Performance Study and Implementation of Accurate Solar PV Power Prediction Methods for the Nagréongo Power Plant in Burkina Faso
Abstract
1. Introduction
2. Materials and Methods
2.1. Presentation of the Nagréongo Solar Photovoltaic Power Plant
2.2. Data Preparation
2.2.1. Data Collection
2.2.2. Data Cleaning
2.2.3. Losses
- ➢
- O&M losses: These losses are due to equipment failures.
- ➢
- Soil losses: These losses are associated with the dust on the solar modules.
- ➢
- Grid losses: These losses are due to a grid outage.
- ➢
- Qf (U) losses: These losses are due to voltage regulation requests from the grid operator.
- ➢
- Clipping losses: These losses occur when the grid is overloaded, and the inverter power has been clipped for grid protection.
- ➢
- Deemed energy: This is the total of all the energy that has not been produced due to grid unavailability. It covers grid losses, clipping losses, Q = f(U) regulation losses. O&M losses, grid losses, and clipping losses are estimated using the relative comparison (RC) method when at least one inverter does not show any anomalies, or by using the PR reference method when the entire plant is affected by an anomaly. The RC method calculates the unavailability of equipment by comparing its instantaneous production to that of equipment of the same level, under similar conditions. The PR reference method calculates unavailability by taking the performance ratio (PR) of the last point without an anomaly as a reference. The PR formula is shown below:with the following:
- : AC output of the power plant over time k;
- : Average irradiance received during the period;
- : Reference irradiance, which is 1000 W/m2;
- : DC power of the power plant;
- : Plant availability during period k.
- Power: EMD Q = f(U) [W] = Umoy [V] × Imoy [A] × √3 × (cosphi ref − real cosphi)
- Energy: EMD Q = f(U) [kWh] = EMD Qf(U) [W] × 10/(60 × 1000)
2.3. Forecasting Solar PV Power
2.3.1. Recurrent Neural Networks (RNNs)
2.3.2. Long Short-Term Memory (LSTM) Model
2.3.3. Gated Recurrent Unit (GRU) Networks
2.3.4. Evaluation of the Performance of the Forecast Model
2.3.5. Dataset for Prediction
- Data choice and preprocessing
- Hyperparameters
2.3.6. Process for Prediction
3. Results and Discussions
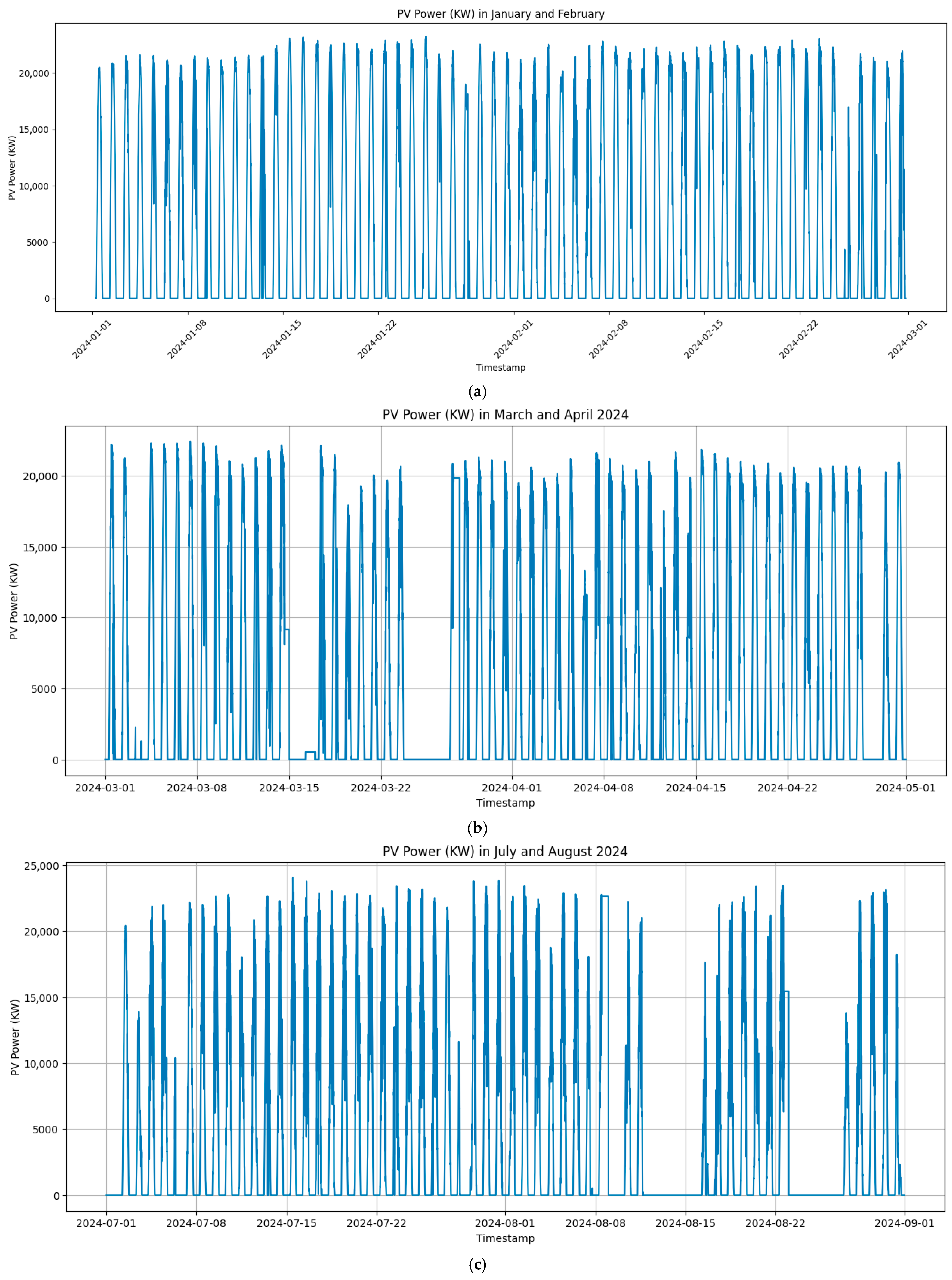
3.1. Performance Analysis
- ➢
- Grid congestion at the Ziniaré substation: An evacuation line at 90 kV was planned to be built between Ziniaré and Kossodo. Ziniaré is the nearest substation where the production of the Nagréongo power plant is carried out. Therefore, the plant cannot produce the maximum power due to the voltage and current restrictions of the grid. The temporary solution that was found was to implement voltage and current regulation, which has an impact on the performance of the plant. In September 2024, an agreement was reached with the grid operator, and the voltage and current regulation were disabled.
- ➢
- The impact of soiling in 2023: From the commissioning of the plan up to May 2023, there was no cleaning equipment for the solar plant. During this period, the soil loss was high, as the plant was not cleaned. After purchasing a cleaning tractor in June 2023, the performance became high during the dry season because the plant was cleaned. As a result, the soil erosion losses were low during 2024.
- ➢
- Power outage: Burkina Faso went through a severe power outage from March 2024 to June 2024. Therefore, the plant was subjected to many power outages. The grid operator put in place a power-shedding plan to stabilise the grid and reduce outages.
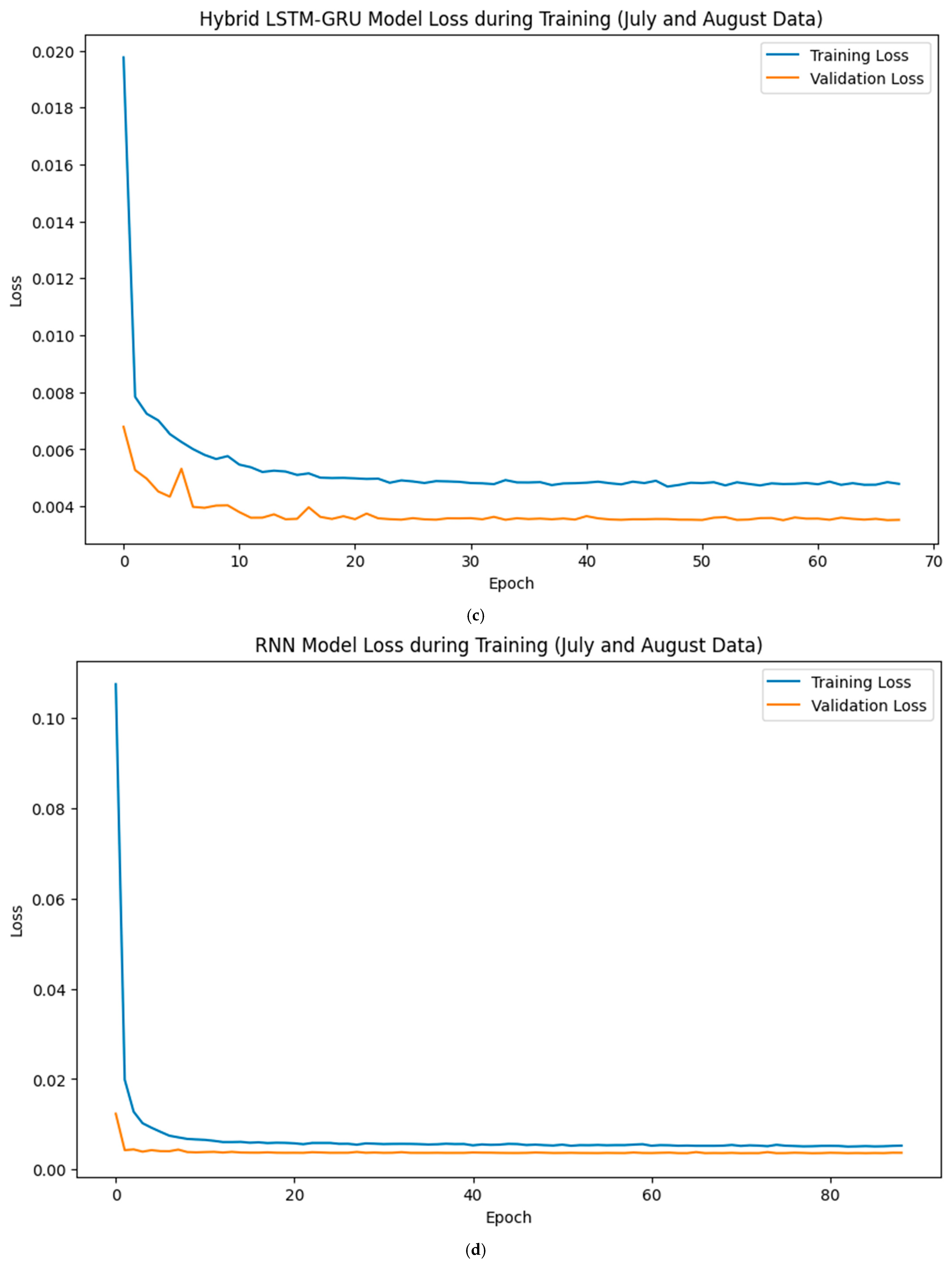
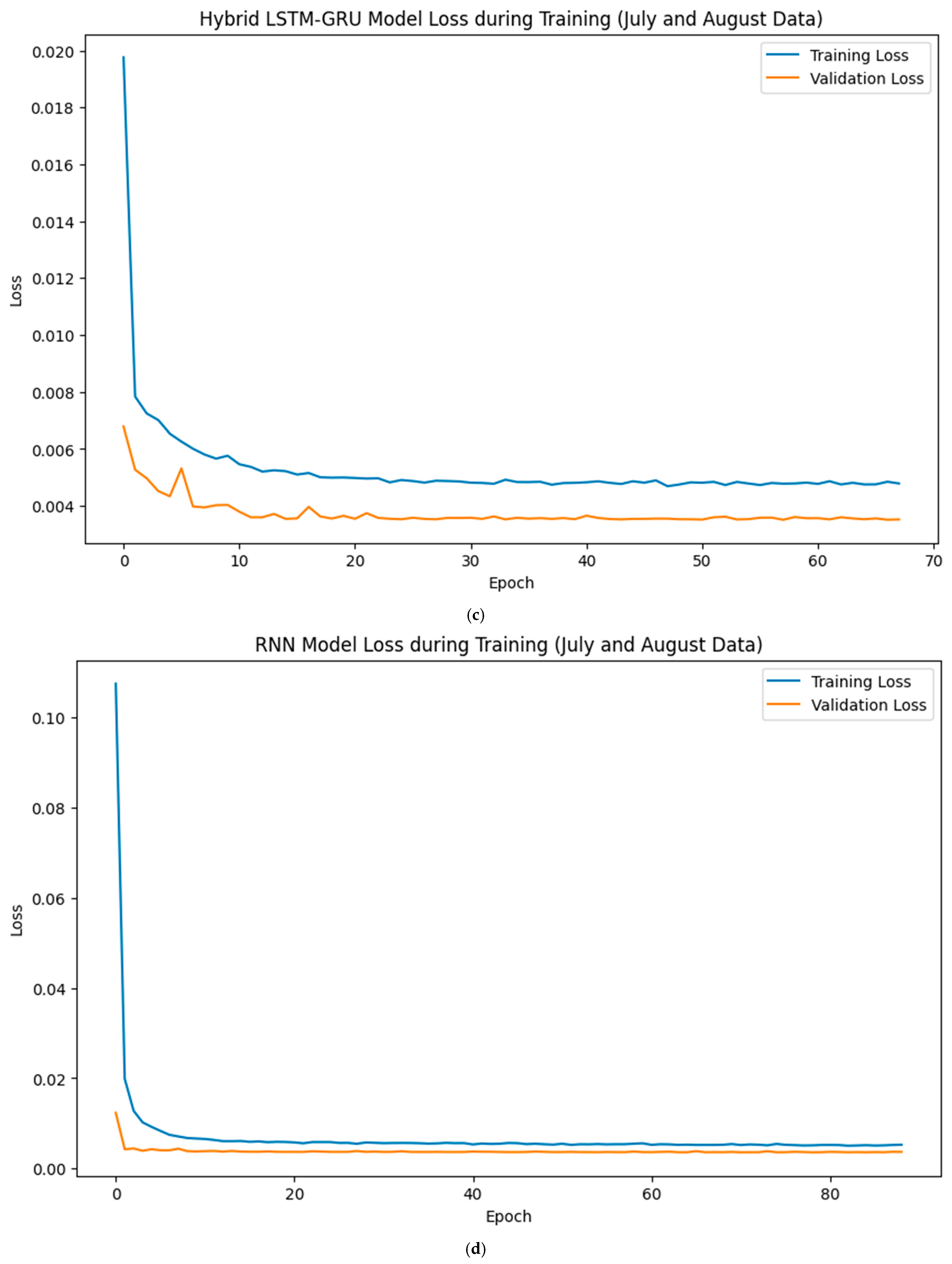
3.2. PV Power Forecasting
4. Conclusions
Author Contributions
Funding
Data Availability Statement
Acknowledgments
Conflicts of Interest
Abbreviations
| PV | Photovoltaic |
| LSTM | Long Short-Term Memory |
| GRU | Gated Recurrent Network |
| RNN | Recurrent Neuron Network |
References
- International Energy Agency. World Energy Outlook 2023. Available online: www.iea.org/terms (accessed on 5 July 2025).
- Bariloche, F. Module Overview Policy and Targets Investment and Finance Challenges and Opportunities. SCIENCE AND ACADEMIA AEE-Institute for Sustainable Technologies (AEE-INTEC) Council on Energy, Environment and Water (CEEW). 2024. Available online: https://www.ren21.net/gsr-2024/modules/global_overview/04_challenges/ (accessed on 5 July 2025).
- Thapa, A.; Koirala, R.; Sharma, B.P. The Role of Renewable Energy in Achieving Sustainable Development Goals: A Case Study of Solar Power in Sub-Saharan Africa. Adv. Stud. Hum. Knowl. Innov. Soc. Dev. 2025, 15. Available online: https://sagegate.net/index.php/ASHKISD/article/view/Thapa2025 (accessed on 7 July 2025).
- Mystakidis, A.; Koukaras, P.; Tsalikidis, N.; Ioannidis, D.; Tjortjis, C. Energy Forecasting: A Comprehensive Review of Techniques and Technologies. Energies 2024, 17, 1662. [Google Scholar] [CrossRef]
- Lari, A.J.; Sanfilippo, A.P.; Bachour, D.; Perez-Astudillo, D. Using Machine Learning Algorithms to Forecast Solar Energy Power Output. Electronics 2025, 14, 866. [Google Scholar] [CrossRef]
- Iheanetu, K.J. Solar Photovoltaic Power Forecasting: A Review. Sustainability 2022, 14, 17005. [Google Scholar] [CrossRef]
- Di Leo, P.; Ciocia, A.; Malgaroli, G.; Spertino, F. Advancements and Challenges in Photovoltaic Power Forecasting: A Comprehensive Review. Energies 2025, 18, 2108. [Google Scholar] [CrossRef]
- Kaaya, I.; Ascencio-Vásquez, J. Photovoltaic Power Forecasting Methods. Available online: https://www.intechopen.com (accessed on 7 July 2025).
- Poti, K.D.; Naidoo, R.M.; Mbungu, N.T.; Bansal, R.C. Intelligent solar photovoltaic power forecasting. Energy Rep. 2023, 9, 343–352. [Google Scholar] [CrossRef]
- Elsaraiti, M.; Merabet, A. Solar Power Forecasting Using Deep Learning Techniques. IEEE Access 2022, 10, 31692–31698. [Google Scholar] [CrossRef]
- Ahmadi, A.; Zaman, M.; Mamipour, S. Predicting Solar Power Generation Based on the Combination of Meteorological Parameters in Iran: Neural Networks Approach. J. Renew. Energy Environ. 2023, 10, 131–145. [Google Scholar]
- Meflah, A.; Chekired, F.; Drir, N.; Canale, L. Accurate Method for Solar Power Generation Estimation for Different PV (Photovoltaic Panels) Technologies. Resources 2024, 13, 166. [Google Scholar] [CrossRef]
- Bissiri, M.; Moura, P.; Perez, R.C.; Figueiredo, N.C.; da Silva, P.P. Generation capacity expansion planning with spatially-resolved electricity demand and increasing variable renewable energy supply: Perspectives from power pooling in West Africa. Appl. Energy 2024, 364, 123115. [Google Scholar] [CrossRef]
- Ispir, M.; Aksoy, M.H.; Kalyoncu, M. Estimation of solar radiation and photovoltaic power potential of Türkiye using ANFIS. J. King Saud. Univ.—Eng. Sci. 2025, 37, 2. [Google Scholar] [CrossRef]
- Díaz-Bello, D.; Vargas-Salgado, C.; Alcazar-Ortega, M.; Alfonso-Solar, D. Optimizing photovoltaic power plant forecasting with dynamic neural network structure refinement. Sci. Rep. 2025, 15, 3337. [Google Scholar] [CrossRef]
- Duranay, Z.B.; Guldemir, H. Power Prediction in Photovoltaic Systems with Neural Networks: A Multi-Parameter Approach. Appl. Sci. 2025, 15, 3615. [Google Scholar] [CrossRef]
- Boucetta, L.N.; Amrane, Y.; Chouder, A.; Arezki, S.; Kichou, S. Enhanced Forecasting Accuracy of a Grid-Connected Photovoltaic Power Plant: A Novel Approach Using Hybrid Variational Mode Decomposition and a CNN-LSTM Model. Energies 2024, 17, 1781. [Google Scholar] [CrossRef]
- Palm, S.F.; Houénafa, S.E.; Boubakar, Z.; Waita, S.; Nyangonda, T.N.; Chebak, A. Solar Photovoltaic Power Output Forecasting using Deep Learning Models: A Case Study of Zagtouli PV Power Plant. Adv. Sci. Technol. Eng. Syst. J. 2024, 9, 41–48. [Google Scholar] [CrossRef]
- Clauzel, L.; Anquetin, S.; Lavaysse, C.; Tremoy, G.; Raynaud, D. West African operational daily solar forecast errors and their link with meteorological conditions. Renew. Energy 2024, 224, 120101. [Google Scholar] [CrossRef]
- Fofana, M. Développement d’un Modèle de Prévision à Court-Terme de la Puissance Produite à la Centrale Solaire Photovoltaïque de Nagréongo (30 MWc) dans le Réseau National Interconnecté du Burkina Faso. Master’s Thesis, Institut 2IE, Ouagadougou, Burkina Faso, 2025. [Google Scholar]
- Power Technology. Power Plant Profile: GreenYellow Nagreongo Solar PV Park, Burkina Faso. Available online: https://www.power-technology.com/data-insights/power-plant-profile-greenyellow-nagreongo-solar-pv-park-burkina-faso/?cf-view (accessed on 10 July 2025).
- Africa Market Trends. Burkina Faso’s Nagréongo Solar Power Plant Commissioned as a PPP Project. Available online: https://markettrends.africa/burkina-fasos-nagreongo-solar-power-plant-commissioned-as-a-ppp-project/ (accessed on 25 August 2025).
- Photovoltaic System Performance. Part 3, Energy Evaluation Method. International Electrotechnical Commission. 2016. Available online: https://standards.iteh.ai/catalog/standards/iec/1c7c045d-6899-4177-b688-1105e662275a/iec-ts-61724-3-2016 (accessed on 3 June 2025).
- Heaton, J.; Goodfellow, I.; Bengio, Y.; Courville, A. Deep Learning. Genet. Program. Evolvable Mach. 2018, 19, 305–307. [Google Scholar] [CrossRef]
- Bengio, Y.; Simard, P.; Frasconi, P. Learning Long-Term Dependencies with Gradient Descent is Difficult. IEEE Trans. Neural Netw. 1994, 5, 157–166. [Google Scholar] [CrossRef]
- Hochreiter, S.; Schmidhuber, J.U. Long Short-Term Memory. Neural Comput. 1997, 9, 1735–1780. [Google Scholar] [CrossRef]
- Cho, K.; van Merrienboer, B.; Bahdanau, D.; Bengio, Y. On the Properties of Neural Machine Translation: Encoder-Decoder Approaches. 2014. Available online: http://arxiv.org/abs/1409.1259 (accessed on 2 July 2025).
- Wang, F.; Xuan, Z.; Zhen, Z.; Li, K.; Wang, T.; Shi, M. A day-ahead PV power forecasting method based on LSTM-RNN model and time correlation modification under partial daily pattern prediction framework. Energy Convers. Manag. 2020, 212, 112766. [Google Scholar] [CrossRef]
- Dhaked, D.K.; Dadhich, S.; Birla, D. Power output forecasting of solar photovoltaic plant using LSTM. Green. Energy Intell. Transp. 2023, 2, 100113. [Google Scholar] [CrossRef]
- Vaswani, A. Attention Is All You Need. In Proceedings of the 31st International Conference on Neural Information Proceeding Systems, Red Hook, NY, USA, 4–9 December 2017. [Google Scholar]
- Greff, K.; Srivastava, R.K.; Koutník, J.; Steunebrink, B.R.; Schmidhuber, J. LSTM: A Search Space Odyssey. IEEE Trans. Neural Netw. Learn. Systems 2017, 28, 2222–2232. [Google Scholar] [CrossRef]
- Ahmed, A. Novel deep neural network architecture fusion to simultaneously predict short-term and long-term energy consumption. PLoS ONE 2025, 20, e0315668. [Google Scholar] [CrossRef] [PubMed]
- Clark, J.; Perrault, R. Introduction to the AI Index Report 2022. Standford University. 2022. Available online: https://hai.stanford.edu/ai-index/2022-ai-index-report (accessed on 2 July 2025).
- Yi, J.; Tao, J.; Fu, R.; Yan, X.; Wang, C.; Wang, T.; Zhang, C.Y.; Zhang, X.; Zhao, Y.; Ren, Y.; et al. ADD 2023: The Second Audio Deepfake Detection Challenge. 2023. Available online: http://arxiv.org/abs/2305.13774 (accessed on 5 July 2025).
- Nasr, M.; Carlini, N.; Hayase, J.; Jagielski, M.; Cooper, A.F.; Ippolito, D.; Choquette-Choo, C.A.; Wallace, E.; Tramèr, F.; Lee, K. Scalable Extraction of Training Data from (Production) Language Models. 2023. Available online: http://arxiv.org/abs/2311.17035 (accessed on 10 July 2025).
- Rivas, F.; Sierra-Garcia, J.E.; Camara, J.M. Comparison of LSTM-and GRU-Type RNN Networks for Attention and Meditation Prediction on Raw EEG Data from Low-Cost Headsets. Electronics 2025, 14, 707. [Google Scholar] [CrossRef]
- Sudhakar, K.; Srivastava, T. Energy and exergy analysis of 36 W solar photovoltaic module. Int. J. Ambient. Energy 2014, 35, 51–57. [Google Scholar] [CrossRef]
- Chung, J.; Gulcehre, C.; Cho, K.; Bengio, Y. Empirical Evaluation of Gated Recurrent Neural Networks on Sequence Modeling. arXiv 2014. [Google Scholar] [CrossRef]
- Luo, D.; Chen, W.; Fang, J.; Liu, J.; Yang, J.; Zhang, K. GRU-AGCN model for the content prediction of gases in power transformer oil. Front. Energy Res. 2023, 11, 1135330. [Google Scholar] [CrossRef]
- Wen, Q.; Zhou, T.; Zhang, C.; Chen, W.; Ma, Z.; Yan, J.; Sun, L. Transformers in Time Series: A Survey. arXiv 2023. [Google Scholar] [CrossRef]
- Ahmed, R.; Sreeram, V.; Mishra, Y.; Arif, M.D. A review and evaluation of the state-of-the-art in PV solar power forecasting: Techniques and optimization. Renew. Sustain. Energy Rev. 2020, 124, 109792. [Google Scholar] [CrossRef]
- Huang, K.; Sun, K.; Xie, E.; Li, Z.; Liu, X. T2I-CompBench: A Comprehensive Benchmark for Open-world Compositional Text-to-image Generation. Available online: https://proceedings.neurips.cc/paper_files/paper/2023/hash/f8ad010cdd9143dbb0e9308c093aff24-Abstract-Datasets_and_Benchmarks.html (accessed on 12 July 2025).
- Akhter, M.N.; Mekhilef, S.; Mokhlis, H.; Ali, R.; Usama, M.; Muhammad, M.A.; Khairuddin, A.S.M. A hybrid deep learning method for an hour ahead power output forecasting of three different photovoltaic systems. Appl. Energy 2022, 307, 118185. [Google Scholar] [CrossRef]
- Li, P.; Zhou, K.; Lu, X.; Yang, S. A hybrid deep learning model for short-term PV power forecasting. Appl. Energy 2020, 259, 114216. [Google Scholar] [CrossRef]
- International Renewable Energy Agency. Renewable Energy Statistics 2020 Statistiques D’énergie Resnouvelable 2020 Estadísticas de Energía Renovable 2020 About IRENA. 2020. Available online: https://www.irena.org (accessed on 14 July 2025).
- Jia, P.; Zhang, H.; Liu, X.; Gong, X. Short-Term Photovoltaic Power Forecasting Based on VMD and ISSA-GRU. IEEE Access 2021, 9, 105939–105950. [Google Scholar] [CrossRef]
- Abdul-Ganiyu, S.; Quansah, D.A.; Ramde, E.W.; Seidu, R.; Adaramola, M.S. Investigation of solar photovoltaic-thermal (PVT) and solar photovoltaic (PV) performance: A case study in Ghana. Energies 2020, 13, 2701. [Google Scholar] [CrossRef]
- Alsulami, A.A.; Abu Al-Haija, Q.; Alturki, B.; Alqahtani, A.; Binzagr, F.; Alghamdi, B.; Alsemmeari, R.A. Exploring the efficacy of GRU model in classifying the signal to noise ratio of microgrid model. Sci. Rep. 2024, 14, 15591. [Google Scholar] [CrossRef] [PubMed]
- Díaz-Bedoya, D.; González-Rodríguez, M.; Serrano-Guerrero, X.; Clairand, J.M. Solar Irradiance Forecasting With Deep Learning and Ensemble Models: LSTM, Random Forest and Extra Trees with Multivariate Meteorological Data. IET Smart Grid 2025, 8, e70019. [Google Scholar] [CrossRef]




















| Suggested Criteria for Flag (15 min Data) | |||||
|---|---|---|---|---|---|
| Flag Type | Description | Irradiance (W/m2) | Temperature (°C) | Wind Speed (m/s) | Power (AC Power Rating) |
| Range | Value outside of reasonable bounds | <−6 or >1500 | <−30 or >50 | <0 or >32 | <−0.01× rating or >1.02× rating |
| Missing | Values missing or duplicated | n/a | n/a | n/a | n/a |
| Dead | Values stuck to a single value over time; detected using derivative | <0.0001 The value is >5 | <0.0001 | ? | ? |
| Abrupt Change | Values change unreasonably between data points | >800 | >4 | >10 | >80% rating |
| Metric | Excellent | Good | Acceptable | Weak | Reference Studies |
|---|---|---|---|---|---|
| nRMSE (%) | ≤5% | 5–10% | 10–15% | >15% | [44,45,46] |
| nMAE (%) | ≤4% | 4–8% | 8–12% | >12% | [46] |
| R2 (Coefficient) | ≥0.95 | 0.90–0.95 | 0.80–0.90 | <0.80 | [46] |
| Category | Hyperparameter | RNN | LSTM | GRU | Hybrid LSTM–GRU |
|---|---|---|---|---|---|
| Data | Scaling range | (0, 1) | (0, 1) | (0, 1) | (0, 1) |
| Train/test split | 80%/20% | 80%/20% | 80%/20% | 80%/20% | |
| Model | Recurrent layer 1 units | RNN (100, return = True) | LSTM (100, return = True) | GRU (100, return_seq = True) | LSTM (100, return_seq = True) |
| Dropout (after layer 1) | 0.2 | 0.2 | 0.2 | 0.2 | |
| Recurrent layer 2 units | RNN (100, return_seq = False) | LSTM (100, return_seq = False) | GRU (100, return_seq = False) | GRU (100, return_seq = False) | |
| Dropout (after layer 2) | 0.2 | 0.2 | 0.2 | 0.2 | |
| Dense layer 1 units | 50 | 50 | 50 | 50 | |
| Dense layer 2 units | 1 | 1 | 1 | 1 | |
| Training | Optimiser | Adam (lr = 0.001 default) | Adam (lr = 0.001) | Adam (lr = 0.001) | Adam (lr = 0.001) |
| Loss function | Mean squared error (MSE) | MSE | MSE | MSE | |
| Batch size | 256 | 256 | 256 | 256 | |
| Epochs | 200 | 200 | 200 | 200 | |
| Validation split | 0.2 | 0.2 | 0.2 | 0.2 | |
| Callbacks | Early stopping monitor | val_loss | val_loss | val_loss | val_loss |
| Early stopping patience | 10 | 10 | 10 | 10 | |
| Restore best weights | True | True | True | True | |
| Reduce LR on plateau monitor | val_loss | val_loss | val_loss | val_loss | |
| Factor | 0.5 | 0.5 | 0.5 | 0.5 | |
| Patience | 5 | 5 | 5 | 5 | |
| Min learning rate | 0.0001 | 0.0001 | 0.0001 | 0.0001 |
| Period | Model | Train RMSE (kW) | Train MAE (kW) | Train R2 | Test RMSE (kW) | Test MAE (kW) | Test R2 | nRMSE (% of 30 MW) | nMAE (% of 30 MW) |
|---|---|---|---|---|---|---|---|---|---|
| Jan–Feb | GRU | 1098.69 | 465.86 | 0.9830 | 1290.38 | 531.63 | 0.9776 | 4.30% | 1.77% |
| Jan–Feb | LSTM-GRU | 1108.23 | 486.41 | 0.9828 | 1293.21 | 552.66 | 0.9775 | 4.31% | 1.84% |
| Jan–Feb | LSTM | 1133.52 | 496.27 | 0.9820 | 1335.13 | 570.39 | 0.9751 | 4.45% | 1.90% |
| Jan–Feb | RNN | 1132.58 | 519.55 | 0.9820 | 1362.35 | 598.66 | 0.9751 | 4.54% | 2.00% |
| Mar–Apr | GRU | 1075.18 | 378.87 | 0.9810 | 625.53 | 271.73 | 0.9937 | 2.09% | 0.91% |
| Mar–Apr | LSTM-GRU | 1084.99 | 407.59 | 0.9806 | 625.51 | 293.80 | 0.9936 | 2.09% | 0.98% |
| Mar–Apr | LSTM | 1071.46 | 372.75 | 0.9811 | 617.68 | 260.33 | 0.9938 | 2.06% | 0.87% |
| Mar–Apr | RNN | 1100.86 | 421.36 | 0.9800 | 627.79 | 298.31 | 0.9936 | 2.09% | 0.99% |
| Jul–Aug | GRU | 1565.38 | 697.63 | 0.9524 | 1641.21 | 725.65 | 0.9458 | 5.47% | 2.42% |
| Jul–Aug | LSTM-GRU | 1563.64 | 685.93 | 0.9525 | 1646.79 | 723.08 | 0.9454 | 5.49% | 2.41% |
| Jul–Aug | LSTM | 1564.10 | 701.86 | 0.9525 | 1644.65 | 734.10 | 0.9456 | 5.48% | 2.45% |
| Jul–Aug | RNN | 1567.97 | 711.47 | 0.9523 | 1652.24 | 746.79 | 0.9451 | 5.51% | 2.49% |
Disclaimer/Publisher’s Note: The statements, opinions and data contained in all publications are solely those of the individual author(s) and contributor(s) and not of MDPI and/or the editor(s). MDPI and/or the editor(s) disclaim responsibility for any injury to people or property resulting from any ideas, methods, instructions or products referred to in the content. |
© 2025 by the authors. Licensee MDPI, Basel, Switzerland. This article is an open access article distributed under the terms and conditions of the Creative Commons Attribution (CC BY) license (https://creativecommons.org/licenses/by/4.0/).
Share and Cite
Palm, S.F.; Gomna, A.; Kadri, S.M.; Bonkoungou, D.; Ouedraogo, A.L.; Soro, Y.M.; Sawadogo, M. Performance Study and Implementation of Accurate Solar PV Power Prediction Methods for the Nagréongo Power Plant in Burkina Faso. Energies 2025, 18, 5285. https://doi.org/10.3390/en18195285
Palm SF, Gomna A, Kadri SM, Bonkoungou D, Ouedraogo AL, Soro YM, Sawadogo M. Performance Study and Implementation of Accurate Solar PV Power Prediction Methods for the Nagréongo Power Plant in Burkina Faso. Energies. 2025; 18(19):5285. https://doi.org/10.3390/en18195285
Chicago/Turabian StylePalm, Sami Florent, Aboubakar Gomna, Sani Moussa Kadri, Dominique Bonkoungou, Adélaïde Lareba Ouedraogo, Yrébégnan Moussa Soro, and Marie Sawadogo. 2025. "Performance Study and Implementation of Accurate Solar PV Power Prediction Methods for the Nagréongo Power Plant in Burkina Faso" Energies 18, no. 19: 5285. https://doi.org/10.3390/en18195285
APA StylePalm, S. F., Gomna, A., Kadri, S. M., Bonkoungou, D., Ouedraogo, A. L., Soro, Y. M., & Sawadogo, M. (2025). Performance Study and Implementation of Accurate Solar PV Power Prediction Methods for the Nagréongo Power Plant in Burkina Faso. Energies, 18(19), 5285. https://doi.org/10.3390/en18195285

