Structure and Electrochemical Behavior of ZnLaFeO4 Alloy as a Negative Electrode in Ni-MH Batteries
Abstract
1. Introduction
2. Materials and Methods
2.1. Method Applied to Synthesize the Alloys
2.2. Characterization Methods
2.3. Electrochemical Characterization
3. Results
3.1. SEM Observations
3.2. Structural Properties
3.3. Cycling Properties of the ZnLaFeO4 Electrode Using the Galvanostatic Method
3.3.1. Activation Process of the ZnLaFeO4 Electrode
3.3.2. Cycling Properties of the ZnLaFeO4 Electrode
3.3.3. Electrode Degradation Process
3.3.4. Kinetic Parameters of the ZnLaFeO4 Negative Electrode
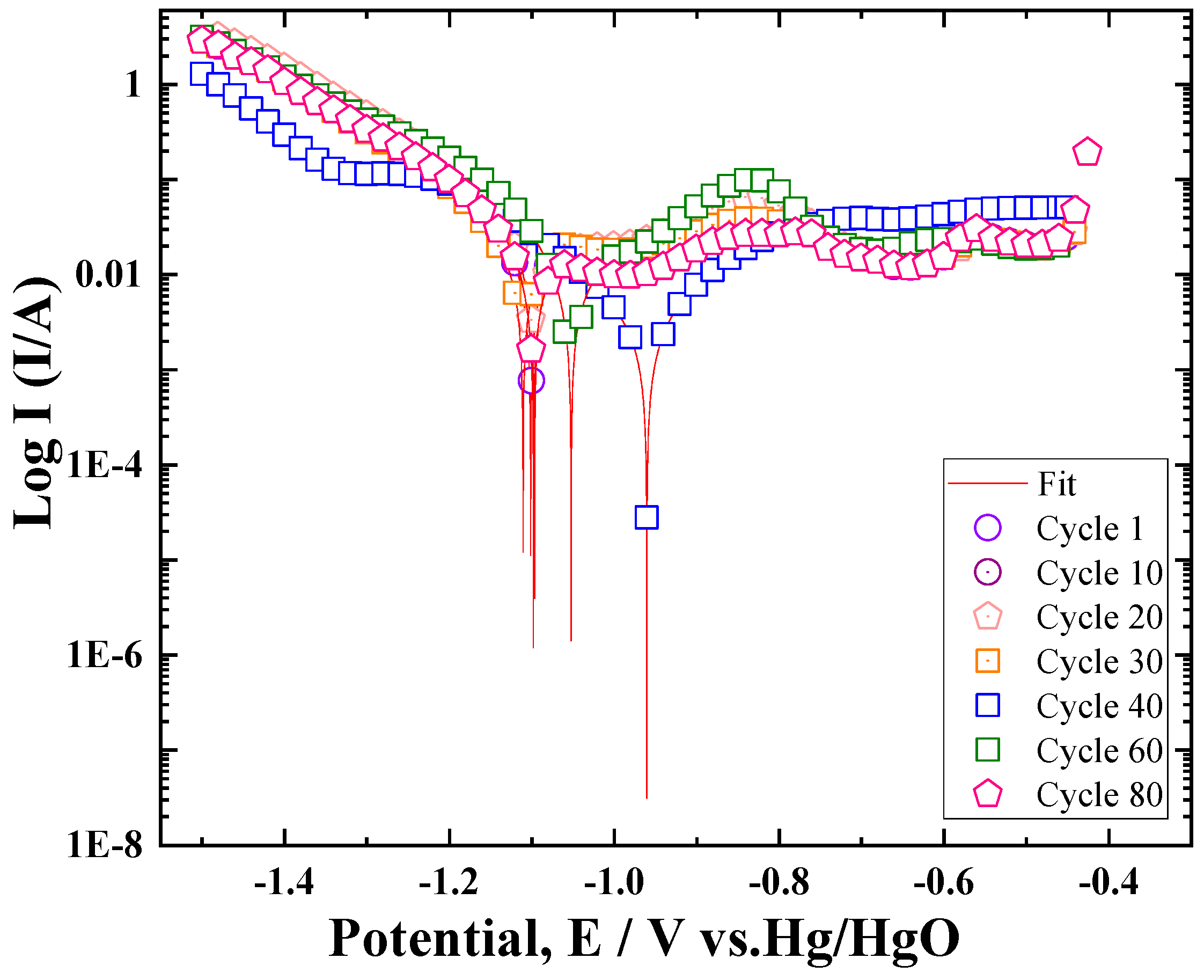
3.4. Redox Properties of the Electrode ZnLaFeO4 Studied by the Potentiodynamic Method
4. Conclusions
Author Contributions
Funding
Data Availability Statement
Conflicts of Interest
References
- Gielen, D.; Boshell, F.; Saygin, D.; Bazilian, M.D.; Wagner, N.; Gorini, R. The role of renewable energy in the global energy transformation. Energy Rev. 2019, 24, 38–50. [Google Scholar] [CrossRef]
- Campanari, S.; Manzolini, G.; De la Iglesia, F.G. Energy analysis of electric vehicles using batteries or fuel cells through well-to-wheel driving cycle simulations. J. Power Sources 2009, 186, 464–477. [Google Scholar] [CrossRef]
- Smith, W.J. Can EV (electric vehicles) address Ireland’s CO2 emissions from transport? Energy 2010, 35, 4514–4521. [Google Scholar] [CrossRef]
- Sun, F.; Hu, X.; Zou, Y.; Li, S. Adaptive unscented Kalman filtering for state of charge estimation of a lithium-ion battery for electric vehicles. Energy 2011, 36, 3531–3540. [Google Scholar] [CrossRef]
- Johansson, B.; Mårtensson, A. Energy and environmental costs for electric vehicles using CO2-neutral electricity in Sweden. Energy 2000, 25, 777–792. [Google Scholar] [CrossRef]
- Chau, K.T.; Wu, K.C.; Chan, C.C. A new battery capacity indicator for lithium-ion battery powered electric vehicles using adaptive neuro-fuzzy inference system. Energy. Conver. Manag. 2004, 45, 1681–1692. [Google Scholar] [CrossRef]
- Rao, Z.; Wang, S. A review of power battery thermal energy management. Renew. Sustain. Energy Rev. 2011, 15, 4554–4571. [Google Scholar] [CrossRef]
- Kang, J.; Yan, F.; Zhang, P.; Du, C. Comparison of comprehensive properties of Ni-MH (nickel-metal hydride) and Li-ion (lithium-ion) batteries in terms of energy efficiency. Energy 2014, 70, 618–625. [Google Scholar] [CrossRef]
- Niu, H.; Zhang, N.; Lu, Y.; Zhang, Z.; Li, M.; Liu, J.; Zhang, N.; Song, W.; Zhao, Y.; Miao, Z. Strategies toward the development of high-energy-density lithium batteries. J. Energy Storage 2024, 88, 111666. [Google Scholar] [CrossRef]
- Fetcenko, M.A.; Ovshinsky, S.R.; Reichman, B.; Young, K.; Fierro, C.; Koch, J.; Zallen, A.; Mays, W.; Ouchi, T. Recent advances in NiMH battery technology. J. Power Sources 2007, 165, 544–551. [Google Scholar] [CrossRef]
- Guo, Y.; Wang, W.; Su, H.; Lu, H.; Li, Y.; Peng, Q.; Shumin, H.; Zhang, L. Insights into the effect of Y substitution on superlattice structure and electrochemical performance of A5B19-type La-Mg-Ni-based hydrogen storage alloy for nickel metal hydride battery. J. Mater. Sci. Technol. 2025, 207, 60–69. [Google Scholar] [CrossRef]
- Salighe, Z.; Arabi, H.; Ghorbani, S.; Komeili, M. Microstructural, hydrogenation and electrochemical properties of La2Mg1−xYxNi10Mn0.5 (x = 0.1, 0.38) alloys for Ni-MH battery anode. J. Solid. State Chem. 2025, 348, 125340. [Google Scholar] [CrossRef]
- Zhang, Q.; Bian, Z.; Liu, X.; Lan, X.; Liu, J.; Ma, Z.; Zhang, H.; Luo, Y. Effects of thickness and gas hydrogenation on the electrochemical performances of a-Si thin film as anode for Ni-MH battery. Int. J. Hydrogen Energy 2024, 82, 959–967. [Google Scholar] [CrossRef]
- Sun, W.; Sheng, P.; Zhang, X.; Sun, H.; Li, J.; Cao, Z.; Qi, Y.; Zhang, Y. Metal Hydride Electrodes Applied to Ni-MH Battery Using Mg-Y-Ni-Cu-Based Alloys. Energy Technol. 2025, 24, 02252. [Google Scholar] [CrossRef]
- Marins, A.A.; Boasquevisque, L.M.; Muri, E.J.; Freitas, M.B. Enviromentally friendly recycling of spent Ni–MH battery anodes and electrochemical characterization of nickel and rare earth oxides obtained by sol–gel synthesis. Mater. Chem. Phys. 2022, 280, 125821. [Google Scholar] [CrossRef]
- Zhang, Y.H.; Wei, X.; Gao, J.L.; Hu, F.; Qi, Y.; Zhao, D.L. Electrochemical hydrogen storage behaviors of as-milled Mg–Ti–Ni–Co–Al-based alloys applied to Ni-MH battery. Electrochim. Acta 2020, 342, 136123. [Google Scholar] [CrossRef]
- Kalita, G.; Otsuka, R.; Endo, T.; Furukawa, S. Recent advances in substitutional doping of AB5 and AB2 type hydrogen storage metal alloys for Ni-MH battery applications. J. Alloys Compd. 2025, 1020, 179352. [Google Scholar] [CrossRef]
- Ouyang, L.; Huang, J.; Wang, H.; Liu, J.; Zhu, M. Progress of hydrogen storage alloys for Ni-MH rechargeable power batteries in electric vehicles: A review. Mater. Chem. Phys. 2017, 200, 164–178. [Google Scholar] [CrossRef]
- Joubert, J.M.; Paul-Boncour, V.; Cuevas, F.; Zhang, J.; Latroche, M. LaNi5 related AB5 compounds: Structure, properties and applications. J. Alloys. Comp. 2021, 862, 158163. [Google Scholar] [CrossRef]
- Gamo, T.; Moriwaki, Y.; Yanagihara Yamashita, T.; Iwaki, T. Formation and properties of titanium-manganese alloy hydrides. Int. J. Hydrogen Energy 1985, 10, 39–47. [Google Scholar] [CrossRef]
- Chen, J.; Takeshita, H.T.; Tanaka, H.; Kuriyama, N.; Sakai, T.; Uehara, I.; Haruta, M. Hydriding properties of LaNi3 and CaNi3 and their substitutes with PuNi3-type structure. J. Alloy. Comp. 2000, 302, 304–313. [Google Scholar] [CrossRef]
- Cuevas, F.; Joubert, J.M.; Latroche, M.; Percheron-Guegan, A. Intermetallic compounds as negative electrodes of Ni/MH batteries. App. Phys. A 2001, 72, 225–238. [Google Scholar] [CrossRef]
- Arya, S.; Verma, S. Nickel-metal hydride (Ni-MH) batteries. Rechar. Batter. Histo. Prog. Appl. 2020, 131–175. [Google Scholar] [CrossRef]
- Jin, S.; Ren, K.; Liang, J.; Kong, J. A novel sheet perovskite type oxides LaFeO3 anode for nickel-metal hydride batteries. J. Mater. Sci. Technol. 2024, 195, 218–226. [Google Scholar] [CrossRef]
- Esaka, T.; Sakaguchi, H.; Kobayashi, S. Hydrogen storage in proton-conductive perovskite-type oxides and their application to nickel–hydrogen batteries. Solid State Ioni. 2004, 166, 351–357. [Google Scholar] [CrossRef]
- Stoumpos, C.C.; Kanatzidis, M.G. Halide Perovskites: Poor Man’s high-performance semiconductors. Adv. Mater. 2016, 28, 5778–5793. [Google Scholar] [CrossRef]
- Bini, M.; Ambrosetti, M.; Spada, D. ZnFe2O4, a green and high-capacity anode material for lithium-ion batteries: A review. Appl. Sci. 2021, 11, 11713. [Google Scholar] [CrossRef]
- Brabers, V.A.M. Progress in spinel ferrite research. Hand. Mater. 1995, 8, 189–324. [Google Scholar]
- Narang, S.B.; Pubby, K. Nickel spinel ferrites: A review. J. Magn. Magn. Mater. 2021, 519, 167163. [Google Scholar] [CrossRef]
- Thakur, D.; Latwal, M.; Singh, J.P.; KGupta, L.; Srivastava, R.C. Zinc ferrite nanoparticles and their biomedical applications. In Oxides for Medical Applications; Woodhead Publishing: Sawston, UK, 2023; pp. 233–255. [Google Scholar]
- Valenzuela, R. Novel applications of ferrites. Phys. Res. Int. 2012, 2012, 591839. [Google Scholar] [CrossRef]
- Yadav, R.S.; Kuřitka, I.; Vilcakova, J.; Urbánek, P.; Machovsky, M.; Masař, M.; Holek, M. Structural, magnetic, optical, dielectric, electrical and modulus spectroscopic characteristics of ZnFe2O4 spinel ferrite nanoparticles synthesized via honey-mediated sol-gel combustion method. J. Phys. Chem. Solids 2017, 110, 87–99. [Google Scholar] [CrossRef]
- Baykal, A.; Kasapoğlu, N.; Durmuş, Z.; Kavas, H.; Toprak, M.S.; Köseoğlu, Y. CTAB-Assisted Hydrothermal Synthesis and Magnetic Characterization of NixCo1−xFe2O4 Nanoparticles (x = 0.0, 0.6, 1.0). Turkish. J. Chem. 2009, 33, 33–45. [Google Scholar] [CrossRef]
- Selvan, R.K.; Krishnan, V.; Augustin, C.O.; Bertagnolli, H.; Kim, C.S.; Gedanken, A. Investigations on the structural, morphological, electrical, and magnetic properties of CuFe2O4−NiO nanocomposites. Chem. Mater. 2008, 20, 429–439. [Google Scholar] [CrossRef]
- Kefeni, K.K.; Mamba, B.B.; Msagati, T.A. Application of spinel ferrite nanoparticles in water and wastewater treatment: A review. Sep. Purif. Technol. 2017, 188, 399–422. [Google Scholar] [CrossRef]
- Šutka, A.; Gross, K.A. Spinel ferrite oxide semiconductor gas sensors. Sens. Actuators B Chem. 2016, 222, 95–105. [Google Scholar] [CrossRef]
- Lima-Tenório, M.K.; Tenório-Neto, E.T.; Hechenleitner, A.A.W.; Fessi, H.; Pineda, E.A.G. CoFe2O4 and ZnFe2O4 nanoparticles: An overview about structure, properties, synthesis and biomedical applications. J. Coll. Sci. 2016, 5, 45–54. [Google Scholar] [CrossRef]
- Amini, M.M.; Yadavi, M. Influence of metal core of mixed-metal carboxylates in preparation of spinel: ZnFe2O(O2CCF3)6 as a single-source precursor for preparation of ZnFe2O4. Appl. Organo. Chem. 2005, 19, 1164–1167. [Google Scholar] [CrossRef]
- Kalendova, A.; Veselý, D.; Brodinova, J. Anticorrosive spinel-type pigments of the mixed metal oxides compared to metal polyphosphates. Anti-Corr. Meth. Mater. 2004, 51, 6–17. [Google Scholar] [CrossRef]
- Dhineshbabu, N.R.; Vettumperumal, R.; Narendrakumar, A.; Manimala, M.; Kanna, R.R. Optical properties of lanthanum-doped copper spinel ferrites nanoparticles for optoelectronic applications. Adv. Sci. Eng. Med. 2017, 9, 377–383. [Google Scholar] [CrossRef]
- Mujahid, M.; Khan, R.U.; Mumtaz, M.; Soomro, S.A.; Ullah, S. NiFe2O4 nanoparticles/MWCNTs nanohybrid as anode material for lithium-ion battery. Ceram. Int. 2019, 45, 8486–8493. [Google Scholar] [CrossRef]
- Lavela, P.; Tirado, J.L. CoFe2O4 and NiFe2O4 synthesized by sol–gel procedures for their use as anode materials for Li ion batteries. J. Pow. Sou 2007, 172, 379–387. [Google Scholar] [CrossRef]
- Kumar, P.R.; Jung, Y.H.; Bharathi, K.K.; Lim, C.H.; Kim, D.K. High capacity and low cost spinel Fe3O4 for the Na-ion battery negative electrode materials. Electrochim. Acta 2014, 146, 503–510. [Google Scholar] [CrossRef]
- Shenoy, S.D.; Joy, P.A.; Anantharaman, M.R. Effect of mechanical milling on the structural, magnetic and dielectric properties of coprecipitated ultrafine zinc ferrite. J. Mag. Mag. Mater. 2004, 269, 217–226. [Google Scholar] [CrossRef]
- Yao, C.; Zeng, Q.; Goya, G.F.; Torres, T.; Liu, J.; Wu, H.; Ge, M.; Zeng, Y.; Wang, Y.; Jiang, J.Z. ZnFe2O4 nanocrystals: Synthesis and magnetic properties. J. Phys. Chem. 2007, 111, 12274–12278. [Google Scholar] [CrossRef]
- Rameshbabu, R.; Ramesh, R.; Kanagesan, S.; Karthigeyan, A.; Ponnusamy, S. Synthesis and study of structural, morphological and magnetic properties of ZnFe2O4 nanoparticles. J. Super. Nov. Mag. 2014, 27, 1499–1502. [Google Scholar] [CrossRef]
- Haija, M.A.; Abu-Hani, A.F.; Hamdan, N.; Stephen, S.; Ayesh, A.I. Characterization of H2S gas sensor based on CuFe2O4 nanoparticles. J. Alloy. Comp. 2017, 690, 461–468. [Google Scholar] [CrossRef]
- Soussi, A.; Haounati, R.; Taoufiq, M.; Baoubih, S.; Jellil, Z.; Elfanaoui, A.; Ihlal, A. Investigating structural, morphological, electronic, and optical properties of SnO2 and Al-doped SnO2: A combined DFT calculation and experimental study. Phys. B Condens. Matter 2024, 690, 416242. [Google Scholar] [CrossRef]
- Renuka, L.; Anantharaju, K.S.; Sharma, S.C.; Vidya, Y.S.; Nagaswarupa, H.P.; Prashantha, S.C.; Nagabhushana, H. Synthesis of ZnFe2O4 nanoparticle by combustion and sol gel methods and their structural, photoluminescence and photocatalytic performance. Mater. Today Proc. 2018, 5, 20819–20826. [Google Scholar] [CrossRef]
- Zayani, W.; Azizi, S.; El-Nasser, K.S.; Othman Ali, I.; Molière, M.; Fenineche, N.; Mathlouthi, H.; Lamloumi, J. Electrochemical behavior of a spinel zinc ferrite alloy obtained by a simple sol-gel route for Ni-MH battery applications. Int. J. Ener. Res. 2021, 45, 5235–5247. [Google Scholar] [CrossRef]
- Zayani, W.; Azizi, S.; El-Nasser, K.S.; Belgacem, Y.B.; Ali, I.O.; Fenineche, N.; Mathlouthi, H. New nanoparticles of (Sm, Zn)-codoped spinel ferrite as negative electrode in Ni/MH batteries with long-term and enhanced electrochemical performance. Int. J. Hydrogen Energy 2019, 44, 11303–11310. [Google Scholar] [CrossRef]
- Epp, J. X-ray diffraction (XRD) techniques for materials characterization. In Materials Characterization Using Nondestructive Evaluation (NDE) Methods; Woodhead Publishing: Sawston, UK, 2016; pp. 81–124. [Google Scholar] [CrossRef]
- Huang, L.W.; Elkedim, O.; Moutarlier, V. Synthesis and characterization of nanocrystalline Mg2Ni prepared by mechanical alloying: Effects of substitution of Mn for Ni. J. Alloy. Comp. 2010, 504, S311–S314. [Google Scholar] [CrossRef]
- Karaoud, I.; Dabaki, Y.; Khaldi, C.; ElKedim, O.; Fenineche, N.; Lamloumi, J. Electrochemical properties of the CaNi4.8M0.2 (M = Mg, Zn, and Mn) mechanical milling alloys used as anode materials in nickel-metal hydride batteries. Environ. Prog. Sustain. Energy 2023, 42, e14118. [Google Scholar] [CrossRef]
- Chaudhari, V.; Shirsath, S.E.; Mane, M.L.; Kadam, R.H.; Shelke, S.B.; Mane, D.R. Crystallographic, magnetic and electrical properties of Ni0.5Cu0.25Zn0.25LaxFe2−xO4 nanoparticles fabricated by sol–gel method. J. Alloy. Comp. 2013, 549, 213–220. [Google Scholar] [CrossRef]
- Al Angari, Y.M. Magnetic properties of La-substituted NiFe2O4 via egg-white precursor route. J. Mag. Mag. Mater. 2011, 323, 1835–1839. [Google Scholar] [CrossRef]
- Aslam, A.; Rehman, A.U.; Amin, N.; un Nabi, M.A.; ul ain Abdullah, Q.; Morley, N.A.; Mehmood, K. Lanthanum doped Zn0.5Co0.5LaxFe2−xO4 spinel ferrites synthesized via co-precipitation route to evaluate structural, vibrational, electrical, optical, dielectric, and thermoelectric properties. J. Phys. Chem. Solids 2021, 154, 110080. [Google Scholar] [CrossRef]
- Wang, Y.; Xu, F.; Li, L.; Liu, H.; Qiu, H.; Jiang, J. Magnetic properties of La-substituted Ni–Zn–Cr ferrites via rheological phase synthesis. Mater. Chem. Phys. 2008, 112, 769–773. [Google Scholar] [CrossRef]
- Ganure, K.A.; Dhale, L.A.; Katkar, V.T.; Lohar, K.S. Synthesis and characterization of lanthanum-doped Ni-Co-Zn spinel ferrites nanoparticles via normal micro-emulsion method. Int. J. Nanotechnol. Appl. 2017, 11, 189–195. [Google Scholar]
- Li, X.D.; Elkedim, O.; Nowak, M.; Jurczyk, M.; Chassagnon, R. Structural characterization and electrochemical hydrogen storage properties of Ti2−xZrxNi (x = 0, 0.1, 0.2) alloys prepared by mechanical alloying. Int. J. Hydrogen Energy 2013, 38, 12126–12132. [Google Scholar] [CrossRef]
- Pan, Y.H.; Srinivasan, V.; Wang, C.Y. An experimental and modeling study of isothermal charge/discharge behavior of commercial Ni–MH cells. J. Power. Sources 2002, 112, 298–306. [Google Scholar] [CrossRef]
- Dymek, M.; Nowak, M.; Jurczyk, M.; Bala, H. Encapsulation of La1.5Mg0.5Ni7 nanocrystalline hydrogen storage alloy with Ni coatings and its electrochemical characterization. J. Alloys. Comp. 2018, 749, 534–542. [Google Scholar] [CrossRef]
- Bala, H.; Dymek, M. Corrosion degradation of powder composite hydride electrodes in conditions of long-lasting cycling. Mater. Chem. Phys. 2015, 167, 265–270. [Google Scholar] [CrossRef]
- Bala, H.; Giza, K.; Kukula, I. Determination of hydrogenation ability and exchange current of H2O/H2 system on hydrogen-absorbing metal alloys. J. Appl. Electrochem. 2010, 40, 791–797. [Google Scholar] [CrossRef]
- Bala, H.; Dymek, M.; Adamczyk, L.; Giza, K.; Drulis, H. Hydrogen diffusivity, kinetics of H2O/H2 charge transfer and corrosion properties of LaNi5-powder, composite electrodes in 6 M KOH solution. J. Solid. State Electrochem. 2014, 18, 3039–3048. [Google Scholar] [CrossRef]
- Bala, H.; Kukuła, I.; Giza, K.; Marciniak, B.; Różycka-Sokołowska, E.; Drulis, H. Evaluation of electrochemical hydrogenation and corrosion behavior of LaNi5-based materials using galvanostatic charge/discharge measurements. Int. J. Hydrogen Energy 2012, 37, 16817–16822. [Google Scholar] [CrossRef]
- Ren, K.; Miao, J.; Shen, W.; Su, H.; Pan, Y.; Zhao, J.; Han, S. High temperature electrochemical discharge performance of LaFeO3 coated with C/Ni as anode material for NiMH batteries. Prog. Nat. Sci. Mat. Int. 2022, 32, 684–692. [Google Scholar] [CrossRef]












| Sample | Phases Found | Lattice Parameters (Å) | Abundance of Phase (wt%) | Crystallite Size Ds (nm) | Crystallite Size DW-H (nm) | Sig | Fit Parameters |
|---|---|---|---|---|---|---|---|
| ZnLaFeO4 | LaFeO3 | a = 5.562 b = 7.841 c = 5.549 | 54.88 | 36.45 | 54.32 | 1.8 | Rwp = 6.11; Rb = 5.77 Rexp = 5.36 |
| La2O3 | a = 3.956 c = 6.137 | 33.23 | |||||
| ZnFe2O4 | a = 8.439 | 11.89 |
| Material | Nmax | Qdisch,max (mAh/g) | Qdich80 (mAh/g) | R80 (%) | K (cycle−1) | CM (g·cm−3) | rcorr (g·cm−3·cycle−1) | |
|---|---|---|---|---|---|---|---|---|
| ZnLaFeO4 | 46 | 106 | 74 | 69.81 | −0.00495 | 0.01140 | 2.028 | 0.02311 |
Disclaimer/Publisher’s Note: The statements, opinions and data contained in all publications are solely those of the individual author(s) and contributor(s) and not of MDPI and/or the editor(s). MDPI and/or the editor(s) disclaim responsibility for any injury to people or property resulting from any ideas, methods, instructions or products referred to in the content. |
© 2025 by the authors. Licensee MDPI, Basel, Switzerland. This article is an open access article distributed under the terms and conditions of the Creative Commons Attribution (CC BY) license (https://creativecommons.org/licenses/by/4.0/).
Share and Cite
Gharbi, H.; Zayani, W.; Dabaki, Y.; Khaldi, C.; ElKedim, O.; Fenineche, N.; Lamloumi, J. Structure and Electrochemical Behavior of ZnLaFeO4 Alloy as a Negative Electrode in Ni-MH Batteries. Energies 2025, 18, 3251. https://doi.org/10.3390/en18133251
Gharbi H, Zayani W, Dabaki Y, Khaldi C, ElKedim O, Fenineche N, Lamloumi J. Structure and Electrochemical Behavior of ZnLaFeO4 Alloy as a Negative Electrode in Ni-MH Batteries. Energies. 2025; 18(13):3251. https://doi.org/10.3390/en18133251
Chicago/Turabian StyleGharbi, Houyem, Wissem Zayani, Youssef Dabaki, Chokri Khaldi, Omar ElKedim, Nouredine Fenineche, and Jilani Lamloumi. 2025. "Structure and Electrochemical Behavior of ZnLaFeO4 Alloy as a Negative Electrode in Ni-MH Batteries" Energies 18, no. 13: 3251. https://doi.org/10.3390/en18133251
APA StyleGharbi, H., Zayani, W., Dabaki, Y., Khaldi, C., ElKedim, O., Fenineche, N., & Lamloumi, J. (2025). Structure and Electrochemical Behavior of ZnLaFeO4 Alloy as a Negative Electrode in Ni-MH Batteries. Energies, 18(13), 3251. https://doi.org/10.3390/en18133251

