Next Article in Journal
Performance Modulation of AB2-Type Ti-Mn-Based Alloys for Compact Solid-State Hydrogen Storage Tank
Previous Article in Journal
Decarbonizing Aviation: The Low-Carbon Footprint and Strategic Potential of Colombian Palm Oil for Sustainable Aviation Fuel
Previous Article in Special Issue
Practical Verification of the Approximation Method of the Influence of Guillotine and Laser Cutting and Core Dimensions on Losses and Magnetization of Induction Motor Cores
 
 
Font Type:
Arial Georgia Verdana
Font Size:
Aa Aa Aa
Line Spacing:
Column Width:
Background:
Article

Identification of Control Parameters in Doubly Fed Induction Generators via Adaptive Differential Evolution

1
Power Research Institute of State Grid Shaanxi Electric Power Company Limited, Xi’an 710100, China
2
State Key Laboratory of Alternate Electrical Power System with Renewable Energy Sources, North China Electric Power University, Changping District, Beijing 102206, China
*
Author to whom correspondence should be addressed.
Energies 2025, 18(18), 4979; https://doi.org/10.3390/en18184979
Submission received: 26 August 2025 / Revised: 13 September 2025 / Accepted: 17 September 2025 / Published: 19 September 2025

Abstract

With the increasing penetration of renewable energy generation, analysis of the transient characteristics of doubly fed induction generators, as the mainstream wind turbine configuration, is made highly significant both theoretically and practically. However, manufacturers treat the control parameters as confidential commercial secrets, rendering them a “black box”. Parameter identification is fundamental for studying transient characteristics and system stability. Existing identification methods achieve accurate results only under moderate or severe voltage dip faults. To address this limitation, this paper proposes a control parameter identification method based on the adaptive differential evolution algorithm, suitable for DFIG time-domain simulation models. This method enables accurate parameter identification even during mild voltage dips. Firstly, a trajectory sensitivity analysis is employed to evaluate the difficulty of identifying each parameter, establishing the identification sequence accordingly. Secondly, based on the control loop where each parameter resides, the time-domain expressions are discretized to formulate the fitness function. Finally, the identified control parameters are compared against their true values. The results demonstrate that the proposed identification method achieves high accuracy and robustness while maintaining a rapid identification rate.

1. Introduction

Since the advent of the 21st century, rapid global economic development has exacerbated the challenges of energy scarcity and environmental pollution. Establishing a clean and low-carbon energy system has become an inevitable trend in energy development and reform [1]. The penetration of wind power into electrical grids has progressively increased. The global installed wind power capacity surpassed 1 TW by 2023, nearly tripling compared with that in 2014, which highlights the accelerating worldwide deployment of wind energy [2]. However, the inherent intermittency and volatility of wind power introduce new challenges for power system stability. Wind power integration can lead to frequency deviations, voltage fluctuations, transient instability, and potentially large-scale blackouts [3].
Within the topology of wind power integration systems, doubly fed induction generators (DFIGs) have emerged as the dominant wind turbine configuration due to advantages such as low cost and flexible control [4]. Investigating electromagnetic transient models of them holds significant theoretical and practical importance. Previous studies on induction machines have established and validated mathematical models to capture transient dynamics such as the torque and current responses, which provide valuable theoretical references for wind turbine generator modeling in general [5]. In addition, experimental comparisons between different generator types, such as SEIGs and PMSGs, have highlighted the necessity of choosing appropriate generator models to ensure the reliable and economical operation of renewable energy systems [6]. Building on these insights, further investigation is required for the DFIG, whose bidirectional rotor-side converter and grid-side converter introduce additional control dynamics that are not explicitly addressed in the above studies. The converter, a critical component of DFIGs, features control modes (like Low-Voltage Ride-Through, LVRT) and control parameters that directly influence the transient characteristics. However, manufacturers typically provide “black-box” models with undisclosed internal details due to commercial confidentiality, hindering research into the DFIG’s internal control structure and transient behavior [7,8,9]. Recent studies have further emphasized the importance of equivalent LVRT modelling and converter control strategies for transient stability analyses of DFIG-based wind farms [10].
Scholars globally have conducted extensive research on wind turbine parameter identification [11,12,13,14,15,16]. Reference [11] proposed a method based on Forgetting Factor Recursive Least Squares to simultaneously identify three electrical parameters of a Permanent Magnet Synchronous Machine: the stator armature resistance, inductance, and rotor permanent magnet flux linkage. Reference [12] introduced a stepwise identification method capable of identifying the inner-loop PI controller parameters and the reactive current support coefficient. Reference [13] classified parameters according to their sensitivity and proposed an integrated classification and stepwise identification approach. Reference [14] demonstrated that the electrical part of wind turbines can be approximated to reduce the number of parameters requiring identification, successfully identifying the drive train parameters using an optimized Particle Swarm Optimization algorithm. Reference [15] analyzed the transient characteristics of DFIGs following three-phase short-circuit faults and identified DFIG parameters based on analytical expressions of the short-circuit current. In addition, reference [16] proposed a hybrid genetic-algorithm-based approach to parameter identification for DFIG converters, effectively improving the accuracy of both electrical and control parameter estimation under various wind turbine operating conditions.
Crucially, information from manufacturer-provided DFIG black-box models indicates that the electrical and mechanical parameters are typically known and do not require identification. Notably, LVRT-dominant parameters (such as the current limit values, active power recovery slope, and reactive current support coefficient) decisively influence the unit’s dynamic response characteristics during faults. However, existing research often overlooks the necessity of identifying these specific parameters. Overlooking LVRT-related parameters may lead to the underestimation of dynamic risks and insufficient fidelity in model-based studies [17]. There is an urgent need to construct a multilayer identification framework encompassing LVRT-dominant parameters. This framework would address the insufficient accuracy in transient characteristic analyses caused by black-box models and provide essential model support for research on DFIG grid integration stability.
Trajectory sensitivity serves as a vital metric reflecting parameter identifiability, where the magnitude of sensitivity directly correlates with the ease of identification. Reference [18] analyzed the trajectory sensitivity under different disturbances and selected the disturbance mode eliciting the highest sensitivity for each specific parameter during identification. Reference [19] proposed a simplified model for constant-speed wind turbines, utilized a trajectory sensitivity analysis to assess the difficulty of identifying parameters, and identified the drive train parameters using a PSO algorithm. A current limitation in applying trajectory sensitivity for identification is the prevalent practice of selecting a single parameter as the observed variable. This approach lacks robustness when the chosen parameter is significantly affected by noise.
Regarding research on converter parameter identification, reference [20] identified converter parameters based on the Sine Cosine Algorithm. Reference [21] established a gray-box impedance model, compared the errors from four neural network algorithms, addressed the issue of low trajectory sensitivity for the inner-loop control parameters of the rotor-side converter (RSC), and identified the control parameters for both the power outer loop and current inner loop. Reference [22] developed a DFIG parameter identification model based on the Kalman filter algorithm by defining observation and state transition matrices. Using a four-bus, two-machine system as an example, it identified the parameters for both the grid-side converter (GSC) and the RSC. References [23,24] analyzed the transfer function sensitivities after extracting frequency sequences based on decoupled models of the GSC and the RSC, respectively, and employed optimization algorithms to identify the control parameters for the GSC and RSC controllers. A key limitation of the current research on DFIG control parameter identification is that it achieves accuracy primarily under moderate or severe voltage dip faults within simulation models but exhibits poor robustness during mild voltage dips.
Based on the above analysis, this paper proposes a control parameter identification method for DFIG time-domain simulation models based on the adaptive differential evolution algorithm, enabling accurate identification even during mild voltage dips. Firstly, the difficulty of identifying each parameter is analyzed using trajectory sensitivity to establish the identification sequence. Subsequently, based on the specific control loop where each parameter resides, the time-domain expressions are discretized to formulate the fitness function. Finally, the identified control parameters are compared against their true values based on MATLAB R2023a time-domain simulation results. The results demonstrate that the proposed identification method achieves high accuracy and robustness while maintaining a rapid identification rate.

2. Mathematical Model of DFIG and Converter

2.1. DFIG Mathematical Model

To simplify the analysis, a rotating magnetic field with a synchronous angular velocity is typically selected as the reference frame orientation. Through Park’s transformation, the three-phase stationary coordinate system is converted into a two-phase rotating coordinate system, which enables the representation of symmetrical AC quantities as equivalent DC components. Adopting the motor convention and neglecting magnetic saturation effects, the dynamic equivalent circuit diagram of the doubly fed induction generator (DFIG) in the dq coordinate system is shown in Figure 1.
The stator and rotor voltage equations representing the electromagnetic transients of the doubly fed induction generator (DFIG) in the synchronous rotating reference frame are expressed as
u sd = R s i sd ω 1 ψ sq + d ψ sd d t u sq = R s i sq + ω 1 ψ sd + d ψ sq d t u rd = R r i rd ω slip ψ rq + d ψ rd d t u rq = R r i rq + ω slip ψ rd + d ψ rq d t
The stator and rotor flux linkage equations are expressed as
ψ sd = L s I sd + L m I rd ψ sq = L s I sq + L m I rq ψ rd = L m I sd + L r I rd ψ rq = L m i sq + L r I rq
where d and q denote the d-axis and q-axis components in the synchronous reference frame, respectively; u, i, R, L, and Ψ represent the voltage, current, resistance, inductance, and flux linkage, respectively; and ω1 and ωslip indicate the synchronous angular velocity and slip angular velocity, respectively.
The Crowbar circuit effectively suppresses overcurrent on the rotor side and can additionally mitigate DC overvoltage when the Chopper protection fails to respond adequately. However, activating the Crowbar protection forces the DFIG into a brief uncontrolled operating state, which may lead to turbine disconnection and exacerbate grid disturbances. If the machine-side converter’s current withstand capability is not exceeded, Crowbar protection remains unnecessary. Notably, manufacturer-provided black-box models typically exclude Crowbar control logic. Consequently, the models developed in this study do not incorporate Crowbar protection.
In cases of deeper voltage dips where Crowbar may intervene for 2–3 cycles, the machine enters a short uncontrolled state, which falls outside the scope of this study. Nevertheless, since the proposed identification method relies on the post-fault steady-state and main transient features, it remains applicable provided that sufficient dynamic data is available after the Crowbar event. Further investigation of this scenario will be considered in future work.

2.2. Converter Control Model

The DFIG converter system consists of the RSC and the GSC. The primary function of the RSC in the DFIG control system is to regulate the active and reactive power output of the DFIG. The active and reactive power outputs are closely related to the d-axis and q-axis current components of the rotor, respectively. Therefore, the control objective of the RSC is to effectively regulate these rotor current components, as their control directly affects the steady-state and transient characteristics of the DFIG, as well as the operational performance of the wind power system.
The RSC employs stator-voltage-oriented vector control, which achieves decoupled power control through PI regulators, feedforward compensation, and coordinate transformation. The reference values for the d-axis and q-axis rotor currents serve as the active and reactive current commands, respectively. These reference values are generated by the active power outer loop and the reactive power outer loop, correspondingly. The control structure of the RSC is illustrated in Figure 2.
The time-domain expressions for the active and reactive current commands of the RSC are given by
i rd * = k p 1 ( P s * P s ) + k i 1 ( P s * P s ) i rq * = k p 3 ( Q s * Q s ) + k i 3 ( Q s * Q s )
where kp1 and ki1 denote the proportional and integral coefficients of the active power outer-loop controller corresponding to the d-axis, respectively; kp3 and ki3 represent the proportional and integral coefficients of the reactive power outer-loop controller corresponding to the q-axis, respectively.
The time-domain expressions for the d-axis and q-axis components of the rotor voltage are given by
u rd = k p 2 ( i rd * i rd ) + k i 2 ( i rd * i rd ) ω slip ( σ L r i rq L m ω 1 L s u s ) u rq = k p 4 ( i rq * i rq ) + k i 4 ( i rq * i rq ) + ω slip σ L r i rd
where kp2 and ki2 are the proportional and integral coefficients of the d-axis current inner-loop controller for the RSC, respectively; kp4 and ki4 are the proportional and integral coefficients of the q-axis current inner-loop controller for the RSC, respectively; Ls and Lr represent the self-inductances of the stator and rotor windings, respectively; and σ denotes the leakage coefficient.
Figure 3 shows the conventional control scheme of the DFIG grid-side converter, incorporating dual-loop control (inner and outer loops), PI regulators, and voltage feedforward compensation. The GSC implements grid-voltage-oriented vector control with three primary objectives: maintaining a constant DC-bus voltage, ensuring sinusoidal input current waveforms, and controlling the input power factor. The control architecture consists of two fundamental components: a voltage outer-loop controller for DC-bus voltage regulation and a current inner-loop controller for current tracking.
In the synchronous rotating reference frame, the AC-side voltage expressions of the GSC based on the d-axis grid voltage orientation are given by Equation (5), where an integral term is adopted to eliminate steady-state control errors.
u g d = k p 6 ( i g d * i g d ) + k i 6 ( i g d * i g d ) ω s L g i g q + v g d u g q = k p 7 ( i g q * i g q ) + k i 7 ( i g d * i g d ) + ω s L g i g d + v g q
where kp6 and ki6 denote the proportional and integral coefficients of the d-axis current inner-loop controller for the GSC, respectively; kp7 and ki7 represent the proportional and integral coefficients of the q-axis current inner-loop controller for the GSC, respectively; ug denotes the AC-side voltage of the GSC; and vg represents the grid voltage.
By introducing current state feedback components ω s L g i g q and ω s L g i g d to achieve decoupled control of the active and reactive power, the q-axis current reference value of the GSC is typically set to 0 as the reactive current command, while the d-axis current reference value serves as the active current command, which is generated by the voltage outer-loop controller of the GSC. The time-domain expressions for the active and reactive current commands are given by
i gd * = k p 5 ( V dc * V dc ) + k i 5 ( V dc * V dc ) i gq * = 0
where kp5 and ki5 denote the proportional and integral coefficients of the voltage outer-loop controller for the GSC, respectively.
The control parameters kp1 to kp6 and ki1 to ki6 exert significant influences on both the steady-state and transient characteristics of the DFIG. Owing to commercial confidentiality, most manufacturers do not provide users with accurate control parameters, which leads to considerable discrepancies between the simulation results and actual operational conditions. Such inaccuracies may compromise the stable operation of wind turbine systems further. Hence, it is imperative to identify the precise control parameters of the DFIG converter.

3. Identifiability of Control Parameters

Trajectory Sensitivity Analysis

Trajectory sensitivity serves as a critical metric for evaluating the identifiability of parameters, where its magnitude directly correlates with the ease of identification. Selecting appropriate observed variables can enhance identification accuracy. Under identical observation conditions, a larger trajectory sensitivity value indicates a greater influence on the system’s operational characteristics. Its time-domain expression is given by
S θ k = lim Δ θ k 0 Y i t , θ k + Δ θ k Y i t , θ k Δ θ k / Y i 0 2 Δ θ k / θ k 0
where s θ k denotes the trajectory sensitivity of the k-th parameter θ k at time t; θ k 0 represents the initial value of θ k ; θ k   is the perturbation applied to θ k ; Yi refers to the output of the observed variable; and Yi0 is the steady-state output of the observed variable corresponding to θ k 0 .
Beyond enhancing the parameter identification accuracy, trajectory sensitivity analysis also enables prioritization of the parameter identification for DFIGs. Parameters exerting greater influence on the external characteristics of the wind turbine should be identified with higher priority. The selection of the observed variables directly affects the computational results of trajectory sensitivity.

4. Stepwise Identification Algorithm Based on Improved Differential Evolution

4.1. Differential Evolution Algorithm

Differential evolution is a stochastic heuristic search algorithm inspired by the natural evolutionary principle of “survival of the fittest” observed in biological populations. The key procedural steps are outlined as follows:
1.
Population Initialization: Generate N individuals satisfying the constraint conditions in the n-dimensional space:
x ij ( 0 ) = rand l ij ( 0 , 1 ) ( x ij U x ij L ) + x ij L
where randlij(0,1) denotes a uniformly distributed random number within the interval [0, 1]; xijU and xijL represent the upper bound and lower bound of the j-th variable, respectively.
2.
For each vector xij in the K-th generation, three distinct individuals xp1, xp2, and xp3 are randomly selected. The mutant individual is generated through the mutation operation as follows:
v ij ( t + 1 ) = x p 1 j ( t ) + F ( x p 2 j ( t ) x p 3 j ( t ) )
where F is the mutation scale factor; xp2,j(t) − xp3,j(t) represents the differential variation term; xp1, xp2, and xp are distinct randomly selected integers within the population range.
3.
To enhance population diversity, the crossover operation stochastically selects components from parent and mutant vectors using the crossover factor CR. The specific procedure is implemented as follows:
u ij = v ij ( t + 1 ) , rand l ij C R x ij ( t ) , rand l ij > C R
4.
Based on the fitness function values, the quality of the trial individual and the current individual is compared, and the superior individual is selected to proceed to the next generation. This greedy selection mechanism ensures the evolutionary progress of the population:
x ij ( t + 1 ) = u ij ( t + 1 ) , f ( u i 1 ( t + 1 ) , u in ( t + 1 ) < f ( u i 1 ( t ) , u in ( t ) ) x ij ( t ) , f ( u i 1 ( t + 1 ) , u in ( t + 1 ) f ( u i 1 ( t ) , u in ( t ) )
Steps 2 to 4 are repeated iteratively until the maximum iteration count G is reached.

4.2. Adaptive Differential Evolution Algorithm

To mitigate the adverse effects of the inherent limitations of conventional differential evolution—namely its constrained search capability and tendency to converge to local optima—on the parameter identification accuracy, this study employs an adaptive differential evolution algorithm. This approach significantly enhances the robustness of the identification process.

4.2.1. Adaptive Control Parameters

A larger value of the scaling factor F enhances the global exploration capability but may impede convergence, whereas a smaller F often leads to premature convergence to local optima. To balance this trade-off, the proposed adaptive mechanism for F is designed as follows:
F ij ( t + 1 ) = F l o w + rand l ij F h i g h , rand l ij 2 0.2 F ij ( t ) , rand l ij 2 > 0.2
where Fhigh and Flow denote the upper and lower bounds of the scaling factor F, respectively; randlij2 represents a random number determining whether to update the value of F for an individual.
As evidenced from Equation (10), a higher crossover rate CR promotes the exploration of a broader search space, thereby enhancing the global search capability at the potential cost of a reduced convergence speed. Conversely, a lower CR helps maintain population diversity but may lead to missed global optima. To address this trade-off, the adaptive crossover rate CR is configured as follows:
C R ij ( t + 1 ) = r a n d n ( μ C R , σ C R ) , rand l ij 3 0.2 C R ij ( t ) , rand l ij 2 > 0.2
where μ C R denotes the mean of the Gaussian distribution; σ C R represents the standard deviation of the Gaussian distribution; and randlij3 is a random number determining whether to update the CR value for an individual.

4.2.2. Hybrid Multi-Strategy Mutation

To enhance the global search capability further, a randomized mutation strategy selection mechanism is adopted in this study.
v ij ( t + 1 ) = x r 1 j ( t ) + F ij ( x r 2 j ( t ) x r 3 j ( t ) ) v ij ( t + 1 ) = x best + F ij ( x r 1 j ( t ) x r 2 j ( t ) + x r 3 j ( t ) x r 4 j ( t ) ) v ij ( t + 1 ) = x r 1 j ( t ) + F ij ( x best x r 1 j ( t ) ) + F ij ( x r 2 j ( t ) x r 3 j ( t ) )
Among them, Strategy 1, Strategy 2, and Strategy 3 are designed to prioritize global exploration, convergence speed, and a balanced exploration–convergence trade-off, respectively. The adaptive update formula for the selection probabilities of these three strategies is defined as follows:
P i ( G + 1 ) = ( 1 γ ( G ) ) S i s u m k = 1 3 S K s u m + γ ( G ) W i
where
γ ( G ) = G G max
where G denotes the current iteration count; Gmax represents the maximum iteration number; Sisum indicates the total number of successful individuals generated by Strategy i (where i = 1, 2, 3); K signifies the sliding window length for success rate statistics; Wi denotes the initial stage weight assigned to Strategy i.

4.2.3. Diversity Preservation Mechanism

The diversity preservation mechanism monitors whether the algorithm exhibits premature convergence and proactively intervenes when population diversity falls below a predefined threshold. The diversity metric is calculated as follows:
D ( G ) = 1 N P i = 1 N P x i ( G ) x ^ i ( G ) 2
where NP represents the population size; x i (G) denotes the parameter vector of the i-th individual in the G-th generation; x ^ i (G) signifies the population center (mean vector) at the G-th generation.
When D(G) < Dmin, resampling is triggered to increase the F values of some individuals and regenerate others, thereby maintaining the population diversity of the algorithm.
The search ranges of kp and ki were set to [0, 0] and [5, 20], respectively, reflecting the practical engineering limits of the PI controller. To prevent the search space from being prematurely constrained, the proposed method automatically adjusts the parameter bounds: if the input result deviates excessively from the predicted trajectory, the upper bound is increased to 1.2 times its current value and the identification is repeated until the error requirement is satisfied. In the ADE algorithm, the control parameters F and CR were dynamically adjusted according to the adaptive strategies described above, which effectively balance global exploration and local convergence. Other ADE parameters, including Flow = 0.4, Fhigh = 0.9, μCR = 0.5, σCR = 0.1, Dmin = 0.001, K = 20, and Wi = 1/3 (where i = 1, 2, 3), were determined empirically based on the commonly reported ranges in the literature and practical testing to ensure stable convergence while avoiding unnecessary computational overhead. If the predefined ranges are found to be inadequate for capturing the optimal solution, the bounds can be expanded and subsequently refined to achieve a higher identification accuracy.
The computational complexity of the proposed adaptive DE algorithm is O(NP × G). With a population size of 50 and 100 generations, the algorithm was executed for 20 runs. The total runtime was 12.74 s, corresponding to an average of 0.64 s per run on a desktop computer (an Intel(R) Core(TM) i5-9300H CPU @ 2.40 GHz). Therefore, the computational burden is acceptable and the method is computationally feasible for practical parameter identification.

4.3. Fitness Function

To identify the control parameters of the DFIG converter, the differential equations must first be discretized. Taking the PI controller in the outer power loop of the machine-side converter as an example, Equation (3) can be transformed into its standardized difference equation form through difference-based discretization:
y i 1 = y i 1 - 1 + ( k p 1 + k i 1 Δ t ) u i + c u i 1 - 1 y i 2 = y i 2 - 1 + ( k p 3 + k i 3 Δ t ) u i + c u i 2 - 1
The calculated output ycal is obtained by substituting the simulated data into Equation (18). In this paper, the error between ycal and the simulated result ysim is defined as the fitness function, which is given as follows:
J ( θ ^ ) = i = 1 n ( y c a l y s i m ) 2
where the unknown parameters kp1-7 and ki1-7 denote the proportional and integral gains, respectively.

4.4. PI Controller Parameter Identification Procedure

In summary, the procedure for identifying the PI control parameters of a DFIG converter is as follows:
  • Using the trajectory sensitivity analysis method, the sensitivity of each parameter to be identified is calculated individually to evaluate its influence on the system response. Key parameters are selected, and the sequence of parameter identification is determined.
  • Based on the standardized difference equation, the discrete-time model of the PI controller containing the parameters to be identified is derived, and a fitness function is designed.
  • Using the adaptive differential evolution algorithm, the simulated data are incorporated into the identification process. Through mutation, crossover, selection, and iterative updating, the optimal solution is obtained.
  • The identification results from Step 3 are substituted into the model, and the output is compared with the simulated external characteristics to validate the effectiveness of the algorithm.
A flowchart of the PI controller parameter identification process is presented below (Figure 4).

5. Simulation Analysis

To validate the correctness of the proposed time-domain model and the parameter identification strategy, a white-box model of a doubly fed wind turbine was built in the ADPSS 2.6/ETSDAC electromagnetic simulation software. The rated power of the wind turbine is 2500 kW, with a rated speed of 1720 r/min, a DC capacitor voltage rating of 1070 V, and a grid-side rated voltage of 690 V.

5.1. Example Test System

A symmetrical voltage dip fault was applied at the high-voltage busbar of the point of common coupling in the time-domain simulation model, with the voltage dropping to 0.90 p.u. Based on the trajectory sensitivity defined in Section 2, the trajectory sensitivities of the parameters to be identified, namely kp1-7 and ki1-7, were calculated. To quantitatively analyze the sensitivity of each parameter, the sum of the absolute values of the trajectory sensitivities at each time step between 5.8 s and 7 s was computed. The results are presented in Table 1 and Table 2.
Among the RSC control parameters, the trajectory sensitivities of kp2 and ki2 in the d-axis current inner loop are relatively high, while those of ki1 in the active power outer loop and ki in the d-axis current inner loop are comparatively low. For the GSC control parameters, kp7 in the q-axis current inner loop exhibits high sensitivity, whereas ki5 in the voltage outer loop shows low trajectory sensitivity. Parameters with higher trajectory sensitivity can be identified more accurately and are prioritized in the identification process; those with lower sensitivity are more challenging to identify. The lower sensitivity of the RSC outer-loop PI parameters is due to the blocking of the outer-loop controller during faults, with the fault ride-through controller being cascaded to the inner-loop controller.
Therefore, when identifying the converter control parameters, the inner-loop PI parameters of the converter are identified first. These values are then substituted into the time-domain expressions of the RSC and GSC controls. Using the active power, reactive power, and DC-link voltage as fitting targets, the outer-loop PI parameters are identified via the adaptive differential evolution algorithm.

5.2. Parameter Identification Results

Based on the established identification models for the rotor-side converter RSC and GSC of the DFIG presented in this paper, the effectiveness of the identification algorithm is validated within a test system. The test system consists of a grid-connected DFIG unit connected to an infinite bus system, with the DFIG operating at a steady-state active power output of 0.9 p.u. A three-phase symmetrical short-circuit fault occurs at 6 s, causing the voltage to drop to 0.9 p.u.
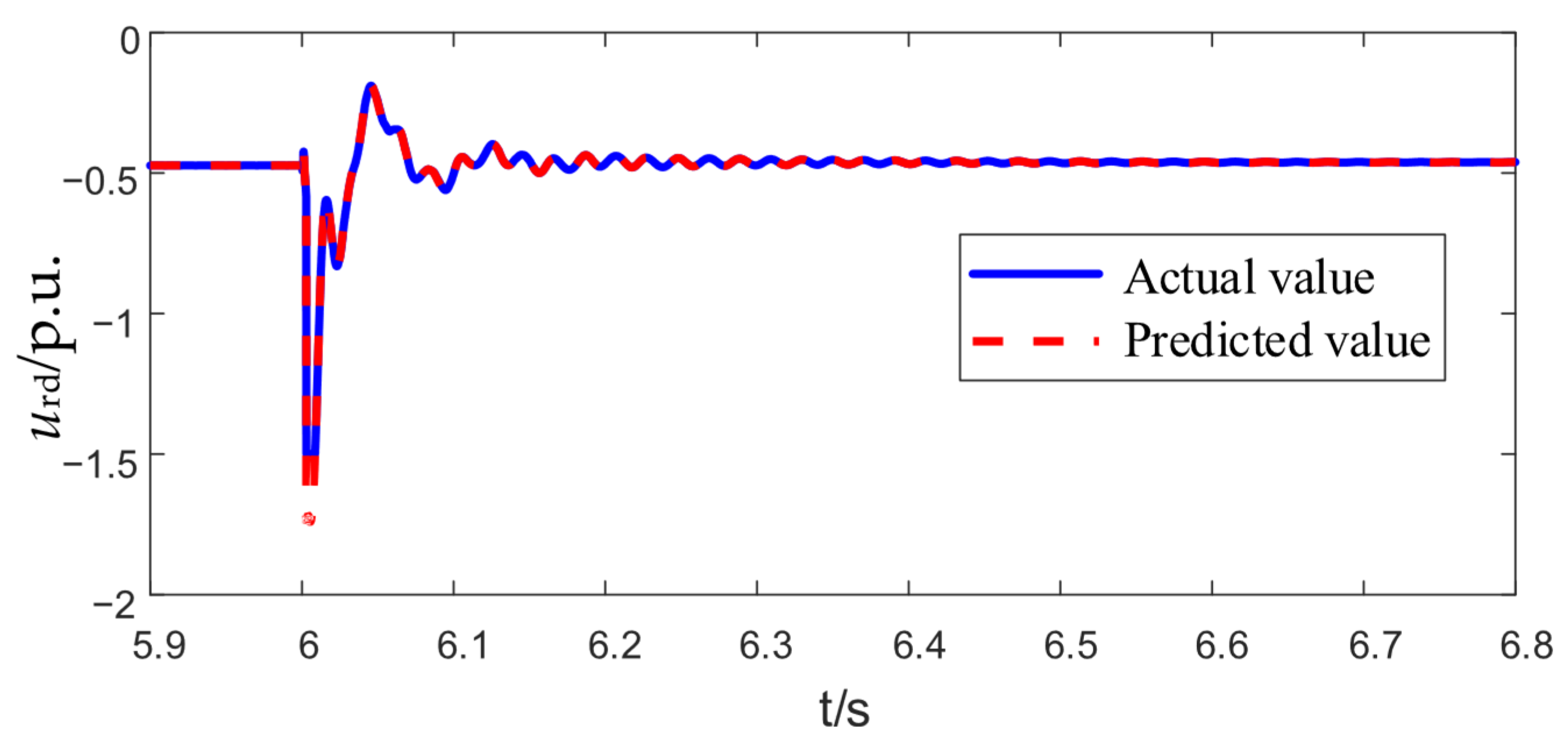
After applying the adaptive differential evolution algorithm for parameter identification, the obtained results are substituted into the discretized difference equations. This allows the predicted values computed from the identified model to be compared with the output values of the original PI controllers in the benchmark model, providing a clear visual assessment of the identification accuracy. A comparison between the predicted and actual output values of each PI controller in the RSC and GSC is shown in the Figure 5, Figure 6, Figure 7, Figure 8, Figure 9, Figure 10 and Figure 11 below.
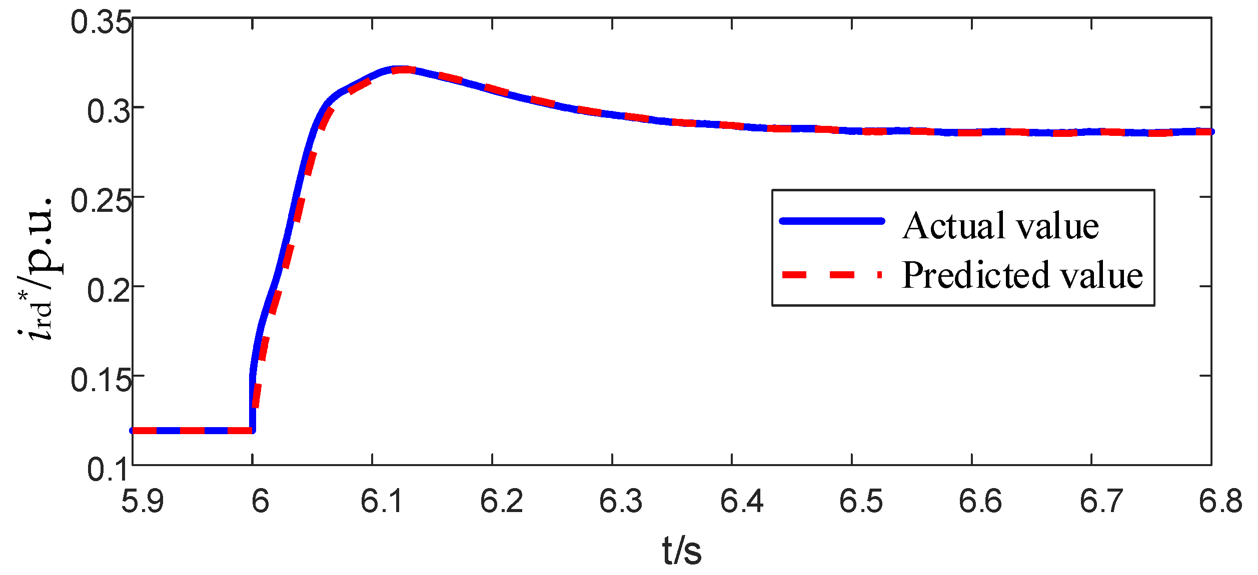
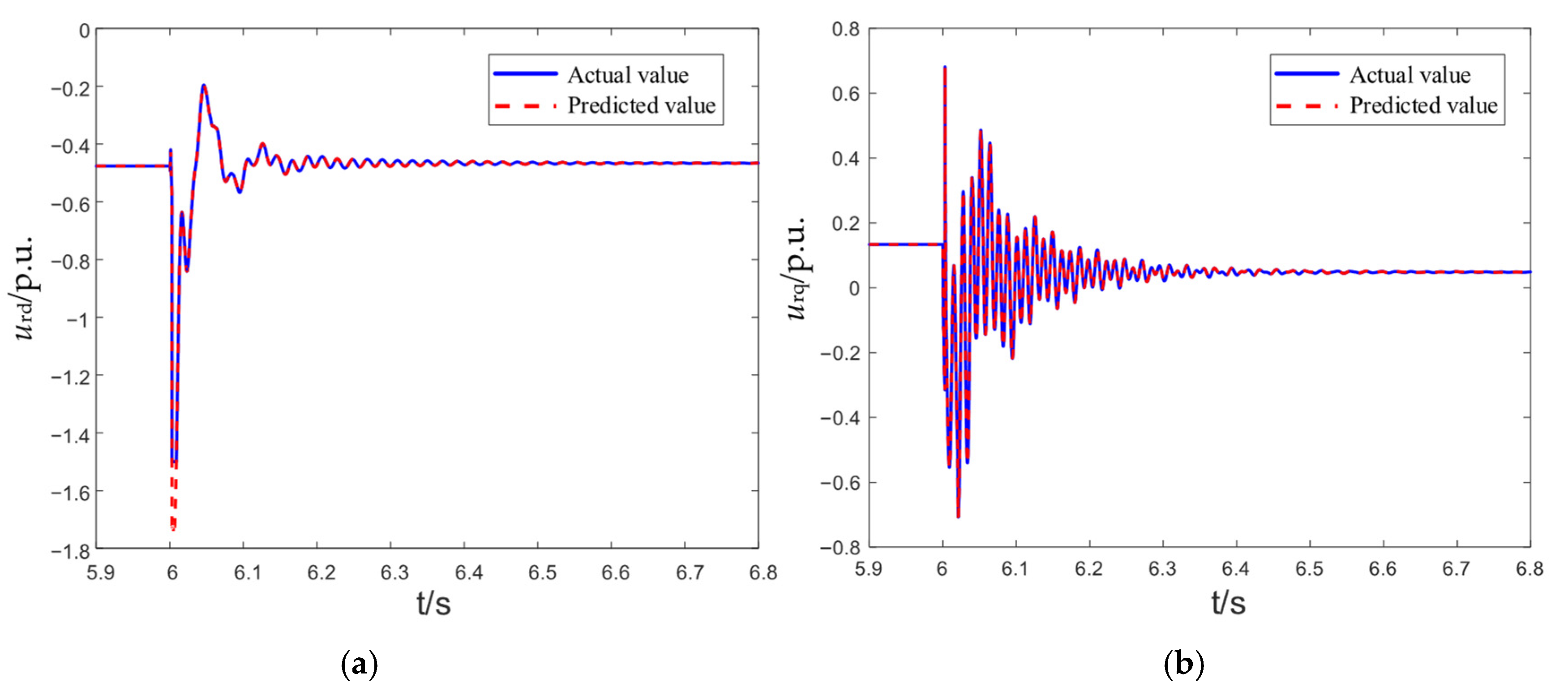
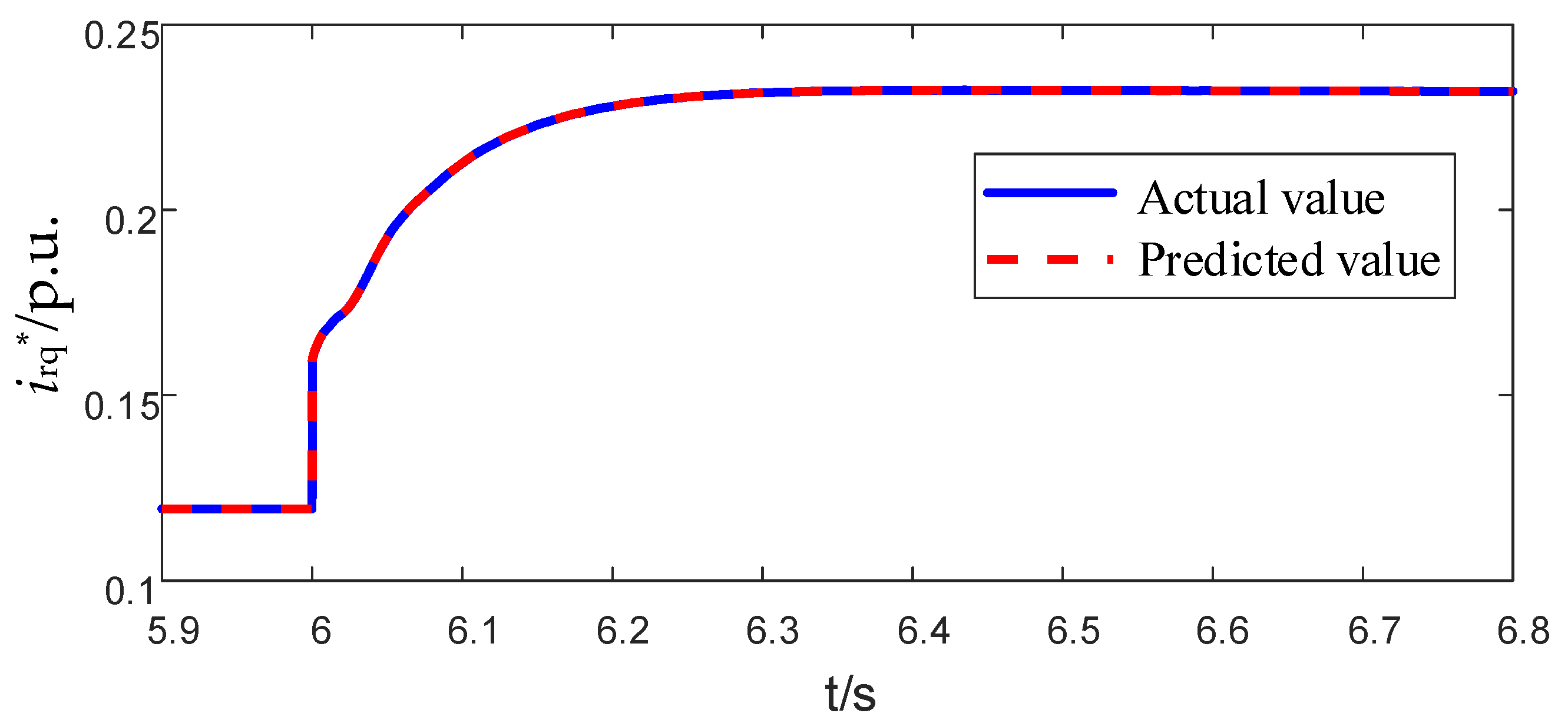
In the figure, the blue solid line represents the actual output values of the PI controller in the original model, while the red dashed line indicates the predicted values calculated by substituting the identified control parameters into the corresponding difference equations. As indicated by the graph, the two curves exhibit a high degree of consistency. Therefore, the identification model established in this paper for the doubly fed generator rotor-side converter and grid-side converter can efficiently obtain identification results with a favorable fitting performance.

5.3. Identification Error Analysis

To validate the effectiveness of the proposed control parameter identification strategy for the converters, the current global best solution was recorded at each iteration i. The absolute difference between this value and the true value was taken as the error. With the maximum number of iterations G set to 35, Figure 12 demonstrates that the proposed identification strategy achieves rapid convergence for both the rotor-side converter and the machine-side converter control parameters. The identification results are obtained in approximately 20 iterations, with the error approaching zero.
The final identified parameters were obtained by averaging the values from 20 independent runs of the identification algorithm. The relative error between the result of each run and the true parameter value was calculated for every control parameter, as summarized in Table 3 and Table 4.
As shown in Table 5, to examine the robustness of the proposed approach, the PI control parameters of the rotor-side converter were identified under noisy measurement conditions. Specifically, 3% Gaussian noise was added to the original data, and the identification results show that the average error in most parameters remained below 2%. This demonstrates that the proposed method maintains satisfactory robustness even in the presence of measurement noise.
To verify the robustness of the proposed identification method further, the DFIG model inductances were perturbed by +10%. The identified rotor-side converter current inner-loop PI gains are presented in Figure 13 and Table 6 and remained close to the baseline values, indicating that the method is robust to moderate parameter deviations.
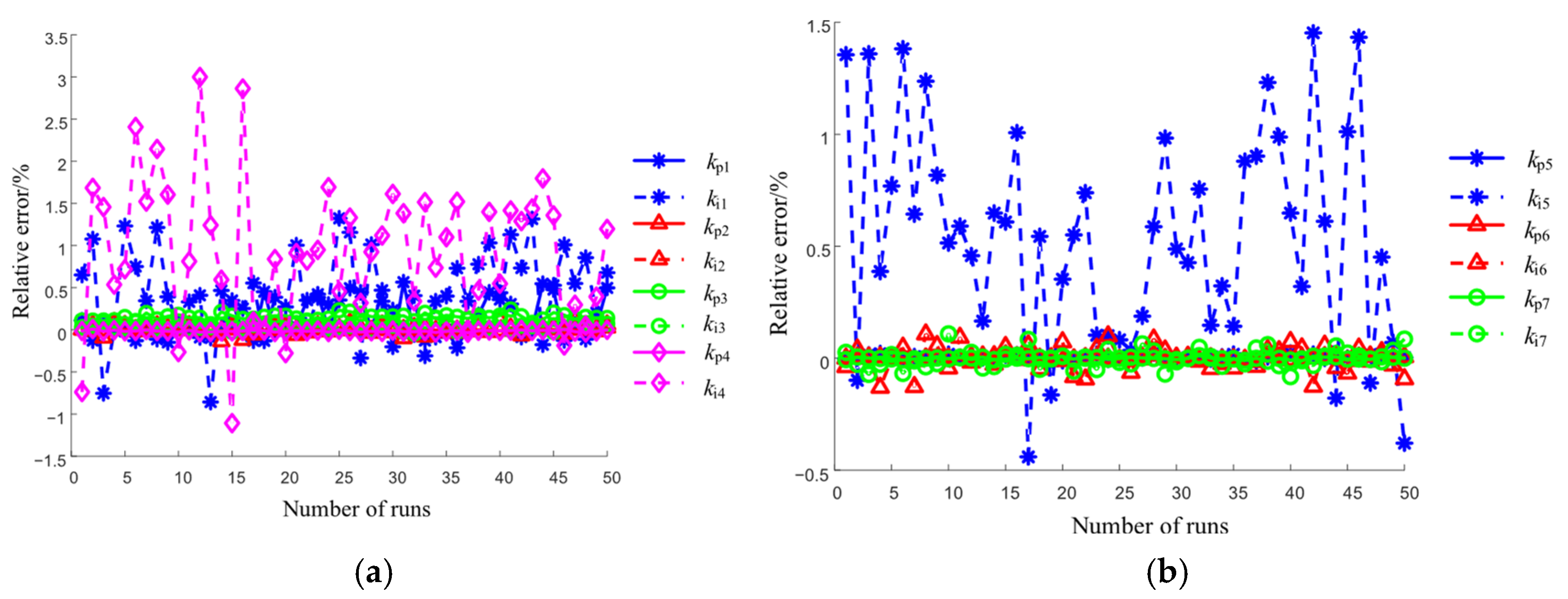
To visually illustrate the relationship between trajectory sensitivity and identification accuracy, a line chart of the relative errors for each parameter is provided, as shown in Figure 14. For the RSC control parameters, kp2 and ki2 in the q-axis current inner loop exhibit higher trajectory sensitivity and correspondingly smaller relative errors. In contrast, ki1 in the active power outer loop and ki4 in the d-axis current inner loop show lower sensitivity, along with larger relative errors and poorer consistency across runs. Similarly, among the GSC control parameters, an inverse correlation is observed between the trajectory sensitivity and the relative error for parameters such as kp7 in the q-axis current inner loop and ki5 in the voltage outer loop, further validating the effectiveness of the proposed identification algorithm.

6. Conclusions

Based on a trajectory sensitivity analysis, this paper proposes a parameter identification method for a time-domain simulation model of doubly fed induction generators. An adaptive differential evolution algorithm is employed to achieve high-precision identification of the control parameters for both the machine-side and grid-side converters in the white-box model of a wind turbine system. The proposed method maintains strong global search capability and robustness while significantly improving the adaptability and identification efficiency under small-disturbance conditions. The main contributions are summarized as follows:
  • A parameter identification framework integrating a trajectory sensitivity analysis and an adaptive differential evolution algorithm is proposed, which effectively balances global exploration and local convergence accuracy, demonstrating strong robustness and engineering applicability.
  • High-precision parameter identification under small-disturbance conditions is achieved. Accurate parameter estimation can be accomplished with only a voltage dip to 0.9 p.u., overcoming the limitation of conventional methods that rely on moderate or severe symmetrical faults. The identification errors for all parameters, except a few, are controlled within 1%.
  • An inverse correlation between the parameter identification accuracy and trajectory sensitivity is revealed, providing a theoretical basis for the optimization of the subsequent parameter identification strategies. The comprehensive advantages of the proposed method in terms of accuracy, efficiency, and robustness are validated under multiple operational scenarios.

Author Contributions

Methodology: J.D.; validation: Y.L.; formal analysis: T.Z.; data curation: N.X.; writing–original draft: J.D. and Y.W.; writing—review and editing: Y.W.; visualization: Z.L.; supervision: T.W.; project administration: T.W. All authors have read and agreed to the published version of the manuscript.

Funding

This research was funded by the Technological Project of State Grid Corporation of China (SGCC), grant number 5100-202355021A-1-1-ZN.

Data Availability Statement

The data are available in a publicly accessible repository. The original data presented in the study are openly available in Google Drive at https://drive.google.com/file/d/1NhzBbhUFcT3M1VvxlAl5pWRF537xwcsP/view?usp=drive_link, accessed on 10 September 2025.

Conflicts of Interest

Authors Jun Deng, Yao Liu, Tianyue Zheng and Nan Xia were employed by the company Power Research Institute of State Grid Shaanxi Electric Power Company Limited. Authors Tong Wang, Yu Wang, and Ziang Li were affiliated with North China Electric Power University. The remaining authors declare that the research was conducted in the absence of any commercial or financial relationships that could be construed as a potential conflict of interest.

References

  1. Zhou, X.X.; Chen, S.Y.; Lu, Z.X.; Huang, Y.; Ma, S.; Zhao, Q. Technical characteristics of China’s new generation power system in the energy transition. Proc. CSEE 2018, 38, 1893–1904+2205. [Google Scholar]
  2. Jung, C. Recent Development and Future Perspective of Wind Power Generation. Energies 2024, 17, 5391. [Google Scholar] [CrossRef]
  3. Sun, H.D.; Xu, T.; Guo, Q.; Li, Y.; Lin, W.; Yi, J.; Li, W. Analysis on blackout in Great Britain power grid on August 9th, 2019 and its enlightenment to power grid in China. Proc. CSEE 2019, 39, 6183–6192. [Google Scholar] [CrossRef]
  4. Du, K.-J.; Ma, X.-P.; Zheng, Z.-X.; Li, C.-S.; Hu, W.-X.; Dong, K.-S. LVRT Capability Improvement of DFIG-based Wind Turbines with a Modified Bridge-resistive-type SFCL. IEEE Trans. Appl. Supercond. 2021, 31, 5603005. [Google Scholar] [CrossRef]
  5. Konuhova, M. Induction Motor Dynamics Regimes: A Comprehensive Study of Mathematical Models and Validation. Appl. Sci. 2025, 15, 1527. [Google Scholar] [CrossRef]
  6. Krishna, V.M.; Sandeep, V.; Murthy, S.; Yadlapati, K. Experimental investigation on performance comparison of self excited induction generator and permanent magnet synchronous generator for small scale renewable energy applications. Renew. Energy 2022, 195, 431–441. [Google Scholar] [CrossRef]
  7. Xu, H.S.; Zeng, X.J.; Zhang, X.J.; Li, Y.R.; Xue, F.; Huang, Y.Z.; Li, C.Y. Multi-Objective Stepwise Identification Method for Control Parameters of DFIG Grid-Side Converter Based on RT-LAB. Power Syst. Technol. 2025, 49, 771–780. [Google Scholar]
  8. Guo, Q.; Wang, H.; Nie, Y.H.; Gao, L. Decoupling identification method of low-voltage ride-through model parameters of direct drive power generation system considering recovery transient process. High Volt. Eng. 2021, 47, 3430–3440. [Google Scholar]
  9. Jin, Y.; Lu, C.; Ju, P.; Rehtanz, C.; Wu, F.; Pan, X. Probabilistic preassessment method of parameter identification accuracy with an application to identify the drive train parameters of DFIG. IEEE Trans. Power Syst. 2020, 35, 1769–1782. [Google Scholar] [CrossRef]
  10. Mitrovic, A.; Strezoski, L.; Loparo, K.A. Doubly Fed Induction Machine Models for Integration into Grid Management Software for Improved Post Fault Response Calculation Accuracy—A Short Review. Energies 2025, 18, 147. [Google Scholar] [CrossRef]
  11. Liu, J.H.; Chen, W. Online multi-parameter identification for surface-mounted permanent magnet synchronous motors under quasi-steady-state. Trans. China Electrotech. Soc. 2016, 31, 154–160. [Google Scholar] [CrossRef]
  12. Qin, J.S.; Jia, K.; Kong, F.Z.; Yang, B.; Wu, W.; Bi, T. Stepwise parameter identification of fault ride-through control parameters of PMSG grid-connected inverter based on optimization algorithm. Proc. CSEE 2021, 41, 59–69. [Google Scholar]
  13. Zhu, Y.; Cui, H.; Li, C.; Luo, C. Integrated parameter identification method for doubly-fed wind turbines based on frequency-domain universal modeling. Autom. Electric. Power Syst. 2024, 48, 92–101. [Google Scholar]
  14. Pan, X.P.; Gao, Y.; Jin, Y.Q.; He, J.; Hu, T.H. Parameter identification of drive system for fixed-speed wind power generation units. Power Syst. Technol. 2013, 37, 1990–1994. [Google Scholar]
  15. Pan, X.P.; Yin, Z.Y.; Ju, P.; Wu, F.; Ji, Y. Model parameter identification of DFIG based on short circuit current. Electric. Power Autom. Equip. 2017, 37, 27–31. [Google Scholar]
  16. Wu, L.; Liu, H.; Zhang, J.; Liu, C.; Sun, Y.; Li, Z.; Li, J. Identification of Control Parameters for Converters of Doubly Fed Wind Turbines Based on Hybrid Genetic Algorithm. Processes 2022, 10, 567. [Google Scholar] [CrossRef]
  17. Zhou, N.; Ma, H.; Chen, J.; Fang, Q.; Jiang, Z.; Li, C. Equivalent Modeling of LVRT Characteristics for Centralized DFIG Wind Farms Based on PSO and DBSCAN. Energies 2023, 16, 2551. [Google Scholar] [CrossRef]
  18. Han, R.; Zheng, J.; Zhu, S.; Sheng, C.; Zhang, J.; Xiao, X. Step identification of synchronous generator parameters based on sensitivity analysis. Electric. Power Autom. Equip. 2012, 32, 74–80. [Google Scholar]
  19. Wang, H.; Pan, X.P.; Ju, P. Parameter identification of three-mass drive-train system for fixed-speed wind turbine generator based on PSO algorithm. J. Hohai Univ. (Nat. Sci. Ed.) 2016, 44, 84–88. [Google Scholar]
  20. Xu, R.Q.; Peng, X.T.; Qin, S.Y.; Chen, R.; Wang, R.; Wang, J. Parameter identification of doubly-fed induction generator converter based on M-sequence. Power Syst. Technol. 2022, 46, 578–586. [Google Scholar]
  21. Ma, Y.; Zhao, H.; Wang, P.; Luo, J.; Zheng, W.; Wang, J. Parameter Identification and Stability Analysis of DFIG. In Proceedings of the 2022 International Conference on Power Energy Systems and Applications (ICO PESA), Nanjing, China, 25–27 November 2022; pp. 390–395. [Google Scholar] [CrossRef]
  22. Li, L.; Zheng, T.Y.; Huang, S.L. A parameters identification method of DFIG converter control system based on extended Kalman filter. Power Syst. Clean Energy 2022, 38, 50–60. [Google Scholar]
  23. Pan, X.P.; Wen, R.C.; Ju, P.; Jin, Y.Q.; Zhang, Y.T. A frequency-domain based method to identify parameters of grid side converter controller for doubly fed induction generators. Power Syst. Technol. 2015, 39, 634–638. [Google Scholar]
  24. Pan, X.; Ju, P.; Wen, R.; Wu, F.; Jin, Y. Decoupling estimation of parameters in rotor side controller of DFIG-based wind turbine by frequency domain method. Autom. Electric. Power Syst. 2015, 39, 19–25. [Google Scholar]
Figure 1. Dynamic equivalent circuit diagram of DFIG in synchronous rotating coordinate system.
Figure 1. Dynamic equivalent circuit diagram of DFIG in synchronous rotating coordinate system.
Energies 18 04979 g001
Figure 2. Block diagram of rotor side converter control.
Figure 2. Block diagram of rotor side converter control.
Energies 18 04979 g002
Figure 3. Block diagram of grid-side converter control.
Figure 3. Block diagram of grid-side converter control.
Energies 18 04979 g003
Figure 4. Flowchart of control parameter identification.
Figure 4. Flowchart of control parameter identification.
Energies 18 04979 g004
Figure 5. A comparison of the outputs from the RSC active power outer-loop PI controller under a three-phase fault at 6 s (voltage drop to 0.9 p.u.). The identified model predictions are validated against the benchmark controller response.
Figure 5. A comparison of the outputs from the RSC active power outer-loop PI controller under a three-phase fault at 6 s (voltage drop to 0.9 p.u.). The identified model predictions are validated against the benchmark controller response.
Energies 18 04979 g005
Figure 6. A comparison of the outputs from the RSC reactive power outer-loop PI controller under a three-phase fault at 6 s (voltage drop to 0.9 p.u.). The identified model predictions are validated against the benchmark controller response.
Figure 6. A comparison of the outputs from the RSC reactive power outer-loop PI controller under a three-phase fault at 6 s (voltage drop to 0.9 p.u.). The identified model predictions are validated against the benchmark controller response.
Energies 18 04979 g006
Figure 7. A comparison of the outputs from the RSC d-axis current inner-loop PI controller under a three-phase fault at 6 s (voltage drop to 0.9 p.u.). The identified model predictions are validated against the benchmark controller response.
Figure 7. A comparison of the outputs from the RSC d-axis current inner-loop PI controller under a three-phase fault at 6 s (voltage drop to 0.9 p.u.). The identified model predictions are validated against the benchmark controller response.
Energies 18 04979 g007
Figure 8. A comparison of the outputs from the RSC q-axis current inner-loop PI controller under a three-phase fault at 6 s (voltage drop to 0.9 p.u.). The identified model predictions are validated against the benchmark controller response.
Figure 8. A comparison of the outputs from the RSC q-axis current inner-loop PI controller under a three-phase fault at 6 s (voltage drop to 0.9 p.u.). The identified model predictions are validated against the benchmark controller response.
Energies 18 04979 g008
Figure 9. A comparison of the outputs from the GSC voltage outer-loop PI controller under a three-phase fault at 6 s (voltage drop to 0.9 p.u.). The identified model predictions are validated against the benchmark controller response.
Figure 9. A comparison of the outputs from the GSC voltage outer-loop PI controller under a three-phase fault at 6 s (voltage drop to 0.9 p.u.). The identified model predictions are validated against the benchmark controller response.
Energies 18 04979 g009
Figure 10. A comparison of the outputs from the GSC d-axis current inner-loop PI controller under a three-phase fault at 6 s (voltage drop to 0.9 p.u.). The identified model predictions are validated against the benchmark controller response.
Figure 10. A comparison of the outputs from the GSC d-axis current inner-loop PI controller under a three-phase fault at 6 s (voltage drop to 0.9 p.u.). The identified model predictions are validated against the benchmark controller response.
Energies 18 04979 g010
Figure 11. A comparison of the outputs from the GSC q-axis current inner-loop PI controller under a three-phase fault at 6 s (voltage drop to 0.9 p.u.). The identified model predictions are validated against the benchmark controller response.
Figure 11. A comparison of the outputs from the GSC q-axis current inner-loop PI controller under a three-phase fault at 6 s (voltage drop to 0.9 p.u.). The identified model predictions are validated against the benchmark controller response.
Energies 18 04979 g011
Figure 12. Iterative process diagram for converter control parameters. (a) Iteration process for RSC control parameters; (b) iteration process for GSC control parameters.
Figure 12. Iterative process diagram for converter control parameters. (a) Iteration process for RSC control parameters; (b) iteration process for GSC control parameters.
Energies 18 04979 g012
Figure 13. Comparison of actual versus predicted values for the rotor-side converter current inner-loop PI control parameters under a 10% increase in the machine-side and grid-side inductance. (a) Comparison of outputs from the RSC d-axis current inner-loop PI controller; (b) comparison of outputs from the RSC d-axis current inner-loop PI controller.
Figure 13. Comparison of actual versus predicted values for the rotor-side converter current inner-loop PI control parameters under a 10% increase in the machine-side and grid-side inductance. (a) Comparison of outputs from the RSC d-axis current inner-loop PI controller; (b) comparison of outputs from the RSC d-axis current inner-loop PI controller.
Energies 18 04979 g013
Figure 14. Error diagram of converter control parameters.(a) Error in RSC control parameters; (b) error in GSC control parameters.
Figure 14. Error diagram of converter control parameters.(a) Error in RSC control parameters; (b) error in GSC control parameters.
Energies 18 04979 g014
Table 1. RSC control parameter trajectory sensitivity.
Table 1. RSC control parameter trajectory sensitivity.
Control ParameterTrajectory Sensitivity
kp116.02
ki14.99
kp21738.21
ki2304.48
kp332.27
ki322.20
kp435.71
ki40.57
Table 2. GSC control parameter trajectory sensitivity.
Table 2. GSC control parameter trajectory sensitivity.
Control ParameterTrajectory Sensitivity
kp5132.98
ki57.390
kp6154.82
ki626.85
kp7183.41
ki798.42
Table 3. Identification results for rotor converter control parameters.
Table 3. Identification results for rotor converter control parameters.
Control ParameterTrue ValueIdentified ValueAverage Error/%
kp10.10.101071.0711
ki12020.00
kp233.00010.0018
ki2109.9990−0.3954
kp30.20.200310.1535
ki31010.00440.0440
kp432.9996−0.0135
ki41010.1615−0.1147
Table 4. Identification results for grid converter control parameters.
Table 4. Identification results for grid converter control parameters.
Control ParameterTrue ValueIdentified ValueAverage Error/%
kp5330.0013
ki51010.0020.017
kp60.50.4998−0.040
ki655−0.0001
kp70.50.4999−0.020
ki710100.0003
Table 5. Identification results for rotor converter control parameters under noisy conditions.
Table 5. Identification results for rotor converter control parameters under noisy conditions.
Control ParameterTrue ValueIdentified ValueAverage Error/%
kp10.10.101071.0711
ki12020.01780.5120
kp232.9869−0.4359
ki2109.389−6.1101
kp30.20.19744−1.2802
ki3109.9776−0.2239
kp433.00780.2609
ki41010.3843.8384
Table 6. Identification results for rotor converter control parameters under a 10% increase in the machine-side and grid-side inductance.
Table 6. Identification results for rotor converter control parameters under a 10% increase in the machine-side and grid-side inductance.
Control ParameterTrue ValueIdentified ValueAverage Error/%
kp2330.0015
ki2109.9613−0.3873
kp432.9996−0.0132
ki4109.9892−0.1077
Disclaimer/Publisher’s Note: The statements, opinions and data contained in all publications are solely those of the individual author(s) and contributor(s) and not of MDPI and/or the editor(s). MDPI and/or the editor(s) disclaim responsibility for any injury to people or property resulting from any ideas, methods, instructions or products referred to in the content.

Share and Cite

MDPI and ACS Style

Deng, J.; Wang, Y.; Liu, Y.; Zheng, T.; Xia, N.; Li, Z.; Wang, T. Identification of Control Parameters in Doubly Fed Induction Generators via Adaptive Differential Evolution. Energies 2025, 18, 4979. https://doi.org/10.3390/en18184979

AMA Style

Deng J, Wang Y, Liu Y, Zheng T, Xia N, Li Z, Wang T. Identification of Control Parameters in Doubly Fed Induction Generators via Adaptive Differential Evolution. Energies. 2025; 18(18):4979. https://doi.org/10.3390/en18184979

Chicago/Turabian Style

Deng, Jun, Yu Wang, Yao Liu, Tianyue Zheng, Nan Xia, Ziang Li, and Tong Wang. 2025. "Identification of Control Parameters in Doubly Fed Induction Generators via Adaptive Differential Evolution" Energies 18, no. 18: 4979. https://doi.org/10.3390/en18184979

APA Style

Deng, J., Wang, Y., Liu, Y., Zheng, T., Xia, N., Li, Z., & Wang, T. (2025). Identification of Control Parameters in Doubly Fed Induction Generators via Adaptive Differential Evolution. Energies, 18(18), 4979. https://doi.org/10.3390/en18184979

Note that from the first issue of 2016, this journal uses article numbers instead of page numbers. See further details here.

Article Metrics

Back to TopTop