A Classification Algorithm for Revenue Range Estimation in Ancillary Service Markets
Abstract
1. Introduction
- (i)
- The development of an algorithm to accurately estimate the revenue range of energy exchange proposals in the ASM, based on information associated with the temporal indication, to the location of the supply point and on actual network contingencies;
- (ii)
- The creation of a model that requires as inputs data available with a timeliness consistent with temporal limitations of the ASM.
2. Italian Ancillary Service Market Regulation
3. Methodology
3.1. Algorithm
3.2. Input Data
- the availability,
- the ease with which they can be retrieved and the timeliness compared to the timings of the market sessions,
- the relationship with the power dispatch.
4. Case Study
4.1. Algorithm
4.2. Input Data and Pre-Processing
4.2.1. Input Data
- i.
- the hour referred to the temporal indication, identified with the variable . Actually, since national reports [36,37] show peculiar trends for specific hours’ slots, it is reasonable to group the hours of the day within these slots. Precisely, in [36,37] it can be noticed that in the slot 07 a.m.–23 p.m. the average load request is higher than the demand related to other hours of the day. Consequently, following the procedure proposed in [35], in this work, two time slots are considered: the first one is referred to 07 a.m.–23 p.m. ( = 1), and the second is referred to the remaining hours of the day ( = 2);
- ii.
- the month referred to the temporal indication, indicated with the variable
- iii.
- the weekday number referred to the temporal indication, namely ; e.g., Monday is represented by the value = 0 and Sunday by the value = 6;
- iv.
- a binary variable distinguishing between weekdays or holidays, identified by = 0 for weekdays and = 1 for holidays, respectively. This distinctions is performed to separate days in which the load request may be extremely different, as suggested by [31];
- v.
- the rated power of the PU proposing the bid (offer), namely ;
- vi.
- the ratio between the proposed quantity and the rated power of the PU, referred using the variable ;
- vii.
- the DAM zonal price, referred to as ;
- viii.
- the zonal total load request, referred to as ;
- ix.
- the reference number associated with the GSP, namely ;
- x.
- the total production in the MZ from RES, referred to as , accounting for photovoltaic (PV), wind, geothermal and biomass, and hydroelectric power production;
- xi.
- the variable representing the proposed quantity, i.e., [MW];
- xii.
- the variable representing the proposed price, i.e., [€/MWh].
4.2.2. Balancing Procedure
- The number of awarded bids (offers) in the dataset is counted, i.e., samples for which ;
- Being the total number of awarded bids (offers), an equal number = of bids (offers) is randomly selected among the rejected ones, i.e., bids (offers) for which ;
- The value =1 is always assigned to samples for which ;
- Among the samples for which , the same number of samples for each class is sought, i.e., for the target split = 3 the split is performed so that the samples for which = 2 is the same as the samples for which = 3. Similarly, for the target split = 6 the split is performed so that the number of samples in each of the classes is the same.
4.3. Evaluation Metrics
- representing the percentage of the samples in the test set for which the model correctly estimates the related class of the awarded bid (offer), i.e., ;
- representing the percentage of the samples in the test set for which the model correctly forecasts that the bid (offer) is awarded but the related class is wrongly labelled, i.e., ;
- representing the percentage of the samples in the test set for which the model correctly forecasts that the bid (offer) is rejected, i.e., .
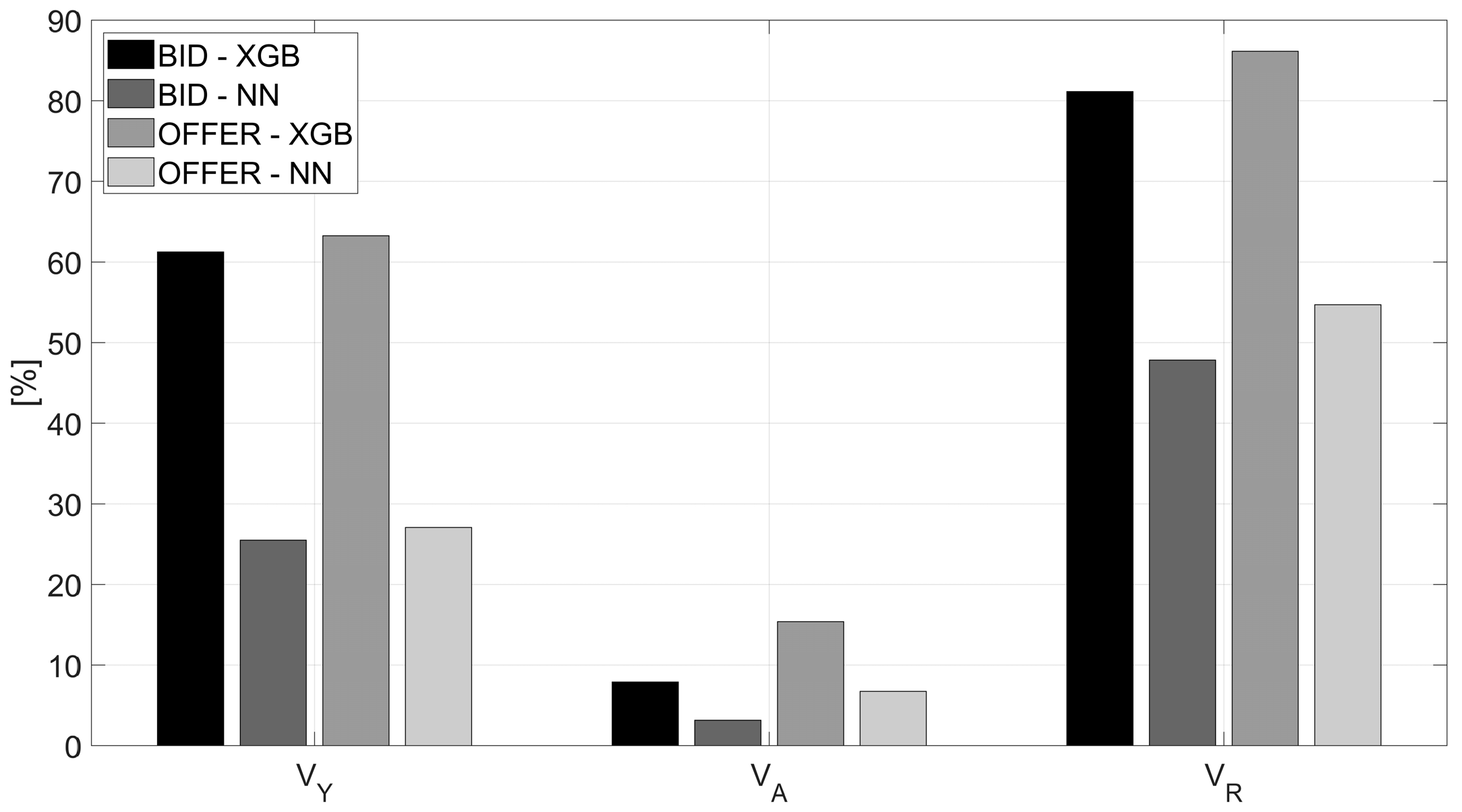
5. Results
6. Conclusions and Practical Implications of the Proposed Methodology
6.1. Conclusions
6.2. Practical Implications
Author Contributions
Funding
Data Availability Statement
Conflicts of Interest
References
- Zhou, Y.; Wu, J.; Song, G.; Long, C. Framework design and optimal bidding strategy for ancillary service provision from a peer-to-peer energy trading community. Appl. Energy 2020, 278, 115671. [Google Scholar] [CrossRef]
- Rosini, A.; Minetti, M.; Denegri, G.B.; Invernizzi, M. Reactive power sharing analysis in islanded AC microgrids. In Proceedings of the 2019 IEEE International Conference on Environment and Electrical Engineering and 2019 IEEE Industrial and Commercial Power Systems Europe (EEEIC/I&CPS Europe), Genova, Italy, 11–14 June 2019; IEEE: New York, NY, USA; pp. 1–6. [Google Scholar] [CrossRef]
- Bonfiglio, A.; Bruno, S.; Martino, M.; Minetti, M.; Procopio, R.; Velini, A. Renewable energy communities virtual islanding: A novel service for smart distribution networks. In Proceedings of the 2024 IEEE/IAS 60th Industrial and Commercial Power Systems Technical Conference (I&CPS), Las Vegas, NV, USA, 19–23 May 2024; IEEE: New York, NY, USA; pp. 1–8. [Google Scholar] [CrossRef]
- Mahmoud, H.A. Adaptive robust optimization framework for market-based wind power investment. Sustain. Energy Grids Netw. 2024, 40, 101532. [Google Scholar] [CrossRef]
- Fresia, M.; Robbiano, T.; Caliano, M.; Delfino, F.; Bracco, S. Optimal Operation of an Industrial Microgrid within a Renewable Energy Community: A Case Study of a Greentech Company. Energies 2024, 17, 3567. [Google Scholar] [CrossRef]
- Liu, S.; Islam, H.; Ghosh, T.; Ali, M.S.e.; Afrin, K.H. Exploring the nexus between economic growth and tourism demand: The role of sustainable development goals. Humanit. Soc. Sci. Commun. 2025, 12, 441. [Google Scholar] [CrossRef]
- Rosini, A.; Bonfiglio, A.; Mestriner, D.; Minetti, M.; Bracco, S. A Simplified Study for Reactive Power Management in Autonomous Microgrids. WSEAS Trans. Power Syst. 2019, 14, 107–112. [Google Scholar]
- Flammini, M.G.; Prettico, G.; Mazza, A.; Chicco, G. Reducing fossil fuel-based generation: Impact on wholesale electricity market prices in the North-Italy bidding zone. Electr. Power Syst. Res. 2021, 194, 107095. [Google Scholar] [CrossRef]
- García, S.; Bracco, S.; Parejo, A.; Fresia, M.; Guerrero, J.I.; León, C. Cost-Effective Operation of Microgrids: A MILP-Based Energy Management System for Active and Reactive Power Control. Int. J. Electr. Power Energy Syst. 2025, 165, 110458. [Google Scholar] [CrossRef]
- Minetti, M.; Denegri, G.B.; Rosini, A. New approaches to reactive power sharing and voltage control in islanded AC microgrids. In Proceedings of the 2020 55th International Universities Power Engineering Conference (UPEC), Torino, Italy, 1–4 September 2020; IEEE: New York, NY, USA; pp. 1–6. [Google Scholar] [CrossRef]
- Zhang, X.; Sibt e Ali, M.; Niu, H.; Iqbal, A.; Wenbo, G. Assessing the impact of energy efficiency and the sharing economy on sustainable economic development in China: A QARDL analysis from 1991 to 2020. Energy Strategy Rev. 2025, 59, 101729. [Google Scholar] [CrossRef]
- Zhi-qiang, J.; Ximei, K.; Javaid, M.Q.; Sibt-e-Ali, M.; Chishti, M.Z.; Ali, A. Revealing the effects of industrial structure upgrading and environmental technologies on environmental quality: Evidence from Asia. Environ. Dev. Sustain. 2024, 1–35. [Google Scholar] [CrossRef]
- Sibt-e-Ali, M.; Xia, X.; Yi, W.; Vasa, L. Quantifying the role of digitalization, financial technology, governance and SDG13 in achieving environment conservation in the perspective of emerging economies. Environ. Dev. Sustain. 2025, 1–23. [Google Scholar] [CrossRef]
- Wang, S.; Rahman, S.U.; Zulfiqar, M.; Ali, S.; Khalid, S.; Sibt e Ali, M. Sustainable pathways: Decoding the interplay of renewable energy, economic policy uncertainty, infrastructure, and innovation on transport CO2 in QUAD economies. Renew. Energy 2025, 242, 122426. [Google Scholar] [CrossRef]
- Minetti, M.; Fresia, M.; Mestriner, D. An MPC approach for a PV-BESS islanded system primary regulation. In Proceedings of the 2021 IEEE International Conference on Environment and Electrical Engineering and 2021 IEEE Industrial and Commercial Power Systems Europe (EEEIC/I&CPS Europe), Bari, Italy, 7–10 September 2021; IEEE: New York, NY, USA; pp. 1–6. [Google Scholar] [CrossRef]
- Maneesha, A.; Swarup, K.S. Stochastic optimal bidding strategy for energy and ancillary services in microgrid. IEEE Trans. Ind. Appl. 2021, 57, 5698–5705. [Google Scholar] [CrossRef]
- Minetti, M.; Fresia, M. A Review of Primary and Secondary Control for Islanded No-Inertia Microgrids. In Proceedings of the 2021 IEEE International Conference on Environment and Electrical Engineering and 2021 IEEE Industrial and Commercial Power Systems Europe (EEEIC/I&CPS Europe), Bari, Italy, 7–10 September 2021; IEEE: New York, NY, USA; pp. 1–7. [Google Scholar] [CrossRef]
- Casella, V.; La Fata, A.; Suzzi, S.; Barbero, G.; Barilli, R. A Tool to Optimize the Participation of BESS to the UK Ancillary Services Market. IFAC-Pap. 2024, 58, 106–111. [Google Scholar] [CrossRef]
- Bonfiglio, A.; Fresia, M.; Minetti, M.; Procopio, R.; Rosini, A.; Lisciandrello, G.; Orrù, L. Inertia Requirements Assessment for the Italian Transmission Network in the Future Network Scenario. In Proceedings of the 2023 IEEE Belgrade PowerTech, Belgrade, Serbia, 25–29 June 2023; IEEE: New York, NY, USA; pp. 1–5. [Google Scholar] [CrossRef]
- Minetti, M.; Bonfiglio, A.; Benfatto, I.; Yulong, Y. Strategies for Real-Time Simulation of Central Solenoid ITER Power Supply Digital Twin. Energies 2023, 16, 5107. [Google Scholar] [CrossRef]
- Trimarchi, S.; Casamatta, F.; Grimaccia, F.; Lorenzo, M.; Niccolai, A. Strategy Optimization by Means of Evolutionary Algorithms With Multiple Closing Criteria for Energy Trading. IEEE Open J. Ind. Appl. 2024, 5, 469–478. [Google Scholar] [CrossRef]
- Fusco, A.; Gioffrè, D.; Castelli, A.F.; Bovo, C.; Martelli, E. A multi-stage stochastic programming model for the unit commitment of conventional and virtual power plants bidding in the day-ahead and ancillary services markets. Appl. Energy 2023, 336, 120739. [Google Scholar] [CrossRef]
- Fresia, M.; Bordo, L.; Delfino, F.; Bracco, S. Optimal day-ahead active and reactive power management for microgrids with high penetration of renewables. Energy Convers. Manag. X 2024, 23, 100598. [Google Scholar] [CrossRef]
- Ghasemi, A.; Shayeghi, H.; Moradzadeh, M.; Nooshyar, M. A novel hybrid algorithm for electricity price and load forecasting in smart grids with demand-side management. Appl. energy 2016, 177, 40–59. [Google Scholar] [CrossRef]
- Conejo, A.J.; Plazas, M.A.; Espinola, R.; Molina, A.B. Day-ahead electricity price forecasting using the wavelet transform and ARIMA models. IEEE Trans. Power Syst. 2005, 20, 1035–1042. [Google Scholar] [CrossRef]
- Doulai, P.; Cahill, W. Short-term price forecasting in electric energy market. In Proceedings of the International Power Engineering Conference, Singapore, 17–19 May 2001; pp. 17–19. [Google Scholar]
- Contreras, J.; Espinola, R.; Nogales, F.J.; Conejo, A.J. ARIMA models to predict next-day electricity prices. IEEE Trans. Power Syst. 2003, 18, 1014–1020. [Google Scholar] [CrossRef]
- Nogales, F.J.; Conejo, A.J. Electricity price forecasting through transfer function models. J. Oper. Res. Soc. 2006, 57, 350–356. [Google Scholar] [CrossRef]
- Garcia, R.C.; Contreras, J.; Van Akkeren, M.; Garcia, J.B.C. A GARCH forecasting model to predict day-ahead electricity prices. IEEE Trans. Power Syst. 2005, 20, 867–874. [Google Scholar] [CrossRef]
- Li, Y.; Yu, N.; Wang, W. Machine learning-driven virtual bidding with electricity market efficiency analysis. IEEE Trans. Power Syst. 2021, 37, 354–364. [Google Scholar] [CrossRef]
- Wang, A.; Ramsay, B. A neural network based estimator for electricity spot-pricing with particular reference to weekend and public holidays. Neurocomputing 1998, 23, 47–57. [Google Scholar] [CrossRef]
- Zhang, L.; Luh, P.B.; Kasiviswanathan, K. Energy clearing price prediction and confidence interval estimation with cascaded neural networks. IEEE Trans. Power Syst. 2003, 18, 99–105. [Google Scholar] [CrossRef]
- Tang, Q.; Guo, H.; Zheng, K.; Chen, Q. Forecasting individual bids in real electricity markets through machine learning framework. Appl. Energy 2024, 363, 123053. [Google Scholar] [CrossRef]
- Wei, Q.; Chen, S.; Huang, W.; Ma, G.; Tao, C. Forecasting method of clearing price in spot market by random forest regression. Proc. CSEE 2021, 41, 1360–1367. [Google Scholar]
- Xie, H.; Chen, S.; Lai, C.; Ma, G.; Huang, W. Forecasting the clearing price in the day-ahead spot market using eXtreme Gradient Boosting. Electr. Eng. 2022, 104, 1607–1621. [Google Scholar] [CrossRef]
- Autorità per l’Energia Elettrica e il Gas. (8 November 2004). Delibera 196/04: Avvio del Procedimento per la Definizione delle Fasce Orarie Definite dal Testo Integrato (TI) per il 2006 ed il 2007. Available online: https://www.arera.it/atti-e-provvedimenti/dettaglio/04/196-04 (accessed on 1 September 2025).
- Agenzia Nazionale per le nuove Tecnologie, L’energia e lo Sviluppo Economico Sostenibile. Analisi Trimestrale del Sistema Energetico Italiano 2023—Parte I-II-III-IV/2024. Available online: https://www.pubblicazioni.enea.it/download.html?task=download.send&id=680:analisi-trimestrale-del-sistema-energetico-italiano-anno-2023-n-1-2024&catid=4 (accessed on 1 September 2025).
- Agrawal, R.K.; Muchahary, F.; Tripathi, M.M. Ensemble of relevance vector machines and boosted trees for electricity price forecasting. Appl. Energy 2019, 250, 540–548. [Google Scholar] [CrossRef]
- Murphy, K.P. Probabilistic Machine Learning: An Introduction; MIT Press: Cambridge, MA, USA, 2022. [Google Scholar]
- Casella, V.; La Fata, A.; Suzzi, S.; Barbero, G.; Barilli, R. The United Kingdom electricity market mechanism: A tool for a battery energy storage system optimal dispatching. Renew. Energy 2024, 231, 120957. [Google Scholar] [CrossRef]
- La Fata, A.; Brignone, M.; Procopio, R.; Bracco, S.; Delfino, F.; Barilli, R.; Ravasi, M.; Zanellini, F. An efficient Energy Management System for long term planning and real time scheduling of flexible polygeneration systems. Renew. Energy 2022, 200, 1180–1201. [Google Scholar] [CrossRef]
- La Fata, A.; Brignone, M.; Procopio, R.; Bracco, S.; Delfino, F.; Barbero, G.; Barilli, R. An energy management system to schedule the optimal participation to electricity markets and a statistical analysis of the bidding strategies over long time horizons. Renew. Energy 2024, 228, 120617. [Google Scholar] [CrossRef]
- EUCommission. (23 November 2017) COMMISSIONREGULATION(EU) 2017/2195 of 23 November 2017 Establishing a Guideline on Electricity Balancing. Off. J. Eur. Union. 2017. Available online: http://data.europa.eu/eli/reg/2017/2195/oj (accessed on 1 September 2025).
- TERNA Codice di Rete-Capitolo 4—Regole per il Dispacciamento. Codice di Trasmissione, Dispacciamento, Sviluppo e Sicurezza della rete. ex art. 1, comma 4, DPCM 11 maggio 2004. Available online: https://download.terna.it/terna/0000/0105/05.pdf (accessed on 1 September 2025).
- Sharma, A.; Tiwari, R. Anomaly detection in smart grid using optimized extreme gradient boosting with SCADA system. Electr. Power Syst. Res. 2024, 235, 110876. [Google Scholar] [CrossRef]
- Mathew, A.; Chikte, R.; Sadanandan, S.K.; Abdelaziz, S.; Ijaz, S.; Ghaoud, T. Medium-term feeder load forecasting and boosting peak accuracy prediction using the PWP-XGBoost model. Electr. Power Syst. Res. 2024, 237, 111051. [Google Scholar] [CrossRef]
- Asvapoositkul, S.; Preece, R. Decision tree-based prediction model for small signal stability and generation-rescheduling preventive control. Electr. Power Syst. Res. 2021, 196, 107200. [Google Scholar] [CrossRef]
- Wang, Y.; Sun, S.; Chen, X.; Zeng, X.; Kong, Y.; Chen, J.; Guo, Y.; Wang, T. Short-term load forecasting of industrial customers based on SVMD and XGBoost. Int. J. Electr. Power Energy Syst. 2021, 129, 106830. [Google Scholar] [CrossRef]
- Alyoubi, S.A.; Milanovic, J. Dynamic interactions of active distribution network and transmission network at multiple grid supply points. In Proceedings of the 14th Mediterranean Conference on Power Generation Transmission, Distribution and Energy Conversion (MEDPOWER 2024), Athens, Greece, 3–6 November 2024; IET: Stevenage, UK; Volume 2024, pp. 480–485. [Google Scholar]
- Ilea, V.; Bovo, C. European day-ahead electricity market coupling: Discussion, modeling, and case study. Electr. Power Syst. Res. 2018, 155, 80–92. [Google Scholar] [CrossRef]
- Dehghani, N.L.; Shafieezadeh, A. Multi-stage resilience management of smart power distribution systems: A stochastic robust optimization model. IEEE Trans. Smart Grid 2022, 13, 3452–3467. [Google Scholar] [CrossRef]
- GME MSD Quantity. Available online: https://www.mercatoelettrico.org/it-it/Home/Esiti/Elettricita/MSD/ExAnte/Esiti/Quantit%C3%A0#IntestazioneGrafico (accessed on 1 September 2025).
- GME MSD Price. Available online: https://www.mercatoelettrico.org/it-it/Home/Esiti/Elettricita/MSD/ExAnte/Esiti/Prezzi#IntestazioneGrafico (accessed on 1 September 2025).
- Aymaz, S. Unlocking the power of optimized data balancing ratios: A new frontier in tackling imbalanced datasets. J. Supercomput. 2025, 81, 443. [Google Scholar] [CrossRef]
- Paul, M.; Cagatay, C.; Bedir, T.; Arjen, L.; Marco, B. The effects of data balancing approaches: A case study. Appl. Soft Comput. 2023, 132, 109853. [Google Scholar]







| • | • | • | • | |
| • | • | • | • | |
| • | • | • | • | |
| • | • | • | • | |
| • | • | • | • | |
| • | • | • | • | |
| • | • | • | • | |
| • | • | • | • | |
| • | • | • | • | |
| • | • | |||
| • | • | |||
| • | • | |||
| • | • | |||
| • | • | |||
| • | • | • | ||
| • | • | • | • | |
| • | • | • | • | |
| 3 | 3 | 3 | 6 |
| BID | OFFER | |||
|---|---|---|---|---|
| (0–6032]€ | (0–3145]€ | (0–11,310]€ | (0–4700]€ | |
| (6032–103,985]€ | (3145–5016]€ | (11,310–228,380]€ | (4700–9399]€ | |
| (5016–7281]€ | (9399–13,455]€ | |||
| (7281–10,944]€ | (13,455–20,615]€ | |||
| (10,944–103,985]€ | (20,615–228,380]€ | |||
| samples | ~38,200 | ~15,300 | ~13,800 | ~5500 |
| 52.30 | 47.91 | 76.12 | 74.97 | |
| 0.06 | 12.00 | 5.14 | 10.57 | |
| 89.15 | 82.67 | 88.12 | 87.79 |
| 42.46 | 35.72 | 68.20 | 61.53 | |
| 0.03 | 8.87 | 4.50 | 7.73 | |
| 75.83 | 64.91 | 78.34 | 74.65 |
Disclaimer/Publisher’s Note: The statements, opinions and data contained in all publications are solely those of the individual author(s) and contributor(s) and not of MDPI and/or the editor(s). MDPI and/or the editor(s) disclaim responsibility for any injury to people or property resulting from any ideas, methods, instructions or products referred to in the content. |
© 2025 by the authors. Licensee MDPI, Basel, Switzerland. This article is an open access article distributed under the terms and conditions of the Creative Commons Attribution (CC BY) license (https://creativecommons.org/licenses/by/4.0/).
Share and Cite
La Fata, A.; Caprara, G.; Barilli, R.; Procopio, R. A Classification Algorithm for Revenue Range Estimation in Ancillary Service Markets. Energies 2025, 18, 5263. https://doi.org/10.3390/en18195263
La Fata A, Caprara G, Barilli R, Procopio R. A Classification Algorithm for Revenue Range Estimation in Ancillary Service Markets. Energies. 2025; 18(19):5263. https://doi.org/10.3390/en18195263
Chicago/Turabian StyleLa Fata, Alice, Giulio Caprara, Riccardo Barilli, and Renato Procopio. 2025. "A Classification Algorithm for Revenue Range Estimation in Ancillary Service Markets" Energies 18, no. 19: 5263. https://doi.org/10.3390/en18195263
APA StyleLa Fata, A., Caprara, G., Barilli, R., & Procopio, R. (2025). A Classification Algorithm for Revenue Range Estimation in Ancillary Service Markets. Energies, 18(19), 5263. https://doi.org/10.3390/en18195263

