Next Article in Journal
Intelligent Management of Renewable Energy Communities: An MLaaS Framework with RL-Based Decision Making
Previous Article in Journal
Comparative Life Cycle Analysis for Duct Air Conditioning Systems Based on Evaporative and Vapor Compression Technologies
 
 
Font Type:
Arial Georgia Verdana
Font Size:
Aa Aa Aa
Line Spacing:
Column Width:
Background:
Article

Electromechanical Model and Transient Behaviors of Power Systems

1
School of Electrical Engineering, Zhejiang University, Hangzhou 310058, China
2
State Grid Shanxi Electric Power Research Institute, Taiyuan 030001, China
*
Author to whom correspondence should be addressed.
Energies 2025, 18(13), 3476; https://doi.org/10.3390/en18133476
Submission received: 25 May 2025 / Revised: 20 June 2025 / Accepted: 25 June 2025 / Published: 1 July 2025

Abstract

A large-scale power system is often represented by a set of differential-algebraic equations, so-called electromechanical models. In this paper, it is shown that these models can have several analytical properties, which can be exploited to help the study of power system dynamics. These analytical properties, associated with the complete power system model and subsystem models, are described in detail. The implications of such analytical properties are also examined.

1. Introduction

The investigation of large-disturbance stability in power systems has a long history, spanning nearly a century. It is considered one of the core notions in the science of power system analysis. Utility engineers perform large-disturbance stability analysis on a routine basis. When performing operation studies, a utility engineer often comes up with four questions. Is the power system under study stable? Why is the system stable? How far away is the current system from being unstable? And how can one improve the stability margin of the system? The first question is usually answered using a computational approach, while the rest of the questions should be better addressed using an analytical approach.
Several methods are available in the literature, namely, the time-domain simulation method [1,2], direct methods [3], functional approximation methods [4], asymptotic expansion methods [5], etc. The focus of this work is not to look into the details of these methods; rather, the goal is to examine the analytical properties of power system models. It is assumed that the findings could be useful in developing new analytical methods and enhancing the understanding of power system dynamics.
While many methods have been developed to support the above-mentioned routine operations tasks, for the time being, the time-domain simulation method is the most widely accepted method in the industry. The drawback of the traditional time-domain simulation method is that it does not offer much insight into complex power system behavior. On the other hand, the topological configurations of power systems worldwide have become more and more complex in recent years. These two facts continue to remind us that there is a strong interest in developing analytical methods for stability analysis.
In large-disturbance stability studies, the power system under study is often represented by a set of nonlinear differential-algebraic equations, so-called electromechanical models. It was recently found by the authors that these models can be viewed as a nonlinear interconnected system which is composed of several subsystems that are functionally similar [6]. This decomposition–aggregation perspective allows one to better appreciate the analytical properties of power system models and opens up a new avenue for research. For instance, it was found in [6] that power flows during a transient are mainly affected by rotor subsystems, and the impact of the reactive power loop is less significant.
In fact, there are other means to accomplish model decomposition, for example, singular perturbation [7,8] and regular perturbation [9]. It was only in recent years that such analytical properties of power system models, profound in nature, began to attract attention. Many questions arise immediately: Do the subsystems obtained using a decomposition strategy have special properties? How do their properties relate to the overall transient behavior of power systems? Answers to the above questions are scattered in the literature; in this work, we consolidate some of the recent results into a single source.
While the focus of the present work is on the analytical aspects of power system transients, the fundamental significance of computational theory in power systems should not be underestimated. The power of the computational approach lies in its unique capacity to model complex system dynamics such as discontinuities, saturation, limits, etc. These are mathematical complications that are not easily treated using state-of-the-art analytical approaches. Therefore, the analytical and computational aspects of power system transients should be understood as the two building blocks of modern power system analysis; they are mutually indispensable.
The rest of this paper is organized as follows. Section 2 provides a taxonomy of the usual stability questions encountered in engineering studies, Section 3 examines the analytical properties of the complete model of power systems, Section 4 studies the analytical properties of the subsystems of power system models, and Section 5 concludes this study.

2. Stability Analysis Problems

Roughly speaking, the subject of power system transient analysis includes four building blocks, as summarized in Figure 1 below. It is well-known that an electromagnetic transient model precisely describes the physics of a power system, while an electromechanical model represents an approximation of the physics. In recent years, electromagnetic transient analysis has gained more and more attention due to the frequent occurrence of fast electromagnetic phenomena in systems with a high penetration of renewable energies [10]. Despite this, electromechanical transient analysis is still considered effective and efficient in the study of large-scale power system transients. In this work, we only focus on electromechanical transients.
As is well-known, power system electromechanical transients are governed by a set of differential-algebraic equations (DAEs), which can be written as follows [1]:
x ˙ = f ( x , y , V ) ,   x ( 0 ) = x 0 g ( x , y , V ) = 0 I ( x , V ) = Y V
Here, x denotes state variables such as rotor angles, etc.; y represents an auxiliary variable vector such as d-axis and q-axis currents; V denotes network voltage phasors; I ( x , V ) denotes current injections; and Y denotes a network admittance matrix.
Efficient numerical methods are available for computing solutions to the above initial value problem, and the readers are referred to (for example) [1,2,11] for details. For convenience, Appendix A. provides a flowchart of the computational procedure. The main interest of this research is on the analytical aspects of the above system, a topic that received far less attention in the past.
The models and parameters of a power system under study can change, either intentionally or inevitably. Most often, utility engineers are interested in understanding voltage transient, as some parameters or models vary. As will become clear, transient analysis is largely concerned about how state vector x changes, as system parameters and models change. The model aspect of transient analysis includes four classes of questions, depending upon where the varying factors present.
A Class A question seeks to understand how a power system transient is affected as the parameters of controllers change. A familiar example is the investigation of the impact of the gains of fast excitation control. The model of such problems is stated as follows:
δ ˙ = ω 0 ( ω 1 ) M ω ˙ = P M E q I q ( X q X q ) I d I q T d 0 E ˙ q = E f d E q ( X d X d ) I d T A E ˙ f d = K A ( V ref | V G | ) E f d
X q I q + j ( E q X d I d ) = e j ( δ π / 2 ) V G
Y GG V G + Y GL V L = E q e j δ . / ( j X d ) Y LG V G + Y LL V L = S ¯ L . / V ¯ L
When studying the problem, we assume that the gain vector K A takes different values, and understand that the power flow of the system remains constant, so mechanical powers P M and generator voltage references V ref remain constant, and so are the initial values of δ , ω and E q . In the above model, (3) represents the set of interface equations, while (4) represents the set of network equations.
A Class A problem appears to be simpler compared to Class B, C, and D problems to be described subsequently. However, some of the problems in Class A can still be extremely challenging, for example, the impact of control saturation on system transient [12,13].
A Class B problem often reads as follows: what is the impact of commissioning/decommissioning a power system stabilizer? Figure 2 shows the control block diagram of a first-order power system stabilizer.
Formally, we are interested in knowing the impact of a power system stabilizer model on the overall performance of the system. The complete model of the system with a stabilizer is as follows, where the last set of equations represents the dynamics of stabilizers (interface and network equations are omitted):
δ ˙ = ω 0 ( ω 1 ) M ω ˙ = P M E q I q ( X q X d ) I d I q T d 0 E ˙ q = E f d E q ( X d X d ) I d T A E ˙ f d = K A ( V ref | V G | ) E f d x ˙ P S S = f P S S ( δ , ω , E q )
Obviously, including stabilizer models increases the order of the system model. This hints that a Class B problem is in general more difficult than a Class A problem. Here, we also understand that the power flow of the system remains constant.
It is perhaps meaningful to give more examples of Class B problems. The first concerns a study on the impact of over-excitation limiters and on-line tap changers. They are not modeled in traditional simulations; however, in order to understand long-term voltage instability, they should be included in the simulation [14]. The second example concerns a study on phase-locked-loops (Figure 3 below), which have a significant impact on system performance at the 10 millisecond time-scale [15]; they are often not modeled in electromechanical transient studies.
A Class C problem asks how the continuous variations in operating conditions, such as mechanical power P M and V r e f profile, affect stability. The problem looks as follows (again, interface and network equations are omitted):
δ ˙ = ω 0 ( ω 1 ) M ω ˙ = P M E q I q ( X q X d ) I d I q T d 0 E ˙ q = E f d E q ( X d X d ) I d T A E ˙ f d = K A ( V ref | V G | ) E f d
Here, the order of the state space model of the power system does not change while power flow changes. This indicates that the initial values of the state variables δ, ω, and E q also change accordingly. An example of such problems, sometimes known as preventive control, concerns the study of the impact of increasing the power flow across a major transmission path. See reference [16] for some early efforts attempting to answer such questions. It is sometimes helpful to view the above problem from the perspective of optimization; see [17,18,19]. There are alternative parametric analysis methods in the literature; see reference [4] for a survey on the so-called polynomial approximation method.
The Class D problems are most complicated. Here, one desires to investigate the impact of the connection/disconnection of important electrical elements (for example, a converter, see Figure 4) on system transients. Clearly, when addressing this class of questions, both the expressions and order of the system model can change, and so does the power flow.
In summary, a power system transient analysis can present a hierarchy of progressively difficult engineering questions [20]. Historically, Class A and Class B problems have attracted extensive and intensive research, while much less is known about Class C and Class D challenges.

3. Properties of the Complete System

This section reviews and studies the properties of the complete system model of power systems.

3.1. Multi-Stage Property

Figure 5 below shows the control block diagram of a somewhat simplified WECC photovoltaic generator model [21]. It should be noted that plant models are not included here, partly because plant controls are typically slower, and partly because we intend to build a simplified PV model. Lookup tables VDL1 and VDL2 are designed to allow for a maximum output of reactive current and to limit active current (usually being zero or half the nominal current); they are not included either.
To gain some flavor of the multi-stage property, let us suppose a photovoltaic generator is integrated to a system that experiences a fault electrically close to the photovoltaic generator terminal bus. The response of the generator usually involves three stages; see Figure 6 below. The figure demonstrates that the dynamics of a photovoltaic generator develops in three stages, namely, fault-on stage, recovery stages, and normal operation stage.
In the fault-on stage, the terminal voltage Vt is lower than the threshold Vdip. Here, Vdip is set to 0.9 pu. The Dynamic Voltage Support function is activated, and it injects extra reactive current Iqinj into the grid [22]. At this stage, the generator keeps outputting high reactive current and lower active current.
In the recovery stage, the terminal voltage Vt returns to normal value, and the active current recovers under ramp rate limit rrpwr [23]. Here, typically, rrpwr = 100%/s. The reactive current recovers immediately, and the Dynamic Voltage Support control is de-activated.
During normal operations, Vt > Vdip, so the generator assumes constant P-Q control, and the active and reactive controllers are modeled as 1/(1 + sTpord) and 1/(1 + sTiq), respectively.
The response of the photovoltaic generators mentioned above is rather typical. When a power system under stable operation experiences a disturbance, such as three-phase-to-ground fault, it enters a period of transient, which typically develops in three stages, as Figure 7 shows. This is mainly dictated, as will become clear later, by the behaviors of renewable resources and HVDC systems.
In the fault-on stage, the fault persists and, after (say) 0.1 s, it becomes cleared. During this period, the voltage at the faulty substation drops to zero, and the voltage level in nearby substations is also very low. Because of the presence of a low-voltage profile, synchronous machines output extremely high currents, nevertheless remaining connected to the bulk of the system. Renewable energy units nearby should assume the so-called Low-Voltage-Ride-Through (LVRT) control logic, outputting typically higher reactive power currents and lower active power currents. During this stage, HVDC links can experience either commutation failures or blockings, depending on the distance between the faulty substation and HVDC converters. The system in fault-on stage can be represented as follows:
x ˙ = f F ( x , V ) ,   x ( 0 ) = x 0 g F ( x , V ) = 0 I ( x , V ) = Y F V
In the recovery stage, usually the voltage profile of the system becomes normal. However, synchronous machines can not immediately return to stable operation; rather, they tend to swing against each other, introducing line flow oscillations. The swings of machines generally expand the second and the third stage. At this stage, renewable energy units can keep operating under the recovery control logic for less than some 0.8 s. HVDC links, operating under recovery control logic, take about 0.02 s to return back to stable operation. The model of the system during recovery stage is different from that of the fault-on stage, and it can be written as:
x ˙ = f R ( x , y , V ) ,   x ( t R ) = x R g R ( x , y , V ) = 0 I R ( x , V ) = Y R V
The last stage expands a period of approximately 5~30 s. For a long-term voltage stability problem, not to be addressed in this text, this stage can last up to 5–10 min. During this transient period, synchronous machines slowly return to steady-state operation, while renewable energy units and HVDC links quickly stabilize and assume normal power control. Finally, the model of the system during the after-fault stage can be expressed as follows:
x ˙ = f P F ( x , y , V ) ,   x ( t P F ) = x P F g P F ( x , y , V ) = 0 I ( x , V ) = Y P F V
Reference [3] offers a detailed account of the properties of multi-state behaviors of power systems.

3.2. DAE Properties

In the previous sub-section, it is seen that during each stage, the model of a power system is represented by a set of differential-algebraic equations. In this sub-section, we study the properties of such models.
The dynamics of a power system during each stage mentioned in previous sub-section can be re-written as follows:
x ˙ = f ( x , y ) 0 = g ( x , y ) ,
Let Jalg = ∂g/∂y be the Jacobian matrix of network equations g(x, y), and define the singular surface in state space, as follows:
S = ( x , y ) det J alg = 0 , g ( x , y ) = 0 .
Then, the quasi-stability boundary A ¯ of (10) can be stated as follows [24]:
A ¯ = i W S ( z i ) j ( S A ¯ ) ¯ ,
where zi denotes an unstable equilibrium point of (10), and WS(zi) is the corresponding stable manifold. Roughly speaking, the above fundamental result states that the degree of singularity of Jalg can be viewed as a short-term voltage stability margin.
To proceed, consider now an N-bus power network interconnected with m synchronous machines and n constant power injections. Let V be the network voltage vector, I be the current injection vector, and Y be the nodal admittance matrix. The set of network equations can be partitioned as follows:
Y GG Y GC Y CG Y CC V G V C = I G I C ,
where the subscripts G and C correspond to synchronous machine nodes and constant power nodes, respectively. Notice that current injections IG can be expressed as follows:
I G = jdiag X d 1 E V G ,
where diag(∙) represents a diagonal matrix; V denotes the complex conjugate of V; X d denotes the vector of d-axis transient reactance; and E = E e j δ is the vector of generator internal voltages, with the constant magnitudes E and the rotor angles δ. The current injections IC are calculated as follows:
I C = diag V C 1 S C ,
where SC = PC + jQC. Here, the negative entries in PC represent active power loads, and the positive entries represent constant power generations.
The Jacobian matrix of the above set of network equations can be computed as follows:
J alg = g p V x g p V y g q V x g q V y ,
where
g p V x = diag I x + diag V y B + diag V x G g p V y = diag I y diag V x B + diag V y G g q V x = diag I y diag V x B + diag V y G g q V y = diag I x diag V y B diag V x G .
It is interesting to observe that since Ix and Iy are significantly smaller than the diagonal entries of B′, as a result, Jalg often has an equal amount of positive and negative eigenvalues (see Figure 8).
The property of the Jacobian matrix described above makes it very convenient when assessing voltage stability margins. Readers are referred to [25] for details.

3.3. Two Time-Scale Property

First, we briefly review the theory of singular perturbation [26]. Consider the following two time-scale system:
x ˙ = f ( x , z ) ,   x ( 0 ) = x 0 ε z ˙ = g ( x , z ) ,   z ( 0 ) = z 0
where ε is a small positive parameter and ε < < 1 . Here, x n denotes the set of slow variables and z m denotes fast variables.
The reduced system corresponding to (18) is represented as follows:
x ˙ = f ( x , z ) ,   x ( 0 ) = x 0 0 = g ( x , z )
For convenience, let us take ( x _ ( t ) , z _ ( t ) ) as the solution of the above system.
Let z ^ = z z _ , performing a transformation τ = t / ε , and let ε = 0 . We obtain the so-called boundary layer system:
d z ^ d τ = g ( x _ 0 , z _ 0 + z ^ ) ,   z ^ ( 0 ) = z 0 z _ 0
A fundament result of singular perturbation theory states that, under mild conditions, for t [ 0 , T ] , there is
x ( t ) = x _ ( t ) + o ( ε ) z ( t ) = z _ ( t ) + z ^ ( t / ε ) + o ( ε )
Figure 9 shows the curves of x(t) and z(t) when parameter ε takes different values.
Now, let us proceed to show the application of the above theory to over-voltage analysis in power systems. Figure 10 shows the diagram of a HVDC tie. The notations adopted in the diagram are standard, and the readers are referred to (say) [27] for reference. The simulation results described in the section were obtained using a Matlab code written by the authors.
The electro-mechanical model of a HVDC tie is as follows:
V d c R = k R V D C R cos α X c R I d c ,   V d c I = k I V D C I cos β + X c I I d c P d c R = V d c R I d c ,         P d c I = V d c I I d c cos φ R = V d c R / ( k R V D C R ) , cos φ I = V d c I / ( k I V D C I ) Q d c R = P d c R tan φ R ,   Q d c I = P d c I tan φ I
The transmission line is represented by the following:
L d I ˙ d c = V d c R V d c I R d I d c
It is appropriate to assume that the inverter dynamics of the second HVDC tie is not significantly affected after the blocking of the first HVDC tie. Hence, the state equations of the HVDC system are obtained as follows:
T v p V ˙ d c R m e s = V d c R V d c R m e s T I d c m e s I ˙ d c m e s = I d c I d c m e s T I d R x ˙ 1 = P r e f / V d c R m e s I d c m e s α = π x 1 k I d R ( P r e f / V d c R m e s I d c m e s )
In subsequent analysis, synchronous machines are represented by a third-order transient model with a first-order excitation system, as follows:
δ ˙ = ω 0 ( ω 1 ) 2 H ω ˙ = P M E q i q D ( ω 1 ) T d o E ˙ q = E f d E q ( X d X d ) i d T A E ˙ f d = E f d + K A ( V r e f V G )  
where V G is the complex terminal voltage. In addition, we have the following:
i d + j i q = I G e j ( π / 2 δ ) ,   I G = j ( E q e j δ V G ) / X d
Loads are modelled as complex constant powers, and they are denoted by vector S L , with S ¯ L being its conjugate. The set of network equations are as follows:
Y G G Y G D C Y G L Y D C G Y D C Y D C L Y L G Y L D C Y L L V G V D C V L = j E q e j δ . / X d S ¯ D C . / V ¯ D C S ¯ L . / V ¯ L
where V DC denotes the AC bus voltage of converters, S D C denotes the apparent power injection of converters, and V L denotes the bus voltage vector.
For convenience, let S D T = [ S D C T   S L T ] ; likewise, we have V D T = [ V D C T   V L T ] . Now, the set of network equations is re-formulated as follows:
Y G G Y G D Y D G Y D D V G V D = j E q e j δ . / X d S ¯ D . / V ¯ D
The key to simplifying HVDC analysis during over-voltage stages is that the typical time constants of the system models (22)–(25) differentiate in order of magnitude:
T A , T I d c m e s , T I d R , L d < < H , T d 0 , T v p
This suggests the following:
x = [ δ T , ω T , E q T , V d c R m e s T ] T ,   z = [ I d c T , I d c m e s T , x 1 T , E f T ] T
Apparently, the slow subsystem mostly includes the variables of synchronous machines, while the fast subsystem mainly includes the variables of HVDC current control. According to the standard theory of singular perturbation [26], the HVDC tie model reduces to:
V d c R V d c I R d I d c = 0 , I d c I d c m e s = 0 , P r e f / V d c R m e s I d c m e s = 0 , T v p V ˙ d c R m e s = V d c R V d c R m e s
From the first equation above, one has V d c R = V d c I + R d I d c , using the converter relationship V d c I = k I V D C I cos β + X c I I d c from Equation (31), we obtain:
T v p V ˙ d c R m e s = k I V D C I cos β + ( R d + X c I ) P r e f V d c R m e s V d c R m e s
It is interesting to observe that the above equation is completely decoupled. Since k I V D C I cos β is assumed to be constant, thus the blocking of HVDC tie does not affect the solution of the equation. Let V d c R m e s 0 be the solution obtained from power flow, we have:
V d c R m e s ( t ) = V d c R m e s 0
This immediately suggests: V d c R and I d c , thus P d c R = V d c R I d c , remain constant on the slow system trajectory. In addition, the reactive power consumption of a rectifier can be treated as a voltage-dependent reactive load.
In summary, the original fourth order HVDC model is simplified as the following static load:
P d c R = V d c R 0 I d c 0 = P d c R 0 ,   Q d c R = I d c 0 ( k R V D C R ) 2 V d c R 0 2
In the excitation model presented in (25), let T A = 0 , one obtains E f d = K A ( V r e f V G ) = 0 , this suggests that the AC system can be reduced to:
δ ˙ = ω 0 ( ω 1 ) 2 H ω ˙ = P M E q i q D ( ω 1 ) T d o E ˙ q = K A ( V r e f V G ) E q ( X d X d ) i d
Equation (34), together with the algebraic Equations (28) and (33) constitute a reduced-order model for the original systems. Compared with the original model, the above model is much simpler and behave very much like a linear system, so it is not difficult to obtain analytical solutions for it, see [7] for details.
To end this section, it is noted that there are several other forms of two time-scale properties in power systems models, they can be equally useful. Because of space limitation, they are not covered in this work.

3.4. Weakly Nonlinear Property

The classic model of power systems can be expressed as:
δ ˙ i = ω 0 ω i M i ω ˙ i = P O i 1 n a i j sin ( δ i j α i j ) D i ω i ,
where i = 1, …, n, n denotes the number of generators, PO denotes the mechanical power of synchronous machines or active power reference value of renewable energy units, and:
a i j = | E i E j Y i j | ,   α i j = arctan ( B i j / G i j ) π / 2 ,
where E denotes the potential after the transient reactance of the synchronous machine or the internal voltage of the converter, Y denotes the Kron-reduced admittance matrix, G and B denote the real and imaginary parts of Y.
Consider now a nonlinear system:
x ˙ = f ( t , x , ε ) ,   x ( t 0 ) = η ( ε ) ,
where f is sufficiently smooth in its arguments over a domain D. The utility of the perturbation methods is to exploit the smallness of the perturbation parameter ε to construct approximate solutions.
To apply the method, notice that:
sin x = x x 3 / 6 + o ( x 3 ) .
Neglecting the higher order terms in (38) and considering 1/6 as a small parameter ε , then Equation (35) is equivalent to:
δ ˙ i = ω 0 ω i M i ω ˙ i = P O i 1 n a i j ( δ i j α i j ε ( δ i j α i j ) 3 ) D i ω i .
Moving the equilibrium point to the origin, the above system is simplified as:
y ˙ i = ω 0 ω i ω ˙ i = P O i M i 1 M i 1 n a i j ( y i j + ς i j ε ( y i j + ς i j ) 3 ) D i M i ω i
where
y i = δ i δ ¯ i ,   ς i j = δ ¯ i j α i j ,
And δ ¯ i denotes the equilibrium point. Simplifying the expansion of the above formula to get:
y ˙ i = ω 0 ω i ω ˙ i = P O i M i 1 M i 1 n a i j ( ς i j ε ς i j 3 ) 1 M i 1 n a 1 , i j y i j     + ε M i 1 n a 2 , i j y i j 2 + 1 n a 3 , i j y i j 3 = P O e q i 1 M i 1 n a 1 , i j y i j + ε M i k = 2 3 j = 1 n a k , i j y i j k
where
a 1 , i j = a i j 0.5 a i j ς i j 2 ,     a 2 , i j = 3 a i j ς i j ,     a 3 , i j = a i j .
Assuming POeqi = 0, (42) can be re-written in the matrix form as:
y ˙ = ω 0 ω ω ˙ = A 1 y + ε F ( y ) , x ˙ = A x + ε F ( x )
where A1 and A denote the linear part, F denotes the nonlinear part. Introducing a linear transformation x = Uz, we get:
z ˙ = U 1 A U z + ε U 1 F ( z ) = Λ z + ε U 1 F ( z ) ,
where U and Λ denote the right eigenvector matrix and the diagonal matrix formed by the eigenvalues of the A. Let the solution of (45) have the following asymptotic expansion:
z = z 0 + ε z 1 + H . O . T . .
where H.O.T. stands for higher order terms.
Substituting (46) into (45), and comparing the coefficients of on both sides of the equation, one obtains:
z ˙ 0 = Λ z 0 z ˙ 1 = Λ z 1 + U 1 F ( z 0 ) .
The above system can be solved based on the method of variation of constant as:
z 0 ( t ) = e Λ t U 0 z 1 ( t ) = e Λ t V 0 + e Λ t t 0 t e Λ s V 1 F ( e Λ s U 0 ) d s
where U0 and V0 denote constant vectors. Hence, the first-order approximation of the solution of the initial value problem (45) can be obtained as:
z ( t ) = z 0 ( t ) + ε z 1 ( t ) = e Λ t ( U 0 + ε V 0 + ε t 0 t e Λ s U 1 F ( e Λ s U 0 ) d s ) .
The solution of the original system is therefore obtained as:
x ( t ) = x 0 ( t ) + ε x 1 ( t ) = U z 0 ( t ) + ε U z 1 ( t ) .
It can be seen from (50) that the solution of the system is equal to the superposition of the linear part and the nonlinear part. When the independent variable of the sine function, that is, the power angle of each generator set does not swing a significantly, the linear solution can describe the dynamic motion of the system accurately. Quite often the disconnection of generator output or load does not have a great impact on the generator power angles, so that the linear model can be used for frequency stability analysis [9]. Furthermore, if the system trajectory is stable, it is still possible to obtain approximate solution using Equation (50).

3.5. Interconnection Property

In this sub-section we review a decomposition-aggregation strategy that was discovered recently by the authors [6]. The notion of decomposition-aggregation had been proposed in (say) [28,29,30,31], the goal was to reduce computational effort. This traditional strategy proceeds by dividing a large-scale system into smaller control areas. This is not the subject of this research. In our work [6], we revisited this divide-and-conquer paradigm, presenting a very different implementation strategy: decomposing the original system model based on the dynamic character of the subsystems. It is found that this new strategy allows one to look into the analytical properties of a power system model from a new perspective.
To proceed, let the synchronous machines assume the well-known one-axis model and the exciter assume a first-order model, the complete model of the system are expressed as (see reference [1] for the derivation of this well-known model):
δ ˙ = ω 0 ( ω 1 ) 2 H ω ˙ = P m I q E q ( X q X d ) ( I d I q ) T d 0 E ˙ q = E f d E q ( X d X d ) I d T A E ˙ f d = K A ( V ref | V G | ) E f d
To establish network equations, let us denote YGG, YGL, YLG, YLL as the submatrices of the admittance matrix. Further, let diagonal matrix YL represent loads, we have:
Y GG V G + Y GL V L = j X d 1 e j δ E q j 0.5 ( X q 1 X d 1 ) e j 2 δ V ¯ G Y LG V G + Y LL V L = Y L V L
To simplify the analysis, let us assume X′d = X′q. Since network voltages VL can be explicitly solved, one obtains [32]:
I d = ( G sin δ Δ B cos δ Δ ) K d E q = K d E q I q = ( G cos δ Δ + B sin δ Δ ) K q E q = K q E q
δ Δ = δ 1 δ 1 δ 1 δ n δ n δ 1 δ n δ n
In the above equations, G, B denote the real and imaginary parts of the reduced-order network admittance matrix, respectively.
As a result one obtains a set of pure ordinary differential equations as:
δ ˙ = ω 0 ( ω 1 ) 2 H ω ˙ = P m K q E q E q D ω T d 0 E ˙ q = E f d E q ( X d X d ) K d E q T A E ˙ f d = K A V ref E f d K A | V G |
In general it is not a trivial task to study the properties of dynamic model (53). To gain insights into it, a decomposition-aggregation strategy has been suggested in [6]. Consider the rotor dynamics subsystem:
δ ˙ = ω 0 ( ω 1 ) 2 H   ω ˙ = P m K q E q E q D ω
Let us temporarily fix q-axis transient voltage E′q, then the rotor subsystem can be regarded as a Kuramoto model with E′q as an input. Similarly, the rotor angle δ can be viewed as the input to the following subsystem:
T d 0 E ˙ q = E f d E q ( X d X d ) K d E q T A E ˙ f d = K A V ref E f d K A | V G |
It is interesting to observe that, the above voltage subsystem can be further decomposed into E′q subsystem and Efd subsystem. The readers are referred to [6,33,34,35] for details.
The above observations dictates that the dynamic model (53) exhibits a feedforward-feedback control structure, as depicted in Figure 11. The natures of the feedforward and feedback subsystems are distinctly different. This decomposition-aggregation strategy helps one to understand the dynamic behavior of power systems.
Naturally, one asks, what stability properties does the closed-loop system possess? Reference [6] provides some partial answers to this question. It should be noted that the property described in this section still holds true even if synchronous machines are represented by more complex salient models, see [6] for details.

3.6. Switched System Property

The model of a virtual synchronous machine (VSM) converter is quite similar to that of a synchronous machine, see [36,37,38,39]. When the grid experiences a severe fault, a VSM converter could activate a transient current limiting logic. This is an inherent characteristic that many power electronic devices possess, while traditional synchronous machines do not. Figure 12 below shows the model of such systems.
The model of the system immediately suggests that the behavior of such power systems involve switching, as Figure 13 demonstrates.

3.7. Augmented Synchronization Property

It was recently found that power system models often possess the so-called augmented synchronization. In a nutshell, the theory states that, under mild conditions, if the voltage of a power system converges, then the complete system is stable. The readers are directed to [40] for details about this insightful discovery.
We end this section by summarizing the properties described in this section as follows. The multi-stage property of power systems is very common, especially if a power system is disturbed by a three-phase-to-ground fault. The DAE and two-time-scale properties are also fundamental, virtually any realistic large-scale power system models have such properties. While the DAE properties increases the complexity in stability analysis, the two-time-scale property helps relieve the burden. Weakly nonlinear property is useful when studying frequency dynamics, it can also be useful in studying commutation failures. The interconnection property is less known, and it is most useful in understanding the role of subsystems. Switched system property is least understood, and it is attracting more and more research interests in recent years. Finally, augmented synchronization property reveals the fundamental synchronization problem in large-scale power systems and its implications can be far reaching.

4. Properties of the Subsystems

This section reviews the properties of the subsystems that were obtained using the decomposition strategies described in Section 3.

4.1. Properties of the Rotor Subsystem

In what follows, we briefly review the relevant properties of the rotor subsystem.
Let Y = G + j B and α i j = Y i j π / 2 . Introducing K i j = E q i E q j Y i j and Ω i j = P m i D i ω ref E q i E q j G i j , we obtain an alternative formulation of the subsystem:
2 H i δ ¨ i + D i δ ˙ i / ω ref = Ω i + j = 1 , j i n K i j sin ( δ j δ i + α i j )
There exists extensive literature on the stability margin estimation of the above system; see, for instance [3]. The analytical expression of the stability region boundaries of the above system is addressed in [41].
Recently, it was found that there is striking similarity between the above model and the much studied Kuramoto model. A recent result, central in modern Kuramoto regime, is the following explicit formula for the estimation of stability region [42]:
L sin Θ c > Θ ( Ω )
where L and Θ ( Ω ) are explicitly defined in terms of system parameters. See [43] and references therein for some further results with similar flavor, and reference [44] for the development of an approach based on sum-of-square.

4.2. Properties of the Voltage Control Subsystem

Let us now re-write the voltage control subsystem (57) as follows:
T d 0 E ˙ q T A E ˙ f d = K V I n 0 I n E q E f d + 0 K A ( V ref h ( E q ) )
where hi (∙) denotes a nonlinear function with h / E q 0 ; see [6] for more properties of the function.
One of the most interesting properties of (60) is that the Jacobian matrix J of the above subsystem exhibits a stable sign pattern. Taking the Jacobian matrix of the voltage subsystem of the 3-machine test system as an example, we obtain the following:
sgn ( J ) = sgn E ˙ q E q E ˙ q E f d E ˙ f d E q E ˙ f d E f d = + + + 0 0 + + 0 + 0 + + 0 0 + 0 0 0 0 0 0
where sgn(∙) denotes the sign result; the symbol ‘+’ (‘−’, ‘0’) indicates that the entry is non-negative (non-positive, zero).
The sign pattern shown above illustrates that each entry of the Jacobian matrix is sign stable, indicating robust and well-behaved interactions among state variables. For instance, a rise in one transient voltage will elevate all the other transient voltages but reduce all excitation voltages. Additionally, all negative diagonal entries are conducive to the stability of the voltage dynamics.
The sign pattern of the Jacobian matrix J can be further probed as follows. One can easily construct the following augmented system to analyze voltage stability:
T d 0 E ˙ q + T A E ˙ f d + T d 0 E ˙ q T A E ˙ f d = K V I n 0 0 0 I n 0 0 0 0 K V I n 0 0 0 I n E q + E f d + E q E f d + 0 K A ( V ref h ( E q ) ) 0 K A ( V ref h ( E q + ) )
It is shown in [6] that an explicit estimate of stability region can be derived from the above augmented system.
Furthermore, the voltage subsystem can be decomposed into two monotone input–output control systems, as depicted below:
T d 0 E ˙ q = K V E q + u 1 u 1 = y 2 = E f d y 1 = E q
T A E ˙ f d = E f d + K A [ V ref +   h   ( u 2 ) ]   h   ( u 2 ) = h ( u 2 ) u 2 = y 1 = E q y 2 = E f d
It appears that the E′q subsystem and Efd subsystem exhibit the so-called static input-state characteristic, indicating monotonic changes in steady state with respect to the inputs [34,45]. A nice consequence of this fact is that one can conclude the asymptotic stability of the equilibrium of the above system in a constructive manner. The readers are directed to [46,47] for more discussions on the study of the voltage control subsystem.

4.3. Quasi-Linear Property of the Rectifier Model During Commutation Failures

When studying commutation failure, the mathematical model of the rectifier control system during commutation failure can be summarized as follows:
T I d c m e s I ˙ d c m e s = I d c I d c m e s , T V D C O L V ˙ d c I m e s = V d c I V d c I m e s T I d R x ˙ I d = I o r d I d c m e s ,   α = π [ x I d + k I d R ( I o r d I d c m e s ) ] V d c o = V d c I m e s + R d / 2 I d c m e s ,   I o r d = f V D C O L ( V d c o )
where TIdcmes is the time constant of the DC current measurement module. TVDCOL is the time constant of the DC voltage measurement module at the inverter side. As VdcI will drop to zero during a commutation failure, the time constant corresponding to the fall stage in VDCOL is chosen as TVDCOL. The meanings of the other variables can be found in [8].
Synchronous machines are represented by the same model as described in the previous sections. The network equation of the AC-DC system is as follows:
Y G G Y G D C Y D C G Y D C V G V c o m R = j X d 1 ( E q e j δ V G ) I c o m R
where YGG, YDC, YGDC, and YDCG represent the submatrices of the network admittance matrix with respect to generator nodes and commutation bus. IcomR is the nodal injecting current of the rectifier commutation bus.
Again, as described in the previous sections, one can divide the complete AC-DC system into the fast subsystem, consisting of mainly HVDC state variables { I d c , I d c m e s , V d c Im e s , x I d , E f d } , and the slow subsystem, consisting of the variables of machines, such as { δ , ω , E q } .
For the slow time-scale part of DC current I _ d c , due to VDCOL limits, it is regulated to the minimum current order in the fast equilibrium manifold, as follows:
I _ d c = I _ o r d = Y 1
As a result, the DC current can be approximated by I d c I _ d c + I ^ d c = Y 1 + I ^ d c , indicating that the fast time-scale part of DC current I ^ d c is the only variable determining the actual dynamic DC current response.
The above arguments show that one only needs to examine the reduced-order fast subsystem to investigate the dynamics of DC current.
Now, let us proceed to simplify the set of network equations. Eliminating the generator nodes with Kron reduction, it follows that
I c o m R = j X d 1 Y D C G Y G G 1 E q e j δ + Y D C V c o m R
where Y G G = Y G G j X d 1 , Y D C = Y D C Y D C G Y G G - 1 Y G D C . Let Z e q = Y D C - 1 be the equivalent impedance of the AC system at rectifier node. Let E e q = j X d 1 Z e q Y D C G Y G G - 1 E q e j δ be the equivalent AC voltage source. Under the fast time-scale, E e q is viewed as a constant variable because the slow state variables E q and δ are fixed to their respective initial states. Substituting the expressions of Zeq and Eeq into (68), one obtains the following:
E e q + Z e q I c o m R = V c o m R
During a commutation failure, the DC power drops rapidly. As a result, the rectifier behaves more like a reactive load with the power factor angle reaching about 90 degrees. Notice that I c o m R = k R I d c , and the above discussion suggests that
V c o m R E e q cos ( θ E θ V ) E D C Z e q k R sin θ Z k D C I d c
where θ E , θ V , θ Z are the phase of equivalent voltage sources of the AC grid, the phase of rectifier bus voltage, and the phase of the equivalent impedance, respectively.
Notice that I _ d c = I _ d c m e s = Y 1 ; it follows I ^ d c = I d c Y 1 ,   I ^ d c m e s = I d c m e s Y 1 . Finally, we obtain the decoupled fast subsystem as follows:
L d d I d c d τ = k R ( E D C k D C I d c ) cos α ( X c R + R d ) I d c , T I d c m e s d I d c m e s d τ = I d c I d c m e s ,   T V D C O L d V d c I m e s d τ = V d c I m e s , T I d R d x ^ I d d τ = I o r d I d c , α = π [ x ^ I d + x _ I d 0 + k I d R ( I o r d I d c m e s ) ] .
where L d = L d / ε is scaled, so are the other integral constants.
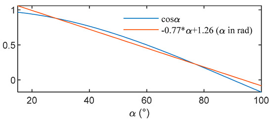
In fast subsystems (71), the range of α is [15°,100°]. Within this range, cosine function can be approximated by a linear function as cos α k 1 α + b , with k 1 = 0.77 , b = 1.26. A similar linearization method has been applied in [48], and the linear fitting result is shown in Figure 14.
Notice that k D C is generally a small parameter, which is typically smaller than 0.3. Let σ = k D C , substituting k 1 α + b into (71); one obtains a weakly nonlinear system for approximating the DC current. A simple approach to obtaining an analytical solution for this weakly nonlinear system is described in [8], based on the standard theory of regular perturbation.

5. Conclusions

Depending on the system conditions, a power system can exhibit highly complex and diverse behaviors during transient periods. In this work, we demonstrate such behaviors using MATLAB simulation tools developed by the authors. We summarize and investigate the analytical properties of power system models, aiming to establish a connection between these complex behaviors and the underlying mathematical representations. Notably, several analytical tools—inspired by a divide-and-conquer strategy—prove both available and effective for understanding transient dynamics in power systems. We believe that further research in this direction will yield valuable and insightful results.

Author Contributions

Conceptualization, X.C. and D.G.; methodology, X.C. and D.G.; software, X.C. and D.G.; validation, X.C.; formal analysis, X.C. and D.G.; investigation, X.C. and D.G.; resources, X.C. and D.G.; data curation, X.C.; writing—original draft preparation, X.C. and D.G.; writing—review and editing, D.G.; visualization, X.C.; supervision, D.G.; project administration, X.C.; funding acquisition, D.G. All authors have read and agreed to the published version of the manuscript.

Funding

This research was funded by the State Grid Shanxi Provincial Company [520530240026].

Data Availability Statement

The data presented in this study are available on request from the corresponding author.

Conflicts of Interest

Author Xueting Cheng was employed by the company State Grid Shanxi Electric Power Research Institute. The remaining author declares that the research was conducted in the absence of any commercial or financial relationships that could be construed as a potential conflict of interest.

Appendix A. MATLAB Implementation

The majority of the results described in this work were obtained using a computer simulation program developed by the authors. For convenience, the flowchart of the simulation program, implemented under MATLAB environment (without SIMULINK), is provided in Figure A1 below. The readers are referred to [1,2] for more details on the implementation. Power flow is calculated using MATPOWER (https://matpower.org/, accessed on 24 May 2025) [49].
Figure A1. Flowchart of the MATLAB R2023a implementation of the simulation program.
Figure A1. Flowchart of the MATLAB R2023a implementation of the simulation program.
Energies 18 03476 g0a1

References

  1. Sauer, P.W.; Pai, M.A.; Chow, J. Power System Dynamics and Stability—With Synchrophasor Measurement and Power System Toolbox; John Wiley & Sons Ltd.: Hoboken, NJ, USA, 2018. [Google Scholar]
  2. Arrillaga, J.; Arnold, C.P.; Harker, B.J. Computer Modeling of Power Systems; John Wiley & Sons: London, UK, 1983. [Google Scholar]
  3. Chiang, H.-D. Direct Methods for Stability Analysis of Electric Power Systems: Theoretical Foundation, BCU Methodologies, and Applications; John Wiley & Sons: Hoboken, NJ, USA, 2011. [Google Scholar]
  4. Shen, D.; Wu, H.; Xia, B.; Gan, D. Polynomial Chaos Expansion and Its Applications in Complicated Systems with Uncertain Parameters: A Review. IEEE Syst. J. 2020, 14, 4500–4514. [Google Scholar] [CrossRef]
  5. Wu, F.; Wu, H.; Han, Z.; Gan, D. Validation of Power System Nonlinear Modal Analysis Methods. Electr. Power Syst. Res. 2007, 77, 1418–1424. [Google Scholar] [CrossRef]
  6. Chen, M.; Hao, W.; Gan, D. An improved decomposition-aggregation strategy for analyzing power systems stability. Int. J. Electr. Power Energy Syst. 2025, 168, 110728. [Google Scholar] [CrossRef]
  7. Liao, S.; Li, Z.; Gan, D. A Study on Transient Overvoltage Caused by HVDC Tie Blocking in Multi-Rectifier Systems. Int. J. Electr. Power Energy Syst. 2023, 153, 109402. [Google Scholar] [CrossRef]
  8. Liao, S.; Gan, D.; Shi, Z. A study on HVDC overcurrent during commutation failure. IEEE Trans. On Power Deliv. 2024, 39, 1963–1974. [Google Scholar] [CrossRef]
  9. Li, Z.; Li, J.; Gan, D. An Analytical Approach for Power System Frequency Stability Evaluation. IET Proc. Gener. Transm. Distrib. 2024, 18, 2732–2745. [Google Scholar] [CrossRef]
  10. Hatziargyriou, N.; Milanovic, J.; Rahmann, C.; Ajjarapu, V.T.; Canizares, C.; Erlich, I.; Hill, D.; Hiskens, I.; Kamwa, I.; Pal, B.; et al. Definition and classification of power system stability—Revisited & extended. IEEE Trans. Power Syst. 2021, 36, 3271–3281. [Google Scholar]
  11. Stott, B. Power system dynamic response calculations. Proc. IEEE 1979, 67, 2. [Google Scholar] [CrossRef]
  12. Li, Y.; Tang, Y.; Lu, Y.; Hua, F.; Du, Z. Synchronization stability of grid-connected VSC with limits of PLL. IEEE Trans. Power Syst. 2023, 38, 4. [Google Scholar] [CrossRef]
  13. Xing, G.; Chen, L.; Min, Y.; Tang, Y.; Li, Y.; Xu, S. Effects of PLL Frequency Limiters on Synchronization Stability of Grid Connected VSC and Strategy to realize global stability. IEEE Trans Energy Convers. 2024, 38, 2096–2107. [Google Scholar] [CrossRef]
  14. Gao, B.; Morison, G.K.; Kundur, P. Towards the development of a systematic approach for voltage stability assessment of large-scale power systems. IEEE Trans Power Syst. 1996, 11, 3. [Google Scholar] [CrossRef]
  15. Li, Z.; Li, J.; Gan, D.; Wang, Z. Stability Analysis of PLL-type Grid-connected Converter Based on The Perturbation Method. IEEE. Trans. Power Deliv. 2024, 39, 1151–1161. [Google Scholar] [CrossRef]
  16. Xue, Y.; Van Cutsem, T.; Ribbens-Pavella, M. Real-time Analytic Sensitivity Method for Transient Security Assessment and Preventive Control. IEE Proc.—Gener. Transm. Distrib. 1988, 135, 107–117. [Google Scholar] [CrossRef]
  17. Gan, D.; Thomas, R.J.; Zimmerman, R.D. Stability-Constrained Optimal Power Flow. IEEE Trans. Power Syst. 2000, 15, 535–540. [Google Scholar] [CrossRef]
  18. Abhyankar, S.; Geng, G.; Anitescu, M.; Wang, X.; Dinavahi, V. Solution techniques for transient stability constrained optimal power flow—Part I. IET Gener. Transm. Distrib. 2017, 11, 3177–3185. [Google Scholar] [CrossRef]
  19. Geng, G.; Abhyankar, S.; Anitescu, M.; Wang, X.; Dinavahi, V. Solution techniques for transient stability constrained optimal power flow—Part II. IET Gener. Transm. Distrib. 2017, 11, 3186–3193. [Google Scholar] [CrossRef]
  20. Zhang, Q.; Gan, D.; Huang, W.; Xu, H.; Wu, S.; Huang, R.; Zeng, P. A Characteristic Loci Method for Power Systems Small-signal Stability Analysis and Control Design. Int. J. Electr. Power Energy Syst. 2023, 148, 482–488. [Google Scholar] [CrossRef]
  21. Electric Power Research Institute (EPRI). Model User Guide for Generic Renewable Energy Systems; Electric Power Research Institute (EPRI): Palo Alto, CA, USA, 2023. [Google Scholar]
  22. Lammert, G.; Premm, D.; Ospina, L.D.P.; Boemer, J.C.; Braun, M.; van Cutsem, T. Control of Photovoltaic Systems for Enhanced Short-Term Voltage Stability and Recovery. IEEE Trans. Energy Convers. 2019, 34, 243–254. [Google Scholar] [CrossRef]
  23. Western Electricity Coordinating Council (WECC). Solar Photovoltaic Power Plant Modeling and Validation Guideline; Western Electricity Coordinating Council (WECC): Salt Lake City, UT, USA, 2019. [Google Scholar]
  24. Venkatasubramanian, V.; Schattler, H.; Zaborsky, J. Dynamics of large constrained nonlinear systems-a taxonomy theory. Proc. IEEE 1995, 83, 1530–1561. [Google Scholar] [CrossRef]
  25. Hao, W.; Wang, X.; Yao, Y.; Gan, D.; Chen, M. Short-term voltage stability analysis in power systems: A voltage solvability indicator. Int. J. Electr. Power Energy Syst. 2024, 161, 110185. [Google Scholar] [CrossRef]
  26. Kokotovic, P.V.; Khali, H.K.; O’Reilly, J. Singular Perturbation Methods in Control: Analysis and Design; SIAM: Bangkok, Thailand, 1999. [Google Scholar]
  27. Wang, X.; Song, Y.; Irving, M. Modern Power Systems Analysis; Springer: Berlin/Heidelberg, Germany, 2009; pp. 255–332. [Google Scholar]
  28. Fu, S.; Pan, J. A fast transient stability assessment approach by combined system decomposition—Aggregation and transient energy method. IFAC Proc. Vol. 1987, 20, 233–237. [Google Scholar]
  29. Jocic, L.B.; Ribbens-Pavella, M.; Siljak, D.D. Multi-machine power systems: Stability, decomposition and aggregation. IEEE Trans. Autom. Control 1978, 23, 325–332. [Google Scholar] [CrossRef]
  30. Shaaban, H.; Grujić, L.T. Transient stability analysis of power systems via aggregation on subsets. Int. J. Control 1994, 59, 1401–1419. [Google Scholar] [CrossRef]
  31. Xia, D.; Heydt, G.T. On-line transient stability evaluation by system decomposition-aggregation and high order derivatives. IEEE Trans. Power Appar. Syst. 1983, 102, 2038–2046. [Google Scholar] [CrossRef]
  32. Machowski, J.; Bialek, J.W.; Bumby, J. Power System Dynamics: Stability and Control; John Wiley & Sons: Hoboken, NJ, USA, 2020. [Google Scholar]
  33. Chen, H.; Ye, R.; Wang, X.; Lu, R. Cooperative control of power system load and frequency by using differential games. IEEE Trans. Control Syst. Technol. 2015, 23, 882–897. [Google Scholar] [CrossRef]
  34. Angeli, D.; Sontag, E.D. Monotone control systems. IEEE Trans. Autom. Control 2003, 48, 1684–1698. [Google Scholar] [CrossRef]
  35. Dashkovskiy, S.; Rüffer, B.S.; Wirth, F.R. An ISS small-gain theorem for general networks. Math. Control Signals Syst. 2007, 19, 93–122. [Google Scholar] [CrossRef]
  36. Arjomandi-Nezhad, A.; Gu, Y.; Pal, B.; Varagnolo, D. A Model Predictive Approach for Enhancing Transient Stability of Grid-Forming Converters. IEEE Trans. Power Syst. 2024, 39, 6675–6688. [Google Scholar] [CrossRef]
  37. Kkuni, K.V.; Guangya, Y. Effects of current limit for grid forming converters on transient stability: Analysis and solution. arXiv 2021, arXiv:2106.13555. [Google Scholar] [CrossRef]
  38. Shuai, Z.; Shen, C.; Liu, X.; Li, Z.; Shen, Z.J. Transient angle stability of virtual synchronous generators using Lyapunov’s direct method. IEEE Trans. Smart Grid 2019, 10, 4648–4661. [Google Scholar] [CrossRef]
  39. Li, Y.; Lu, Y.; Liu, J.; Mu, T.; Ye, H.; Du, Z. Synchronization Stability of Multiple VSGs Embedded Power System With Controller Limits. IEEE Trans. Power Syst. 2024, 40, 834–849. [Google Scholar] [CrossRef]
  40. Yang, P.; Liu, F.; Liu, T.; Hill, D.J. Augmented Synchronization of Power Systems. IEEE Trans. Autom. Control 2024, 69, 6. [Google Scholar] [CrossRef]
  41. Cheng, D.; Ma, J.; Lu, Q.; Mei, S. Quadratic form of stable sub-manifold for power systems. Int. J. Robust Nonlin. Control 2004, 14, 773–788. [Google Scholar] [CrossRef]
  42. Guo, Y.; Zhang, D.; Li, Z.; Wang, Q.; Yu, D. Overviews on the applications of the Kuramoto model in modern power system analysis. Int. J. Electr. Power Energy Syst. 2021, 129, 106804. [Google Scholar] [CrossRef]
  43. Zhang, Q.; Gan, D. A Gronwall Inequality Based Approach to Transient Stability Assessment. arXiv 2023, arXiv:2311.02231. [Google Scholar]
  44. Li, J.; Wu, H.; Zhan, X.; Gan, D. Estimation of the Region of Attraction of Polynomial Swing Equation Using Sum of Squares Theory. Energies 2024, 17, 1050. [Google Scholar] [CrossRef]
  45. Enciso, G.A.; Smith, H.L.; Sontag, E.D. Nonmonotone systems decomposable into monotone systems with negative feedback. J. Differ. Equ. 2006, 224, 205–227. [Google Scholar] [CrossRef]
  46. Huang, W.; Hill, D.J. Network-based analysis of long-term voltage stability considering loads with recovery dynamics. Int. J. Electr. Power Energy Syst. 2020, 119, 105891. [Google Scholar] [CrossRef]
  47. Liu, C.C.; Wu, F.F. Steady state voltage stability regions of power systems. Syst. Control Lett. 1985, 6, 23–31. [Google Scholar] [CrossRef]
  48. Yin, C.; Li, F. A novel evaluation method for the risk of simultaneous commutation failure in multi-infeed HVDC-systems that considers DC current rise. Int. J. Electr. Power Energy Syst. 2021, 131, 107051. [Google Scholar] [CrossRef]
  49. Zimmerman, R.D.; Murillo-Sanchez, C.E.; Thomas, R.J. MATPOWER: Steady-State Operations, Planning and Analysis Tools for Power Systems Research and Education. IEEE Trans. Power Syst. 2011, 26, 12–19. [Google Scholar] [CrossRef]
Figure 1. Categories of power system transients.
Figure 1. Categories of power system transients.
Energies 18 03476 g001
Figure 2. Control block diagram of a first-order stabilizer.
Figure 2. Control block diagram of a first-order stabilizer.
Energies 18 03476 g002
Figure 3. Control block diagram of phase-locked-loop.
Figure 3. Control block diagram of phase-locked-loop.
Energies 18 03476 g003
Figure 4. A 10-bus power system with a converter-based generator (blue color); loads are represented by L7 and L9.
Figure 4. A 10-bus power system with a converter-based generator (blue color); loads are represented by L7 and L9.
Energies 18 03476 g004
Figure 5. WECC photovoltaic generator model [21]. (On the left are control models, and on the right are converter models; they are identified by different colors).
Figure 5. WECC photovoltaic generator model [21]. (On the left are control models, and on the right are converter models; they are identified by different colors).
Energies 18 03476 g005
Figure 6. Transient behavior of a photovoltaic generator (obtained using a Matlab R2023a code written by the authors), where the pink curve represents the response of reactive power while the blue line represents the response of active power.
Figure 6. Transient behavior of a photovoltaic generator (obtained using a Matlab R2023a code written by the authors), where the pink curve represents the response of reactive power while the blue line represents the response of active power.
Energies 18 03476 g006
Figure 7. The main stages of a transient after the occurrence of a three-phase-ground fault (the three stages are identified with different colors).
Figure 7. The main stages of a transient after the occurrence of a three-phase-ground fault (the three stages are identified with different colors).
Energies 18 03476 g007
Figure 8. Eigenvalues of Jalg for IEEE 9 bus test system.
Figure 8. Eigenvalues of Jalg for IEEE 9 bus test system.
Energies 18 03476 g008
Figure 9. x(t) and z(t) when parameter ε takes different values (the dashed line separates the initial stages and the later stage).
Figure 9. x(t) and z(t) when parameter ε takes different values (the dashed line separates the initial stages and the later stage).
Energies 18 03476 g009
Figure 10. Diagram of a HVDC transmission system.
Figure 10. Diagram of a HVDC transmission system.
Energies 18 03476 g010
Figure 11. Feedforward-feedback structure of a power system.
Figure 11. Feedforward-feedback structure of a power system.
Energies 18 03476 g011
Figure 12. Multi-machine multi-VSM-converter model.
Figure 12. Multi-machine multi-VSM-converter model.
Energies 18 03476 g012
Figure 13. Switching behavior of multi-VSM-converter systems.
Figure 13. Switching behavior of multi-VSM-converter systems.
Energies 18 03476 g013
Figure 14. Linear fitting for function cosα.
Figure 14. Linear fitting for function cosα.
Energies 18 03476 g014
Disclaimer/Publisher’s Note: The statements, opinions and data contained in all publications are solely those of the individual author(s) and contributor(s) and not of MDPI and/or the editor(s). MDPI and/or the editor(s) disclaim responsibility for any injury to people or property resulting from any ideas, methods, instructions or products referred to in the content.

Share and Cite

MDPI and ACS Style

Cheng, X.; Gan, D. Electromechanical Model and Transient Behaviors of Power Systems. Energies 2025, 18, 3476. https://doi.org/10.3390/en18133476

AMA Style

Cheng X, Gan D. Electromechanical Model and Transient Behaviors of Power Systems. Energies. 2025; 18(13):3476. https://doi.org/10.3390/en18133476

Chicago/Turabian Style

Cheng, Xueting, and Deqiang Gan. 2025. "Electromechanical Model and Transient Behaviors of Power Systems" Energies 18, no. 13: 3476. https://doi.org/10.3390/en18133476

APA Style

Cheng, X., & Gan, D. (2025). Electromechanical Model and Transient Behaviors of Power Systems. Energies, 18(13), 3476. https://doi.org/10.3390/en18133476

Note that from the first issue of 2016, this journal uses article numbers instead of page numbers. See further details here.

Article Metrics

Back to TopTop