Next Article in Journal
Identification of Energy Storage in Distribution Channels
Next Article in Special Issue
Sensitivity Factors of Thermally Regenerative Electrochemical Cycle Systems Using Fuel Cell’s Waste Heat
Previous Article in Journal
Identification of Control Parameters in Doubly Fed Induction Generators via Adaptive Differential Evolution
Previous Article in Special Issue
Mitigation of Reverse Power Flows in a Distribution Network by Power-to-Hydrogen Plant
 
 
Font Type:
Arial Georgia Verdana
Font Size:
Aa Aa Aa
Line Spacing:
Column Width:
Background:
Article

Performance Modulation of AB2-Type Ti-Mn-Based Alloys for Compact Solid-State Hydrogen Storage Tank

Guangdong Provincial Key Laboratory of Advanced Energy Storage Materials, School of Materials Science and Engineering, South China University of Technology, Guangzhou 510006, China
*
Author to whom correspondence should be addressed.
Energies 2025, 18(18), 4980; https://doi.org/10.3390/en18184980
Submission received: 30 July 2025 / Revised: 30 August 2025 / Accepted: 16 September 2025 / Published: 19 September 2025
(This article belongs to the Special Issue Advances in Hydrogen Energy IV)

Abstract

This study aims to develop an AB2-type Ti-Mn-based alloy with low operating pressure and favorable activation performance for use in a compact hydrogen storage tank. The optimized alloy, Ti0.75Zr0.25Cr0.75Mn1.2 + 1.5 wt.% Ce, was produced at scale and exhibits a maximum hydrogen storage capacity of 1.87 wt.% and excellent hydrogen activation properties. Furthermore, compositing the mass-produced alloy with 5 wt.% aluminum foam increases the hydride tank’s hydrogen discharge rate by 50%. A prototype aluminum tank containing 57.8 g of hydrogen is demonstrated to stably supply hydrogen to a 220 W fuel cell, enabling continuous operation at rated power output. The work provides a material solution with potential industrial applicability for compact, low-pressure hydrogen storage systems.

1. Introduction

Hydrogen energy is regarded as a promising clean energy source due to its high gravimetric energy density and abundant availability [1,2]. Proton exchange membrane fuel cells (PEMFCs), characterized by high energy conversion efficiency and zero operational emissions [3,4,5,6,7], are considered ideal power sources, demonstrating significant application potential in heavy-duty transport, maritime, rail, and automotive sectors [8,9,10,11,12,13]. Nevertheless, safety assurance in hydrogen supply, low volumetric storage density, and cost-effectiveness remain critical challenges limiting their large-scale deployment.
Various solid-state hydrogen storage materials exhibit distinct limitations: TiFe alloys face difficult activation and poor poisoning resistance [14,15]; Mg-based systems require dehydrogenation temperatures far exceeding ambient conditions despite high capacity [16,17]; and AB5-type rare-earth alloys are costly with low capacity [18]. In contrast, AB2-type Ti-Mn alloys exhibit moderate dehydrogenation conditions and high volumetric hydrogen storage density, along with relatively low material costs. However, these alloys frequently encounter challenging activation kinetics. To address this issue, Wu, R. et al. [19] comprehensively investigated the effect of annealing treatment on Ti-Mn-V alloys, demonstrating that annealing significantly accelerates the activation process. Liu et al. [20] revealed that even 0.4 wt.% cerium (Ce) enhances the activation performance of Ti32Cr46V22 alloys. Mi et al. [21] studied the impact of varying Ce content on alloy performance, showing that 0.5 wt.% Ce optimally activates the alloy and delivers superior hydrogen storage properties.
Regarding the solid-state hydrogen storage tanks for fuel cells, several problems should be overcome prior to practical applications. After multiple hydrogen absorption/desorption cycles, Ti-Mn-based alloys undergo substantial lattice volume expansion due to hydrogenation, leading to fragmentation of hydride particles. The resulting finer particles precipitate at the tank bottom, severely compromising heat and mass transfer performance. To address this issue, Davids et al. [22] incorporated 1 wt.% expanded natural graphite powder into the tank, significantly enhancing its thermal management. Bai et al. [23] optimized the internal tank structure by introducing complex-shaped fins to increase the heat exchange area with external thermal media, thereby improving overall thermal efficiency. The kinetics of hydrogen sorption in storage tanks are critical for compact energy storage devices such as vehicular hydrogen systems. However, these kinetics are constrained by the limited thermal conductivity of the alloy bed. To address this, Bian, L. [24] and Piao, M. [25] et al. employed a novel compaction and cladding process to fabricate composite blocks by integrating polyvinylidene fluoride (PVDF) or polydimethylsiloxane (PDMS) with expanded graphite (EG) and alloy powders. These blocks exhibit markedly improved thermal conductivity, thereby enhancing the hydrogen sorption kinetics of the storage tanks.
This study aims to develop an AB2-type alloy with low dehydrogenation plateau pressure for solid-state hydrogen storage tanks operating at medium-to-low pressures, targeting compatibility with low-power fuel cells. The alloy is integrated into aluminum alloy tanks and composited with expanded graphite or aluminum foam to enhance hydrogen release kinetics and ensure system compatibility.

2. Materials and Methods

2.1. Sample Preparation

Two alloy series were synthesized via vacuum arc-melting:
A-series: Ti0.85Zr0.15Cr1.15Mn0.85 + x wt.% Ce (x = 0–3.5)
B-series: Ti1−xZrxCr1.15Mn0.85 + 1.5 wt.% Ce (x = 0.1–0.25)
Raw materials including Ti, Cr, Mn, Ce, and Cu with purities exceeding 99 wt.% were used for alloy preparation. Batch calculations accounted for a 5 wt.% weight loss ratio of Mn during melting. To ensure compositional homogeneity, each alloy ingot was remelted five times under argon atmosphere. The as-cast alloys were polished to remove surface oxide layers, stored under argon protection, and subsequently crushed and ground into powder for microstructural characterization and performance testing.
The mass-produced alloys were synthesized via vacuum induction melting combined with low-speed melt-spinning, utilizing a vacuum induction strip casting furnace (Lingrui, Jinzhou, China). The specific preparation parameters were as follows: the chamber was initially evacuated to 4 Pa, preheated at 7 kW for 1 min, then progressively heated until complete raw material melted, and finally maintained at 32 kW for 5 min. The molten alloy was then ejected onto a copper roller rotating at a linear velocity of 5 m/s. The resulting furnace-cooled fragments were subsequently crushed and ground under argon atmosphere. Powder passing through a 400-mesh sieve was collected for structural analysis and performance testing.

2.2. Sample Characterization and Test

The phase structures of the alloys were characterized by X-ray diffraction (PANalytical Empyrean, Almelo, Holland) with Rietveld refinement performed using GSAS-II software to determine lattice parameters and unit cell volumes. Owing to the high surface flatness of the scaled-up alloys, only fragmentation into appropriate particle sizes was required for subsequent testing without additional processing. Microstructural morphology and composition were analyzed via field-emission scanning electron microscopy (TESCAN, Brno, Czech Republic) coupled with energy-dispersive X-ray spectroscopy (Bruker, Saarland, Germany). Time-of-Flight secondary ion mass spectrometry (TOF-SIMS) was further employed to probe the microstructures of alloy surfaces and cross-sections.
Hydrogen storage properties were evaluated using a Sieverts-type apparatus (Shanghai Tongjin, Shanghai, China). After pulverization, samples were loaded into the reaction chamber and evacuated at 303 K for 30 min. Pressure–composition–temperature (PCT) curves and hydrogen absorption/desorption kinetics were measured under isothermal conditions at 303 K with a maximum hydrogen pressure of 50 bar.

2.3. Hydrogen Storage Tank

The hydrogen storage tanks employ seamless aluminum alloy cylinders conforming to the Chinese National Standard GB/T 11640-2021 [26]. Key specifications are summarized in Table 1.
This study investigates three alloying filling configurations for comparative analysis:
  • Pure-Alloy tank configuration: 3 kg alloy was directly filled into the tank.
  • Alloy-EG tank configuration: 3 kg alloy was mixed with 22.5 g expanded graphite (EG) prior to tank filling.
  • Alloy-AF tank configuration: 3 kg alloy was mixed with 150 g aluminum foam (AF) strips (10 mm in diameter).
The hydrogen storage tank was subject to vacuum evacuation and then hydrogen charging under 50 bar hydrogen pressure with room-temperature water bath conditions. The absorbed hydrogen mass was quantified using an electric balance by measuring weight difference before and after each charging cycle. The alloy tank was connected with a check valve, pressure-reducing valve, and a flowmeter to test ambient hydrogen release rate and then a fuel cell system with varied power for operational validation under controlled conditions.

3. Results

3.1. Effect of Ce Addition and Partial Substitution of Ti by Zr

Figure 1 presents the XRD patterns of all alloys, while Table 1 lists the refined cell volume. All alloys exhibit a single-phase C14-Laves structure (space group P63/mmc) with no detectable secondary phase. For the A-series alloys, increasing Ce doping expands the cell volume from 167.024 Å3 (x = 0) to 167.474 Å3 (x = 3.5). This minor expansion results from partial substitution of Ti/Zr atoms by larger-radius Ce atoms, though Ce primarily exists as CeO2 on alloy surfaces (discussed later). Given Ce’s limited impact on cell volume, Zr substitution for Ti was employed to reduce the C14 cell volume. For the B-series alloys, increasing Zr content shifts C14 peaks toward lower angles, expanding the unit cell from 166.242 Å3 (x = 0.10) to 170.638 Å3 (x = 0.25) due to Zr’s larger atomic radius compared to Ti.
Figure 2 compares the activation performance of Ce-added and Ce-free Ti0.85Zr0.15Cr1.15Mn0.85 alloys. The Ce-modified alloy immediately commences hydrogen absorption at 293 K under 50 bar, reaching 90% of its maximum capacity within 4 min. In contrast, the Ce-free alloy remains inert under identical conditions even after 15 min. Consequently, Ce addition significantly enhances room-temperature hydrogenation kinetics of alloy, drastically reducing charging time and enabling hydrogen storage tanks to achieve full charging at ambient temperature.
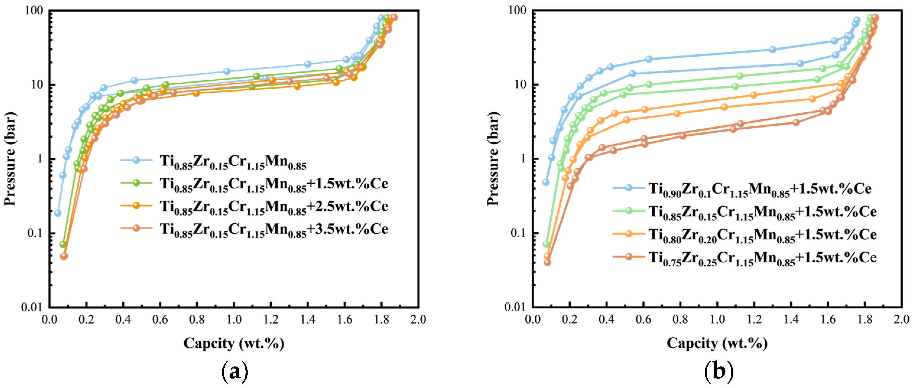
Figure 3a presents the hydrogen absorption/desorption PCT curves of A-series alloys. Increasing Ce content slightly reduces the plateau pressures of both hydrogen absorption and desorption, with the desorption plateau pressure (Pd) decreasing from 11.15 bar to 7.83 bar—consistent with the trend of cell volume expansion observed in Table 2. Additionally, increasing Ce content leads to an initial rise followed by a decline in hydrogen storage capacity (Cm), and a widened solid solution region, collectively resulting in reduced effective hydrogen storage capacity. Meanwhile, given that increased cerium content substantially elevates production costs. Consequently, the cerium content was fixed at 1.5 wt.%. Partial Zr substitution for Ti was then employed to reduce the dehydrogenation plateau pressure.
Figure 3b shows the PCT curves of the B-series alloys. As Zr substitution for Ti increases from 0.10 to 0.25, the Pd decreases significantly from 13.84 bar to 2.20 bar. Concurrently, the Cm rises to 1.86 wt.%, but the desorption-to-absorption capacity ratio (Rrev) declines from 0.93 to 0.84. This reduction is attributed to Zr’s stronger hydrogen affinity compared to Ti: after Zr partially replaces Ti lattice sites, excessive binding energy at specific interstitial sites prevents the release of some hydrogen atoms. Furthermore, increasing Zr content elevates the plateau slope from 0.512 to 0.909. At x = 0.25, the desorption plateau onset pressure approaches approximately 1 bar; any further reduction in plateau pressure below atmospheric pressure would render hydrogen release practically unachievable under normal conditions. Therefore, the optimal zirconium substitution level is determined as 0.25, yielding the optimized alloy composition: Ti0.75Zr0.25Cr1.15Mn0.85 + 1.5 wt.% Ce.

3.2. Characterization of Batch-Prepared Alloys

The alloy Ti0.75Zr0.25Cr1.15Mn0.85 + 1.5 wt.% Ce was prepared via vacuum induction melting with a batch weight of ~10 kg. Figure 4a displays the typical SEM morphology of the alloy, revealing the existence of hexagonal crystals of several micros in size in the Ti-based alloy. Combined with EDS elemental mappings in Figure 4b,c, these hexagonal crystals exhibit significant enrichment in Ce and O elements, suggesting that these crystals likely correspond to CeO2 formed by oxidation of Ce on the alloy surface.
TOF-SIMS characterization was performed on the hexagonal crystals to map elemental distributions on both the surface and cross-section. Figure 5a shows the O1− signal representing oxygen distribution, Figure 5b the CeO22− signal indicating CeO2 distribution, and Figure 5c the TiO2− signal reflecting TiO2 distribution. The operation employs ‘Negative Mode’, where positive ion signals were negligible. To ensure spatial consistency and facilitate intuitive interpretation, the signal distributions of corresponding negative ions were used to represent elemental distributions (e.g., CeO22− signals substituted for elemental Ce). The intensity of these signals was highest for oxygen, followed by CeO2, and weakest for TiO2, suggesting that the hexagonal region consists primarily of CeO2 with minor amounts of TiO2. Previous studies suggest that the dissociation of hydrogen molecules on alloy surfaces is a critical initial step in hydrogenation processes, significantly influencing overall reaction rates. Cerium oxide additives have been reported to reduce the activation energy barrier for hydrogen dissociation on magnesium surfaces, facilitate diffusion pathways, and provide active nucleation sites for magnesium hydride formation [27,28]. Additionally, cerium’s strong affinity for oxygen allows it to preferentially bind with oxygen in alloy precursors, potentially inhibiting the formation of passivation layers based on TiO2 or MnO2 [29,30,31]. These mechanisms suggest that the CeO2 distributed on the alloy surface may contribute to the enhanced activation performance observed in Figure 2.
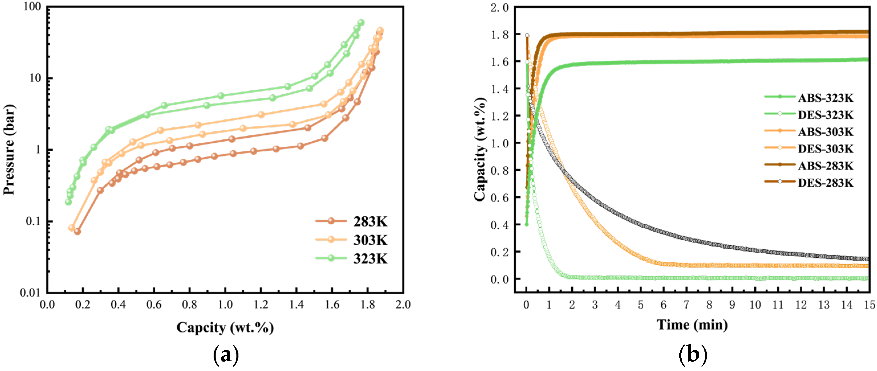
PCT and kinetic performance tests were conducted on the batch-prepared alloy. Figure 6a presents the PCT curves at different temperatures. At 303 K, the mass-produced alloy delivers a hydrogen storage capacity of 1.87 wt.%, which is very close to that shown in Table 2 for the optimized alloy. Further, the desorption plateau pressure (1.73 bar) of this alloy precisely matches the operational pressure requirements of PEMFCs (1.4–2.0 bar). Figure 6b shows its hydrogen absorption/desorption kinetic profiles at 303 K. The maximum hydrogen absorption capacity of the alloy varies with temperature, which is primarily attributable to the increase in plateau pressure as temperature rose, despite a constant maximum absorption pressure of 50 bar being applied during testing. Although temperature elevation had limited influence on the rate of hydrogen absorption, it significantly enhanced the hydrogen desorption kinetics. At 323 K, the alloy demonstrates markedly enhanced kinetic performance compared to several previously reported systems [20,21]. It achieves 90% hydrogen saturation within 60 s during absorption and released 99% of its stored hydrogen within 2 min during desorption.
Such rapid kinetics are critical for efficient charging/discharging of hydrogen storage tanks. Magnesium-based materials (e.g., MgH2, Mg2NiH4) exhibit higher theoretical capacities (5–7 wt.%) than Ti-Mn alloys. However, their practical application faces significant challenges: elevated dehydrogenation temperatures (>573 K) necessitate complex thermal management systems, substantially increasing device complexity and cost [32]. These hydrides also suffer rapid capacity degradation, as exemplified by MgH2-LiBH4 composites retaining < 80% capacity after 10 cycles (absolute capacity decay to 3.9 wt.%) [33], whereas Ti-Mn alloys maintain >95% capacity after 500 cycles. Consequently, while magnesium-based materials may suit large-scale centralized hydrogen storage facilities tolerant of high energy consumption, their utility in vehicular and portable scenarios remains limited due to systemic constraints.

3.3. Hydrogen Discharge Performance of Hydrogen Storage Tank

Three types of hydrogen storage tanks were rapidly charged using a 50 bar hydrogen source. Table 3 summarizes the hydrogen storage parameters of three tanks. Each tank contains 3 kg of alloy, and approximately 58 g of hydrogen, with gravimetric storage density exceeding 1.2 wt.%.
Figure 7a displays the hydrogen flow rate profiles of three hydride tanks at 293 K under an output pressure limit of 1.5 bar during the initial 30 min period. All profiles exhibit a sharp reduction in hydrogen flow rate in the initial ~4 min, where hydrogen flow is dominantly contributed by high-pressure gaseous hydrogen stored in the headspace of the tank; Subsequently, hydrogen is released gradually through the decomposition of metal hydride. The flow rate curves for the Pure-Alloy tank and Alloy-EG tank show significant overlap, both declining to 3.15 L/min by the 30th min. It indicates that the addition of EG does not enhance the hydrogen discharge rate. This limitation may stem from the inherent low mechanical strength of EG, which compromises its porous network structure under alloy expansion pressure, thereby disrupting hydrogen diffusion pathways. Furthermore, the low density of EG restricts the maximum allowable addition amount without adversely affecting material integrity. It is plausible that the addition level of 0.75 wt.% used in this study was insufficient to exert a measurable influence on the relevant properties. In contrast, the Alloy-AF tank achieves a flow rate of 4.82 L/min at the 30th min—a 50% increase compared to the unmodified tank. This enhancement is attributed to the porous structure of aluminum foam, which facilitates hydrogen diffusion and improves thermal conductivity within the hydride bed.
To evaluate hydrogen discharge rate under service conditions, the Alloy-AF tank was tested in a 323 K water bath at 1.5 bar output pressure limit. As shown in Figure 7b, the elevated temperature increases the dehydrogenation pressure of the alloy, thereby promoting the hydrogen release. At 293 K, the average flow rate is 3.14 L/min, while at 323 K it increases up to 7.5 L/min—exceeding the 3 L/min requirement for a 220 W PEMFC. This disparity is most pronounced within the first 30 min: the flow rate at the 30th min is 8.15 L/min (323 K) versus 4.82 L/min (293 K). Overall, the Alloy-AF tank exhibits an average hydrogen release flow rate of 7.5 L/minat an output pressure of 1.5 bar.
After dehydrogenation testing, the Alloy-AF tank was recharged and connected with a PEMFC for hydrogen discharge evaluation. The fuel cell operates at a nominal power output of 220 W and a voltage of 50 V, with hydrogen purge cycle set to 0.5 s at a 3 s interval. Figure 8 illustrates the operational profile of the fuel cell, delineating three distinct stages: (I) start-up, during which the output power increases from 10 W to 220 W; (II) steady state operation, characterized by stable voltage and power output sustained by low-pressure hydrogen supplied from the Alloy-AF tank; (III) unsteady operation, marked by fluctuations in voltage and power due to inconsistent hydrogen delivery. Although an auxiliary Li-ion battery can briefly compensate for the ensuing power deficit, the stack voltage eventually reduces, leading to system shutdown.
This behavior is attributed to suboptimal hydrogen supply dynamics rather than a fundamental failure of the storage system. Fang et al. [34] reported a purge valve operation interval of 15 s (open for 0.5 s) for the fuel cell system, whereas the purge valve of the fuel cell in the present work is fixed to operate at 3 s interval (open for 0.5 s). whereas in the present study, the purge interval of the fuel cell is fixed at 3 s (open for 0.5 s). In contrast, the higher purge frequency accelerates rapid hydrogen consumption, causing the output pressure from the tank to fall below the minimum required for stable fuel cell operation. Consequently, a portion of the stored hydrogen remains in the tank and is not delivered to the anode reaction zone.

4. Conclusions

This work develops AB2-type Ti-Mn-based alloys for compact hydrogen storage tank and PEMFC. The following conclusions are drawn:
(1)
Doping a small amount of Ce significantly enhances the room-temperature activation properties of Ti-Mn-based alloys due to the in situ formation of catalytically active CeO2.
(2)
The mass-produced alloy Ti0.75Zr0.25 Cr1.15Mn0.85 + 1.5 wt.% Ce delivers excellent activation performance, a hydrogen storage capacity of 1.87 wt.%, and a hydrogen desorption pressure of 1.73 bar at 303 K.
(3)
A compact hydrogen storage tank containing 3 kg of alloy and 57.8 g of hydrogen was engineered by compositing the alloy with 5 wt.% aluminum foam, enabling complete hydrogen discharge under an output pressure limit of 1.5 bar. This tank is capable of supplying hydrogen to a 220 W PEMFC.

Author Contributions

Conceptualization, H.W.; methodology, data curation and writing—original draft preparation, Q.Z.; writing—review and editing, Q.Z.; project administration and funding acquisition, H.W. All authors have read and agreed to the published version of the manuscript.

Funding

This work was financially supported by the National Natural Science Foundation of China (Grant No. 52471226).

Data Availability Statement

The raw data supporting the conclusions of this article will be made available by the authors on request.

Conflicts of Interest

The authors declare no conflicts of interest.

References

  1. Qureshi, F.; Yusuf, M.; Ahmed, S.; Haq, M.; Alraih, A.M.; Hidouri, T.; Kamyab, H.; Vo, D.N.; Ibrahim, H. Advancements in sorption-based materials for hydrogen storage and utilization: A comprehensive review. Energy 2024, 309, 132855. [Google Scholar] [CrossRef]
  2. Kumar, A.; Muthukumar, P.; Sharma, P.; Kumar, E.A. Absorption based solid state hydrogen storage system: A review. Sustain. Energy Technol. Assess. 2022, 52, 102204. [Google Scholar] [CrossRef]
  3. Hissel, D.; Pera, M.C. Diagnostic & health management of fuel cell systems: Issues and solutions. Annu. Rev. Control 2016, 42, 201–211. [Google Scholar] [CrossRef]
  4. Ma, R.; Yang, T.; Breaz, E.; Li, Z.; Briois, P.; Gao, F. Data-driven proton exchange membrane fuel cell degradation predication through deep learning method. Appl. Energy 2018, 231, 102–115. [Google Scholar] [CrossRef]
  5. Lambert, H.; Hernàndez-Torres, D.; Retière, C.; Garnier, L.; Poirot-Crouvezier, J. X-in-the-Loop Methodology for Proton Exchange Membrane Fuel Cell Systems Design: Review of Advances and Challenges. Energies 2025, 18, 3774. [Google Scholar] [CrossRef]
  6. Fan, L.; Gao, J.; Shen, W.; Su, H.; Zhou, S.; Hou, Y. A Control Framework for the Proton Exchange Membrane Fuel Cell System Integrated the Degradation Information. Energies 2025, 18, 2438. [Google Scholar] [CrossRef]
  7. Foniok, K.; Drozdova, L.; Prokop, L.; Krupa, F.; Kedron, P.; Blazek, V. Mechanisms and Modelling of Effects on the Degradation Processes of a Proton Exchange Membrane (PEM) Fuel Cell: A Comprehensive Review. Energies 2025, 18, 2117. [Google Scholar] [CrossRef]
  8. Qasem, N.; Abdulrahman, G. A Recent Comprehensive Review of Fuel Cells: History, Types, and Applications. Int. J. Energy Res. 2024, 2024, 7271748. [Google Scholar] [CrossRef]
  9. Fan, L.; Tu, Z.; Chan, S.H. Recent development in design a state-of-art proton exchange membrane fuel cell from stack to system: Theory, integration and prospective. Int. J. Hydrogen Energy 2023, 48, 7828–7865. [Google Scholar] [CrossRef]
  10. Marcelli, L.; Chamoret, D.; François, X.; Meyer, Y.; Candusso, D. Mechanical models and simulations of PEMFCs: A comprehensive review. Int. J. Hydrogen Energy 2025, 136, 1086–1111. [Google Scholar] [CrossRef]
  11. Yan, Y.; Xu, Z.; Han, F.; Wang, Z.; Ni, Z. Energy control of providing cryo-compressed hydrogen for the heavy-duty trucks driving. Energy 2022, 242, 122817. [Google Scholar] [CrossRef]
  12. Fang, T.; Vairin, C.; von Jouanne, A.; Agamloh, E.; Yokochi, A. Review of Fuel-Cell Electric Vehicles. Energies 2024, 17, 2160. [Google Scholar] [CrossRef]
  13. Nguyen, H.; Lee, S.; Yu, S. A Comprehensive Review of Degradation Prediction Methods for an Automotive Proton Exchange Membrane Fuel Cell. Energies 2023, 16, 4772. [Google Scholar] [CrossRef]
  14. Liu, H.; Zhang, J.; Sun, P.; Zhou, C.; Liu, Y.; Fang, Z.Z. Effect of oxygen on the hydrogen storage properties of TiFe alloys. J. Energy Storage 2022, 55, 105543. [Google Scholar] [CrossRef]
  15. Lv, P.; Huot, J. Hydrogenation improvement of TiFe by adding ZrMn2. Energy 2017, 138, 375–382. [Google Scholar] [CrossRef]
  16. Xie, X.; Hou, C.; Chen, C.; Sun, X.; Pang, Y.; Zhang, Y.; Yu, R.; Wang, B.; Du, W. First-principles studies in Mg-based hydrogen storage Materials: A review. Energy 2020, 211, 118959. [Google Scholar] [CrossRef]
  17. Shao, H.Y.; He, L.Q.; Lin, H.J.; Li, H.W. Progress and Trends in Magnesium-Based Materials for Energy-Storage Research: A Review. Energy Technol-Ger. 2018, 6, 445–458. [Google Scholar] [CrossRef]
  18. Zhang, Y.H.; Li, C.; Zhang, W.; Wei, X.; Li, J.; Qi, Y.; Zhao, D.L. Research and application of Ti-Mn-based hydrogen storage alloys. J. Iron Steel Res. Int. 2023, 30, 611–625. [Google Scholar] [CrossRef]
  19. Wu, R.; Li, R.; Ke, D.; Zhao, X.; Hu, F.; Liu, J.; Zou, S.; Zhang, B.; Zhang, L. Insight into the effect of annealing treatment on hydrogen storage properties of a Ti–V–Mn alloy. J. Mater. Res. Technol. 2025, 36, 2118–2126. [Google Scholar] [CrossRef]
  20. Liu, X.; Jiang, L.; Li, Z.; Huang, Z.; Wang, S. Improve plateau property of Ti32Cr46V22 BCC alloy with heat treatment and Ce additive. J. Alloy Compd. 2009, 471, L36–L38. [Google Scholar] [CrossRef]
  21. Mi, J.; Lü, F.; Liu, X.; Jiang, L.; Li, Z.; Wang, S. Enhancement of cerium and hydrogen storage property of a low-cost Ti-V based BCC alloy prepared by commercial ferrovanadium. J. Rare Earth 2010, 28, 781–784. [Google Scholar] [CrossRef]
  22. Davids, M.W.; Lototskyy, M.; Malinowski, M.; van Schalkwyk, D.; Parsons, A.; Pasupathi, S.; Swanepoel, D.; van Niekerk, T. Metal hydride hydrogen storage tank for light fuel cell vehicle. Int. J. Hydrogen Energy 2019, 44, 29263–29272. [Google Scholar] [CrossRef]
  23. Bai, X.; Yang, W.; Tang, X.; Yang, F.; Jiao, Y.; Yang, Y. Optimization of tree-shaped fin structures towards enhanced absorption performance of metal hydride hydrogen storage device: A numerical study. Energy 2021, 220, 119738. [Google Scholar] [CrossRef]
  24. Bian, L.; Shao, L.; Wang, B.; Zhang, J.; Li, Y.; Hu, Z.; Zou, J.; Zhang, K.; Lin, X. Enhancing hydrogen sorption kinetics of Ti-based hydrogen storage alloy tanks through an optimized bulk-powder combination strategy. Chem. Eng. J. 2025, 507, 160799. [Google Scholar] [CrossRef]
  25. Piao, M.; Xiao, X.; Zhan, L.; Cao, Z.; Zhou, P.; Qi, J.; Lu, M.; Li, Z.; Jiang, L.; Fang, F.; et al. Laves phase double substitution alloy design and device filling modification for Ti-based metal hydride hydrogen compressors. Int. J. Hydrogen Energy 2024, 50, 1358–1368. [Google Scholar] [CrossRef]
  26. GB/T 11640-2021; Aluminum Alloy Seamless Gas Cylinder. Standards Press of China: Beijing, China, 2021; pp. 10–15.
  27. Yin, Y.; Li, B.; Yuan, Z.; Qi, Y.; Zhang, Y. Enhanced hydrogen storage performance of Mg-Cu-Ni system catalyzed by CeO2 additive. J. Rare Earth 2020, 38, 983–993. [Google Scholar] [CrossRef]
  28. Zhang, Z.; Zhang, W.L.; Li, J.; Xiao, M.J. Metabolic Syndrome is Associated with White Matter Hyperintensity in Stroke Patients. Brain Impair. 2017, 18, 277–283. [Google Scholar] [CrossRef]
  29. Zhang, X.; Zhang, Z.; Xu, C.; Xing, X.; Wei, M.; Cao, B.; Liu, T. Ti/Cr regulated and strategic Ce doped V-Ti-Cr-Mn-Fe high-entropy alloys with extraordinary reversible hydrogen storage properties at ambient temperature. Chem. Eng. J. 2024, 499, 156643. [Google Scholar] [CrossRef]
  30. Xue, X.; Ma, C.; Liu, Y.; Wang, H.; Chen, Q. Impacts of Ce dopants on the hydrogen storage performance of Ti-Cr-V alloys. J. Alloy Compd. 2023, 934, 167947. [Google Scholar] [CrossRef]
  31. Zhou, L.; Li, W.; Hu, H.; Zeng, H.; Chen, Q. Ce-Doped TiZrCrMn Alloys for Enhanced Hydrogen Storage. Energy Fuel 2022, 36, 3997–4005. [Google Scholar] [CrossRef]
  32. Botta, W.J.; Zepon, G.; Ishikawa, T.T.; Leiva, D.R. Metallurgical processing of Mg alloys and MgH2 for hydrogen storage. J. Alloy Compd. 2022, 897, 162798. [Google Scholar] [CrossRef]
  33. Liu, R.; Jiang, X.; Wang, X.; Li, Z.; Yang, X.; Chen, J.; Liu, Y.; Cui, W.; Gao, F.; Gao, Y.; et al. Boosting the hydrogen storage performance of Mg-rich quaternary alloy hydrides via in-situ evolution of bidirectional catalytic phases. Chem. Eng. J. 2025, 511, 162071. [Google Scholar] [CrossRef]
  34. Fang, F.; Li, Y.; Zhang, Q.; Sun, L.; Shao, Z.; Sun, D. Hydrogen storage properties of TiMn1.5V0.2-based alloys for application to fuel cell system. J. Power Sources 2010, 195, 8215–8221. [Google Scholar] [CrossRef]
Figure 1. XRD patterns of A-series and B-series alloys.
Figure 1. XRD patterns of A-series and B-series alloys.
Energies 18 04980 g001
Figure 2. Initial hydrogen absorption kinetic curves at 293 K and 50 bar.
Figure 2. Initial hydrogen absorption kinetic curves at 293 K and 50 bar.
Energies 18 04980 g002
Figure 3. PCT curves at 303 K of (a) A-series alloys and (b) B-series alloys.
Figure 3. PCT curves at 303 K of (a) A-series alloys and (b) B-series alloys.
Energies 18 04980 g003
Figure 4. (a) SEM image, and (b,c) corresponding EDS mappings of the Ti0.75Zr0.25Cr1.15Mn0.85 + 1.5wt.% Ce.
Figure 4. (a) SEM image, and (b,c) corresponding EDS mappings of the Ti0.75Zr0.25Cr1.15Mn0.85 + 1.5wt.% Ce.
Energies 18 04980 g004
Figure 5. TOF-SIMS analysis showing the distribution of (a) O, (b) TiO2, and (c) CeO2 elements on the sample surface and cross-section.
Figure 5. TOF-SIMS analysis showing the distribution of (a) O, (b) TiO2, and (c) CeO2 elements on the sample surface and cross-section.
Energies 18 04980 g005
Figure 6. (a) PCT curves at 283, 303, 323 K and (b) hydrogen ab-/desorption kinetics curves of mass-produced Ti0.75Zr0.25Cr1.15Mn0.85+ 1.5 wt.% Ce alloy.
Figure 6. (a) PCT curves at 283, 303, 323 K and (b) hydrogen ab-/desorption kinetics curves of mass-produced Ti0.75Zr0.25Cr1.15Mn0.85+ 1.5 wt.% Ce alloy.
Energies 18 04980 g006
Figure 7. Hydrogen flow rate curves at 293 K of (a) three tanks (b) Alloy-AF tank at different temperatures.
Figure 7. Hydrogen flow rate curves at 293 K of (a) three tanks (b) Alloy-AF tank at different temperatures.
Energies 18 04980 g007
Figure 8. The output power of 220 W-PEMFC with Alloy-AF tank as hydrogen supplier as a function of time.
Figure 8. The output power of 220 W-PEMFC with Alloy-AF tank as hydrogen supplier as a function of time.
Energies 18 04980 g008
Table 1. Parameters of hydrogen storage tank.
Table 1. Parameters of hydrogen storage tank.
CategoryParameters
external diameter90 mm
height415 mm
wall thickness4.4 mm
volume1.5 L
weight of tank plus valve1560 g
Table 2. Cell volume and hydrogen storage properties (303 K) of A-series and B-series alloys.
Table 2. Cell volume and hydrogen storage properties (303 K) of A-series and B-series alloys.
AlloysCell Volume/Å3Pa/barPd/barCm/wt.%Rrev
Ti0.85Zr0.15Cr1.15Mn0.85167.02415.6711.151.800.95
Ti0.85Zr0.15Cr1.15Mn0.85 + 1.5wt.% Ce167.20512.929.471.830.91
Ti0.85Zr0.15Cr1.15Mn0.85 + 2.5wt.% Ce167.36810.988.711.850.90
Ti0.85Zr0.15Cr1.15Mn0.85 + 3.5wt.% Ce167.4749.767.831.870.89
Ti0.75Zr0.25Cr1.15Mn0.85 + 1.5wt.% Ce170.6382.492.201.860.84
Ti0.80Zr0.20Cr1.15Mn0.85 + 1.5wt.% Ce168.3506.494.331.850.88
Ti0.90Zr0.10Cr1.15Mn0.85 + 1.5wt.% Ce166.24218.6013.841.760.93
Table 3. Performance parameters of hydrogen storage tanks with different alloy filling modes.
Table 3. Performance parameters of hydrogen storage tanks with different alloy filling modes.
CategoryTanks
Pure-AlloyAlloy-EGAlloy-AF
Mass of the filled alloy3 kg3 kg3 kg
Void volume at the top~40%~30%~20%
Weight after vacuuming4553.9 g4575.5 g4716.2 g
Hydrogen charging pressure50 bar50 bar50 bar
Weight after charging4611.9 g4633.8 g4774 g
hydrogen mass58 g58.3 g57.8 g
Hydrogen density of tank1.26 wt.%1.26 wt.%1.21 wt.%
Disclaimer/Publisher’s Note: The statements, opinions and data contained in all publications are solely those of the individual author(s) and contributor(s) and not of MDPI and/or the editor(s). MDPI and/or the editor(s) disclaim responsibility for any injury to people or property resulting from any ideas, methods, instructions or products referred to in the content.

Share and Cite

MDPI and ACS Style

Zhao, Q.; Wang, H. Performance Modulation of AB2-Type Ti-Mn-Based Alloys for Compact Solid-State Hydrogen Storage Tank. Energies 2025, 18, 4980. https://doi.org/10.3390/en18184980

AMA Style

Zhao Q, Wang H. Performance Modulation of AB2-Type Ti-Mn-Based Alloys for Compact Solid-State Hydrogen Storage Tank. Energies. 2025; 18(18):4980. https://doi.org/10.3390/en18184980

Chicago/Turabian Style

Zhao, Qi, and Hui Wang. 2025. "Performance Modulation of AB2-Type Ti-Mn-Based Alloys for Compact Solid-State Hydrogen Storage Tank" Energies 18, no. 18: 4980. https://doi.org/10.3390/en18184980

APA Style

Zhao, Q., & Wang, H. (2025). Performance Modulation of AB2-Type Ti-Mn-Based Alloys for Compact Solid-State Hydrogen Storage Tank. Energies, 18(18), 4980. https://doi.org/10.3390/en18184980

Note that from the first issue of 2016, this journal uses article numbers instead of page numbers. See further details here.

Article Metrics

Back to TopTop