Short-Term Forecasting of Unplanned Power Outages Using Machine Learning Algorithms: A Robust Feature Engineering Strategy Against Multicollinearity and Nonlinearity
Abstract
1. Introduction
1.1. Context
1.2. Motivation
1.3. Literature Review and Gaps
| Author | Problem | Methods | Dataset | Results | Limitations |
|---|---|---|---|---|---|
| Onaolapo et al. (2022) [2] | Electricity outage Forecasting (South Africa) | ML (ANNs, Exponential smoothing, Linear regression) | Historical outage and weather conditions | ANNs were highly accurate and effective over conventional methods | Limited/smaller datasets were used. The model is data-greedy and easily overfits small datasets. |
| Das et al. (2021) [32] | Outage estimation in electric power distribution systems (USA) | ML (Deep Neural Network Ensemble (DNNE), AdaBoost+, ANN) | Overhead distribution feeders outage and weather conditions | DNNE was superior over other models and captured complex relationships very well | The complex model underestimated outages due to wind, lightning, and animals |
| Kankanala et al. (2014) [28] | Estimating weather-related outages in distribution systems (USA) | ML (AdaBoost+, AdaBoostRT, ANN, Linear regression, mixture of experts) | Historical outage and weather conditions | AdaBoost+ captures complexity and nonlinearity well. Hence, error reduction in forecasting | Model is complex, computationally expensive, and noise-sensitive. Model under-predicted outages in the sparse high-range |
| Han et al. (2009) [27] | Prediction of power outages due to Hurricane (USA) | Statistical methods (GAM, GLM) | Hurricane outages and weather conditions | To some extent, GAM enhanced predictive performance and accuracy | GAM’s precision is challenged when dealing with complex variables |
| Kankanala et al. (2011) [29] | Estimating outages due to wind and lightning on overhead distribution feeders (USA) | Statistical methods (Linear regression models) | Historical outages and weather conditions (wind and lightning) | Models showed a high positive correlation between predictors and increased outages | Fewer meteorological data were used, excluding outlier days. The proposed model struggled to handle high-range outages |
| Kankanala et al. (2011) [30] | Estimating power outages on overhead distribution feeders (USA) | Statistical methods (exponential regression models) | Historical outage and weather conditions (wind and lighting) | Proposed exponential methods enhanced outage forecasting to some extent | Fewer meteorological data were used. The inability of the proposed model to handle high-range outage values |
| Guikema et al. (2010) [33] | Prestorm estimation of hurricane damage to electric power distribution systems (USA) | Statistical/ML (GAM, GLM, CART, BART) | Historical outage and weather conditions | The proposed model captured complexity and nonlinearity effectively | The lack of outage data limits model capabilities. Model complexity and computationally expensive |
| Wanik et al. (2017) [39] | Storm outage modelling for an electric distribution network (USA) | ML/Ensemble (BT, DT, RF, DT-RF-BT) | Electric distribution network outages and weather conditions | DT-RF-BT accurately predicted outages due to storms | There is limited data on infrastructure. Besides, only weather variables cannot account for power grid dynamics. The model is also complex |
| Motepe et al. (2022) [40] | Forecasting unplanned capability loss factors (South Africa) | ML/Hybrid (deep belief network (DBN), optimally pruned extreme learning machines (OP-ELM), LSTM-RNN) | Historic outage, weather conditions, and capacity factors | The hybrid DBN and LSTM-RNN outcompeted other models. Prediction error was reduced | The model is computationally expensive. |
| Model | Strengths | Weaknesses | Citation |
|---|---|---|---|
| LASSO | Besides being computationally efficient, LASSO is effective at regularisation, variable selection, and dimension reducibility. | Selects only a subset of correlated predictors and shrinks the rest to zero. The number of predictors selected is limited to the number of samples. | [42,43] |
| RF | Through the bagging technique, RF effectively handles nonlinearities, outliers, and missing values thereby avoiding model overfitting and minimising variance. Can effectively handle both classification and regression problems. | Requires more training time than other decision tree-based algorithms. Complex compared to other decision tree-based algorithms. | [44,45,46] |
| WT | Frequency and time domain compatible. Remove noise and reveal patterns in the signals. Provide statistically sound signals that are simple to model and predict. | It is difficult to determine the most appropriate decomposition level. | [37,47] |
| AdaBoostRT | Leveraging boosting, these methods enhance generalisation capabilities. Can avoid overfitting and minimise bias. Do not require a large training dataset. | AdaBoostRT’s convergence speed depends on the threshold selected. | [48,49,50] |
| RVM | Founded on the Bayesian framework, RVMs are sparse, probabilistic and require fewer support vectors. Handles high-dimensional data well, offering greater generalisation, and preventing overfitting (high variance). Does not have to comply with Mercer’s criteria and performs very well on smaller datasets. | Requires more training time for large datasets. | [35,36,51,52] |
| VAR | Captures complex and interdependent relations and structural changes in the data. Handles high dimensionality efficiently, and is easy to comprehend. | Lag length affects performance. Parameters increase with dimension. In higher-dimensional spaces, sparsity is required to avoid strong correlations. Has a complex stochastic structure | [53,54] |
1.4. Novelty and Contributions
- A preliminary examination of data utilising variance inflation factor (VIF) diagnostics revealed the presence of a high degree of multicollinearity. Hence, LASSO regression as a regularisation and variable selection procedure is used to remedy high levels of multicollinearity and predictor redundancies, thus ensuring dimensionality reduction in the model (i.e., with fewer parameters).
- Since LASSO cannot adequately capture complex nonlinear relations, we further employ RF to select the top 10 season-based variables, thereby enhancing model interpretability, efficiency, and accuracy.
- In our preliminary inspection of the original power grid data, we discovered that some variables were both unstable and noisy. To address these issues, we opted to utilise the superior capabilities of the sparse Bayesian RVM algorithm. By doing so, we can effectively handle complex behaviour (e.g., nonlinearity) in the data and improve forecast accuracy.
- At their core, WTs reduce noise and the effect of outliers from the underlying time series to ease modelling and forecasting [37,41]. We, therefore, employ WTs to decompose RVM residuals into high-frequency and approximate subseries with improved and sound statistical characteristics (less noise), which are easy to model and predict.
- Using AdaBoostRT’s robustness capabilities, we are able to minimise bias, accurately, and efficiently forecast residual subseries while utilising decomposed subseries for input features.
- Leveraging RF’s accuracy and its ability to avoid model overfitting, these computationally efficient and bagging approaches are also used to combine RVMs, RFs, AdaBoostRTs, and residual forecasts to arrive at a final forecast with speed and minimal error accumulation.
- In [40], the method employed UCLF alone as a predictand of power outages, using just a handful of other factors. Conversely, the proposed TUCLF.OCLF extends this by incorporating OCLFs and UCLFs. Thus, TUCLF.OCLF is a more comprehensive independent variable for predicting power outages as, (to some extent) it accounts for unplanned power outages in their totality.
- To an extent, our proposed framework could effectively capture the seasonality effects, nonlinearity, random fluctuations, and nonstationarity patterns inherent in the power grid data.
1.5. Structure of the Study
2. Materials and Methods
2.1. Case Study Report
2.1.1. Data Description
2.1.2. Problem Formulation
2.1.3. Data Partition
2.2. Variable Selection
2.3. Random Forest
2.4. Signal Processing Methods
Wavelet Transform
2.5. AdaBoostRT Algorithm
2.6. Relevance Vector Machine
2.7. Vector Autoregressive Models
2.8. Proposed Framework
Proposed Stacking Prediction Approach
| Algorithm 1: RVM-WT-AdaBoostRT-RF | |
| |
| Output: 31 retained predictors; 1 dependent variable
|
| |
|
|
| |
| b. Update weights , (, (updated weight) c. Calculate model weights (for the weak learners)
|
| |
|
|
2.9. Evaluation Metrics
2.9.1. Point Prediction Performance Indicators
2.9.2. Residual Analysis
2.9.3. Probabilistic Performance Indicators
2.9.4. Diebold-Mariano Test
2.9.5. Computational Tools
3. Results
3.1. Exploratory Analysis
3.2. Empirical Results
3.2.1. Wavelet Analysis
3.2.2. Comparative Analysis
3.2.3. Accuracy–Complexity Trade-Off
3.2.4. Ablation Study
3.2.5. Comparison with State-of-the-Art Methods
4. Conclusions
Author Contributions
Funding
Data Availability Statement
Conflicts of Interest
Appendix A
- I
- Algorithms implemented
| Algorithm A1: Variable Selection (through LASSO and RF) | |
| and fit LASSO Retain variables with non-zero coefficients ) Output: 31 predictors; 1 dependent variable
|
| Algorithm A2: RF (through bagging) | |
|
|
| Algorithm A3: Wavelet transform (through MODWT) | |
|
|
| Algorithm A4: AdaBoostRT (through boosting) | |
|
|
| Algorithm A5: RVM (through Bayesian framework) | |
|
|
- II
- Variable distributions

- III
- Glossary
| Available Dispatchable Capacity (Incl Non-Comm Units)—The capacity that is available from all dispatchable generation resources, and includes non-commercial generation, as it is dispatchable energy available to support the system. |
| CSP—Total contracted Concentrated Solar Power generation. |
| Dispatchable IPP OCGT—OCGT plant that is owned by an IPP and is dispatched by Eskom National Control. |
| Gen Unit Hours—The number of hours that one unit at pump storage stations can generate based on the amount of water still available in the dams or the number of hours that one unit at an OCGT power station can generate based on the fuel available at that power station. |
| GW—Gigawatt = 1000 megawatts. |
| GWh—Gigawatt-hour = 1000 MWh. |
| Hydro Generation—Generation from large hydropower stations, and sent out onto the Transmission network. |
| ILS—Interruptible Load Shed. This is consumer load(s) that can be contractually interrupted without notice or reduced by remote control or on instruction from Eskom National Control. Individual contracts place limitations on usage. |
| International Exports—Energy that is exported from RSA to neighbouring countries. |
| International Imports—Energy that is imported into RSA from neighbouring countries. |
| IOS—Interruption of Supply. It is all contracted as well as mandatory demand reduction resources utilised by Eskom National Control. This includes interruption of supply due to Transmission network faults. |
| IPP—Independent Power Producers that Eskom has contracts with. |
| kWh—Kilowatt-hour = 1000 watt-hours. |
| Load Factor—The ratio of the energy generated over a specific time versus the maximum generating capability over the same period. |
| MLR—Manual Load Reduction. It is an estimation of the demand that has been reduced due to load shedding and/or curtailment. |
| MW—Megawatt = 1 million watts. |
| MWh—Megawatt-hour = 1000 kWh. |
| Non-Dispatchable Conventional IPP—IPP that uses conventional fuel sources to generate energy. These IPPs are contracted with Eskom but not dispatched by Eskom National Control. |
| Nuclear Generation—Generation from nuclear power stations, and sent out onto the Transmission network. |
| OCGT—Open Cycle Gas Turbine. Generation from open cycle gas turbine power stations, and sent out onto the Transmission network. These power stations use diesel as their primary resource. |
| OCLF—Other Capability Loss Factor of Eskom plant. It is the ratio between the unavailable energy of the units that cannot be dispatched, due to constraints out of the power station management control, over a period compared to the total net installed capacity of all units over the same period. |
| Other RE—Generation from other smaller contracted renewables (small hydro, biomass, landfill gas, etc.). |
| PCLF—Planned Capability Loss Factor of Eskom plant. It is the ratio between the unavailable energy of the units that are out on planned maintenance over a period compared to the total net installed capacity of all units over the same period. |
| Pumped Water Generation—Generation from pumped storage power stations, and sent out onto the Transmission network. |
| Pumping—During off-peak periods and when the system allows, water is pumped from the bottom dams at pumped storage stations to the top dams so that this water is available to generate again. During this process, energy is used from the Transmission network. |
| PV—Total contracted Photovoltaic generation. |
| Residual Demand—The hourly average demand that needs to be supplied by all resources that can be dispatched by Eskom National Control. It includes Eskom generation, international imports, dispatchable IPPs and IOS. Normally expressed in MW. |
| Residual Energy—The total residual demand that is summated over a period of time. Normally expressed in MWh or GWh. |
| Residual Forecast—The forecast of what the expected residual demand will be in the future. |
| RSA Contracted Demand—The hourly average demand that needs to be supplied by all resources that Eskom has contracts with. It is the residual demand including demand supplied by self-dispatched generation (such as the renewables). |
| RSA Contracted Energy—The total RSA contracted demand that is summated over a period of time. Normally expressed in MWh or GWh. |
| RSA Contracted Forecast—The forecast of what the expected RSA contracted demand will be in the future. |
| SCO—Synchronous Condenser Operation. The energy used (MW per hour) to overcome the frictional losses when the plant is used to assist in stabilizing the network by supplying or absorbing reactive power. |
| Thermal Generation—Generation from coal-fired power stations, and sent out onto the Transmission network. |
| Total Available Capacity (Incl Non-Comm Units and Renewables)—The capacity that is available from all generation resources that Eskom has contracts with, and includes non-commercial generation, as it is energy available to support the system. |
| UCLF—Unplanned Capability Loss Factor of Eskom plant. It is the ratio between the unavailable energy of the units that are out on unplanned outages over a period compared to the total net installed capacity of all units over the same period. |
| Wind—Total contracted Wind generation. |
References
- Maythem, A.; Maryam, A. A New Load Forecasting Model Considering Planned Load Shedding Effect. Int. J. Energy Sect. Manag. 2018, 13, 149–165. [Google Scholar] [CrossRef]
- Onaolapo, A.K.; Carpanen, R.P.; Dorrell, D.G.; Ojo, E.E. A Comparative Assessment of Conventional and Artificial Neural Networks Methods for Electricity Outage Forecasting. Energies 2022, 15, 511. [Google Scholar] [CrossRef]
- Oladunni, O.J.; Mpofu, K.; Olanrewaju, O.A. Greenhouse Gas Emissions and Its Driving Forces in the Transport Sector of South Africa. Energy Rep. 2022, 8, 2052–2061. [Google Scholar] [CrossRef]
- Chikobvu, D.; Mamba, M. Modelling Emissions from Eskom’s Coal-Fired Power Stations Using Generalised Linear Models. J. Energy S. Afr. 2023, 34, 1–14. [Google Scholar] [CrossRef]
- Rakotonirainy, R.G.; Durbach, I.; Nyirenda, J. Considering Fairness in the Load Shedding Scheduling Problem. Orion 2019, 35, 127–144. [Google Scholar] [CrossRef]
- Inglesi, R.; Pouris, A. Forecasting Electricity Demand in South Africa: A Critique of Eskom’s Projections. S. Afr. J. Sci. 2010, 106, 50–53. [Google Scholar] [CrossRef]
- Pretorius, I.; Piketh, S.; Burger, R. The Impact of the South African Energy Crisis on Emissions. WIT Trans. Ecol. Environ. 2015, 198, 255–264. [Google Scholar]
- Jaech, A.; Zhang, B.; Ostendorf, M.; Kirschen, D.S. Real-Time Prediction of the Duration of Distribution System Outages. IEEE Trans. Power Syst. 2018, 34, 773–781. [Google Scholar] [CrossRef]
- Pombo-van Zyl, N. Warning: Stage 2 Loadshedding Returns States Eskom. ESI Afr. Afr. Power J. 2020. Available online: https://www.esi-africa.com/industry-sectors/transmission-and-distribution/warning-high-risk-of-loadshedding-returns-states-eskom/ (accessed on 9 October 2023).
- Marta, N.; Agnieszka, T. Load Shedding and the Energy Security of Republic of South Africa. J. Pol. Saf. Reliab. Assoc. Summer Saf. Reliab. Semin. 2015, 6, 99–108. Available online: https://bibliotekanauki.pl/articles/2069278 (accessed on 17 June 2023).
- IEA. Electricity Market Report—January 2022; IEA: Paris, France, 2022; Available online: https://www.iea.org/reports/electricity-market-report-january-2022 (accessed on 15 September 2023).
- Inglesi-Lotz, R. The Impact of Electricity Shortage on South Africa’s Economy. National Science and Technology Forum (NSTF). 2021. Available online: https://nstf.org.za/wp-content/uploads/2022/05/NSTF-2021-Loadshedding-Roula-Inglesi-Lotz.pdf (accessed on 17 December 2023).
- Sivhugwana, K.S.; Ranganai, E. An Ensemble Approach to Short-Term Wind Speed Predictions Using Stochastic Methods, Wavelets and Gradient Boosting Decision Trees. Wind 2024, 4, 44–67. [Google Scholar] [CrossRef]
- Gordon, R.; Gareth, E. Offshore Wind Energy—South Africa’s Untapped Resource. J. Energy S. Afr. 2020, 31, 26–42. [Google Scholar] [CrossRef]
- Fluri, T.P. The Potential of Concentrating Solar Power in South Africa. Energy Policy 2009, 37, 5075–5080. [Google Scholar] [CrossRef]
- Bosch, J.; Staffell, I.; Hawkes, A.D. Temporally Explicit and Spatially Resolved Global Offshore Wind Energy Potentials. Energy 2018, 163, 766–781. [Google Scholar] [CrossRef]
- Akinbami, O.M.; Oke, S.R.; Bodunrin, M.O. The State of Renewable Energy Development in South Africa: An Overview. Alex. Eng. J. 2021, 60, 5077–5093. [Google Scholar] [CrossRef]
- Statistics South Africa (Stats SA). Electricity, Gas and Water Supply Industry Report 2021. Available online: https://www.statssa.gov.za/publications/Report-41-01-02/Report-41-01-022021.pdf (accessed on 15 September 2023).
- Pouris, A. Energy and Fuels Research in South African Universities: A Comparative Assessment. Open Inf. Sci. J. 2008, 1, 1–9. Available online: https://repository.up.ac.za/bitstream/handle/2263/5990/Pouris_Energy(2008).pdf?sequence=1 (accessed on 17 October 2024). [CrossRef]
- Onaolapo, A.K.; Pillay Carpanen, R.; Dorrell, D.G.; Ojo, E.E. A Comparative Evaluation of Conventional and Computational Intelligence Techniques for Forecasting Electricity Outage. In Proceedings of the Southern African Universities Power Engineering Conference/Robotics and Mechatronics/Pattern Recognition Association of South Africa (SAUPEC/RobMech/PRASA), Potchefstroom, South Africa, 27–29 January 2021; pp. 1–6. [Google Scholar]
- Pahwa, A. Effect of Environmental Factors on Failure Rate of Overhead Distribution Feeders. In Proceedings of the IEEE Power Engineering Society General Meeting, Denver, CO, USA, 6–10 June 2004; pp. 691–692. [Google Scholar] [CrossRef]
- Tartibu, L.K.; Kabengele, K.T. Forecasting Net Energy Consumption of South Africa Using Artificial Neural Network. In Proceedings of the International Conference on the Industrial and Commercial Use of Energy (ICUE 2018), Cape Town, South Africa, 13–15 August 2018; pp. 16–22. [Google Scholar]
- Dahal, K.P. A Review of Maintenance Scheduling Approaches in Deregulated Power Systems. In Proceedings of the International Conference on Power Systems (ICPS 2004), Kathmandu, Nepal, 3–5 November 2004; pp. 565–570. Available online: http://hdl.handle.net/10454/2502 (accessed on 11 March 2023).
- Hou, H.; Zhu, S.; Geng, H.; Li, M.; Xie, Y.; Zhu, L.; Huang, Y. Spatial Distribution Assessment of Power Outage under Typhoon Disasters. Int. J. Electr. Power Energy Syst. 2021, 132, 107169. [Google Scholar] [CrossRef]
- Mamun, A.A.; Sohel, M.; Mohammad, N.; Haque Sunny, M.S.; Dipta, D.R.; Hossain, E. A Comprehensive Review of the Load Forecasting Techniques Using Single and Hybrid Predictive Models. IEEE Access 2020, 8, 134911–134939. [Google Scholar] [CrossRef]
- Oh, S.; Kong, J.; Choi, M.; Jung, J. Data-Driven Prediction Method for Power Grid State Subjected to Heavy-Rain Hazards. Appl. Sci. 2020, 10, 4693. [Google Scholar] [CrossRef]
- Han, S.R.; Guikema, S.D.; Quiring, S.M. Improving the Predictive Accuracy of Hurricane Power Outage Forecasts Using Generalized Additive Models. Risk Anal. 2009, 29, 1443–1453. [Google Scholar] [CrossRef]
- Kankanala, P.; Das, S.; Pahwa, A. AdaBoost+: An Ensemble Learning Approach for Estimating Weather-Related Outages in Distribution Systems. IEEE Trans. Power Syst. 2014, 29, 359–367. [Google Scholar] [CrossRef]
- Kankanala, P.; Pahwa, A.; Das, S. Regression Models for Outages Due to Wind and Lightning on Overhead Distribution Feeders. In Proceedings of the IEEE PES General Meeting 2011, Detroit, MI, USA, 24–28 July 2011; p. 3. [Google Scholar] [CrossRef]
- Kankanala, P.; Pahwa, A.; Das, S. Exponential Regression Models for Wind and Lightning Caused Outages on Overhead Distribution Feeders. In Proceedings of the North America Power Symposium (NAPS), Boston, MA, USA, 4–6 August 2011. [Google Scholar] [CrossRef]
- Liu, H.; Davidson, R.; Rosowsky, D.; Stedinger, J. Negative Binomial Regression of Electric Power Outages in Hurricanes. J. Infrastruct. Syst. 2005, 11, 258–267. [Google Scholar] [CrossRef]
- Das, S.; Kankanala, P.; Pahwa, A. Outage Estimation in Electric Power Distribution Systems Using a Neural Network Ensemble. Energies 2021, 14, 4797. [Google Scholar] [CrossRef]
- Guikema, S.D.; Quiring, S.M.; Han, S.R. Prestorm Estimation of Hurricane Damage to Electric Power Distribution Systems. Risk Anal. 2010, 30, 1744–1752. [Google Scholar] [CrossRef] [PubMed]
- Rizvi, M. Leveraging Deep Learning Algorithms for Predicting Power Outages and Detecting Faults: A Review. Adv. Res. 2023, 25, 80–88. [Google Scholar] [CrossRef]
- Tipping, M.E. Sparse Bayesian Learning and the Relevance Vector Machine. J. Mach. Learn. Res. 2001, 1, 211–244. Available online: http://www.jmlr.org/papers/volume1/tipping01a/tipping01a.pdf (accessed on 3 August 2023).
- Tzikas, D.G.; Wei, L.; Likas, A.C.; Yang, Y.; Galatsanos, N.P. A Tutorial on Relevance Vector Machines for Regression and Classification with Applications. EURASIP J. Adv. Signal Process. 2006, 17, 4. [Google Scholar]
- Sivhugwana, K.S.; Ranganai, E. Short-Term Wind Speed Prediction via Sample Entropy: A Hybridisation Approach against Gradient Disappearance and Explosion. Computation 2024, 12, 163. [Google Scholar] [CrossRef]
- Yuan, S.; Quiring, M.S.; Zhu, L.; Huang, Y.; Wang, J. Development of a Typhoon Power Outage Model in Guangdong, China. Int. J. Electr. Power Energy Syst. 2020, 117, 105711. [Google Scholar] [CrossRef]
- Wanik, D.W.; Anagnostou, E.N.; Hartman, B.M.; Frediani, M.E.B.; Astitha, M. Using Machine Learning Methods to Improve Prediction of Weather-Related Power Outages. Electr. Power Syst. Res. 2017, 146, 236–245. [Google Scholar] [CrossRef]
- Motepe, S.; Hasan, A.N.; Shongwe, T. Forecasting the Total South African Unplanned Capability Loss Factor Using an Ensemble of Deep Learning Techniques. Energies 2022, 15, 2546. [Google Scholar] [CrossRef]
- Bruce, L.M.; Koger, C.H.; Li, J. Dimensionality Reduction of Hyperspectral Data Using Discrete Wavelet Transform Feature Extraction. IEEE Trans. Geosci. Remote Sens. 2002, 40, 2331–2338. [Google Scholar] [CrossRef]
- Zou, H.; Hastie, T. Regularization and Variable Selection via the Elastic Net. J. R. Stat. Soc. Ser. B Stat. Methodol. 2005, 67, 301–320. [Google Scholar] [CrossRef]
- Ranganai, E.; Mudhombo, I. Variable Selection and Regularization in Quantile Regression via Minimum Covariance Determinant Based Weights. Entropy 2020, 23, 33. [Google Scholar] [CrossRef]
- Natras, R.; Soja, B.; Schmidt, M. Ensemble Machine Learning of Random Forest, AdaBoost and XGBoost for Vertical Total Electron Content Forecasting. Remote Sens. 2022, 14, 3547. [Google Scholar] [CrossRef]
- Breiman, L. Random Forests. Mach. Learn. 2001, 45, 5–32. [Google Scholar] [CrossRef]
- Bühlmann, P. Methods. In Handbook of Computational Statistics; Gentle, J., Härdle, W., Mori, Y., Eds.; Springer: Berlin/Heidelberg, Germany, 2012. [Google Scholar] [CrossRef][Green Version]
- Haijian, S.; Wei, H.; Xing, D.; Song, X. Short-Term Wind Speed Forecasting Using Wavelet Transformation and AdaBoosting Neural Networks in Yunnan Wind Farm. IET Renew. Power Gener. 2016, 11, 374–381. [Google Scholar] [CrossRef]
- Solomatine, D.P.; Shrestha, D.L. AdaBoost_RT: A Boosting Algorithm for Regression Problems. In Proceedings of the 2004 IEEE International Joint Conference on Neural Networks (IEEE Cat. No.04CH37541), Budapest, Hungary, 25–29 July 2004; IEEE: New York, NY, USA, 2004; Volume 2, pp. 1163–1168. [Google Scholar] [CrossRef]
- Zhang, P.; Yang, Z. A Robust AdaBoost_RT Based Ensemble Extreme Learning Machine. Math. Probl. Eng. 2015, 2015, 260970. [Google Scholar] [CrossRef]
- Li, R.; Sun, H.; Wei, X.; Ta, W.; Wang, H. Lithium Battery State-of-Charge Estimation Based on AdaBoost_RT-RNN. Energies 2022, 15, 6056. [Google Scholar] [CrossRef]
- Karatzoglou, A.; Smola, A.; Hornik, K.; Zeileis, A. kernlab—An S4 Package for Kernel Methods in R. J. Stat. Softw. 2004, 11, 1–20. [Google Scholar] [CrossRef]
- Fletcher, T. Relevance Vector Machines Explained. Available online: https://www.di.fc.ul.pt/~jpn/r/PRML/chp7/Fletcher_RVM_Explained.pdf (accessed on 14 March 2023).
- Hyndman, R.J.; Athanasopoulos, G. Forecasting: Principles and Practice, 2nd ed.; OTexts: Melbourne, Australia, 2021. [Google Scholar]
- Hou, P.S.; Fadzil, L.M.; Manickam, S.; Al-Shareeda, M.A. Vector Autoregression Model-Based Forecasting of Reference Evapotranspiration in Malaysia. Sustainability 2023, 15, 3675. [Google Scholar] [CrossRef]
- Bhattarai, B.P.; Paudyal, S.; Luo, Y.; Mohanpurkar, M.; Cheung, K.; Tonkoski, R.; Hovsapian, R.; Myers, K.S.; Zhang, R.; Zhao, P.; et al. Big Data Analytics in Smart Grids: State-of-the-Art, Challenges, Opportunities, and Future Directions. IET Smart Grid 2019, 2, 141–154. [Google Scholar] [CrossRef]
- Mohamed, M.A.; Eltamaly, A.M.; Farh, H.M.; Alolah, A.I. Energy Management and Renewable Energy Integration in Smart Grid System. In Proceedings of the 2015 IEEE International Conference on Smart Energy Grid Engineering (SEGE), Oshawa, ON, Canada, 17–19 August 2015; IEEE: New York, NY, USA, 2015. [Google Scholar]
- Arts, L.; van den Broek, E.L. The Fast Continuous Wavelet Transformation (fCWT) for Real-Time, High-Quality, Noise-Resistant Time-Frequency Analysis. Nat. Comput. Sci. 2022, 2, 47–58. [Google Scholar] [CrossRef] [PubMed]
- Yarmohammadi, M. A Filter Based Fisher g-Test Approach for Periodicity Detection in Time Series Analysis. Sci. Res. Essays 2011, 6, 3717–3723. [Google Scholar] [CrossRef]
- Hong, X.; Mitchell, R.; Di Fatta, G. Simplex Basis Function Based Sparse Least Squares Support Vector Regression. Neurocomputing 2019, 330, 394–402. [Google Scholar] [CrossRef]
- Gensler, A. Wind Power Ensemble Forecasting: Performance Measures and Ensemble Architectures for Deterministic and Probabilistic Forecasts. Ph.D. Thesis, University of Kassel, Kassel, Germany, 2018. [Google Scholar] [CrossRef]
- Sun, X.; Wang, Z.; Hu, J. Prediction Interval Construction for By-Product Gas Flow Forecasting Using Optimized Twin Extreme Learning Machine. Math. Probl. Eng. 2017, 2017, 12. [Google Scholar] [CrossRef]
- Diebold, F.X.; Mariano, R. Comparing Predictive Accuracy. J. Bus. Econ. Stat. 1995, 13, 253–265. [Google Scholar] [CrossRef]
- Zhou, Q.; Lv, Z.; Zhang, G. A Combined Forecasting System Based on Modified Multi-Objective Optimization for Short-Term Wind Speed and Wind Power Forecasting. Appl. Sci. 2021, 11, 9383. [Google Scholar] [CrossRef]
- Sivhugwana, K.S.; Ranganai, E. Wind Speed Forecasting with Differentially Evolved Minimum-Bandwidth Filters and Gated Recurrent Units. Forecasting 2025, 7, 27. [Google Scholar] [CrossRef]
- Hasanat, S.M.; Ullah, K.; Yousaf, H.; Munir, K.; Abid, S.; Bokhari, S.; Aziz, M.M.; Naqvi, S.F.M.; Ullah, Z. Enhancing Short-Term Load Forecasting with a CNN-GRU Hybrid Model: A Comparative Analysis. IEEE Access 2024, 12, 184132–184141. [Google Scholar] [CrossRef]
- Alhussein, M.; Aurangzeb, K.; Haider, S.I. Hybrid CNN-LSTM Model for Short-Term Individual Household Load Forecasting. IEEE Access 2020, 8, 180544–180557. [Google Scholar] [CrossRef]
- Marino, D.L.; Amarasinghe, K.; Manic, M. Building Energy Load Forecasting Using Deep Neural Networks. In Proceedings of the 42nd Annual Conference of the IEEE Industrial Electronics Society (IECON), Florence, Italy, 23–26 October 2016; IEEE: Piscataway, NJ, USA, 2016. [Google Scholar] [CrossRef]
- Tan, Z.; Zhang, J.; He, Y.; Zhang, Y.; Xiong, G.; Liu, Y. Short-Term Load Forecasting Based on Integration of SVR and Stacking. IEEE Access 2020, 8, 227719–227728. [Google Scholar] [CrossRef]
- Li, S.; Chen, W. A Study on Interpretable Electric Load Forecasting Model with Spatiotemporal Feature Fusion Based on Attention Mechanism. Technologies 2025, 13, 219. [Google Scholar] [CrossRef]
- Ahsan, M.M.; Mahmud, M.A.P.; Saha, P.K.; Gupta, K.D.; Siddique, Z. Effect of Data Scaling Methods on Machine Learning Algorithms and Model Performance. Technologies 2021, 9, 52. [Google Scholar] [CrossRef]
- Pinheiro, J.M.H.; de Oliveira, S.V.B.; Silva, T.H.S.; Saraiva, P.A.R.; de Souza, E.F.; Godoy, R.V.; Becker, M. The Impact of Feature Scaling in Machine Learning: Effects on Regression and Classification Tasks. arXiv 2025, arXiv:2506.08274. [Google Scholar] [CrossRef]
- Wright, M.A. Wind Speed Climatology in the Northern, Western, and Eastern Capes of South Africa: Implications for Wind Power. Ph.D. Thesis, University of the Witwatersrand, Johannesburg, South Africa, 2021. [Google Scholar]






| Variable | Keynote |
|---|---|
| ; | Independent Variable; Dependent Variable |
| ORFL = Original Residual Forecast Before Lockdown; RF = Residual Forecast; RSA.CF = Republic Of South Africa (RSA) Contracted Forecast; DG = Dispatchable Generation; IE = International Exports; RD = Residual Demand; RSA.CD = RSA Contracted Demand. | |
| ; ; ; . | IM = International Imports; TG = Thermal Generation; NG = Nuclear Generation; EGG = Eskom Gas Generation; E.OCGT.G = Eskom Open Cycle Gas Turbine Generation; HWG = Hydro Water Generation; PWG = Pumped Water Generation; ILSU = Interruptible Load Shed Usage; MLR = Manual Load Reduction; IOS = Interruption of Supply Excl ILS and MLR; D.IPP.OCGT = Dispatchable Independent Power Producers Eskom Open Cycle Gas Turbine; E.GSCO = Eskom Gas Synchronous Condenser Operation; E.OCGT.SCO = Eskom Open Cycle Gas Turbine Synchronous Condenser Operation; PWSCO.P = Pumped Water Synchronous Condenser Operation Pumping; PS = Pump Storage; IEC= Installed Eskom Capacity. |
| . | DGUH = Drakensberg Generation Unit Hours; PGUH = Palmiet Generation Unit Hours; IGUH = Ingula Generation Unit Hours. |
| ; ; ; . | PV = Photovoltaic; CSP = Concentrated Solar Power; ORE = Other Renewable; TRE = Total Renewable; WIC = Wind Installed Capacity; PVIC = PV Installed Capacity; CSPIC = CSP Installed Capacity; OREIC = Other Renewable Installed Capacity; TREIC = Total Renewable Installed Capacity. |
| ; | TPCLF = Total Planned Capability Loss Factor of Eskom plant; TUCLF = Total Unplanned Capability Loss Factor of Eskom plant; TOCLF = Total Other Capability Loss Factor of Eskom plant; lag 1 = TUCLF. OCLF 1 h ago (i.e., to capture immediate fluctuations); lag 2 = TUCLF. OCLF 2 h ago (i.e., to capture short-term trends); lag 24 = TUCLF. OCLF 24 h ago (i.e., to capture daily patterns); NCS = Non-comm sentout (NCS). |
| TUCLF. OCLF = Total unplanned power outage including TOCLF |
| Dataset | Date | Sample | Training (80%) | Test (20%) |
|---|---|---|---|---|
| Autumn | 1 March–30 April 2021 | 1464 | 1176 | 288 |
| Winter | 1 June–31 July 2021 | 1464 | 1176 | 288 |
| Spring | 1 September–31 October 2021 | 1464 | 1176 | 288 |
| Summer | 1 December 2021–31 January 2022 | 1488 | 1195 | 293 |
| Autumn 2022 | 1 March 2022–30 April 2022 | 1464 | 1176 | 288 |
| Model | Contribution to the Strategy |
|---|---|
| LASSO | ✓ LASSO is used for regularisation, variable selection, and dimension reduction. As a result, unplanned power outages are accurately predicted by utilising the most relevant and significant variables. |
| RVM | ✓ These sparse Bayesian learning techniques are probabilistic frameworks that require fewer support vectors while providing accuracy and similar generalisation to that of SVMs. In fact, RVMs are able to capture data complexity behavior (such as random fluctuations, nonlinearity, intermittence, etc.) whilst preventing overfitting. Hence, RVMs are a top choice for regression of heterogeneous power grid data. |
| WT | ✓ By using frequency and time-domain compatible WTs, we can effectively eliminate noise and reveal complex patterns that exist in power outage data. Hence, RVM residuals are best decomposed with a WT, as it is efficient and can handle nonstationary fluctuations well. Consequently, these signals become statistically reliable and easy to predict, thereby enhancing the predictive power of the model. |
| AdaBoostRT | ✓ Our solution for high volatile residuals leverages AdaBoostRT capabilities to minimise model bias, and accurately forecast residual subseries while using decomposed subseries as input. As a result, bias in the forecast is minimised. |
| RF | ✓ Besides providing top-10 most importance variables (which are pivotal for robust season-specific modelling), RFs are highly efficient at capturing nonlinearity while preventing overfitting and minimising variance. We, therefore, utilise RF as a meta-model to accurately and efficiently ensemble RVM, RF, AdaBoostRT, and residual forecasts to arrive at the forecast value, while minimising error accumulation and enhancing overall model robustness. |
| Model | Libraries | Method | Parameter | Optimal Range |
|---|---|---|---|---|
| LASSO | glmnet | Variable Selection | lambda family nlambda | 0–2 “guassian” 100–500 |
| RF | Caret, ranger, randomForest | Bagging ensemble | mtry | 1–10 |
| ntree nodesize | 100–1000 1–15 | |||
RVM | kernlab (rvm) | Bayesian inference | kernel | (“anovadot”,“rbfdot”) |
| sigma | 0–2 | |||
| degree | 1–2 | |||
| AdaBoostRT | ReBoost (AdaBoostRT) | Boosting ensemble | thr | 0.001–0.3 |
| power | 0–2 | |||
| t_final | 30–500 | |||
| WT | Waveslim (modwt) | Signal decomposition (noise reduction) | wf n.levels boundary | ‘db4’ 2 ‘periodic’ |
| VAR | Vars (var) | Autoregression | lag order p | 1–3 |
| Hybrid | - | Stacked |
| Dataset | Min | Q1 | Median | Mean | Q3 | Max | Std.Dev | Kurtosis | Skewness |
|---|---|---|---|---|---|---|---|---|---|
| Autumn | 8410 | 11,184 | 11,931 | 11,863 | 12,619 | 14,867 | 986.3464 | 0.0874 | −0.4222 |
| Winter | 8957 | 10,914 | 11,754 | 12,076 | 13,303 | 15,862 | 1562.242 | −0.7764 | 0.3735 |
| Spring | 9819 | 11,966 | 13,044 | 13,055 | 14,193 | 16,573 | 1503.281 | −0.7384 | 0.0026 |
| Summer | 10,144 | 12,823 | 14,219 | 13,928 | 14,924 | 17,558 | 1396.025 | −0.5362 | −0.3862 |
| Autumn 2022 | 10,981 | 12,829 | 13,749 | 13,793 | 14,676 | 17,022 | 1245.443 | −0.6943 | 0.1651 |
| Model | Autumn | Winter | Spring | Summer | Autumn 2022 | |
|---|---|---|---|---|---|---|
| Point forecasts evaluation | ||||||
| RMSE (MW) | Hybrid | 262.6653 | 264.5506 | 394.6098 | 379.0801 | 260.6709 |
| RF | 403.1206 | 326.5305 | 740.894 | 678.7496 | 383.0104 | |
| RVM | 414.4714 | 302.2173 | 549.6189 | 608.635 | 301.7799 | |
| AdaBoostRT | 390.2795 | 318.0112 | 714.8113 | 637.2507 | 359.4349 | |
| VAR | 2491.183 | 942.7002 | 1100.073 | 1201.092 | 812.6005 | |
| Naive | 1214.92 | 1027.169 | 1075.973 | 3252.646 | 993.0945 | |
| MAE (MW) | Hybrid | 201.1949 | 198.5543 | 288.1561 | 273.6507 | 190.9103 |
| RF | 287.4192 | 253.7929 | 538.0478 | 519.6454 | 289.1329 | |
| RVM | 298.4295 | 232.7954 | 385.2204 | 543.8472 | 227.4744 | |
| AdaBoostRT | 252.9515 | 239.721 | 500.6655 | 469.6258 | 264.6619 | |
| VAR | 2294.874 | 800.4576 | 893.751 | 990.4461 | 695.3962 | |
| Naive | 986.413 | 908.9877 | 902.3139 | 3013.444 | 781.4761 | |
| MAPE (%) | Hybrid | 1.81973 | 1.6408 | 1.9897 | 2.2190 | 1.2744 |
| RF | 2.5850 | 2.1058 | 3.7770 | 4.0968 | 1.9376 | |
| RVM | 2.9030 | 1.9925 | 2.6684 | 4.6424 | 1.5185 | |
| AdaBoostRT | 2.2760 | 1.9778 | 3.4994 | 3.7291 | 1.7754 | |
| VAR | 25.1661 | 6.7485 | 6.3391 | 7.9346 | 4.5550 | |
| Naive | 8.2233 | 7.4672 | 6.2169 | 19.2540 | 5.4756 | |
| Residual analysis | ||||||
| Standard deviation (MW) | Hybrid | 257.5268 | 257.9521 | 376.4643 | 379.1566 | 261.116 |
| RF | 368.4571 | 322.784 | 584.5953 | 474.7601 | 326.8649 | |
| RVM | 369.7274 | 283.4306 | 445.0868 | 279.8739 | 301.1337 | |
| AdaBoostRT | 374.4322 | 318.5555 | 606.9506 | 533.957 | 325.5703 | |
| VAR | 970.9904 | 931.584 | 1080.136 | 1188.798 | 722.2145 | |
| Naive | 1056.375 | 1007.025 | 1070.423 | 1226.374 | 767.169 | |
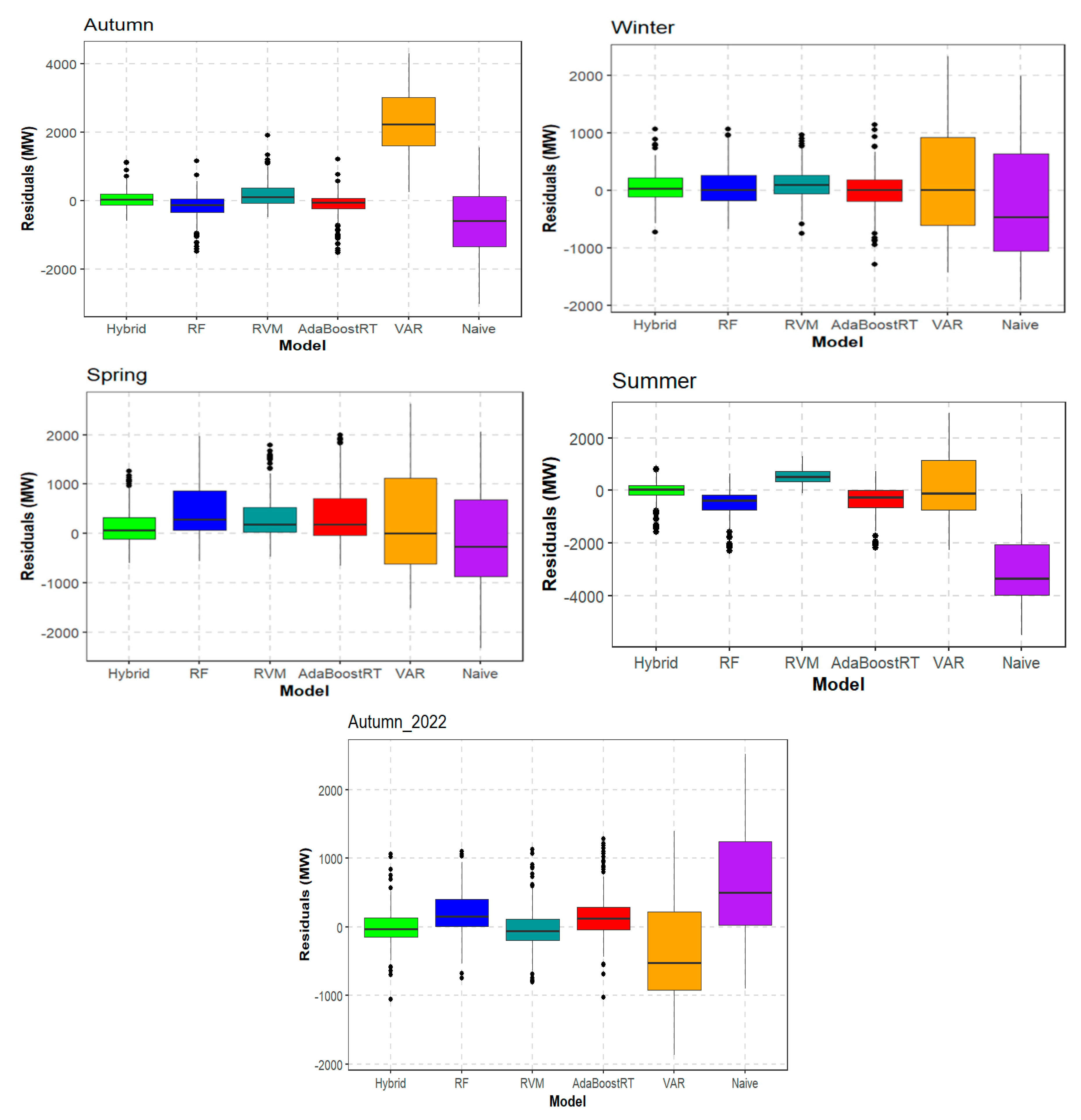
| Skewness/Error direction | Hybrid | Underestimate | Underestimate | Underestimate | Overestimate | Underestimate |
| RF | Overestimate | Underestimate | Underestimate | Overestimate | Underestimate | |
| RVM | Underestimate | Underestimate | Underestimate | Underestimate | Underestimate | |
| AdaBoostRT | Overestimate | Overestimate | Underestimate | Overestimate | Underestimate | |
| VAR | Underestimate | Underestimate | Underestimate | Underestimate | Underestimate | |
| Naive | Overestimate | Underestimate | Underestimate | Underestimate | Underestimate | |
| Bias test (Conclusion) | ||||||
| MZ * | Hybrid | Biased | Biased | Biased | Biased | Unbiased |
| RF | Biased | Biased | Biased | Biased | Biased | |
| RVM | Biased | Biased | Biased | Biased | Biased | |
| AdaBoostRT | Biased | Biased | Biased | Biased | Biased | |
| VAR | Biased | Biased | Biased | Biased | Biased | |
| Naive | Biased | Biased | Biased | Biased | Biased | |
| Prediction intervals evaluation | ||||||
| 95% PINAW | Hybrid | 21.2277 | 24.2517 | 30.2351 | 30.7052 | 30.0080 |
| RF | 25.8908 | 27.8732 | 40.7178 | 32.6159 | 35.2706 | |
| RVM | 25.3539 | 27.8480 | 32.4444 | 17.4738 | 37.7469 | |
| AdaBoostRT | 27.9150 | 31.2775 | 43.6040 | 38.3266 | 36.9853 | |
| VAR | 68.7904 | 70.4972 | 79.6423 | 70.5827 | 57.4267 | |
| Naive | 86.1431 | 84.3254 | 92.8462 | 82.2576 | 79.2907 | |
| Predictive accuracy evaluation: Hybrid vs. individual models. | ||||||
| DM ** | RF | |||||
| RVM | ||||||
| AdaBoostRT | ||||||
| VAR | ||||||
| Naive | ||||||
| Model | Computational Time Intervals (s) | Average Computational Time (s) | Hybrid vs. Single Model Time Difference (s) | RMSE |
|---|---|---|---|---|
| RF | 20–30 | 25 | 30 | 61 |
| RVM | 30–40 | 35 | 20 | 43 |
| AdaBoostRT | 30–40 | 35 | 20 | 55 |
| VAR | 5–10 | 7.5 | 47.5 | 375 |
| Naive | 5–10 | 7.5 | 47.5 | 395 |
| Hybrid | 50–60 | 55 | - | - |
| Model | Blender | RMSE/MW | MAPE/% | PICP/% | PINAW/% | MAD/MW | RMSE |
|---|---|---|---|---|---|---|---|
| RVM+AdaBoosRT | RF | 458.6394 | 2.6951 | 95.5631 | 31.4419 | 376.9945 | 21 |
| RF | 430.3829 | 2.5669 | 95.2218 | 31.7904 | 352.7375 | 14 | |
| RF+AdaBoosRT | RF | 466.5318 | 2.6454 | 95.9044 | 33.4339 | 304.2609 | 23 |
| RF | 436.3922 | 2.4485 | 94.8806 | 31.6265 | 287.6163 | 15 | |
| RF | 399.4977 | 2.7087 | 95.5631 | 25.5820 | 440.9243 | 5 | |
| Average | 3337.881 | 35.689 | 95.2218 | 26.8902 | 5001.131 | 781 | |
| Full stacked (Hybrid) | RF | 379.0801 | 2.2190 | 95.9044 | 30.7052 | 292.8671 |
| Model | RMSE (MW) | MAPE (%) | Citation | Data Description |
|---|---|---|---|---|
| Hybrid (Proposed) | 260.67 | 1.27 | Present | South Africa, outage data (UCLF) (MW), 2021–2022 |
| CNN-LSTM | 381.66 | 2.15 | [65,66] | American Electric Power (AEP) and ISO New England (ISONE) load data (MW), 2014 |
| LSTM | 975.00 | 5.11 | [65,67] | AEP and ISONE load data (MW), 2014 |
| SVR-stacking | 583.77 | 1.75 | [68] | Spain, load data (MW), 2015–2018 |
| XGBoost-stacking | 1087.45 | 3.62 | [68] | Spain, load data (MW), 2015–2018 |
| TCN-GRU-Attention | 1008.23 | 8.80 | [69] | Australian electricity market operator (AEMO) load data (MW), 2006–2011 |
Disclaimer/Publisher’s Note: The statements, opinions and data contained in all publications are solely those of the individual author(s) and contributor(s) and not of MDPI and/or the editor(s). MDPI and/or the editor(s) disclaim responsibility for any injury to people or property resulting from any ideas, methods, instructions or products referred to in the content. |
© 2025 by the authors. Licensee MDPI, Basel, Switzerland. This article is an open access article distributed under the terms and conditions of the Creative Commons Attribution (CC BY) license (https://creativecommons.org/licenses/by/4.0/).
Share and Cite
Sivhugwana, K.S.; Ranganai, E. Short-Term Forecasting of Unplanned Power Outages Using Machine Learning Algorithms: A Robust Feature Engineering Strategy Against Multicollinearity and Nonlinearity. Energies 2025, 18, 4994. https://doi.org/10.3390/en18184994
Sivhugwana KS, Ranganai E. Short-Term Forecasting of Unplanned Power Outages Using Machine Learning Algorithms: A Robust Feature Engineering Strategy Against Multicollinearity and Nonlinearity. Energies. 2025; 18(18):4994. https://doi.org/10.3390/en18184994
Chicago/Turabian StyleSivhugwana, Khathutshelo Steven, and Edmore Ranganai. 2025. "Short-Term Forecasting of Unplanned Power Outages Using Machine Learning Algorithms: A Robust Feature Engineering Strategy Against Multicollinearity and Nonlinearity" Energies 18, no. 18: 4994. https://doi.org/10.3390/en18184994
APA StyleSivhugwana, K. S., & Ranganai, E. (2025). Short-Term Forecasting of Unplanned Power Outages Using Machine Learning Algorithms: A Robust Feature Engineering Strategy Against Multicollinearity and Nonlinearity. Energies, 18(18), 4994. https://doi.org/10.3390/en18184994

