Research on the Operation Optimisation of Integrated Energy System Based on Multiple Thermal Inertia
Abstract
1. Introduction
- (1)
- The current research on thermal inertia focuses on electric and thermal systems; there is a lack of coordination between the grid and the thermal network, and only a single inertia of the thermal network system is considered, which affects the capacity of renewable energy consumption and the system operation economy.
- (2)
- The current research on multidimensional thermal inertia mainly relies on single-phase optimization, neglecting the research on day-ahead-intraday two-phase optimization, and only from the source, network, and load unilateral, which is not able to improve the energy efficiency as a whole.
- (3)
- Most of the existing comprehensive energy system operation optimization models consider economy and energy efficiency separately, and there is a lack of research into comprehensive consideration of the economy, environment and other multi-objectives. And although the existing multi-objective solution algorithms such as particle swarm and genetic algorithm have been applied in related fields, they still easily fall into the dilemma of local optimization and the difficulty of achieving rapid convergence.
- (1)
- This paper constructs an IES architecture system incorporating thermal inertia characteristics, develops mechanism modeling based on the thermal dynamic characteristics of the thermal system, and reveals the coupling response mechanism between the thermal network and the energy system.
- (2)
- This paper constructs an IES operation optimization model with multiple thermal inertia coupling, systematically analyzes the multi-dimensional thermal dynamic characteristics such as the heat transfer delay of the pipeline network and the thermal storage effect of buildings, and then designs a synergistic optimization strategy with day-ahead scheduling and intra-day correction.
- (3)
- This paper proposes a multi-timescale algorithm adaptation evaluation mechanism. Aiming at the differences in objective function characteristics and time constraints in different optimization phases, an intelligent preference system based on the algorithm performance feature library is constructed to realize the dynamic matching of optimization models and solution methods.
2. Integrated Energy System in China Considering Thermal Inertia and Its Description
2.1. Architecture of IES Considering Multiple Thermal Inertia
2.2. Model Construction
2.2.1. Load-Side Demand Response Modeling Considering Thermal Inertia
- Flexible characteristics of electric load [22]
- 2.
- Thermal load flexibility characteristics
2.2.2. Network Transmission Modeling Considering Thermal Inertia
2.2.3. Electrothermal Coupling Modeling Considering Thermal Inertia
- Thermal energy storage
- 2.
- GT
- 3.
- WHB
3. Operation Optimization Model of IES Based on Multi-Dimensional Thermal Inertia
3.1. Two-Stage Operation Optimization Strategy
3.2. Day-Ahead Optimization
3.2.1. Objective Function
- start-stop cost
- 2.
- Equipment operation and maintenance cost
- 3.
- Energy purchase cost
- 4.
- Penalty cost of abandoning wind power and photovoltaic power
- 5.
- Carbon emission cost
3.2.2. Constraint Condition
- Energy balance constraint
- 2.
- Equipment operation constraint
- Operation constraint of energy storage battery
- Operation constraint of heat storage tank
- 3.
- Operation constraint of heating network
- 4.
- Demand response constraint
- 5.
- User satisfaction constraint
3.3. Intra-Day Rolling Optimization
3.3.1. Objective Function
3.3.2. Constraint Condition
3.4. Construction and Selection of Model Base for Solving Algorithm
3.4.1. Construction of Algorithm Library and Stage Library
3.4.2. Adaptive Algorithm Evaluation System
- Convergence time. Refers to the time required for the algorithm to reach the preset convergence standard. The index is quantified by the time value, and the smaller the convergence time is, the higher the index score will be.
- Solving speed. Refers to the total time consumed by the algorithm from the beginning of execution to the conclusion. Quantify the index by time value, and the smaller the solution speed is, the higher the index score will be.
- The objective function value. Refers to the performance level of the objective function value output by the algorithm. The index is quantified by the minimum economic cost, and the smaller the economic cost is, the higher the index score will be.
- Stability. Refers to the characteristics that the output results of the algorithm can remain relatively stable without significant fluctuation or deviation when the input data change and parameters are fine-tuned. Quantify the index by the variance of the objective function value, and the smaller the variance is, the higher the index score will be.
3.4.3. Indicator Empowerment
3.4.4. Comprehensive Assessment
3.4.5. Solution Steps
- Input system parameters. Real-time load data, weather data, equipment status and historical data, and energy supply.
- Day-ahead scheduling optimization. Based on load forecasting and thermal inertia modeling results, the overall scheduling scheme for a long time period (such as one day) is formulated. Through the above optimization algorithm, a preliminary scheduling scheme is obtained, including the start-stop time of each item of equipment, the charging and discharging plan of the energy storage equipment, etc.
- Intra-day scheduling optimization. According to the new load data, climate change and equipment status, adjust the decision variables in the day-ahead scheduling scheme, dynamically adjust the output of energy storage equipment and electrothermal coupling equipment, optimize the scheduling strategy in real time, and compensate the time lag caused by thermal inertia.
- Update the scheduling strategy. Update the intra-day scheduling strategy based on the optimization results and adjust the charging and discharging mode of the thermal energy storage equipment and the working state of the electrothermal coupling equipment to the best state.
- Rolling optimization. Through continuous feedback and learning, further optimize the scheduling strategy and gradually reduce the lag effect of the system.
4. Example Analysis
4.1. Basic Data
4.2. Scenario Setting
4.3. Analysis of Operational Result
4.4. Analysis and Discussion
4.4.1. Economic Analysis
4.4.2. Carbon Emission Analysis
4.4.3. Performance Analysis of Algorithm
5. Conclusions
- (1)
- This paper constructs an IES architecture system that integrates thermal inertia characteristics. By mining the thermal inertia of energy conversion, energy transmission, energy demand side, and other aspects, complementary mutual aid and flexible scheduling between heterogeneous energy sources of IES are realized.
- (2)
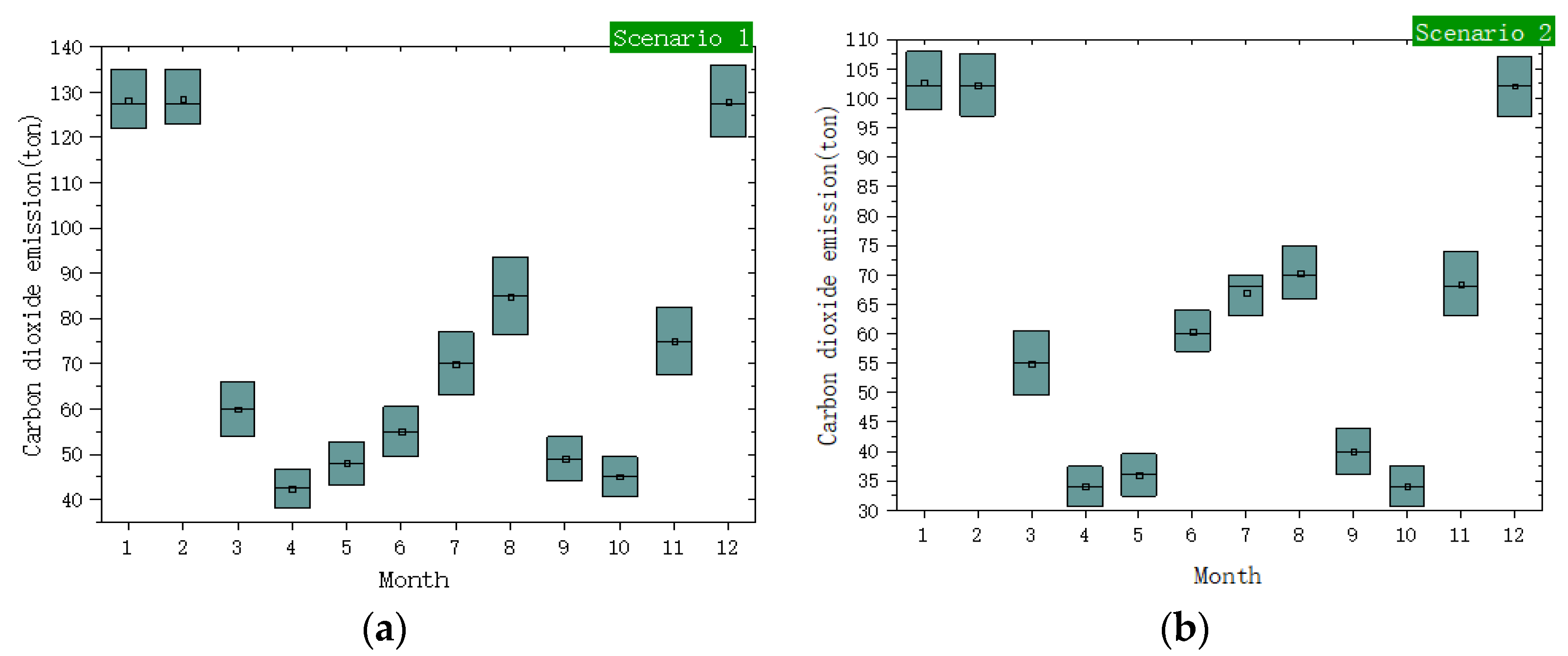
- In this paper, an IES operation optimization model with multiple thermal inertia coupling is constructed, and the synergistic optimization strategy of day-ahead scheduling and intra-day correction is designed. The simulation is carried out by comparing scenarios, and the power purchase cost of Scenario 1 is CN¥ 3766.54 and that of Scenario 2 is CN¥ 3013.26, which is a reduction of 20% in power purchase cost, while the annual carbon emission of Scenario 2 is 15.3% less than that of Scenario 1. It effectively improves the operation economy and environmental protection of IES.
- (3)
- This paper constructs an intelligent optimization system based on the algorithm performance feature library. GA is used in the day-ahead phase, which can provide higher accuracy and stronger stability; PSO is used in the intraday phase, which can quickly find the near-optimal solution and complete the optimization in a short time.
- (1)
- The paper puts forward an integrated energy system optimization method based on multiple thermal inertia, but its verification is mainly based on a single typical scenario, lacking a comprehensive analysis of the application effect in different regions or seasons. This may limit the wide applicability of the model in other practical conditions.
- (2)
- In the paper, the operation stability of the system under extreme weather conditions (such as severe cold or a high temperature) and the reliability of the optimization strategy are not deeply discussed, and the research should be more in line with the actual scene requirements.
- (3)
- Furthermore, in the paper, some simplified assumptions are adopted when constructing the multiple thermal inertia model, such as ignoring the influence of some external factors on the dynamic response of the system. This may lead to a reduction in the optimization accuracy of the model in the face of complex multivariable environments in practical application, which limits the universality of the model.
Author Contributions
Funding
Data Availability Statement
Conflicts of Interest
Nomenclature
| Symbol | |||
| the elasticity index of electricity price | the electricity consumption before the price-based demand response | ||
| the change in the response process | the difference between the electricity price before the price-based demand response | ||
| the difference between the electricity price after the price-based demand response | the elastic coefficient matrix of load electricity price | ||
| self-elastic coefficient | mutual elastic coefficient | ||
| , | the change in electricity price during the period | , | the change in electricity price after the response |
| the electric load transfer after the time-of-use price is implemented | the electric load consumption in peak periods before the time-of-use price is implemented | ||
| the electric load consumption in average periods before the time-of-use price is implemented | the electric load consumption in valley periods before the time-of-use price is implemented | ||
| the fixed electricity price in the traditional mode | the difference between the fixed electricity price in the traditional mode and the electricity price in peak periods | ||
| the difference between the fixed electricity price in the traditional mode and the electricity price in flat periods | the difference between the fixed electricity price in the traditional mode and the electricity price in valley periods | ||
| the calling cost of price-based demand response | the price difference before and after the time-sharing response under the time-sharing price. | ||
| the calling cost of incentive-based demand response | the unit capacity cost of incentive demand response | ||
| U | the total number of users | S | the total number of stages |
| the response capacity of the user | the unit cost of response power in S | ||
| the response electric quantity of the user u in the s stage of the incentive demand response | the backwater temperature of the pipe network during the period t | ||
| the backwater temperature of the pipe network during the period | the water supply temperature of the pipe network during the period | ||
| the outdoor temperature of the pipe network during the period | the indoor temperature of the building during the period t. | ||
| the order of ARMA time series model | the thermal inertia parameters of the heating system under order | ||
| the thermal inertia parameters of the heating system under order | the thermal inertia parameters of the heating system under order | ||
| the thermal inertia parameters of the heating system under order | the thermal inertia parameters of the heating system under order | ||
| the thermal inertia parameters of the heating system under order | the instantaneous temperature inside the building | ||
| the specific heat capacity of indoor air (J/kg·°C) | Indoor temperatures | ||
| outdoor temperatures | the temperature of the building wall | ||
| the thermal resistance between indoor and outdoor air | the thermal resistance between the building wall and the indoor air | ||
| the thermal resistance between the building wall and the outdoor air | the heat released by the radiator | ||
| the equivalent heating area of the building | the total area of central heating area | ||
| the incidence matrix of heating network nodes and pipelines | the pipeline flow matrix | ||
| the flow of people injected into the node | the correlation matrix of pipes in hot water pipe network relative to a heating ring network | ||
| the loss equation | the pressure loss matrix in the heating ring network | ||
| a coefficient vector | the friction coefficient | ||
| the pipe length | the pipe diameter | ||
| the acceleration of gravity | the density of water | ||
| time delay | mass flow rate of the pipeline a | ||
| the mass flow rate of the pipeline b | the outdoor air temperature | ||
| the first section temperature of the pipeline | the end temperature of the pipeline | ||
| the specific heat capacity of water | the length of the pipeline | ||
| the inner diameter of the pipeline | the temperature loss coefficient | ||
| the hot water transmission delay of the pipeline | the heat transfer efficiency per unit length of the pipeline | ||
| the thermal storage capacity at the moment t | the absorption indicating the time t | ||
| the heat release power indicating the time t | the maximum heat storage capacity of the heat storage device | ||
| the maximum heat storage power | the maximum heat release power | ||
| the efficiency of gas turbine in producing various energy sources | the efficiency of gas turbine in producing various energy sources | ||
| the efficiency of gas turbine in producing various energy sources | the efficiency of gas turbine in producing various energy sources | ||
| the ratio of exhaust gas regeneration | linearization coefficients of energy efficiency characteristics | ||
| linearization coefficients of energy efficiency characteristics | the outputs heat of waste heat boiler | ||
| the mass flow of gas passing through the waste heat boiler | the specific enthalpies of gas at the inlet of the waste heat boiler | ||
| the specific enthalpies of gas at the outlet of the waste heat boiler | the thermal efficiency of waste heat boiler | ||
| the total running cost | the start-stop cost of each group | ||
| the equipment operation and maintenance cost | the energy purchase cost | ||
| the penalty cost of abandoning wind power and photovoltaic power | the carbon emission cost | ||
| the start-stop cost of equipment i in the time t | the one-time start-stop cost of equipment i in the system | ||
| the start-stop state of the equipment in the time t | the total number of devices | ||
| the total number of periods in the whole operation cycle of the system | the unit operation and maintenance cost of the equipment | ||
| the output power of the equipment i in the time t | the costs of purchasing electricity from the power grid for the time period system | ||
| the costs of purchasing heat from the heating network for the time period system | the costs of purchasing gas from the grid for the time period system | ||
| the prices of electricity purchased by the system from the market | the prices of heat purchased by the system from the market | ||
| the price of gas purchased by the system from the market | the exchange power of electricity exchange between the system and the power grid during the time period | ||
| the exchange power of electricity exchange between the system and the heat exchange with the heating network during the time period | the exchange power of electricity exchange between the system and gas exchange with the gas grid during the time period | ||
| the predicted power generation of wind power in the time period system | the predicted power generation of photovoltaic in the time period system | ||
| the actual generation power of wind power in the time t | the actual generation power of photovoltaic in the time t | ||
| the penalty coefficient of the system for abandoning wind | the penalty coefficient of the system for abandoning light | ||
| the carbon emission quota of the system | the carbon emission quota for purchasing electricity for superiors | ||
| the carbon emission allowance for gas turbines | power purchased for the higher grid | ||
| the carbon emission quota of gas turbine | the carbon emission quota per unit electricity purchased by the superior | ||
| the carbon emission quota per unit heat of gas turbine | actual carbon emission of the IES | ||
| the actual carbon emission of superior power purchase at time t | the actual carbon emission of the gas turbine at time t | ||
| the carbon emission coefficient of electricity purchased by the superior | the carbon emission coefficient of gas turbine | ||
| the market price of carbon trading | the output of gas turbine at time t | ||
| the output of fan at time t | the output of photovoltaic at time t | ||
| the discharge of the energy storage battery at time t | the charging power of the energy storage battery at time t | ||
| the actual output value of electric | the actual output value of heat load | ||
| the electric output prediction error | the thermal load output prediction error | ||
| the output of waste heat boiler at time t | the heat release of the heat storage tank at time t | ||
| the charging power of the heat storage tank at time t | the low calorific value of natural gas | ||
| the natural gas volume consumed by the gas turbine at time t | the lower limit of equipment i output | ||
| upper limit of output for equipment | the on-off state of the equipment at any moment | ||
| the minimum storage capacity of the battery | the maximum storage capacity of the battery | ||
| the maximum charging power of the battery | the minimum discharge power of the battery | ||
| the minimum heat storage capacity of the heat storage tank | the maximum heat storage capacity of the heat storage tank | ||
| the maximum heating power of the heat storage tank | the minimum heat release power of the heat storage tank | ||
| the collection of pipes flowing into the same node | the collection of pipes flowing out of the same node | ||
| the hot water quality flow in the J-section pipeline | the inlet temperature of the heating network node at any moment t | ||
| the outlet temperature of the heating network node at any moment t | the upper limits of hot water injection temperature of heat network nodes | ||
| the lower limits of hot water injection temperature of heat network nodes | upper limit values of hot water outflow temperature of heat network nodes | ||
| lower limit values of hot water outflow temperature of heat network nodes | the electricity response of the user in response to the incentive demand. | ||
| the thermal resistance of clothing | the comfortable human skin temperature | ||
| indoor temperature | the upper limits of room temperature | ||
| the lower limits of room temperature | the valve stage of energy equipment | ||
| the maximum total energy that can be supplied by the rural comprehensive energy heating system after the failure of energy equipment | the maximum total energy that can be supplied by the rural comprehensive energy heating system | ||
| the value of the price-based demand response at time t in the previous stage | time t can replace the value of electric load demand response in the previous stage | ||
| the value of the demand response of gas load at time t in the previous stage can be replaced | start-up state of the gas turbine at time t in the previous stage | ||
| start-up state of the gas boiler at time t in the previous stage | the value of gas turbine power generation at time in the intraday stage | ||
| the thermal output of waste heat boiler at moment | the value of the load demand response at time that can be reduced at time | ||
| the combined weight of the index | the initial weight obtained for AHP | ||
| the modified weight of entropy weight method | correction coefficient for AHP weight | ||
| the comprehensive evaluation score of the algorithm | the score of the algorithm under the index | ||
| Abbreviation | |||
| IES | integrated energy system | PV | photovoltaic |
| WT | wind power | ESB | energy storage battery |
| TES | thermal energy storage | GT | gas turbine |
| WHB | waste heat boiler | PDR | Price-based Demand Response |
| IDR | Incentive-based Demand Response | ||
| ARMA | Autoregressive Moving Average Model | VLEE | the valve level of energy equipment |
| AHP | Analytic Hierarchy Process | CCHP | combined cooling, heating, and power supply |
| HP | heat pump | NG | Natural Gas |
| GA | Genetic Algorithm | PSO | Particle Swarm Optimization |
| ACO | Ant Colony Optimization | SA | Simulated Annealing Algorithm |
| TS | Tabu Search | ||
References
- Tang, B.-J.; Cao, X.-L.; Li, R.; Xiang, Z.-B.; Zhang, S. Economic and low-carbon planning for interconnected integrated energy systems considering emerging technologies and future development trends. Energy 2024, 302, 131850. [Google Scholar] [CrossRef]
- Wang, M.; Zhang, B.; Su, B.; Wang, M.; Lv, B.; Zhao, Q.; Gao, H. An multi-timescale optimization strategy for integrated energy system considering source load uncertainties. Energy Rep. 2024, 12, 5083–5095. [Google Scholar] [CrossRef]
- Chen, J.; Bie, H.; Wang, J.; Sun, B. Optimization Operation Method for Hydrogen-compressed Natural Gas-Integrated Energy Systems Considering Hydrogen-Thermal Multi-Energy Inertia. Results Eng. 2024, 25, 103652. [Google Scholar] [CrossRef]
- Zhang, J.; Kong, X.; Shen, J.; Sun, L. Day-ahead optimal scheduling of a standalone solar-wind-gas based integrated energy system with and without considering thermal inertia and user comfort. J. Energy Storage 2023, 57, 106187. [Google Scholar] [CrossRef]
- Wang, Q.; Miao, C.; Tang, Y. Power shortage support strategies considering unified gas-thermal inertia in an integrated energy system. Appl. Energy 2022, 328, 120229. [Google Scholar] [CrossRef]
- Li, Y.; Wang, C.; Li, G.; Wang, J.; Zhao, D.; Chen, C. Improving operational flexibility of integrated energy system with uncertain renewable generations considering thermal inertia of buildings. Energy Convers. Manag. 2020, 207, 112526. [Google Scholar] [CrossRef]
- Li, S.; Zhang, J.; He, Y.; Lv, G.; Liu, Y.; Hu, X.; Wang, Z.; Ao, X. Two-Stage capacity allocation optimization method for user-level integrated energy systems considering user satisfaction and thermal inertia. Glob. Energy Interconnect. 2025, 8, 300–315. [Google Scholar] [CrossRef]
- Sun, P.; Teng, Y.; Chen, Z. Robust coordinated optimization for multi-energy systems based on multiple thermal inertia numerical simulation and uncertainty analysis. Appl. Energy 2021, 296, 116982. [Google Scholar] [CrossRef]
- Wang, D.; Zhi, Y.Q.; Jia, H.J.; Hou, K.; Zhang, S.X.; Du, W.; Wang, X.D.; Fan, M.H. Optimal scheduling strategy of district integrated heat and power system with wind power and multiple energy stations considering thermal inertia of buildings under different heating regulation modes. Appl. Energy 2019, 240, 341–358. [Google Scholar] [CrossRef]
- Zhang, Z.; Chen, Y.; Ma, J.; Zhao, D.; Qian, M.; Li, D.; Wang, D.; Zhao, L.; Zhou, M. Stochastic optimal dispatch of combined heat and power integrated AA-CAES power station considering thermal inertia of DHN. Int. J. Electr. Power Energy Syst. 2022, 141, 108151. [Google Scholar] [CrossRef]
- Sun, H.; Cui, Q.; Wen, J.; Kou, L. Optimization and scheduling scheme of park-integrated energy system based on multi-objective Beluga Whale Algorithm. Energy Rep. 2024, 11, 6186–6198. [Google Scholar] [CrossRef]
- Luo, Y.; Yang, S.; Niu, C.; Hua, Z.; Zhang, S. A multi-objective dual dynamic genetic algorithm-based approach for thermoelectric optimization of integrated urban energy systems. Energy Rep. 2024, 12, 4175–4183. [Google Scholar] [CrossRef]
- Xu, X.-F.; Wang, K.; Ma, W.-H.; Wu, C.-L.; Huang, X.-R.; Ma, Z.-X.; Li, Z.-H. Multi-objective particle swarm optimization algorithm based on multi-strategy improvement for hybrid energy storage optimization configuration. Renew. Energy 2024, 223, 120086. [Google Scholar] [CrossRef]
- Wang, Y.; Guo, L.; Ma, Y.; Han, X.; Xing, J.; Miao, W.; Wang, H. Study on operation optimization of decentralized integrated energy system in northern rural areas based on multi-objective. Energy Rep. 2022, 8, 3063–3084. [Google Scholar] [CrossRef]
- Mazouzi, A.; Hadroug, N.; Alayed, W.; Hafaifa, A.; Iratni, A.; Kouzou, A. Comprehensive optimization of fuzzy logic-based energy management system for fuel-cell hybrid electric vehicle using genetic algorithm. Int. J. Hydrog. Energy 2024, 81, 889–905. [Google Scholar] [CrossRef]
- Zhang, G.; Chen, H.; Yang, L.; Gao, J.; Ji, B.; Li, L. Multi-objective optimization of an integrated energy system with shared energy storage. J. Build. Eng. 2025, 111, 113176. [Google Scholar] [CrossRef]
- Su, Z.; Zheng, G.; Wang, G.; Mu, Y.; Fu, J.; Li, P. Multi-objective optimal planning study of integrated regional energy system considering source-load forecasting uncertainty. Energy 2025, 319, 134861. [Google Scholar] [CrossRef]
- Shafiei, K.; Seifi, A.; Hagh, M.T. A novel multi-objective optimization approach for resilience enhancement considering integrated energy systems with renewable energy, energy storage, energy sharing, and demand-side management. J. Energy Storage 2025, 115, 115966. [Google Scholar] [CrossRef]
- Liu, S.; Han, S.; Tian, J.; Rong, N. A multi-objective optimization scheduling approach of integrated energy system considering the exergy efficiency using the variable step-size approximation method. Energy 2024, 311, 133370. [Google Scholar] [CrossRef]
- Wu, K.; Jiang, M.; Huang, Y.; Dai, Z.; Wang, X.; Duan, Z.; Wang, Y.; Li, G. Optimization of multi-objective capacity allocation and performance analysis for integrated energy systems considering hydrogen storage. Energy 2025, 325, 136160. [Google Scholar] [CrossRef]
- Li, Y.; Hu, W.; Zhang, F.; Li, Y. Multi-objective collaborative operation optimization of park-level integrated energy system clusters considering green power forecasting and trading. Energy 2025, 319, 135055. [Google Scholar] [CrossRef]
- Kansal, G.; Tiwari, R. Elasticity modelling of price-based demand response programs considering customer’s different behavioural patterns. Sustain. Energy Grids Netw. 2023, 36, 101244. [Google Scholar] [CrossRef]
- Wang, Y.; Li, Y.; Zhang, Y.; Xu, M.; Li, D. Optimized operation of integrated energy systems accounting for synergistic electricity and heat demand response under heat load flexibility. Appl. Therm. Eng. 2024, 243, 122640. [Google Scholar] [CrossRef]














| Ref | Multiple Thermal Inertia | Objectives | Solution Algorithm | Effect of Solving | |
|---|---|---|---|---|---|
| Econ. | Env. | ||||
| [1] | × | √ | × | Improved Nash Bargaining Model | / |
| [2] | × | √ | × | Intraday Multi-timescale Rolling Optimization | / |
| [3] | √ | √ | √ | HCNG-IES with HTMEI | Reduced running costs by 34.79% and CO2 by 32.93% |
| [4] | √ | √ | × | CPLEX | / |
| [5] | × | √ | × | YALMIP Toolbox in MATLAB | / |
| [6] | × | √ | × | IEEE 30-bus System | / |
| [7] | × | √ | √ | Two-stage Capacity Optimization Allocation | / |
| [8] | √ | √ | × | Robust Coordinated optimization Approach | Reduced running costs by 16.3% |
| [9] | × | √ | × | DHN with Multiple Heat Sources | Reduced running costs by 17.4% |
| [10] | × | √ | × | Stochastic Optimal Scheduling | / |
| [11] | × | √ | √ | NSBWO | / |
| [12] | × | √ | √ | A Coupled Dynamic Genetic Algorithm | Unit energy consumption reduction rate of about 22.97% |
| [13] | × | √ | √ | CMOPSO-MSI | / |
| [14] | × | √ | √ | NSGA-II | / |
| [15] | × | √ | × | GA | / |
| [16] | × | √ | × | Multi-objective Osprey Optimization Algorithm | Reduced running costs by 21% |
| [17] | × | √ | √ | Non-dominated Sorting Genetic Algorithm | Total annual cost reduction of USD 1.46 million and carbon dioxide emissions reduction of 16.9% |
| [18] | × | √ | √ | Gravity Search Algorithm | / |
| [19] | × | √ | √ | A Variable Step-size Approximation Method | Reduction in solution time by 97% |
| [20] | × | × | √ | Non-dominated Sorting Genetic Algorithm II | Carbon emissions and grid interaction power were reduced by 3.35% and 19.08% |
| [21] | × | √ | √ | Multi-objective Scheduling Model and Solution Algorithm | Consolidated costs were reduced by 24.76% |
| [22] | × | × | √ | APEM and SPEM | Provide maximum peak curtailment of 15% and 10.2% |
| [23] | × | √ | √ | Technique for Order Preference by Similarity to an Ideal Solution (TOPSIS) | Save costs by 8.27% and 6.8%, reduce carbon emissions by 3.23% and 2.06%. |
| This paper | √ | √ | √ | An Intelligent Adaptive Solving Method Based on Time Scale-Model Library | The cost of purchasing electricity has been reduced by 20% and CO2 by 15.3% |
| Serial Number | Equipment Type | Operating Cost (USD/kW) | Energy Efficiency (%) |
|---|---|---|---|
| A | WT | 18 | 99 |
| B | PV | 7 | 100 |
| C | CCHP | 11 | 75.61 |
| D | HP | 2.92 | 35.23 |
| E | ESB | 3.12 | 95 |
| F | TES | 2.98 | 75 |
| Type | Prices (¥/kWh‚ ¥/m3) | ||
|---|---|---|---|
| Valley Time 0:00~6:00 18:00~24:00 | Smooth Time 6:00~10:00 15:00~18:00 | Peak Time 10:00~15:00 | |
| Power Purchase Price | 0.5522 | 0.8185 | 1.2035 |
| Electricity Sales Prices | 0.65 | 0.65 | 0.65 |
| Natural Gas Prices | 3.16 | ||
| Upper Level-Day Ahead | Lower Level-Intra Day | Whether Thermal Inertia Is Considered | Equipment | |||
|---|---|---|---|---|---|---|
| Optimization Objective | Solving Algorithm | Optimization Objective | Solving Algorithm | |||
| Scenario 1 | Lowest total | Adaptive solution algorithm- | Lowest total | Adaptive solution algorithm | No | PV, WT, CCHP, HP, ESB, TES |
| Scenario 2 | Operating cost | Algorithm library | Operating cost, Highest reliability | Algorithm library | Yes | PV, WT, CCHP, HP, ESB, TES |
| Running Costs/RMB | Wind Power Consumption/% | Photovoltaic Consumption/% | |
|---|---|---|---|
| Scenario 1 | 25,645.6 | 88.2 | 91.2 |
| Scenario 2 | 22,879.8 | 90.6 | 93.3 |
Disclaimer/Publisher’s Note: The statements, opinions and data contained in all publications are solely those of the individual author(s) and contributor(s) and not of MDPI and/or the editor(s). MDPI and/or the editor(s) disclaim responsibility for any injury to people or property resulting from any ideas, methods, instructions or products referred to in the content. |
© 2025 by the authors. Licensee MDPI, Basel, Switzerland. This article is an open access article distributed under the terms and conditions of the Creative Commons Attribution (CC BY) license (https://creativecommons.org/licenses/by/4.0/).
Share and Cite
Zhi, H.; Zhang, M.; Chang, X.; Fan, R.; Li, H.; Gao, L.; Song, J. Research on the Operation Optimisation of Integrated Energy System Based on Multiple Thermal Inertia. Energies 2025, 18, 3500. https://doi.org/10.3390/en18133500
Zhi H, Zhang M, Chang X, Fan R, Li H, Gao L, Song J. Research on the Operation Optimisation of Integrated Energy System Based on Multiple Thermal Inertia. Energies. 2025; 18(13):3500. https://doi.org/10.3390/en18133500
Chicago/Turabian StyleZhi, Huiqiang, Min Zhang, Xiao Chang, Rui Fan, Huipeng Li, Le Gao, and Jinge Song. 2025. "Research on the Operation Optimisation of Integrated Energy System Based on Multiple Thermal Inertia" Energies 18, no. 13: 3500. https://doi.org/10.3390/en18133500
APA StyleZhi, H., Zhang, M., Chang, X., Fan, R., Li, H., Gao, L., & Song, J. (2025). Research on the Operation Optimisation of Integrated Energy System Based on Multiple Thermal Inertia. Energies, 18(13), 3500. https://doi.org/10.3390/en18133500
