Energy Efficiency Assessment of Wastewater Treatment Plants: Analyzing Energy Consumption and Biogas Recovery Potential
Abstract
1. Introduction
2. Materials and Methods
2.1. Mechanical Treatment Stage
2.2. Biological Treatment Stage
2.3. Sludge Treatment System
2.4. Physicochemical Analyses and Measurements
3. Results and Discussion
3.1. Wastewater Flow and PE
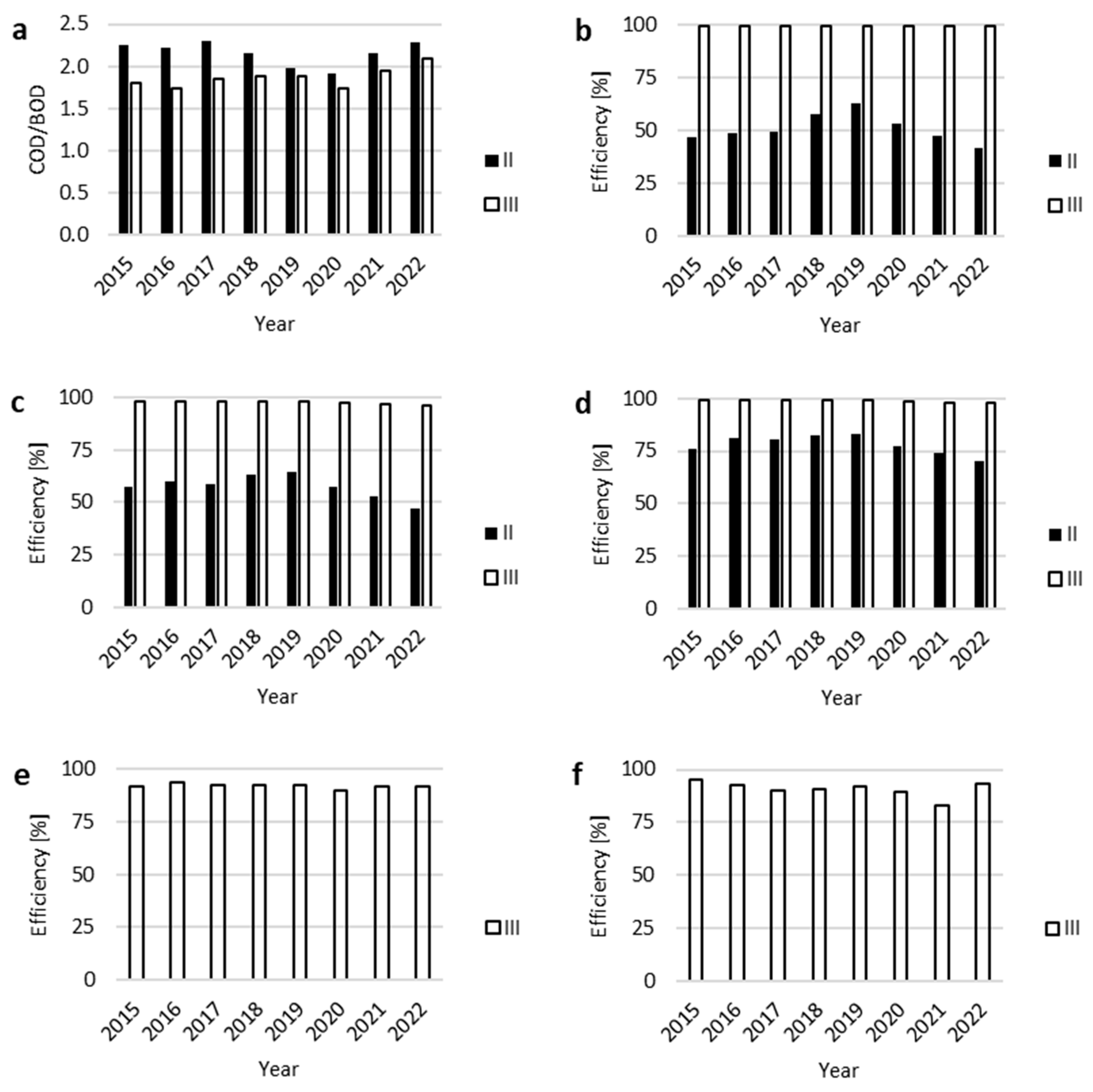
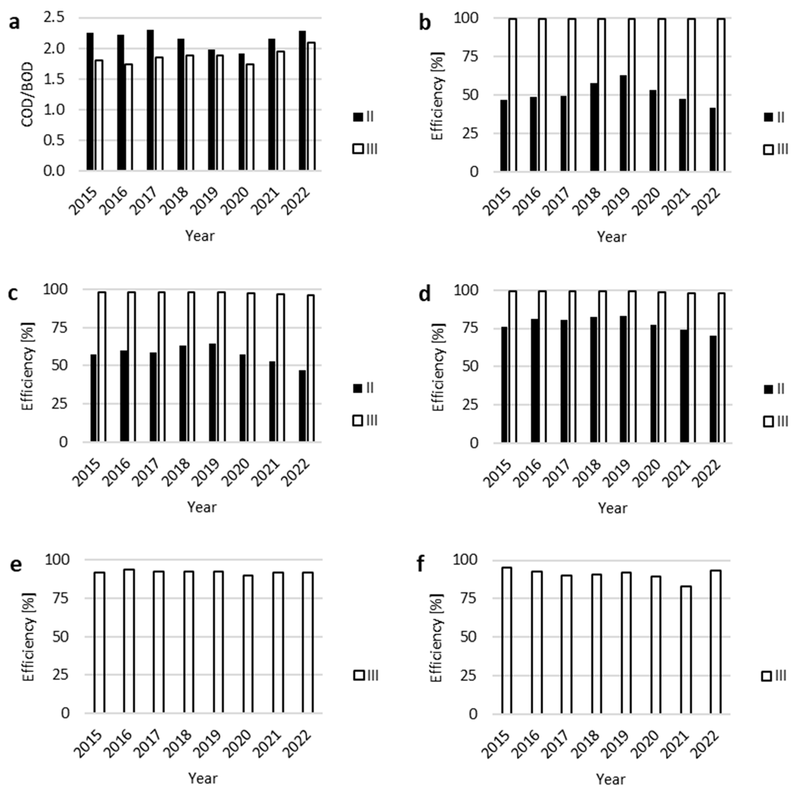
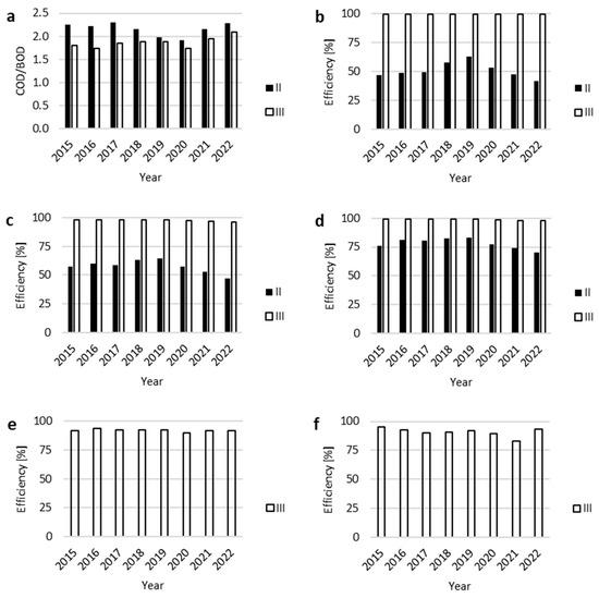
3.2. Efficiency of Removal of Organic Matter and Suspended Solids
3.3. Efficiency of Nitrogen Removal
3.4. Efficiency of Phosphorus Removal
3.5. Electricity Demand and Treatment Costs
4. Conclusions
Supplementary Materials
Author Contributions
Funding
Data Availability Statement
Conflicts of Interest
References
- Longo, S.; d’Antoni, B.M.; Bongards, M.; Chaparro, A.; Cronrath, A.; Fatone, F.; Lema, J.M.; Mauricio-Iglesias, M.; Soares, A.; Hospido, A. Monitoring and Diagnosis of Energy Consumption in Wastewater Treatment Plants. A State of the Art and Proposals for Improvement. Appl. Energy 2016, 179, 1251–1268. [Google Scholar] [CrossRef]
- Torregrossa, D.; Schutz, G.; Cornelissen, A.; Hernández-Sancho, F.; Hansen, J. Energy Saving in WWTP: Daily Benchmarking under Uncertainty and Data Availability Limitations. Environ. Res. 2016, 148, 330–337. [Google Scholar] [CrossRef]
- Żyłka, R.; Karolinczak, B.; Dąbrowski, W. Structure and Indicators of Electric Energy Consumption in Dairy Wastewater Treatment Plant. Sci. Total Environ. 2021, 782, 146599. [Google Scholar] [CrossRef]
- Rodziewicz, J.; Mielcarek, A.; Bryszewski, K.; Janczukowicz, W.; Kłobukowska, K. Energy Consumption for Nutrient Removal from High-Nitrate and High-Phosphorus Wastewater in Aerobic and Anaerobic Bioelectrochemical Reactors. Energies 2022, 15, 7251. [Google Scholar] [CrossRef]
- Kindzierski, W.B.; Hrudey, S.E. Effects of Phosphorus Removal Chemicals upon Methane Production during Anaerobic Sludge Digestion. Can. J. Civ. Eng. 1986, 13, 33–38. [Google Scholar] [CrossRef]
- Ghyoot, W.; Verstraete, W. Anaerobic Digestion of Primary Sludge from Chemical Pre-Precipitation. Water Sci. Technol. 1997, 36, 357–365. [Google Scholar] [CrossRef]
- Wang, H.; Yang, Y.; Keller, A.A.; Li, X.; Feng, S.; Dong, Y.; Li, F. Comparative Analysis of Energy Intensity and Carbon Emissions in Wastewater Treatment in USA, Germany, China and South Africa. Appl. Energy 2016, 184, 873–881. [Google Scholar] [CrossRef]
- Wakeel, M.; Chen, B.; Hayat, T.; Alsaedi, A.; Ahmad, B. Energy Consumption for Water Use Cycles in Different Countries: A Review. Appl. Energy 2016, 178, 868–885. [Google Scholar] [CrossRef]
- Gude, V.G. Energy and Water Autarky of Wastewater Treatment and Power Generation Systems. Renew. Sustain. Energy Rev. 2015, 45, 52–68. [Google Scholar] [CrossRef]
- Vaccari, M.; Foladori, P.; Nembrini, S.; Vitali, F. Benchmarking of Energy Consumption in Municipal Wastewater Treatment Plants—A Survey of over 200 Plants in Italy. Water Sci. Technol. 2018, 77, 2242–2252. [Google Scholar] [CrossRef]
- Directive-91/271-EN-EUR-Lex. Available online: https://eur-lex.europa.eu/eli/dir/1991/271/oj/eng (accessed on 26 August 2025).
- Summary of the Clean Water Act | US EPA. Available online: https://www.epa.gov/laws-regulations/summary-clean-water-act (accessed on 26 August 2025).
- Directive-EU-2024/3019-EN-EUR-Lex. Available online: https://eur-lex.europa.eu/eli/dir/2024/3019/oj/eng (accessed on 26 August 2025).
- PN-EN 1899-2:2002; Water Quality—Determination of Biochemical Oxygen Demand after n Days (BOD5)—Part 2: Undiluted Samples. Polish Committee for Standardization: Warsaw, Poland, 2002.
- PN-ISO 15705:2005; Water Quality—Determination of the Chemical Oxygen Demand Index (ST-COD)—Small-Scale Sealed-Tube Method. Polish Committee for Standardization: Warsaw, Poland, 2005.
- PN-EN 872:2007 + Ap1:2007; Water Quality—Determination of Suspended Solids—Method by Filtration Through Glass-Fibre Filters. Polish Committee for Standardization: Warsaw, Poland, 2007.
- PN-73/C-04576/14; Water and Wastewater—Determination of Total Nitrogen Content. Polish Committee for Standardization: Warsaw, Poland, 1973.
- PN-EN ISO 6878:2006 + Ap1:2010 + Ap2:2010; Water Quality—Determination of Phosphorus—Ammonium Molybdate Spectrometric Method. Polish Committee for Standardization: Warsaw, Poland, 2010.
- Rodziewicz, J.; Pesta, J.; Janczukowicz, W.; Mielcarek, A. The Influence of Pandemic Lockdowns on Municipal Wastewater Quality as a Consequence of Not Discharging Food Waste from Restaurants. Appl. Sci. 2023, 13, 8875. [Google Scholar] [CrossRef]
- Lorenzo-Toja, Y.; Vázquez-Rowe, I.; Chenel, S.; Marín-Navarro, D.; Moreira, M.T.; Feijoo, G. Eco-Efficiency Analysis of Spanish WWTPs Using the LCA + DEA Method. Water Res. 2015, 68, 651–666. [Google Scholar] [CrossRef]
- Wei, G.; Wei, T.; Li, Z.; Wei, C.; Kong, Q.; Guan, X.; Qiu, G.; Hu, Y.; Wei, C.; Zhu, S.; et al. BOD/COD Ratio as a Probing Index in the O/H/O Process for Coking Wastewater Treatment. Chem. Eng. J. 2023, 466, 143257. [Google Scholar] [CrossRef]
- Zhang, B.; Ning, D.; Yang, Y.; Van Nostrand, J.D.; Zhou, J.; Wen, X. Biodegradability of Wastewater Determines Microbial Assembly Mechanisms in Full-Scale Wastewater Treatment Plants. Water Res. 2020, 169, 115276. [Google Scholar] [CrossRef] [PubMed]
- Janczukowicz, W.; Rodziewicz, J.; Czaplicka, K.; Kłodowska, I.; Mielcarek, A. The Effect of Volatile Fatty Acids (VFAs) on Nutrient Removal in SBR with Biomass Adapted to Dairy Wastewater. J. Env. Sci. Health A Tox Hazard. Subst. Environ. Eng. 2013, 48, 809–816. [Google Scholar] [CrossRef] [PubMed]
- Nowobilska-Majewska, E.; Bugajski, P. The Analysis of the Amount of Pollutants in Wastewater after Mechanical Treatment in the Aspect of Their Susceptibility to Biodegradation in the Treatment Plant in Nowy Targ. J. Ecol. Eng. 2019, 20, 135–143. [Google Scholar] [CrossRef]
- Dz.U. 2014 Poz. 1800 (Journal of Laws of 2014, Item 1800). (Ang. Regulation of the Minister of the Environment of 18 November 2014 on the Conditions for Introducing Wastewater into Water or Soil and on Substances Particularly Harmful to the Aquatic Environment.). Available online: https://isap.sejm.gov.pl/isap.nsf/DocDetails.xsp?id=wdu20140001800 (accessed on 20 August 2025).
- Vaiopoulou, E.; Aivasidis, A. A Modified UCT Method for Biological Nutrient Removal: Configuration and Performance. Chemosphere 2008, 72, 1062–1068. [Google Scholar] [CrossRef]
- Welz, P.J.; Thobejane, M.P.; van Blerk, G.N. Ammonium Oxidizing Bacterial Populations in South African Activated Sludge Wastewater Treatment Plants. Water Environ. Res. 2023, 95, e10945. [Google Scholar] [CrossRef]
- Dai, H.; Sun, Y.; Wan, D.; Abbasi, H.N.; Guo, Z.; Geng, H.; Wang, X.; Chen, Y. Simultaneous Denitrification and Phosphorus Removal: A Review on the Functional Strains and Activated Sludge Processes. Sci. Total Environ. 2022, 835, 155409. [Google Scholar] [CrossRef] [PubMed]
- Hu, Z.; Houweling, D.; Dold, P. Biological Nutrient Removal in Municipal Wastewater Treatment: New Directions in Sustainability. J. Environ. Eng. 2012, 138, 307–317. [Google Scholar] [CrossRef]
- Preisner, M.; Smol, M. Investigating Phosphorus Loads Removed by Chemical and Biological Methods in Municipal Wastewater Treatment Plants in Poland. J. Environ. Manag. 2022, 322, 116058. [Google Scholar] [CrossRef]
- Trapote, A.; Albaladejo, A.; Simón, P. Energy Consumption in an Urban Wastewater Treatment Plant: The Case of Murcia Region (Spain). Civ. Eng. Environ. Syst. 2014, 31, 304–310. [Google Scholar] [CrossRef]
- Gandiglio, M.; Lanzini, A.; Soto, A.; Leone, P.; Santarelli, M. Enhancing the Energy Efficiency of Wastewater Treatment Plants through Co-Digestion and Fuel Cell Systems. Front. Environ. Sci. 2017, 5, 289034. [Google Scholar] [CrossRef]
- Capodaglio, A.; Olsson, G. Energy Issues in Sustainable Urban Wastewater Management: Use, Demand Reduction and Recovery in the Urban Water Cycle. Sustainability 2019, 12, 266. [Google Scholar] [CrossRef]
- Zessner, M.; Lampert, C.; Kroiss, H.; Lindtner, S. Cost Comparison of Wastewater Treatment in Danubian Countries. Water Sci. Technol. 2010, 62, 223–230. [Google Scholar] [CrossRef]
- Nowak, O.; Enderle, P.; Varbanov, P. Ways to Optimize the Energy Balance of Municipal Wastewater Systems: Lessons Learned from Austrian Applications. J. Clean. Prod. 2015, 88, 125–131. [Google Scholar] [CrossRef]
- Żyłka, R.; Dąbrowski, W.; Malinowski, P.; Karolinczak, B. Modeling of Electric Energy Consumption during Dairy Wastewater Treatment Plant Operation. Energies 2020, 13, 3769. [Google Scholar] [CrossRef]
- Panepinto, D.; Fiore, S.; Zappone, M.; Genon, G.; Meucci, L. Evaluation of the Energy Efficiency of a Large Wastewater Treatment Plant in Italy. Appl. Energy 2016, 161, 404–411. [Google Scholar] [CrossRef]
- Chiavola, A.; Romano, R.; Bongirolami, S.; Giulioli, S. Optimization of Energy Consumption in the Biological Reactor of a Wastewater Treatment Plant by Means of Oxy Fuzzy and ORP Control. Water Air Soil. Pollut. 2017, 228, 1–12. [Google Scholar] [CrossRef]
- Lackner, S.; Gilbert, E.M.; Vlaeminck, S.E.; Joss, A.; Horn, H.; van Loosdrecht, M.C.M. Full-Scale Partial Nitritation/Anammox Experiences—An Application Survey. Water Res. 2014, 55, 292–303. [Google Scholar] [CrossRef] [PubMed]
- Wett, B.; Hell, M.; Nyhuis, G.; Puempel, T.; Takacs, I.; Murthy, S. Syntrophy of Aerobic and Anaerobic Ammonia Oxidisers. Water Sci. Technol. 2010, 61, 1915–1922. [Google Scholar] [CrossRef]
- Szczyrba, P.; Masłoń, A.; Czarnota, J.; Olszewski, K. Analysis of Sewage Sludge and Biogas-Energy Management at the Opole Wastewater Treatment Plant. Inżynieria Ekol. 2020, 21, 26–34. [Google Scholar] [CrossRef]
- Masłoń, A. An Analysis of Sewage Sludge and Biogas Production at the Zamość WWTP. In Lecture Notes in Civil Engineering; Springer: Cham, Switzerland, 2020; Volume 47, pp. 291–298. [Google Scholar]
- Masłoń, A.; Czarnota, J.; Szaja, A.; Szulżyk-Cieplak, J.; Łagód, G. The Enhancement of Energy Efficiency in a Wastewater Treatment Plant through Sustainable Biogas Use: Case Study from Poland. Energies 2020, 13, 6056. [Google Scholar] [CrossRef]
- Masłoń, A. Analysis of Energy Consumption at the Rzeszów Wastewater Treatment Plant. E3S Web Conf. 2017, 22, 00115. [Google Scholar] [CrossRef]
- Yang, Q.; Wu, B.; Yao, F.; He, L.; Chen, F.; Ma, Y.; Shu, X.; Hou, K.; Wang, D.; Li, X. Biogas Production from Anaerobic Co-Digestion of Waste Activated Sludge: Co-Substrates and Influencing Parameters. Rev. Environ. Sci. Biotechnol. 2019, 18, 771–793. [Google Scholar] [CrossRef]
- Peces, M.; Pozo, G.; Koch, K.; Dosta, J.; Astals, S. Exploring the Potential of Co-Fermenting Sewage Sludge and Lipids in a Resource Recovery Scenario. Bioresour. Technol. 2020, 300, 122561. [Google Scholar] [CrossRef]
- Dzido, A.; Walczak, J.; Jankowska, H.; Krawczyk, P.; Özbayram, E.G.; Żubrowska-Sudoł, M. Hydrodynamic Disintegration Effects Assessment by CFD Modelling Integrated with Bench Tests. J. Environ. Manag. 2024, 367, 121948. [Google Scholar] [CrossRef]
- Chen, X.; Zhou, W. Economic and Ecological Assessment of Photovoltaic Systems for Wastewater Treatment Plants in China. Renew. Energy 2022, 191, 852–867. [Google Scholar] [CrossRef]
- Cena Prądu 1 Kwh Dla Firm—Ile Kosztuje w 2025?|Eco Dla Biznesu. Available online: https://ecodlabiznesu.pl/ile-kosztuje-1-kwh-dla-firm/ (accessed on 21 August 2025).
- Ćetković, J.; Knežević, M.; Lakić, S.; Žarković, M.; Vujadinović, R.; Živković, A.; Cvijović, J. Financial and Economic Investment Evaluation of Wastewater Treatment Plant. Water 2022, 14, 122. [Google Scholar] [CrossRef]
- Renzetti, S. Municipal Water Supply and Sewage Treatment: Costs, Prices, and Distortions. Can. J. Econ. 1999, 32, 688. [Google Scholar] [CrossRef]
- Bode, H.; Grünebaum, T. The Cost of Municipal Sewage Treatment–Structure, Origin, Minimization–Methods of Fair Cost Comparison and Allocation. Water Sci. Technol. 2000, 41, 289–298. [Google Scholar] [CrossRef]
- Li, W.; Li, L.; Qiu, G. Energy Consumption and Economic Cost of Typical Wastewater Treatment Systems in Shenzhen, China. J. Clean. Prod. 2017, 163, S374–S378. [Google Scholar] [CrossRef]
- Ateunkeng, J.G.; Boum, A.T.; Bitjoka, L. Enhancement of Energy and Cost Efficiency in Wastewater Treatment Plants Using Hybrid Bio-Inspired Machine Learning Control Techniques. J. Environ. Chem. Eng. 2024, 12, 112496. [Google Scholar] [CrossRef]
- Castellet, L.; Molinos-Senante, M. Efficiency Assessment of Wastewater Treatment Plants: A Data Envelopment Analysis Approach Integrating Technical, Economic, and Environmental Issues. J. Environ. Manag. 2016, 167, 160–166. [Google Scholar] [CrossRef] [PubMed]



| Year | Number of Inhabitants | Treated Wastewater [m3/year] | Average Daily Flow [m3/d] | Actual PE |
|---|---|---|---|---|
| 2015 | 44,506 | 3,825,398 | 10,451.90 | 170,312 |
| 2016 | 44,049 | 3,822,298 | 10,443.40 | 170,006 |
| 2017 | 44,303 | 3,930,268 | 10,767.90 | 160,966 |
| 2018 | 44,209 | 3,833,268 | 10,502.10 | 183,618 |
| 2019 | 44,138 | 3,745,319 | 10,261.10 | 220,459 |
| 2020 | 42,965 | 3,166,922 | 8652.80 | 187,301 |
| 2021 | 42,428 | 3,172,937 | 8693.00 | 113,260 |
| 2022 | 41,951 | 3,083,863 | 8448.94 | 86,602 |
| Type of Wastewater | 2015 (n = 52) | 2016 (n = 51) | 2017 (n = 50) | 2018 (n = 52) | 2019 (n = 51) | 2020 (n = 49) | 2021 (n = 52) | 2022 (n = 24) | |
|---|---|---|---|---|---|---|---|---|---|
| BOD [mg O2/L] | I | 978 ± 308 (580–2240) | 977 ± 319 (540–2040) | 897 ± 321 (430–1820) | 1049 ± 360 (560–2200) | 1289 ± 356 (710–2300) | 1299 ± 512 (670–3370) | 782 ± 268 (340–1500) | 615 ± 188 (320–910) |
| II | 524 ± 102 (330–760) | 502 ± 101 (320–770) | 457 ± 127 (230–760) | 444 ± 130 (230–1010) | 483 ± 92 (260–680) | 609 ± 159 (280–930) | 410 ± 125 (200–750) | 358 ± 90 (190–570) | |
| III | 4.35 ± 1.77 (2.10–10.00) | 3.63 ± 1.96 (2.00–14.00) | 3.85 ± 1.36 (2.30–8.00) | 3.97 ± 1.08 (2.00–8.00) | 4.21 ± 1.87 (2.10–12.00) | 7.03 ± 5.12 (2.10–37.00) | 4.58 ± 1.97 (2.10–12.00) | 4.28 ± 2.53 (1.40–12.00) | |
| COD [mg O2/L] | I | 2193 ± 763 (1220–4830) | 2172 ± 644 (1160–3900) | 2055 ± 780 (1100–4370) | 2266 ± 802 (1162–4950) | 2540 ± 734 (1250–4740) | 2489 ± 853 (1284–5452) | 1688 ± 441 (810–3120) | 1408 ± 417 (775–2160) |
| II | 941 ± 147 (617–1280) | 869 ± 129 (648–1210) | 848 ± 197 (458–1340) | 833 ± 182 (525–1480) | 908 ± 145 (565–1386) | 1054 ± 236 (555–1472) | 800 ± 166 (485–1190) | 745 ± 151 (465–1150) | |
| III | 47.2 ± 11.6 (28.0–88.0) | 44.7 ± 8.8 (34.0–78.0) | 42.6 ± 11.5 (20.6–84.0) | 47.5 ± 7.6 (32.0–66.0) | 45.7 ± 11.7 (28.0–105.0) | 62.4 ± 17.2 (41.0–154.0) | 56.2 ± 9.8 (43.0–83.0) | 56.9 ± 14.8 (39.0–105.0) | |
| TSS [mg/L] | I | 1029 ± 512 (60–2800) | 1086 ± 418 (400–2000) | 973 ± 438 (504–2000) | 1090 ± 493 (60–2800) | 1236 ± 533 (404–3990) | 991 ± 634 (332–3400) | 653 ± 261 (160–1700) | 584 ± 200 (290–1100) |
| II | 245 ± 52 (110–410) | 203 ± 37 (140–300) | 192 ± 61 (110–490) | 193 ± 40 (110–320) | 206 ± 55 (95–370) | 228 ± 122 (120–1000) | 171 ± 63 (78–540) | 173 ± 31 (120–230) | |
| III | 11.6 ± 8.0 (3.4–35.0) | 9.4 ± 5.4 5.0–26.0) | 10.0 ± 7.5 (5.0–42.0) | 7.7 ± 3.5 (4.7–18.0) | 9.0 ± 5.9 (3.9–43.0) | 15.7 ± 10.9 (5.5–71.0) | 13.5 ± 6.9 (4.3–37.0) | 13.1 ± 7.1 (5.0–31.0) | |
| TN [mg N/L] | I | 106.4 ± 15.9 (83.1–156.0) | 102.8 ± 14.7 (80.0–137.0) | 96.2 ± 19.8 (68.6–149.0) | 90.7 ± 12.5 (63.6–126.0) | 90.3 ± 10.9 (70.8–121.0) | 93.5 ± 11.0 (61.3–116.0) | 84.0 ± 10.8 (61.5–114.0) | 90.0 ± 12.8 (60.6–113.0) |
| III | 8.84 ± 3.94 (5.10–30.60) | 6.81 ± 1.57 (4.70–11.50) | 7.21 ± 2.53 (4.60–20.70) | 6.97 ± 2.19 (1.90–13.90) | 7.03 ± 1.89 (3.80–14.70) | 9.60 ± 8.40 (3.70–58.20) | 7.20 ± 1.79 (4.70–13.40) | 7.55 ± 1.41 (5.40–10.40) | |
| TP [mg P/L] | I | 19.9 ± 3.3 (11.6–31.3) | 21.1 ± 3.9 (15.1–29.4) | 20.1 ± 5.6 (11.1–35.6) | 17.1 ± 3.9 (10.6–24.6) | 20.9 ± 6.8 (12.9–42.6) | 19.4 ± 5.4 (8.8–37.0) | 15.5 ± 4.3 (5.7–27.0) | 16.6 ± 4.3 (9.7–24.7) |
| II | 14.8 ± 2.8 (8.5–25.4) | 18.3 ± 15.5 (11.6–126.6) | 15.5 ± 4.5 (5.6–24.3) | 15.5 ± 4.1 (7.5–29.4) | 19.6 ± 6.3 (12.6–49.0) | 21.6 ± 7.5 (7.5–38.9) | 15.1 ± 3.0 (9.1–23.1) | 13.4 ± 2.5 (9.0–18.5) | |
| III | 0.96 ± 0.76 (0.23–4.35) | 1.60 ± 1.16 (0.20–4.84) | 1.98 ± 1.03 (0.34–5.29) | 1.54 ± 1.63 (0.08–9.68) | 1.65 ± 1.69 (0.24–6.58) | 2.08 ± 3.87 (0.41–27.70) | 2.67 ± 2.06 (0.45–9.80) | 1.07 ± 0.63 (0.46–2.85) |
| Year | Produced Sludge [Mg/year] | Biogas Production [m3/year] | Electricity Generation from Biogas [MWh] | Electricity Purchased [MWh] | Total Electricity Use [MWh] | Average Price per 1 MWh [USD/MWh] | Savings from Biogas Use [USD] |
|---|---|---|---|---|---|---|---|
| 2015 | 10,924.8 | no data | 1606 | 2533 | 4139 | 67.45 | 108,303.27 |
| 2016 | 10,924.8 | 1,302,998 | 2654 | 1228 | 3882 | 31.21 | 82,837.49 |
| 2017 | 8059.3 | no data | 1929 | 1674 | 3603 | 37.72 | 72,757.68 |
| 2018 | 6794.1 | 1,040,605 | 1321 | 2352 | 3673 | 50.08 | 66,173.90 |
| 2019 | 6964.1 | 1,003,891 | 1469 | 2357 | 3825 | 71.65 | 105,229.93 |
| 2020 | 6545.4 | 879,697 | 689 | 3120 | 3809 | 86.24 | 59,382.29 |
| 2021 | 5044.8 | 773,410 | 1447 | 2150 | 3598 | 66.68 | 96,499.92 |
| 2022 | 3953.9 | 779,071 | 1035 | 2111 | 3147 | 215.66 | 223,267.80 |
| Year | Total Treatment Cost per m3 [USD/m3] | Cost of BOD5 Removal [USD/kg] | Cost of COD Removal [USD/kg] | Cost of TSS Removal [USD/kg] | Cost of TN Removal [USD/kg] | Cost of TP Removal [USD/kg] | Energy Cost per m3 Treated [USD/m3] | Energy Cost Share [%] in Total Treatment Cost |
|---|---|---|---|---|---|---|---|---|
| 2015 | 1.00 | 1.03 | 0.47 | 0.98 | 10.24 | 52.85 | 0.10 | 9.73 |
| 2016 | 1.18 | 1.21 | 0.55 | 1.09 | 12.27 | 60.47 | 0.05 | 4.48 |
| 2017 | 1.04 | 1.16 | 0.51 | 1.08 | 11.63 | 57.18 | 0.05 | 5.12 |
| 2018 | 1.15 | 1.10 | 0.52 | 1.07 | 13.77 | 74.05 | 0.07 | 5.66 |
| 2019 | 1.26 | 0.98 | 0.50 | 1.02 | 15.09 | 65.27 | 0.10 | 8.08 |
| 2020 | 1.43 | 1.11 | 0.59 | 1.47 | 17.09 | 83.03 | 0.12 | 8.57 |
| 2021 | 1.45 | 1.87 | 0.89 | 2.28 | 18.92 | 113.21 | 0.11 | 7.29 |
| 2022 | 1.58 | 2.59 | 1.17 | 2.77 | 19.17 | 101.76 | 0.22 | 13.92 |
Disclaimer/Publisher’s Note: The statements, opinions and data contained in all publications are solely those of the individual author(s) and contributor(s) and not of MDPI and/or the editor(s). MDPI and/or the editor(s) disclaim responsibility for any injury to people or property resulting from any ideas, methods, instructions or products referred to in the content. |
© 2025 by the authors. Licensee MDPI, Basel, Switzerland. This article is an open access article distributed under the terms and conditions of the Creative Commons Attribution (CC BY) license (https://creativecommons.org/licenses/by/4.0/).
Share and Cite
Mielcarek, A.; Lubińska, R.; Rodziewicz, J.; Janczukowicz, W. Energy Efficiency Assessment of Wastewater Treatment Plants: Analyzing Energy Consumption and Biogas Recovery Potential. Energies 2025, 18, 5277. https://doi.org/10.3390/en18195277
Mielcarek A, Lubińska R, Rodziewicz J, Janczukowicz W. Energy Efficiency Assessment of Wastewater Treatment Plants: Analyzing Energy Consumption and Biogas Recovery Potential. Energies. 2025; 18(19):5277. https://doi.org/10.3390/en18195277
Chicago/Turabian StyleMielcarek, Artur, Roksana Lubińska, Joanna Rodziewicz, and Wojciech Janczukowicz. 2025. "Energy Efficiency Assessment of Wastewater Treatment Plants: Analyzing Energy Consumption and Biogas Recovery Potential" Energies 18, no. 19: 5277. https://doi.org/10.3390/en18195277
APA StyleMielcarek, A., Lubińska, R., Rodziewicz, J., & Janczukowicz, W. (2025). Energy Efficiency Assessment of Wastewater Treatment Plants: Analyzing Energy Consumption and Biogas Recovery Potential. Energies, 18(19), 5277. https://doi.org/10.3390/en18195277

