Next Article in Journal
A Review of Linear Motor Electromagnetic Energy Regenerative Suspension and Key Technologies
Previous Article in Journal
Experimental Study of the Efficiency of Hydrokinetic Turbines Under Real River Conditions
Previous Article in Special Issue
Feasibility of Nutrient Removal and Recovery from Abattoir Wastewater Using Microalgae
 
 
Font Type:
Arial Georgia Verdana
Font Size:
Aa Aa Aa
Line Spacing:
Column Width:
Background:
Article

Hydrogen Production Through Methane Decomposition over Waste-Derived Carbon-Based Catalysts

by
Seyed Mohamad Rasool Mirkarimi
1,
Andrea Salimbeni
2,
Samir Bensaid
1,
Viviana Negro
3 and
David Chiaramonti
2,3,*
1
Department of Applied Science and Technology, Politecnico di Torino, 10129 Turin, Italy
2
Renewable Energy Consortium for Research and Demonstration (RE-CORD), 50038 Scarperia e San Piero, Italy
3
Department of Energy, Politecnico di Torino, 10129 Turin, Italy
*
Author to whom correspondence should be addressed.
Energies 2025, 18(19), 5162; https://doi.org/10.3390/en18195162
Submission received: 5 September 2025 / Revised: 20 September 2025 / Accepted: 22 September 2025 / Published: 28 September 2025
(This article belongs to the Collection Feature Papers in Bio-Energy)

Abstract

Catalytic methane decomposition (CMD) is an environmentally friendly method of hydrogen production that, unlike other conventional processes, such as steam methane reforming, partial oxidation of methane, and dry reforming of methane, can convert methane into hydrogen with a simultaneous generation of solid carbon without CO2 emissions. This study mainly focused on the application of carbon-based catalysts derived from biomass and biowaste for the CMD process. For this purpose, eight catalysts were produced from three carbon materials (wood, sewage sludge, and digestate) through the subsequent processes of pyrolysis, leaching, and physical activation. The comparison of catalysts prepared from the slow pyrolysis of biowaste and wood indicated that carbon materials with a lower ash content achieved a higher initial methane conversion (wood char > digestate char > sewage sludge char). For feedstocks with a high initial ash content, such as digestate and sewage sludge chars, an improvement in the catalytic activity was observed after ash removal through the leaching process with HNO3. In addition, physical activation through CO2 fluxing led to an enhancement in the BET surface area of these catalysts, and consequently to a growth in methane conversion. The initial methane conversion was assessed for all chars under operating conditions of 900 °C, a gas hourly space velocity (GHSV) of 3 L/g/h, and a CH4:N2 ratio of 1:9, and it was 65.9, 59.1, and 42.6% v/v, respectively, for chars derived from wood, sewage sludge, and digestate; these values increased to almost 80% v/v when these chars were upgraded by chemical leaching and physical activation.

Graphical Abstract

1. Introduction

The continued use of fossil fuels as an energy source has raised serious concerns about the depletion of these resources and the environmental problems associated with greenhouse gas emissions. Therefore, it is crucial to find more environmentally friendly alternatives to diversify the supply of energy resources and mitigate the negative impact of fossil fuels on the environment. Hydrogen is an attractive energy vector. It is carbon-free and has the highest energy content per unit weight compared with fuels such as methane, diesel, and gasoline [1]. There are several pathways for hydrogen production such as steam methane reforming [2], the partial oxidation of methane [3], dry reforming of methane [4], coal gasification [5], methane decomposition [6], and water electrolysis [7]; however, most of these processes are CO2 emitting, except for methane decomposition and electrolysis [7]. Among these two methods, methane decomposition is more attractive due to its lower hydrogen production cost, which is approximately 2.12 $/kg H2 compared with about 4 $/kg H2 for water electrolysis [8].
Methane decomposition is the single-step process of converting methane into hydrogen and carbon at temperatures around 1200 °C [9,10]. The use of metallic catalysts and carbon-based catalysts facilitates methane decomposition at more moderate temperatures [8]. Although higher catalytic activity has been observed for metallic catalysts such as iron [11,12], nickel [13,14], and cobalt [15,16] compared with carbon-based catalysts, they suffer from rapid deactivation due to carbon deposition, which is a significant drawback. Also, the regeneration procedure of metal-based catalysts and the separation of the carbon deposited on their surface area, though potentially valuable, present further challenges. Carbon nanotubes, which are high-value products, can be obtained through catalytic methane decomposition over metallic catalysts. However, separating the nanotubes without damaging their structure or leaving catalyst residues is difficult. Additionally, the recovery of carbon nanotubes often requires specialized equipment, such as high-speed centrifuges, vacuum filtration systems, or advanced chemical reactors, which increases the initial capital investment and operational complexity of the process. Conversely, although carbonaceous catalysts generally lack the ability to control the structure of carbon nanotubes, no recovery step is needed since the carbon produced during methane decomposition simply deposits on the surface of the carbon catalyst, which makes the process simpler and more cost-effective. Furthermore, catalysts derived from carbon materials are generally cheaper and exhibit greater resistance to impurities and high temperatures [17].
Carbon-based catalysts can be classified into three groups based on their crystallinity: highly ordered, less-ordered, and disordered carbons. Highly ordered carbons are materials such as graphite and diamond with a well-defined crystalline structure. Less-ordered carbons have a partially ordered structure including glassy carbon, fullerene (C60/70), fullerene soot, carbon nanotubes, and ordered mesoporous carbons. Disordered carbons consist of materials with almost no crystallinity such as amorphous carbons, microcrystalline carbons, activated carbon, carbon black, and acetylene carbon [18]. The results of experimental studies carried out on methane decomposition over different carbon-based catalysts have revealed that activated carbon and carbon black have higher activity than various ordered carbon catalysts such as graphite, glassy carbon, diamond, fullerenes, glassy carbon, carbon fibers, and carbon nanotubes [19,20,21].
The presence of inorganics and surface functional groups in carbon-based catalysts is highly dependent on the source material and the catalyst preparation methods. The pyrolysis of biosolids leads to the creation of inorganic-containing chars, which can demonstrate catalytic activity in methane decomposition reactions. For example, metals, such as Fe, Ni, and Co, have been detected as inorganic constituents present in carbon-based catalysts, particularly carbon blacks. However, since they are in the form of oxides, their impact on the catalytic activity of these catalysts was negligible [20]. This issue has also been confirmed in other studies. According to Kim [22], metals, when present in carbonaceous catalysts, have minimal influence on catalytic activity and their activation energies do not align with those typical of metal catalysts, primarily due to alterations in the porous structure following ash removal. Furthermore, two factors of surface area and particle size were investigated in this research study. It was observed that while there was no discernible trend between the initial activity and the surface area, the particle size affected the catalyst activity. Smaller particles exhibited a higher activity than larger ones, indicating intraparticle mass transport limitations.
Although various carbon-based catalysts have been extensively assessed for the CMD process, such as wood char [23], activated carbon [24,25], carbon black [25,26], ordered mesoporous carbon [27], graphite [28], glassy carbon [19], multi-wall nanotubes [29], acetylene black [19], soot [19], diamond powder [19], carbon nanotubes (CNT) [29], and fullerenes [19], the application of carbon-based catalysts derived from waste materials, like sewage sludge, has rarely been studied within the CMD framework. The conversion of sewage sludge into char through pyrolysis not only mitigates the challenges of waste management, but also offers a promising catalyst for hydrogen production. Therefore, this work aimed at developing a method to prepare a waste-derived carbon-based catalyst for methane decomposition with a catalytic activity similar to activated carbon, which is one of the most utilized catalysts in the CMD system. The choice of two other catalysts including wood and digestate as feedstocks was made to represent materials with different ash contents and compositions, allowing us to investigate how these parameters affect the catalytic performance. Also, the impact of operating parameters such as temperature, feedstock purity, and space velocity as well as catalyst characteristics including surface area and ash content are comprehensibly discussed in this research work.

2. Materials and Methods

The use of carbonaceous catalysts in the CMD process enables the production of both a clean energy vector (hydrogen) and an economically feasible carbon material (carbon-enriched spent catalyst), so the use of carbon-based catalysts for methane pyrolysis offers an optimistic prospect for industrial decarbonization. The characteristics of these catalysts, and consequently their catalytic activities in the CMD process, largely depend on properties associated with the catalyst’s feedstock and the production process. Studies carried out on the characteristics of carbonaceous catalysts have shown that ash content and BET surface area are two important parameters that could highly impact methane conversion [8]. Therefore, the main objective of this section is to explain the experimental design and methods utilized for the synthesis of these catalysts as well as describe the equipment and procedures employed in conducting CMD lab scale experiments.

2.1. Materials and Reagents

Three different feedstocks were used for catalyst preparation in this study. Sewage sludge, supplied by SMAT (Turin, Italy), a waste material with a high ash content, served as the primary feedstock. In addition, poplar wood, obtained from Consortium for the Management of Agro-Forestry Resources of Villa Basilica (Lucca, Italy), and agricultural digestate derived by a biogas plant located in lombardy, Italy, were selected to investigate the influence of catalyst characteristics such as ash content and composition. To improve the characteristics of these materials, nitrogen (99.99%) was employed as the inert atmosphere during pyrolysis, while nitric acid (HNO3, 65%, Sigma-Aldrich, St. Louis, MO, USA) and carbon dioxide (99.99%) were applied for leaching and activation, respectively.

2.2. Catalyst Preparation

The pyrolysis experiments were carried out in a screw reactor, as shown in Figure 1, at an operating temperature of 550 °C for approximately 60 min. Since the particle size also plays a significant role in both the chemical leaching and CMD processes, all three produced biochars were ground and sieved to obtain a powder form with a particle size smaller than 500 µm, in order to minimize the impact of the catalyst particle size on methane conversion.
The yield of pyrolysis based on the mass of biochar produced to the mass of feedstock is typically expressed according to Equation (1):
B i o c h a r   Y i e l d   ( % ) = M a s s   o f   B i o c h a r   P r o d u c e d   ( g ) M a s s   o f   i n l e t   f e e d s t o c k   ( g ) × 100
To assess the influence of the ash content and surface area of the catalyst on methane conversion, two methods of catalyst upgrading were considered: (1) a leaching process to decrease the level of ash content (accomplished through extraction of phosphorus and metals by nitric acid at 80 °C), and (2) a physical activation by purging CO2 to increase the porosity and surface area at 800 °C. Given the fact that biochar derived from poplar wood contains a very low level of ash content, the leaching process was not necessary to upgrade this catalyst.
Since the leaching process requires a prior drying step, sieved chars obtained from sewage sludge and digestate were first dried in an oven at 105 °C for 24 h. Then, inorganic elements were extracted by leaching the char samples in a 1 M nitric acid solution, maintaining a biochar-to-acid weight ratio of 1:10. The mixture was heated to 80 °C and stirred magnetically for an hour to ensure uniformity. At the end of the reaction time, the solution was filtered by vacuum in a Büchner funnel. The separated solids (leached biochars) were also washed with hot water at 80 °C, with a water–solid ratio of 10. Finally, the leached biochars were dried in an oven at 105 °C for 24 h. The performance of the leaching process was evaluated by calculating the ash extraction efficiency, as described in Equation (2):
A s h   e x t r a c t i o n   e f f i c i e n c y = C h a r   A s h   ( g ) L e a c h e d   C h a r   A s h   ( g ) C h a r   A s h   ( g ) × 100
Additionally, the yield of leached biochar was defined according to Equation (3):
L e a c h e d   B i o c h a r   Y i e l d   ( % ) = M a s s   o f   L e a c h e d   B i o c h a r   P r o d u c e d   ( g ) I n i t i a l   M a s s   o f   B i o c h a r   ( g ) × 100
The second stage of catalyst upgrading involved the physical activation of two leached chars and the wood char using CO2. This process was carried out in a fixed-bed quartz reactor with an internal diameter of 32 mm. During the heating of the reactor from ambient temperature to 800 °C, nitrogen was purged through the reactor at a flow rate of 250 mL/min to ensure an inert atmosphere. After reaching 800 °C, the nitrogen valve was closed, and CO2 was introduced through the bed at the same flow rate for an hour. Finally, purging CO2 was stopped, and the system was cooled down to ambient temperature in the presence of N2. Figure 2 demonstrates two steps of carbon catalyst upgrading. Equation (4) is expressed as the yield of activated leached biochar.
A c t i v a t e d   L e a c h e d   B i o c h a r   Y i e l d   ( % ) = M a s s   o f   A c t i v a t e d   L e a c h e d   B i o c h a r   P r o d u c e d   ( g ) I n i t i a l   M a s s   o f   L e a c h e d   B i o c h a r   ( g ) × 100
After completing the two upgrading steps, a total of eight different carbon-based catalysts were produced including three chars, two leached chars, two activated leached chars, and an activated wood char. Wood char was not processed by leaching due to its low ash content. Table 1 outlines a brief description of each catalyst, along with the selected operating conditions for their preparation and upgrading. The catalysts were categorized into four groups based on the raw materials utilized for char production.

2.3. Methods of Catalyst Characterization

Different analyses including BET surface area (ASTM D6556-10 [30]), ash content (UNI EN ISO 18122:2016 [31]), MP-AES (UNI EN ISO 16967:2015/UNI EN ISO 16968:2015 [32,33]), and CHN (UNI EN ISO 16948:2015 [34]) were conducted on the produced catalysts in the laboratory of the RE-CORD company (Turin, Italy) to thoroughly characterize the carbon-based catalysts (Figure 3).

2.4. Methane Decomposition Experimental Setup

Methane decomposition experiments were conducted at RE-CORD using the same laboratory apparatus for the catalyst activation. This apparatus is equipped with three mass flow controllers (for methane, nitrogen, and carbon dioxide), a quartz tube reactor, a furnace, two pressure sensors to monitor the pressure drop inside the reactor, and a thermocouple for controlling the temperature of the catalysts. A MicroGC (Agilent 990, Santa Clara, CA, USA) was used to analyze the composition of the outlet gas. Figure 4 shows a schematic of this CMD experimental setup.

2.5. CMD Experiments

Figure 5 shows the experimental setup used for the CMD experiments. In a typical test, 10 g of fresh catalyst was loaded into the reactor. The reactor was heated up to 900 °C, while nitrogen was fluxed inside the reactor with a flow rate of 250 mL/min. At 900 °C, a gas mixture containing CH4 and N2 was passed through the reactor at a flow rate of 500 mL/min to achieve a GHSV of 3 L/g/h. This process was conducted for 30 min, and the outlet gas was collected in a gas bag every 5 min. Also, two additional gas samples were collected at 2 and 7 min to monitor the catalytic activity of catalysts more frequently during the first 10 min of the process. The sampling procedure was carried out in one minute to ensure that the gas bag was filled with the outlet gas, and the composition of all eight samples was analyzed by microGC. Each experiment was performed three times to ensure the accuracy of the results. Based on the concentration of methane and hydrogen in the outlet gas, methane conversion (XCH4) was calculated using Equation (5).
X C H 4 ( % ) = C H 2 C H 2 + 2 C C H 4 × 100

3. Results and Discussion

3.1. Catalyst Production Yield

Table 2 demonstrates the yield of pyrolysis, leaching, and activation processes. As shown in this table, the biochar yield resulting from the pyrolysis process varied depending on the initial ash content of the materials. The biochar yield is typically in the range of 20–35% by weight for feedstocks with low ash content such as lignocellulosic biomass. Conversely, the char yield for sewage sludge, which has a higher ash content, can be higher than 50% by weight. This discrepancy is due to the fact that during pyrolysis, a portion of the organic matter in the feedstock is converted into pyrogas, while the ash content remains inert and is retained in the solid product. Consequently, char yields obtained from the pyrolysis of sludge tend to be higher than those from lignocellulosic biomass feedstocks. After the leaching process, mass reductions were 23.4 wt.% and 42.2 wt.% for the digestate char and sewage sludge char, respectively, primarily due to the removal of inorganic elements from the structure of these carbon-based catalysts. Ultimately, the biochar yield after physical activation for wood char stood at 95% by weight. However, for the leached digestate and sewage sludge chars, characterized by elevated volatile content, the activation yield dropped to approximately 75–79% by weight.

3.2. Catalyst Characterization

The characteristics of the catalysts and consequently their catalytic activities in the CMD process largely depend on properties associated with the catalyst’s origin and production process. In this study, sewage sludge, digestate, and wood were used as the raw materials for catalyst production, and the thermochemical process of slow pyrolysis was employed for catalyst preparation, potentially followed by leaching and physical activation processes for catalyst upgrading. The impact of leaching and physical activation processes on the characteristics of biochars is demonstrated in Figure 6, Figure 7 and Figure 8.
The investigation of the ash content of different catalysts revealed that, as anticipated, wood char was a catalyst with a low ash content, while 32 wt.% of digestate char and 66 wt.% of sewage sludge char were represented by ash (dry basis). Figure 6 illustrates that the degree of demineralization was 62 wt.% for digestate char and 38 wt.% for sewage sludge char. Also, an increase in ash content was observed for all of the chars produced after physical activation, probably due to the devolatilization of organic compounds. According to Figure 7, the ash extraction efficiency of the leaching process for digestate and sewage sludge chars was 70 wt.% and 64 wt.%, respectively.
Studies on the surface area of the carbon-based catalysts indicated that the surface area of activated leached char produced from sewage sludge was almost double that of the corresponding leached char (Figure 8). The effect of physical activation on enhancing the surface area of a catalyst with low ash content (wood char and leached char from digestate) was even more pronounced. This enhancement in surface area after the activation step may be attributed to the evaporation of condensed organic compounds within the char structure. Another notable observation was the growth in surface area after the leaching process. This was due to the removal of metal traces from the catalytic matrix and the generation of new pores, or the partial extraction of condensed organics through acid leaching.
As shown in Figure 9, investigation of the ash composition in chars derived from digestate and sewage sludge after slow pyrolysis revealed that these catalysts contained significant amounts of phosphorus and metals. Comparing the phosphorus and metal concentrations before and after leaching showed that the concentration of phosphorus in the digestate and sewage sludge chars was reduced to below 2500 mg/kg from initial values of 37,102 mg/kg and 53,771 mg/kg, respectively. Also, Figure 10 demonstrates that this process effectively extracted Ca, Mg, Fe, Zn, and Al from the structure of the carbon-based catalysts, achieving an extraction efficiency of more than 50 wt.%.

3.3. Impacts of Process Parameters

3.3.1. Optimization of Experimental Conditions

According to the literature, high methane conversion depends on both the operating conditions and catalyst characteristics. In this work, the impacts of parameters, such as temperature, GHSV, methane concentration in the feed gas as well as catalyst properties including ash content and surface area, were investigated in detail.
Figure 11 shows the influence of temperature on methane decomposition over activated wood char at GHSV = 3 L/g/h and CH4:N2 = 1:9. Three distinct temperatures of 800 °C, 850 °C, and 900 °C were considered for this purpose. Since CMD is an endothermic process, at higher temperatures, the equilibrium shifts toward the products (hydrogen and carbon), resulting in a higher conversion of methane. Based on the results, while the initial methane conversion in the temperature range of 800 to 850 °C was around 35% v/v, a significant enhancement was observed after increasing the temperature to 900 °C. Also, results from the blank experiment at the same operating conditions revealed that the thermal decomposition of methane without a catalyst was negligible at 900 °C (<2 mol.%). Since operating at temperatures above 1000 °C increases the possibility of thermal methane decomposition, 900 °C is considered the optimal temperature for investigating catalytic methane decomposition.
The impact of GHSV on methane conversion over activated char was experimentally investigated at two different rates of 1.5 L/g/h and 3 L/g/h while maintaining a temperature of 900 °C and using pure methane (Figure 12). As expected, operation at a higher GHSV led to a decrease in methane conversion. However, it should be noted that operating at a lower GHSV requires a higher quantity of catalysts for a given gas flow rate or entails using a constant weight of catalysts while reducing the gas flow rate.

3.3.2. Activity of Carbon Catalysts

Six experiments were conducted to evaluate and compare the catalytic activity of three chars derived from wood, digestate, and sewage sludge. These experiments were carried out under consistent operating conditions of T = 900 °C, GHSV = 3 L/g/h, and CH4:N2 = 1:1 and 1:9.
Based on the findings shown in Figure 13, higher methane conversion rates were observed at lower methane concentrations across all three catalysts. For CH4:N2 = 1:1, the reactivity declined rapidly in the first 20 min as active sites were filled with carbon deposits during the CMD reaction. However, values were found to be less declined after 20 min and stable around a 5% v/v conversion due to the higher catalytic activity of new crystalline carbon deposits that formed during the experiment. This is similar to the results reported in the literature [35,36]. A comparison of the results of different catalysts highlighted the impact of ash content on methane pyrolysis. The initial methane conversion over raw chars derived from wood, digestate, and sewage sludge under the mentioned operating conditions was 65.9, 59.1, and 42.6% v/v, respectively. While a higher initial methane conversion was achieved in the case of catalysts with lower concentrations of phosphorus and metals, catalysts produced from sewage sludge maintained a higher methane conversion over an extended period.
As depicted in Figure 14, the effect of catalyst upgrading on methane conversion was investigated at a temperature of 900 °C, GHSV of 3 L/g/h, and CH4:N2 ratio of 1:9. This suggests that a high ash content can block active carbon sites and reduce the surface area, whereas the removal of inorganic species such as Fe, Ca, and K during leaching could help to expose additional active sites that enhance catalytic performance.
The activation process resulted in a more than 10% v/v increase in methane conversion. The comparison of methane decomposition using activated carbon-based catalysts with those before activation showed a 15–20% v/v increase in initial methane conversion under the same conditions. After upgrading, all three carbon-based catalysts showed around an 80% v/v initial methane conversion, regardless of the catalyst’s origin. These results indicate that chars derived from waste materials such as sewage sludge and digestate could also be effectively used in the CMD process after undergoing leaching and physical activation steps.

3.4. Catalyst Characterization

As methane splits into hydrogen and solid carbon during the CMD process, carbon deposition occurs on the surface of carbon-based catalysts. As shown in Table 3, the CHN analysis results on the fresh and spent upgraded carbon-based catalysts indicate an increase in the total carbon content of all of these catalysts after the reaction. This increase in the overall carbon content of the catalysts, as confirmed by the analysis, reflects the effectiveness of the process in capturing carbon on the catalyst’s surface. Similar results have been observed in other studies [36].
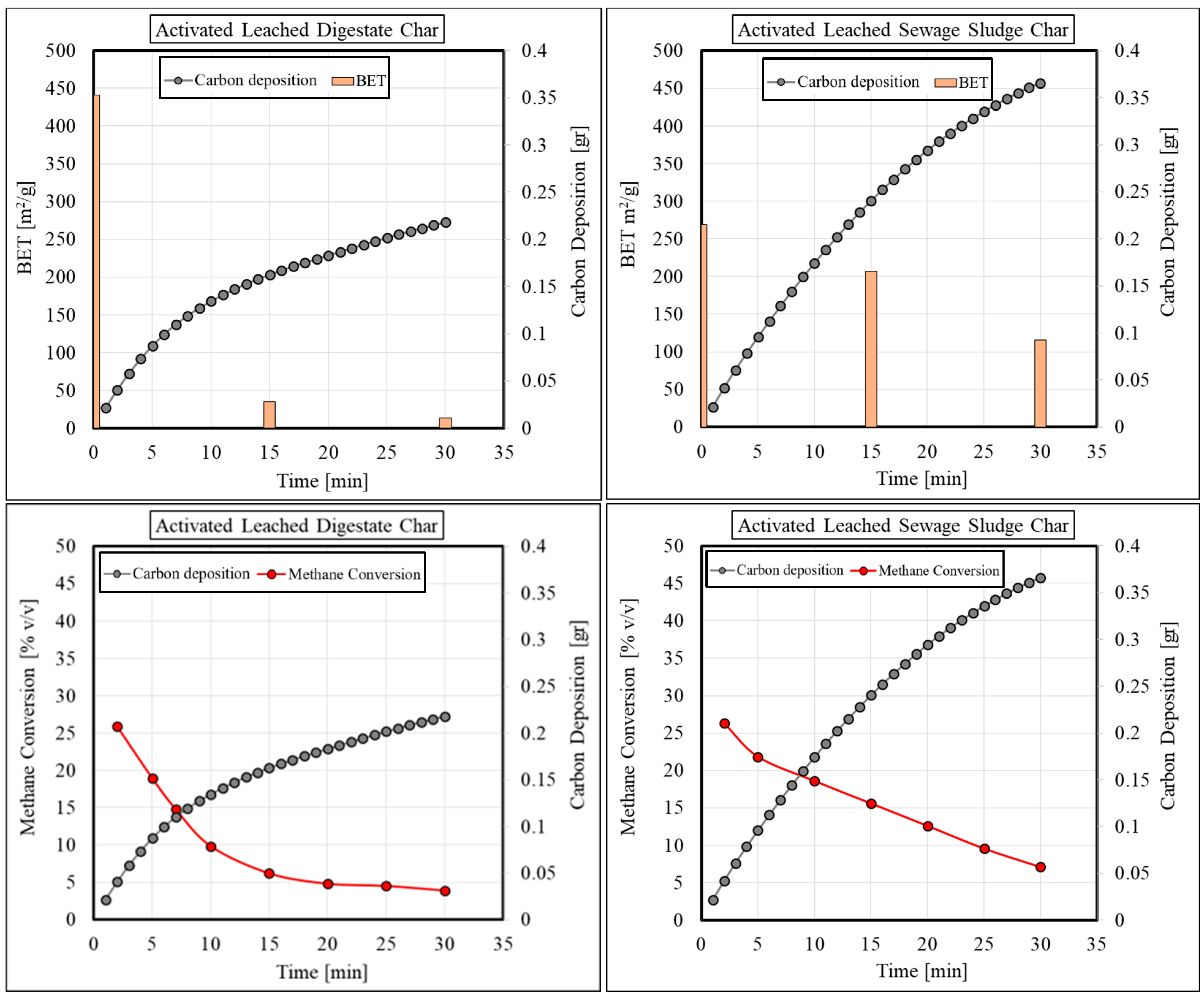
Over time, the accumulation of carbon atoms on the surface of catalysts can affect the catalyst’s activity by blocking the active sites, thus preventing further methane decomposition. Due to the importance of this issue, the effect of carbon deposition on the surface area of activated leached chars produced from sewage sludge and digestate was studied under the conditions of 900 °C, GHSV of 3 L/g/h, and CH4:N2 ratio of 1:1 (Figure 15) to evaluate the effect of methane concentration in the inlet stream.
The results indicate that the fresh activated leached digestate char initially showed a much higher surface area compared with that obtained from sewage sludge. However, the activated leached char from sewage sludge showed a more gradual reduction in surface area, decreasing by only 60 m2/g after 15 min, whereas the digestate char experienced a much larger reduction of nearly 400 m2/g over the same timeframe. This sharp reduction in the surface area of activated leached digestate char led to a decrease in methane conversion, and as a result, caused a slower rate of carbon deposition after 15 min.

3.5. Perspectives of Using Waste-Derived Carbon-Based Catalysts in the CMD Process

Given the fact that using a gas mixture including methane and an inert carrier gas as feedstock for the CMD process is not reasonable on a commercial and industrial scale, the potential of carbon-based catalysts, especially the ones derived from waste materials, for the CMD process should be assessed in the presence of pure methane. Thus, two experiments were conducted with pure methane at 900 °C and GHSV = 3 L/g/h using activated wood char and activated leached sewage sludge char to evaluate the CMD process using waste-derived carbon-based catalysts as a commercial hydrogen (and solid carbon) production unit.
The results, as demonstrated in Figure 16, indicate that the initial methane conversion for carbon-based catalysts derived from sewage sludge was 28% v/v, which is comparable with the activated carbon derived from biomass. The initial methane conversion was within the range reported in the literature [37], however, the catalysts exhibited a more stable conversion performance over extended operation compared with the coal employed as a catalyst in the referenced study. To maintain a high level of methane conversion, the spent catalyst must be continuously replaced with fresh material. A moving bed reactor offers an ideal setup for this purpose as it ensures a constant supply of active catalyst for sustained methane decomposition performance. According to these data, employing a moving bed reactor with a catalyst residence time of 2 min under operating conditions of 900 °C and GHSV = 3 L/g/h can consistently deliver a gas stream with a composition of H2 = 45% v/v and CH4 = 55% v/v.
A gas stream with this level of hydrogen purity can be utilized in steel manufacturing companies [38]. Furthermore, the hydrogen purity could be increased up to 95% v/v by designing an effective adsorption-based unit. Hydrogen with a purity exceeding 95% v/v is the feed gas of industries such as hydrodesulfurization, hydrogenation, hydrocracking, and petrochemical processes [39].

4. Conclusions

This study mainly focused on the effectiveness of waste-derived carbon-based catalysts in the catalytic methane decomposition process for sustainable hydrogen production. Since the operating parameters and catalyst characteristics can greatly affect methane conversion, this research experimentally examined the effects of temperature, feedstock purity, space velocity as well as catalyst surface area and ash content.
A total of eight catalysts were produced using poplar wood, digestate, and sewage sludge through processes of pyrolysis, leaching, and physical activation: three chars from poplar wood, digestate, and sewage sludge, two leached chars derived from digestate and sewage sludge, and three activated versions of the wood char and the leached chars.
Temperature was the first parameter studied, and experiments on methane decomposition over activated wood char at GHSV = 3 L/g/h and CH4:N2 = 1:9 revealed that 900 °C is the optimal temperature for catalytic methane decomposition. Working under temperatures below 900 °C led to a significant reduction in methane conversion, while temperatures above 900 °C shifted the process toward thermal methane decomposition. Also, a higher methane conversion was observed at lower GHSV and methane concentration, however, it should be noted that operating at a lower GHSV necessitates a higher quantity of catalysts for a given gas flow rate or entails using a constant weight of catalysts while reducing the gas flow rate.
Comparing the results of methane decomposition over three biochars with different sources highlighted the impact of ash content on methane pyrolysis. The initial methane conversion over chars derived from wood, digestate, and sewage sludge under operating conditions of 900 °C, a GHSV of 3 L/g/h, and a CH4:N2 ratio of 1:9 was 65.9, 59.1, and 42.6% v/v, respectively. While a higher initial methane conversion was achieved when catalysts with lower concentrations of ash content were used, catalysts produced from sewage sludge exhibited better methane conversion values over an extended period.
The effect of catalyst leaching and physical activation on methane conversion was investigated at 900 °C, GHSV of 3 L/g/h, and CH4:N2 ratio of 1:9. After upgrading, all three carbon-based catalysts showed around an 80% v/v initial methane conversion, regardless of the catalyst’s origin. This issue proves the fact that chars derived from waste materials such as sewage sludge and digestate could also be effectively used in the CMD process after undergoing leaching and physical activation steps. The results indicate at least 10% v/v enhancement in methane conversion for each stage of upgrading. Also, the analysis of the characteristics of the fresh and spent upgraded carbon-based catalysts indicated a growth in the total carbon of all of these catalysts after the reaction, confirming the process’s effectiveness in capturing carbon on the catalyst’s surface.
Regarding the perspectives of using waste-derived carbon-based catalysts in the CMD process, two experiments were conducted with pure methane at 900 °C and GHSV = 3 L/g/h, using activated wood char and activated leached sewage sludge char to evaluate the potential of this process as a commercial hydrogen production unit. The results show that employing a moving bed reactor with a catalyst residence time of 2 min working under the mentioned operating conditions can consistently deliver a gas stream with a composition of H2 = 45% v/v and CH4 = 55% v/v, which can be utilized in steel manufacturing companies.

Author Contributions

Conceptualization, D.C.; Methodology, S.M.R.M., A.S. and V.N.; Formal analysis, S.M.R.M.; Investigation, S.M.R.M., A.S. and V.N.; Resources, A.S.; Writing—original draft, S.M.R.M.; Writing—review & editing, S.M.R.M., A.S., S.B., V.N. and D.C.; Visualization, S.M.R.M.; Supervision, S.B., V.N. and D.C.; Project administration, D.C.; Funding acquisition, D.C. All authors have read and agreed to the published version of the manuscript.

Funding

This work was supported by the European Innovation Council (EIC) through the “H2STEEL project”, grant number 101070741.

Data Availability Statement

The original contributions presented in this study are included in the article. Further inquiries can be directed to the corresponding author.

Conflicts of Interest

The authors declare no conflict of interest.

References

  1. Nikolaidis, P.; Poullikkas, A. A comparative overview of hydrogen production processes. Renew. Sustain. Energy Rev. 2017, 67, 597–611. [Google Scholar] [CrossRef]
  2. Iulianelli, A.; Liguori, S.; Wilcox, J.; Basile, A. Advances on methane steam reforming to produce hydrogen through membrane reactors technology: A review. Catal. Rev. Sci. Eng. 2016, 58, 1–35. [Google Scholar] [CrossRef]
  3. Srilatha, K.; Bhagawan, D.; Kumar, S.S.; Himabindu, V. Sustainable fuel production by thermocatalytic decomposition of methane—A review. S. Afr. J. Chem. Eng. 2017, 24, 156–167. [Google Scholar] [CrossRef]
  4. Usman, M.; Wan Daud, W.M.A.; Abbas, H.F. Dry reforming of methane: Influence of process parameters—A review. Renew. Sustain. Energy Rev. 2015, 45, 710–744. [Google Scholar] [CrossRef]
  5. Msheik, M.; Rodat, S.; Abanades, S. Methane cracking for hydrogen production: A review of catalytic and molten media pyrolysis. Energies 2021, 14, 3107. [Google Scholar] [CrossRef]
  6. Mohd Noor, C.W.; Noor, M.M.; Mamat, R. Biodiesel as alternative fuel for marine diesel engine applications: A review. Renew. Sustain. Energy Rev. 2018, 94, 127–142. [Google Scholar] [CrossRef]
  7. Ren, J.T.; Chen, L.; Wang, H.Y.; Tian, W.W.; Yuan, Z.Y. Water electrolysis for hydrogen production: From hybrid systems to self-powered/catalyzed devices. Energy Environ. Sci. 2023, 17, 49–113. [Google Scholar] [CrossRef]
  8. Mirkarimi, S.M.R.; Bensaid, S.; Negro, V.; Chiaramonti, D. Review of methane cracking over carbon-based catalyst for energy and fuels. Renew. Sustain. Energy Rev. 2023, 187, 113747. [Google Scholar] [CrossRef]
  9. Patlolla, S.R.; Katsu, K.; Sharafian, A.; Wei, K.; Herrera, O.E.; Mérida, W. A review of methane pyrolysis technologies for hydrogen production. Renew. Sustain. Energy Rev. 2023, 181, 113323. [Google Scholar] [CrossRef]
  10. Pudukudy, M.; Yaakob, Z.; Jia, Q.; Takriff, M.S. Catalytic decomposition of undiluted methane into hydrogen and carbon nanotubes over Pt promoted Ni/CeO2 catalysts. New J. Chem. 2018, 42, 14843–14856. [Google Scholar] [CrossRef]
  11. Ibrahim, A.A.; Fakeeha, A.H.; Al-Fatesh, A.S.; Abasaeed, A.E.; Khan, W.U. Methane decomposition over iron catalyst for hydrogen production. Int. J. Hydrogen Energy 2015, 40, 7593–7600. [Google Scholar] [CrossRef]
  12. Dawkins, M.; Saal, D.; Marco, J.F.; Reynolds, J.; Dann, S. An iron ore-based catalyst for producing hydrogen and metallurgical carbon via catalytic methane pyrolysis for decarbonisation of the steel industry. Int. J. Hydrogen Energy 2023, 48, 21765–21777. [Google Scholar] [CrossRef]
  13. Karimi, S.; Bibak, F.; Meshkani, F.; Rastegarpanah, A.; Deng, J.; Liu, Y.; Dai, H. Promotional roles of second metals in catalyzing methane decomposition over the Ni-based catalysts for hydrogen production: A critical review. Int. J. Hydrogen Energy 2021, 46, 20435–20480. [Google Scholar] [CrossRef]
  14. Dipu, A.L. Methane decomposition into COx-free hydrogen over a Ni-based catalyst: An overview. Int. J. Energy Res. 2021, 45, 9858–9877. [Google Scholar] [CrossRef]
  15. Alharthi, A.I.; Abdel-Fattah, E.; Alotaibi, M.A.; Ud Din, I.; Nassar, A.A. Cobalt ferrite for direct cracking of methane to produce hydrogen and carbon nanostructure: Effect of temperature and methane flow rate. J. Saudi Chem. Soc. 2023, 27, 101641. [Google Scholar] [CrossRef]
  16. Silva, R.R.C.M.; Oliveira, H.A.; Guarino, A.C.; Toledo, B.B.; Moura, M.B.; Oliveira, B.T.; Passos, F.B. Effect of support on methane decomposition for hydrogen production over cobalt catalysts. Int. J. Hydrogen Energy 2016, 41, 6763–6772. [Google Scholar] [CrossRef]
  17. Serrano, D.P.; Botas, J.Á.; Pizarro, P.; Gómez, G. Kinetic and autocatalytic effects during the hydrogen production by methane decomposition over carbonaceous catalysts. Int. J. Hydrogen Energy 2013, 38, 5671–5683. [Google Scholar] [CrossRef]
  18. Abbas, H.F.; Wan Daud, W.M.A. Hydrogen production by methane decomposition: A review. Int. J. Hydrogen Energy 2010, 35, 1160–1190. [Google Scholar] [CrossRef]
  19. Muradov, N. Catalysis of methane decomposition over elemental carbon. Catal. Commun. 2001, 2, 89–94. [Google Scholar] [CrossRef]
  20. Muradov, N.; Smith, F.; T-Raissi, A. Catalytic activity of carbons for methane decomposition reaction. Catal. Today 2005, 102–103, 225–233. [Google Scholar] [CrossRef]
  21. Muradov, N.Z.; Veziroǧlu, T.N. From hydrocarbon to hydrogen-carbon to hydrogen economy. Int. J. Hydrogen Energy 2005, 30, 225–237. [Google Scholar] [CrossRef]
  22. Kim, M.H.; Lee, E.K.; Jun, J.H.; Kong, S.J.; Han, G.Y.; Lee, B.K.; Lee, T.J.; Yoon, K.J. Hydrogen production by catalytic decomposition of methane over activated carbons: Kinetic study. Int. J. Hydrogen Energy 2004, 29, 187–193. [Google Scholar] [CrossRef]
  23. Dufour, A.; Celzard, A.; Fierro, V.; Martin, E.; Broust, F.; Zoulalian, A. Catalytic decomposition of methane over a wood char concurrently activated by a pyrolysis gas. Appl. Catal. A Gen. 2008, 346, 164–173. [Google Scholar] [CrossRef]
  24. Moliner, R.; Suelves, I.; Lázaro, M.J.; Moreno, O. Thermocatalytic decomposition of methane over activated carbons: Influence of textural properties and surface chemistry. Int. J. Hydrogen Energy 2005, 30, 293–300. [Google Scholar] [CrossRef]
  25. Suelves, I.; Pinilla, J.L.; Lázaro, M.J.; Moliner, R. Carbonaceous materials as catalysts for decomposition of methane. Chem. Eng. J. 2008, 140, 432–438. [Google Scholar] [CrossRef]
  26. Lee, E.K.; Lee, S.Y.; Han, G.Y.; Lee, B.K.; Lee, T.J.; Jun, J.H.; Yoon, K.J. Catalytic decomposition of methane over carbon blacks for CO2-free hydrogen production. Carbon 2004, 42, 2641–2648. [Google Scholar] [CrossRef]
  27. Serrano, D.P.; Botas, J.Á.; Pizarro, P.; Guil-López, R.; Gómez, G. Ordered mesoporous carbons as highly active catalysts for hydrogen production by CH4; decomposition. Chem. Commun. 2008, 48, 6585–6587. [Google Scholar] [CrossRef] [PubMed]
  28. Serrano, D.P.; Botas, J.A.; Guil-Lopez, R. H2 production from methane pyrolysis over commercial carbon catalysts: Kinetic and deactivation study. Int. J. Hydrogen Energy 2009, 34, 4488–4494. [Google Scholar] [CrossRef]
  29. Guil-Lopez, R.; Botas, J.A.; Fierro, J.L.G.; Serrano, D.P. Comparison of metal and carbon catalysts for hydrogen production by methane decomposition. Appl. Catal. A Gen. 2011, 396, 40–51. [Google Scholar] [CrossRef]
  30. ASTM D6556-10; Standard Test Method for Carbon Black—Total and External Surface Area by Nitrogen Adsorption. ASTM International: West Conshohocken, PA, USA, 2010.
  31. UNI EN ISO 18122:2016; Solid Biofuels—Determination of Ash Content. International Organization for Standardization: Geneva, Switzerland, 2016.
  32. UNI EN ISO 16967:2015; Solid Biofuels—Determination of Major Elements (Al, Ca, Fe, Mg, P, K, Si, Na, Ti). International Organization for Standardization: Geneva, Switzerland, 2015.
  33. UNI EN ISO 16968:2015; Solid Biofuels—Determination of Minor Elements (Cd, Co, Cr, Cu, Hg, Mn, Mo, Ni, Pb, V, Zn, As). International Organization for Standardization: Geneva, Switzerland, 2015.
  34. UNI EN ISO 16948:2015; Solid Biofuels—Determination of Total Content of Carbon, Hydrogen and Nitrogen. International Organization for Standardization: Geneva, Switzerland, 2015.
  35. Jin, L.; Si, H.; Zhang, J.; Lin, P.; Hu, Z.; Qiu, B.; Hu, H. Preparation of activated carbon supported Fe-Al2O3 catalyst and its application for hydrogen production by catalytic methane decomposition. Int. J. Hydrogen Energy 2013, 38, 10373–10380. [Google Scholar] [CrossRef]
  36. Patel, S.; Kundu, S.; Halder, P.; Marzbali, M.H.; Chiang, K.; Surapaneni, A.; Shah, K. Production of hydrogen by catalytic methane decomposition using biochar and activated char produced from biosolids pyrolysis. Int. J. Hydrogen Energy 2020, 45, 29978–29992. [Google Scholar] [CrossRef]
  37. Bai, Z.; Chen, H.; Li, W.; Li, B. Hydrogen production by methane decomposition over coal char. Int. J. Hydrogen Energy 2006, 31, 899–905. [Google Scholar] [CrossRef]
  38. Wang, R.R.; Zhao, Y.Q.; Babich, A.; Senk, D.; Fan, X.Y. Hydrogen direct reduction (H-DR) in steel industry—An overview of challenges and opportunities. J. Clean. Prod. 2021, 329, 129797. [Google Scholar] [CrossRef]
  39. Speight, J.G. The Chemistry and Technology of Petroleum; CRC Press: Boca Raton, FL, USA, 2006. [Google Scholar]
Figure 1. Screw reactor used for the pyrolysis experiments.
Figure 1. Screw reactor used for the pyrolysis experiments.
Energies 18 05162 g001
Figure 2. Catalysts upgrading setup. (a) Leaching process. (b) Activation process.
Figure 2. Catalysts upgrading setup. (a) Leaching process. (b) Activation process.
Energies 18 05162 g002
Figure 3. The equipment for analytical characterization of the catalysts. (a) Thermogravimetric analyzer for ash content analysis, (b) CHNS elemental analyzers, (c) BET surface area analyzer, and (d) microwave plasma atomic emission spectrometry (MP-AES).
Figure 3. The equipment for analytical characterization of the catalysts. (a) Thermogravimetric analyzer for ash content analysis, (b) CHNS elemental analyzers, (c) BET surface area analyzer, and (d) microwave plasma atomic emission spectrometry (MP-AES).
Energies 18 05162 g003
Figure 4. Schematic of the experimental setup used for CMD.
Figure 4. Schematic of the experimental setup used for CMD.
Energies 18 05162 g004
Figure 5. Methane decomposition unit. (a) Methane decomposition apparatus and gas bags. (b) MicroGC.
Figure 5. Methane decomposition unit. (a) Methane decomposition apparatus and gas bags. (b) MicroGC.
Energies 18 05162 g005
Figure 6. Ash content of chars from wood, digestate, and sewage sludge before and after leaching and activation (* d.b = dry basis).
Figure 6. Ash content of chars from wood, digestate, and sewage sludge before and after leaching and activation (* d.b = dry basis).
Energies 18 05162 g006
Figure 7. Carbon and ash composition of the digestate and sewage sludge chars before and after nitric acid leaching (digestate leaching yield = 77.6 wt.% and sewage sludge yield = 57.8 wt.%).
Figure 7. Carbon and ash composition of the digestate and sewage sludge chars before and after nitric acid leaching (digestate leaching yield = 77.6 wt.% and sewage sludge yield = 57.8 wt.%).
Energies 18 05162 g007
Figure 8. Surface area of chars derived from wood, digestate, and sewage sludge before and after upgrading.
Figure 8. Surface area of chars derived from wood, digestate, and sewage sludge before and after upgrading.
Energies 18 05162 g008
Figure 9. Impact of leaching on the concentration of inorganic elements (* w.b. = wet basis).
Figure 9. Impact of leaching on the concentration of inorganic elements (* w.b. = wet basis).
Energies 18 05162 g009
Figure 10. Leaching efficiency in inorganic extraction (digestate leaching yield = 77.6 wt.%; sewage sludge yield = 57.8 wt.%).
Figure 10. Leaching efficiency in inorganic extraction (digestate leaching yield = 77.6 wt.%; sewage sludge yield = 57.8 wt.%).
Energies 18 05162 g010
Figure 11. Impact of operating temperature on methane conversion (activated wood char, GHSV = 3 L/g/h, and CH4:N2 = 1:9).
Figure 11. Impact of operating temperature on methane conversion (activated wood char, GHSV = 3 L/g/h, and CH4:N2 = 1:9).
Energies 18 05162 g011
Figure 12. Impact of GHSV on methane conversion (activated wood char, T = 900 °C, and CH4:N2 = 1:0).
Figure 12. Impact of GHSV on methane conversion (activated wood char, T = 900 °C, and CH4:N2 = 1:0).
Energies 18 05162 g012
Figure 13. Impact of methane concentration and catalyst’s origin (T= 900 °C, GHSV = 3 L/g/h, CH4:N2 = 1:1 and 1:9).
Figure 13. Impact of methane concentration and catalyst’s origin (T= 900 °C, GHSV = 3 L/g/h, CH4:N2 = 1:1 and 1:9).
Energies 18 05162 g013
Figure 14. Methane decomposition over different catalysts (T= 900 °C, GHSV = 3 L/g/h, CH4:N2 = 1:9).
Figure 14. Methane decomposition over different catalysts (T= 900 °C, GHSV = 3 L/g/h, CH4:N2 = 1:9).
Energies 18 05162 g014
Figure 15. Impact of carbon deposition on the surface area of catalysts and methane conversion (T = 900 °C, GHSV = 3 L/g/h, CH4:N2 = 1:1).
Figure 15. Impact of carbon deposition on the surface area of catalysts and methane conversion (T = 900 °C, GHSV = 3 L/g/h, CH4:N2 = 1:1).
Energies 18 05162 g015
Figure 16. Commercial hydrogen production using the CMD process with waste-derived carbon-based catalysts (T = 900 °C, GHSV = 3 L/g/h, CH4:N2 = 1:0).
Figure 16. Commercial hydrogen production using the CMD process with waste-derived carbon-based catalysts (T = 900 °C, GHSV = 3 L/g/h, CH4:N2 = 1:0).
Energies 18 05162 g016
Table 1. List of catalysts and operating conditions for their production and upgrading.
Table 1. List of catalysts and operating conditions for their production and upgrading.
Name of CatalystPyrolysis ProcessLeaching ProcessActivation Process
Wood char500 °C, 40–60 min--
Activated wood char500 °C, 40–60 min-CO2, 0.25 L/min, 1 h, 800 °C
Sewage sludge char550 °C, 30 min--
Leached sewage sludge char550 °C, 30 minHNO3—1 M, 10:1, 1 h, 80 °C-
Activated leached sewage sludge char550 °C, 30 minHNO3—1 M, 10:1, 1 h, 80 °CCO2, 0.25 L/min, 1 h, 800 °C
Digestate char550 °C, 60 min--
Leached digestate char550 °C, 60 minHNO3—1 M, 10:1, 1 h, 80 °C-
Activated leached digestate char550 °C, 60 minHNO3—1 M, 10:1, 1 h, 80 °CCO2, 0.25 L/min, 1 h, 800 °C
Table 2. The yield of pyrolysis, leaching, and activation processes.
Table 2. The yield of pyrolysis, leaching, and activation processes.
Feedstock Name Name of Process
Pyrolysis [wt.%] Leaching [wt.%] Activation [wt.%]
Wood 25.5-95
Digestate 4377.675
Sewage sludge 1 5657.879
Table 3. Impact of carbon deposition on the characteristics of the catalysts (T = 900 °C, GHSV = 3 L/g/h, CH4:N2 = 1:9).
Table 3. Impact of carbon deposition on the characteristics of the catalysts (T = 900 °C, GHSV = 3 L/g/h, CH4:N2 = 1:9).
Name of CatalystFresh CatalystSpent Catalyst
Total C
(% d.b *).
Total H
(% d.b).
Total N
(% d.b).
Total C
(% d.b).
Total H
(% d.b).
Total N
(% d.b).
Activated wood char88.391.100.6389.30.550.17
Activated leached digestate char80.30.83.481.60.523.00
Activated leached sewage sludge char42.370.963.3847.130.52.19
* d.b = dry basis.
Disclaimer/Publisher’s Note: The statements, opinions and data contained in all publications are solely those of the individual author(s) and contributor(s) and not of MDPI and/or the editor(s). MDPI and/or the editor(s) disclaim responsibility for any injury to people or property resulting from any ideas, methods, instructions or products referred to in the content.

Share and Cite

MDPI and ACS Style

Mirkarimi, S.M.R.; Salimbeni, A.; Bensaid, S.; Negro, V.; Chiaramonti, D. Hydrogen Production Through Methane Decomposition over Waste-Derived Carbon-Based Catalysts. Energies 2025, 18, 5162. https://doi.org/10.3390/en18195162

AMA Style

Mirkarimi SMR, Salimbeni A, Bensaid S, Negro V, Chiaramonti D. Hydrogen Production Through Methane Decomposition over Waste-Derived Carbon-Based Catalysts. Energies. 2025; 18(19):5162. https://doi.org/10.3390/en18195162

Chicago/Turabian Style

Mirkarimi, Seyed Mohamad Rasool, Andrea Salimbeni, Samir Bensaid, Viviana Negro, and David Chiaramonti. 2025. "Hydrogen Production Through Methane Decomposition over Waste-Derived Carbon-Based Catalysts" Energies 18, no. 19: 5162. https://doi.org/10.3390/en18195162

APA Style

Mirkarimi, S. M. R., Salimbeni, A., Bensaid, S., Negro, V., & Chiaramonti, D. (2025). Hydrogen Production Through Methane Decomposition over Waste-Derived Carbon-Based Catalysts. Energies, 18(19), 5162. https://doi.org/10.3390/en18195162

Note that from the first issue of 2016, this journal uses article numbers instead of page numbers. See further details here.

Article Metrics

Back to TopTop