Next Article in Journal
Increasing Economic Benefits in Renewable Energy Communities with Solar PV and Battery Storage Technologies: Insights from New Member Integration
Previous Article in Journal
Correction: Liu et al. Quarter-Hourly Power Load Forecasting Based on a Hybrid CNN-BiLSTM-Attention Model with CEEMDAN, K-Means, and VMD. Energies 2025, 18, 2675
 
 
Font Type:
Arial Georgia Verdana
Font Size:
Aa Aa Aa
Line Spacing:
Column Width:
Background:
Article

Modified Analytical Model of the Stirling Cycle: Impact of Loss Mechanisms on Stirling Engine Efficiency

1
Department of Vehicles and Fundamentals of Machine Design, Lodz University of Technology, 90-537 Lodz, Poland
2
Stellantis, Technical Center, 78140 Vélizy-Villacoublay, France
*
Author to whom correspondence should be addressed.
Energies 2025, 18(18), 4814; https://doi.org/10.3390/en18184814
Submission received: 22 July 2025 / Revised: 3 September 2025 / Accepted: 8 September 2025 / Published: 10 September 2025
(This article belongs to the Section J2: Thermodynamics)

Abstract

Stirling engines are widely applied due to their high thermal efficiency and ability to operate with diverse heat sources. An accurate thermodynamic model is essential for optimising engine design parameters and evaluating the thermal performance of Stirling engines. Despite the fact that the Schmidt model and the ideal adiabatic model quite commonly approximate the performance, they frequently neglect critical loss mechanisms such as regenerator inefficiency, flow resistance, and mechanical friction. In order to address the limitations identified, this study proposes a numerical performance analysis of the GENOA 03 α-type Stirling engine under real operating conditions. The analysis is conducted using an extended second-order Simple Model and Finite Speed approach. The model incorporates significant irreversibilities, including the effectiveness of the regenerator, pressure losses, the shuttle effect, and mechanical friction. A novel aspect of this study is the experimental determination of mechanical friction losses under no-load conditions at various rotational speeds, which are then integrated into the numerical model. The findings of the study indicate that regenerator imperfection and friction losses are significant factors affecting the performance of Stirling engines, and contribute approximately 23% and 14% of the total engine inefficiency, respectively. The model also identifies 1.25 MPa as the minimum operational pressure threshold. The proposed approach integrates experimental data with modified analytical modelling providing more accurate performance predictions for Stirling engines.

1. Introduction

In recent years, the global adoption of green energy strategies has increased interest in the application of Stirling engines in various industries, including power generation, automotive, and underwater industry. The Stirling engine is a type of external combustion engine that offers the distinct advantage of being powered by a wide range of heat sources. Its closed regenerative thermodynamic cycle, involving the cyclic compression and expansion of the working gas at different temperatures, enables it to achieve relatively high thermal efficiency close to the Carnot efficiency [1,2].
As illustrated in Figure 1, the classification of kinematic Stirling engines is typically divided into three configurations: α, β, and γ type. In all configurations, the cylinder is divided into expansion and compression chambers. A typical kinematic Stirling engines comprise five main components: a power piston, a displacer, a cylinder, a regenerator, and a mechanical linkage. The reciprocating motion of the power piston is responsible for the conversion of mechanical energy into electrical energy [3,4], while the displacer is used to transfer the working fluid through the chambers [5].
The α type Stirling engine (see Figure 1) features the simplest design, comprising with two separate cylinders, one for compression (right) and one for expansion (left). The power piston and the displacer piston are both contained within a single cylinder of the β type, resulting in a more compact structure. The γ type, which is analogous to the α type due to the presence of two separate cylinders, has been shown to exhibit enhanced efficiency and power output in comparison to other kinematic Stirling types, as evidenced by computational fluid dynamics (CFD) simulations [6]. Beyond the kinematic type, dynamic Stirling engines are characterised by the absence of mechanical linkages. For example, the free-piston Stirling engine (FPSE) replaces mechanical linkages with spring, thereby achieving a higher level of efficiency in comparison to the kinematic Stirling engine. This enhancement in efficiency can be attributed to the reduction in mechanical losses that occur because of the FPSE’s innovative design [4,7,8].
Currently, there is a growing demand for precise numerical models of Stirling engines. This has resulted in numerous studies focusing on developing accurate mathematical models to optimise design parameters and evaluate the performance of kinematic Stirling engines. Organ [1] and Martini [2] categorised Stirling cycle analytical models into five orders based on their level of sophistication. The following models are of relevance in this context: zero-order model (empirical correlation), first-order model (isothermal model), second-order model (adiabatic model or polytropic model), third-order model (nodal solution), and the multidimensional fourth-order model based on the finite element method (FEM) [9].
In the preliminary stage of Stirling engine dimensioning and power estimation, the Beale correlation is commonly employed as a simple empirical data set. In this model, the power output is proportional to the mean effective pressure, the displacer swept volume, and the engine operating frequency. The Beale number has been determined to be 0.15, as indicated by a set of empirical data. This value is influenced by a limited hot cylinder temperature of approximately 650 °C [10]. Subsequently, to improve its generalisability, the model was later extended by incorporating the temperature ratio between the hot and cold chambers, thus expanding the applicable Beale number range from 0.06 to 0.23. Despite the fact that these correlations, derived from empirical data, are useful for preliminary power predictions. These empirical correlations suffer from limited applicability due to their narrow parameters and dependence on specific engine types within the dataset [9].
More recently, regression-based artificial neural networks (ANNs) utilising soft computing methodologies have emerged as a substitute for conventional zero-order models. These models have been applied to the design and optimisation of Stirling engines by correlating various operational and geometric parameters. However, despite their flexibility, such approaches still lack experimental validation and are primarily limited to the design phase, with limited applicability for accurate performance prediction. Moreover, these models often present a strong deviation in predictive accuracy when certain parameters are varied [11,12].
In order to facilitate more accurate performance estimation, first-order models have been implemented. These models facilitate isothermal calculations, thereby enabling the preliminary prediction of Stirling engine performance based on the ideal cycle. The Schmidt model is one of the most widely used due to its simplicity. It estimates engine output power and overall thermal efficiency under the idealised assumptions of a loss-free and quasi-static process. In the absence of thermal and irreversible processes, it can be assumed that the temperature of the gas is equivalent to the wall. In this model, the harmonic motion of the crankshaft drives the isothermal compression and expansion processes of the working gas [13]. Martini [2] presented the Schmidt model by introducing an iterative procedure based on a constant average, time-independent temperature in the hot and cold exchangers. He applied this approach to assess the performance of the GPU-3 and 4L23 engines, with the Schmidt model results calibrated using a correction factor of 0.8 to align with the experimental values. El-Ehwany [14] further extended the application of the Schmidt model by calculating the power output of a Stirling engine with elbow-bend heater and cooler configurations. He analysed eight distinct heat exchanger arrangements and optimised the geometrical parameters for nitrogen as the working fluid. However, the output power and thermal efficiency predicted by the Schmidt model are often overly optimistic and inaccurate from the point of view of the actual performance of Stirling engines. This discrepancy can be attributed to the oversimplified assumptions inherent in the model, which fails to account for the temperature gradient within the regenerator, in addition to the heat exchange processes occurring both within the system and with its surroundings. In many cases, the calculated thermal efficiency is unrealistically close to or even exceeds the Carnot efficiency [1,2,6,9,15]. Despite these limitations, the Schmidt model constitutes a quick solution for estimating the engine power and efficiency. However, in view of the overoptimistic result obtained from the Schmidt model, numerous studies have focused on developing second-order solutions that are extended on isothermal analysis by considering more realistic operating conditions. Although isothermal models may offer a better representation of the conceptual compression and expansion processes at low speed, the inherently rapid and transient operation of Stirling engines at high speed often results in a process that is closer to adiabatic conditions, due to an inadequate time period for effective heat transfer.
Flankelstein was the first to introduce the ideal adiabatic model, which incorporates adiabatic processes and assumes perfect regeneration within the Stirling engine [16,17]. Similarly, Urieli and Berchowitz [15] developed a more detailed version, in which adiabatic compression and expansion take place throughout the Stirling cycle. In this model, the engine is discretised into a series of linear control volumes, including five heat exchange cells. In this discretisation, gas properties such as pressure, temperature, and mass are defined. In this one-dimensional framework, the time-dependent behaviour of the working gas in each heat exchanger cell is described using the energy conservation equation. To evaluate engine performance, a system of ordinary differential equations representing mass and energy conservation is solved. Despite the fact that the ideal adiabatic model provides more realistic results in comparison to the Schmidt model, it still lacks sufficient accuracy when compared with experimental results. This is primarily due to the fact that perfect regeneration is seldom achieved in real engines [9], and the model disregards numerous loss mechanisms that considerably influence overall efficiency [18,19,20]. Many studies have adopted the second-order ideal-less adiabatic model to enhance the accuracy of simulations. Urieli proposed a refined version that incorporates imperfect regeneration, commonly referred to as the “Simple Model” [15]. In this model, the regenerator effectiveness is expressed as a function of the number of transfer units (NTU), which characterises the actual heat transfer performance and depends on the regenerator’s geometric configuration. His work also provides alternative configurations of regenerators, which can be utilised as a valuable source of reference material for modelling purposes. Numerous studies have been conducted on this good fundamental approach from the simple model. Parlak [21] successfully extended Urieli’s approach and conducted a comparative analysis of different working gases, finding that helium demonstrated better performance than air. Timoumi [22] presented an optimisation study of GPU-3 engine based on the Simple model. The study concluded that the actual power output was significantly lower than the theoretical predictions, even after incorporating various loss mechanisms. It was determined that significant energy dissipation occurred due to pump losses and imperfect heat exchange in the regenerator, while other loss types exerted comparatively minor effects on total output power [9,12]. Wang [23] further improved the Simple model by emphasising the substantial impact of regenerator heat transfer losses. He found that flow resistance, particularly at higher rotational speeds and pressures, contributes more to total losses than other factors when using nitrogen and helium as working fluids. Chen [24] conducted a numerical analysis of a gamma-type Stirling engine, investigating the influence of four parameters: regenerator effectiveness, crank radius, working fluid pressure, and rotational speed. The analysis identified regenerator effectiveness as the most influential factor affecting indicated power. Furthermore, Anders [25] conducted a one-dimensional analysis of the regenerator to investigate its effectiveness. The investigation revealed that the number of transfer units and the number of sub-regenerator layers were the predominant factors influencing effectiveness. It has been demonstrated that, under specific temperature conditions, the deployment of 19 sub-regenerator layers can yield an effectiveness level up to 95%. It is evident that other works have also applied the original Simple model and its modified variants to a wide range of Stirling engines, incorporating loss mechanisms such as heat transfer losses, leakage and shuttle losses [26,27,28,29,30,31].It is important to note that all of the Simple-based models previously mentioned take into account the pressure losses that occur in the heat exchangers, which have been shown to have a substantial impact on overall efficiency. However, due to the simplified structure of the second-order model, it is unable to fully couple the interrelated various loss mechanisms [29].
The third-order analysis, also referred to as nodal analysis, divides the gas channels in the Stirling engine into more sophisticated control volumes than those employed in second-order models. Within each small node or control volume, the working fluid is described using differential gas dynamic equations based on the conservation laws of mass, momentum, and energy [32]. Subsequent studies have adopted third-order analysis for more detailed modelling. For instance, Schock [33] developed a general programme called SNAP (Stirling Nodal Analysis Program) which discretizes the working space into 25 nodal volumes and presents simulation results in both Eulerian and Lagrangian form. This tool has been demonstrated in both kinematic Stirling engines and free-piston Stirling engines (FPSE). Subsequently, Toghyani [34] employed a multi-objective evolutionary algorithm to optimise Stirling engine performance through multi-objective optimisation. The framework is particularly focused on incorporating non-ideal gas behaviour into gas dynamic equations. In addition, the Sage Stirling modelling software, which was developed by Gedeon [35] since 1995, has become a widely used tool in Stirling cycle analysis. This is not only the case in the context of the Stirling engine, but also in the field of Stirling refrigerator application. The software relies on empirical correlations to estimate flow resistance and heat transfer rates within the engine. Each physical compartment is implemented as a functional module within the Sage graphical user interface. This is further subdivided into interconnected sub-modules, such as gas modules, solid modules, and connection modules. These modules collectively solve the governing equations, node by node [36,37]. Third-order models have been shown to significantly improve the complexity of Stirling engine simulations when combined with empirical calibration and refined control volumes. As demonstrated in [38], third-order approaches have been shown to offer enhanced accuracy and improved congruence with experimental findings when compared to second-order models. However, this enhancement in precision is often accompanied by a corresponding increase in computational complexity and efficiency.
To account for the multi-dimensional behaviour of the working fluid, which is neglected in 1-D analyses, fourth-order models use commercial FEM software. Chen [6], for example, presented a CFD study which demonstrated that an increase in regenerator porosity resulted in an increase in power output, a finding that was consistent with the results of second-order models. He also found that increasing pressure and temperature lead to thermal efficiency increase as well. Moreover, Ahmed [39] conducted CFD simulations of a V-type α Stirling engine, drawing upon a case study by Karabulut [40]. The findings of the study demonstrated that an increase in mean effective pressure resulted in an enhancement of power output. Furthermore, the analysis revealed that optimising the length of the cooler and the heater to 140 mm led to a substantial improvement in performance. Nonetheless, despite the fact that fourth-order models boast detailed resolution, their practical application is limited by virtue of their high computational complexity and complex setup procedures [38]. As with the majority of previous modelling endeavours, these studies too have neglected to consider mechanical friction losses, which remain an important yet underrepresented factor in higher-order Stirling engine models. Table 1 provides a concise overview of the characteristics, advantages, and limitations of zero- to fourth-order Stirling engine models.
Despite the advances in Stirling engine modelling, a significant limitation in most models, particularly those up to the fourth order, is the inadequate consideration of mechanical power losses due to friction [11]. Frictional losses occur between nearly all moving components of the engine and have a significant impact on overall efficiency. Although several studies, particularly those involving second-order models, attempt to incorporate mechanical losses through numerical simulation, such efforts are often constrained by simplifying assumptions. For example, Kongtragool [41] concludes that mechanical losses may account for up to 35% of the losses from the Schmidt model, thereby offering a more accurate reflection of real engine conditions. Garcia [42] proposed a mathematical representation of mechanical losses and incorporated them into thermodynamic models, combining these losses with viscous friction effects based on Coulomb dry friction theory. It has been demonstrated that these losses are proportional to the rotational speed of the engine. However, such models are typically applied to specific prototypes and lack validation against empirical data, limiting their general applicability in Stirling engine research. Babaelahi [43] further extended the Simple model by proposing a polytropic representation of the Stirling cycle. As demonstrated in the research, the Stirling cyclic compression and expansion processes are characterised as polytropic processes with the finite-speed effect. This is in contrast to isothermal or adiabatic processes, and is attributed to the presence of multiple loss mechanisms during crankshaft operation. These mechanisms include shuttle losses, working gas leakage, and mechanical losses caused by friction between moving parts. Mechanical loss terms were estimated using empirical data and friction models derived from the study of internal combustion engines [44,45]. These losses were incorporated into an extended version of the model, referred to as “Simple-II model”, which resulted to be more consistent with experimental observations. This study further demonstrated that regenerator losses had the greatest impact on power output, while leakage losses had a relatively minor effect. Moreover, an improvement in performance was demonstrated with increased regenerator porosity [8,26]. In a related effort, the CAFS (Combined Adiabatic Finite Speed) model [46] was proposed as a further improvement of the Simple-II model. This model was distinguished by its incorporation of finite-speed thermodynamics effects, in conjunction with a consideration of mechanical irreversibility. The CAFS model was subjected to experimental validation, which resulted in the demonstration of higher predictive accuracy in comparison to previous second-order models, particularly in the context of finite-speed friction losses. However, third-order and fourth-order models still lack integration with mechanical friction losses, with no strong case studies supporting their incorporation.
It is imperative to acknowledge the inherent variations in structural configurations and driving mechanisms, encompassing Stirling engine types, auxiliary components, and linkage mechanisms, when undertaking the modelling of frictional losses. Experimental measurement is the most accurate and reliable method for quantifying mechanical losses in Stirling engines [1,2,8,9,10,12,39]. In order to address the limitations of conventional Stirling engine models and to improve the accuracy of performance prediction, this study conducts a numerical analysis of the GENOA 03 Stirling engine. The analysis is based on second-order analytical models, using the Simple approach [15] and CAFS model [46]. The analysis commences with the Schmidt model to define boundary conditions, which are subsequently applied to the improved models to evaluate power output and thermal efficiency under varying operational parameters. Loss mechanisms, including pump losses, flow resistance, and mechanical friction, are systematically incorporated into the model. Particularly, frictional losses, which vary with rotational speed, are the subject of experimental measurement and subsequent reformulation into mathematical expressions. Different NTU formulations are also compared. The performance of the engine is evaluated across a range of real operational conditions from the experimental setup and parameter values presented by Nader [47].
The objective of this study is to develop a more accurate and experimentally validated model for predicting the performance of Stirling engines. To this end, the individual contribution of key loss mechanisms will be quantified, and the mechanical friction losses of the GEONA03 α-type engine will be experimentally characterised across a range of operating speeds. These experimental findings will then be integrated into a modified second-order model to enhance predictive accuracy. The findings offer insights into the relative impact of different losses and provide a foundation for the evaluation and optimisation of Stirling engine performance.

2. Materials and Methods

The GENOA 03 Stirling engine is a double-cylinder, α-type design developed for a power output of 3 kW, as illustrated in Figure 2a,b. The engine features a 90° phase angle α between the hot displacer and the cold piston. Nitrogen is utilised as the working fluid, with operating pressures of up to 2 MPa. The operation of the hot cylinder is conducted within the temperature range of 750 °C to 900 °C, while the optimal rotational speed is set within the range of 200 to 600 RPM. Detailed geometric parameters of the GENOA 03 Stirling engine is provided by García [48].
This study concentrates on the thermodynamic analysis of the GENOA 03 engine Stirling cycle, the basis of which are the second-order analytical models [15,46]. Operational [47] and geometric [48] parameters, previously defined, are employed as input data, thereby enabling a comprehensive performance simulation. Furthermore, mechanical losses are incorporated based on experimentally derived expressions, thus allowing for a more realistic prediction of engine behaviour under varying operating conditions.

2.1. Methodology

As illustrated in Figure 3, a flowchart is provided which summarises the entire simulation process. This flowchart demonstrates the progression of the thermodynamic models from ideal assumptions to full integration with consideration for the internal losses and experimentally determined mechanical friction.
The combined numerical model begins by incorporating the engine’s geometric and operating parameters into the Schmidt model. Schmidt’s equations, which are derived as an extension of the ideal gas law, are solved simultaneously in order to analytically obtain the expression for pressure variation throughout the Stirling cycle. The Schmidt model represents an explicit formulation, where engine performance is obtained directly from closed-form analytical equations without the need for iterative coupling. It is assumed that there is no leakage of gas during operation. The working gas mass, as determined under various conditions, is then extracted from the Schmidt model and used as input for the ideal adiabatic analysis.
In contrast, the subsequent models employ an implicit formulation. In this stage, a set of differential equations is formulated and solved iteratively under appropriate initial conditions. These equations represent energy conservation across all specified engine compartments (hot cylinder, heater, regenerator, cooler, cold cylinder). Convergence of the temperature profiles is achieved upon completion of this process. Despite the fact that the adiabatic analysis constitutes an initial value problem in its fundamental essence, it is reformulated as a boundary value problem due to the thermodynamic initial values of the compression and expansion temperatures are unknown in quasi-static operation. However, these temperatures at the beginning and end of each cycle must be equal, which serves as a periodic boundary condition to represent continuous engine operation. The resulting boundary value problem uses the fourth-order Runge–Kutta method to solve the differential energy conservation equations.
To account for non-ideal effects, loss mechanisms such as imperfect regeneration, pressure drops, and shuttle effects are then introduced into the adiabatic model. This formulation corresponds to the structure of the Simple model which is closer to practical Stirling engine behaviour. These factors are calculated independently and incorporated into the model. Finally, the model is further extended by incorporating a mechanical loss formulation based on experimental measurements, along with finite-speed thermodynamic effects. The frictional loss, which is obtained through experimental means, can be represented as a reduction in the effective pressure acting on the piston. This reduction is then expressed as an additional pressure-drop term [9,43]. This enhancement constitutes a reformed expression of the friction loss in the CAFS model, thus allowing for more realistic performance predictions.

2.2. Schmidt Model

The Schmidt approach is a closed-form isothermal analysis based on the ideal gas law, PV = mRT. In this model, the Stirling engine is linearly divided into five enclosed compartments: the expansion space, heater, regenerator, cooler, and compression space (as illustrated in Figure 4a). Each compartment is assumed to maintain a constant temperature, defined by the time-independent mean effective temperature. The assumptions applied for the Schmidt model are listed as follows:
  • Quasi-static process, obeying the ideal gas law, with a constant rotational speed (RPM).
  • There is no gas leakage; mean effective pressure and total working mass are constant.
  • Temperatures in the compression space and expansion space are constant at Tk and Th respectively.
  • Infinite heat transfer coefficient with ideal perfect regeneration.
  • Equivalent sinusoidal volume variations in the piston motion.
It is assumed that a perfect heat transfer occurs between the engine and its surroundings. This assumption results in the absence of a temperature gradient within each compartment. It can thus be concluded that, the heater and the expansion space are maintained at the same hot side temperature Th, while the cooler and the compression space share the cold side temperature Tk. As demonstrated by Urieli [15], the linear temperature profile in the regenerator was successfully exhibited. The temperature of the regenerator Tr is integrated by the mean temperature of the hot and cold temperatures [49]. The assumed temperature distribution across the five compartments is illustrated in Figure 4b.
Figure 4. Schematic view of the Stirling Engine compartments (a) and temperature assumption of Schmidt Model (b).
Figure 4. Schematic view of the Stirling Engine compartments (a) and temperature assumption of Schmidt Model (b).
Energies 18 04814 g004
The sinusoidal variations in swept volumes in the expansion and compression spaces, denoted as Vswc and Vswe respectively, are modelled based on the harmonic motion of the piston and the crankshaft (alone with the crank rotation angle, denoted as θ ). These assumptions regarding a temperature distribution and swept volume variations constitute the mathematical foundation of the Schmidt model and allow the derivation of closed-form expressions for the work output. The governing equations of the Schmidt model used for performance analysis are summarised in Table 2 [1,2,13,14,15,49].

2.3. Ideal Adiabatic Model

The Schmidt model demonstrates an overestimation of the engine performance, as a consequence of the model’s assumption of infinite heat transfer rates and perfectly isothermal processes with the cylinder walls. However, in practice, the rapid and cyclic operation of Stirling engines results in inadequate time for an effective heat exchange during the compression and expansion processes, particularly at high speed. As a result, the behaviour is better described as adiabatic, where finite heat transfer occurs primarily through internal heat exchangers rather than between the gas and the cylinder wall.
The ideal adiabatic model is one in which temperature changes in the working gas during the compression and expansion process are accounted for, while the walls of the heat exchangers remain at constant temperatures. In comparison with the isothermal Schmidt model, this approach has been demonstrated to provide a more accurate reflection of the transient thermodynamic processes that occur during the real engine operation.
The initialisation of the adiabatic analysis, mass of the total working gas obtained from the Schmidt model under a specified mean pressure are used as input. The assumptions for the ideal adiabatic model are as follows:
  • Perfect regeneration.
  • Perfect mixing of the gas between the heater (at the wall temperature Th) and the expansion space, as well as between the cooler and compression space (at the wall temperature Tk).
  • No gas leakage, with the total mass remaining constant, calculated from the Schmidt Model.
  • Quasi-static thermodynamic cycle, same as the Schmidt model.
  • Constant wall temperature within heat exchangers.
Figure 5 illustrates the compartmental layout of the ideal adiabatic model. The process of energy transfer between the compartments is governed by enthalpy changes, which in turn are influenced by the mass flow rate and the upstream temperature. The model applies the first law of thermodynamics to each control volume in one dimension. In contrast to the lumped system solution provided by the Schmidt model, the adiabatic approach solves differential energy equations for each compartment of the engine and presents the parametrical variation over a full cycle. For each cell, the energy equation can be expressed as:
Heat transfer into the cell + Energy convection = Increased internal energy + Work done
The energy conservation equation therefore can be expressed in differential form as:
dQ + (cpTinmin′ − cpToutmout′) = cvd(mT) + dW
The energy conservation equation of each cell is applied to the generation of the continuity equations set for the entire system. The solution of a set of algebraic differential equations enables the determination of the energy distribution over a cycle. This process involves the transfer of energy through temperature and mass flow in and out of each cell.
Figure 5. Compartments discretization of Ideal Adiabatic Model.
Figure 5. Compartments discretization of Ideal Adiabatic Model.
Energies 18 04814 g005
The local energy conservation equation is used to construct a system of algebraic-differential equations describing the full Stirling cycle. The resolution of the system over time engenders the temperature and energy distribution within the engine. The energy evolution throughout the Stirling cycle is determined by the heat and mass transfer in and out of each compartment.
As described in the methodology section, instead of an initial value solution, the adiabatic model is solved as a boundary value model, since the thermodynamic initial values of the compression and expansion temperatures, Tc and Te, are unknown in the steady state. However, in the closed-loop analysis these temperatures at the start and end of each cycle must be equal. This periodic boundary condition simulates a continuous engine operation. The regenerator temperature Tr is determined using the formula for the logarithmic mean of the hot and cold end temperatures:
T r   =   T h     T k ln ( T h T k )
After several iterations, the solution converges, showing the full characterisation of the Stirling cycle through time-dependent explicit modelling. The net work performed over one cycle is computed from the enthalpy gain and loss across the heater and the cooler:
W   =   Q h   +   Q k
where Q h is the heat transfer added from the heater, and Q k is the heat transfer rejected to the cooler.
The thermal efficiency of the engine is then calculated as:
η thermal = W Q h = Q h +   Q k Q h

2.4. Modified Simple Model

The ideal adiabatic model assumes perfect regeneration. However, in practice, the Stirling process is inherently irreversible, leading to deviations from the ideal process. During the Stirling cycle, the working gas flows in both directions, initially as a cold stream from the cooler to the heater, and subsequently as a hot stream in the reverse direction.

2.4.1. Regenerator Effectiveness

Due to imperfect regeneration, the gas temperature at the exit of the regenerator is lower than the heater temperature when the gas flows from the cooler to the heater. Similarly, the reverse occurs when the gas flows as a hot stream. Consequently, the heater is required to supply additional heat, and the cooler must absorb more heat than in the ideal case, thereby increasing an overall energy demand [48,50].
The aforementioned imperfection refers to ε, which is the effectiveness of the regenerator. It is measured as the ratio between the actual heat transfer rate of the Stirling cycle through the regenerator and the maximum heat transfer rate. The maximum heat transfer rate is calculated using the ideal adiabatic model as follows:
ε   =   Actual   heat   transfer   rate Theoretically   maximum   heat   transfer   rate
Urieli [15] proposed ε as a metric to estimate the regenerator effectiveness in a compact heat exchanger analysis. In the context of the Stirling engine, NTU offers practical means to quantify the extent of thermal interaction between the flowing gas and the regenerator matrix.
NTU = 1 2 St A wr A
ε = NTU ( 1 + NTU )
where Awr is the wetted area of the regenerator, the total surface area over which convection occurs between the gas and the solid matrix.
A is the flow free area of the regenerator, the open cross-sectional area available for gas flow through the regenerator.
St is the Stanton number, a dimensionless parameter that characterises a convective heat transfer.
Stanton number is defined as:
S t = h ρ u c p
where h is the convective heat transfer coefficient, ρ is the fluid density, u is the average velocity of the working gas, and cp is the specific heat at a constant pressure.
For laminar and transitional flows typically found in regenerators, Kays–London correlations [51] use the average Reynolds number Re in each cell (as specified in Figure 4) and the Prandtl number Pr of the working gas (For air and nitrogen: P r = 0.71 ).
Re = ρ u D h μ ,   Pr = c p μ k
where Dh is the hydraulic diameter of the regenerator channels, and μ and k are the dynamic viscosity and thermal conductivity of the gas, respectively.
The regenerator geometry, such as wire mesh density, matrix thickness, and flow channel dimensions, has a significant impact on such parameters as the wetted area Awr, the flow area A, and the hydraulic diameter Dh. Thus, it directly influences both the NTU and the regenerator effectiveness.
In general, higher Reynolds numbers improve the convective heat transfer, thus increasing St and NTU. However, this improvement in the heat transfer performance is often accompanied by a substantial increase in pressure drop, which may in turn degrade an overall engine performance and thermal efficiency.

2.4.2. Regenerator Imperfection

Due to the convective heat losses (Qrloss) caused by the imperfect regenerator effectiveness, the gas temperature Th inside the heater is lower than the heater wall temperature (Twh), and similarly, the gas temperature Tk inside the cooler is higher than the cooler wall temperature (Twk). This behaviour deviates from the ideal adiabatic model, which assumes a perfect heat exchange and no temperature gradient. Figure 6 illustrates the temperature discretization in the Simple model, highlighting the temperature differences between the heat exchanger walls and the corresponding gas domains.
The following expressions are used to relate the effective gas temperatures to the actual heat exchange rate:
T h   =   T wh     Q h     Q rloss h h A wh
T c =   T wk Q k Q rloss h k A wk
where Q h and Q k : net heat transferred from/to the heater and cooler; h h , h k : convective heat transfer coefficients; Awh is the heat exchange area in the heater and Awk is the heat exchange area in the cooler.

2.4.3. Pressure Loss

It is an assumption inherent to both the Schmidt and ideal adiabatic models that the mass of the working gas inside the engine remains constant, as does the mean effective charge pressure. In reality, however, the flow within the Stirling engine is complex and unsteady. It also reverses during each cycle, leading to significant variations in the flow rate through the heat exchangers.
The regenerator, typically compacted with full fine copper wire mesh and porosity of around 87% [48], presents a substantial flow resistance to the oscillating gas. This restriction has been shown to generate a pressure drop, particularly under high-frequency flow conditions, which has been demonstrated to reduce an indicated power output and degrade the efficiency [50].
As the working fluid flows through various engine components, pressure drops occur due such factors as: wall friction, sharp bends, and flow path constrictions. The pressure drop across the regenerator can be estimated by the following empirical relation [52]:
P   =   2 C ref μ g ρ g u g V A d 2
where Cref is the Reynolds Friction Coefficient; V is instant control volume.
Thus, the work losses due to the pressure drop are as follows:
W losses   =   0 2 π p V θ d θ
The other heater exchanger parts are designed with greater channel diameter for flow passages. Nevertheless, pressure losses still occur due to inherent structural characteristics, such as bends and corners. These losses must also be considered in total system modelling.

2.4.4. Shuttle Effect

The shuttle effect in a Stirling engine is primarily caused by the displacer’s reciprocating motion as it moves between the hot and cold regions of the cylinder. When the displacer approaches the top dead centre (TDC), it is observed that its temperature is lower than that of the hot cylinder wall. As it enters the hot zone, heat is conducted from the hotter wall to the cooler displacer body. Conversely, as the displacer moves towards the bottom dead centre (BDC), heat is transferred to the cooler section of the cylinder wall. This bidirectional heat conduction occurs within each reciprocation of the displacer. This results in a continuous cycle of the heat transfer, which contributes to thermal losses within the engine.
Cartaya [32] provides a detailed derivation for quantifying shuttle conduction losses. The corresponding heat loss QSH is expressed as:
Q SH   =   π 8 S d 2 k g T hmax     T hmin D l L d ( 2 λ 2     λ 2 λ 2     1 )
λ = k d k g ω l 2 2
where Sd is the stroke length of the displacer, Ld is the length of the displacer, l is the radial clearance between the displacer and cylinder, D is the diameter of cylinder, ω is the angular frequency, kg is the thermal conductivity of the working gas, kd is the thermal conductivity of the displacer, Thmax and Thmin are the maximum and minimum temperatures over a cycle, respectively.

2.5. Mechanical Friction Loss

Mechanical losses due to friction occur between virtually all moving components in the engine mechanism and have a significant impact on the overall efficiency. As noted by Babaelahi [43,44] and Costea [45], mechanical losses were estimated using empirical data and friction models, originally developed for internal combustion engines. In their approach, the frictional loss term is expressed as:
P f   =   0.94   +   0.045 w 10 5 3 1     1 3 r v 1     1 r v
where r v is the compression ratio, and w is the average piston liner velocity in m/s.
Then, the frictional loss term is incorporated into the integral of power loss due to finite speed as follows:
δ W f   =   P mean ( ± aw c   ±   f P f P mean ) dV
where c   =   3 RT is the average molecular speed. a   = 3 γ     3 c with γ is the specific heat ratio. R is the gas constant. T is the gas temperature. The ± sign corresponds to the compression with + and expansion with −, respectively.
Then, the overall δ W f can be written as:
δ W f   =   δ W fc   +   δ W fe
To modify the mathematical expression of the friction loss term and more accurately reflect the numerical simulation results, the empirical approach allows mechanical frictional losses to be incorporated directly into the thermodynamic analysis of the specific Stirling engine. However, as mentioned in the introduction, accurately quantifying the losses requires experimental testing of the specific engine under investigation.
To obtain accurate mechanical loss data for the current Stirling engine, experimental measurements were conducted under no-load conditions by recording the torque at various engine speeds. Figure 7 shows the experimental setup used to measure mechanical losses. The test involved the measurement of Cylinder 2, with the piston and displacer of Cylinder 1 removed (as shown in Figure 7a,b). This was done to obtain single cylinder data for single Stirling cycle analysis. The engine was driven by an AC motor connected via chain transmission, and a torque metre was used to measure friction torque across different engine speeds in the real engine operation range (as shown in Figure 7a,b).

3. Results

The following results and discussions will be presented sequentially, from the simplified Schmidt model to the modified second-order Simple model. These models will be evaluated under the real operating conditions and assumptions that were outlined in the preceding chapter.

3.1. Schmidt Model Results

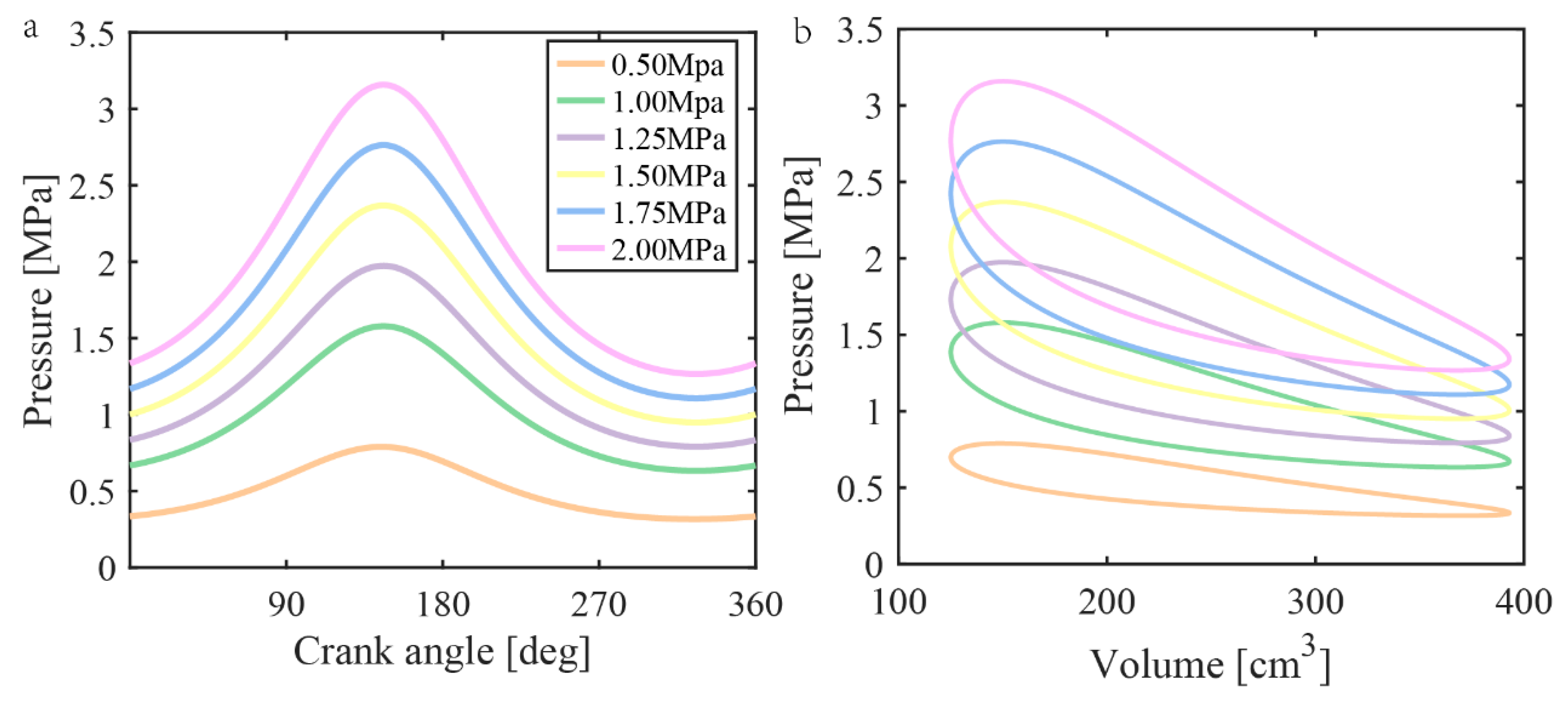
The operation of a Stirling engine is fundamentally based on the variation in pressure and volume within its cylinder. As illustrated in Figure 8a, the pressure distribution over one complete cycle is predicted by the Schmidt model. The corresponding P-V diagram in Figure 8b illustrates the thermodynamic Stirling cycle, demonstrating the pressure response as a function of the cylinder volume throughout the crankshaft rotation.
As illustrated in Figure 9, the Schmidt model predicts the working gas temperature profile. This model is governed by the harmonic motion of the crankshaft and piston. The simulated temperature is a subject to continuous variation, ranging from approximately 290 K (cold cylinder Tk) to 1200 K (hot cylinder, Th). The figure shows how the gas temperature changes in response to volume changes during crankshaft rotation. Here, the x-axis represents the crank angle, the y-axis shows the instantaneous cylinder volume, and the surface plot depicts the corresponding gas temperature distribution. This result confirms that the gas temperature varies continuously due to the volume change during the crankshaft rotation, contradicting the assumption of discrete temperatures profile typically assumed for the compartments. Furthermore, unlike the maintenance of a constant temperature span between the hot and cold ends, a gradual thermal gradient is formed by the gas across the expansion and compression spaces. This signifies dynamic thermal energy stratification throughout the cycle.
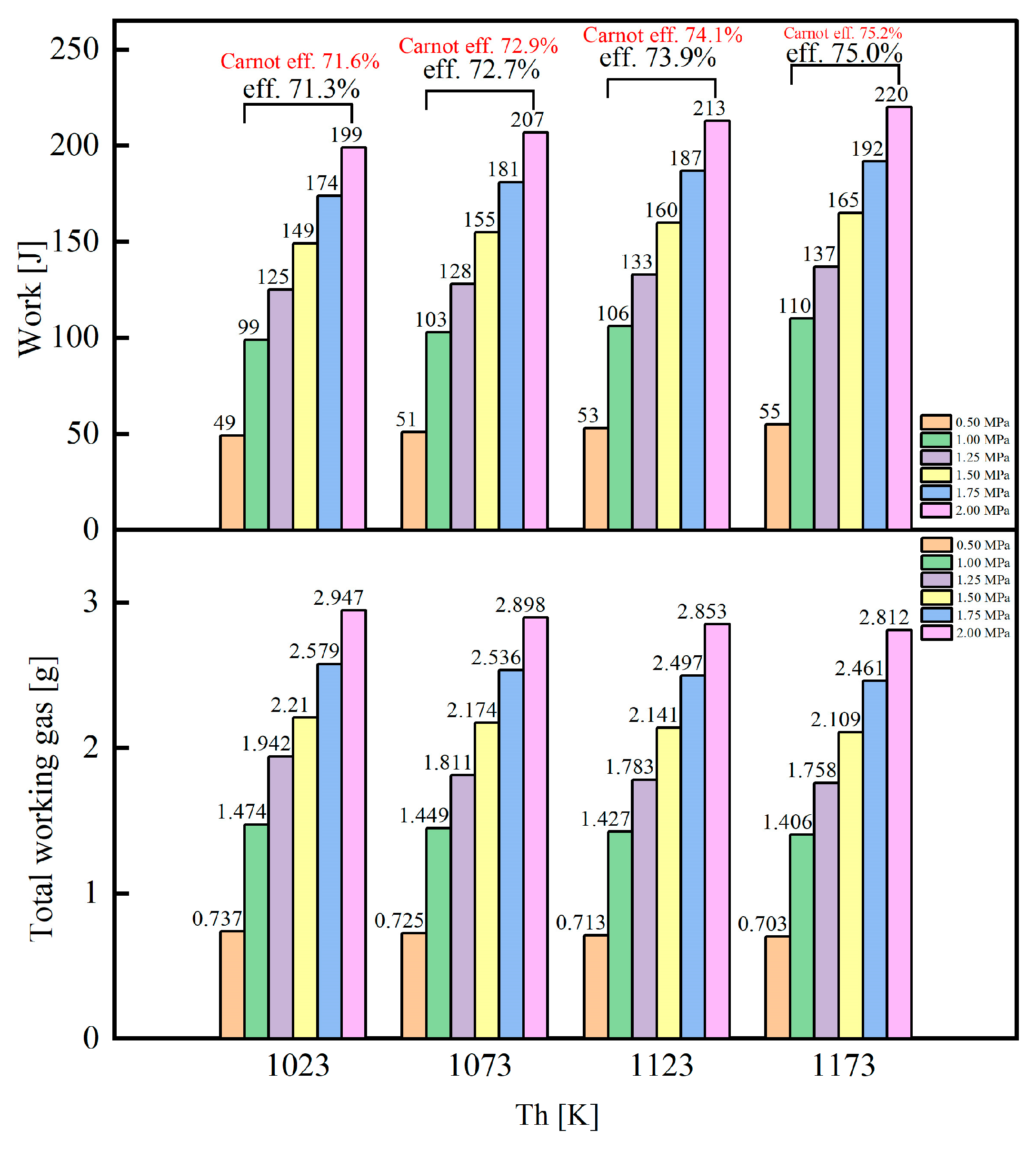
In the Schmidt model, the heat exchanger compartments (i.e., the heater, the regenerator, and the cooler) are considered to be thermodynamically redundant, contributing only to the dead volume. It is furthermore the case that no heat interaction occurs with the gas in these compartments. As illustrated in Figure 10, the model shows a positive correlation between power output, mean effective pressure and hot-side temperature when the cold-cylinder temperature is assumed to be constant at 290 K. These results are independent of rotational speed. It can therefore be concluded that, despite its simplifications, the isothermal Schmidt model is still useful for evaluating Stirling engine performance within low-speed operating conditions, where dynamic and transient effects are minimal.
However, it significantly overestimates thermal efficiency, with values exceeding 70% (see Figure 10). This is in closer proximity to the Carnot efficiency, as illustrated in Figure 10 (Carnot eff.). This is because Schmidt model efficiency depends only on the temperature difference between Th and Tk, without accounting for irreversibility or practical losses.
Nevertheless, the total working gas mass computed from the Schmidt model under the zero-leakage assumption can be used as a boundary condition in higher-order models.

3.2. Results of the Ideal Adiabatic Model

According to the Schmidt model, optimal power and efficiency are obtained at a mean pressure of 2.0 MPa and a hot-end temperature of 1173 K. These data are therefore used as an input for the second-order adiabatic analysis. The total work done W and thermal efficiency η thermal obtained from the ideal adiabatic model are 214 J and 68.2%, respectively.
Figure 11a depicts the temperature profile of the ideal adiabatic model, with the wall temperatures of the heater (Th) and cooler (Tk) remaining constant, and the regenerator temperature in between (Tr). In contrast, the temperature distribution over a Stirling cycle of the non-perfect adiabatic model based on Equations (10) and (11) is shown in Figure 11b, aligning with the principles of non-perfect adiabatic analysis. Compared to Figure 11a, this figure incorporates the temperatures of the heat exchanger walls (Thw & Tkw).

3.3. Results of the Non-Ideal Adiabatic Model with Regenerator Ineffectiveness

Figure 12 illustrates the influence of η, which is associated with the regenerator’s effectiveness ε at a calculated NTU of 5.2, as given by Equation (6). In this instance, the effectiveness is calculated to be 0.83, resulting in a thermal efficiency drop to approximately 45%.
To assess the impact of different regenerator effectiveness correlations, various NTU–ε formulations from the literature were evaluated, as summarised in Table 3. Depending on the selected correlation, the predicted thermal efficiency ranged from 36% to 45%, resulting in deviations of up to 20%. For further analysis, this present study adopted the original Organ concept, Equation (7) for the evaluation of regenerator effectiveness.

3.4. Results of Friction Measurements

Figure 13 shows the frictional power loss measured experimentally as a function of engine rotational speed. The measurements were taken under no-load conditions and the results were approximated using a linear model.
The experimental determination of W l o s s [W] at different operating speeds with c 1 = 1.0783 and c 2 = 48.925 is described by the equation:
W loss   =   c 1 ω     c 2
where ω is RPM
Based on the experimental data, a revised expression for the frictional pressure loss was developed to replace the empirical formulation previously given in Equation (19). Incorporating the fitted regression model into Equation (16), the friction term is redefined as:
P f   =   325   +   443 w   +   202 w 2 10 5 3 1     1 3 r v 1     1 r v
This relationship was obtained from experimentally measured friction losses across a range of rotational speeds, and it more accurately reflects the mechanical losses of the investigated GENOA 03 Stirling engine under real operating conditions.

4. Discussion

The Schmidt model results reveal the relationship between work output (J) and operating conditions, specifically the mean pressure (Pmean) and hot end temperature (Th). The model indicates that, when Th is constant, the work output increases with rising Pmean. Similarly, for constant pressure, increasing Th also leads to higher work output. Maximum work is observed at Pmean = 2.0 MPa and Th = 1173 K. The results of the ideal adiabatic model and the modified simple model are compared with the power and efficiency distribution corresponding to the different maximum operational conditions mentioned above. Additionally, since power output (W) is the product of work and frequency, the influence of engine rotational speed (RPM) has been incorporated into the analysis.
Figure 14 illustrates how the power output and thermal efficiency vary as functions of mean pressure and rotational speed. Figure 14a compares the power output of the I.A. and M.S. models at 600 RPM across a range of Pmean values and hot-end temperatures (1023–1173 K). In the M.S. model, the power output becomes negative below 1.25 MPa due to cumulative mechanical and thermal losses exceeding the work produced. This indicates an impractical pressure threshold.
Figure 14b shows that the thermal efficiency of the I.A. model remains constant regardless of pressure (similar to the Schmidt model). Conversely, the M.S. model demonstrates an increase in thermal efficiency with both Pmean and Th, a phenomenon that is particularly pronounced at higher pressures. Figure 14c presents the variation in power output (W) with rotational speed (RPM) at a constant temperature of 1173 K for different pressures. Figure 14d shows that the thermal efficiency of the ideal model remains unaffected by RPM. However, the modified Simple model shows improved efficiency as RPM increases. At 1.25 MPa and 100 RPM, the values of both power and efficiency approach zero, indicating a critical operational limit.

4.1. Power Losses Demonstration

As illustrated in Figure 15a,b, the power losses [W] of the modified Simple model are demonstrated as a function of different variables. The figures illustrate the areas representing various categories of losses that collectively contribute to the total power loss. As demonstrated in Figure 15a, the total power loss is shown to vary with the mean pressure. As illustrated in Figure 15b, the loss variations are demonstrated as a function of the RPM. In both figures, friction losses (red) and regenerator losses (yellow) are identified as the dominant contributors at higher pressures and higher rotational speeds. These results are consistent with the findings reported by Wang [23] and Ahmed [9]. The pump pressure losses in other heat exchanger sections are comparatively small and nearly negligible compared to those in the regenerator, which aligns with the conclusions of Timoumi [22] and Costea [45]. The heat rejection (green) to the cooler constitutes the next largest loss source, which increases linearly with both pressure and rotational speed. This heat discharge is thermodynamically irreversible and inherent to the operation of all Stirling engines. This is mainly not negligible in any Stirling engine analysis. The losses due to shuttle effect are small but consistently present at all pressure and speed conditions. This observation is in agreement with the results reported by Ahmed [9].

4.2. Model Results Comparison

Table 4 summarises the predicted power output (kW) and efficiency (%) obtained from different models, ranging from the Schmidt model to the modified Simple model, under a representative operating condition (2.0 MPa, 1173 K, 600 RPM). The findings of the study demonstrate unequivocally that, within the same operational parameters, both power output and efficiency undergo a progressive decline as the complexity of the models increases. This phenomenon can be attributed to the incorporation of key factors contributing to power losses, which are increasingly incorporated in more advanced models.

5. Conclusions

This study conducted a numerical investigation of the GENOA 03 Stirling, from the Schmidt model to the modified Simple Model. The study demonstrated the importance of incorporating loss mechanisms. The Schmidt model, despite its convenience in preliminary sizing and power estimation, exhibits a tendency to significantly overestimate power output and thermal efficiency, a consequence of its idealised assumptions. The model disregards the effects of dynamic temperature gradients, pressure drops and internal irreversibilities, and assumes that power is independent of engine speed. However, the Schmidt model is still useful at low speed conditions when transient effect is minimal. The ideal adiabatic model offers improvements by accounting for temperature variations in expansion and compression spaces but still omits losses with an unsatisfactory accuracy.
In order to address these limitations, a modified Simple model was developed, incorporating essential loss mechanisms such as imperfect regeneration, enthalpy imbalance, shuttle effect, pressure drops, and mechanical friction. Among these factors, regenerator effectiveness emerged as the most influential. Inefficiencies in the regeneration process resulted in a 23% efficiency loss, as it increased the energy demands of both the heater and the cooler. The pressure drop, particularly across the regenerator, accounted for around a 7% loss, while mechanical friction losses were responsible for up to a 14% loss, particularly at higher pressures and rotational speeds.
As the RPM increases, power output increases. However, this increase in power output is accompanied by a corresponding increase in irreversible losses, particularly those arising from friction and pumping in the regenerator. Consequently, the results identified a minimum operational pressure of 1.25 MPa. Below this level, the cumulative losses exceed the generated power.
A significant contribution of this study is the experimental determination of mechanical friction losses. Unlike previous models, which were based on empirical expressions from internal combustion engines, this study measured torque under no-load conditions at various speeds in order to obtain actual friction loss data. The resulting quadratic regression model was employed to revise the original empirical friction formulation for the investigated GENOA 03 engine. This novel model substantially improves the accuracy of mechanical loss estimation and better reflects the real operation conditions of the engine.
In summary, the present study highlights that mechanical friction and pumping losses are the dominant contributors to overall inefficiency in Stirling engines. Future research should focus on optimising regenerators to minimise heat loss and enhance engine performance.

Author Contributions

Conceptualization, G.W., D.B. and G.M.; methodology, G.W. and G.M.; software, G.W. and G.M.; validation, G.W., W.B.N. and G.M.; formal analysis, G.W. and G.M.; investigation, G.W.; resources, D.B.; data curation, G.W.; writing—original draft preparation, G.W. and J.G.; writing—review and editing, J.G., W.B.N. and D.B.; visualisation, J.G., W.B.N. and D.B.; supervision, G.M.; project administration, D.B. All authors have read and agreed to the published version of the manuscript.

Funding

This research received no external funding.

Data Availability Statement

The original contributions presented in this study are included in the article. Further inquiries can be directed to the corresponding author.

Conflicts of Interest

The author Wissam Bou Nader was employed by the Stellantis company. All authors declare that the research was conducted in the absence of any commercial or financial relationships that could be construed as a potential conflict of interest.

References

  1. Organ, A. The Regenerator and the Stirling Engine; Wiley: Hoboken, NJ, USA, 1997. [Google Scholar]
  2. Martini, W. Stirling Engine Design Manual; NASA: Washington, DC, USA, 1983.
  3. Qiu, S.; Gao, Y.; Rinker, G.; Yanaga, K. Development of an advanced free-piston Stirling engine for micro combined heating and power application. Appl. Energy 2019, 235, 9871000. [Google Scholar] [CrossRef]
  4. Zare, S.; Tavakolpour-Saleh, A.; Omidvar, A. From Beale number to pole placement design of a free piston Stirling engine. Arch. Mech. Eng. 2017, 64, 499–518. [Google Scholar] [CrossRef]
  5. Yang, H.-S.; Cheng, C.-H. Development of a beta-type Stirling engine with rhombic-drive mechanism using a modified non-ideal adiabatic model. Appl. Energy 2017, 200, 62–72. [Google Scholar] [CrossRef]
  6. Cheng, C.-H.; Chen, Y.-F. Numerical simulation of thermal and flow fields inside a 1-kW beta-type Stirling engine. Appl. Therm. Eng. 2017, 121, 554–561. [Google Scholar] [CrossRef]
  7. Zare, S.; Tavakolpour-Saleh, A.; Mirshekari, R. Free piston Stirling engines: A review. Int. J. Energy Res. 2019, 132, 625–633. [Google Scholar] [CrossRef]
  8. Zare, S.; Tavakolpour-Saleh, A.R.; Aghahosseini, A.; Mirshekari, R. Thermoacoustic Stirling engines: A review. Int. J. Green Energy 2022, 20, 89–111. [Google Scholar] [CrossRef]
  9. Ahmed, F.; Huang, H.; Ahmed, S.; Wang, X. A comprehensive review on modeling and performance optimization of Stirling engine. Int. J. Energy Res. 2020, 44, 6098–6127. [Google Scholar] [CrossRef]
  10. West, C.D. Principles and Applications of Stirling Engines; Springer: Berlin/Heidelberg, Germany, 1986. [Google Scholar]
  11. González-Plaza, E.; García, D.; Prieto, J.-I. A Revision of Empirical Models of Stirling Engine Performance Using Simple Artificial Neural Networks. Inventions 2023, 8, 88. [Google Scholar] [CrossRef]
  12. Shahryar Zare, A.R.; Tavakolpour-saleh, A.; Aghahosseini, M.; Sangdani, H.; Mirshekari, R. Design and optimization of Stirling engines using soft computing methods: A review. Appl. Energy 2021, 283, 116258. [Google Scholar] [CrossRef]
  13. Kongtragool, B.; Wongwises, S. Investigation on power output of the gamma-configuration low temperature differential Stirling engines. Renew. Energy 2005, 30, 465–476. [Google Scholar] [CrossRef]
  14. El-Ehwany, A.; Hennes, G.; Eid, E.; El-Kenany, E. Development of the performance of an alpha-type heat engine by using elbow-bend transposed-fluids heat exchanger as a heater and a cooler. Energy Convers. Manag. 2011, 52, 1010–1019. [Google Scholar] [CrossRef]
  15. Urieli, I.; Berchowitz, D.M. Stirling Cycle Engine Analysis; A. Hilger Ltd.: London, UK, 1984. [Google Scholar]
  16. Finkelstein, T. Cyclic processes in closed regenerative gas machines analysed by a digital computer, simulating a differential analyzer. Trans. ASME 1962, B84, 629–635. [Google Scholar] [CrossRef]
  17. Ahmadi, M.H.; Mohammadi, A.H.; Dehghani, S. Evaluation of the maximized power of a regenerative endoreversible Stirling cycle using the thermodynamic analysis. Energy Convers. Manag. 2013, 76, 561–570. [Google Scholar] [CrossRef]
  18. Paul, C.J.; Engeda, A. Modeling a complete Stirling engine. Energy 2015, 80, 85–97. [Google Scholar] [CrossRef]
  19. Campos, M.C.; Vargas, J.V.C.; Ordonez, J.C. Thermodynamic optimization of a Stirling engine. Energy 2012, 44, 902–910. [Google Scholar] [CrossRef]
  20. Araoz, J.A.; Salomon, M.; Alejo, L.; Fransson, T.H. Non-ideal Stirling engine thermodynamic model suitable for the integration into overall energy systems. Appl. Therm. Eng. 2014, 73, 205–221. [Google Scholar] [CrossRef]
  21. Parlak, N.; Wagner, A.; Elsner, M.; Soyphan, H.S. Thermodynamic analysis of a gamma type Stirling engine in non-ideal adiabatic conditions. Renew. Energy 2009, 34, 266–273. [Google Scholar] [CrossRef]
  22. Tlili, I.; Timoumi, Y.; Nasrallah, S.B. Analysis and design consideration of mean temperature differential Stirling engine for solar application. Renew. Energy 2008, 33, 1911–1921. [Google Scholar] [CrossRef]
  23. Wang, S.; Liu, B.; Xiao, G.; Ni, M. A potential method to predict performance of positive Stirling cycles based on reverse ones. Energies 2021, 14, 7040. [Google Scholar] [CrossRef]
  24. Chen, W.; Wong, K.; Po, L. A numerical analysis on the performance of a pressurized twin power piston gamma-type Stirling engine. Energy Convers. Manag. 2012, 62, 84–92. [Google Scholar] [CrossRef]
  25. Nielsen, A.S.; York, B.T.; MacDonald, B.D. Stirling engine regenerators: How to attain over 95% regenerator effectiveness with sub-regenerators and thermal mass ratios. Appl. Energy 2019, 253, 113557. [Google Scholar] [CrossRef]
  26. Ahmadi, M.H.; Hosseinzade, H.; Sayyaadi, H.; Mohammadi, A.H.; Kimiaghalam, F. Application of the multi-objective optimization method for designing a powered Stirling heat engine: Design with maximized power, thermal efficiency and minimized pressure loss. Renew. Energy 2013, 60, 313–322. [Google Scholar] [CrossRef]
  27. Bataineh, K.M. Numerical thermodynamic model of alpha-type Stirling engine. Case Stud. Therm. Eng. 2018, 12, 104–116. [Google Scholar] [CrossRef]
  28. Ni, M.; Shi, B.; Xiao, G.; Peng, H.; Sultan, U.; Wang, S.; Luo, Z.; Cen, K. Improved simple analytical model and experimental study of a 100 W β-type Stirling engine. Appl. Energy 2016, 169, 768–787. [Google Scholar] [CrossRef]
  29. Strauss, J.M.; Dobson, R.T. Evaluation of a second order simulation for Stirling engine design and optimisation. J. Energy S. Afr. 2010, 21, 17–29. [Google Scholar] [CrossRef]
  30. Martaj, N.; Grosu, L.; Rochelle, P. Thermodynamic study of a low temperature difference Stirling engine at steady state operation. Int. J. Thermodyn. 2007, 10, 165–176. [Google Scholar]
  31. Timoumi, Y.; Tlili, I.; Nasrallah, S.B. Design and performance optimization of GPU-3 Stirling engines. Energy 2008, 33, 100014. [Google Scholar] [CrossRef]
  32. Cartaya, R.Y.; Agustín, P. An Analytical and Experimental Investigation of the Stirling Cycle; MIT: Cambridge, MA, USA, 1969; Available online: http://hdl.handle.net/1721.1/81509 (accessed on 21 July 2025).
  33. FSchock, A. Stirling engine nodal analysis program. J. Energy 1978, 2, 354–362. [Google Scholar] [CrossRef]
  34. Toghyani, S.; Kasaeian, A.; Hashemabadi, S.H.; Salimi, M. Multi-objective optimization of GPU-3 Stirling engine using third order analysis. Energy Convers. Manag. 2014, 87, 521–529. [Google Scholar] [CrossRef]
  35. Gedeon, D. Sage—Object-oriented software for Stirling machine design. In Proceedings of the Intersociety Energy Conversion Engineering Conference, Monterey, CA, USA, 7–12 August 1994. [Google Scholar] [CrossRef]
  36. Qiu, H.; Wang, K.; Yu, P.; Ni, M.; Xiao, G. A third-order numerical model and transient characterization of a β-type Stirling engine. Energy 2021, 222, 119973. [Google Scholar] [CrossRef]
  37. Demko, R.; Penswick, L. SAGE Simulation model for Technology demonstration Converter by a Step-by-Step approach. In Proceedings of the 3rd International Energy Conversion Engineering Conference, San Francisco, CA, USA, 15–18 August 2005. [Google Scholar] [CrossRef]
  38. Dyson, R.W.; Wilson, S.D.; Tew, R.C.; Demko, R. Fast Whole-Engine Stirling analysis. In Proceedings of the 3rd International Energy Conversion Engineering Conference, San Francisco, CA, USA, 15–18 August 2005. [Google Scholar]
  39. Abuelyamen, A.; Ben-Mansour, R. Energy efficiency comparison of Stirling engine types (α, β, and γ) using detailed CFD modeling. Int. J. Therm Sci. 2018, 132, 411–423. [Google Scholar] [CrossRef]
  40. Karabulut, H.; Yucesu, H.S.; Koca, A. Manufacturing and testing of a V-type Stirling engine. Turk. J. Eng. Environ. Sci. 2000, 24, 71–80. [Google Scholar]
  41. Kongtragool, B.; Wongwises, S. A review of solar-powered Stirling engines and low temperature differential Stirling engines. Renew. Sustain. Energy Rev. 2003, 7, 131–154. [Google Scholar] [CrossRef]
  42. García, M.T.; Martínez, D.S.; Roldán, F.A.; Aguilar, F.J.J.; Trujillo, E.C. Mechanical analysis of Genoa 03 Stirling engine. J. Sustain. Dev. Energy Water Environ. Syst. 2018, 6, 521–533. [Google Scholar] [CrossRef]
  43. Babaelahi, M.; Sayyaadi, H. Simple-II: A new numerical thermal model for predicting thermal performance of Stirling engines. Energy 2014, 69, 873–890. [Google Scholar] [CrossRef]
  44. Heywood, J.B. Internal Combustion Engine Fundamentals; McGraw-Hill: Columbus, OH, USA, 1988. [Google Scholar]
  45. Costea, M.; Petrescu, S.; Harman, C. The effect of irreversibilities on solar Stirling engine cycle performance. Energy Convers. Manag. 1999, 40, 1732–1739. [Google Scholar] [CrossRef]
  46. Hosseinzade, H.; Sayyaadi, H. CAFS: The Combined Adiabatic-Finite Speed thermal model for simulation and optimization of Stirling engines. Energy Convers. Manag. 2015, 91, 32–53. [Google Scholar] [CrossRef]
  47. Nader, W.B.; Jaworski, J.; Leyko, J.; Mitukiewicz, G.; Batory, D.; Bouriot, J. Study and test of a post combustion chamber for a recuperative reheat Stirling machine. Energy 2022, 247, 123377. [Google Scholar] [CrossRef]
  48. García, M.T.; Trujillo, E.C.; Godi-o Ja, V.; MartEDnez, D.S. Thermodynamic model for performance analysis of a stirling engine prototype. Energies 2018, 11, 2655. [Google Scholar] [CrossRef]
  49. Bumataria, R.K. Stirling engine performance prediction using Schmidt analysis by considering different losses. Int. J. Res. Eng. Technol. 2013, 2, 433–441. [Google Scholar] [CrossRef]
  50. Tanaka, M.; Yamashita, I.; Chisaka, F. Flow and heat transfer characteristics of the stirling engine regenerator in an oscillating flow. JSME Int. J. Ser. 2 Fluids Eng. Heat Transf. Power Combust. Thermophys. Prop. 1990, 33, 283–289. [Google Scholar] [CrossRef]
  51. Kays, W.M.; London, A.L. Compact Heat Exchangers; U.S. Department of Energy, Office of Scientific and Technical Information: Oak Ridge, TN, USA, 2018.
  52. De Monte, F.; Rosa, P. Linear analysis of rapidly switched heat regenerators in counterflow. Int. J. Heat Mass Transf. 2008, 51, 3642–3655. [Google Scholar] [CrossRef]
Figure 1. Schematic diagram of different kinematic Stirling engine types.
Figure 1. Schematic diagram of different kinematic Stirling engine types.
Energies 18 04814 g001
Figure 2. General dimensions of GENOA 03 Stirling Engine (a); Cross-section view of the GENOA 03 Stirling Engine (b).
Figure 2. General dimensions of GENOA 03 Stirling Engine (a); Cross-section view of the GENOA 03 Stirling Engine (b).
Energies 18 04814 g002
Figure 3. Flow chart of the modified Simple Model.
Figure 3. Flow chart of the modified Simple Model.
Energies 18 04814 g003
Figure 6. Temperature discretization of Simple model.
Figure 6. Temperature discretization of Simple model.
Energies 18 04814 g006
Figure 7. Experimental setup for mechanical loss measurement: (a) Schematic diagram of the test stand; (b) GENOA 03 engine with measurement setup (with Cylinder 1 removed).
Figure 7. Experimental setup for mechanical loss measurement: (a) Schematic diagram of the test stand; (b) GENOA 03 engine with measurement setup (with Cylinder 1 removed).
Energies 18 04814 g007
Figure 8. Crank Angle and Pressure distribution (a); Volume and Pressure distribution (b); simulation results.
Figure 8. Crank Angle and Pressure distribution (a); Volume and Pressure distribution (b); simulation results.
Energies 18 04814 g008
Figure 9. Temperature distribution profile of the Schmidt model; simulation results.
Figure 9. Temperature distribution profile of the Schmidt model; simulation results.
Energies 18 04814 g009
Figure 10. Results of the Schmidt model under different operational conditions; simulation results.
Figure 10. Results of the Schmidt model under different operational conditions; simulation results.
Energies 18 04814 g010
Figure 11. Temperature profile of the ideal adiabatic model (a); Temperature profile of non-ideal adiabatic model (b); simulation results.
Figure 11. Temperature profile of the ideal adiabatic model (a); Temperature profile of non-ideal adiabatic model (b); simulation results.
Energies 18 04814 g011
Figure 12. Relationship between thermal efficiency and regenerator effectiveness; simulation results.
Figure 12. Relationship between thermal efficiency and regenerator effectiveness; simulation results.
Energies 18 04814 g012
Figure 13. Measured frictional power loss vs. engine speed; experimental result.
Figure 13. Measured frictional power loss vs. engine speed; experimental result.
Energies 18 04814 g013
Figure 14. Power output and Efficiency distribution; I.A.—ideal adiabatic Model; M.S.—modified Simple Model; Power output vs. Mean Pressure at 600 RPM (a); Effciency vs. Mean Pressure at 600 RPM (b); Power output vs. RPM at 1173 K (c); Effciency vs. RPM at 1173 K (d).
Figure 14. Power output and Efficiency distribution; I.A.—ideal adiabatic Model; M.S.—modified Simple Model; Power output vs. Mean Pressure at 600 RPM (a); Effciency vs. Mean Pressure at 600 RPM (b); Power output vs. RPM at 1173 K (c); Effciency vs. RPM at 1173 K (d).
Energies 18 04814 g014
Figure 15. Power loss breakdown as a function of Mean Pressure (a) and Rotational Speed (b).
Figure 15. Power loss breakdown as a function of Mean Pressure (a) and Rotational Speed (b).
Energies 18 04814 g015
Table 1. Classification of Stirling Engine Models [2,6,8,9,10,15].
Table 1. Classification of Stirling Engine Models [2,6,8,9,10,15].
CategoryModelDescriptionPros and ConsReference
Zero-order
(indication method)
Beale and West indication numberOutput power is indicated by the empirical parameter.+ easy to apply for quick performance indication
− only suitable for early-stage
design estimation
[1,2,3,9,10]
Alternative
zero-order
ANNsDesign and optimise by all kind of operational or geometrical parameters.+ capable of hybrid modelling with flexible input variables
+ applicable for optimisation
− exhibits large prediction deviations without sufficient training data
[11,12]
First-order
(ideal loss free)
Schmidt model
Isothermal model
By introducing the infinite heat transfer rate to determine the power output over a Stirling cycle.+ simplified close form analysis
+ easy to model
− ideal-loss free assumption
− low accuracy
[1,2,6,9,14,15]
Second-order
(steady-state)
Adiabatic model
Simple model
Models are conducted by the adiabatic process with considering the heat loss features of internal and external.+ promising accuracy
+ computational efficiency
+ good compromise with heat losses
− difficult identify the accurate mathematical expression
[9,12,15,16,17,18,19,20,21,22,23,24,25,26,27,28,29,30,31]
Third-order
(more controlled volume)
SNAP
Sage
Nodal solution further divides the engine into more rigorous. Result is solved simultaneously the system of differential formed conservation equations.+ provides detailed Stirling cycle representation
+ pressure gradient involved
− high computational cost
− accuracy depends on validation and empirical correlations
[32,33,34,35,36,37]
Fourth-order
(multi-dimensional)
CFDMulti-dimensional model
for solving the fluid dynamic equations with CFD software.
+ comprehensive representation of heat transfer behaviour of the working fluid
− require good mesh quality and sophisticate boundary conditions
− low calculation efficiency
[5,38,40]
Table 2. Summary of Schmidt Model equations.
Table 2. Summary of Schmidt Model equations.
ParameterEquation
Pressure p = MR Vc Tk + Vk Tk + Vr ln Th Tk Th     Tk + Vh Th + Ve Th
Work done in expansion space Qe = We = p ( dVe d θ ) d θ
Work done in expansion space Qc = Wc = p ( dVc d θ ) d θ
Total work done W = Wc + We
Volume in expansion space Ve = Vcle + Vswe   [ 1 + cos ( θ + α ) ] 2
Volume in compression space Vc = Vclc + Vswc 1 + cos θ 2
Schmidt Equation
Work done in expansion space We = Qe = π Vswe P mean sin ( β   α ) ( 1   b 2   1 ) / b
Work done in expansion space Wc = Qc = π Vswc P mean sin β ( 1   b 2 1 ) / b
Substitutional parameters β = arctan ( Vswe sin α / Tswe Vswe cos α Th + Vswc Tk )
c = 1 2 Wswe Th 2 + 2 Vswe Th Vswc Tk cos α + Wswc Tk 2
S = Vswc 2 Tk + Vclc Tk + Vk Tk + Vr ln ( Th / Tk ) ( Th   Tk ) + Vh Th + Vswe 2 Th + Vcle Th
b = c / s
Mass in the engine m = P mean s 1   b 2 / R
Thermal efficiency η thermal = W Qe = 1   Tk / Th
Table 3. Different expressions of regenerator effectiveness calculation.
Table 3. Different expressions of regenerator effectiveness calculation.
SourceEquation ε η ε
Organ [20] ε = NTU 1 + NTU 0.8445%0%
Organ II [20] ε = NTU 1 NTU 0.8142%7%
Martini [20,35] ε = NTU NTU + 2 0.7236%20%
De Monte [20,35] ε = NTU NTU + 2 + 2 ( 1   e NTU ) NTU ( NTU + 2 ) 0.7839%13%
Table 4. Comparison of Power output (kW) and Efficiency (%) results of different models.
Table 4. Comparison of Power output (kW) and Efficiency (%) results of different models.
ModelPower Output (kW)Efficiency (%)
Schmidt2.2075.0
Ideal Adiabatic2.1468.2
Simple Model *
(without friction)
1.7945.0
Modified Simple Model *0.9920.4
* Based on Organ [20] NTU representation.
Disclaimer/Publisher’s Note: The statements, opinions and data contained in all publications are solely those of the individual author(s) and contributor(s) and not of MDPI and/or the editor(s). MDPI and/or the editor(s) disclaim responsibility for any injury to people or property resulting from any ideas, methods, instructions or products referred to in the content.

Share and Cite

MDPI and ACS Style

Wang, G.; Goszczak, J.; Bou Nader, W.; Batory, D.; Mitukiewicz, G. Modified Analytical Model of the Stirling Cycle: Impact of Loss Mechanisms on Stirling Engine Efficiency. Energies 2025, 18, 4814. https://doi.org/10.3390/en18184814

AMA Style

Wang G, Goszczak J, Bou Nader W, Batory D, Mitukiewicz G. Modified Analytical Model of the Stirling Cycle: Impact of Loss Mechanisms on Stirling Engine Efficiency. Energies. 2025; 18(18):4814. https://doi.org/10.3390/en18184814

Chicago/Turabian Style

Wang, Guan, Jarosław Goszczak, Wissam Bou Nader, Damian Batory, and Grzegorz Mitukiewicz. 2025. "Modified Analytical Model of the Stirling Cycle: Impact of Loss Mechanisms on Stirling Engine Efficiency" Energies 18, no. 18: 4814. https://doi.org/10.3390/en18184814

APA Style

Wang, G., Goszczak, J., Bou Nader, W., Batory, D., & Mitukiewicz, G. (2025). Modified Analytical Model of the Stirling Cycle: Impact of Loss Mechanisms on Stirling Engine Efficiency. Energies, 18(18), 4814. https://doi.org/10.3390/en18184814

Note that from the first issue of 2016, this journal uses article numbers instead of page numbers. See further details here.

Article Metrics

Back to TopTop