Fuzzy PID Individual Pitch Control with Effective Wind Speed Estimation for Offshore Floating Wind Turbines
Abstract
1. Introduction
2. EWSE Method
3. Control Strategy Design
3.1. Multi-Blade Coordinate Transformation
3.2. Fuzzy PID Control Strategy for IPC
4. Case Study
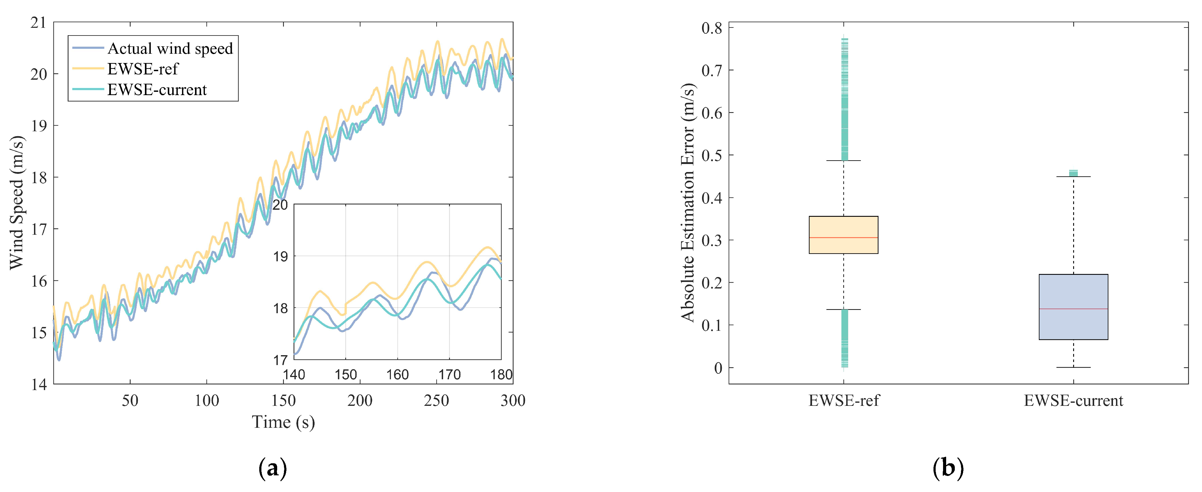
4.1. Verification of the EWSE Method
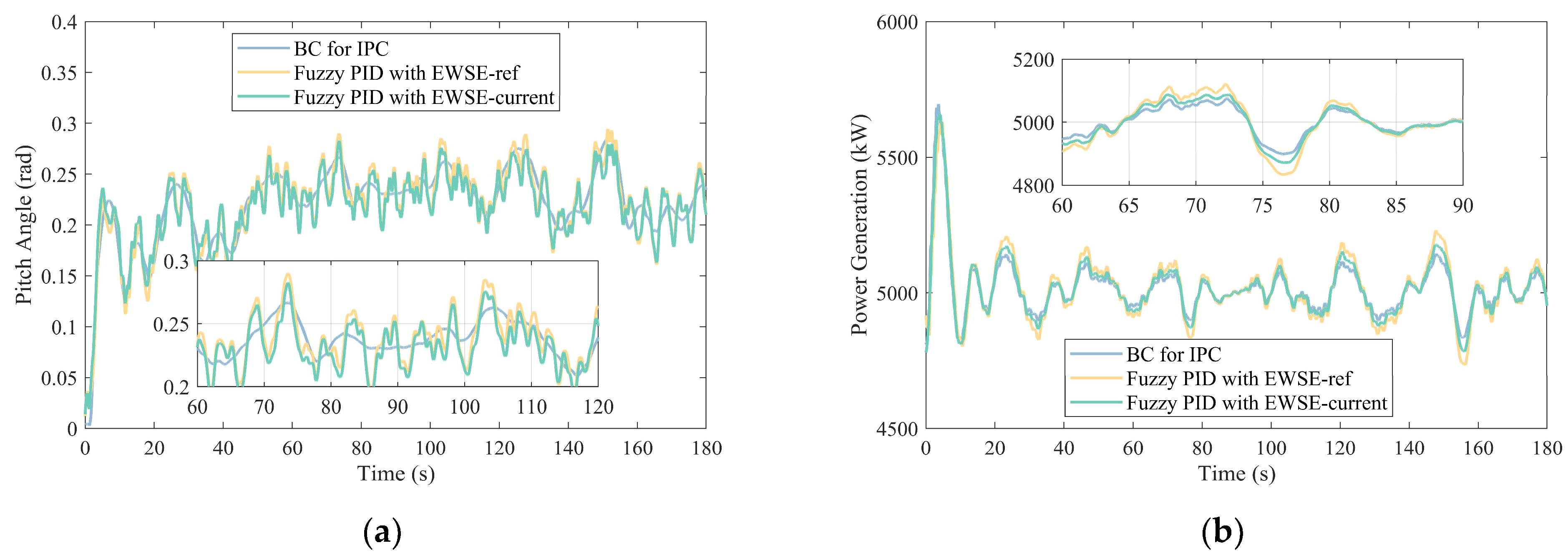
4.2. Performance of Fuzzy PID Control Strategy for IPC
5. Conclusions
Author Contributions
Funding
Data Availability Statement
Conflicts of Interest
References
- Ju, S.-H.; Huang, Y.-C.; Huang, Y.-Y. Study of Optimal Large-Scale Offshore Wind Turbines. Renew. Energy 2020, 154, 161–174. [Google Scholar] [CrossRef]
- Su, C.; Hu, Z.; Liu, Y. Multi-Component Opportunistic Maintenance Optimization for Wind Turbines with Consideration of Seasonal Factor. J. Cent. South Univ. 2020, 27, 490–499. [Google Scholar] [CrossRef]
- Lin, J.; Wang, Y.; Zhang, G.; Liu, Y.; Zhang, J. Novel Tuned Mass Dampers Installed inside Tower of Spar Offshore Floating Wind Turbines. Ocean Eng. 2024, 301, 117412. [Google Scholar] [CrossRef]
- Ullah, T.; Sobczak, K.; Li’skiewicz, G.; Khan, A. Two-Dimensional URANS Numerical Investigation of Critical Parameters on a Pitch Oscillating VAWT Airfoil under Dynamic Stall. Energies 2022, 15, 5625. [Google Scholar] [CrossRef]
- Lin, J.; Duan, H.; Xu, B.; Wang, Y.; Zhang, J. Equivalent Aerodynamic Design of Blade for Offshore Floating Wind Turbine Model. J. Mar. Sci. Eng. 2022, 10, 132. [Google Scholar] [CrossRef]
- Tang, S.; Tian, D.; Wu, X.; Huang, M.; Deng, Y. Wind Turbine Load Reduction Based on 2DoF Robust Individual Pitch Control. Renew. Energy 2022, 183, 28–40. [Google Scholar] [CrossRef]
- Truong, H.V.A.; Dang, T.D.; Vo, C.P.; Ahn, K.K. Active Control Strategies for System Enhancement and Load Mitigation of Floating Offshore Wind Turbines: A Review. Renew. Sustain. Energy Rev. 2022, 170, 112958. [Google Scholar] [CrossRef]
- Barambones, O.; Cortajarena, J.A.; Calvo, I.; Gonzalez De Durana, J.M.; Alkorta, P.; Karami-Mollaee, A. Variable Speed Wind Turbine Control Scheme Using a Robust Wind Torque Estimation. Renew. Energy 2019, 133, 354–366. [Google Scholar] [CrossRef]
- Abdellatif, W.S.E.; Hamada, A.M.; Abdelwahab, S.A.M. Wind Speed Estimation MPPT Technique of DFIG-Based Wind Turbines Theoretical and Experimental Investigation. Electr. Eng. 2021, 103, 2769–2781. [Google Scholar] [CrossRef]
- Fantino, R.; Solsona, J.; Busada, C. Nonlinear Observer-Based Control for PMSG Wind Turbine. Energy 2016, 113, 248–257. [Google Scholar] [CrossRef]
- Dessouky, S.S.; Abdellatif, W.S.E.; Abdelwahab, S.A.M.; Ali, M.A. Maximum Power Point Tracking Achieved of DFIG-Based Wind Turbines Using Perturb and Observant Method. In Proceedings of the 2018 Twentieth International Middle East Power Systems Conference (MEPCON), Cairo, Egypt, 18–20 December 2018; IEEE: Piscataway, NJ, USA, 2018; pp. 1121–1125. [Google Scholar]
- Wan, A.; Gong, Z.; Wei, C.; AL-Bukhaiti, K.; Ji, Y.; Ma, S.; Yao, F. Multistep Forecasting Method for Offshore Wind Turbine Power Based on Multi-Timescale Input and Improved Transformer. J. Mar. Sci. Eng. 2024, 12, 925. [Google Scholar] [CrossRef]
- Bhowmik, S.; Spee, R. Performance Optimization for Doubly Fed Wind Power Generation Systems. IEEE Trans. Ind. Appl. 1999, 35, 949–958. [Google Scholar] [CrossRef]
- Jena, D.; Rajendran, S. A Review of Estimation of Effective Wind Speed Based Control of Wind Turbines. Renew. Sustain. Energy Rev. 2015, 43, 1046–1062. [Google Scholar] [CrossRef]
- Tan, K.; Islam, S. Optimum Control Strategies in Energy Conversion of PMSG Wind Turbine System Without Mechanical Sensors. IEEE Trans. Energy Convers. 2004, 19, 392–399. [Google Scholar] [CrossRef]
- Knudsen, T.; Bak, T.; Soltani, M. Prediction Models for Wind Speed at Turbine Locations in a Wind Farm. Wind Energy 2011, 14, 877–894. [Google Scholar] [CrossRef]
- Lio, W.H.; Li, A.; Meng, F. Real-Time Rotor Effective Wind Speed Estimation Using Gaussian Process Regression and Kalman Filtering. Renew. Energy 2021, 169, 670–686. [Google Scholar] [CrossRef]
- Hur, S. Short-Term Wind Speed Prediction Using Extended Kalman Filter and Machine Learning. Energy Rep. 2021, 7, 1046–1054. [Google Scholar] [CrossRef]
- Chen, P.; Han, D. Effective Wind Speed Estimation Study of the Wind Turbine Based on Deep Learning. Energy 2022, 247, 123491. [Google Scholar] [CrossRef]
- Wang, L.; Liu, J.; Qian, F. Wind Speed Frequency Distribution Modeling and Wind Energy Resource Assessment Based on Polynomial Regression Model. Int. J. Electr. Power 2021, 130, 106964. [Google Scholar] [CrossRef]
- Dong, X.; Wang, D.; Lu, J.; He, X. A Wind Power Forecasting Model Based on Polynomial Chaotic Expansion and Numerical Weather Prediction. Electr. Power Syst. Res. 2024, 227, 109983. [Google Scholar] [CrossRef]
- Jing, H.; Zhao, C. A Data Expansion Based Piecewise Regression Strategy for Incrementally Monitoring the Wind Turbine with Power Curve. J. Cent. South Univ. 2023, 30, 1601–1617. [Google Scholar] [CrossRef]
- Bossanyi, E.A. Individual Blade Pitch Control for Load Reduction. Wind Energy 2003, 6, 119–128. [Google Scholar] [CrossRef]
- Bossanyi, E.A. Further Load Reductions with Individual Pitch Control. Wind Energy 2005, 8, 481–485. [Google Scholar] [CrossRef]
- Raach, S.; Schlipf, D.; Sandner, F.; Matha, D.; Cheng, P.W. Nonlinear Model Predictive Control of Floating Wind Turbines with Individual Pitch Control. In Proceedings of the 2014 American Control Conference, Portland, OR, USA, 4–6 June 2014; pp. 4434–4439. [Google Scholar]
- Mughal, M.H.; Guojie, L. Review of Pitch Control for Variable Speed Wind Turbine. In Proceedings of the 2015 IEEE 12th International Conference on Ubiquitous Intelligence and Computing and 2015 IEEE 12th International Conference on Autonomic and Trusted Computing and 2015 IEEE 15th International Conference on Scalable Computing and Communications and Its Associated Workshops (UIC-ATC-ScalCom), Beijing, China, 10–14 August 2015; IEEE: Piscataway, NJ, USA, 2015; pp. 738–744. [Google Scholar]
- Collet, D.; Alamir, M.; Di Domenico, D.; Sabiron, G. Data-Driven Fatigue-Oriented MPC Applied to Wind Turbines Individual Pitch Control. Renew. Energy 2021, 170, 1008–1019. [Google Scholar] [CrossRef]
- Zhang, C.; Plestan, F. Individual/Collective Blade Pitch Control of Floating Wind Turbine Based on Adaptive Second Order Sliding Mode. Ocean Eng. 2021, 228, 108897. [Google Scholar] [CrossRef]
- Li, R.; Deng, S.; Hu, Y. Autonomous Vehicle Modeling and Velocity Control Based on Decomposed Fuzzy PID. Int. J. Fuzzy Syst. 2022, 24, 2354–2362. [Google Scholar] [CrossRef]
- Serrano, C.; Sierra-Garcia, J.-E.; Santos, M. Hybrid Optimized Fuzzy Pitch Controller of a Floating Wind Turbine with Fatigue Analysis. J. Mar. Sci. Eng. 2022, 10, 1769. [Google Scholar] [CrossRef]
- Ma, R.; Siaw, F.L.; Thio, T.H.G. A Hybrid Fuzzy LQR-PI Blade Pitch Control Scheme for Spar-Type Floating Offshore Wind Turbines. J. Mar. Sci. Eng. 2024, 12, 1306. [Google Scholar] [CrossRef]
- Lin, J.; Wang, Y.; Duan, H.; Liu, Y.; Zhang, J. A Scaled Wind Turbine Model-Based Aerodynamic Testing Apparatus for Offshore Floating Wind Turbines. J. Mar. Sci. Eng. 2023, 22, 263–272. [Google Scholar] [CrossRef]
- Reyes, V.; Rodriguez, J.J.; Carranza, O.; Ortega, R. Review of Mathematical Models of Both the Power Coefficient and the Torque Coefficient in Wind Turbines. In Proceedings of the 2015 IEEE 24th International Symposium on Industrial Electronics (ISIE), Rio de Janeiro, Brazil, 3–5 June 2015; IEEE: Piscataway, NJ, USA, 2015; pp. 1458–1463. [Google Scholar]
- Moussa, I.; Bouallegue, A.; Khedher, A. Design and Implementation of Constant Wind Speed Turbine Emulator Using Matlab/Simulink and FPGA. In Proceedings of the 2014 Ninth International Conference on Ecological Vehicles and Renewable Energies (EVER), Monte-Carlo, Monaco, 25–27 March 2014; IEEE: Piscataway, NJ, USA, 2014; pp. 1–8. [Google Scholar]
- Wang, Y.; Lin, J.; Duan, H.; Zhang, J. Investigation on Thrust Characteristics of a Downstream Offshore Floating Wind Turbine under Yawed Inflow Conditions. J. Mar. Sci. Eng. 2021, 9, 1215. [Google Scholar] [CrossRef]
- Jonkman, J.; Butterfield, S.; Musial, W.; Scott, G. Definition of a 5-MW Reference Wind Turbine for Offshore System Development; National Renewable Energy Laboratory: Golden, CO, USA, 2009. [Google Scholar]
- Jonkman, J. Definition of the Floating System for Phase IV of OC3; National Renewable Energy Laboratory: Golden, CO, USA, 2010. [Google Scholar]
- IEC 61400-1; Wind Turbines Part 1: Design Requirements for Wind Turbines. International Eletrotechnical Commision: Geneva, Switzerland, 2005.








| Method | Calculation Speed | Accuracy |
|---|---|---|
| Statistical law-based | medium | low |
| Kalman filter-based | medium | medium |
| Neural network-based | low | high |
| The present study | high | medium |
| KP/KI/KD | EC | |||||||
|---|---|---|---|---|---|---|---|---|
| PB | PM | PS | ZE | NS | NM | NB | ||
| E | PB | PB/NS/PM | PB/NS/PS | PM/NM/ZE | NM/NM/NS | NS/NB/NM | ZE/NB/NM | ZE/NB/NB |
| PM | PB/ZE/PM | PM/ZE/PM | PS/NS/PS | NM/NS/ZE | NS/NM/NS | ZE/NM/NM | PS/NB/NM | |
| PS | PM/PS/PB | PM/PS/PM | PS/ZE/PM | NB/ZE/PS | ZE/ZE/ZE | PS/NS/NS | PS/NS/NM | |
| ZE | PM/PB/PB | PS/PM/PB | ZE/PS/PM | ZE/ZE/ZE | ZE/PS/PM | PS/PM/PB | PM/PB/PB | |
| NS | PS/NS/NM | PS/NS/NS | NB/ZE/PS | NB/ZE/ZE | PS/ZE/ZE | PM/PS/PM | PM/PS/PB | |
| NM | PS/NB/NB | ZE/NM/NM | NS/NM/NM | NM/NS/NS | PS/NS/ZE | PM/ZE/PS | PB/ZE/PM | |
| NB | ZE/NB/NB | ZE/NB/NB | NS/NB/NM | NM/NM/NM | PM/NM/NM | PB/NS/ZE | PB/NS/PS | |
| Parameters | Value |
|---|---|
| Rated power | 5 MW |
| Rotor diameter | 126 m |
| Rated wind speed | 11.4 m/s |
| Rated rotor speed | 12.1 rpm |
| Generator efficiency | 94.4% |
| Cut-out wind speed | 25 m/s |
| Inflow Wind Speed (m/s) | λ | β (rad) |
|---|---|---|
| 11.4 | 7.002 | 0 |
| 12.0 | 6.652 | 0.065 |
| 13.0 | 6.141 | 0.112 |
| 14.0 | 5.702 | 0.149 |
| 15.0 | 5.322 | 0.180 |
| 16.0 | 4.989 | 0.208 |
| 17.0 | 4.696 | 0.234 |
| 18.0 | 4.435 | 0.258 |
| 19.0 | 4.201 | 0.280 |
| 20.0 | 3.991 | 0.302 |
| 21.0 | 3.801 | 0.323 |
| 22.0 | 3.629 | 0.345 |
| 23.0 | 3.471 | 0.367 |
| 24.0 | 3.326 | 0.387 |
| b0 | b1 | b2 | b3 | b4 | b5 |
|---|---|---|---|---|---|
| 7.003 | −0.772 | −91.790 | 324.190 | −489.409 | 294.210 |
Disclaimer/Publisher’s Note: The statements, opinions and data contained in all publications are solely those of the individual author(s) and contributor(s) and not of MDPI and/or the editor(s). MDPI and/or the editor(s) disclaim responsibility for any injury to people or property resulting from any ideas, methods, instructions or products referred to in the content. |
© 2025 by the authors. Licensee MDPI, Basel, Switzerland. This article is an open access article distributed under the terms and conditions of the Creative Commons Attribution (CC BY) license (https://creativecommons.org/licenses/by/4.0/).
Share and Cite
Lin, J.; Yuan, W.; Hu, Z.; Huang, Z.; Yan, Z.; Huang, H.; Zheng, R. Fuzzy PID Individual Pitch Control with Effective Wind Speed Estimation for Offshore Floating Wind Turbines. Energies 2025, 18, 4812. https://doi.org/10.3390/en18184812
Lin J, Yuan W, Hu Z, Huang Z, Yan Z, Huang H, Zheng R. Fuzzy PID Individual Pitch Control with Effective Wind Speed Estimation for Offshore Floating Wind Turbines. Energies. 2025; 18(18):4812. https://doi.org/10.3390/en18184812
Chicago/Turabian StyleLin, Jiahuan, Weijia Yuan, Zhipeng Hu, Zijun Huang, Zining Yan, Hengju Huang, and Rongye Zheng. 2025. "Fuzzy PID Individual Pitch Control with Effective Wind Speed Estimation for Offshore Floating Wind Turbines" Energies 18, no. 18: 4812. https://doi.org/10.3390/en18184812
APA StyleLin, J., Yuan, W., Hu, Z., Huang, Z., Yan, Z., Huang, H., & Zheng, R. (2025). Fuzzy PID Individual Pitch Control with Effective Wind Speed Estimation for Offshore Floating Wind Turbines. Energies, 18(18), 4812. https://doi.org/10.3390/en18184812

