Next Article in Journal
Smart Metering as a Regulatory and Technological Enabler for Flexibility in Distribution Networks: Incentives, Devices, and Protocols
Previous Article in Journal
Numerical Modeling of Photovoltaic Cells with the Meshless Global Radial Basis Function Collocation Method
 
 
Font Type:
Arial Georgia Verdana
Font Size:
Aa Aa Aa
Line Spacing:
Column Width:
Background:
Article

Development of a Novel Weighted Maximum Likelihood-Based Parameter Estimation Technique for Improved Annual Energy Production Estimation of Wind Turbines

1
Marine Engineering Support Center, Korea Marine Equipment Research Institute, Busan 46754, Republic of Korea
2
Center for Green Energy Industry Intelligence, Institute for Advanced Engineering, Yongin-si 17035, Republic of Korea
3
Division of Naval Architecture and Ocean Systems Engineering, Korean Maritime and Ocean University, Busan 46252, Republic of Korea
*
Author to whom correspondence should be addressed.
Energies 2025, 18(19), 5265; https://doi.org/10.3390/en18195265
Submission received: 14 August 2025 / Revised: 25 September 2025 / Accepted: 1 October 2025 / Published: 3 October 2025
(This article belongs to the Section B: Energy and Environment)

Abstract

Conventional statistical models consider all wind speed ranges as equally important, causing significant prediction errors, particularly in wind speed intervals that contribute the most to wind turbine power generation. To overcome this limitation, this study proposes a novel parameter estimation method—Weighted Maximum Likelihood Estimation (WMLE)—to improve the accuracy of annual energy production (AEP) predictions for wind turbine systems. The proposed WMLE incorporates wind-speed-specific weights based on power generation contribution, along with a weighting amplification factor (β), to construct a power-oriented wind distribution model. WMLE performance was validated by comparing four offshore wind farm candidate sites in Korea—each exhibiting distinct wind characteristics. Goodness-of-fit evaluations against conventional wind statistical models demonstrated the improved distribution fitting performance of WMLE. Furthermore, WMLE consistently achieved relative AEP errors within ±2% compared to those of time-series-based methods. A sensitivity analysis identified the optimal β value, which narrowed the distribution fit around high-energy-contributing wind speeds, thereby enhancing the reliability of AEP predictions. In conclusion, WMLE provides a practical and robust statistical framework that bridges the gap between statistical distribution fitting and time-series-based methods for AEP. Moreover, the improved accuracy of AEP predictions enhances the reliability of wind farm feasibility assessments, reduces investment risk, and strengthens financial bankability.

1. Introduction

With the acceleration of the global energy transition, expanding the share of renewable energy has become a key agenda. Countries worldwide are promoting policies to increase the proportion of renewable energy in their energy mix, aiming to enhance energy security and achieve carbon neutrality [1]. Among renewable energy sources, wind energy has emerged as a prominent alternative owing to its technological maturity and proven economic feasibility.
As of June 2024, the global installed wind power capacity has reached approximately 1097 GW, reflecting a 12.6% increase compared to that of the previous year [2]. This market growth is driven by a declining Levelized Cost of Energy, advancements in turbine scaling technologies, and potential integration with green hydrogen production. These factors highlight the increasing importance of wind energy for global power systems.
An accurate analysis of wind resources at candidate sites is essential for the successful implementation of wind energy projects. In particular, reliably estimating annual energy production (AEP) is critical for feasibility assessments and investment decisions. There are three major approaches to AEP estimation: time-series-based numerical integration, machine learning-based predictive modeling, and statistical distribution-based modeling. The time-series-based method is ideal because it captures the temporal variability of wind speed and turbine power response; however, it is often infeasible in early project phases due to limited long-term measurement data. Machine learning-based methods can offer high predictive performance by learning from long-term Supervisory Control and Data Acquisition data; however, they are not applicable in the early design phase owing to limitations in data availability.
In contrast, statistical distribution-based methods can generalize wind speed characteristics from short-term measurements or reanalysis data, such as Weather Research and Forecasting (WRF) or European Centre for Medium-Range Weather Forecasts Reanalysis v5. These models are widely used not only for AEP estimation but also for load estimation based on wind speed distribution, and for defining input conditions for blade design. Among the various statistical models, the Weibull distribution is one of the most widely adopted because of its ability to effectively represent the asymmetric nature of wind speed. The accuracy of the Weibull distribution method for parameter estimation directly affects the reliability of AEP prediction.
Many researchers have investigated the performance of various parameter estimation methods. Pobočíková et al. [3] employed Monte Carlo simulations based on synthetic Weibull distributions to compare several estimation methods—Maximum Likelihood Estimation (MLE), Method of Moments (MOM), Empirical Method (EM), Power Density Method (PDM), Least Squares Method (LSM), and Weighted Least Squares Method (WLSM)—and demonstrated the better performance of MLE. Kaoga et al. [4] analyzed 28 years of wind data from Maroua, Cameroon, and found that the Energy Pattern Factor Method (EPFM) provided the highest accuracy. Onay et al. [5] analyzed wind speed data from 32 cities in Turkey and reported that PDM exhibited the best goodness-of-fit (GOF) with actual measurements.
However, most existing studies, including those by Pobočíková et al. [3], Kaoga et al. [4], and Onay et al. [5], are based on a two-parameter Weibull distribution, which limits their ability to capture the skewness, seasonal wind patterns, and nonlinear characteristics of actual wind data. To address this, Pobočíková et al. [6] compared the performance of two-parameter, three-parameter, and exponentiated Weibull distributions using measured data from Poprad-Tatry, Slovakia. They demonstrated that the exponentiated Weibull distribution provided the highest modeling flexibility. In addition, Abbas et al. [7] introduced a hybrid optimization-based estimation scheme that combines the Novel Energy Pattern Factor Method (NEPFM) with the Simplex Search Algorithm (SSA) for six coastal cities in Pakistan and reported substantial improvements in mean absolute error (MAE), root mean square error (RMSE) and wind power density estimation compared with conventional techniques.
While these studies have advanced wind statistic modeling, the majority still emphasize overall GOF rather than directly addressing AEP accuracy. Yet, AEP prediction is highly dependent on the wind speed intervals that contribute most to power generation. Inaccuracies in these critical intervals can result in systematic over- or underestimation of AEP, creating uncertainties in wind farm feasibility assessments and in the investment decisions of financial institutions.
Recent research has directly compared AEP estimates derived from statistical approaches with those obtained from time-series methods. For example, Carvalho [8] evaluated the accuracy of energy production prediction at two sites, Poland and Brazil, highlighting discrepancies beyond mere distributional fit. The study demonstrated that discretization strategies, such as annual, seasonal, and diurnal segmentation, could effectively reduce the discrepancies between statistical and time-series-based AEP. However, it ultimately concluded that no single parameter estimation method consistently outperformed others across different sites, and also demonstrated that the performance was highly dependent on the discretization strategy, which undermined the robustness and consistency of the estimators.
Building on this perspective, the present study proposes a wind-statistical estimator that targets AEP accuracy by design, rather than relying solely on improved fit or segmentation strategies. Specifically, we introduce a Weighted Maximum Likelihood Estimation (WMLE) method that incorporates wind-speed-specific power generation contributions derived from a time-series analysis, while maintaining the flexibility of statistical distribution modeling. The proposed WMLE establishes a unified and consistent statistical framework that achieves robust AEP prediction accuracy across diverse environmental conditions. This contribution directly addresses two critical limitations identified in prior studies: (1) the lack of consistency in conventional wind-statistical estimation methods across different sites, and (2) the reliance on data-segmentation preprocessing to enhance AEP accuracy. The rest of this paper is organized as follows: Section 2 describes the data and methodology, Section 3 presents the results and discussion, and Section 4 presents the conclusions.

2. Materials and Methods

2.1. Reference Wind Turbine Model

To evaluate the reliability of AEP estimation, this study employed the 10 MW reference wind turbine model developed by the Technical University of Denmark (DTU) [9,10]. This turbine is widely recognized as the standard model for large-scale offshore wind turbines, and its primary specifications are summarized in Table 1.

2.2. Wind Resource Data

To verify the proposed method, four candidate sites for offshore wind farms in South Korea were selected for analysis: Jeonnam (Southwestern Sea), Jeju (Southern Waters), Gyeongnam (Southeastern Sea), and Ulsan (East Sea) (Figure 1). The Korean Sea is classified into the West Sea, South Sea, and East Sea, each of which exhibits distinct wind characteristics owing to differences in seasonal wind patterns, topography, and water depth.
The West Sea, which is adjacent to China and is characterized by shallow waters, generally exhibits lower average wind speeds. The South Sea features complex coastlines and island topography that result in strong local turbulence and high wind variability. In contrast, the East Sea has deeper water and relatively simple coastlines with stable high-speed wind characteristics that are directly influenced by seasonal wind patterns. By analyzing wind conditions across regions with distinct characteristics, this study validated the consistent performance of the proposed estimation method.
Wind data were obtained from WRF reanalysis datasets via the licensed windPRO 4.1 S/W (EMD International). The WRF model is a mesoscale numerical weather prediction system capable of simulating high-resolution terrain and meteorological conditions, and its effectiveness in offshore wind resource assessments has been demonstrated in numerous studies [11]. For instance, Yang et al. [12] demonstrated the reliability of the model for offshore wind resource evaluation by validating WRF-based estimates against wind measurement data. The WRF dataset used in this study provided hourly wind speed, wind direction, and turbulence intensity across various altitudes. Detailed information on each site is provided in Table 2.

2.3. Wind Shear Exponent

To estimate wind speed at hub height, we applied the power law in Equation (1):
V 2   =   V 1 ( h 2 h 1 ) α
where V 1 and V 2 represent wind speeds at the reference height h 1 and the target height h 2 , respectively, and α denotes the wind shear exponent. The value of α was determined by applying linear regression to the logarithmic form of Equation (1), using wind speed data at different altitudes. Based on these values, wind speeds were extrapolated to the hub height of the DTU 10 MW turbine, which was 119 m. The wind shear exponent values for each site are summarized in Table 3.

2.4. Weibull Distribution

In this study, the two-parameter and exponentiated Weibull distributions were used. The probability density function (PDF) and cumulative distribution function (CDF) for each distribution are expressed by Equations (2)–(5). The PDF of the two-parameter Weibull distribution is expressed as [13]:
f v 2 p =   k c v c k 1 · e x p [ v c k ]
And its corresponding CDF is:
F v 2 p = 1   e x p [ v c k ]
The PDF and CDF of the exponentiated Weibull distribution are defined as [14]:
f v E x p =   γ E w k c v c k 1 · e x p [ v c k ] · 1 [ e x p v c k ] γ E w 1
F v E x p = 1 [ e x p v c k ] γ E w
where k denotes the shape parameter, and c is the scale parameter. The shape parameter k controls the form of the distribution; lower k values indicate a broader spread of wind speeds with flatter peaks, whereas higher k values correspond to a narrower distribution with more sharply defined peaks. The scale parameter c is related to the characteristic wind speed; higher c values generally correspond to higher average wind speeds.
For the exponentiated Weibull distribution, γ E w is the extra shape parameter, which adjusts the skewness and kurtosis of the distribution. While the three-parameter Weibull distribution offers greater flexibility than the two-parameter by introducing a location parameter, prior studies have noted that this parameter can complicate estimation and, when positive, implies a nonzero lower bound—leading to physically unrealistic probabilities for wind speeds below that threshold [15]. Accordingly, we focus on the exponentiated Weibull and the widely used two-parameter Weibull in this study.

2.5. Parameter Estimation

In this study, seven parameter estimation methods were applied to a two-parameter Weibull distribution: LSM, MOM, PWM, EM, EPFM, PDM, and MLE. Some of these methods are only applicable to the two-parameter Weibull distribution because of their formulation, and cannot be used for the exponentiated Weibull distribution. Thus, only LSM and MLE were employed for the exponentiated Weibull distribution.
Each estimation method yields different results depending on the statistical properties and shape of the wind data distribution, directly affecting the accuracy of AEP predictions. To address the limitations of existing methods and better capture the contribution of specific wind speed ranges to actual energy production, a novel WMLE method based on wind-speed-specific power generation contribution was developed (Section Weighted Maximum Likelihood Estimation).

2.5.1. Least Squares Method

LSM estimates the parameters of the Weibull distribution by performing a linear regression on a logarithmically transformed CDF. This method exhibits computational simplicity and rapid convergence. The Weibull CDF can be expressed in linear form, as shown in Equation (6), enabling parameter estimation through linear regression. However, its accuracy may be limited because of its reliance on linear approximations [16].
l n l n [ 1 1 F ( V ) ] = k l n V k l n ( c )
where l n l n [ 1 1 F ( V ) ] is the dependent variable y , k is the slope representing the shape parameter, and the intercept k l n ( c ) is used to estimate the scale parameter.

2.5.2. Method of Moments

MOM estimates parameters by matching the statistical moments of the sample data with the corresponding theoretical moments of the probability distribution. For the two-parameter Weibull distribution, the theoretical mean ( μ ) and variance ( σ 2 ) are given by Equations (7) and (8) [17]:
μ = c Γ ( 1 + 1 k )
σ 2 = c 2 Γ 1 + 2 k μ 2
where μ and σ 2 represent the mean and variance, respectively. c is the scale parameter, k is the shape parameter, and Γ denotes the gamma function.

2.5.3. Probability Weighted Moment

The PWM method extends the concept of MOM by incorporating the rank information of the sample data. By assigning weights based on the ranks of data points, PWM can yield more accurate estimates, particularly when the data are concentrated in specific regions. For the two-parameter Weibull distribution, the sample mean and rank-weighted first moment are defined in Equations (9) and (10), respectively [18]:
M 0 ^ ( 1,0 , s ) = 1 N i = 1 N x i
M 1 ^ ( 1,0 , s ) = 1 N ( N 1 ) i = 1 N 1 ( n i ) x i
where N is the total number of observations, and x i represents the i-th observed wind speed, ordered from smallest to largest.
Equations (9) and (10) were substituted into Equations (11) and (12) to calculate the parameters of the two-parameter Weibull distribution:
k = l n ( 2 ) l n ( M 0 ^ 1,0 , s 2 M 1 ^ 1,0 , s )
c = M 0 ^ 1,0 , s Γ ln M 0 ^ 1,0 , s M 1 ^ 1,0 , s ln 2

2.5.4. Empirical Method

EM, also known as the Justus Moment Method, estimates the parameters of the Weibull distribution using fundamental statistical properties of wind speed data, such as the mean and standard deviation. Although this method offers a simple calculation process, it does not adequately reflect the overall distributional characteristics of the data. The parameter estimation formulas for the two-parameter Weibull distribution using EM are given in Equations (13) and (14):
k = ( σ v ¯ ) 1.086
c = 1 + v ¯ Γ ( 1 + 1 k )

2.5.5. Energy Pattern Factor Method

EPFM uses the Energy Pattern Factor (EPF), which is defined as the ratio of the mean cubic wind speed to the cube of the mean wind speed. EPF is defined in Equation (15), with the parameters estimated using Equations (16) and (17). This method is characterized by its use of statistical quantities directly related to wind energy [19]:
E P F = v 3 ¯ ( v ¯ ) 3
k = 1 + 3.69 E P F 2
c = 1 + v ¯ Γ ( 1 + 1 k )
where v ¯ denotes the mean wind speed, and v 3 ¯ represents the mean cubic wind speed.

2.5.6. Power Density Method

PDM is similar to EPFM in that it also uses the EPF; however, it incorporates an iterative correction process for the shape parameter. An initial value of the shape parameter was assumed, and the optimal value was obtained by solving the nonlinear equation in Equation (18). The scale parameter was then calculated using Equation (19) [20,21]:
k = Γ ( 1 + 3 k ) Γ 3 ( 1 + 1 k ) E P F = 0
c = 1 + v ¯ Γ ( 1 + 1 k )

2.5.7. Maximum Likelihood Estimation

MLE is one of the most widely used methods for estimating the parameters of various probability distributions. This method is particularly favored for large datasets due to its statistical consistency and asymptotic efficiency. In MLE, the likelihood function is defined based on the sample data ( x 1 , x 2 , …, x n ), and the parameters that maximize the probability of the observed data are determined. For the Weibull distribution, the likelihood function is expressed as the product of the individual PDF, as shown in Equation (20). For numerical stability, it is transformed into the log-likelihood function using Equation (21) [22]:
L k , c = i = 1 n f ( x i , k , c ) = i = 1 n k c k x i k 1 e x p ( x i c k )
l n L k , c = n l n k n l n c 1 c k i = 1 n x i k + ( k 1 ) i = 1 n l n x i
The optimal parameters were obtained by numerically solving the likelihood equations derived from differentiating the log-likelihood function with respect to the parameters.

2.6. Annual Energy Production-Based Goodness-of-Fit

Conventional GOF assessments primarily focus on the overall statistical similarity between the Weibull distribution and the observed wind speed data. However, these approaches have limitations in terms of ensuring the reliability of AEP predictions. Therefore, this study introduced an AEP-oriented GOF evaluation framework to validate the performance of the WMLE method. Three metrics were used: MAE, relative error rate (RER), and RMSE [23].
In addition to conventional GOF metrics, the AEP contribution error rate (CER) was introduced to quantify the relative deviation in energy output contributions across wind speed bins. Although not a standard GOF metric, this supplementary indicator enables a direct comparison between the wind-speed-specific AEP contributions estimated by the statistical model and those derived from time-series data. This enables an evaluation of the model’s capability to reproduce power generation characteristics across different wind speed ranges.
These metrics were used to compare the performance of various parameter estimation methods, including the newly proposed WMLE. MAE was employed to assess the absolute accuracy of the AEP estimation. MAE quantifies the average difference between the AEP predicted by the model and the AEP calculated from the sample data, as defined in Equation (22):
M A E = 1 N i = c u t i n c u t o u t A E P m o d , i A E P o b s , i
where A E P m o d , i is the AEP estimated using the Weibull parameters, and A E P o b s , i represents the AEP calculated via a time-series-based method. A smaller MAE value indicates greater predictive accuracy of the model.
To evaluate the relative accuracy of AEP prediction, the relative errors were analyzed. This metric represents the percentage difference between the estimated and observed AEP values and functions as an indicator of overestimation or underestimation:
R E R = c u t i n c u t o u t A E P m o d , i c u t i n c u t o u t A E P o b s , i c u t i n c u t o u t A E P o b s , i × 100
The RMSE was used to assess the prediction accuracy across wind speed bins. The RMSE effectively measures the magnitude of average error across all wind speed bins by squaring the error in each bin, averaging it, and then taking the square root. It is defined as:
R M S E = 1 N c u t i n c u t o u t ( A E P m o d , i A E P o b s , i ) 2
To evaluate the similarity in AEP contribution patterns across wind speed bins, CER was introduced, which is defined as:
C E R = 1 N c u t i n c u t o u t A E P o b s , i A E P o b s , t o t a l A E P m o d , i A E P m o d , t o t a l × 100
A smaller CER indicates that the model more accurately replicates the observed pattern of wind-speed-specific energy production. The performance of WMLE was comprehensively evaluated using the four quantitative indicators mentioned above.

3. Proposed Methodology

Weighted Maximum Likelihood Estimation

While the conventional MLE estimates the parameters of a probability distribution by maximizing the likelihood function using the given wind speed data, it may not guarantee accurate predictions of the AEP of the wind turbines. Owing to the skewed nature of wind speed distributions and the nonlinear characteristics of turbine power output, specific wind speed ranges exist that contribute more significantly to the AEP. The GOF within these key wind speed intervals significantly impacts overall AEP estimation.
To explicitly address these limitations, the proposed WMLE method integrates two factors that are not comprehensively incorporated in conventional approaches: (i) the nonlinear turbine power curve, which amplifies the influence of certain wind speed ranges, and (ii) the time-series-based AEP contributions of each wind-speed bin, which directly quantify the relative importance of these ranges. In practice, this approach retains the conventional likelihood framework of MLE, while introducing a weighting scheme that embeds these AEP-oriented factors into the estimation process.
The AEP was calculated using the probability distribution f v of the wind speed data and the power output function P v of the turbine, as shown in Equation (26), where 8760 represents the total number of hours in a year.
A E P = 8760 × c u t i n c u t o u t P v f v d v
To quantify the AEP contribution of each wind speed bin, a normalized metric α i is defined as follows:
α i = A E P ( v i ) A E P ( v i )
The core of WMLE lies in defining a weighting function based on the AEP contribution, thereby reflecting the relative importance of each wind speed bin in the parameter estimation process. The weight for each wind speed bin ω i is defined by Equation (28):
ω i = 1 , v i < v c u t i n     o r   v i > v c u t o u t ( 1 + α i ) β , v c u t i n v i v c u t o u t                                  
where β is an exponent that controls the amplification strength of the weight, regulating the relative importance of wind speed bins during the estimation process. In this study, greater emphasis was placed on wind speed bins with higher AEP contributions, enabling the probabilistic model to effectively reflect turbine output characteristics and improve the accuracy of annual energy yield predictions.
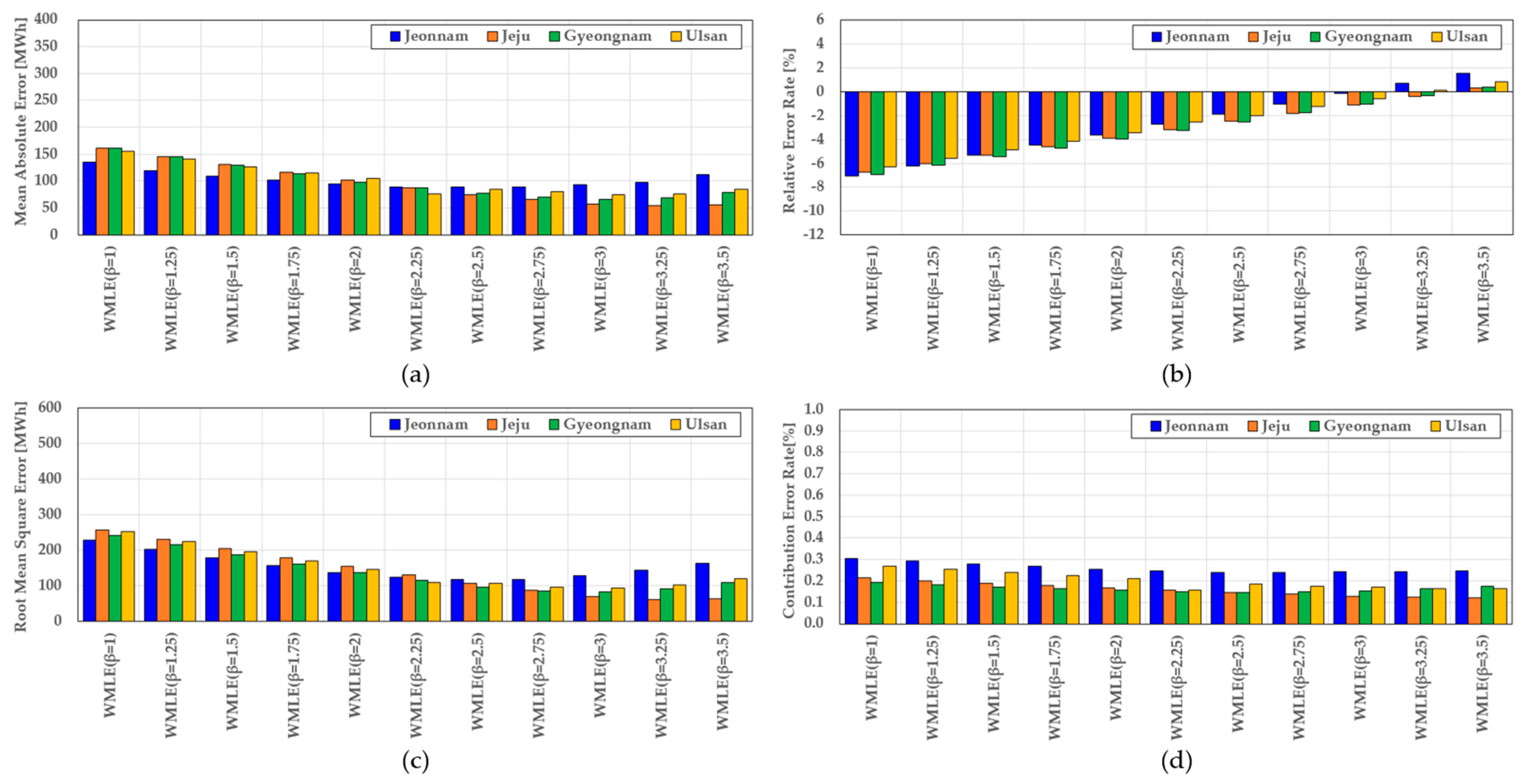
To investigate the sensitivity of WMLE performance to the selection of β, a case study was conducted by varying β from 1.0 to 3.5 in increments of 0.25. This analysis enabled a quantitative evaluation of the nonlinear amplification effect of β on the likelihood structure and the resulting AEP prediction accuracy. Consequently, the optimal β value was identified for each site, corresponding to the best predictive performance.
For each analysis site, Appendix A Table A1, Table A2, Table A3 and Table A4 provides tabulated data including: (i) the AEP for each wind speed bin calculated using a time-series-based method, (ii) the normalized AEP contribution (αi), and (iii) the corresponding weight assigned to each wind speed bin (ωi) for β values ranging from 1.0 to 3.5 in 0.25 increments.
Finally, the log-likelihood function of the conventional MLE was modified to include the wind-speed-specific weights, resulting in the weighted log-likelihood function defined in Equation (29). The optimal parameters were derived by numerically optimizing the weighted log-likelihood function:
l n L k , c , γ E W = i = 0 ω i l n f ( v i ; k , c , γ E W )
To provide a clear overview of the implementation procedure of the proposed WMLE approach, a flowchart is presented in Figure 2.

4. Results and Discussion

4.1. Evaluating the Accuracy of Annual Energy Production Predictions in Conventional Wind Statistical Models

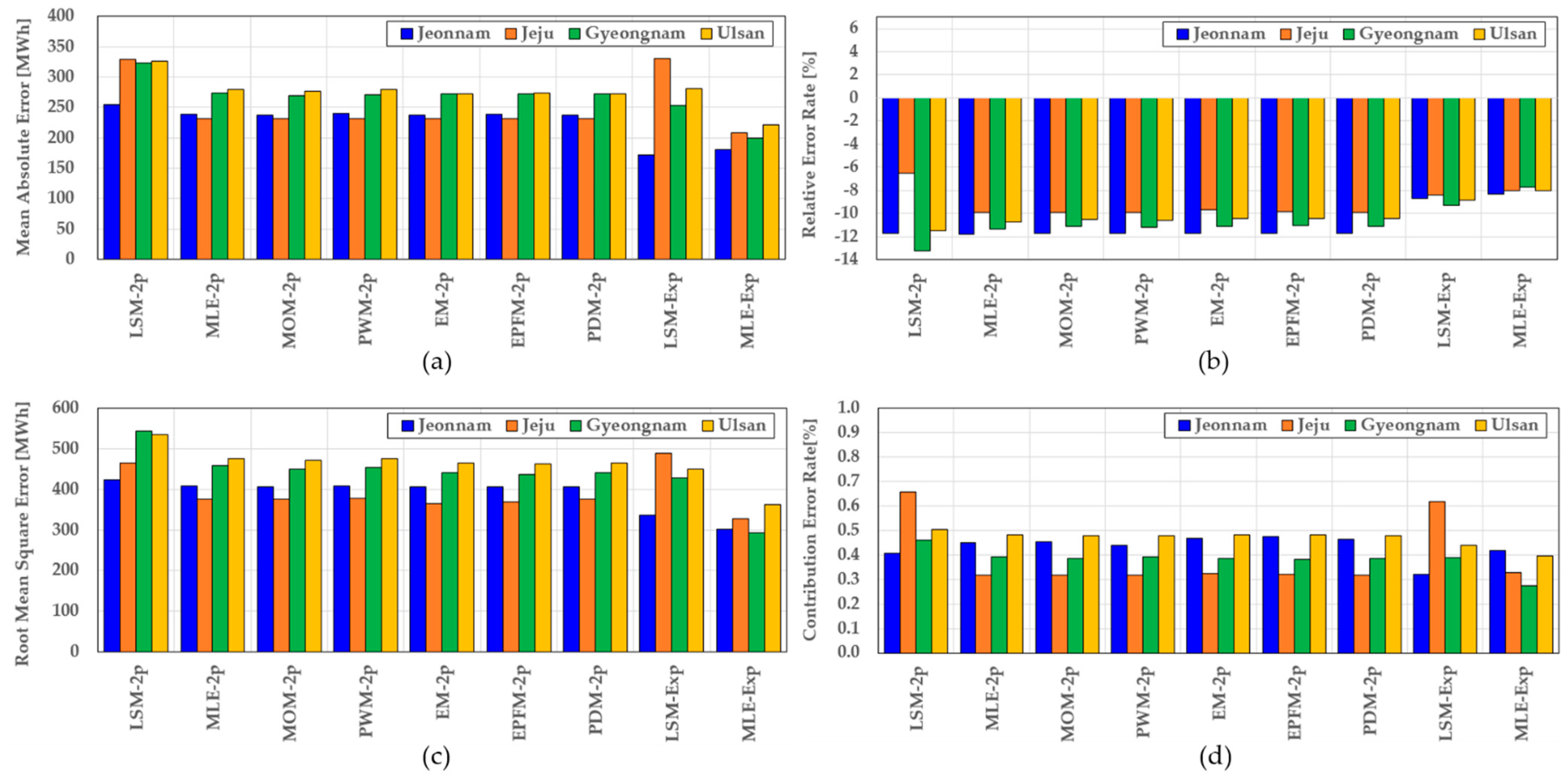
Figure 3 presents a comparative analysis of the AEP estimates derived from conventional wind statistical models and those obtained using a time-series-based method. The evaluation was conducted using four AEP–GOF indicators: MAE, RMSE, RER, and CER.
The analysis demonstrated that most models based on the two-parameter Weibull distribution exhibited similar levels of predictive performance. However, LSM consistently showed inferior performance across all GOF indicators because of its structural limitations, stemming from the linear approximation used in its parameter estimation process. In contrast, the combination of the exponentiated Weibull distribution and MLE demonstrated the best predictive performance across all analysis sites. This result can be attributed to the modeling flexibility of the exponentiated Weibull distribution and the statistical consistency of the MLE approach, which maximizes the overall fit to the wind speed distribution. Nevertheless, as shown in Figure 3a,c, MAE and RMSE still exhibited differences on the order of several hundred MWh when compared with the time-series-based AEP values. In addition, Figure 3b indicates that the relative error rates for all conventional statistical methods exceeded 8%, while Figure 3d shows that the contribution error rates across the entire wind speed range were consistently greater than 0.3.
While conventional models generally provide statistically reasonable fits to the overall wind speed distribution, they assign equal weight to all wind speed intervals, regardless of their actual contribution to power generation. Consequently, even minor mismatches in wind speed ranges that play a dominant role in energy production can accumulate, resulting in a substantial decline in AEP estimation accuracy.
These findings highlight the inherent limitations of conventional distribution-fitting approaches in AEP prediction and emphasize the necessity of adopting a weighted estimation method that accounts for the varying contributions of each wind speed bin.

4.2. Determination of the Optimal Weight Exponent (β)

The WMLE method enhances AEP estimation accuracy by applying wind-speed-specific weights based on the contribution of each wind speed bin to energy production. The performance of WMLE is highly sensitive to the selection of β. β functions as a tuning parameter that regulates the degree of emphasis placed on wind speed ranges with higher AEP contributions. Smaller β values result in weighting patterns similar to conventional MLE, whereas larger β values amplify the impact of AEP-dominant ranges, thereby aligning the estimation more closely with the actual energy production characteristics of the turbine.
This section evaluates the sensitivity of WMLE to varying β values by assessing its AEP prediction performance across a range from 1.0 to 3.5 in 0.25 increments. A comprehensive analysis based on multiple GOF indicators was conducted, and the results are presented in Figure 4.
As shown in Figure 4a,c, MAE and RMSE reached their minimum values across all sites within the range of β = 2.5–3.25, corresponding to relatively low differences of about 100 MWh. Figure 4b illustrates that RER achieved its lowest error rates when β ≥ 3.0, whereas Figure 4d shows that CER reached its minimum at β = 2.5 or 3.5, depending on the site. Although the optimal β values varied across sites depending on the specific GOF metric, WMLE consistently demonstrated stable and high performance within the range of β = 2.5 to 3.5.
Based on these results, this study determined the optimal β value for each site by assigning equal importance to the four GOF metrics, as summarized in Table 4. The optimal β values were identified as 2.5 for Jeonnam, 3.5 for Jeju, and 3.0 for both Gyeongnam and Ulsan.
The obtained results suggest that WMLE provides a more accurate fit for wind speed ranges corresponding to the turbine’s power generation region than conventional wind statistical models. In addition, a detailed comparison between WMLE (under varying β values) and conventional statistical models for each site is presented in Appendix A Table A5, Table A6, Table A7 and Table A8.

4.3. Evaluation of Wind Statistical Models for Annual Energy Production Estimation and the Effectiveness of Weighted Maximum Likelihood Estimation

Based on the quantitative GOF evaluation results presented in Section 4.1 and Section 4.2, four representative wind statistical models were selected for further visual and comparative analyses, as summarized in Table 5.
Figure 5 compares the wind speed PDF estimated using each representative model with the actual observed wind speed distribution. Both the LSM and MLE, both based on the two-parameter Weibull distribution, consistently exhibited PDF modes in wind speed ranges lower than the observed mean speed. This tendency led to an overestimation of frequencies in the low-wind-speed region and an underestimation in the high-wind-speed region. Consequently, these models failed to adequately capture the nonlinear characteristics and varying degrees of skewness inherent in actual wind speed distributions.
The MLE, based on the Exponentiated Weibull distribution, partially reduced the gap between the PDF mode and the mean wind speed, and exhibited a slight improvement in fit within the high-wind-speed region. Nevertheless, the tendency to underestimate the wind speed range that contributes most significantly to power generation, specifically, the mid-to-high wind speed range of approximately 8–13 m/s, remained evident.
In contrast, the WMLE proposed in this study incorporates weights based on the AEP contribution, resulting in PDF modes that are closely aligned with the mean wind speed at each site. In particular, it demonstrated excellent agreement with the observed data in the key wind speed ranges that dominate power generation. This improvement is attributed to the model’s ability to concentrate statistical fitting on wind speed intervals with high power contribution, indicating that WMLE can more accurately predict wind turbine AEP.
Although the WMLE method slightly underestimated wind speeds below the cut-in, this low-wind-speed region was excluded from the turbine operation and thus did not affect the AEP calculations. Overall, WMLE demonstrated the highest prediction accuracy within the operational wind speed range of wind turbines and is expected to contribute to improving AEP estimation accuracy. The parameter estimation results for each model are detailed in Appendix A Table A9.
Figure 6 compares the wind speed bin-based AEP distributions estimated by each representative statistical model with those calculated from the time-series data. The results demonstrated a clear performance gap in the mid-to-high wind speed range (approximately 7–18 m/s), which contributed the most to total AEP.
The two-parameter Weibull models based on the LSM and MLE consistently underestimated the AEP across all sites. This underestimation is attributed to the limited flexibility of their mathematical structure, which fails to adequately capture the characteristics of wind speed ranges that significantly contribute to power generation.
The MLE using the exponentiated Weibull distribution showed a relatively improved fit in the medium-to-high wind speed range; however, discrepancies between the estimated and observed power generation across individual wind speed bins remained.
In contrast, the proposed WMLE method demonstrated the highest accuracy in power generation within the 7–18 m/s wind speed range. The method consistently achieved a high level of agreement with the observed data across all sites, despite regional differences in wind characteristics. These results provide strong evidence of the robustness and practical applicability of the proposed WMLE method.
Table 6 presents the GOF results of the AEP estimates from each representative method compared to the time-series-based method. The LSM and MLE based on the two-parameter Weibull distribution consistently underestimated the AEP, with MAE values exceeding 230 MWh and RER typically larger than −10% across most sites. Although the exponentiated Weibull distribution (MLE-Exp) showed some improvement compared to the two-parameter models, it still resulted in underestimation. In contrast, the proposed WMLE method achieved the highest prediction accuracy across all metrics, yielding the lowest MAE and RMSE values, RER within −2% to +0.3%, and CER below 0.24% at all sites.
Unlike conventional statistical models, which assume equal importance across wind speed intervals, WMLE directly incorporates the AEP contribution of each interval as a weighting factor, enabling power-generation-oriented optimization of the fitted distribution. In particular, the application of the optimal β identified in this study effectively bridges the gap between statistical models and time-series-based AEP estimation methods.
However, the present study has several limitations. Minor discrepancies were observed in wind speed bins, with relatively low power contributions or low occurrence frequencies. Moreover, the WRF reanalysis data used in this study inherently contain uncertainties related to spatial resolution, temporal averaging, and potential deviations from actual measurement data. These uncertainties may influence the statistical fitting of wind speed distributions and the accuracy of AEP estimation. In addition, the performance of the proposed WMLE method was evaluated solely using the DTU 10 MW reference turbine, which may limit the generalizability of the proposed statistical framework. To address the limitations, future research will aim to generalize the proposed method by applying it to various turbine models, from small- and medium-sized turbines below 5 MW to very large-scale turbines above 15 MW, as well as by incorporating regional measurement datasets such as 10-min average wind speed to enhance empirical validation. In addition, the development of an advanced calibration algorithm for determining the optimal β value, or a redefinition of the weighting scheme to better capture the contribution of each wind speed range to AEP estimation, will be explored. These efforts are anticipated to enhance the robustness of AEP estimation, particularly in wind speed ranges characterized by low occurrence frequency or limited power contribution.

5. Conclusions

This study proposed a WMLE method to improve the accuracy of AEP predictions for wind turbine systems. Unlike conventional parameter estimation techniques that treat all wind speed intervals equally, the WMLE retains the theoretical framework of conventional MLE while embedding the power generation contribution of each wind speed bin as a weighting function, thereby directly linking statistical distribution fitting with turbine power characteristics and enabling generation-oriented optimization. In addition, a weight exponent was introduced to conduct a systematic sensitivity analysis, and the optimal β value for each site was determined based on a comprehensive evaluation of GOF metrics.
The proposed WMLE demonstrated improved and consistent AEP prediction accuracies across all analyzed sites, with relative errors within 2%, compared to those of the time-series-based AEP. In particular, despite regional differences in wind characteristics, WMLE maintained a high prediction accuracy, highlighting its potential as a universally applicable statistical framework for AEP estimation under diverse global wind conditions.
However, this study was conducted based on a single wind turbine model, and the AEP prediction accuracy tended to decrease in wind speed intervals with low power generation contributions or low frequencies of occurrence. Future studies are therefore required to address these limitations and enhance the robustness of the proposed method. In conclusion, the proposed WMLE effectively bridges the gap between statistical distribution fitting and time-series-based methods, serving as a novel and practical approach to improving the accuracy of wind turbine AEP estimation. Furthermore, the findings of this study provide more reliable evidence not only for the feasibility assessment of wind farm construction but also for investment decision-making by financial institutions and for the broader development of wind energy projects.

Supplementary Materials

The following supporting information can be downloaded at: https://www.mdpi.com/article/10.3390/en18195265/s1, Dataset S1: Hub-height wind speed data adjusted using the shear exponent (Excel file).

Author Contributions

Conceptualization: W.H.; Data curation: W.H.; Formal Analysis: W.H.; Funding acquisition: K.L.; Investigation: J.K.; Methodology: W.H.; Resources: J.K.; Supervision: S.L.; Validation: W.H.; Visualization: W.H.; Writing—original draft: W.H.; Writing—review & editing: K.L. and S.L. All authors have read and agreed to the published version of the manuscript.

Funding

This research was financially supported by the Ministry of Trade, Industry and Energy (MOTIE) and the Korea Institute of Energy Technology Evaluation and Planning (KETEP) through the International Cooperative R&D Program (Grant Number: 20228520020020, Korea-Spain international joint development of 25 MW reference floating offshore wind turbine and steel-concrete hybrid floater (2022)).

Institutional Review Board Statement

Not applicable.

Informed Consent Statement

Not applicable.

Data Availability Statement

The raw WRF data used in this study were obtained via windPRO 4.1 software and cannot be shared due to licensing restrictions. However, the processed datasets generated in this study (i.e., hub-height wind speed data adjusted using the shear exponent) are provided as Supplementary Materials.

Conflicts of Interest

The authors declare no conflicts of interest. The sponsors played no role in the design, execution, interpretation, or writing of the study.

Abbreviations

The following abbreviations are used in this manuscript:
WMLEWeighted Maximum Likelihood Estimation
AEPAnnual energy production
GOFGoodness-of-fit
NEPFMNovel Energy Pattern Factor Method
SSASimplex Search Algorithm
WRFWeather Research and Forecasting
MLEMaximum Likelihood Estimation
MOMMethod of Moments
EMEmpirical Method
PDMPower Density Method
LSMLeast Squares Method
WLSMWeighted Least Squares Method
EPFMEnergy Pattern Factor Method
DTUTechnical University of Denmark
PDFProbability density function
CDFCumulative distribution function
PWMProbability Weighted Moment
EPFEnergy Pattern Factor
MAEMean absolute error
RERRelative error rate
RMSERoot mean square error
CERContribution error rate

Appendix A

Table A1. Time-series-based AEPobs,i, normalized contributions (αi), and calculated weights (ωi) for each wind speed bin at the Jeonnam site. The weighted terms are calculated for β values ranging from 1.0 to 3.5 in increments of 0.25.
Table A1. Time-series-based AEPobs,i, normalized contributions (αi), and calculated weights (ωi) for each wind speed bin at the Jeonnam site. The weighted terms are calculated for β values ranging from 1.0 to 3.5 in increments of 0.25.
Bin
[m/s]
A E P o b s , i
[MWh]
α i ω i 1.0 ω i 1.25 ω i 1.5 ω i 1.75 ω i 2.0 ω i 2.25 ω i 2.5 ω i 2.75 ω i 3.0 ω i 3.25 ω i 3.5
Below 40011111111111
42040.0051.0051.0071.0081.0091.0111.0121.0131.0151.0161.0171.019
56590.0171.0171.0211.0261.0301.0341.0391.0431.0481.0521.0571.061
613210.0341.0341.0431.0521.0611.0701.0791.0881.0971.1061.1151.125
721220.0551.0551.0691.0831.0981.1131.1281.1431.1581.1741.1901.206
831340.0811.0811.1021.1241.1461.1691.1921.2151.2391.2631.2881.314
941160.1061.1061.1351.1641.1941.2241.2561.2881.3211.3551.3891.425
1049070.1271.1271.1611.1961.2331.2701.3081.3481.3891.4311.4751.519
1156660.1471.1471.1861.2281.2701.3151.3601.4081.4571.5071.5601.614
1252660.1361.1361.1731.2111.2501.2911.3331.3761.4211.4671.5141.564
1338220.0991.0991.1251.1521.1791.2081.2361.2661.2961.3271.3591.391
1427470.0711.0711.0901.1081.1281.1471.1671.1871.2081.2291.2501.272
1519370.0501.0501.0631.0761.0891.1031.1161.1301.1441.1581.1721.187
1612340.0321.0321.0401.0481.0571.0651.0731.0821.0901.0991.1081.116
176820.0181.0181.0221.0271.0311.0361.0401.0451.0491.0541.0581.063
183940.0101.0101.0131.0151.0181.0211.0231.0261.0281.0311.0341.036
192140.0061.0061.0071.0081.0101.0111.0131.0141.0151.0171.0181.020
201210.0031.0031.0041.0051.0061.0061.0071.0081.0091.0091.0101.011
21600.0021.0021.0021.0021.0031.0031.0041.0041.0041.0051.0051.005
22230.0011.0011.0011.0011.0011.0011.0011.0021.0021.0021.0021.002
2390.0001.0001.0001.0001.0001.0001.0011.0011.0011.0011.0011.001
24100.0001.0001.0001.0001.0001.0001.0011.0011.0011.0011.0011.001
2570.0001.0001.0001.0001.0001.0001.0001.0001.0011.0011.0011.001
Above 250011111111111
Table A2. Time-series-based AEPobs,i, normalized contributions (αi), and calculated weights (ωi) for each wind speed bin at the Jeju site. The weighted terms are calculated for β values ranging from 1.0 to 3.5 in increments of 0.25.
Table A2. Time-series-based AEPobs,i, normalized contributions (αi), and calculated weights (ωi) for each wind speed bin at the Jeju site. The weighted terms are calculated for β values ranging from 1.0 to 3.5 in increments of 0.25.
Bin
[m/s]
A E P o b s , i
[MWh]
α i ω i 1.0 ω i 1.25 ω i 1.5 ω i 1.75 ω i 2.0 ω i 2.25 ω i 2.5 ω i 2.75 ω i 3.0 ω i 3.25 ω i 3.5
Below 40011111111111
41850.0041.0041.0051.0061.0071.0091.0101.0111.0121.0131.0141.015
55720.0131.0131.0161.0201.0231.0261.0301.0331.0371.0401.0431.047
611320.0261.0261.0331.0391.0461.0531.0591.0661.0731.0801.0871.094
718850.0431.0431.0541.0661.0771.0881.1001.1121.1241.1361.1481.160
828800.0661.0661.0831.1011.1191.1371.1551.1741.1931.2121.2311.251
939620.0911.0911.1151.1401.1651.1901.2161.2431.2711.2991.3271.356
1050440.1161.1161.1471.1791.2111.2451.2801.3151.3521.3891.4281.468
1160840.1401.1401.1781.2171.2571.2991.3421.3871.4331.4801.5301.581
1256020.1291.1291.1631.1991.2361.2741.3131.3531.3951.4381.4821.527
1345550.1051.1051.1321.1611.1901.2201.2511.2821.3151.3481.3821.417
1435090.0811.0811.1021.1231.1451.1681.1911.2141.2381.2621.2861.312
1525430.0581.0581.0741.0891.1041.1201.1361.1521.1691.1861.2031.220
1618360.0421.0421.0531.0641.0751.0861.0971.1091.1201.1321.1441.156
1713480.0311.0311.0391.0471.0551.0631.0711.0791.0871.0961.1041.113
188980.0211.0211.0261.0311.0361.0421.0471.0521.0581.0631.0691.074
195860.0131.0131.0171.0201.0241.0271.0311.0341.0371.0411.0441.048
203810.0091.0091.0111.0131.0151.0181.0201.0221.0241.0261.0291.031
212410.0061.0061.0071.0081.0101.0111.0131.0141.0151.0171.0181.020
221490.0031.0031.0041.0051.0061.0071.0081.0091.0091.0101.0111.012
23720.0021.0021.0021.0021.0031.0031.0041.0041.0051.0051.0051.006
24420.0011.0011.0011.0011.0021.0021.0021.0021.0031.0031.0031.003
25330.0011.0011.0011.0011.0011.0021.0021.0021.0021.0021.0021.003
Above 250011111111111
Table A3. Time-series-based AEPobs,i, normalized contributions (αi), and calculated weights (ωi) for each wind speed bin at the Gyeongnam site. The weighted terms are calculated for β values ranging from 1.0 to 3.5 in increments of 0.25.
Table A3. Time-series-based AEPobs,i, normalized contributions (αi), and calculated weights (ωi) for each wind speed bin at the Gyeongnam site. The weighted terms are calculated for β values ranging from 1.0 to 3.5 in increments of 0.25.
Bin
[m/s]
A E P o b s , i
[MWh]
α i ω i 1.0 ω i 1.25 ω i 1.5 ω i 1.75 ω i 2.0 ω i 2.25 ω i 2.5 ω i 2.75 ω i 3.0 ω i 3.25 ω i 3.5
Below 40011111111111
41740.0041.0041.0051.0061.0071.0081.0091.0101.0111.0121.0131.014
55460.0131.0131.0161.0191.0221.0251.0281.0321.0351.0381.0411.045
611360.0261.0261.0331.0391.0461.0531.0601.0661.0731.0801.0871.094
720020.0461.0461.0581.0701.0821.0941.1061.1191.1311.1441.1571.170
831070.0711.0711.0901.1091.1281.1481.1681.1881.2081.2291.2511.272
944090.1011.1011.1281.1551.1841.2121.2421.2721.3031.3351.3681.401
1056840.1301.1301.1661.2021.2391.2781.3171.3581.4011.4441.4891.536
1165500.1501.1501.1911.2341.2781.3231.3701.4191.4701.5221.5761.632
1259210.1361.1361.1731.2101.2501.2901.3321.3751.4191.4651.5131.562
1344240.1011.1011.1281.1561.1841.2131.2431.2731.3041.3361.3691.403
1433510.0771.0771.0971.1171.1381.1601.1811.2031.2261.2491.2721.296
1523640.0541.0541.0681.0821.0971.1111.1261.1411.1561.1721.1871.203
1615260.0351.0351.0441.0531.0621.0711.0801.0901.0991.1091.1181.128
179660.0221.0221.0281.0331.0391.0451.0511.0561.0621.0681.0741.080
185660.0131.0131.0161.0201.0231.0261.0291.0331.0361.0391.0431.046
193610.0081.0081.0101.0121.0151.0171.0191.0211.0231.0251.0271.029
202060.0051.0051.0061.0071.0081.0091.0111.0121.0131.0141.0151.017
211190.0031.0031.0031.0041.0051.0051.0061.0071.0081.0081.0091.010
22820.0021.0021.0021.0031.0031.0041.0041.0051.0051.0061.0061.007
23560.0011.0011.0021.0021.0021.0031.0031.0031.0041.0041.0041.005
24270.0011.0011.0011.0011.0011.0011.0011.0021.0021.0021.0021.002
25200.0001.0001.0011.0011.0011.0011.0011.0011.0011.0011.0021.002
Above 250011111111111
Table A4. Time-series-based AEPobs,i, normalized contributions (αi), and calculated weights (ωi) for each wind speed bin at the Ulsan site. The weighted terms are calculated for β values ranging from 1.0 to 3.5 in increments of 0.25.
Table A4. Time-series-based AEPobs,i, normalized contributions (αi), and calculated weights (ωi) for each wind speed bin at the Ulsan site. The weighted terms are calculated for β values ranging from 1.0 to 3.5 in increments of 0.25.
Bin
[m/s]
A E P o b s , i
[MWh]
α i ω i 1.0 ω i 1.25 ω i 1.5 ω i 1.75 ω i 2.0 ω i 2.25 ω i 2.5 ω i 2.75 ω i 3.0 ω i 3.25 ω i 3.5
Below 40011111111111
41660.0041.0041.0051.0051.0061.0071.0081.0091.0101.0111.0121.013
55480.0121.0121.0151.0181.0211.0241.0271.0301.0331.0361.0391.043
611250.0251.0251.0311.0371.0431.0501.0561.0631.0691.0761.0821.089
719540.0431.0431.0541.0651.0761.0871.0991.1101.1221.1341.1461.158
830360.0661.0661.0841.1011.1191.1371.1561.1741.1931.2131.2321.252
942080.0921.0921.1161.1411.1671.1931.2191.2461.2741.3021.3311.361
1054040.1181.1181.1501.1821.2161.2501.2861.3221.3601.3981.4381.479
1165990.1441.1441.1841.2241.2661.3101.3541.4011.4491.4991.5501.603
1263090.1381.1381.1751.2141.2541.2951.3381.3811.4271.4741.5221.572
1351500.1131.1131.1431.1741.2051.2381.2711.3061.3411.3771.4151.453
1439560.0871.0871.1091.1331.1561.1811.2051.2311.2561.2831.3101.337
1527430.0601.0601.0761.0911.1071.1241.1401.1571.1741.1911.2081.226
1618370.0401.0401.0501.0611.0711.0821.0931.1031.1141.1251.1371.148
1711020.0241.0241.0301.0361.0431.0491.0551.0611.0681.0741.0801.087
186500.0141.0141.0181.0211.0251.0291.0321.0361.0401.0431.0471.051
193720.0081.0081.0101.0121.0141.0161.0181.0201.0231.0251.0271.029
202560.0061.0061.0071.0081.0101.0111.0131.0141.0151.0171.0181.020
211360.0031.0031.0041.0041.0051.0061.0071.0071.0081.0091.0101.010
22750.0021.0021.0021.0021.0031.0031.0041.0041.0041.0051.0051.006
23480.0011.0011.0011.0021.0021.0021.0021.0031.0031.0031.0031.004
24310.0011.0011.0011.0011.0011.0011.0021.0021.0021.0021.0021.002
25150.0001.0001.0001.0011.0011.0011.0011.0011.0011.0011.0011.001
Above 250011111111111
Table A5. GOF comparison for the Jeonnam site using conventional statistical models and the WMLE method with varying β values (optimal β = 2.5).
Table A5. GOF comparison for the Jeonnam site using conventional statistical models and the WMLE method with varying β values (optimal β = 2.5).
MethodMAERMSERERCER
LSM-2p254.3423−11.70.407
MLE-2p239.2409−11.80.451
MOM-2p237.9407−11.70.451
PWM-2p239.6409−11.70.440
EM-2p237.4407−11.70.467
EPFM-2p238.3407−11.70.473
PDM-2p237.3407−11.70.463
LSM-Exp171.5337−8.70.319
MLE-Exp180.1301−8.30.416
WMLE (β = 1)134.8229−7.070.304
WMLE (β = 1.25)119.5203−6.210.292
WMLE (β = 1.5)108.9179−5.340.280
WMLE (β = 1.75)101.3156−4.470.267
WMLE (β = 2)94.1138−3.600.255
WMLE (β = 2.25)89.2124−2.740.247
WMLE (β = 2.5)88.9117−1.870.238
WMLE (β = 2.75)88.5119−1.000.239
WMLE (β = 3)92.7128−0.140.242
WMLE (β = 3.25)97.81440.720.244
WMLE (β = 3.5)112.31641.580.246
Table A6. GOF comparison for the Jeju site using conventional statistical models and the WMLE method with varying β values (optimal β = 3.5).
Table A6. GOF comparison for the Jeju site using conventional statistical models and the WMLE method with varying β values (optimal β = 3.5).
MethodMAERMSERERCER
LSM-2p329.0466−6.50.656
MLE-2p231.0376−9.90.316
MOM-2p231.0376−9.90.316
PWM-2p231.0377−9.90.316
EM-2p232.0365−9.70.323
EPFM-2p232.0370−9.80.319
PDM-2p231.0375−9.90.316
LSM-Exp331.0489−8.40.617
MLE-Exp209.0327−80.327
WMLE (β = 1)160.6256−6.730.213
WMLE (β = 1.25)145.7230−6.020.200
WMLE (β = 1.5)131.0205−5.310.189
WMLE (β = 1.75)116.4180−4.610.178
WMLE (β = 2)101.7155−3.900.167
WMLE (β = 2.25)87.1131−3.190.157
WMLE (β = 2.5)74.5108−2.490.147
WMLE (β = 2.75)65.787−1.790.138
WMLE (β = 3)57.771−1.090.129
WMLE (β = 3.25)54.162−0.400.126
WMLE (β = 3.5)55.5640.300.122
Table A7. GOF comparison for the Gyeongnam site using conventional statistical models and the WMLE method with varying β values (optimal β = 3.0).
Table A7. GOF comparison for the Gyeongnam site using conventional statistical models and the WMLE method with varying β values (optimal β = 3.0).
MethodMAERMSERERCER
LSM-2p323.0543−13.20.460
MLE-2p274.0459−11.30.394
MOM-2p270.0449−11.10.386
PWM-2p271.0454−11.20.391
EM-2p272.0440−11.10.384
EPFM-2p273.0437−110.383
PDM-2p272.0441−11.10.384
LSM-Exp254.0427−9.30.388
MLE-Exp199.0293−7.70.275
WMLE (β = 1)160.9242−6.910.193
WMLE (β = 1.25)145.0215−6.180.181
WMLE (β = 1.5)129.3188−5.440.170
WMLE (β = 1.75)113.8162−4.700.162
WMLE (β = 2)98.2137−3.960.155
WMLE (β = 2.25)86.9115−3.230.149
WMLE (β = 2.5)77.297−2.500.146
WMLE (β = 2.75)70.386−1.770.149
WMLE (β = 3)65.284−1.040.153
WMLE (β = 3.25)68.793−0.320.163
WMLE (β = 3.5)78.81090.390.174
Table A8. GOF comparison for the Ulsan site using conventional statistical models and the WMLE method with varying β values (optimal β = 3.0).
Table A8. GOF comparison for the Ulsan site using conventional statistical models and the WMLE method with varying β values (optimal β = 3.0).
MethodMAERMSERERCER
LSM-2p326.0534−11.50.503
MLE-2p279.0476−10.70.481
MOM-2p276.0471−10.50.478
PWM-2p279.0476−10.60.477
EM-2p273.0465−10.40.480
EPFM-2p274.0463−10.40.481
PDM-2p273.0465−10.40.480
LSM-Exp281.0449−8.80.439
MLE-Exp221.0362−80.397
WMLE (β = 1)155.5252−6.310.267
WMLE (β = 1.25)140.4224−5.580.253
WMLE (β = 1.5)125.9197−4.850.239
WMLE (β = 1.75)114.8170−4.130.225
WMLE (β = 2)104.1146−3.410.211
WMLE (β = 2.25)76.5109−2.510.155
WMLE (β = 2.5)84.4106−1.980.186
WMLE (β = 2.75)79.796−1.260.175
WMLE (β = 3)75.095−0.550.170
WMLE (β = 3.25)76.71030.160.166
WMLE (β = 3.5)85.21190.860.165
Table A9. Estimated Weibull parameters for each site.
Table A9. Estimated Weibull parameters for each site.
LocationJeonnamJejuGyeongnamUlsan
LSM (2P)k1.9851.7942.0382.067
c8.3329.3918.8489.223
MLE (2P)k2.0641.9792.1292.179
c8.3319.0678.9479.243
MOM (2P)k2.0671.9802.1402.185
c8.3359.0678.9599.251
PWM (2P)k2.0491.9772.1282.169
c8.3349.0678.9599.251
EM (2P)k2.0892.0032.1612.205
c8.3359.0698.9599.251
EPFM (2P)k2.0961.9922.1692.214
c8.3369.0688.9599.251
PDM (2P)k2.0841.9812.1592.205
c8.3359.0678.9599.251
LSM (Exp)k2.1171.7172.2542.210
c8.8928.8929.7129.824
γ E W 0.8901.0900.8400.890
MEL (Exp)k2.2941.9482.4452.409
c8.8378.8319.6729.764
γ E W 0.9031.0960.8510.893
WMLE (Exp)
( β = 1 )
k2.5372.1752.6892.756
c9.5429.70010.32610.638
γ E W 0.7380.8850.7080.708
WMLE (Exp)
( β = 1.25 )
k2.5872.2112.7332.803
c9.6499.80210.41010.726
γ E W 0.7220.8700.6980.696
WMLE (Exp)
( β = 1.50 )
k2.6382.2462.7782.851
c9.7549.90210.49110.812
γ E W 0.7070.8560.6880.685
WMLE (Exp)
( β = 1.75 )
k2.6892.2822.8222.898
c9.8569.99910.57010.895
γ E W 0.6930.8420.6780.675
WMLE (Exp)
( β = 2 )
2.7402.3182.8662.946
9.95510.09310.64510.975
0.6800.8290.6700.666
WMLE (Exp)
( β = 2.25 )
k2.7922.3542.9102.993
c10.05110.18410.71811.051
γ E W 0.6670.8170.6610.656
WMLE (Exp)
( β = 2.50 )
k2.8442.3892.9543.040
c10.14410.27110.78911.125
γ E W 0.6550.8060.6530.648
WMLE (Exp)
( β = 2.75 )
k2.8962.4252.9983.087
c10.23510.35610.85611.196
γ E W 0.6430.7950.6450.640
WMLE (Exp)
( β = 3 )
k2.9492.4613.0423.134
c10.32210.43910.92111.264
γ E W 0.6320.7840.6380.632
WMLE (Exp)
( β = 3.25 )
k3.0022.4963.0863.181
c10.40710.51810.98311.330
γ E W 0.6220.7740.6320.625
WMLE (Exp)
( β = 3.50 )
k3.0542.5323.1293.227
c10.48810.59411.04211.392
γ E W 0.6120.7650.6260.618

References

  1. Rabbi, M.F.; Popp, J.; Máté, D.; Kovács, S. Energy security and energy transition to achieve carbon neutrality. Energies 2022, 15, 8126. [Google Scholar] [CrossRef]
  2. World Wind Energy Association (WWEA). Global Wind Report. 2024. Available online: http://www.wwindea.org (accessed on 15 January 2025).
  3. Pobočíková, I.; Sedliačková, Z.; Michalková, M.; George, F. Monte Carlo comparison of the methods for estimating the Weibull distribution parameters—Wind speed application. Commun. Sci. Lett. Univ. Zilina 2017, 19, 79–86. Available online: https://komunikacie.uniza.sk/artkey/csl-201711-0013_monte-carlo-comparison-of-the-methods-for-estimating-the-weibull-distribution-parameters-wind-speed-applicati.php?back=/magno/csl/2017/mn11.php?secid=1 (accessed on 15 January 2025).
  4. Kaoga, D.K.; Serge, D.Y.; Raidan, D.; Djongyang, N. Performance assessment of two-parameter Weibull distribution methods for wind energy applications in the District of Maroua in Cameroon. Int. J. Sci. Basic Appl. Res. 2014, 17, 39–59. Available online: https://www.gssrr.org/JournalOfBasicAndApplied/article/view/2450 (accessed on 15 January 2025).
  5. Onay, A.E.; Dokur, E.; Kurban, M. Performance comparison of new generation parameter estimation methods for Weibull distribution to compute wind energy density. Elektron. Elektrotech. 2021, 27, 41–48. [Google Scholar] [CrossRef]
  6. Pobočíková, I.; Michalková, M.; Sedliačková, Z.; Jurášová, D. Modelling the wind speed using exponentiated Weibull distribution: Case study of Poprad-Tatry, Slovakia. Appl. Sci. 2023, 13, 4031. [Google Scholar] [CrossRef]
  7. Abbas, G.; Ali, A.; Rashid, F.; Ashraf, N.; Mushtaq, Z.; Zubair, M. An optimal approach for assessing Weibull parameters and wind power potential for six coastal cities in Pakistan. IEEE Access 2025, 13, 2503–2518. [Google Scholar] [CrossRef]
  8. Carvalho, R.M.F. Time Series vs. Statistical Approaches in Estimating Wind Turbines Energy Yield. Master’s Thesis, University of Porto, Porto, Portugal, 2023. Available online: https://hdl.handle.net/10216/152093 (accessed on 16 September 2025).
  9. Bak, C.; Zahle, F.; Bitsche, R.; Kim, T.; Yde, A.; Henriksen, L.C.; Hansen, M.H.; Blasques, J.P.A.A.; Gaunaa, M.; Natarajan, A. The DTU 10-MW Reference Wind Turbine. In Proceedings of the Danish Wind Power Research 2013, Fredericia, Denmark, 27–28 May 2013; Technical University of Denmark: Roskilde, Denmark, 2013. Available online: https://orbit.dtu.dk/en/publications/bc5f61cd-4c51-442f-89eb-02df89ab0aa4 (accessed on 15 January 2025).
  10. Lemmer, F.; Amann, F.; Raach, S.; Schlipf, D.; Faerron, G.R. Definition of the SWE-TripleSpar Floating Platform for the DTU 10 MW Reference Wind Turbine. Stuttgart Wind Energy (SWE); University of Stuttgart: Stuttgart, Germany, 2016. Available online: https://nwtc.nrel.gov/OpenFAST (accessed on 15 January 2025).
  11. Konagaya, M.; Ohsawa, T.; Itoshima, Y.; Kambayashi, M.; Leonard, E.; Tromeur, E.; Misaki, T.; Shintaku, E.; Araki, R.; Hamada, K. Estimation of Wind Conditions in the Offshore Direction Using Multiple Numerical Models and In Situ Observations. Energies 2025, 18, 3000. [Google Scholar] [CrossRef]
  12. Yang, P.; Zou, S.; Chen, N.; Xu, Z. Offshore wind resource assessment based on WRF model. In Proceedings of the 2013 IEEE PES Asia-Pacific Power and Energy Engineering Conference(APPEEC), Hong Kong, China, 8–11 December 2013; pp. 1–7. [Google Scholar] [CrossRef]
  13. Murthy, D.N.P.; Xie, M.; Jiang, R. Weibull Models; John Wiley & Sons: Hoboken, NJ, USA, 2004; ISBN 978-0-471-36092-9. [Google Scholar]
  14. Mudholkar, G.S.; Srivastava, D.K. Exponentiated Weibull family for analyzing bathtub failure-rate data. IEEE Trans. Reliab. 1993, 42, 299–302. [Google Scholar] [CrossRef]
  15. Carta, J.A.; Ramírez, P.; Velázquez, S. A review of wind speed probability distributions used in wind energy analysis: Case studies in the Canary Islands. Renew. Sustain. Energy Rev. 2009, 13, 933–955. [Google Scholar] [CrossRef]
  16. Fyrippis, I.; Axaopoulos, P.J.; Panayiotou, G. Wind energy potential assessment in Naxos Island, Greece. Appl. Energy 2010, 87, 577–586. [Google Scholar] [CrossRef]
  17. Rinne, H. The Weibull Distribution: A Handbook; CRC Press: Boca Raton, FL, USA, 2008. [Google Scholar]
  18. Greenwood, J.A.; Landwehr, J.M.; Matalas, N.C.; Wallis, J.R. Probability weighted moments: Definition and relation to parameters of several distributions expressable in inverse form. Water Resour. Res. 1979, 15, 1049–1054. [Google Scholar] [CrossRef]
  19. Rocha, P.A.C.; Sousa, R.C.; Andrade, C.F.; da Silva, V.M.E. Comparison of seven numerical methods for determining Weibull parameters for wind energy generation in the northeast region of Brazil. Appl. Energy 2012, 89, 395–400. [Google Scholar] [CrossRef]
  20. Mohammadi, K.; Mostafaeipour, A. Using different methods for comprehensive study of wind turbine utilization in Zarrineh, Iran. Energy Convers. Manag. 2013, 65, 463–470. [Google Scholar] [CrossRef]
  21. Carrillo, C.; Cidrás, J.; Díaz-Dorado, E.; Obando-Montaño, A.F. An Approach to Determine the Weibull Parameters for Wind Energy Analysis: The Case of Galicia (Spain). Energies 2014, 7, 2676–2700. [Google Scholar] [CrossRef]
  22. Pobočíková, I.; Sedliačková, Z. Comparison of four methods for estimating the Weibull distribution parameters. Appl. Math. Sci. 2014, 8, 4137–4149. [Google Scholar] [CrossRef]
  23. Draxl, C.; Hodge, B.-M.; Clifton, A. Overview and Meteorological Validation of the Wind Integration National Dataset Toolkit; Technical Report for National Renewable Energy Laboratory (NREL): Golden, CO, USA, 2015. Available online: https://www.nrel.gov/docs/fy15osti/61740.pdf (accessed on 15 January 2025).
Figure 1. Locations of the four candidate offshore wind farm sites in South Korea.
Figure 1. Locations of the four candidate offshore wind farm sites in South Korea.
Energies 18 05265 g001
Figure 2. Flowchart illustrating the implementation procedure of the proposed WMLE approach for AEP estimation.
Figure 2. Flowchart illustrating the implementation procedure of the proposed WMLE approach for AEP estimation.
Energies 18 05265 g002
Figure 3. Comparative evaluation of conventional statistical models for annual energy production (AEP) prediction using four goodness-of-fit (GOF) metrics across four offshore sites: (a) mean absolute error (MAE); (b) relative error rate (RER); (c) root mean square error (RMSE); and (d) contribution error rate (CER).
Figure 3. Comparative evaluation of conventional statistical models for annual energy production (AEP) prediction using four goodness-of-fit (GOF) metrics across four offshore sites: (a) mean absolute error (MAE); (b) relative error rate (RER); (c) root mean square error (RMSE); and (d) contribution error rate (CER).
Energies 18 05265 g003
Figure 4. Sensitivity analysis of the Weighted Maximum Likelihood Estimation (WMLE) method to different weight exponents (β) across four offshore sites based on four GOF metrics: (a) MAE; (b) RER; (c) RMSE; (d) and CER.
Figure 4. Sensitivity analysis of the Weighted Maximum Likelihood Estimation (WMLE) method to different weight exponents (β) across four offshore sites based on four GOF metrics: (a) MAE; (b) RER; (c) RMSE; (d) and CER.
Energies 18 05265 g004
Figure 5. Comparison of Weibull–probability density functions (PDFs) for different parameter estimation methods at each site: (a) Jeonnam; (b) Jeju; (c) Gyeongnam; and (d) Ulsan. Wind data for all sites were obtained from WRF reanalysis datasets.
Figure 5. Comparison of Weibull–probability density functions (PDFs) for different parameter estimation methods at each site: (a) Jeonnam; (b) Jeju; (c) Gyeongnam; and (d) Ulsan. Wind data for all sites were obtained from WRF reanalysis datasets.
Energies 18 05265 g005
Figure 6. Comparison of AEP for different parameter estimation methods at each site: (a) Jennam; (b) Jeju; (c) Gyeongnam; and (d) Ulsan. Wind data for all sites were obtained from WRF reanalysis datasets. WMLE shows the closest alignment with AEP results based on time-series method, particularly in the critical wind speed range of 7–18 m/s.
Figure 6. Comparison of AEP for different parameter estimation methods at each site: (a) Jennam; (b) Jeju; (c) Gyeongnam; and (d) Ulsan. Wind data for all sites were obtained from WRF reanalysis datasets. WMLE shows the closest alignment with AEP results based on time-series method, particularly in the critical wind speed range of 7–18 m/s.
Energies 18 05265 g006
Table 1. Specifications of the 10 MW reference wind turbine model developed by the Technical University of Denmark (DTU).
Table 1. Specifications of the 10 MW reference wind turbine model developed by the Technical University of Denmark (DTU).
ParameterUnitDescription
RatingMW10
Rotor Orientation, Configuration-Upwind, 3 blades
Control-Variable Speed, Collective Pitch
Rotor Diameter, Hub heightm178.3, 119
Cut-in, Rated, Cut-out Wind Speedsm/s4, 11.4, 25
Table 2. Overview of reanalysis data for the analysis sites.
Table 2. Overview of reanalysis data for the analysis sites.
LocationCoordinatesPeriodVariables
Jeonnam35.032° N
124.207° E
1 January 1994–31 August 2019Wind Speed,
Wind Direction,
Turbulence Intensity
(at 75 m, 100 m, and 150 m above sea level)
Jeju33.921° N
126.48° E
1 January 1994–2 August 2019
Gyeongnam34.384° N
128.23° E
1 January 1994–31 August 2019
Ulsan35.356° N
129.85° E
1 January 1994–31 August 2019
Table 3. Wind shear exponent for each site.
Table 3. Wind shear exponent for each site.
Location Shear   Exponent   ( α )
Jeonnam0.0989
Jeju0.0636
Gyeongnam0.0690
Ulsan0.0667
Table 4. Optimal β values for each site based on GOF indicators.
Table 4. Optimal β values for each site based on GOF indicators.
SiteMAERMSERERCEROptimal β
Jeonnam2.752.503.002.502.50
Jeju3.253.253.503.503.50
Gyeongnam3.003.003.252.503.00
Ulsan3.003.003.253.503.00
Table 5. Classification of the representative parameter estimation method. LSM, Least Squares Method; MLE, Maximum Likelihood Estimation.
Table 5. Classification of the representative parameter estimation method. LSM, Least Squares Method; MLE, Maximum Likelihood Estimation.
Performance Representative MethodDescription
BadLSM (Two)Fundamental method for initializing parameter estimates
FairMLE (Two)Most widely used conventional method in wind resource assessments
GoodMLE (Exponentiated)Improved accuracy demonstrated in recent studies
ExcellentWMLE
(Exponentiated, β = O p t i m a l )
Proposed method incorporating AEP contribution as a weighting function
Table 6. GOF results of AEP estimates from representative methods compared to time-series-based AEP values. The table summarizes four quantitative metrics: MAE, RMSE, RER, CER.
Table 6. GOF results of AEP estimates from representative methods compared to time-series-based AEP values. The table summarizes four quantitative metrics: MAE, RMSE, RER, CER.
SiteMethodMAE (MWh)RMSE (MWh)RER (%)CER (%)
JeonnamLSM-2p254423−11.70.41
MLE-2p239409−11.80.45
MEL-Exp180301−8.30.42
WMLE89117−1.90.24
JejuLSM-2p329466−6.50.65
MLE-2p231376−9.90.32
MEL–Exp209327−80.33
WMLE55640.30.12
GyeongnamLSM-2p323543−13.20.46
MLE-2p274459−11.30.39
MEL–Exp199293−7.70.28
WMLE6584−1.00.15
UlsanLSM-2p326534−11.50.50
MLE-2p279476−10.70.48
MEL–Exp221362−80.40
WMLE7595−0.550.17
Disclaimer/Publisher’s Note: The statements, opinions and data contained in all publications are solely those of the individual author(s) and contributor(s) and not of MDPI and/or the editor(s). MDPI and/or the editor(s) disclaim responsibility for any injury to people or property resulting from any ideas, methods, instructions or products referred to in the content.

Share and Cite

MDPI and ACS Style

Han, W.; Lee, K.; Kim, J.; Lee, S. Development of a Novel Weighted Maximum Likelihood-Based Parameter Estimation Technique for Improved Annual Energy Production Estimation of Wind Turbines. Energies 2025, 18, 5265. https://doi.org/10.3390/en18195265

AMA Style

Han W, Lee K, Kim J, Lee S. Development of a Novel Weighted Maximum Likelihood-Based Parameter Estimation Technique for Improved Annual Energy Production Estimation of Wind Turbines. Energies. 2025; 18(19):5265. https://doi.org/10.3390/en18195265

Chicago/Turabian Style

Han, Woobeom, Kanghee Lee, Jonghwa Kim, and Seungjae Lee. 2025. "Development of a Novel Weighted Maximum Likelihood-Based Parameter Estimation Technique for Improved Annual Energy Production Estimation of Wind Turbines" Energies 18, no. 19: 5265. https://doi.org/10.3390/en18195265

APA Style

Han, W., Lee, K., Kim, J., & Lee, S. (2025). Development of a Novel Weighted Maximum Likelihood-Based Parameter Estimation Technique for Improved Annual Energy Production Estimation of Wind Turbines. Energies, 18(19), 5265. https://doi.org/10.3390/en18195265

Note that from the first issue of 2016, this journal uses article numbers instead of page numbers. See further details here.

Article Metrics

Back to TopTop