase-change materials (PCMs) [27,28], and heat pipes [29] can be used to cool the stator without the need for sealings or auxiliary sub-systems (pumps, heat exchangers, etc.). However, such systems do not provide any rotor cooling and offer poor cooling performances for higher power densities [24]. In these conditions, convection cooling techniques are typically used [20]. Air cooling systems based on enhanced air flow patterns [30], stator/rotor axial vent holes [31,32], and fin and cooling fan designs [33,34] have been widely assessed. Nevertheless, their susceptibility to ambient temperature and humidity, impurity pollution, and windage losses suggest preferring liquid-based cooling systems in electric traction motors [24]. Liquid jacket cooling is an effective solution to cool the stator [20]. Channels embedded in the stator jacket following axial, helical, or variously shaped serpentines have been proposed [35], even running close to the windings, where the major source of heat is generated [36]. Direct cooling systems for the windings are necessary at higher power densities, such as oil immersion, oil spray, and hollow or profiled conductors for the winding slot [37,38].
However, high power operation of electric motors can determine thermal stress also in the rotor, which thus requires a dedicated cooling system to prevent dangerous hot spots [39]. A promising approach is to cool the rotor through a liquid (oil, water–glycol mixtures, etc.) flowing inside the hollow shaft supporting the rotor itself [40]. In these systems, specific sealings preventing leakages towards the environment are necessary. In simpler designs, the cooling flow follows a single direction from one side to the other of the hollow shaft [41]. An axial turbulent flow establishes inside the shaft due to its rotation, significantly improving the heat transfer coefficient between the rotor and the fluid and thus reducing the rotor temperature, approaching it to the cooling medium temperature. However, shaft rotation also determines higher pressure losses compared with the stationary case, increasing the cooling pump energy consumption. In addition, a single coolant flow is difficult to manage due to the need to connect the rotor shaft with the engine load on at least one side of the motor. To overcome some these drawbacks, in this paper a new solution that focuses the rotor cooling with a double passage is studied, which can increase the heat transfer coefficient and also control the rotor temperature.
Also, more advanced layouts have been developed to address these issues. A promising approach is to insert an additional tube inside the hollow shaft to better direct the fluid inside it. The tube can be shaped to realize specific flow paths. In [42], a stationary tube was placed inside the hollow shaft. Cooling oil was introduced inside the tube, and then recirculated to the circuit flowing in the annulus between the tube and the hollow shaft. Such an arrangement enhanced the heat transfer coefficient between the rotor and the cooling fluid up to 2900 W/( m 2 ·K) at 14,000 rpm, thus significantly reducing the magnet’s temperature compared with the case without rotor cooling. Similarly, a 50–50 ethylene glycol–water mixture (W–EG) was used in a hollow shaft indirect rotor cooling in [43,44]. A 50 °C reduction in the rotor maximum temperature at 10,000 rpm and 3000 rpm, respectively, was reached. To further enhance heat transfer between rotor and coolant, several improved designs of shaft rotor cooling have been proposed. In [45], the inner tube was rigidly connected to the hollow shaft through spokes with different geometries to increase the heat exchange surface. Another option is to wrap helical blades to the external surface of the stationary tube internal to the hollow shaft [46]. Moreover, designs using helicoidal ribs attached to the hollow shaft have been proposed. These items deform by the effect of rotor speed and coolant temperature, thus reducing hydraulic losses [47]. Systems integrating rotor and stator cooling have also been designed. In [48], the cooling circuit was suitably arranged between them to ensure proper cooling, splitting the flow between rotor and stator with a 20:80 ratio. A special coolant path entrance in the rotor shaft was designed for an interior permanent magnet (IPM) motor in [49]. Rotor cooling was connected efficiently with stator cooling, enabling higher motor power due to the lower temperature reached inside the rotor. Double hollow shaft cooling, where the fluid inlet and outlet sections are on the same side of the shaft, seems to be the most promising solution combining higher heat transfer and low complexity. In addition, adding helical fins significantly improves the heat transfer coefficient, with low realization costs.
Cooling performance can also be improved by employing refrigerants [50,51] or nanofluids [52,53] as a thermal medium. Nanofluids have nanoparticles embedded in a coolant fluid, which significantly enhance heat transfer due to the high thermal conductivity of nanoparticles [54]. Experimental studies on SiO2-water nanofluids in automotive radiators have indicated maximum improvement of convection heat transfer at the highest nanoparticle concentrations, though fluid flow performance was not addressed [55]. Similarly, investigations into Al2O3/CNC and Al2O3/TiO2 nanofluid coolants have demonstrated that heat transfer parameters, such as the heat transfer coefficient, increase proportionally with volumetric flow rate [56]. Although nanoparticles enhance heat transfer capabilities, they also increase fluid density and viscosity, leading to higher pressure drops and pumping power requirements—undesirable characteristics in fluid flow. Therefore, comprehensive analyses of both thermal and fluid flow performance are essential to optimize cooling systems utilizing nanofluid coolants [57]. While many studies on nanofluids for battery pack [58] and power electronics [59] cooling have already been carried out, the cooling of electric motors for automotive applications based on nanofluids has been poorly addressed in the literature [60], especially concerning rotor cooling. Hence, this paper addresses the use of nanofluids for rotor cooling in electric motors for the automotive sector, where the constraints related to powertrain operating temperature are severe, since they can influence the mileage of a vehicle, which represents the most important concern for electric mobility.
In this paper, the rotor cooling system of an electric traction motor for the automotive sector proposed by the authors of [61] has been further investigated. This study takes a step further in the rotor cooling techniques and thermal management evaluations for electric or hybrid vehicle motors. That system implemented a dual-flow rotor shaft cooling system in an electric motor available on the market [62], following the same analytical approach previously adopted by other authors in [63]. Furthermore, the effect of adding aluminum oxide nanoparticles at concentrations of 2% and 4% to the base fluid (water) is evaluated for all configurations under various volumetric flow rates, and their hydrothermal performance is comprehensively analyzed. Al2O3–water nanofluids are among the most extensively studied nanofluids in the literature, offering a good trade-off between thermal conductivity enhancement, preparation process, cost, and availability. While alternative nanoparticles such as CuO, TiO2, and graphene-based materials have been investigated for heat transfer applications, Al2O3 provides the advantage of well-established, experimentally validated property correlations, lower cost for practical implementations, and an easy preparation process. Taking these factors into account, Al2O3 is selected for this study. The single-phase model, assuming steady, incompressible three-dimensional flow and neglecting natural convection and radiative heat transfer, is used to model nanofluid flow. The finite volume method is employed for numerical simulation and solving the flow equations, and the k-ω SST two-equation turbulence model is applied to model the turbulent flow. Significant improvements in terms of heat transfer coefficient and rotor temperature reduction have been demonstrated, with the dual-flow shaft cooling configuration employing nanoparticles in the cooling fluid.

2. Methodology

2.1. Statement of the Problem

This study involves the numerical investigation of cooling a shaft in an electric motor with a rated power output of 130 kW and an efficiency of 92% that is used in the powertrain of the Audi e-tron series as their rear axle electric motor (AKA320 drive unit) [64]. The specifications of the electric machine are listed in Table 1 [64]. A turbulent fluid flow passes through a hollow inner shaft and then enters the inner region of the rotating outer shaft, cooling both the shaft and the rotor. Of the total 8% thermal losses of the motor, the rotor’s thermal flux is 1600 W [61], which represents 15–16% of total losses and is applied to the outer wall of the rotating shaft (Figure 1).
Figure 1 shows the heat flux imposed on the outer wall of the shaft.
Figure 2a shows the schematic of the hollow shaft with recirculating flow used in this study. As illustrated, two rotating fins are incorporated onto the outer wall of the inner shaft to improve flow distribution and thermal performance. Figure 2b shows the internal view of the shaft with two rotating fins featuring a two-turn helical pitch. Figure 3 shows the two-dimensional schematic and the dimensions of the shaft.
The pure water and nanofluid enter the inner shaft with uniform volumetric flow rates of 7, 8, 9, 10, and 11 L/min at a temperature of 60 °C and exit at a constant pressure of 1 bar. Additionally, the outer shaft wall rotates at a constant speed of 3000 RPM, and a heat flux of 1600 W is applied to the external surface of the outer shaft (see Figure 1). This value represents the rotor losses of the electrical motor considered ([61,64]).
The inner and outer shafts have inner diameters of 22 mm and 56 mm, respectively, with wall thicknesses of 4 mm and 7 mm. The rotor and both shafts have a length of 210 mm, while the fins are 7 mm high and 1 mm wide. It is worth noting that the Reynolds number in all simulations ranges between 14,000 and 23,000. The Reynolds number has been evaluated considering the actual properties of the fluid, the correct diameter, and inlet velocity (see next Equation (10)).
To enhance heat transfer, aluminum oxide (Al2O3) nanoparticles are added to the pure water-based fluid at concentrations of 2% and 4%, and the process is simulated using a single-phase model which was revealed to be very suitable to approximate a mixture of different materials (particles and liquid) in a homogeneous fluid whose thermodynamic properties can be evaluated according to the correspondent mass fractions. This could represent a limitation for this study, since it does not consider interactions between nanoparticles and walls, sedimentation, agglomeration, deposits, centrifugal force effect, etc., but requires very complex analysis that can be justified after that robust beneficial aspects are highlighted by a homogenous model result.

2.2. Governing Equations

As previously mentioned, the Reynolds number in this study falls within the turbulent flow regime. To model the turbulent flow, the SST k-ω turbulence model [65] is used, which is part of the Reynolds-Averaged Navier–Stokes (RANS) models.
For the Reynolds-Averaged Navier–Stokes equations, the flow is assumed to be turbulent, steady, incompressible, and three-dimensional with heat transfer. In addition, natural (free) convection and radiation are neglected. This assumption is justified as follows.
The shaft operates at relatively high rotational speeds, which induces strong forced convection. Under such conditions, the contribution of natural convection is negligible compared to forced convection.
The shaft and surrounding fluid remain within moderate temperature ranges where radiative heat transfer is insignificant relative to convective heat transfer. Furthermore, the surrounding surfaces have low emissivity, further reducing radiative effects.
Accordingly, the governing equations for continuity (Equation (1)), momentum (Equation (2)), and energy (Equation (3)) are as follows [66].
u ¯ i X i = 0
( ρ u ¯ i u ¯ j ) x j = p ¯ x i + x j ( μ e f f u ¯ i x j + u ¯ j x i )
( ρ C p T u j ) x j = x j ( k e f f T ¯ x j )
where T stands for the fluid temperature, respectively; u is the fluid velocity. The effective dynamic viscosity, μ e f f   is defined as the sum of laminar and turbulent viscosities, such that μ e f f   =   μ l + μ t and k e f f is the effective thermal conductivity.
For the SST k-ω turbulence model, the turbulence kinetic energy (k) and the specific dissipation rate (ω) are governed by the following equations [66] (Equations (4) and (5)):
ρ k t + ρ k u j x j = P x j μ + μ i σ k k x j + ρ P ρ ω k
ρ ω t + ρ ω u j x j = x j μ + μ i σ ω ω x j + C 1 ω ρ P ω k C 2 ω ρ ω 2
where P   is the pressure, C 1 ω and C 2 ω are empirical coefficients, ρ is the density of the fluid,   t indicates time, x j   designates the position vector component, and u j   stands for the velocity component in the j -direction.
As mentioned, a single-phase model is used to simulate the nanofluid flow in this study. In the single-phase model, the density and specific heat capacity of the nanofluid are defined according to the following relations [67] (Equations (6) and (7)).
ρ n f = 1 φ ρ f + φ ρ p
( ρ C p ) n f = 1 φ ρ C p f + φ ( ρ C p ) p
Here, φ refers to the volumetric concentration of the nanofluid, with ρ f and   ρ p corresponding to the fluid and nanoparticle densities, respectively.
Additionally, the thermal conductivity k and viscosity μ of the nanofluid are defined according to Equations (8) and (9) [67].
k n f k f = k p + 2 k f + 2 φ k p k f k p + 2 k f φ k p k f
μ n f = ( 123 φ 2 + 7.3 φ + 1 ) μ f
In these relations, φ represents the nanofluid volumetric concentration, while the subscripts f , p , and n f refer to the base fluid, nanoparticle, and nanofluid, respectively.
Equation (9) has been derived from experimental datasets for Al2O3–water nanofluids. Several studies have demonstrated its validity at various concentrations and in turbulent flow regime, confirming its suitability for the present modeling [67,68,69,70].
Table 2 presents the thermophysical properties of the base fluid and aluminum oxide nanoparticles at different concentrations using Equations (6) to (9).
The dimensionless parameter, Reynolds number, is defined as follows (Equation (10), [67]):
R e D = ρ u i n D h μ
In this relation, u i n represents the inlet velocity, and D h denotes the equivalent hydraulic diameter. Additionally, Equations (11) and (12) are used to represent the average Nusselt number and the convective heat transfer coefficient, respectively [67]:
N u = h D h k
h = q w T w T b
In these relations, q w represents the heat flux exchanged by the fluid, T w is the wall temperature, and T b is the bulk temperature. Additionally, the performance evaluation criterion (PEC) for the tube is defined by the following Equation (13) [67]. It is a synthetic index that summarizes the performance of an advanced cooling system compared to the baseline case, considering at the same time the thermal behavior (Nusselt number) and the pressure drop (ΔP).
P E C = ( N u / N u b , f ) ( P / P b , f ) 1 / 3
In this equation, P refers to the static pressure drop between the outlet and inlet, and the subscripts b , f denote the baseline case with the base fluid.

3. Meshing

The mesh used in this study is an unstructured tetrahedral mesh consisting of 3,570,000 cells. Figure 4a,b provides an illustration of the mesh. As shown, due to the high fluid velocity near the shaft wall, a precise boundary layer mesh is required near the wall. To achieve higher accuracy in capturing the hydrodynamic and thermal boundary layers, the mesh has been refined significantly in the wall-adjacent regions. Furthermore, it has been ensured that the dimensionless wall function (y+) remains below 1 for the entire range of Reynolds numbers [71], ensuring adequate resolution of the viscous sublayer when using the SST k–ω model. The distribution of wall y+ values across the shaft surface and surrounding fluid domain is shown in Figure 4c. It can be observed that y+ remains well below unity throughout the domain, confirming that near-wall turbulence is accurately captured.

4. Numerical Solution Method and Validation

For the numerical solution of this problem, ANSYS Fluent software v2023 R2 was used. This software is based on the finite volume method. As mentioned, the S S T k ω model was used to simulate the turbulent flow. For better convergence of the equations, the pressure–velocity coupling was performed using the COUPLED algorithm, and for discretizing the momentum, energy, turbulent kinetic energy, and turbulence dissipation rate equations, the second-order upwind scheme was employed. The convergence criterion for the momentum, turbulent kinetic energy, and turbulence dissipation rate equations was set to less than 10 4 , while for the energy equation, it was set to less than 10 6 . Additionally, to ensure convergence, temperature and pressure parameters were monitored at the inlet and outlet throughout the solution process. Table 3 shows the independence of the solution from the mesh. For this, the average Nusselt number was calculated for four meshes with the specified cell counts. As can be seen, for the good mesh with 3,570,000 cells and the very good mesh with 6,069,000 cells, the difference in the average Nusselt number is less than 0.2%, meaning that any increase in the number of cells does not significantly affect the results. Therefore, the mesh with 3,570,000 cells was selected for this study.
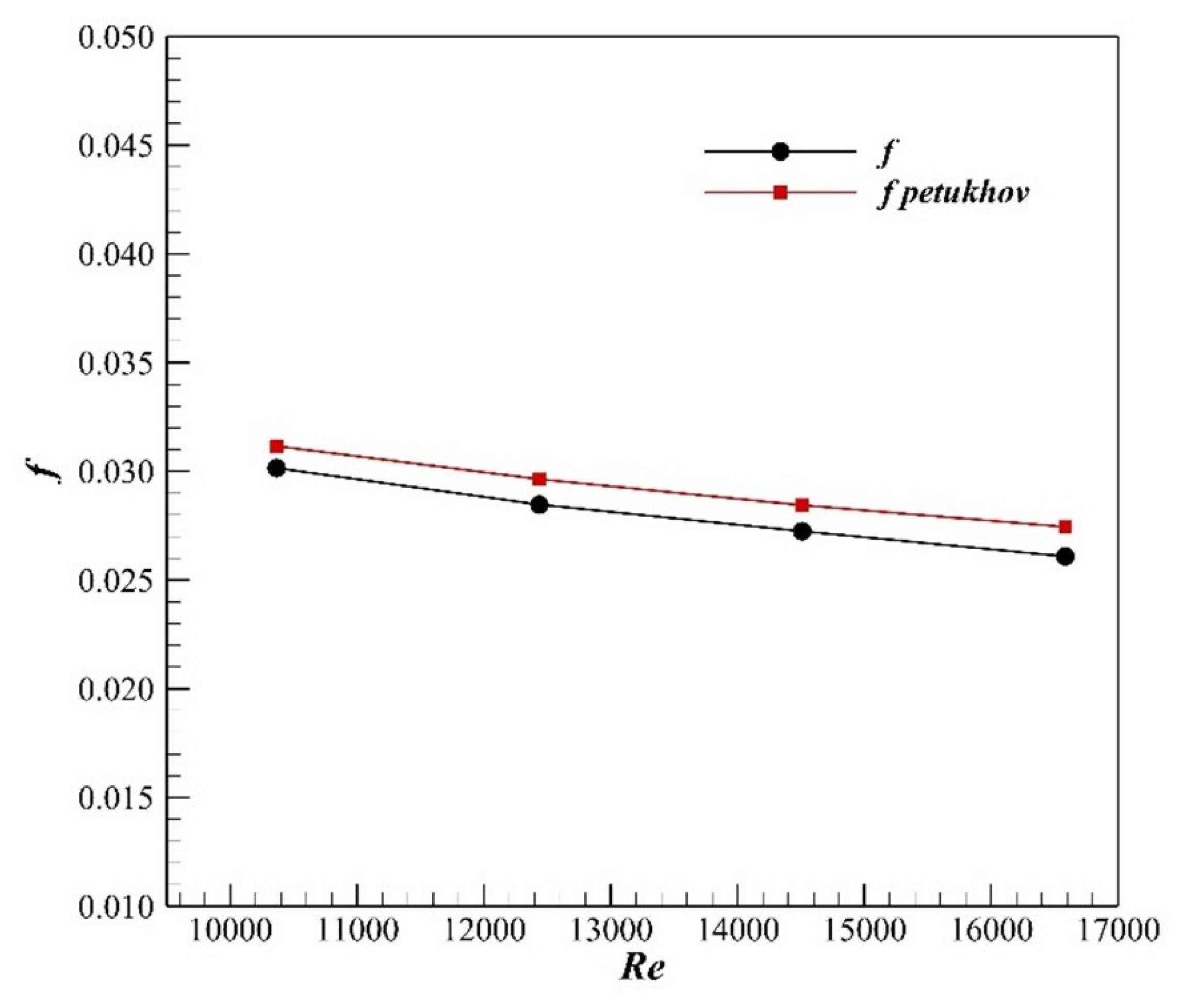
To validate the Nusselt number and friction factor, empirical correlations provided by Petukhov and Gnielinski [72] were used, considering water as the base fluid and the case direct-through. Figure 5 and Figure 6 show the comparison of the average Nusselt number and friction factor from the present numerical study with the empirical correlations mentioned. As seen from these plots, the maximum percentage differences in the average Nusselt number and friction factor compared to these correlations are 4.2% and 4.9%, respectively, indicating good agreement with the experimental results. Furthermore, for additional validation, the results in the rotating shaft case were compared with the experimental work of Gai and his colleagues [44]. Figure 7 presents the comparison of the average Nusselt number with the experimental results. The simulations were compared with this experimental work over the rotation range of 0 to 4500 RPM, where the maximum difference observed was 6.6%.
Given the chosen number of mesh elements, numerical uncertainty due to numerical error is 1.01%. Although uncertainty related to the experimental data is not explicitly stated in [44], it is indicated that the relative error between an SST k-ω model and experimental outcomes is approximately 15%.

5. Discussion and Results

5.1. Flow and Temperature Fields

Figure 8 presents a comparison of secondary flow contours and streamlines in the central cross-section of the baseline shaft with direct-through flow and the helical hollow shaft with recirculating flow with a pitch of 0.5 turn, using water as the base fluid with a volumetric flow rate of 7 L/min. As observed, in the hollow shaft with the recirculating flow case, the velocity around the wall increases up to 8 m/s. Additionally, the presence of rotating fins leads to the formation of vortices in the inner cross-section of the shaft, resulting in better flow mixing due to the rotational flow phenomenon.
Figure 9 depicts the temperature contours in the central cross-section of the direct-through flow shaft and the hollow shaft with recirculating flow. To complement this qualitative analysis, Table 4 summarizes wall temperatures for both configurations at various flow rates. In the direct-through flow shaft configuration, the outer surface of the shaft in contact with the rotor reaches temperatures close to 380 K. However, in the hollow shaft with recirculating flow finned configuration, due to higher velocities around the rotating region of the shaft, the outer surface temperature decreases to approximately 354 K. Furthermore, the presence of rotational flow results in a more uniform temperature distribution within the shaft cross-section.
Figure 10 illustrates the contours of pressure, velocity, and temperature at the center of the direct-through flow shaft for a volumetric flow rate of 7 L/min. In this configuration, the direct-through flow shaft results in a minor pressure drop, and the temperature on the outer surface of the shaft is relatively high. For this setup, the pressure drop reaches 300 Pa (Figure 10a). The fluid velocity has an inlet value approximatively equal to 0.4 m/s and increases, crossing the duct up to 2 m/s (Figure 10b), mainly due to the rotation of the rotor and the change in density and viscosity related to heating. Figure 10c shows the temperature of the fluid, highlighting the increase along the axial direction of about 2 °C, and also shows the radial gradient, where the temperature at the walls is up to 380 K: this value is also strictly related to the temperature of the rotor.
In contrast, for the hollow shaft with recirculating flow shown in Figure 11, Figure 12 and Figure 13, with increasing fin pitch to 0.5 turn, 1 turn, and 2 turns, the pressure drop rises to 500 Pa, 1200 Pa, and 2400 Pa, respectively (Figure 11a, Figure 12a and Figure 13a).
Figure 11b shows the speed profile of the fluid inside the double hollow shaft (for 0.5 turn), and the trail effect of the helicoidal fin on the flow is evident. In the inlet duct, for the inner one, the fluid follows a developing flow, with a core at nearly constant, and lower, velocity. Then, it meets the closed walls at the end of the domain and turns back into the outer circular crown, where rotation is imposed by the outer shaft (increasing the velocity) and helicoidal fins are present, acting in some respect as obstructions. So, a boundary layer forms along the rotor wall. The fin disrupts the boundary layer, creating a local vortex where the velocity drops, and then leads to reattachment further downstream, enhancing mixing and heat transfer. This is more evident in Figure 12b and Figure 13b, where the helicoidal pitch is 1 turn and 2 turns. Speed values always comprise 0.2 and 2 m/s, except for some spikes in small points.
In Figure 12, the contours of the case of the double hollow shaft with 1 turn are shown. As stated, the trail effect on speed is greater (Figure 12b) and the pressure drops are higher (Figure 12a). The distribution of temperature is shown in Figure 12c, highlighting the effect of the helicoidal turn. Also, in Figure 11b, the temperature gradient along the thickness of the outer cylinder is higher, demonstrating the lower temperature of the rotor.
In Figure 13a the contour pressure of the case of the double hollow shaft with 2 turn is shown. In this case, the pressure remains relatively stable along the shaft length. Compared with the 0.5-turn and 1 turn cases, the pressure drop at the outlet is more significant. As shown in the velocity contour (Figure 13b), a reduction in fluid velocity is observed around the fins, which disturbs the main flow and generates local circulation, and this phenomenon enhances heat transfer. Additionally, increasing the helical pitch to 2 turns further reduces the temperature near the rotating regions to 352 K (Figure 13c).

5.2. Effect of Helical Fins on the Flow Field

Figure 14 shows the pressure drop curve based on the Reynolds number for four configurations: the hollow shaft with straight flow and the hollow shaft with recirculating flow with helical fins at pitches of 0.5 turn, 1 turn, and 2 turns. As observed, the lowest pressure drop occurs in the straight-flow configuration characterized by the lowest fluid velocities and the absence of wakes and of changes in direction, etc. For all these aspects, the addition of helical fins leads to an increase in pressure drop. Specifically, for the 0.5 turn pitch case, a 65% increase in pressure drop is observed at a volumetric flow rate of 7 L/min due to the increased fluid velocity near the wall and rotational flow around the inner shaft. As the helical pitch increases up to 2 full turns, the swirling intensity of the flow becomes more pronounced, resulting in an increased pressure drop relative to the direct-through flow shaft configuration. The increase in pressure drops related to numbers of pitch of helical fins is progressively higher, demonstrating how it could represent an issue if they are not properly taken into account in a comprehensive way, considering also the expected heat transfer improvement. However, considering the shortness of the duct for the specific application, the specific value (<2500 Pa) does not cause concern.
Figure 15 presents the comparison of the convective heat transfer coefficient for the different hollow shaft configurations. With the addition of helical fins and their increasing pitch, it is observed that heat transfer increases up to 2.5 times for the hollow shaft with straight flow with a 2 turns pitch, due to the increased velocity near the wall, the creation of rotational flow, and the disruption of the thermal boundary layer around the inner shaft compared to the direct-through flow shaft configuration. However, the benefits related to higher number of pitches are almost negligible and suggest limiting the geometry to the 0.5 turn case, considering also the strong increase in pressure drop with higher numbers of turns (Figure 14).
Figure 16 shows the overall efficiency of these configurations relative to the direct-through flow shaft case. This is represented by PEC, which takes into account in a comprehensive way both heat transfer and hydraulic aspects. Due to the significantly higher pressure drop in the 2 turns and 1 turn configurations, the overall efficiency of the 0.5 turn pitch configuration is higher than that of the other two configurations. Table 5 presents a quantitative comparison of PEC.

5.3. Effect of Adding Nanoparticles

Figure 17 presents the impact of adding aluminum oxide nanoparticles at two different concentrations on the pressure drop versus Reynolds number for four different shaft configurations. In Figure 17a, due to the increase in the viscosity and density of the fluid, the pressure drop increases by up to 13% for the 2% concentration, and 28% for the 4% nanoparticle concentration in the direct-through flow shaft compared to the base fluid. Additionally, as the pitch of the helical fins increases to 0.5, 1, and 2 turns, a pressure drop increase of up to 20% is observed compared to the base fluid (Figure 17b–d).
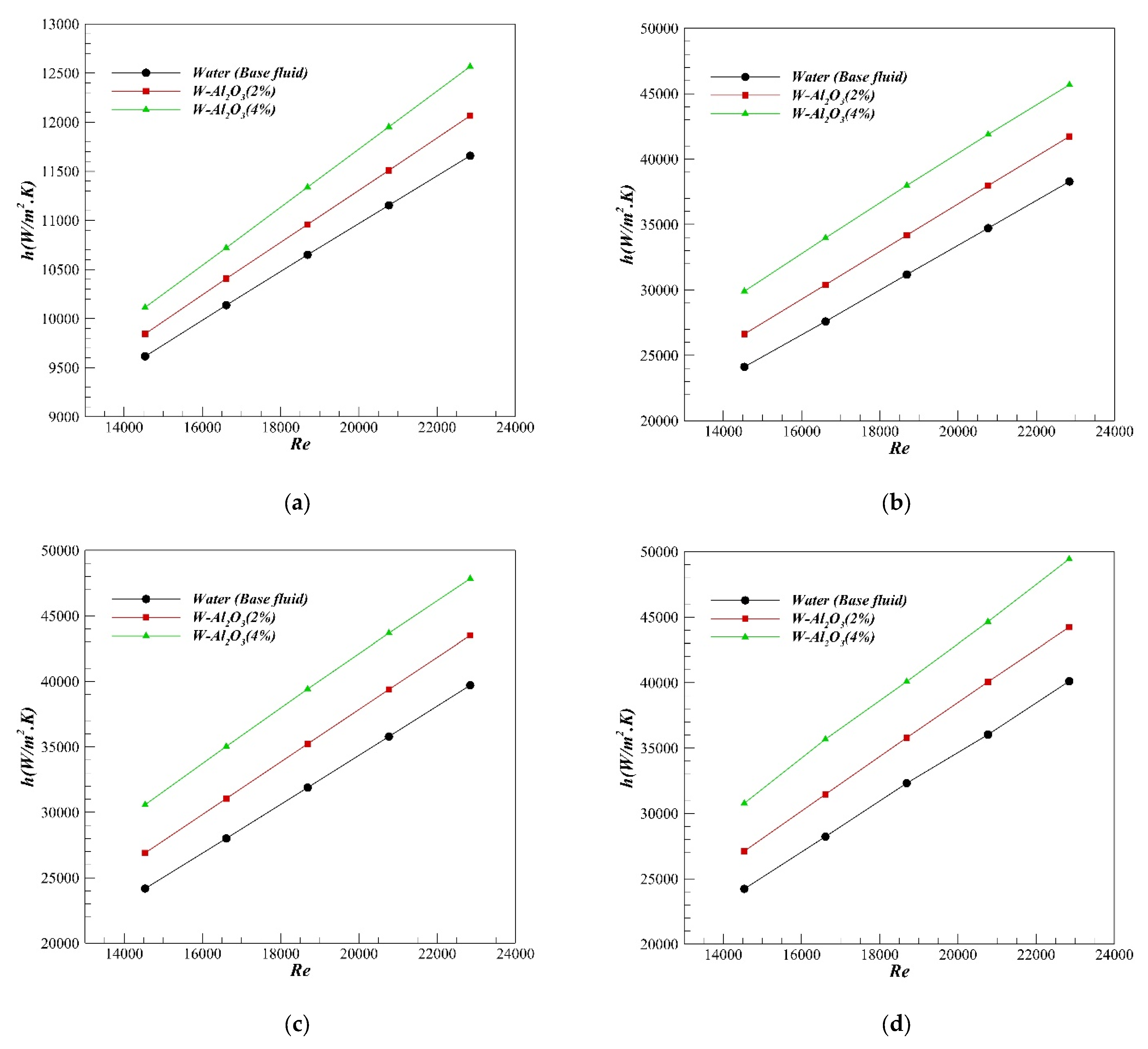
With the addition of nanoparticles to the base fluid, the thermal conductivity of the fluid increases, enhancing heat transfer from the wall to the fluid. Figure 18 shows the convective heat transfer coefficient versus Reynolds number for the four different shaft configurations for both the base fluid and the water–aluminum oxide nanofluid at 2% and 4% concentrations. As observed in Figure 18a, the addition of nanoparticles to the base fluid results in an increase in heat transfer by up to 8% for the direct-through flow shaft configuration, and up to 28% for the finned configurations in Figure 18b–d, due to the enhanced thermal conductivity and reduced specific heat capacity of the nanofluid compared to the base fluid.
Figure 19 shows a comparison of overall efficiency (PEC—performance evaluation criterion, Equation (13)) for different nanofluid concentrations with base fluid (pure water) for the optimized shaft configuration with a 0.5 turn helical pitch, relative to the direct-through flow shaft with base fluid (pure water). This parameter summarized the benefits related to the improved heat transfer and the related pressure drop increase. As observed, the highest performance evaluation criterion occurs at a volumetric flow rate of 11 L/min (corresponding to a Re close to 23,000, the highest flow rate considered). In this case, for the 4% aluminum oxide water nanofluid, the PEC reaches a value of 2.91. For this value, the effect of adding nanoparticles is quite negligible while for lower flow rates (and Re numbers), the nanoparticles show a higher beneficial effect on the performance of the system.
Figure 20 shows inner rotor surface temperature for water direct-through and the optimized configuration. As can be seen, in the case of the optimized configuration, the wall temperature reaches its minimum value of approximately 352 K, while for the direct-through shaft with base fluid (pure water), the wall temperature is around 382 K. The optimized configuration offers a clear advantage in cooling performance over the direct-through design, lowering the temperature to about 30 K, but with Al2O3 the temperatures are only slightly reduced. Although the addition of nanoparticles to nanofluids increases the convective heat transfer coefficient, its impact is less significant than geometric improvements and the relative impact of nanoparticles is very limited in terms of the temperature variation of the rotor shaft wall.

6. Conclusions

The on-the-road transportation sector is going through a period in which electrification seems to be the destination of the transition toward more sustainable systems. In this regard, electric and hybrid powertrain efficiency has good room for improvement, particularly regarding the thermal management of integrated components.
In this study, the cooling of a 130 kW electric motor’s shaft and rotor was investigated using two types of fluids: pure water and a so-called nanofluid consisting of a mixture of pure water and aluminum oxide nanoparticles whose mass concentration was 2% and 4%.
Four shaft configurations were examined at volumetric flow rates ranging from 7 to 11 L/min. The pressure drops and heat transfer coefficient, for each case, were thoroughly analyzed, and best-case performance highlighted. The baseline configuration is a hollow shaft with direct-through flow, with a low fluid pressure drop, and an internal rotor temperature equal to 382 K, stimulated by a thermal flux of 1.6 kW from the electric machine, resulting from thermal losses in the rotor.
Changing the shaft configuration to the hollow shaft with recirculating flow mode led to a noticeable reduction in temperature on the rotor’s inner wall (about 30 K) but, obviously, an increase in the pressure drop. As a helical fin was introduced with pith equal to 0.5, 1, and 2 turns, the rotational flow intensified, and the destruction of both the hydrodynamic and thermal boundary layers caused a small temperature decrease while the pressure drop increased dramatically. The performance of the configurations was verified through the performance evaluation criterion (PEC), which involves both thermal and hydraulic performance (friction). Due to the low pressure drop and the noticeable reduction in temperature on the inner rotor wall, the highest PEC was achieved by the reverse-flow configuration with a 0.5 turn helical pitch.
Adding aluminum oxide nanoparticles to the base fluid resulted in enhanced heat transfer due to the increased thermal conductivity of the fluid, while the pressure drop further increased because of the higher fluid density. In this case, for the 0.5 turn helical fin, the heat transfer is enhanced by up to 28% of the baseline case and the PEC reached its optimal value of 2.91 at a volumetric flow rate of 11 L/min with a 4% aluminum oxide-water nanofluid. The optimized configuration shows a significant advantage over the direct-through cooling method in terms of heat transfer performance. However, employing nanofluids in the optimized configuration showed a very marginal improvement in rotor temperature, and also an increase in pressure drops, which reduced the net benefits related to the eventual increased efficiency of the electric motor. Hence, despite the higher heat transfer coefficient, the overall performance improvements are so low as to not fully justify the adoption of nanoparticles for this specific application.
The methodology has been applied on a medium-size electric motor for the automotive sector but its integration in a comprehensive cooling circuit which involves also the motor stator, and the other thermal needs of the whole powertrain, can also be developed. A cost–benefit analysis could add some additional features comparing benefits related to the efficiency increase with manufacturing and operational costs. For higher specific power (kWel/m3) of the electric motor, when the space requirement is a constraint, the efficiency improvement brings higher savings.

Author Contributions

Conceptualization, R.C. and D.D.B.; methodology, A.D, F.D.P. and G.D.G.; software, A.D.; validation, D.D.B., A.D. and R.C.; formal analysis, G.D.G., F.D.P. and A.D.; investigation, A.D., F.D.P. and G.D.G.; resources, D.D.B. and R.C.; data curation, A.D.; writing—original draft preparation, A.D. and G.D.G.; writing—review and editing, D.D.B. and F.D.P.; visualization, A.D. and D.D.B.; supervision, R.C.; project administration, D.D.B.; funding acquisition, D.D.B. and R.C. All authors have read and agreed to the published version of the manuscript.

Funding

This research received no external funding.

Data Availability Statement

Data will be make available on request.

Acknowledgments

This work took benefit from the study made under the project funded by the European Union—Next Generation EU—Italian NRRP, Mission 4, Component 2, Investment 1.1 “Fund for the National Research Program and Projects of Significant National Interest (PRIN)” (Directorial Decree n. 1409/2022) “PRIN 2022 PNRR”–Title of the Project: Gases with nanoparticles as working fluid for CSP technologies (nanoCSP), Project Code: P2022RAN9Z, CUP E53D23017420001. This work reflects only the authors’ views and opinions, neither the Ministry for University and Research nor the European Commission can be considered responsible for them.

Conflicts of Interest

The authors declare no conflict of interest.

References

  1. IPCC. Climate Change 2023—Synthesis Report, Summary for Policymakers. Available online: https://www.ipcc.ch/report/ar6/syr/downloads/report/IPCC_AR6_SYR_SPM.pdf (accessed on 23 September 2025).
  2. Dornoff, J. CO2 Emission Standards for New Passenger Cars and Vans in the European Union. ICCT, Policy Update, May 2023. Available online: https://theicct.org/publication/eu-co2-standards-cars-vans-may23 (accessed on 2 September 2025).
  3. IEA, Transport Sector CO2 Emissions by Mode in the Sustainable Development Scenario—2000–2030, Paris. Available online: https://www.iea.org/data-and-statistics/charts/transport-sector-co2-emissions-by-mode-in-the-sustainable-development-scenario-2000-2030 (accessed on 29 August 2025).
  4. Di Battista, D.; Di Bartolomeo, M.; Cipollone, R. Full energy recovery from exhaust gases in a turbocharged diesel engine. Energy Convers. Manag. 2022, 271, 116280. [Google Scholar] [CrossRef]
  5. Fatigati, F.; Di Giovine, G.; Cipollone, R. Feasibility Assessment of a Dual Intake-Port Scroll Expander Operating in an ORC-Based Power Unit. Energies 2022, 15, 770. [Google Scholar] [CrossRef]
  6. Di Giovine, G.; Di Bartolomeo, M.; Cipollone, R. An innovative triple-screw pump for engine cooling in the road transportation sector. Energy 2024, 304, 132001. [Google Scholar] [CrossRef]
  7. Di Giovine, G.; Di Battista, D.; Cipollone, R. The Effects of the Oil Temperature Warm-Up on Engine Fuel Consumption; SAE Technical Paper 2024-01-2411. SAE Int. J. Adv. Curr. Pract. Mobil. 2024, 7, 693–705. [Google Scholar] [CrossRef]
  8. Sellnau, M.; Hoyer, K.; Moore, W.; Foster, M.; Sinnamon, J.; Klemm, W. Advancement of GDCI Engine Technology for US 2025 CAFE and Tier 3 Emissions; SAE Technical Paper 2018-01-0901; SAE: Warrendale, PA, USA, 2018. [Google Scholar] [CrossRef]
  9. Arsie, I.; Battistoni, M.; Brancaleoni, P.P.; Cipollone, R.; Corti, E.; Di Battista, D.; Millo, F.; Occhicone, A.; Peiretti Paradisi, B.; Rolando, L.; et al. A New Generation of Hydrogen-Fueled Hybrid Propulsion Systems for the Urban Mobility of the Future. Energies 2024, 17, 34. [Google Scholar] [CrossRef]
  10. Perrone, D.; Falbo, B.; Falbo, L.; Castiglione, T. Effects of Fuel and Intake Air Temperatures on Ethanol Evaporation under Cold and Warm Conditions in a Diesel-Derived Heavy-Duty SI Engine. SAE Technical Paper 2025-24-0076. In Proceedings of the 17th International Conference on Engines and Vehicles, Capri, Italy, 14–17 September 2025. [Google Scholar] [CrossRef]
  11. Bieker, G. A Global Comparison of the Life-Cycle Greenhouse Gas Emissions of Combustion Engine and Electric Passenger Cars, White Paper, ICCT, July 2021. Available online: https://theicct.org/publication/a-global-comparison-of-the-life-cycle-greenhouse-gas-emissions-of-combustion-engine-and-electric-passenger-cars/ (accessed on 23 September 2025).
  12. Bibra, E.; Connelly, E.; Dhir, S.; Drtil, M.; Henriot, P.; Hwang, I.; Marois, J.-B.; McBain, S.; Aryanpur, V.; Paoli, L.; et al. Global EV Outlook 2022: Securing Supplies for an Electric Future; International Energy Agency: Paris, France, 2022. [Google Scholar]
  13. Olabi, A.G.; Abdelkareem, M.A.; Wilberforce, T.; Alkhalidi, A.; Salameh, T.; Abo-Khalil, A.G.; Hassan, M.M.; Sayed, E.T. Battery electric vehicles: Progress, power electronic converters, strength (S), weakness (W), opportunity (O), and threats (T). Int. J. Thermofluids 2022, 16, 100212. [Google Scholar] [CrossRef]
  14. Tian, J.; Fan, Y.; Pan, T.; Zhang, X.; Yin, J.; Zhang, Q. A critical review on inconsistency mechanism, evaluation methods and improvement measures for lithium-ion battery energy storage systems. Renew. Sustain. Energy Rev. 2024, 189, 113978. [Google Scholar] [CrossRef]
  15. Ghaeminezhad, N.; Wang, Z.; Ouyang, Q. A Review on lithium-ion battery thermal management system techniques: A control-oriented analysis. Appl. Therm. Eng. 2023, 219, 119497. [Google Scholar] [CrossRef]
  16. Zhao, G.; Wang, X.; Negnevitsky, M.; Li, C. An up-to-date review on the design improvement and optimization of the liquid-cooling battery thermal management system for electric vehicles. Appl. Therm. Eng. 2023, 219, 119626. [Google Scholar] [CrossRef]
  17. Ruan, H.; Barreras, J.V.; Engstrom, T.; Merla, Y.; Millar, R.; Wu, B. Lithium-ion battery lifetime extension: A review of derating methods. J. Power Sources 2023, 563, 232805. [Google Scholar] [CrossRef]
  18. Zheng, S.; Zhu, X.; Xiang, Z.; Xu, L.; Zhang, L.; Lee, C.H.T. Technology trends, challenges, and opportunities of reduced-rare-earth PM motor for modern electric vehicles. Green Energy Intell. Transp. 2022, 1, 100012. [Google Scholar] [CrossRef]
  19. Previati, G.; Mastinu, G.; Gobbi, M. Thermal Management of Electrified Vehicles—A Review. Energies 2022, 15, 1326. [Google Scholar] [CrossRef]
  20. Wang, X.; Li, B.; Gerada, D.; Huang, K.; Stone, I.; Worrall, S.; Yan, Y. A critical review on thermal management technologies for motors in electric cars. Appl. Therm. Eng. 2022, 201, 117758. [Google Scholar] [CrossRef]
  21. Gundabattini, E.; Kuppan, R.; Solomon, D.G.; Kalam, A.; Kothari, D.P.; Bakar, R.A. A review on methods of finding losses and cooling methods to increase efficiency of electric machines. Ain Shams Eng. J. 2021, 12, 497–505. [Google Scholar] [CrossRef]
  22. Raj, J.A.P.S.; Asirvatham, L.G.; Angeline, A.A.; Manova, S.; Rakshith, B.L.; Bose, J.R.; Mahian, O.; Wongwises, S. Thermal management strategies and power ratings of electric vehicle motors. Renew. Sustain. Energy Rev. 2024, 189, 113874. [Google Scholar] [CrossRef]
  23. Hanselman, D.D. Brushless Permanent Magnet Motor Design, 2nd ed.; Magna Physics Publishing: Cranston, RI, USA, 2003; pp. 34–38. ISBN 1-881855-15-5. [Google Scholar]
  24. Carriero, A.; Locatelli, M.; Ramakrishnan, K.; Mastinu, G.; Gobbi, M. A Review of the State of the Art of Electric Traction Motors Cooling Techniques; SAE Technical Paper 2018-01-0057; SAE: Warrendale, PA, USA, 2018. [Google Scholar] [CrossRef]
  25. Melka, B.; Smolka, J.; Hetmanczyk, J.; Lasek, P. Numerical and experimental analysis of heat dissipation intensification from electric motor. Energy 2019, 182, 269–279. [Google Scholar] [CrossRef]
  26. Sun, Y.; Zhang, S.; Yuan, W.; Tang, Y.; Li, J.; Tang, K. Applicability study of the potting material based thermal management strategy for permanent magnet synchronous motors. Appl. Therm. Eng. 2019, 149, 1370–1378. [Google Scholar] [CrossRef]
  27. Deriszadeh, A.; De Monte, F.; Villani, M. Numerical Thermal Performance Investigation of an Electric Motor Passive Cooling System Employing Phase Change Materials. In Proceedings of the ASME, 2021 Heat Transfer Summer Conference, Online, 16–18 June 2021; p. V001T08A006. [Google Scholar] [CrossRef]
  28. Wang, J.X.; Li, Y.Z.; Wang, S.N.; Zhang, H.S.; Ning, X.; Guo, W. Experimental investigation of the thermal control effects of phase change material based packaging strategy for on-board permanent magnet synchronous motors. Energy Convers. Manag. 2016, 123, 232–242. [Google Scholar] [CrossRef]
  29. Putra, N.; Ariantara, B. Electric motor thermal management system using L-shaped flat heat pipes. Appl. Therm. Eng. 2017, 126, 1156–1163. [Google Scholar] [CrossRef]
  30. Fawzal, A.S.; Cirstea, R.M.; Woolmer, T.J.; Dickison, M.; Blundell, M.; Gyftakis, K.N. Air inlet/outlet arrangement for rotor cooling application of axial flux PM machines. Appl. Therm. Eng. 2018, 130, 1520–1529. [Google Scholar] [CrossRef]
  31. Chen, W.; Ju, Y.; Yan, D.; Guo, L.; Geng, Q.; Shi, T. Design and optimization of dual-cycled cooling structure for fully-enclosed permanent magnet motor. Appl. Therm. Eng. 2019, 152, 338–349. [Google Scholar] [CrossRef]
  32. Jaeger, M.; Ruf, A.; Hameyer, K.; Tongeln, T.G.-V. Thermal analysis of an electrical traction motor with an air cooled rotor. In Proceedings of the 2018 IEEE Transportation Electrification Conference and Expo (ITEC), Long Beach, CA, USA, 13–15 June 2018; pp. 467–470. [Google Scholar] [CrossRef]
  33. Kim, C.; Lee, K.S.; Yook, S.J. Effect of air-gap fans on cooling of windings in a large-capacity, high-speed induction motor. Appl. Therm. Eng. 2016, 100, 658–667. [Google Scholar] [CrossRef]
  34. Chiu, H.C.; Jang, J.H.; Yan, W.M.; Shiao, R.B. Thermal performance analysis of a 30kW switched reluctance motor. Int. J. Heat Mass Transf. 2017, 114, 145–154. [Google Scholar] [CrossRef]
  35. Deriszadeh, A.; De Monte, F.; Villani, M.; Di Leonardo, L. Hydrothermal Performance of Ethylene Glycol and Water Mixture in a Spiral Channel for Electric Motor Cooling. In Proceedings of the 2019 21st European Conference on Power Electronics and Applications (EPE’19 ECCE Europe), Genova, Italy, 2–6 September 2019; pp. 1–10. [Google Scholar] [CrossRef]
  36. Satrústegui, M.; Martinez-Iturralde, M.; Ramos, J.C.; Gonzalez, P.; Astarbe, G.; Elosegui, I. Design criteria for water cooled systems of induction machines. Appl. Therm. Eng. 2017, 114, 1018–1028. [Google Scholar] [CrossRef]
  37. Chen, X.; Wang, J.; Griffo, A.; Spagnolo, A. Thermal Modeling of Hollow Conductors for Direct Cooling of Electrical Machines. IEEE Trans. Ind. Electron. 2020, 67, 895–905. [Google Scholar] [CrossRef]
  38. Wang, X.; Li, B.; Huang, K.; Yan, Y.; Stone, I.; Worrall, S. Experimental investigation on end winding thermal management with oil spray in electric vehicles. Case Stud. Therm. Eng. 2022, 35, 102082. [Google Scholar] [CrossRef]
  39. Fawzal, A.S.; Cirstea, R.M.; Gyftakis, K.N.; Woolmer, T.J.; Dickison, M.; Blundell, M. Fan Performance Analysis for Rotor Cooling of Axial Flux Permanent Magnet Machines. IEEE Trans. Ind. Appl. 2017, 53, 3295–3304. [Google Scholar] [CrossRef]
  40. El-Refaie, A.M.; Alexander, J.P.; Galioto, S.; Reddy, P.B.; Huh, K.K.; de Bock, P.; Shen, X. Advanced High-Power-Density Interior Permanent Magnet Motor for Traction Applications. IEEE Trans. Ind. Appl. 2014, 50, 3235–3248. [Google Scholar] [CrossRef]
  41. Gai, Y.; Ma, C.; Xu, Y.; Chong, Y.C. Numerical prediction and measurement of pressure drop and heat transfer in a water-cooled hollow-shaft rotor for a traction motor application. IET Electr. Power Appl. 2021, 15, 476–486. [Google Scholar] [CrossRef]
  42. Chuan, H.; Burke, R.; Wu, Z. A Comparative Study on Different Cooling Topologies for Axial Flux Permanent Magnet Machine. In Proceedings of the 2019 IEEE Vehicle Power and Propulsion Conference (VPPC), Hanoi, Vietnam, 14–17 October 2019; pp. 1–6. [Google Scholar] [CrossRef]
  43. Gai, Y.; Kimiabeigi, M.; Widmer, J.D.; Chong, Y.C.; Goss, J.; SanAndres, U.; Staton, D.A. Shaft cooling and the influence on the electromagnetic performance of traction motors. In Proceedings of the 2017 IEEE International Electric Machines and Drives Conference (IEMDC), Miami, FL, USA, 21–24 May 2017; pp. 1–6. [Google Scholar] [CrossRef]
  44. Gai, Y.; Kimiabeigi, M.; Chong, Y.C.; Widmer, J.D.; Goss, J.; SanAndres, U.; Steven, A.; Staton, D.A. On the Measurement and Modeling of the Heat Transfer Coefficient of a Hollow-Shaft Rotary Cooling System for a Traction Motor. IEEE Trans. Ind. Appl. 2018, 54, 5978–5987. [Google Scholar] [CrossRef]
  45. Zhou, P.; Kalayjian, N.R.; Cutler, G.D.; Augenbergs, P.K. Liquid Cooled Rotor Assembly. US Patent US7579725B2, 25 August 2009. [Google Scholar]
  46. Zysset, E. Liquid Cooled Asynchronous Electric Machine. US Patent US6191511B1, 20 February 2001. [Google Scholar]
  47. Konovalov, D.; Tolstorebrov, I.; Eikevik, T.M.; Kobalava, H.; Radchenko, M.; Hafner, A.; Radchenko, A. Recent Developments in Cooling Systems and Cooling Management for Electric Motors. Energies 2023, 16, 7006. [Google Scholar] [CrossRef]
  48. Rawlinson, P.D.; Sampson, N.J.; Kalayjian, N.R.; Johnston, V.G. Thermal Management System for Use with an Integrated Motor Assembly. US Patent US2012/0153718A1, 21 June 2012. [Google Scholar]
  49. Lee, K.-H.; Cha, H.-R.; Kim, Y.-B. Development of an interior permanent magnet motor through rotor cooling for electric vehicles. Appl. Therm. Eng. 2016, 95, 348–356. [Google Scholar] [CrossRef]
  50. Fujita, H.; Itoh, A.; Urano, T. Newly Developed Motor Cooling Method Using Refrigerant. World Electr. Veh. J. 2019, 10, 38. [Google Scholar] [CrossRef]
  51. Kim, S.; Lee, S.; Kang, D.G.; Kim, M.S. Motor cooling method using flow boiling of two-phase refrigerant and its analysis with lumped parameter thermal model. Int. J. Therm. Sci. 2023, 192, 108458. [Google Scholar] [CrossRef]
  52. Deriszadeh, A.; De Monte, F. Performance Evaluation of the Electric Machine Cooling System Employing Nanofluid as an Advanced Coolant. ChemEngineering 2021, 5, 53. [Google Scholar] [CrossRef]
  53. Deriszadeh, A.; De Monte, F. On Heat Transfer Performance of Cooling Systems Using Nanofluid for Electric Motor Applications. Entropy 2020, 22, 99. [Google Scholar] [CrossRef]
  54. Almurtaji, S.; Ali, N.; Teixeira, J.A.; Addali, A. On the role of nanofluids in thermal-hydraulic performance of heat exchangers—A review. Nanomaterials 2020, 10, 734. [Google Scholar] [CrossRef]
  55. Shah, T.R.; Ali, H.M.; Janjua, M.M. On aqua-based silica (SiO2–water) nanocoolant: Convective thermal potential and experimental precision evaluation in aluminum tube radiator. Nanomaterials 2020, 10, 1736. [Google Scholar] [CrossRef]
  56. Benedict, F.; Kumar, A.; Kadirgama, K.; Mohammed, H.A.; Ramasamy, D.; Samykano, M.; Saidur, R. Thermal performance of hybrid-inspired coolant for radiator application. Nanomaterials 2020, 10, 1100. [Google Scholar] [CrossRef]
  57. Parsaiemehr, M.; Pourfattah, F.; Ali Akbari, O.; Toghraie, D.; Sheikhzadeh, G. Turbulent flow and heat transfer of Water/Al2O3 nanofluid inside a rectangular ribbed channel. Phys. E Low Dimens. Syst. Nanostruct. 2018, 96, 73–84. [Google Scholar] [CrossRef]
  58. Jha, P.; Hussain, M.; Khan, M.K. Numerical evaluation of nanofluid-based indirect liquid cooling of a Li-ion battery pack using equivalent circuit model under static and dynamic loading conditions. Int. Commun. Heat Mass Transf. 2024, 159, 108079. [Google Scholar] [CrossRef]
  59. Asim, M.; Baig, T.; Siddiqui, F.R.; Khan, S.; Khan, S.A.; Babar, H.; Said, Z.; Zhao, J.; Abidi, I.H. Advancements in thermal management solutions for electric vehicle high-power electronics: Innovations, cooling methods, and future perspectives. J. Energy Storage 2025, 111, 115344. [Google Scholar] [CrossRef]
  60. Pandey, G.K.; Sikha, S.S.; Thakur, A.; Yarlagadda, S.S.; Thatikonda, S.S.; Baiju Suja, B.; Mystkowski, A.; Dragašius, E.; Gundabattini, E. Thermal Mapping and Heat Transfer Analysis of an Induction Motor of an Electric Vehicle Using Nanofluids as a Cooling Medium. Sustainability 2023, 15, 8124. [Google Scholar] [CrossRef]
  61. Deriszadeh, A.; Di Battista, D.; Di Giovine, G.; Cipollone, R. Model based design and optimization of a shaft cooling for automotive electric motor. J. Phys. Conf. Ser. 2024, 2893, 012124. [Google Scholar] [CrossRef]
  62. Thomas, R.; Husson, H.; Garbuio, L.; Gerbaud, L. Comparative study of the Tesla Model S and Audi e-Tron Induction Motors. In Proceedings of the 17-th International Conference on Electrical Machines, Drives and Power Systems (ELMA), Sofia, Bulgaria, 1–4 July 2021; p. hal-03304650. [Google Scholar]
  63. Dinh, I. Thermal Analysis Based Design of Hollow Shaft for Improved Cooling of Induction Motors, 2023. Electronic Theses and Dissertations. 8947. Available online: https://scholar.uwindsor.ca/etd/8947 (accessed on 15 September 2025).
  64. The 2019 Audi e-tron Introduction, eSelf-Study Program 990993, Audi of America, LLC, Service Training, Created 01/2019, Course Number 990993. Available online: https://static.nhtsa.gov/odi/tsbs/2019/MC-10155750-9999.pdf (accessed on 16 September 2025).
  65. Wilcox David, C. Turbulence Modeling for CFD, 3rd ed.; DCW Industries, Inc.: La Canada, CA, USA, 2006; ISBN 978-1-928729-08-2 (1-928729-08-8). [Google Scholar]
  66. Yu, C.; Zhang, H.; Wang, Y.; Zeng, M.; Gao, B. Numerical study on turbulent heat transfer performance of twisted oval tube with different cross sectioned wire coil. Case Stud. Therm. Eng. 2020, 22, 100759. [Google Scholar] [CrossRef]
  67. Shukla, K.N.; Koller, T.M.; Rausch, M.H.; Fröba, A.P. Effective thermal conductivity of nanofluids—A new model taking into consideration Brownian motion. Int. J. Heat Mass Transf. 2016, 99, 532–540. [Google Scholar] [CrossRef]
  68. Das, S.K.; Choi, S.U.; Yu, W.; Pradeep, T. Nanofluids Science and Technology; John Wiley & Sons: Hoboken, NJ, USA, 2008. [Google Scholar] [CrossRef]
  69. Daas, A.; Derfouf, S.; Chehhat, A.; Belghar, N. Numerical study by CFD, of the effect of the presence of aluminum oxide nanoparticles (Al2O3) on forced convection through a double tube heat exchanger. South Fla. J. Dev. 2024, 5, 12. [Google Scholar] [CrossRef]
  70. Sun, L.; Geng, J.; Dong, K.; Sun, Q. An Experimental Study on the Effect of Nanofluids on the Thermal Conductivity and Rheological Properties of a Coolant for Liquids. Energies 2024, 17, 1313. [Google Scholar] [CrossRef]
  71. Versteeg, H.K.; Malalasekera, W. An Introduction to Computational Fluid Dynamics: The Finite Volume Method. In Fluid Flow Handbook; McGraw-Hill Education: New York, NY, USA, 2007. [Google Scholar]
  72. Bejan, A. Convection Heat Transfer; Wiley: Weinheim, Germany, 2013. [Google Scholar]
Figure 1. The red region on the outer surface represents the zone of incoming heat flux considered to be uniformly distributed.
Figure 1. The red region on the outer surface represents the zone of incoming heat flux considered to be uniformly distributed.
Energies 18 05286 g001
Figure 2. (a) shows the 3D schematic of the shaft, and (b) presents the 3D schematic of the inner shaft and the helical introduced to enhance the heat transfer coefficient. The outer shaft rotates with the electric rotor.
Figure 2. (a) shows the 3D schematic of the shaft, and (b) presents the 3D schematic of the inner shaft and the helical introduced to enhance the heat transfer coefficient. The outer shaft rotates with the electric rotor.
Energies 18 05286 g002
Figure 3. This shows the 2D schematic of the shaft (dimensions are in mm). The outer shaft rotates with the electric rotor [61].
Figure 3. This shows the 2D schematic of the shaft (dimensions are in mm). The outer shaft rotates with the electric rotor [61].
Energies 18 05286 g003
Figure 4. Meshing illustration. (a,b) show mesh representation of the computational domain, (c) shows distribution of wall y+ values [61].
Figure 4. Meshing illustration. (a,b) show mesh representation of the computational domain, (c) shows distribution of wall y+ values [61].
Energies 18 05286 g004
Figure 5. Comparison of the friction factor from the present numerical study with Petukhov’s empirical correlation [72].
Figure 5. Comparison of the friction factor from the present numerical study with Petukhov’s empirical correlation [72].
Energies 18 05286 g005
Figure 6. Comparison of the average Nusselt number from the present numerical study with Gnielinski’s empirical correlation [72].
Figure 6. Comparison of the average Nusselt number from the present numerical study with Gnielinski’s empirical correlation [72].
Energies 18 05286 g006
Figure 7. Comparison of the average Nusselt number from the present numerical study with the experimental work of Gai et al. [44].
Figure 7. Comparison of the average Nusselt number from the present numerical study with the experimental work of Gai et al. [44].
Energies 18 05286 g007
Figure 8. Secondary flow contours and 2D streamlines for (a) direct-through flow shaft and (b) hollow shaft with recirculating flow with helical at a pitch of 0.5 turn.
Figure 8. Secondary flow contours and 2D streamlines for (a) direct-through flow shaft and (b) hollow shaft with recirculating flow with helical at a pitch of 0.5 turn.
Energies 18 05286 g008
Figure 9. Temperature contours and wall temperature for (a) direct-through flow shaft and (b) hollow shaft with recirculating flow with helical at a pitch of 0.5 turn.
Figure 9. Temperature contours and wall temperature for (a) direct-through flow shaft and (b) hollow shaft with recirculating flow with helical at a pitch of 0.5 turn.
Energies 18 05286 g009
Figure 10. Contours of pressure (a), velocity (b), and temperature (c) for a volumetric flow rate of 7 L/min in the direct-through flow shaft configuration.
Figure 10. Contours of pressure (a), velocity (b), and temperature (c) for a volumetric flow rate of 7 L/min in the direct-through flow shaft configuration.
Energies 18 05286 g010aEnergies 18 05286 g010b
Figure 11. Contours of pressure (a), velocity (b), and temperature (c) for a volumetric flow rate of 7 L/min in the hollow shaft with recirculating flow configuration with helical fins and a pitch of 0.5 turn.
Figure 11. Contours of pressure (a), velocity (b), and temperature (c) for a volumetric flow rate of 7 L/min in the hollow shaft with recirculating flow configuration with helical fins and a pitch of 0.5 turn.
Energies 18 05286 g011aEnergies 18 05286 g011b
Figure 12. Contours of pressure (a), velocity (b), and temperature (c) for a volumetric flow rate of 7 L/min in the hollow shaft with recirculating flow configuration with helical fins and a pitch of 1 turn.
Figure 12. Contours of pressure (a), velocity (b), and temperature (c) for a volumetric flow rate of 7 L/min in the hollow shaft with recirculating flow configuration with helical fins and a pitch of 1 turn.
Energies 18 05286 g012aEnergies 18 05286 g012b
Figure 13. Contours of pressure (a), velocity (b), and temperature (c) for a volumetric flow rate of 7 L/min in the hollow shaft with recirculating flow configuration with helical fins and a pitch of 2 turns.
Figure 13. Contours of pressure (a), velocity (b), and temperature (c) for a volumetric flow rate of 7 L/min in the hollow shaft with recirculating flow configuration with helical fins and a pitch of 2 turns.
Energies 18 05286 g013aEnergies 18 05286 g013b
Figure 14. Pressure drop and Reynolds number for different shaft configurations.
Figure 14. Pressure drop and Reynolds number for different shaft configurations.
Energies 18 05286 g014
Figure 15. Convective heat transfer coefficient and Reynolds number for different shaft configurations.
Figure 15. Convective heat transfer coefficient and Reynolds number for different shaft configurations.
Energies 18 05286 g015
Figure 16. Performance evaluation criterion and Reynolds number for different shaft configurations.
Figure 16. Performance evaluation criterion and Reynolds number for different shaft configurations.
Energies 18 05286 g016
Figure 17. Pressure drop vs. Reynolds number for different nanofluid concentrations for the configurations (a) direct-through flow shaft, (b) hollow shaft with recirculating flow with helical pitch of 0.5 turn, (c) hollow shaft with recirculating flow with helical pitch of 1 turn, and (d) hollow shaft with recirculating flow with helical pitch of 2 turns.
Figure 17. Pressure drop vs. Reynolds number for different nanofluid concentrations for the configurations (a) direct-through flow shaft, (b) hollow shaft with recirculating flow with helical pitch of 0.5 turn, (c) hollow shaft with recirculating flow with helical pitch of 1 turn, and (d) hollow shaft with recirculating flow with helical pitch of 2 turns.
Energies 18 05286 g017
Figure 18. Convective heat transfer coefficient vs. Reynolds number for different nanofluid concentrations for the configurations: (a) direct-through flow shaft, (b) hollow shaft with recirculating flow with helical pitch of 0.5 turn, (c) hollow shaft with recirculating flow with helical pitch of 1 turn, and (d) hollow shaft with recirculating flow with helical pitch of 2 turns.
Figure 18. Convective heat transfer coefficient vs. Reynolds number for different nanofluid concentrations for the configurations: (a) direct-through flow shaft, (b) hollow shaft with recirculating flow with helical pitch of 0.5 turn, (c) hollow shaft with recirculating flow with helical pitch of 1 turn, and (d) hollow shaft with recirculating flow with helical pitch of 2 turns.
Energies 18 05286 g018
Figure 19. Performance evaluation criterion for the optimized configuration with 0.5 turn helical fins at different nanofluid concentrations.
Figure 19. Performance evaluation criterion for the optimized configuration with 0.5 turn helical fins at different nanofluid concentrations.
Energies 18 05286 g019
Figure 20. Inner rotor surface temperature for water direct-through and the optimized configuration with 0.5 turn helical fins at different nanofluid concentrations.
Figure 20. Inner rotor surface temperature for water direct-through and the optimized configuration with 0.5 turn helical fins at different nanofluid concentrations.
Energies 18 05286 g020
Table 1. Specifications of the electric machine under study [64].
Table 1. Specifications of the electric machine under study [64].
SpecificationValueUnit
Electric machine typeInduction (Asynchronous)-
Power130kW
Peak power (10 s)165kW
Torque314Nm
Peak torque (10 s)355Nm
Table 2. Thermophysical properties of the fluid.
Table 2. Thermophysical properties of the fluid.
φ   % ρ   ( k g / m 3 ) C p   ( J / k g   K ) k   ( W / m   K ) μ   ( k g / m   s )
0983.241840.654.67 × 10−4
21042.93923.70.685.58 × 10−4
41102.73691.60.726.95 × 10−4
Al2O3397076540-------
Table 3. Selected meshes for the hollow shaft with fins.
Table 3. Selected meshes for the hollow shaft with fins.
Mesh RefinementTotal Grid NumberNuDeviation
Coarse mesh558,000812.44----
Normal mesh1,982,000827.891.9%
Fine mesh3,570,000833.211.01%
Very fine mesh6,069,000834.520.16%
Table 4. Comparison of rotor wall temperature under different configurations and flow rates.
Table 4. Comparison of rotor wall temperature under different configurations and flow rates.
Volumetric Flow Rate (L/min)Direct-Through Configuration
Rotor Wall Temperature [K]
Helical with 0.5 Turn Configuration
Rotor Wall Temperature [K]
7383.3353.2
8382.7353.0
9382.1352.8
10381.7352.7
11381.2352.6
Table 5. PEC value for the different configurations.
Table 5. PEC value for the different configurations.
Flow Rate [L/min]Helical with 0.5 TurnHelical with 1 TurnHelical with 2 Turns
72.141.651.33
82.351.801.48
92.551.961.62
102.732.121.74
112.982.301.88
Disclaimer/Publisher’s Note: The statements, opinions and data contained in all publications are solely those of the individual author(s) and contributor(s) and not of MDPI and/or the editor(s). MDPI and/or the editor(s) disclaim responsibility for any injury to people or property resulting from any ideas, methods, instructions or products referred to in the content.

Share and Cite

MDPI and ACS Style

Di Battista, D.; Deriszadeh, A.; Di Giovine, G.; Di Prospero, F.; Cipollone, R. Modeling and Optimization of Nanofluid-Based Shaft Cooling for Automotive Electric Motors. Energies 2025, 18, 5286. https://doi.org/10.3390/en18195286

AMA Style

Di Battista D, Deriszadeh A, Di Giovine G, Di Prospero F, Cipollone R. Modeling and Optimization of Nanofluid-Based Shaft Cooling for Automotive Electric Motors. Energies. 2025; 18(19):5286. https://doi.org/10.3390/en18195286

Chicago/Turabian Style

Di Battista, Davide, Ali Deriszadeh, Giammarco Di Giovine, Federico Di Prospero, and Roberto Cipollone. 2025. "Modeling and Optimization of Nanofluid-Based Shaft Cooling for Automotive Electric Motors" Energies 18, no. 19: 5286. https://doi.org/10.3390/en18195286

APA Style

Di Battista, D., Deriszadeh, A., Di Giovine, G., Di Prospero, F., & Cipollone, R. (2025). Modeling and Optimization of Nanofluid-Based Shaft Cooling for Automotive Electric Motors. Energies, 18(19), 5286. https://doi.org/10.3390/en18195286

Note that from the first issue of 2016, this journal uses article numbers instead of page numbers. See further details here.

Article Metrics

Back to TopTop