Impacts of Design Parameters on the Thermal Performance of a Macro-Encapsulated Phase-Change-Material Blind Integrated in a Double-Skin Façade System
Abstract
1. Introduction
| Season/ Temperature | Encapsulation Method | Shell Material | Design Parameter | Reference |
|---|---|---|---|---|
| Winter | Macro-encapsulated | Aluminum alloy | - | [24] |
| Winter | Attach to the floor panel | - | Thickness | [31] |
| 10 °C | Macro-encapsulated | Polymer | - | [32] |
| Winter and summer | Macro-encapsulated | Concrete wall | - | [33] |
| Summer | Macro-encapsulated | Polyvinyl chloride (PVC) | Dosage of PCM | [27] |
| Spring and autumn | Attach to the ceiling panel | - | Panel volume | [34] |
| 27 °C | Macro-encapsulated | High-density polyethylene (HDPE) | Length and thickness | [25] |
| 17 °C~30 °C | Macro-encapsulated | Dendritic glass | Geometrical configuration | [35] |
| 40 °C | Micro-encapsulated | Silicon dioxide | Incorporation of PCM | [28] |
| 65 °C | Micro-encapsulated | - | Dosage of PCM | [36] |
2. System Description and Development
2.1. System Description
2.2. PCM-Blind Development
2.3. Data Collection and PCM Selection
3. Numerical Model and Procedure
3.1. Heat Transfer Model
3.2. CFD Model
- Only one-dimensional conduction was considered within each phase-change blade, while the convective heat transfer was neglected;
- The airflow within the DSF’s cavity was treated as a two-dimensional incompressible fluid;
- Long-wave radiation between the DSF-PCM-blind system and the surrounding environment were not considered;
- Viscous dissipation within the fluid flow was ignored by treating all physical parameters as constants, except for the fluid density;
- Density was only considered in relation to the momentum equation’s volume forces, while remaining constant in all other terms;
- Heat transfer through the DSF system to indoor heat gains was negligible.
3.2.1. Governing Equations
3.2.2. Boundary Conditions
3.2.3. Independence Test
3.2.4. Model Validation
4. Results and Discussion
4.1. System Performance on Typical Meteorological Day
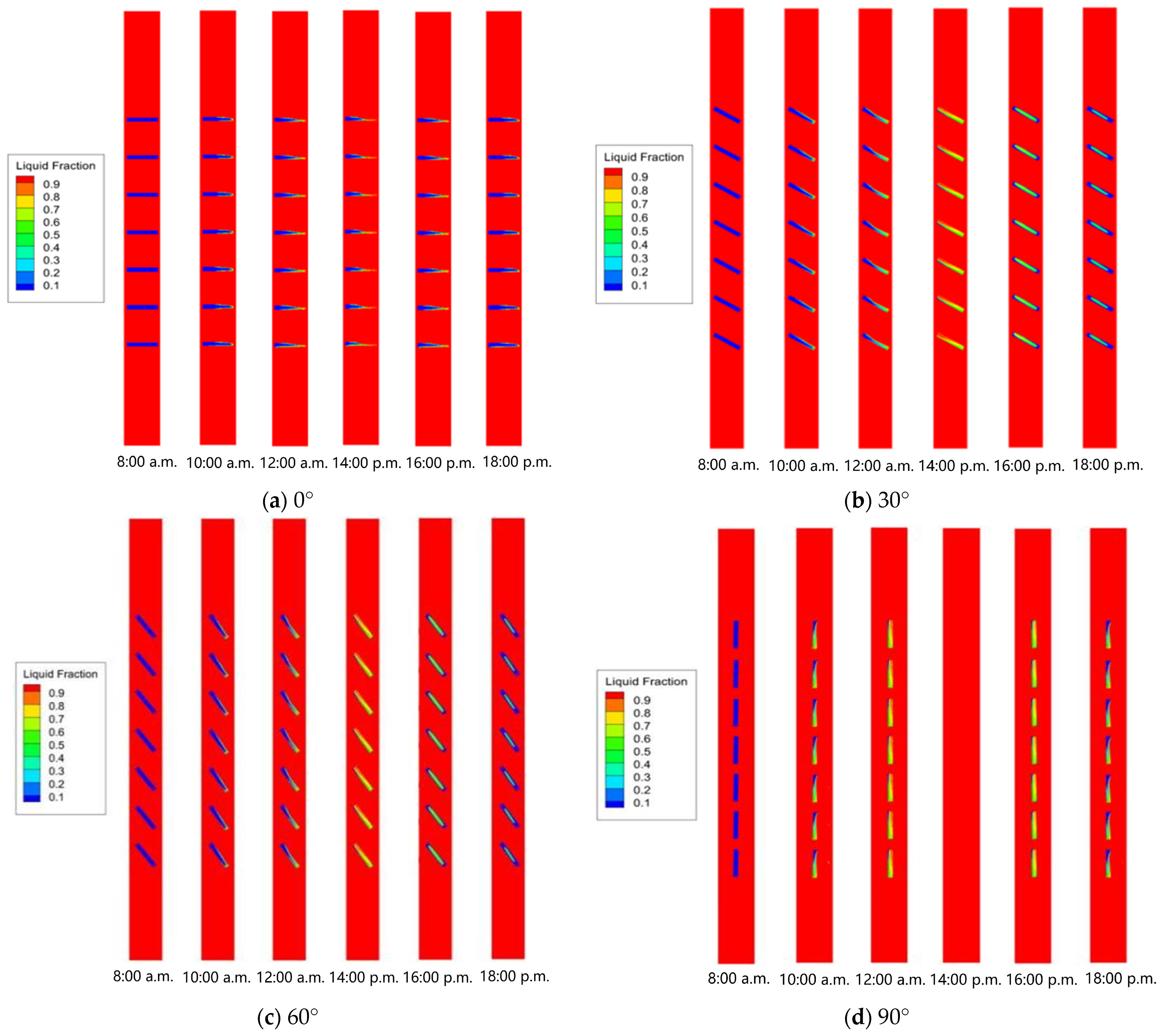
4.2. Influence of the Blind Tilt Angle on the System’s Thermal Performance
4.3. Influence of the Cavity Depth to Blind Width Ratio on the System’s Thermal Performance
5. Conclusions
- The PCM blind was able to absorb the excessive heat in the DSF cavity for an average duration of 5.9 h, providing the smallest range of temperature change, which indicates this system can be utilized to optimize thermal environmental impacts based on real-time conditions;
- The air temperature at different positions for the previous DSF test ranged from 39 to ~40 °C. Both the surface temperature of the PCM blind and the air-cavity temperature in the DSF could be maintained within the range of 37~40 °C by optimizing the design parameters. The optimal design parameters can improve the thermal performance of the macro-encapsulated PCM-blind integrated into the DSF system;
- The lowest PCM-layer surface temperature can be achieved with a blind tilt angle of 30° in the DSF system. Moreover, the blind tilt angles of 30° and 60° are recommended, since they demonstrated better temperature adjustment effects in the DSF cavity, with cavity temperature stabilized in the range of 38~40 °C;
- The cavity depth to blind width ratio of X = 2.5 L was recommended as optimal, since it could effectively reduce the air-cavity temperature and eliminate the overheating effect during the daytime in the warm season.
Author Contributions
Funding
Data Availability Statement
Conflicts of Interest
List of Symbols
| Nomenclature | Subscript | ||
| A | area(m2) | net | net heat gain of DSF |
| Cp | specific heat (J/(kg·K)) | sol | total solar radiation on DSF |
| Q | heat (J) | refl | reflected solar radiation |
| H | enthalpy (J) | ref | reference value |
| ΔH | latent heat (J) | abs | absorbed solar radiation |
| T | temperature (K) | tra | transmitted solar radiation |
| ΔT | temperature difference (K) | 1 | external glass skin of the DSF |
| h | convective heat transfer coefficient (W/(m2·K))/specific enthalpy (J/kg) | 2 | internal glass skin of the DSF |
| k | thermal conductivity (W/(m·K)) | rad | radiative heat transfer |
| ρ | density (kg/m3) | b | blind |
| ν | kinematic viscosity | k | turbulence kinetic energy |
| α | absorption coefficient/expansion coefficient of air | i | indoor |
| τ | transmittance of the DSF outer glass skin/time | o | outdoor |
| λ | thermal conductivity coefficient [W/(m·K)] | m | phase transformation |
| β | thermal expansion coefficientliquid fraction | s | solid |
| Si | simulated temperature | l | liquid |
| Mi | measured temperature | cex | air near the external glass wall |
| n | number of comparison values | cin | air near the internal glass wall |
| convp | convective heat transferof PCM layer of the blind | ||
References
- Srithapon, C.; Månsson, D. Predictive control and coordination for energy community flexibility with electric vehicles, heat pumps and thermal energy storage. Appl. Energy 2023, 347, 121500. [Google Scholar] [CrossRef]
- Yun, B.Y.; Park, J.H.; Yang, S.; Wi, S.; Kim, S. Integrated analysis of the energy and economic efficiency of PCM as an indoor decoration element: Application to an apartment building. Sol. Energy 2020, 196, 437–447. [Google Scholar] [CrossRef]
- Dardouri, S.; Mankai, S.; Almoneef, M.M.; Mbarek, M.; Sghaier, J. Energy Performance Based Optimization of Building Envelope Containing PCM Combined with Insulation Considering Various Configurations. Energy Rep. 2023, 10, 895–909. [Google Scholar] [CrossRef]
- Lee, S.M.; Kim, D.Y.; An, J.H.; Lee, C.S.; Shin, U.C. Availability Evaluation of Korea Window Energy Consumption Efficiency Rating System for the Office Building. Korean J. Air-Cond. Refrig. Eng. 2019, 31, 464–472. [Google Scholar] [CrossRef]
- Grynning, S.; Gustavsen, A.; Time, B.; Jelle, B.P. Windows in the Buildings of Tomorrow; Energy Losers or Energy Gainers. Energy Build. 2013, 61, 185–192. [Google Scholar] [CrossRef]
- Tanimoto, J.; Kimura, K.I. Simulation study on an air flow window system with an integrated roll screen. Energy Build. 1997, 26, 317–325. [Google Scholar] [CrossRef]
- Bruno, R.; Bevilacqua, P. Bio-PCM to Enhance DynAMic Thermal Properties of Dry-Assembled Wooden Walls: Experimental Results. Build. Environ. 2023, 242, 110526. [Google Scholar] [CrossRef]
- Abilkhassenova, Z.; Memon, S.A.; Ahmad, A.; Saurbayeva, A.; Kim, J. Utilizing the Fanger Thermal Comfort Model to Evaluate the Thermal, Energy, Economic, and Environmental Performance of PCM-Integrated Buildings in Various Climate Zones Worldwide. Energy Build. 2023, 297, 113479. [Google Scholar] [CrossRef]
- Izadi, M.; Afsharpanah, F.; Mohadjer, A.; Shobi, M.O.; Ajarostaghi, S.S.M.; Minelli, F. Performance enhancement of a shell-and-coil ice storage enclosure for air conditioning using spiral longitudinal fins: A numerical approach. Heliyon 2025, 11, e42786. [Google Scholar] [CrossRef]
- Yasiri, Q.; Szabó, M. Incorporation of Phase Change Materials into Building Envelope for Thermal Comfort and Energy Saving: A Comprehensive Analysis. J. Build. Eng. 2021, 36, 102122. [Google Scholar] [CrossRef]
- Kishore, R.A.; Bianchi, M.V.; Booten, C.; Vidal, J.; Jackson, R. Optimizing PCM-Integrated Walls for Potential Energy Savings in U.S. Buildings. Energy Build. 2020, 226, 110355. [Google Scholar] [CrossRef]
- Mokhberi, P.; Mokhberi, P.; Izadi, M.; Nesaii, M.B.; Yaici, W.; Minelli, F. Thermal regulation enhancement in multi-story office buildings: Integrating phase change materials into inter-floor void formers. Case Stud. Therm. Eng. 2024, 60, 104792. [Google Scholar] [CrossRef]
- Rathore, P.K.S.; Shukla, S.K.; Gupta, N.K. Yearly analysis of peak temperature, thermal amplitude, time lag and decrement factor of a building envelope in tropical climate. J. Build. Eng. 2020, 31, 101459. [Google Scholar] [CrossRef]
- Bao, X.; Yang, H.; Xu, X.; Xu, T.; Cui, H.; Tang, W.; Sang, G.; Fung, W. Development of a stable inorganic phase change material for thermal energy storage in buildings. Sol. Energy Mater. Sol. Cells 2020, 208, 110420. [Google Scholar] [CrossRef]
- Li, D.; Hu, W.; Zhang, C.; Liu, C.; Yang, R. Study on energy storage characteristics of phase change glass envelope and its impact on indoor thermal environment. J. Xi’an Univ. Archit. Technol. (Nat. Sci. Ed.) 2021, 53, 934–938. [Google Scholar] [CrossRef]
- Weinläder, H.; Beck, A.; Fricke, J. PCM-facade-panel for daylighting and room heating. Sol. Energy 2005, 78, 177–186. [Google Scholar] [CrossRef]
- Weinlaeder, H.; Koerner, W.; Heidenfelder, M. Monitoring results of an interior sun protection system with integrated latent heat storage. Energy Build. 2011, 43, 2468–2475. [Google Scholar] [CrossRef]
- Alawadhi, E.M. Using phase change materials in window shutter to reduce the solar heat gain. Energy Build. 2012, 47, 421–429. [Google Scholar] [CrossRef]
- Silva, T.; Vicente, R.; Rodrigues, F.; Samagaio, A.; Cardoso, C. Performance of a window shutter with phase change material under summer Mediterranean climate conditions. Appl. Therm. Eng. 2015, 84, 246–256. [Google Scholar] [CrossRef]
- Li, Y.; Darkwa, J.; Kokogiannakis, G. Heat Transfer Analysis of an Integrated Double Skin Facade and Phase Change Material Blind System. Build. Environ. 2017, 125, 111–121. [Google Scholar] [CrossRef]
- Li, Y.; Darkwa, J.; Kokogiannakis, G.; Su, W. Phase change material blind system for double skin façade integration: System development and thermal performance evaluation. Appl. Energy 2019, 252, 113376. [Google Scholar] [CrossRef]
- Cabeza, L.F.; Navarro, L.; Pisello, A.L.; Olivieri, L.; Bartolomé, C.; Sánchez, J.; Álvarez, S.; Tenorio, J.A. Behaviour of a concrete wall containing micro-encapsulated PCM after a decade of its construction. Sol. Energy 2020, 200, 108–113. [Google Scholar] [CrossRef]
- Dubey, A.K.; Sun, J.; Choudhary, T.; Dash, M.; Rakshit, D.; Ansari, M.Z.; Ramakrishna, S.; Liu, Y.; Nanda, H.S. Emerging phase change materials with improved thermal efficiency for a clean and sustainable environment: An approach towards net zero. Renew. Sustain. Energy Rev. 2023, 182, 113421. [Google Scholar] [CrossRef]
- Li, Q.; Wang, Y.; Ma, L.; Arıcı, M.; Li, D.; Yıldız, Ç.; Zhu, Y. Effect of sunspace and PCM louver combination on the energy saving of rural residences: Case study in a severe cold region of China. Sustain. Energy Technol. Assess. 2021, 45, 101126. [Google Scholar] [CrossRef]
- Rehman, O.A.; Palomba, V.; Verez, D.; Borri, E.; Frazzica, A.; Brancato, V.; Botargues, T.; Ure, Z.; Cabeza, L.F. Experimental evaluation of different macro-encapsulation designs for PCM storages for cooling applications. J. Energy Storage 2023, 74, 109359. [Google Scholar] [CrossRef]
- Zhan, H.; Mahyuddin, N.; Sulaiman, R.; Khayatian, F. Phase change material (PCM) integrations into buildings in hot climates with simulation access for energy performance and thermal comfort: A review. Constr. Build. Mater. 2023, 397, 132312. [Google Scholar] [CrossRef]
- Abdulmunem, A.R.; Hussein, N.F.; Samin, P.M.; Sopian, K.; Hussien, H.A.; Ghazali, H. Integration of recycled waste paper with phase change material in building enclosure. J. Energy Storage 2023, 64, 107140. [Google Scholar] [CrossRef]
- Atiganyanun, S.; Hasuchon, C.; Prithan, K.; Wongwan, K.; Kumnorkaew, P. Inclusion of microencapsulated phase change materials in waterborne paints to enhance radiative cooling performance. Mater. Today Proc. 2023. [Google Scholar] [CrossRef]
- Fukahori, R.; Nomura, T.; Zhu, C.; Sheng, N. Macro-encapsulation of metallic phase change material using cylindrical-type ceramic containers for high-temperature thermal energy storage. Appl. Energy 2016, 170, 324–328. [Google Scholar] [CrossRef]
- Zhou, X.; Yamashita, S.; Kubota, M.; Zhang, C.; Hong, F.; Kita, H. Macro encapsulated Cu-based phase change material for high temperature heat storage with characteristic of self-sealing and high durability. Appl. Therm. Eng. 2023, 229, 120491. [Google Scholar] [CrossRef]
- Kitagawa, H.; Asawa, T.; Kubota, T.; Trihamdani, A.R. Numerical simulation of radiant floor cooling systems using PCM for naturally ventilated buildings in a hot and humid climate. Build. Environ. 2022, 226, 109762. [Google Scholar] [CrossRef]
- Chen, W.; Liu, Y.; Liang, X.; Luo, F.; Liao, T.; Wang, S.; Gao, X.; Zhang, Z.; Fang, Y. Experimental and numerical investigations on radiant floor heating system integrated with macro-encapsulated phase change material. Energy 2023, 282, 128375. [Google Scholar] [CrossRef]
- Che-Pan, M.; Simá, E.; Ávila-Hernández, A.; Uriarte-Flores, J.; Vargas-López, R. Thermal performance of a window shutter with a phase change material as a passive system for buildings in warm and cold climates of México. Energy Build. 2023, 281, 112775. [Google Scholar] [CrossRef]
- Yang, S.; Zhang, Y.; Zhao, Y.; Torres, J.F.; Wang, X. PCM-based ceiling panels for passive cooling in buildings: A CFD modelling. Energy Build. 2023, 285, 112898. [Google Scholar] [CrossRef]
- Rešetar, I.; Jurtz, N.; Böhm, L.; Kraume, M.; Palz, N. Integrated Framework for digital design and thermal analysis of PCM macro-encapsulations for passive indoor cooling. Sustain. Cities Soc. 2021, 66, 102536. [Google Scholar] [CrossRef]
- IllAMpas, R.; Rigopoulos, I.; Ioannou, I. Influence of microencapsulated Phase Change Materials (PCMs) on the properties of polymer modified cementitious repair mortar. J. Build. Eng. 2021, 40, 102328. [Google Scholar] [CrossRef]
- Li, Y.; Fu, S.; Li, Y.; Peng, Y.; Yang, C.; Tao, W.; Wang, H. Seasonal thermal performance of a macro-encapsulated phase change material blind integrated double skin façade system: An experimental study. Energy Build. 2024, 325, 114952. [Google Scholar] [CrossRef]
- Oh, M.; Kim, C.K.; Kim, B.; Yun, C.; Kim, J.-Y.; Kang, Y.; Kim, H.-G. Analysis of minute-scale variability for enhanced separation of direct and diffuse solar irradiance components using machine learning algorithms. Energy 2022, 241, 122921. [Google Scholar] [CrossRef]
- Lucchino, E.C.; Gelesz, A.; Skeie, K.; Gennaro, G.; Reith, A.; Serra, V.; Goia, F. Modelling double skin façades (DSFs) in whole-building energy simulation tools: Validation and inter-software comparison of a mechanically ventilated single-story DSF. Build. Environ. 2021, 199, 107906. [Google Scholar] [CrossRef]
- Zeng, X.; Xin, M. Numerical enthalpy method for solving multidimensional phase change heat transfer problems with coupled enthalpy and moving boundary position. J. Chongqing Univ. (Nat. Sci. Ed.) 1992, 03, 62–67. [Google Scholar]
- ASHRAE. ASHRAE Guideline 14-2023 Measurement of Energy, Demand, and Water Savings, American Society of Heating, Refrigerating and Air-Conditioning Engineers. 2023, pp. 58–62. Available online: www.ashrae.org/G14 (accessed on 17 June 2025).
- Geng, Z.; Shi, C.; Zhao, Q.; Yang, L. Preparation of diatomite paraffin composite phase change coating and its simulation application in building wall. J. Energy Storage 2024, 83, 110543. [Google Scholar] [CrossRef]
- Chen, G.; Hang, J.; Chen, L.; Lin, Y. Comparison of uniform and non-uniform surface heating effects on in-canyon airflow and ventilation by CFD simulations and scaled outdoor experiments. Build. Environ. 2023, 244, 110744. [Google Scholar] [CrossRef]
- Hazem, A.; AMeghchouche, M.; Bougriou, C. A numerical analysis of the air ventilation management and assessment of the behavior of double skin facades. Energy Build. 2015, 102, 225–236. [Google Scholar] [CrossRef]
- Mojumder, J.C.; AMinossadati, S.M.; Leonardi, C.R. Performance analysis of a concentrated direct absorption solar collector (DASC) with nanofluids using computational fluid dynamics and discrete ordinates radiation modelling (CFD-DORM). Renew. Energy 2023, 205, 30–52. [Google Scholar] [CrossRef]
- JGJ/T 151-2018; Calculation specification for thermal performance of windows and doors. Ministry of Housing and Urban-Rural Development of the People’s Republic of China. China Architecture & Building Press: Beijing, China, 2018.
- Lucchino, E.C.; Gennaro, G.; Favoino, F.; Goia, F. Modelling and validation of a single-storey flexible double-skin façade system with a building energy simulation tool. Build. Environ. 2022, 226, 109704. [Google Scholar] [CrossRef]
- U.S. Department of Energy. Federal Energy Management Program, Measurement and Verification Guidelines: Measurement and Verification for Federal Energy Projects Version 3.0; U.S. Department of Energy: Washington, DC, USA, 2008.















| Material | Property | |
|---|---|---|
| Melting point (°C) | 35 ± 2 °C | |
| Heat of fusion (kJ/kg) | 200 kJ/kg | |
| Flash point (°C) | 130 °C | |
| Specific heat capacity (kJ/kg·°C) | Solid | 2.12 kJ/kg·°C |
| Fluid | 1.98 kJ/kg·°C | |
| Thermal conductivity (W/m·°C) | Solid | 0.32 W/m·°C |
| Fluid | 0.30 W/m·°C | |
| Density (kg/m3) | Solid | 865 kg/m3 |
| Fluid | 853 kg/m3 |
| Boundary | Type | Value |
|---|---|---|
| Outdoor curtain wall | Wall | 16 W/(m2·K) |
| Outdoor vent (upper) | Pressure inlet | 0 Pa |
| Indoor curtain wall | Wall | 3.6 W/(m2·K) |
| Indoor vent (lower) | Pressure outlet | 0 Pa |
| Upper and lower wall | Wall | Adiabatic |
| Blind surface | Coupled | Transient state |
| Material | Density (kg/m3) | Specific Heat Capacity (kJ/kg·°C) | Thermal Conductivity (W/m·K) | Absorption Coefficient | Reflectance |
|---|---|---|---|---|---|
| Air | 1.225 | 1006.43 | 0.0242 | - | - |
| Aluminum alloy | 871 | 871 | 202.4 | 1200 | 0.82 |
| Glass | 670 | 670 | 0.76 | 1000 | 0.1 |
Disclaimer/Publisher’s Note: The statements, opinions and data contained in all publications are solely those of the individual author(s) and contributor(s) and not of MDPI and/or the editor(s). MDPI and/or the editor(s) disclaim responsibility for any injury to people or property resulting from any ideas, methods, instructions or products referred to in the content. |
© 2025 by the authors. Licensee MDPI, Basel, Switzerland. This article is an open access article distributed under the terms and conditions of the Creative Commons Attribution (CC BY) license (https://creativecommons.org/licenses/by/4.0/).
Share and Cite
Li, Y.; He, W.; Tao, W.; Yang, C.; Li, Y.; Darkwa, J. Impacts of Design Parameters on the Thermal Performance of a Macro-Encapsulated Phase-Change-Material Blind Integrated in a Double-Skin Façade System. Energies 2025, 18, 3326. https://doi.org/10.3390/en18133326
Li Y, He W, Tao W, Yang C, Li Y, Darkwa J. Impacts of Design Parameters on the Thermal Performance of a Macro-Encapsulated Phase-Change-Material Blind Integrated in a Double-Skin Façade System. Energies. 2025; 18(13):3326. https://doi.org/10.3390/en18133326
Chicago/Turabian StyleLi, Yilin, Wenshan He, Wanting Tao, Caiyi Yang, Yidong Li, and Jo Darkwa. 2025. "Impacts of Design Parameters on the Thermal Performance of a Macro-Encapsulated Phase-Change-Material Blind Integrated in a Double-Skin Façade System" Energies 18, no. 13: 3326. https://doi.org/10.3390/en18133326
APA StyleLi, Y., He, W., Tao, W., Yang, C., Li, Y., & Darkwa, J. (2025). Impacts of Design Parameters on the Thermal Performance of a Macro-Encapsulated Phase-Change-Material Blind Integrated in a Double-Skin Façade System. Energies, 18(13), 3326. https://doi.org/10.3390/en18133326

