Next Article in Journal
A Fully Coupled Numerical Simulation Model for Bottom-Water Gas Reservoirs Integrating Horizontal Wellbore, ICD Screens, and Zonal Water Control: Development, Validation, and Optimization Strategies
Previous Article in Journal
Multi-Criteria Analysis in the Selection of Alternative Fuels for Pulse Engines in the Aspect of Environmental Protection
Previous Article in Special Issue
Identification of Dielectric Response Parameters of Pumped Storage Generator-Motor Stator Winding Insulation Based on Sparsity-Enhanced Dynamic Decomposition of Depolarization Current
 
 
Font Type:
Arial Georgia Verdana
Font Size:
Aa Aa Aa
Line Spacing:
Column Width:
Background:
Article

Non-Contact Current Measurement Method Based on Field-Source Inversion for DC Rectangular Busbars

1
Power Transmission Operation & Maintenance Branch Hainan Power Grid Co., Ltd., Haikou 570100, China
2
Department of Electrical Engineering, Tsinghua University, Beijing 100084, China
*
Authors to whom correspondence should be addressed.
Energies 2025, 18(14), 3606; https://doi.org/10.3390/en18143606
Submission received: 16 May 2025 / Revised: 25 June 2025 / Accepted: 27 June 2025 / Published: 8 July 2025
(This article belongs to the Special Issue Electrical Equipment State Measurement and Intelligent Calculation)

Abstract

With the widespread application of DC technology in data centers, renewable energy, electric transportation, and high-voltage direct current (HVDC) transmission, DC rectangular busbars are becoming increasingly important in power transmission systems due to their high current density and compact structure. However, space constraints make the deployment of conventional sensors challenging, highlighting the urgent need for miniaturized, non-contact current measurement technologies to meet the integration requirements of smart distribution systems. This paper proposes a field-source inversion-based contactless DC measurement method for rectangular busbars. The mathematical model of the magnetic field near the surface of the DC rectangular busbar is first established, incorporating the busbar eccentricity, rotation, and geomagnetic interference into the model framework. Subsequently, a magnetic field–current inversion model is constructed, and the DC measurement of the rectangular busbar is achieved by performing an inverse calculation. The effectiveness of the proposed method is validated by both simulation studies and physical experiments.

1. Introduction

In applications such as high-voltage direct current (HVDC) transmission, renewable energy generation, and industrial power systems, DC rectangular busbars play a critical role in current transmission at key nodes due to their advantages of high current-carrying capacity, low power loss, ease of installation, and efficient space utilization. The accurate measurement of busbar current is essential for operational monitoring and control decision-making. However, the high energy density of DC rectangular busbars often leads to compact installation environments, posing challenges for conventional DC current measurement devices such as shunt resistors [1], fiber-optic current sensors [2], and flux-gate current sensors [3]. These devices are typically bulky, costly, and difficult to deploy at scale, limiting their suitability for distributed current monitoring in DC transmission and distribution networks. Consequently, there is an urgent need to develop compact and cost-effective DC current-sensing technologies specifically tailored for rectangular busbar applications.
The field-source inversion-based current measurement method utilizes spatial magnetic field measurements to achieve the target current measurement in a contactless manner. This method offers advantages such as a compact structure, easy installation, and low cost, making it widely applied in overhead transmission lines [4], urban cables [5], and power electronics [6]. Additionally, it has been preliminarily explored for measuring both AC and DC currents in rectangular busbars [7,8]. The core of this method lies in determining the correlation coefficient between the measured magnetic field and the target current, which can be achieved through both offline [9,10] and online approaches [11,12]. For the offline method, after installing the magnetic field sensor array, a reference current with a known value is introduced into the target conductor. The linear fitting coefficient between the measured magnetic field and the target current for each magnetic field sensor is then calculated [13]. After these coefficients are determined, the current can be measured based on the detected magnetic field. However, the offline method has drawbacks, including operational inconvenience and measurement errors caused by shifts in the relative position between the magnetic field sensors and the target conductor over time. In contrast, the online method determines key measurement parameters such as the position, magnetic sensitivity direction, and sensitivity of each sensor, and, by either applying the discrete integration of Ampère’s loop theorem [14,15,16] or solving the field-source inverse problem [17,18], the target current can be directly inferred from the measured magnetic fields. This approach enables plug-and-play functionality and adaptive compensation for positional variations. Table 1 presents a concise comparison of various non-contact current sensors in terms of their principle, accuracy, complexity, cost, and distinguishing features. Among them, current sensors based on magnetic sensor arrays offer measurement accuracy ranging from 1% to 5%, while maintaining relatively low cost and high design flexibility. This makes them particularly suitable for complex conductor geometries (e.g., busbars and multicore cables), enabling their large-scale deployment for distributed current measurement in power systems.
Currently, the non-contact measurement of DC rectangular busbar currents using a magnetic field sensor array is primarily based on the discrete integration method derived from Ampère’s loop theorem [19]. For example, in ref. [20], an elliptical magnetic field sensor array is used to measure the magnetic field around the busbar based on the discrete integral form of Ampère’s theorem. By optimizing parameters such as the aspect ratio, sensor positions, and the number of magnetic field sensors, the study finds that, when the aspect ratio of the elliptical array is less than 0.25, at least nine magnetic field sensors are required to achieve a measurement accuracy of 1%. However, this method assumes that the center of the rectangular busbar always aligns with the center of the magnetic field sensor array, without accounting for the eccentricity or rotation of the busbar. In ref. [21], a rectangular magnetic field sensor array is employed for high-current measurement in large rectangular busbars. The study explores different numerical integration methods, including the trapezoidal rule, Simpson’s rule, and Boole’s rule, to discretely integrate Ampere’s loop theorem. A total of 52 magnetic field sensors are required to be distributed at equal intervals around a 2990 mm × 650 mm rectangular busbar for non-contact current measurement.
The discrete integration method based on Ampère’s circuital law enables non-contact current measurement by requiring magnetic field sensors to be uniformly distributed around the conductor, with the conductor ideally aligned with the geometric center of the magnetic field sensor array. However, any displacement between the conductor and the sensor array degrades the accuracy of the current measurement [22,23]. In contrast, the field-source inverse modeling approach allows the real-time estimation of the correlation coefficients. This method eliminates the requirement for uniform sensor spacing and demonstrates strong robustness to conductor position variations, thereby improving the reliability of current measurement under practical conditions. This method has been applied to AC current measurement in circular conductors [24,25], but there are no reported studies on its application to DC rectangular busbars. For example, in ref. [26], triaxial magnetic field sensors are used to measure the magnetic fields around a single conductor. By analyzing the proportional relationships of the magnetic field components along different axes, the conductor’s position and tilt angle are inferred, allowing the correlation coefficient between the measured current and the magnetic field to be determined. In ref. [27], a circular array composed of eighteen magnetic field sensors is used to establish a nonlinear equation system. By solving it with a nonlinear least-squares approach, three-phase current inversion is achieved, along with the determination of conductor positions. This method enables the adaptive updating of current measurement coefficients when the relative position between the conductor and the sensor array changes, ensuring measurement accuracy.
This paper explores a non-contact measurement method for DC rectangular busbar currents based on field-source inversion. Compared to the discrete integration method using Ampère’s loop theorem, this approach effectively reduces the number of magnetic field sensors and provides an equal distribution of magnetic field sensors. The basic framework of this study is as follows. First, an analytical model of the spatial magnetic field generated by the DC rectangular busbar current is established, taking into account factors such as busbar eccentricity, rotation, and the influence of the geomagnetic field. Then, a field-source inversion model is constructed and solved using the nonlinear least-squares method. Finally, both a simulation study and a physical experiment are conducted to validate the proposed method.

2. Analytical Modeling of the Spatial Magnetic Field Around a DC Rectangular Busbar

2.1. Spatial Magnetic Field Modeling Under Symmetric Conditions

As shown in Figure 1, the DC rectangular busbar passes vertically through the plane of an array composed of multiple magnetic field sensors. The length and width of the busbar are denoted as a and b, respectively. A two-dimensional Cartesian coordinate system is established with the center of the magnetic field sensor array as the coordinate origin. For ease of analytical modeling, the center of the DC rectangular busbar is initially aligned with the coordinate origin, with its longer side a parallel to the x-axis. Figure 1 also illustrates a schematic of the magnetic field generated by the rectangular busbar at the k-th magnetic field sensor S k .
To establish an analytical model of the magnetic field generated by the DC rectangular busbar current in the surrounding space, the busbar is divided into an infinite number of rectangular elements along its axial direction (perpendicular to the plane of the magnetic field sensor array). The expression for the magnetic field, as shown in Figure 1, generated by the rectangular element at the location of the k-th magnetic field sensor is as follows:
d B k = μ 0 2 π r d I
where d I represents the DC current flowing through the rectangular element, d B k is the magnetic field generated by the current d I at the location of the k-th magnetic field sensor, and r is the distance from the center of the rectangular element to the k-th magnetic field sensor.
Since the current flowing through the DC rectangular busbar is uniformly distributed across its cross-section, Equation (1) can be further written as
d B k = μ 0 I 2 π a b 1 ( x k x ) 2 + ( y k y ) 2 d x d y
where ( x , y ) and ( x k , y k ) represent the coordinates of the rectangular element and the location of the k-th magnetic field sensor, respectively.
Further, the expressions for the magnetic field components of d B k in the x and y axes in Equation (2) are as follows:
d B k , x = μ 0 I 2 π a b y k y ( x k x ) 2 + ( y k y ) 2   d x   d y
d B k , y = μ 0 I 2 π a b x k x ( x k x ) 2 + ( y k y ) 2   d x   d y
By integrating d B k , x and d B k , y along the length and width directions of the DC rectangular busbar’s cross-section, the magnetic field components in the x- and y-axes at the location of the k-th magnetic field sensor due to the current I are obtained as follows:
B k , x = a / 2 a / 2 b / 2 b / 2 d B k , x
B k , y = a / 2 a / 2 b / 2 b / 2 d B k , y
The analytical expressions for the components of the magnetic field in the x- and y-directions generated by the current I at the position of the k-th magnetic field sensor are given below:
B k , x = f 1 a 2 , b 2 + f 1 a 2 , b 2 f 1 a 2 , b 2 f 1 a 2 , b 2
B k , y = f 2 a 2 , b 2 + f 2 a 2 , b 2 f 2 a 2 , b 2 f 2 a 2 , b 2
The expressions for the functions f 1 ( x , y ) and f 2 ( x , y ) are, respectively, given by Equations (9) and (10).
f 1 ( x , y ) = μ 0 I 2 π a b 1 2 ( x k x ) ln ( x k x ) 2 + ( y k y ) 2
+ ( y k y ) arctan x k x y k y f 2 ( x , y ) = μ 0 I 2 π a b 1 2 ( y k y ) ln ( x k x ) 2 + ( y k y ) 2
+ ( x k x ) arctan y k y x k x
The magnetic field measured by the k-th magnetic field sensor is as follows:
B k , S = B k , x cos θ k + B k , y sin θ k
where θ k is the angle between the magnetic sensitivity direction of the k-th magnetic field sensor and the positive direction of the x-axis.

2.2. Analytical Modeling of the Magnetic Field Under Eccentricity and Rotation of the Rectangular Busbar

During the installation of the magnetic field sensor array, the center of the rectangular busbar may deviate from the center of the magnetic field sensor array, and its long edge a may not align with the positive direction of the x-axis. Therefore, the magnetic field calculated using Equation (11) is no longer applicable, as shown in Figure 2. To address this, let ( x 0 , y 0 ) represent the coordinates of the center of the rectangular busbar, which characterizes the eccentricity of the rectangular busbar. Let α represent the angle between the long axis a of the rectangular busbar and the positive direction of the x-axis, which indicates the rotation of the rectangular busbar. If Equations (7) and (8) are still used to calculate the magnetic field components in the x- and y-directions at the position of the k-th magnetic field sensor, only the position coordinates of each magnetic field sensor need to be transformed and updated. The specific expression for position coordinates transformation is as follows:
x k = ( x k x 0 ) 2 + ( y k y 0 ) 2 cos ( γ k α )
y k = ( x k x 0 ) 2 + ( y k y 0 ) 2 sin ( γ k α )
where γ k is the angle between the line connecting the position of the k-th magnetic field sensor and the center of the rectangular busbar and the positive direction of the x-axis, which is expressed as follows:
γ k = atan2 ( y k y 0 , x k x 0 )
where atan2 denotes the two-argument arctangent function, which returns values within the range [ π , π ] .
It should be noted that, when the rectangular busbar undergoes eccentricity or rotation, the magnetic field calculated by substituting x k and y k into Equations (7) and (8) represents the magnetic field components along the long and short axes of the rectangular busbar. These need to be transformed into a two-dimensional rectangular coordinate system with the center of the magnetic array as the origin. Therefore, the expressions for the magnetic field components in the x and y directions at the position of the k-th magnetic field sensor are as follows
B k , x = B k , x cos ( α ) B k , y sin ( α )
B k , y = B k , x sin ( α ) + B k , y cos ( α )

2.3. Analytical Modeling Considering Geomagnetic Field

In addition to measuring the magnetic field generated by the DC rectangular busbar current, the magnetic field sensor’s measurement results are also influenced by the geomagnetic field. In the region where the magnetic field sensor array is located, the geomagnetic field can be assumed to be uniformly distributed, as shown in Figure 3. Let the magnitude of the geomagnetic field be B 0 , and the angle between it and the positive direction of the x-axis be β . When considering the effects of both the rectangular busbar’s eccentricity and rotation, the components of the magnetic field in the x- and y-directions at the position of the k-th magnetic field sensor can be expressed as follows:
B k , x = B k , x + B 0 cos ( β )
B k , y = B k , y + B 0 sin ( β )
When the current I is small, the magnetic field that it generates is weak, and the geomagnetic field will occupy a larger portion of the measurement results from the magnetic field sensor, which can severely affect the accuracy of current inversion. Therefore, when the current in the DC rectangular busbar is small, the influence of the geomagnetic field must also be considered.
Considering the effects of both the rectangular busbar’s eccentricity and rotation, as well as the geomagnetic field, the expression for the magnetic field measured by the k-th magnetic field sensor is as follows:
B k , s = B k , s cos θ k + B k , s sin θ k

3. Field-Source Inversion-Based Non-Contact Current Measurement Method

After the installation of the magnetic field sensor array, if the rectangular busbar is eccentric or rotated relative to the center of the magnetic field sensor array, and the influence of the geomagnetic field is also considered, the magnetic field expression measured by the k-th magnetic field sensor, as described in Equation (19), includes not only the DC rectangular busbar current I but also the parameters x 0 , y 0 , which characterize the eccentricity and rotation angle α of the rectangular busbar, and the parameters B 0 and β , which characterize the magnitude and direction of the geomagnetic field. These six parameters are unknown, while the parameters related to the magnetic field sensor in Equation (19), such as its position coordinates x k , y k and the magnetic sensitivity direction angle θ k , are known quantities that are obtained by calibration. The essence of achieving the non-contact measurement of the DC rectangular busbar current using a magnetic field sensor array is to solve for these six unknown parameters, thereby completing the online inversion of the DC rectangular busbar current. In this way, the relative position between the DC rectangular busbar and the magnetic field sensor array does not need to be considered, and the current flowing through the DC rectangular busbar can always be accurately calculated.
To determine the six unknown parameters discussed above, a minimum of six magnetic field sensors must be strategically positioned around the DC rectangular busbar to measure the magnetic field at no fewer than six distinct points. Based on Equation (19), a system comprising at least six distinct equations is constructed. To efficiently estimate the unknown parameters, the system is reformulated as a nonlinear least-squares problem, with the objective function defined as follows:
min ψ ( I , x 0 , y 0 , α , B 0 , β ) = min k B k , S ¯ B k , S 2
where B k , S ¯ represents the theoretical magnetic field calculated from Equation (19), and B k , S represents the actual magnetic field measured by the k-th magnetic field sensor.
Solving the nonlinear least-squares problem represented by Equation (20) involves searching for the optimal combination of unknown parameters such that the magnetic fields measured by all magnetic field sensors are as close as possible to their corresponding theoretical magnetic fields. To expedite the solution of the nonlinear least-squares problem represented by Equation (20), appropriate constraints must be imposed on the variables to restrict the feasible domain of the unknowns. The eccentricity parameters x 0 and y 0 of the magnetic field sensor array satisfy the following constraints:
| x 0 | L a a 2 , | y 0 | L b b 2
where L a and L b represent the length and width of the rectangular magnetic field sensor array, respectively.
The rotation angle α of the rectangular busbar and the direction β of the geomagnetic field satisfy the following constraint conditions:
0 α , β < 2 π
To solve the nonlinear least-squares problem with Equation (20) as the objective function, the AMPL (A Mathematical Programming Language) programming language is used for modeling, and the Knitro solver is employed for solving. The AMPL programming language has a simple syntax and efficient solving capabilities, allowing seamless integration with multiple solvers and supporting the solution of various optimization problems. It is particularly well-suited for modeling and solving complex and large-scale optimization problems. Knitro, on the other hand, is a specialized high-level solver for solving nonlinear optimization problems, capable of efficiently solving complex optimization problems with fast algorithms.

4. Simulation Study

A simulation-based verification is conducted to validate the effectiveness of the proposed current inversion method for a DC rectangular busbar. The length a and width b of the DC rectangular busbar are 50 mm and 10 mm, respectively. Eight magnetic field sensors are arranged in a rectangular array around the busbar, as shown in Figure 3. The preset values of the eccentric position coordinates ( x 0 , y 0 ) , rotation angle α , geomagnetic field magnitude B 0 , and its direction angle β are listed in Table 2. A current ranging from 2 A to 10 A, with a step size of 2 A, is applied to the DC rectangular busbar.
The key to the accuracy of current inversion lies in whether the magnetic field calculated using a mathematical model for each magnetic field sensor matches or closely approximates the corresponding measured magnetic field. In this study, an analytical model of the spatial magnetic field generated by a rectangular busbar current is established, which enables the accurate computation of the theoretical magnetic field values at different sensor locations. When the rectangular busbar current is approximated as a line current, significant deviations may arise between the computed magnetic field and the theoretical values. To validate this, a finite element model of the rectangular busbar is constructed based on the simulation parameters listed in Table 2. With the busbar current set to an amplitude of 10 A and under the influence of the geomagnetic field, the theoretical magnetic field values measured by all eight magnetic field sensors are accurately computed. Simultaneously, both the rectangular busbar magnetic field model and the line current magnetic field model are used to calculate the magnetic field values corresponding to eight magnetic field sensors. The resulting comparisons are shown in Figure 4.
As shown in Figure 4, the magnetic field calculated using the finite element model (represented by square markers) closely matches the results obtained from the analytical model of the spatial magnetic field generated by the rectangular busbar current established in this paper (represented by star markers). In contrast, the magnetic field computed using the line current model is represented by hollow circles in the same figure. It is evident that the magnetic field results from the line current model differ significantly from those obtained using both the finite element model and the rectangular busbar model. The corresponding relative errors in magnetic field magnitude are shown on the right axis of Figure 4, ranging from −66.56% to 80.48%. Therefore, approximating a rectangular busbar current with a line current model introduces substantial forward calculation errors in the magnetic field. This demonstrates the validity and accuracy of the analytical model for the magnetic field generated by a rectangular busbar current proposed in this paper.
To validate the effectiveness of the rectangular busbar current inversion model proposed in this study, a comparative approach is adopted by approximating the rectangular busbar current as a line current located at its center. Based on this approximation, a line current inversion model is constructed, which contains only five unknown parameters: the measured current I, the position of the line current x 0 and y 0 , and the magnitude B 0 and orientation angle β of the geomagnetic field. Compared to the rectangular busbar inversion model, the line current model does not include the rotation angle α of the busbar. The magnetic field data computed using Equation (19) is used as input for the current inversion models. The current amplitude inversion results obtained from both the rectangular busbar and line current models are compared, and the corresponding relative errors are shown in Figure 5.
As shown in Figure 5, under the condition of considering the geomagnetic field, the current amplitude error calculated using the rectangular current inversion model ranges from −0.016% to 0.015%. The relative error of the current amplitude obtained using the line current inversion model is also shown in Figure 5. Under the condition of considering the geomagnetic field (i.e., treating both the magnitude and direction of the geomagnetic field as unknown variables), when the measured current ranges from 2 A to 10 A, the relative error of the inverted current amplitude remains approximately around −12.7%. The current measurement accuracy based on the line current inversion model is significantly inferior to that of the rectangular busbar inversion model. This is because approximating the rectangular busbar current as a line current introduces substantial errors in the forward-calculated magnetic field compared to the theoretical magnetic field, as shown in Figure 4. Since the errors in magnetic field measurements and sensor positioning are not considered, the current inversion error is independent of the amplitude of the measured current.

5. Experimental Results and Discussion

To evaluate the effectiveness of the proposed current measurement method based on magnetic field–current inversion for DC rectangular busbar, a dedicated current measurement platform is constructed and its schematic diagram is illustrated in Figure 6. A DC source supplies current to the rectangular busbar. The resulting DC magnetic fields are detected by a magnetic sensor array. The magnetic sensor outputs are captured by a data acquisition system and transmitted to a laptop for data analysis and magnetic field–current inversion. The current loop conductors are positioned sufficiently far from the DC busbar, so their magnetic interference with the sensor array is negligible.
The designed magnetic sensor array is shown Figure 7. Eight magnetic sensors are used and configured in a rectangular shape. Each magnetic sensor is obtained using a commercial fluxgate-based DRV425 evaluation module (DRV425EVM) [28], which is a fully-integrated fluxgate magnetic sensor of DRV425 [29] for open-loop applications. In Figure 7, each red arrow indicates the sensing direction, and the solid dot at the tail of the red arrow denotes the sensing position of each magnetic sensor. The DRV425 has a magnetic field measurement range of ±2 mT, linearity of ±0.1%, selectable bandwidth of 47 kHz or 32 kHz, and a sensitivity temperature coefficient of approximately 7 ppm/°C. By adjusting the external circuit resistors of DRV425EVM, its magnetic field measurement range and bandwidth can be configured. In this work, the DRV425EVM is operated under a +5 V power supply. Based on its default external circuit configuration, the magnetic field measurement range is ±0.5 mT, linearity is ±0.1%, and bandwidth is 47 kHz. Actual measurements show that the temperature coefficient of the DRV425EVM is approximately 200 ppm/°C. A temperature compensation strategy can be further employed to indirectly improve the stability of magnetic field measurements and thus reduce the influence of temperature on current measurement results.
The physical current test platform is presented in Figure 8. Three types of rectangular busbars, denoted as Busbar1, Busbar2, and Busbar3 with cross-sections of 50 mm × 10 mm (copper), 40 mm × 4 mm (aluminum), and 25 mm × 3 mm (aluminum), respectively, are used for current measurement tests, as shown in the inset of Figure 8. The DC source used in this study is a custom-built three-phase broadband standard power source developed in the laboratory. It can output standard currents over a frequency range from DC to 2.5 kHz, with a current range of up to 10 A and an accuracy of 0.05%, providing high-accuracy reference currents for the current measurements presented in this paper. The rectangular DC busbar penetrates the designed magnetic sensor array, and the generated magnetic fields near the surface of the busbar are captured by each magnetic field sensor. The output signals from all magnetic field sensors are collected via a multi-channel synchronous acquisition board, with a sampling rate set to 1 kS/s, and the acquired signals are transmitted to the host computer. Subsequently, current inversion calculations are performed based on the collected magnetic field data and compared with the standard current value to evaluate the measurement accuracy of the proposed magnetic field–current inversion method for DC rectangular busbar.
To study the impact of different rectangular busbar installation positions on the current measurement accuracy of magnetic field–current inversion, three relative positions between the measured DC rectangular busbar and the magnetic field sensor array are defined as follows: a small eccentricity and deflection (denoted as Pos1), significant eccentricity with small deflection (Pos2), and significant eccentricity and rotation (Pos3). The corresponding eccentric positions and rotation angles are shown in Table 3. For each of the three types of busbars (as shown in the inset of Figure 8) under different installation conditions, the current source outputs current with a step size of 2 A in the range from 2 A to 10 A. For each measured current, five repetitions of the magnetic field–current inversion calculations are conducted.
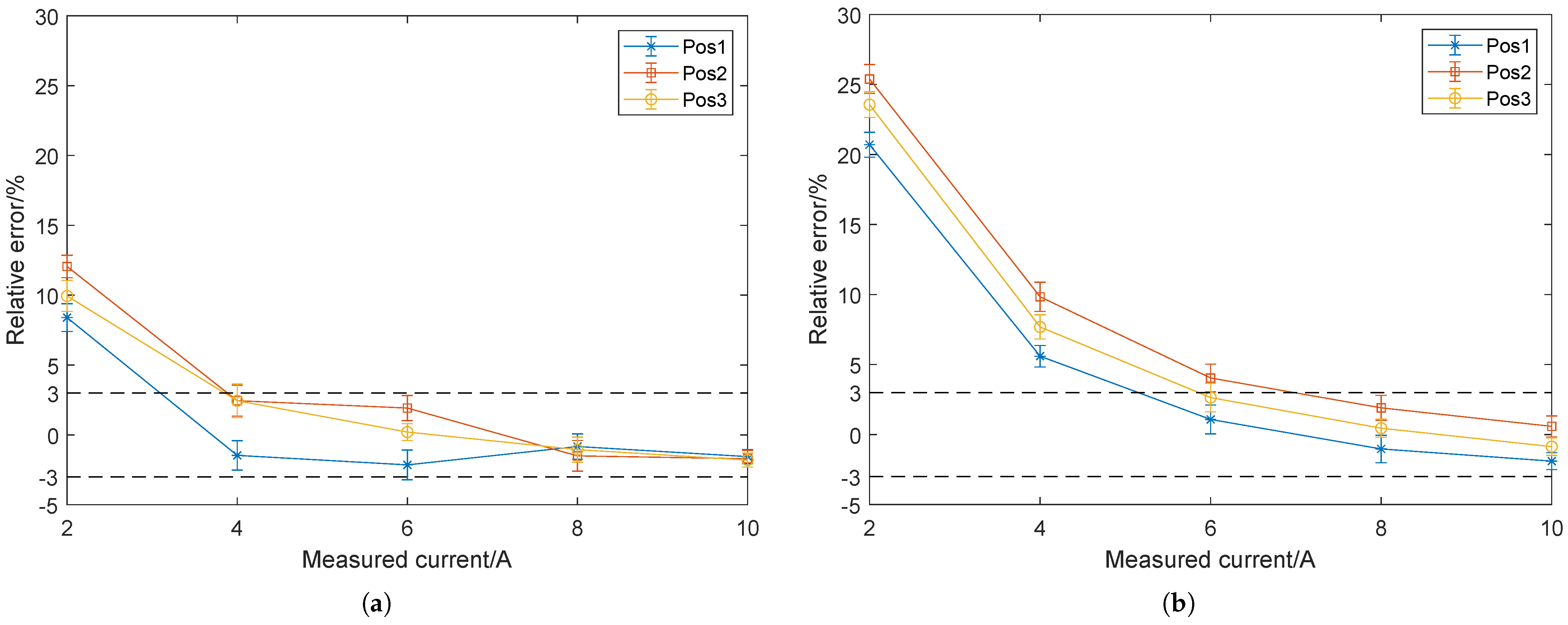
The current measurement results for Busbar1 (50 mm × 10 mm) are presented in Figure 9 using the measured magnetic fields by all the magnetic sensors. When geomagnetic field B 0 and direction angle β are also treated as optimization variables, the current inversion results are shown in Figure 9a. From the figure, it can be observed that, under the three different rectangular busbar installation positions, the trend of current measurement error remains consistent: when the measured current is 2 A, the measurement error is about 10%, while, for the current range of 4 A to 10 A, the measurement error remains within 3%.
When the magnetic field–current inversion model does not consider the geomagnetic field, i.e., the variables B 0 and β are set to zeros, the current measurement error still shows a gradually decreasing trend. However, when the measured current is 2 A and 4 A, the measurement errors reach 20% and 8%, respectively, significantly higher than the corresponding errors in Figure 9a. This indicates that the interference effect of the geomagnetic field is significant when measuring small currents, and larger magnetic field–current inversion errors occur when measuring small currents. This validates that the proposed magnetic field–current inversion model, which considers the geomagnetic field, can effectively decouple the geomagnetic field. Through magnetic field–current inversion, the calculated geomagnetic field B 0 and its angle β are approximately 0.3 Gs and 3 π / 2 , respectively. For the given measured current, through repetitive current measurements, the magnetic field–current inversion error varies within a range of ±1%.
As a result, the magnetic field–current inversion method proposed in this paper results in larger current measurement errors when the measured current is small. As seen in Figure 9a, the current measurement error reaches approximately 10%. This is because, during small current inversion, the signal-to-noise ratio (SNR) of the magnetic field sensors is low, leading to larger magnetic field measurement errors. When the measured current is small, the relative error increases significantly. However, when the measured current increases, the magnetic field sensors exhibit a higher SNR, and the relative current measurement error of the corresponding measured current decreases significantly.
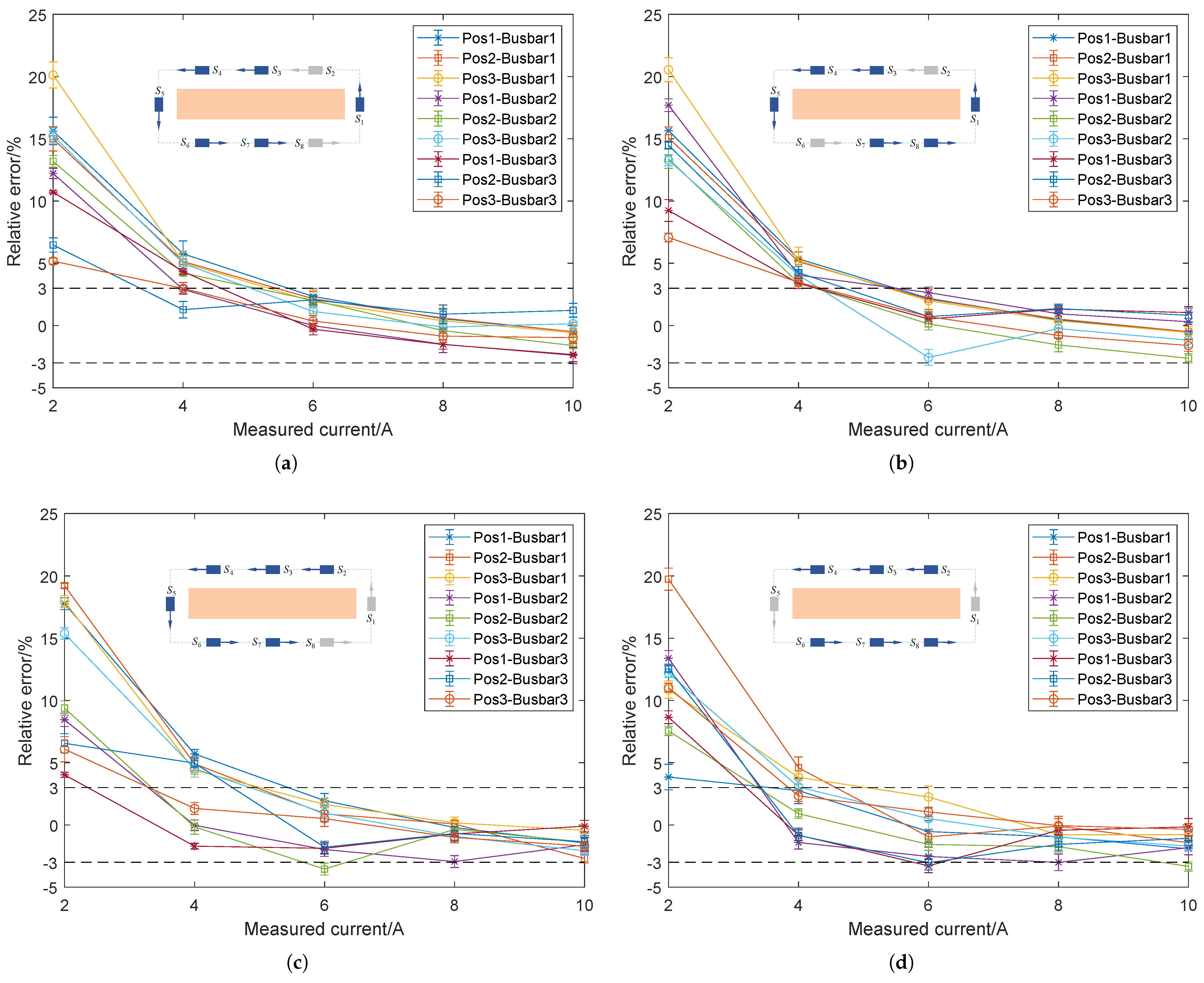
In addition, this paper also investigates the impact of the magnetic field sensor array structure on the accuracy of magnetic field–current inversion for rectangular busbars with different cross-sections. To construct sufficient equation systems and accurately invert the measured current, at least six magnetic field sensors are required. Therefore, six magnetic field sensors are used in this paper, and different array structures are constructed for current inversion. As shown in Figure 10a, the selected magnetic field sensors are S 1 , S 3 , S 4 , S 5 , S 6 , and S 7 , with the corresponding array structure illustrated in the inset of Figure 10a. The relevant results are shown in Figure 10 for Busbar1 (copper, 50 mm × 10 mm), Busbar2 (aluminum, 40 mm × 4 mm), and Busbar3 (aluminum, 25 mm × 3 mm) under different installation positions. The current inversion error shows a gradually decreasing trend. For all the tested busbars, when the measured current is 2 A, the current measurement errors are relatively high, at an approximately level of 10%. Although these errors are higher than those obtained when all magnetic field sensors are used for current inversion, as shown in Figure 9a, the current measurement error remains within 3% in the current range of 4 A to 10 A. For other array structures, as shown in Figure 10b–d, the current measurement error exhibits a similar trend of variation.
The number of magnetic field sensors and the array structure have a certain impact on the accuracy of magnetic field–current inversion. Increasing the number of magnetic field sensors can improve the accuracy of magnetic field–current inversion, as shown in Figure 9a and Figure 10a. An important advantage of the magnetic field–current inversion method proposed in this paper is that, even when the magnetic field sensor array does not form a fully closed-loop structure, current inversion accuracy close to that of a fully closed-loop structure can still be achieved. For example, the array structure in Figure 10d uses only sensors S 2 , S 3 , S 4 , S 6 , S 7 , and S 8 . This non-closed-loop array structure design allows for direct on-site installation, which effectively simplifies the installation process and reduces complexity.
Due to the limitation of the standard DC source used in this work, current measurements of only up to 10 A are conducted, to verify the effectiveness of the proposed field-to-source inversion method. For DC measurements, there is a linear relationship between the measured current and the detected magnetic field. Therefore, the measurable current range is determined by the magnetic field measurement range of the magnetic sensors. In this study, the DRV425EVM has a magnetic field measurement range of ±0.5 mT. Based on the designed magnetic sensor array, the maximum measured magnetic field at 10 A is approximately 0.15 mT, as shown in Figure 4. Thus, within the ±0.5 mT range, the measurable current is limited to approximately 80 A. To further extend the measurable current range, magnetic sensors with larger ranges and better linearity can be selected for sensor array design. As the measured current increases, the signal-to-noise ratio of the magnetic field measurement will significantly improve, and the current measurement error is expected to remain within 3%.

6. Conclusions

This paper addresses the non-contact measurement of DC in rectangular busbars based on magnetic field–current inversion. An analytical model is developed to characterize the magnetic field distribution on the surface of a DC rectangular busbar, taking into account the effects of busbar eccentricity, rotation, and the geomagnetic field. Leveraging this model, the DC current is estimated by minimizing the discrepancy between the measured magnetic field from a magnetic sensor array and the analytically computed forward magnetic field. Simultaneously, the model enables the estimation of the busbar’s eccentric displacement, rotation angle, and ambient geomagnetic field, thereby compensating for their influence on the inversion accuracy. The proposed approach is validated through comprehensive simulations and experimental tests. The main contributions are summarized as follows:
First, when all magnetic field sensors are used for magnetic field–current inversion, the current measurement error decreases as the measured current increases. Specifically, when the measured current is below 2 A, the measurement error is on the order of approximately 10%. As the current gradually increases within the range of 4 A to 10 A, the error significantly decreases and stabilizes within 3%. The primary reason is that, at low current levels, the magnetic sensors exhibit a low signal-to-noise ratio, leading to higher magnetic field measurement errors, which in turn reduce the accuracy of the magnetic field–current inversion. This phenomenon also reflects a common limitation in sensor accuracy when measuring weak signals.
Second, the study shows that the geomagnetic field affects the accuracy of magnetic field–current inversion. When the inversion model does not account for the geomagnetic field, significant interference occurs at measured currents below 2 A, resulting in a considerable increase in magnetic field–current inversion error. In contrast, incorporating the geomagnetic field into the model effectively suppresses this error. For higher current measurements (4 A to 10 A), the influence of the geomagnetic field becomes less significant, and the magnetic field–current inversion error remains within 3% even without considering the geomagnetic field.
Finally, the proposed magnetic field–current inversion method for DC rectangular busbars enables the flexible design of the magnetic sensor array configuration while maintaining comparable current measurement accuracy across different array arrangements. This method does not rely strictly on a fully closed-loop sensor structure; instead, by employing an open-loop sensor array, it significantly reduces installation complexity and engineering implementation difficulty without compromising measurement accuracy.
In conclusion, this paper investigates the field-source inversion problem for DC rectangular busbars and presents a practical non-contact current measurement approach that accounts for busbar eccentricity, rotation, and geomagnetic interference. Experimental results demonstrate that the method achieves a current measurement accuracy of approximately 3%, which meets the requirements for monitoring the operating state of DC rectangular busbars. Future work will concentrate on precisely calibrating magnetic sensor positions and developing high-accuracy magnetic field–current inversion algorithms to improve measurement accuracy further.

Author Contributions

Conceptualization, Q.L.; Methodology, J.Y. and X.L.; Software, visualization, Z.Z.; Validation, Y.W.; Formal analysis, J.L.; Investigation, Z.X.; Supervision, Conceptualization, S.L. All authors have read and agreed to the published version of the manuscript.

Funding

This research was funded by Science and Technology Project of CSG (073000KC23110003).

Data Availability Statement

Data is contained within the article.

Acknowledgments

This work was supported in part by the Science and Technology Project of CSG under Grant 073000KC23110003.

Conflicts of Interest

Authors Qishuai Liang, Zhongchen Xia, Jiang Ye, Yufeng Wu, Jie Li and Zhao Zhang were employed by the company Power Transmission Operation & Maintenance Branch Hainan Power Grid Co., Ltd. The remaining authors declare that the research was conducted in the absence of any commercial or financial relationships that could be construed as a potential conflict of interest.

References

  1. Gašparini, S.; Mostarac, P.; Konjevod, J.; Malarić, R. Evaluation of the relative phase comparison method at its limits used for absolute phase determination of an AC cage current shunt group. Sensors 2023, 23, 8510. [Google Scholar] [CrossRef]
  2. Ke, Y.; Tian, J.; Yu, A.; Xia, L. Multi-channel fiber optic current simultaneous measurement scheme based on time domain superposition. J. Lightwave Technol. 2025, 43, 1455–1461. [Google Scholar] [CrossRef]
  3. Zhang, S.; Wang, Y.; Xie, J.; Ding, T.; Han, X. A new approach for solving the false balance of a closed-loop fluxgate current transducer. IEEE Trans. Ind. Electron. 2022, 69, 2147–2152. [Google Scholar] [CrossRef]
  4. Chen, K. Intelligent Contactless Current Measurement for Overhead Transmission Lines. IEEE Trans. Smart Grid 2022, 13, 3028–3037. [Google Scholar] [CrossRef]
  5. Liu, X.; He, W.; Zhao, Y.; Guo, Y.; Xu, Z. Nonintrusive current sensing for multicore cables considering inclination with magnetic field measurement. IEEE Trans. Instrum. Meas. 2021, 70, 9513314. [Google Scholar] [CrossRef]
  6. Ji, S.; Xie, W.; Xiao, Y.; Lu, R.; Zhao, Z.; Sheng, C.; Yang, W. A compact DC-200 MHz hybrid current measurement approach for fast switching power semiconductor modules. IEEE Trans. Power Electron. 2025, 40, 2158–2169. [Google Scholar] [CrossRef]
  7. Su, H.; Li, H.; Liang, W.; Shen, C.; Xu, Z. Non-contact current measurement for three-phase rectangular busbars using TMR sensors. Sensors 2024, 24, 388. [Google Scholar] [CrossRef] [PubMed]
  8. Xu, X.P.; Liu, T.Z.; Zhu, M.; Wang, J.G. Nonintrusive installation of the TMR busbar DC current sensor. J. Sens. 2021, 2021, 8827131. [Google Scholar] [CrossRef]
  9. Ibrahim, M.E.; Abd-Elhady, A.M. Design and modeling of a two-winding Rogowski coil sensor for measuring three-phase currents of a motor fed through a three-core cable. IEEE Sens. J. 2021, 21, 8289–8296. [Google Scholar] [CrossRef]
  10. George, N.; Ripka, P.; Grim, V. C-shape busbar with frequency invariant points for wideband current measurement. IEEE Trans. Ind. Electron. 2024, 71, 6446–6456. [Google Scholar] [CrossRef]
  11. Fan, H.; Zhang, Z.; Huang, Q.; Liao, K.; Jing, S. Adaptive positioning current measurement method for multi-conductor system based on linear magnetic sensor array. Int. J. Electr. Power Energy Syst. 2023, 145, 108692. [Google Scholar] [CrossRef]
  12. Zhu, Q.; Geng, G.; Jiang, Q. Event-driven non-invasive multi-core cable current monitoring based on sensor array. IEEE Trans. Power Deliv. 2023, 38, 1548–1557. [Google Scholar] [CrossRef]
  13. Liu, X.; Ma, K.; Liu, J.; Zhao, W.; Peng, L.; Huang, S.; Li, S. A self-healing magnetic-array-type current sensor with data-driven identification of abnormal magnetic measurement units. IEEE Trans. Instrum. Meas. 2024, 73, 1008912. [Google Scholar] [CrossRef]
  14. Zapf, F.; Weiss, R.; Weigel, R. Crosstalk in elliptical sensor arrays for current measurement. IEEE Trans. Instrum. Meas. 2022, 71, 9002811. [Google Scholar] [CrossRef]
  15. Xu, X.P.; Wang, S.; Liu, T.Z.; Zhu, M.; Wang, J.G. TMR busbar current sensor with good frequency characteristics. IEEE Trans. Instrum. Meas. 2021, 70, 1504109. [Google Scholar] [CrossRef]
  16. Li, W.; Zhang, G.; Zhong, H.; Geng, Y. A wideband current transducer based on an array of magnetic field sensors for rectangular busbar current measurement. IEEE Trans. Instrum. Meas. 2021, 70, 9004511. [Google Scholar] [CrossRef]
  17. Zhu, K.; Pong, P.W.T. Fault classification of power distribution cables by detecting decaying DC components with magnetic sensing. IEEE Trans. Instrum. Meas. 2020, 69, 2016–2027. [Google Scholar] [CrossRef]
  18. Cai, D.; Zhou, X.; Khawaja, A.H.; Bamisile, O.; Li, J.; Hu, W.; Huang, Q. Optimal design of magnetic sensor arrays for tunnel transmission lines based on noncontact measurement and differential evolution method. IEEE Sens. J. 2023, 23, 25271–25280. [Google Scholar] [CrossRef]
  19. George, N.; Ripka, P. Rectangular busbar with circular sensing part for wideband current measurement. IEEE Trans. Instrum. Meas. 2023, 72, 9509008. [Google Scholar] [CrossRef]
  20. Weiss, R.; Zapf, F.; Skelly, A.; Weigel, R. Busbar current measurement with elliptical sensor arrays without conductor specific calibration. IEEE Trans. Instrum. Meas. 2021, 70, 1–9. [Google Scholar] [CrossRef]
  21. Guo, Q.; Fu, P.; Gao, G.; Jiang, L.; Wang, L.S.; Bai, Y.R. Rectangular magnetic sensor array for current measurement by the quadrature method. IEEE Trans. Plasma Sci. 2018, 46, 1227–1233. [Google Scholar] [CrossRef]
  22. Itzke, A.; Weiss, R.; Weigel, R. Influence of the conductor position on a circular array of Hall sensors for current measurement. IEEE Trans. Ind. Electron. 2019, 66, 580–585. [Google Scholar] [CrossRef]
  23. Ma, X.; Guo, Y.; Chen, X.; Xiang, Y.; Chen, K. Impact of coreless current transformer position on current measurement. IEEE Trans. Instrum. Meas. 2019, 68, 3801–3809. [Google Scholar] [CrossRef]
  24. Chen, K.L.; Chen, J.H. Contactless current measurement for suspended overhead lines using a magnetic field sensor array. IET Gener. Transm. Distrib. 2024, 18, 1360–1371. [Google Scholar] [CrossRef]
  25. Luo, R.; Qin, Y.; Zhou, Y.; Li, F.; Wang, R. Research on a current reconstruction method of multi-core cable based on surface magnetic field measurements. Prog. Electromagn. Res. M 2024, 127, 31–39. [Google Scholar] [CrossRef]
  26. Zhang, H.; Li, F.; Guo, H.; Yang, Z.; Yu, N. Current measurement with 3-D coreless TMR sensor array for inclined conductor. IEEE Sens. J. 2019, 19, 6684–6690. [Google Scholar] [CrossRef]
  27. Liu, X.; He, W.; Guo, P.; Xu, Z. A coreless current probe for multicore cables. IEEE Sens. J. 2022, 22, 19282–19292. [Google Scholar] [CrossRef]
  28. DRV425EVM. Available online: https://www.ti.com/product/DRV425EVM/part-details/DRV425EVM (accessed on 23 June 2025).
  29. DRV425. Available online: https://www.ti.com/product/DRV425 (accessed on 23 June 2025).
Figure 1. Illustration of the magnetic field generated by a DC rectangular busbar, symmetrically positioned with respect to the center of a rectangular magnetic field sensor array.
Figure 1. Illustration of the magnetic field generated by a DC rectangular busbar, symmetrically positioned with respect to the center of a rectangular magnetic field sensor array.
Energies 18 03606 g001
Figure 2. Illustration of the magnetic field generated by a DC rectangular busbar under eccentricity or rotation relative to a rectangular magnetic field sensor array.
Figure 2. Illustration of the magnetic field generated by a DC rectangular busbar under eccentricity or rotation relative to a rectangular magnetic field sensor array.
Energies 18 03606 g002
Figure 3. Illustration of the magnetic field generated by a DC rectangular busbar under eccentricity or rotation relative to a rectangular magnetic field sensor array, while geomagnetic interference is simultaneously considered.
Figure 3. Illustration of the magnetic field generated by a DC rectangular busbar under eccentricity or rotation relative to a rectangular magnetic field sensor array, while geomagnetic interference is simultaneously considered.
Energies 18 03606 g003
Figure 4. Calculated magnetic field using different analytical models for rectangular busbar.
Figure 4. Calculated magnetic field using different analytical models for rectangular busbar.
Energies 18 03606 g004
Figure 5. Current inversion results using rectangular current inversion model and line current inversion model.
Figure 5. Current inversion results using rectangular current inversion model and line current inversion model.
Energies 18 03606 g005
Figure 6. Schematic diagram of the proposed current measurement platform.
Figure 6. Schematic diagram of the proposed current measurement platform.
Energies 18 03606 g006
Figure 7. Designed magnetic sensor array.
Figure 7. Designed magnetic sensor array.
Energies 18 03606 g007
Figure 8. Current measurement platform.
Figure 8. Current measurement platform.
Energies 18 03606 g008
Figure 9. Magnetic field–current inversion errors when using all eight magnetic field sensors under different rectangular busbar installation positions. (a) Current measurement errors with geomagnetic field B 0 and direction angle β as optimization variables. (b) Current measurement errors with geomagnetic field B 0 and direction angle β set to zero.
Figure 9. Magnetic field–current inversion errors when using all eight magnetic field sensors under different rectangular busbar installation positions. (a) Current measurement errors with geomagnetic field B 0 and direction angle β as optimization variables. (b) Current measurement errors with geomagnetic field B 0 and direction angle β set to zero.
Energies 18 03606 g009
Figure 10. Magnetic field–current inversion errors when using different magnetic field sensor array structures under different rectangular busbar installation positions. (a) Current measurement errors with a magnetic field sensor array structure comprising S 1 , S 3 , S 4 , S 5 , S 6 , and S 7 . (b) Current measurement errors with a magnetic field sensor array structure comprising S 1 , S 3 , S 4 , S 5 , S 7 , and S 8 . (c) Current measurement errors with a magnetic field sensor array structure comprising S 2 , S 3 , S 4 , S 5 , S 6 , and S 7 . (d) Current measurement errors with a magnetic field sensor array structure comprising S 2 , S 3 , S 4 , S 6 , S 7 , and S 8 .
Figure 10. Magnetic field–current inversion errors when using different magnetic field sensor array structures under different rectangular busbar installation positions. (a) Current measurement errors with a magnetic field sensor array structure comprising S 1 , S 3 , S 4 , S 5 , S 6 , and S 7 . (b) Current measurement errors with a magnetic field sensor array structure comprising S 1 , S 3 , S 4 , S 5 , S 7 , and S 8 . (c) Current measurement errors with a magnetic field sensor array structure comprising S 2 , S 3 , S 4 , S 5 , S 6 , and S 7 . (d) Current measurement errors with a magnetic field sensor array structure comprising S 2 , S 3 , S 4 , S 6 , S 7 , and S 8 .
Energies 18 03606 g010
Table 1. A comparison of different non-contact current sensors.
Table 1. A comparison of different non-contact current sensors.
Current Sensor TypePrincipleAccuracy/%ComplexityCostFeatures
CTFaraday’s law (AC only)0.1–3Low–mediumLow–mediumLarge size, saturation risk
Hall sensorHall effect (AC/DC)0.2–3MediumLow–mediumSusceptible to temperature drift
Optical/Fiber sensorFaraday rotation (AC/DC)0.2–0.5HighHighExcellent isolation, no saturation
Rogowski coildi/dt measurement (AC only)0.5–3Medium–highMediumNo saturation, needs integrator
Zero-flux sensorClosed-loop Hall/Magnetometer (AC/DC)0.05–0.5HighHighLow temperature drift
Magnetic-array type current sensorMulti-point magnetic field to current mapping (AC/DC)1–5LowLowNo saturation, flexible design for complex conductor geometries (e.g., busbars, multicore cables)
Table 2. Simulation parameter settings.
Table 2. Simulation parameter settings.
ParameterValue
Eccentric position of rectangular busbar
( x 0 , y 0 )
(3, 2) mm
Rotation angle of rectangular busbar α π / 18
Magnitude of geomagnetic field B 0 0.5 G
Direction angle of geomagnetic field β 2 π / 3
Measured current I ( 2 10 ) A , step size: 2 A
Table 3. Parameters of three different positions denoted as Pos1, Pos2, and Pos3 of a rectangular busbar passing through a rectangular magnetic field sensor array.
Table 3. Parameters of three different positions denoted as Pos1, Pos2, and Pos3 of a rectangular busbar passing through a rectangular magnetic field sensor array.
ParameterPos1Pos2Pos3
Eccentric position
of rectangular
busbar ( x 0 , y 0 )
( 3 , 2 ) mm ( 4 , 0 ) mm ( 3 , 2 ) mm
Rotation angle of
rectangular
busbar  α
00 10
Disclaimer/Publisher’s Note: The statements, opinions and data contained in all publications are solely those of the individual author(s) and contributor(s) and not of MDPI and/or the editor(s). MDPI and/or the editor(s) disclaim responsibility for any injury to people or property resulting from any ideas, methods, instructions or products referred to in the content.

Share and Cite

MDPI and ACS Style

Liang, Q.; Xia, Z.; Ye, J.; Wu, Y.; Li, J.; Zhang, Z.; Liu, X.; Li, S. Non-Contact Current Measurement Method Based on Field-Source Inversion for DC Rectangular Busbars. Energies 2025, 18, 3606. https://doi.org/10.3390/en18143606

AMA Style

Liang Q, Xia Z, Ye J, Wu Y, Li J, Zhang Z, Liu X, Li S. Non-Contact Current Measurement Method Based on Field-Source Inversion for DC Rectangular Busbars. Energies. 2025; 18(14):3606. https://doi.org/10.3390/en18143606

Chicago/Turabian Style

Liang, Qishuai, Zhongchen Xia, Jiang Ye, Yufeng Wu, Jie Li, Zhao Zhang, Xiaohu Liu, and Shisong Li. 2025. "Non-Contact Current Measurement Method Based on Field-Source Inversion for DC Rectangular Busbars" Energies 18, no. 14: 3606. https://doi.org/10.3390/en18143606

APA Style

Liang, Q., Xia, Z., Ye, J., Wu, Y., Li, J., Zhang, Z., Liu, X., & Li, S. (2025). Non-Contact Current Measurement Method Based on Field-Source Inversion for DC Rectangular Busbars. Energies, 18(14), 3606. https://doi.org/10.3390/en18143606

Note that from the first issue of 2016, this journal uses article numbers instead of page numbers. See further details here.

Article Metrics

Back to TopTop