Game-Optimization Modeling of Shadow Carbon Pricing and Low-Carbon Transition in the Power Sector
Abstract
1. Introduction
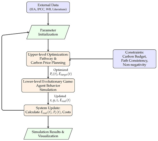
2. Model Description
Model Structure and Assumptions
3. Simulations
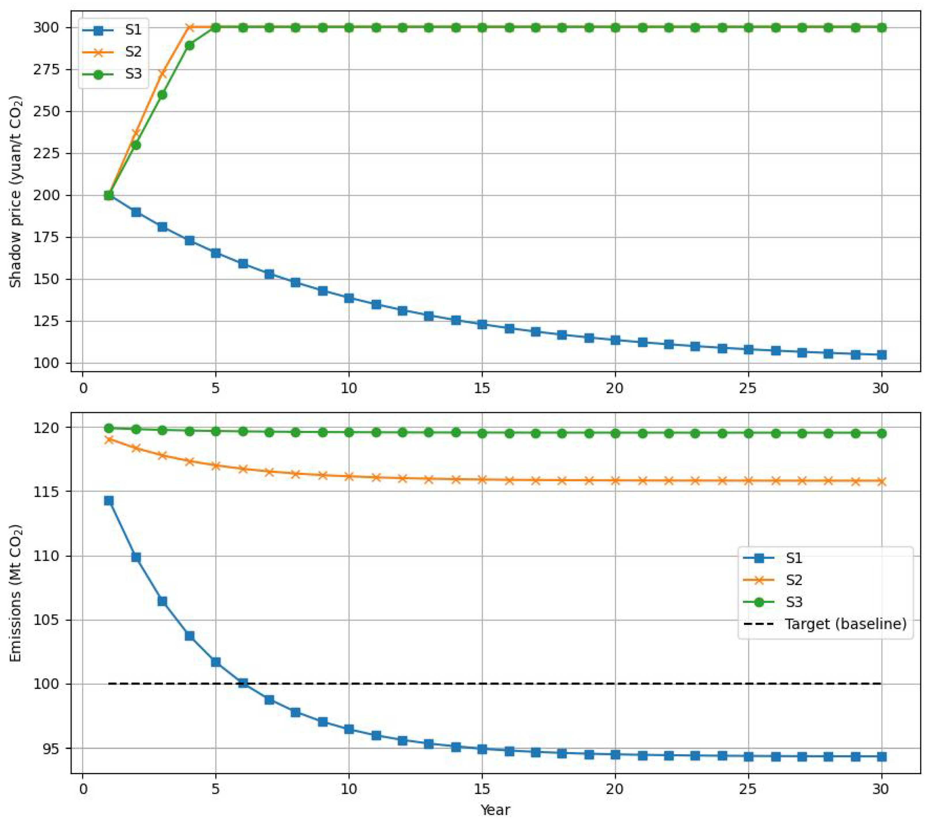
3.1. Simulation of Agent Behavior Evolution
3.2. Simulation of Three Key External Disruption Scenarios
4. Conclusions
Author Contributions
Funding
Data Availability Statement
Conflicts of Interest
References
- IEA. Net Zero by 2050: A Roadmap for the Global Energy Sector; IEA: Paris, France, 2021. [Google Scholar]
- IPCC. Climate Change 2023: Mitigation of Climate Change; Contribution of Working Group III to the Sixth Assessment Report of the Intergovernmental Panel on Climate Change; Cambridge University Press: Cambridge, UK, 2023. [Google Scholar]
- Edenhofer, O.; Pichs-Madruga, R.; Sokona, Y.; Minx, C.; Farahani, E.; Kadner, S.; Seyboth, K.; Adler, A.; Baum, I.; Brunner, S.; et al. Climate Change 2014: Mitigation of Climate Change; Cambridge University Press: Cambridge, UK, 2015. [Google Scholar]
- Zhang, S.; Chen, W. Assessing the energy transition in China towards carbon neutrality with a probabilistic framework. Nat. Commun. 2022, 13, 87. [Google Scholar] [CrossRef] [PubMed]
- Newbery, D.; Pollitt, M.; Ritz, R.; Strielkowski, S. Market design for a high-renewables European electricity system. Renew. Sust. Energ. Rev. 2018, 91, 695–707. [Google Scholar] [CrossRef]
- Nordhaus, W.D. Revisiting the social cost of carbon. Proc. Natl. Acad. Sci. USA 2017, 114, 1518–1523. [Google Scholar] [CrossRef] [PubMed]
- Bertram, C.; Johnson, N.; Luderer, G.; Riahi, K.; Isaac, M.; Eom, J. Carbon lock-in through capital stock inertia associated with weak near-term climate policies. Technol. Forecast. Soc. Change 2015, 90, 62–72. [Google Scholar] [CrossRef]
- Aldy, J.E.; Pizer, W.A.; Akimoto, K. Comparing emissions mitigation efforts across countries. Clim. Policy 2017, 17, 501–515. [Google Scholar] [CrossRef]
- Fuss, S.; Lamb, W.F.; Callaghan, M.W.; Hilaire, J.; Creutzig, F.; Amann, T.; Beringer, T.; de Oliveira Garcia, W.; Hartmann, J.; Khanna, T.; et al. Negative emissions—Part 2: Costs, potentials and side effects. Environ. Res. Lett. 2018, 13, 063002. [Google Scholar] [CrossRef]
- Baranzini, A.; Van den Bergh, J.C.; Carattini, S.; Howarth, R.B.; Padilla, E.; Roca, J. Carbon pricing in climate policy: Seven reasons, complementary instruments, and political economy considerations. WIREs Clim. Change 2017, 8, e462. [Google Scholar] [CrossRef]
- Best, R.; Burke, P.J.; Jotzo, F. Carbon pricing efficacy: Cross-country evidence. Environ. Resour. Econ. 2020, 77, 69–94. [Google Scholar] [CrossRef]
- Tol, R.S.J. The economic impacts of climate change. J. Econ. Perspect. 2009, 23, 29–51. [Google Scholar] [CrossRef]
- Calvin, K.; Bond-Lamberty, B.; Clarke, L.; Edmonds, J.; Eom, J.; Hartin, C.; Kim, S.; Kyle, P.; Link, R.; Moss, R.; et al. The SSP4: A pathway of inequality and climate change. Glob. Environ. Change 2017, 42, 284–296. [Google Scholar] [CrossRef]
- Benchekroun, H.; Long, N. Game theoretic modeling in environmental and resource economics. In Handbook of Regional Science; Fischer, M., Nijkamp, P., Eds.; Springer: Berlin/Heidelberg, Germany, 2014. [Google Scholar]
- Tu, Z.; Liu, B.; Jin, D.; Wei, W.; Kong, J. The effect of carbon emission taxes on environmental and economic systems. Int. J. Environ. Res. Public Health 2022, 19, 3706. [Google Scholar] [CrossRef] [PubMed]
- Heuberger, C.F.; Staffell, I.; Shah, N.; Dowell, N. Impact of myopic decision-making and disruptive events in power systems planning. Nat. Energy 2018, 3, 634–640. [Google Scholar] [CrossRef]
- Pietzcker, R.; Ueckerdt, F.; Carrara, S.; de Boer, H.; Despres, J.; Fujimori, S.; Johnson, N.; Kitous, A.; Scholz, Y.; Sullivan, P.; et al. System integration of wind and solar power in integrated assessment models: A cross-model evaluation of new approaches. Energy Econ. 2017, 64, 583–599. [Google Scholar] [CrossRef]
- Zhu, W.; Wang, X.; Wang, C.; Liu, L.; Hu, J.; Zheng, Z.; Tang, S.; Zheng, H.; Dong, J. Evolutionary dynamics in stochastic nonlinear public goods games. Commun. Phys. 2024, 7, 377. [Google Scholar] [CrossRef]
- Li, F.; Guo, Y.; Dong, T.; Liu, B.; Geng, X. Tripartite evolutionary game analysis on corporate carbon reduction decisions considering dual supervision under carbon trading. Comput. Ind. Eng. 2024, 187, 109786. [Google Scholar] [CrossRef]
- Nowak, M.A. Evolutionary Dynamics: Exploring the Equations of Life; Harvard University Press: Cambridge, MA, USA, 2006. [Google Scholar]
- Zakaria, A.; Ismail, F.; Lipu, H.; Hannan, M. Uncertainty models for stochastic optimization in renewable energy applications. Renew. Energy 2020, 145, 1543–1571. [Google Scholar] [CrossRef]
- Dominique, C.; Tian, Y. Corporate credit risk modeling under carbon pricing uncertainty: A Knightian uncertainty approach. Sustain. Futures 2024, 8, 100283. [Google Scholar] [CrossRef]
- Zhong, Y.; Sun, H. Game theoretic analysis of prices and low-carbon strategy considering dual-fairness concerns and different competitive behaviours. Comput. Ind. Eng. 2022, 169, 108195. [Google Scholar] [CrossRef]
- Xu, J.; Li, L.; Zhang, B.; Hao, M.; Mei, F. Dual carbon goals’ enhances policy integration: Analysing recent changes in China’s national climate policy. J. Asian Public Policy 2024, 1–18. [Google Scholar] [CrossRef]
- Zhang, D.; Karplus, V.J.; Cassisa, C.; Zhang, X. Emissions trading in China: Progress and prospects. Energy Policy 2014, 75, 9–16. [Google Scholar] [CrossRef]




| Symbol | Value | Unit | Notes |
|---|---|---|---|
| 3.0 | yuan/kWh | Literature-based assumption on green investments | |
| 2.0 | yuan/kWh | Higher R&D and infrastructure cost; IEA (2021) | |
| 1.0 | t /MWh | Standard policy benchmark; IPCC (2023) | |
| 0.5 | yuan/kWh | Policy-relevant moderate incentive level; recent national policy | |
| 3.5 | yuan/kWh | Reflects near-term profit advantage; IEA (2021) | |
| 1.5 | yuan/kWh | Lower cost due to maturity; industry reports | |
| 1.2 | t /MWh | Policy reports/empirical average | |
| 1.0 | – | Baseline regulatory strength; model assumption | |
| 0.4 | yuan/kWh | Higher inspection and enforcement cost | |
| 0.2 | yuan/kWh | Reduced administrative expense | |
| 3.5 | yuan/kWh | Based on innovation returns in clean tech; IPCC (2023) | |
| 2.5 | yuan/kWh | Reflects high innovation barriers; recent studies | |
| 0.6 | yuan/kWh | Reflects support schemes (e.g., tax credits) | |
| 2.5 | yuan/kWh | Lower due to declining market demand | |
| 1.5 | yuan/kWh | Empirical norm | |
| 150 | yuan/t | Aligned with global carbon pricing benchmarks; World Bank (2022) | |
| 2.0 | t | Model sensitivity calibration | |
| 80 | Mt | Medium-scale reduction aligned with policy | |
| 0.2 | – | Calibrated for optimization stability | |
| 0.3 | – | Calibrated for pathway consistency | |
| 0.6 | – | Set by current policy roadmap |
| Parameter | Description | Unit | S1 | S2 | S3 |
|---|---|---|---|---|---|
| Emission reduction efficiency of technology | – | 0.50 | 0.30 | 0.15 | |
| R&D cost of new technology | yuan/kWh | 3.0 | 5.0 | 7.0 | |
| Government preference for emission reduction | – | 1.5 | 1.0 | 0.5 | |
| Govt. subsidy to enterprises | yuan/kWh | 1.0 | 0.5 | 0.2 | |
| Govt. subsidy to tech providers | yuan/kWh | 1.2 | 0.5 | 0.1 | |
| Pathway deviation adjustment coefficient | – | 0.6 | 0.3 | 0.1 | |
| Behavioral deviation adjustment coefficient | – | 0.5 | 0.2 | 0.1 | |
| Total emission budget (planning period) | 110 | 100 | 90 | ||
| Marginal cost of high-carbon technology | yuan/kWh | 2.0 | 2.0 | 3.0 |
Disclaimer/Publisher’s Note: The statements, opinions and data contained in all publications are solely those of the individual author(s) and contributor(s) and not of MDPI and/or the editor(s). MDPI and/or the editor(s) disclaim responsibility for any injury to people or property resulting from any ideas, methods, instructions or products referred to in the content. |
© 2025 by the authors. Licensee MDPI, Basel, Switzerland. This article is an open access article distributed under the terms and conditions of the Creative Commons Attribution (CC BY) license (https://creativecommons.org/licenses/by/4.0/).
Share and Cite
Sun, G.; Yuan, B.; Zhang, H.; Xia, P.; Wu, C.; Gong, Y. Game-Optimization Modeling of Shadow Carbon Pricing and Low-Carbon Transition in the Power Sector. Energies 2025, 18, 4173. https://doi.org/10.3390/en18154173
Sun G, Yuan B, Zhang H, Xia P, Wu C, Gong Y. Game-Optimization Modeling of Shadow Carbon Pricing and Low-Carbon Transition in the Power Sector. Energies. 2025; 18(15):4173. https://doi.org/10.3390/en18154173
Chicago/Turabian StyleSun, Guangzeng, Bo Yuan, Han Zhang, Peng Xia, Cong Wu, and Yichun Gong. 2025. "Game-Optimization Modeling of Shadow Carbon Pricing and Low-Carbon Transition in the Power Sector" Energies 18, no. 15: 4173. https://doi.org/10.3390/en18154173
APA StyleSun, G., Yuan, B., Zhang, H., Xia, P., Wu, C., & Gong, Y. (2025). Game-Optimization Modeling of Shadow Carbon Pricing and Low-Carbon Transition in the Power Sector. Energies, 18(15), 4173. https://doi.org/10.3390/en18154173
