Next Article in Journal
Numerical Analysis of Conditions for Partial Discharge Inception in Spherical Gaseous Voids in XLPE Insulation of AC Cables at Rated Voltage and During AC, VLF and DAC Tests
Previous Article in Journal
A Multi-Objective Optimization Approach for Generating Energy from Palm Oil Wastes
 
 
Font Type:
Arial Georgia Verdana
Font Size:
Aa Aa Aa
Line Spacing:
Column Width:
Background:
Article

Revealing the Roles of Heat Transfer, Thermal Dynamics, and Reaction Kinetics in Hydrogenation/Dehydrogenation Processes for Mg-Based Metal Hydride Hydrogen Storage

School of Merchant Marine, Shanghai Maritime University, Shanghai 201306, China
*
Author to whom correspondence should be addressed.
Energies 2025, 18(11), 2924; https://doi.org/10.3390/en18112924
Submission received: 15 April 2025 / Revised: 28 May 2025 / Accepted: 29 May 2025 / Published: 4 June 2025
(This article belongs to the Section A5: Hydrogen Energy)

Abstract

Hydrogen is critical for achieving carbon neutrality as a clean energy source. However, its low ambient energy density poses challenges for storage, making efficient and safe hydrogen storage a bottleneck. Metal hydride-based solid-state hydrogen storage has emerged as a promising solution due to its high energy density, low operating pressure, and safety. In this work, the thermodynamic and kinetic characteristics of the hydrogenation and dehydrogenation processes are investigated and analyzed in detail, and the effects of initial conditions on the thermochemical hydrogen storage reactor are discussed. Multiphysics field modeling of the magnesium-based hydrogen storage tank was conducted to analyze the reaction processes. Distributions of temperature and reaction rate in the reactor and temperature and pressure during the hydrogen loading process were discussed. Radially, wall-adjacent regions rapidly dissipate heat with short reaction times, while the central area warms into a thermal plateau. Inward cooling propagation shortens the plateau, homogenizing temperatures—reflecting inward-to-outward thermal diffusion and exothermic attenuation, alongside a reaction rate peak migrating from edge to center. Axially, initial uniformity transitions to bottom-up thermal expansion after 60 min, with sustained high top temperatures showing nonlinear decay under t = 20 min intervals, where cooling rates monotonically accelerate. The greater the hydrogen pressure, the shorter the period of the temperature rise and the steeper the curve, while lower initial temperatures preserve local maxima but shorten plateaus and cooling time via enhanced thermal gradients.

Graphical Abstract

1. Introduction

The energy sector is a central pillar of the global economy, supplying about 80% of the world’s industrial production and daily life energy needs. Fossil fuels account for about 80% of global energy consumption and, when burned, emit greenhouse gases (GHGs) and other pollutants. The International Energy Agency (IEA) estimates that global carbon dioxide emissions reached 3.7 billion tons in 2023, about 73% of the total global emissions [1]. Sulfur oxides (SOx) and nitrogen oxides (NOx) are about 50 million tons, bringing severe environmental pressure. Among them, carbon dioxide (CO2) accounts for about 80% of the greenhouse gases, which impacts climate change, sea level, and weather [2,3,4]. Taking the shipping industry as an example, the International Maritime Organization (IMO) has committed to adopting alternative zero or near-zero GHG fuels by 2030 in its Greenhouse Gas Emission Strategy for ships, adopted in 2023 [5]. It also plans to reduce CO2 emissions to 40% of 2008 levels by 2030 and 70% by 2050 [6]. With the growing environmental problems and the urgent need to address the energy transition faced, the Group of Twenty (G20) in 2021 proposed using more renewable energy sources. Hydrogen energy, as a very desirable and potential clean energy source, has significant advantages, such as high-quality energy density, no carbon emission, and no release of harmful gases (e.g., NOx, SOx, etc.) [7]. Hydrogen, which can be produced in various ways, such as through electrolysis of water, natural gas reforming, etc., provides higher flexibility and sustainability compared to fossil energy, biomass, etc. [8]. In addition, hydrogen can be used as a storage medium for renewable energy sources such as wind and solar energy to solve the problem of intermittency in renewable energy generation [9]. The mass-energy density of hydrogen energy is about 120 MJ/kg, five times that of coal and 2.7 times that of gasoline and diesel [10]. Hydrogen as a fuel can significantly reduce transportation loads, improving energy efficiency and range while reducing the need for energy consumption [11]. Developing hydrogen-powered equipment and systems to promote the green energy transition centered on the hydrogen energy strategy has become one of the scientific research priorities of various developed countries [12]. The shipping decarbonization strategy (SDS) proposed by the European Union (EU) emphasizes the importance of this strategy (SDS), proposed by the EU, and the potential of hydrogen energy in reducing carbon emissions from shipping [13]. As the largest developing country in the world, China has explicitly proposed in its 14th Five-Year Plan and Vision 2035 outline to promote the application of the hydrogen energy industry in transportation, industry, and other fields [14]. The hydrogen power whole industry chain (HPTSU) includes preparation, storage, transportation, and utilization [15]. Hydrogen storage, as the most critical link, directly affects the throughput of the whole industry chain, using hydrogen refueling stations as storage. One of the cores of its integrated equipment is hydrogen storage, which is an important part of hydrogen. The scale of China’s hydrogen refueling station integrated equipment reached CNY 4.87 billion in 2024, and the scale of integrated equipment is expected to be CNY 7.11 billion by 2026, with a growth rate of 46% [16].
A hydrogen refueling station is an important part of hydrogen storage; one of the cores of its integrated equipment is hydrogen storage. The existence state of hydrogen is affected by the three-phase point (13.81 K and 7.042 KPa) and the critical pressure point (33.19 K and 1.293 MPa), and based on the existence state, hydrogen storage technologies can be categorized into gaseous hydrogen storage, liquid hydrogen storage, and solid-state hydrogen storage [17]. Solid-state hydrogen storage technology has become one of the most promising hydrogen storage methods due to its advantages of low cost, high energy density, and strong safety [18,19]. Solid hydrogen storage materials mainly comprise four types: (1) metal hydrides including Mg-based materials (e.g., MgH2 with 7.6 wt% capacity but requiring >300 °C operation, improvable via catalysts like Ni/Fe or nanostructuring) and rare-earth materials (e.g., LaNi5 with 1.4 wt% capacity but moderate operating conditions); (2) complex hydrides such as NaAlH4 and LiBH4 (theoretical capacity up to 18 wt% but suffering from high temperatures and poor kinetics, requiring catalyst doping or nanoconfinement) [20]; (3) metal–organic frameworks (MOFs) exhibiting excellent low-temperature performance due to high surface area and tunable porosity, though with limited room-temperature capacity; and (4) carbon-based materials including activated carbon, carbon nanotubes, and graphene, which store hydrogen through physical adsorption, offering low-cost solutions primarily for cryogenic applications. Among the existing solid-state hydrogen storage materials, metal hydrides have attracted much attention because of their high hydrogen storage capacity. Magnesium metal is a cheap and easy-to-obtain material, and magnesium hydride (MgH2) has a hydrogen storage capacity of 7.6 wt%, making it a promising metal hydride [21].
However, it suffers from sluggish kinetics, as the hydrogenation/dehydrogenation processes require overcoming high activation energies, resulting in limited reaction rates. Existing studies have improved the material’s performance through strategies including catalyst addition/alloying, synergistic effects of composite hydrides, and nanostructuring/ball milling processes. Huot et al. [22] demonstrated that while ball milling reduced the specific surface area to one tenth of its original value, it significantly enhanced the reaction kinetics. Shen et al. [23] proposed a dual-regulation strategy by incorporating LiBH4 (for thermodynamic tuning to enable reversible hydrogen storage and reaction enthalpy modification) and YNi5 alloy (for kinetic enhancement through in situ formation of MgNi3B2 and YH3 catalysts to facilitate hydrogen diffusion and optimize interfacial structure). This approach achieved remarkable performance in MgH2−0.04LiBH4−0.01YNi5 composites, demonstrating 7 wt.% hydrogen release within 10 min at 300 °C with 90.3% capacity retention after 110 cycles. Zhiqiang Lan et al. [24] reported that their Ni-N-C ternary nanocomposites could be fully hydrogenated in just 60 min at 100 °C, with DSC tests revealing substantially lowered dehydrogenation energy barriers. Remarkably, the material maintained 99.5% of its capacity through 100 cycles. Thermal management represents another critical factor affecting metal hydride performance. Huijin Xu et al. [25] demonstrated that aluminum foam–metal hydride composite reactors significantly improve thermal conductivity to enhance heat transfer. Tong et al. [26] found that double-spiral coil reactors outperformed combined spiral–vertical tube designs during hydrogenation in comparative studies of different reactor configurations. These approaches share a common requirement for either dissipating reaction heat or supplying external desorption heat, which inevitably reduces overall energy efficiency. To optimize heat utilization, a more promising solution involves integrating thermal energy storage modules, such as carbonate-based systems. Beyond thermal management optimization, low-cost regeneration of hydrogen storage materials is equally crucial, as it indirectly reduces overall system energy consumption by minimizing raw material usage. Yongyang Zhu et al. [27] developed a room-temperature ball milling process that regenerates NaBH4 with 78.9% yield by treating NaBH4 hydrolysis products with CO2, followed by ball milling with magnesium powder. This method eliminates the need for high temperature/pressure and expensive reagents, enabling hydrogen storage material recycling and facilitating practical applications of solid-state hydrogen storage technology.
The hydrogen adsorption process has two main stages [18,28]. The first stage is physisorption, in which hydrogen molecules gradually approach the metal surface. When the hydrogen molecules are close enough to the metal surface, the van der Waals force prompts the hydrogen molecules to adsorb on the metal surface, forming a physisorption state. If heated, the hydrogen molecule will absorb the dissociation energy and decompose into two hydrogen atoms, and the activation energy will increase. The second stage is chemical adsorption, where the hydrogen atom approaches the metal surface, shares electrons with the metal atoms, and forms a metal–hydrogen bond, releasing energy. With the migration and leaping of hydrogen atoms, hydrogen atoms diffuse on the metal surface and expand further in the interstices of the metal lattice. In the chemisorption stage, when hydrogen molecules dissociate into hydrogen atoms, the reactants must overcome a certain energy barrier: the reaction excitation energy [29]. After heating provides sufficient excitation energy, hydrogen atoms contact the metal surface and form metallic hydrogen bonds. At this point, the energy released to form the metallic hydrogen bond is greater than the excitation energy, so the hydrogen absorption is an exothermic process. The opposite is true for hydrogen desorption, where the metal hydride absorbs heat and decomposes to release hydrogen. The magnesium-based hydrogen storage process is based on a gas–solid thermochemical reaction, and its chemical reaction process can be described by Equation (1) [30]:
M g s + H 2 g M g H 2 s + H H = 75 k J m o l 1
Chaise [31] investigated some relevant properties of MgH2 hydrogen storage, but the analysis was not comprehensive. Therefore, based on previous studies, this study aims to investigate and analyze the phenomenological changes in hydrogenation and dehydrogenation processes in magnesium-based MH configuration systems. This paper is structured as follows: First, the model of the MH system is introduced. Then, the three-dimensional mathematical modeling of heat and mass transfer in MH is presented in further detail. Finally, this study’s results are discussed, and the effects of different initial conditions on the hydrogen storage performance are analyzed.

2. Physical Problem and Modeling

2.1. Model Description of the MH System

Magnesium hydride (MgH2), as a hydrogen storage material, has a high hydrogen storage density, but its thermodynamic and mechanical properties require the reactor design to consider several factors.
The generation and decomposition reactions of MgH2 are affected by temperature and pressure. Dehydrogenation of MgH2 is more difficult at room temperature, and heating is required to initiate the hydrogenation process. The dehydrogenation reaction usually takes place at about 350 °C to 400 °C, so the reactor must withstand temperatures as high as 400 °C and resist high temperatures. Hydrogen release must occur at higher gas pressures, and the reactor needs to be designed to withstand pressures as high as 1.5 MPa or even higher and resist high pressures. When the reaction occurs, the MgH2 powder may diffuse inside the vessel. This can affect the stability of the reactor and lead to an inhomogeneous hydrogenation process. Therefore, the reactor adopts a hermetically sealed design, internal coating, or special structure to avoid leakage and diffusion of the powder; MgH2 undergoes volume expansion during the reaction, and the volume of the hydride is approximately twice the original volume of magnesium. Therefore, the reactor must be robust enough to withstand the mechanical stresses generated by the volume expansion during the hydrogenation process to avoid structural damage due to excessive expansion forces [32].
The MgH2 hydrogen storage reactor is designed as a three-dimensional cylindrical structure exhibiting symmetry. To streamline the calculations, the longitudinal two-dimensional cross-section is utilized as a unit for analysis. A comparable approach to research methodology was employed by Hafsa El Mghari et al. [33]. The reactor has a height of 700 mm, a radius of 350 mm, and a volume of 270 cm2. The interior is filled with approximately 50% by volume of ball-milled magnesium hydride powder containing 4% Ti-Ve-Cr additives [34]. The reactor is covered with a layer of 316L-grade stainless steel, and the outermost shell is aluminum. As shown in Figure 1, heat is carried away by conduction through the vessel walls, the vessel shell, and natural convection with the surrounding air, and H2 flows in and out through the pass-through.
Many studies have been conducted on mathematically modeling a metal hydride hydrogen reactor, and scholars have used different methods to provide an in-depth analysis of the reactor’s heat and mass transfer processes. Some simplify the system by considering the main physical phenomena during hydrogenation. Kuznetsov and Vafai [35] presented theoretical criteria for judging the model’s validity without needing experimental tests. The models involved assumptions such as local thermal equilibrium, steady-state, and frontal model approximation. Jemni et al. [36] further showed that the pressure gradient had a negligible effect on reactor performance, supporting the assumption of uniform pressure. Mayer et al. [37] created a two-dimensional mathematical model to study the hydrogenation and dehydrogenation process, neglecting convective effects. The simulation results are in better agreement with the experimental data. Aldas et al. [38] performed three-dimensional simulations and showed that neglecting the gas flow only affects the temperature distribution, while other parameters (e.g., pressure) are little affected.
To simplify this study, the following assumptions are adopted [39]: (1) Localized thermal equilibrium is effective in porous media. (2) Hydrogen is an ideal gas and is fed into the reactor at a constant pressure, where the effects of hydrogen pressure gradients and hydrogen flow rates are neglected. (3) Natural convection and thermal radiation within the hydride powder are negligible, and the powder is considered translucent, gray, absorptive, emissive, and diffusive; the thermophysical properties of the metal hydride remain unchanged.

2.2. Mathematical Modeling

2.2.1. PCT Curve

For the hydrogenation and dehydrogenation processes of metal hydrides, we are more concerned with solving for the pressure at equilibrium. Therefore, it is necessary to deform the standard form of the Van’t Hoff equation (Equation (2)) to relate it to the change in pressure. The deformed expression is Equation (2).
l n K 2 K 1 = Δ H R g 1 T 2 1 T 1
ν H 2 ln P e q P 0 = Δ H R g 1 T + Δ S R g
From Equation (3), it is known that the enthalpy of chemical reaction ( Δ H and entropy of chemical reaction ( Δ S ) of hydrogen can be used to calculate the equilibrium pressure from the temperature. The activation barriers that must be overcome for hydrogen to be used in forming hydrogen–metal bonds are different for different metals. Therefore, the equilibrium pressures are different for different materials. Using the equilibrium pressure of hydrogen ( P e q ) as the dependent variable and 1 T as the independent variable, the measured data are plotted as a linear function. The slope of the graph is the enthalpy of generation divided by the gas constant ( R g ), and the intercept is the entropy of generation divided by the gas constant. On this basis, depending on the hydrogen concentration, the metal hydride exhibits different phases. Such a function curve is called the PCT (pressure–composition–temperature curve), as shown in Figure 2a. We calculate the enthalpy change in reaction and entropy change in chemical reaction according to the thermodynamic principle, deform Equation (3) to get Equation (4), and plot the equilibrium curve of the Mg/MgH2 system according to Equation (4), as in Figure 2b.
P e q P 0 = exp 9020.23   ° C T + 273.15   ° C + 16.3098

2.2.2. Energy Equation

Assuming thermal equilibrium is reached between hydrogen and metal hydride, there is [40,41]
ρ · C p eff T t = λ eff · 2 ( T ) + S
In Equation (5), the first term on the left side is the heat accumulation term, which describes the heat storage effect due to the change in local temperature with time, where   ( ρ · C P ) e f f is the adequate heat capacity, the effective parameter is suitable for simulating the heat conduction in the complex multiphase medium, and its calculation expression is
ρ · C P e f f = ε · ρ H 2 · C P H 2 + 1 ε · ρ M H · C P M H
In the expression, ε is the porosity, ρ is the density, and C P is the heat capacity. The thermal conductivity inside the reactor is an important factor affecting heat transfer. The first term on the right is thermal conductivity, which describes the heat transfer caused by the temperature gradient. Below, λ e f f is the effective thermal conductivity, and the expressions for no foam metal added and foam metal added are, respectively [41],
λ e f f = ε λ H 2 + 1 ε λ M H
λ e f f F o a m = ε F o a m ε λ H 2 + 1 ε λ M H + 1 ε F o a m λ F o a m
In the convection term, 2 ( T ) is the Laplace operator of temperature, which describes the temperature gradient change in space. After the hydrogenation or dehydrogenation process occurs, the metal hydride can be used as a heat source, and S in Equation (5) is the heat source term. The expression is given by [40]
S = ρ m ω t 1 ε M X t Δ H
where w t is the alloy’s maximum hydrogen absorption mass content, X t is the kinetic reaction term, and H ° is the reaction molar enthalpy.

2.2.3. Mass Balance

The possibility of avoiding the calculation of hydrogen flow in hydride storage tanks during adsorption was investigated [40]. From that work, three conditions have to be satisfied to neglect the influence of the gas flow: (1) convective heat transfer is negligible compared to thermal diffusion; (2) sensible energy required to change the temperature in the reactor is negligible compared to the heat of reaction; and (3) pressure changes caused by hydrogen flow have a negligible effect on the rate of reaction.
The Peclet number ( P e ) is a dimensionless number used to measure the relative importance of convective heat transfer versus thermal conductivity and is expressed as
P e = V L ρ C p k
where V is the fluid velocity, L is the characteristic length, and k is the thermal conductivity. Thermal diffusion dominates when P e << 1 when convective heat transfer can be neglected. When studying the MH reactor, the flow of hydrogen and the pressure distribution affect the reaction rate, and errors are introduced when the flow equations are neglected to simplify the calculations. The dimensionless numbers C and N, proposed by Ref. [31] for evaluating such relative errors, are expressed as
C = P e q T L h e a t 2 1 ε w t ρ M H Δ H λ H 2 k 0 e E a / R T P e q
N = λ M L H 2 2 μ P e q T Δ H K L h e a t 2
where L g a s is the typical dimension of pressure variation, L h e a t is the typical dimension of temperature variation, κ is the permeability, and k 0 is the kinetic law coefficient. Pressure variations due to flow do not affect the hydrogenation rate when the criteria C >> 1 and N << 1 are satisfied. For all cases in the numerical simulations, the hydrogen flow is assumed to be negligible, and the pressure in the MH bed is considered uniform.
In our case, the axial height of the tank ( L g a s ) is 0.07 m, and the tank radius ( L h e a t ) is 0.035 m. We estimate a characteristic velocity of V = 3 × 10⁴ m/s from the mean mass flow rate. This gives a Peclet number ( P e ) of 0.2. Although this value is close to unity, heat convection remains negligible compared to conduction. Table 1 lists the main parameters of the calculation. Calculations give C > 1000 and N < 10−3, showing that thermal diffusion dominates the reaction kinetics and controls the hydrogenation process, with pressure changes having a negligible effect on hydrogenation. Based on these findings, our numerical simulations can neglect the hydrogen flow. Consequently, the pressure distribution is treated as spatially uniform while remaining time-dependent. The pressure evolution within the powder bed is calculated through a dedicated subroutine that accounts for the following: (1) hydrogen inflow through the filter, (2) hydrogen consumed during the reaction, and (3) hydrogen occupying the void spaces, maintaining mass balance throughout the process.

2.2.4. Kinetic Reactions

The high reactive activation energy of metal hydrides’ hydrogenation/dehydrogenation process can lead to a limited reaction rate. In research, ball milling techniques often enhance the reactivity of hydrogenation/dehydrogenation. However, although the ball milling treatment can significantly enhance the material properties, the specific mechanism of its effect on the hydrogenation kinetics is still complex and variable. It needs to be analyzed in depth by experimental studies. Multiple mechanisms coincide within and on the surface of particles during hydrogenation, including diffusion limitation, interfacial chemical reaction limitation, and physical processes such as particle rupture or reorganization.
Meanwhile, the temperature significantly affects the dominance of these mechanisms. For example, at lower temperatures, diffusion may be the dominant limiting step, while at higher temperatures, chemical reactions may dominate. This mechanism switching complicates the study and interpretation of the kinetics. The goal of this study is primarily to describe the kinetic laws of metal hydrides rather than to delve into the specific physical or chemical mechanisms controlling the kinetics. Therefore, this paper does not provide further physicochemical interpretations of the resulting kinetic laws; instead, it focuses on a quantitative description of the hydrogenation process using experimental data and fitted models.
The kinetic functions for adsorption and desorption are essential to studying hydrogenation and dehydrogenation processes. For the adsorption process, the kinetic function is
f P = P P e q P e q
This function indicates that the adsorption rate is proportional to the difference between the actual and equilibrium pressure. When the actual pressure of hydrogen is higher than the equilibrium pressure, the reaction tends to adsorb hydrogen, where P-Peq represents the excess pressure of hydrogen, and this excess pressure is the driving force for the adsorption rate. For the desorption process, the kinetic function is
f P = ln P P e q
This function indicates that the hydrogen desorption rate is proportional to the logarithm of the ratio between the actual pressure and the equilibrium pressure. When the actual pressure of hydrogen is lower than the equilibrium pressure, the logarithmic value is negative, indicating that dehydrogenation occurs.
The Arrhenius equation describes the effect of temperature on the hydrogenation reaction rate. Its expression is given by
k T , P = k 0 f P exp E a R T
where k is the reaction rate constant, k 0 is the frequency factor, E a is the activation energy, which indicates the sensitivity of the reaction rate to temperature changes, and R is the gas constant. f ( P ) is the thermodynamic function of the adsorption or desorption process (Equations (13) and (14)). Plotting ln(k)—ln (( P / P e q ) − 1) vs. 1 T for kinetics analysis, measured at 1 MPa and 0.2 MPa, allows us to determine E a and k 0 during absorption. Results showed that E a = 132 kJ/mol and k 0 = 9.89 s−1 when the pressure is 1 Mpa, and at a pressure of 0.2 Mpa,   E a   = 128 kJ/mol and k 0 = 1.1410 s−1. According to the conclusions of studies, the activation energy E a and the frequency factor k 0 of the hydrogenation reaction are almost insensitive to the pressure change, and in order to simplify the numerical calculations, the central values of E a = 130 kJ/mol and k 0   = 1010 s−1 are used. The dehydrogenation reaction is similar, and the activation energy E a and the frequency factor k 0 of the hydrogenation reaction are E a = 40 kJ/mol and k 0 = 10 s−1, respectively. The derivation of the kinetic law is based on the Arrhenius equation. For the adsorption process (hydrogenation), the kinetic expression is
P > 2 P e q   d α d t = k 0 α 1 2 ln 1 α P P e q P e q exp E a R T .
P e q > P > 2 P e q   d α d t = k 0 1 α P P e q P e q exp E a R T
For the desorption process (dehydrogenation), the kinetic expression is
P > 2 P e q   d α d t = 2 k 0 α ln α 0.5 ln P P e q exp E a R T
where the equilibrium pressure of the Van’t Hoff equation can solve P e q .

3. Numerical Solution and Validation

3.1. Initial and Boundary Conditions

For ease of description, each boundary condition for a conventional metal hydride hydrogen storage reactor is labeled in Figure 3. During hydrogenation, the initial reactor temperature is set to 300 °C, the initial pressure is set to 0.17693 MPa, and the initial value of the metal hydride conversion rate is set to 0.01. At the beginning of the reaction, hydrogen enters the reactor through boundary 4 and comes into contact with the metal hydride. The pressure at which the hydrogen is passed is set to 0.8 MPa. The hydrogenation reaction occurs since this pressure value is higher than the equilibrium temperature corresponding to the initial temperature. During the hydrogen release process, the reactor has an initial temperature of 300 °C and an initial pressure of 0.2 MPa, and hydrogen is released from boundary 4 of the metal hydride bed at a pressure of 0.2 MPa. The hydrogen storage vessel is made of 316 L-grade stainless steel with a powdered metal hydride (magnesium hydride) inside and an aluminum shell clad on the outside to help distribute the temperature uniformly. Heat is transmitted through the vessel walls to the hydrogen storage material during hydrogen adsorption. This study employs a simplified geometric model that is considerably smaller than the actual hydrogen storage system. In the modeling procedure, boundary 4 is established as a uniform boundary condition for the hydrogen inflow and output. This results from the model’s reduced size, and the constraints of the volume effect diminish the impact of inlet localization. This study primarily focuses on the comprehensive thermodynamic behavior and kinetic processes within the hydrogen storage tank rather than the localized flow characteristics at the boundaries. This streamlined approach can significantly enhance computational efficiency while maintaining accuracy, aligning with the primary aim of this research. In the simulation of the dehydrogenation process, it is presumed that the temperature remains constant throughout. Optimal temperature conditions can be achieved by incorporating adjustable heating coils within the shell to supply the requisite heat for hydrogen desorption. In contrast, heat is conducted through the hydrogen storage vessel shell to the surrounding air and dissipated by natural convection. During hydrogen desorption, to maintain proper temperature conditions and provide the heat required for hydrogen desorption, it is assumed that the vessel is equipped with a heating coil capable of regulating the temperature of the vessel so that the temperature is maintained within a proper range. The specific initial and boundary conditions are shown in Table 2. In addition, the relevant physical property parameters are summarized in Table 1.

3.2. Numerical Methods and Model Validation

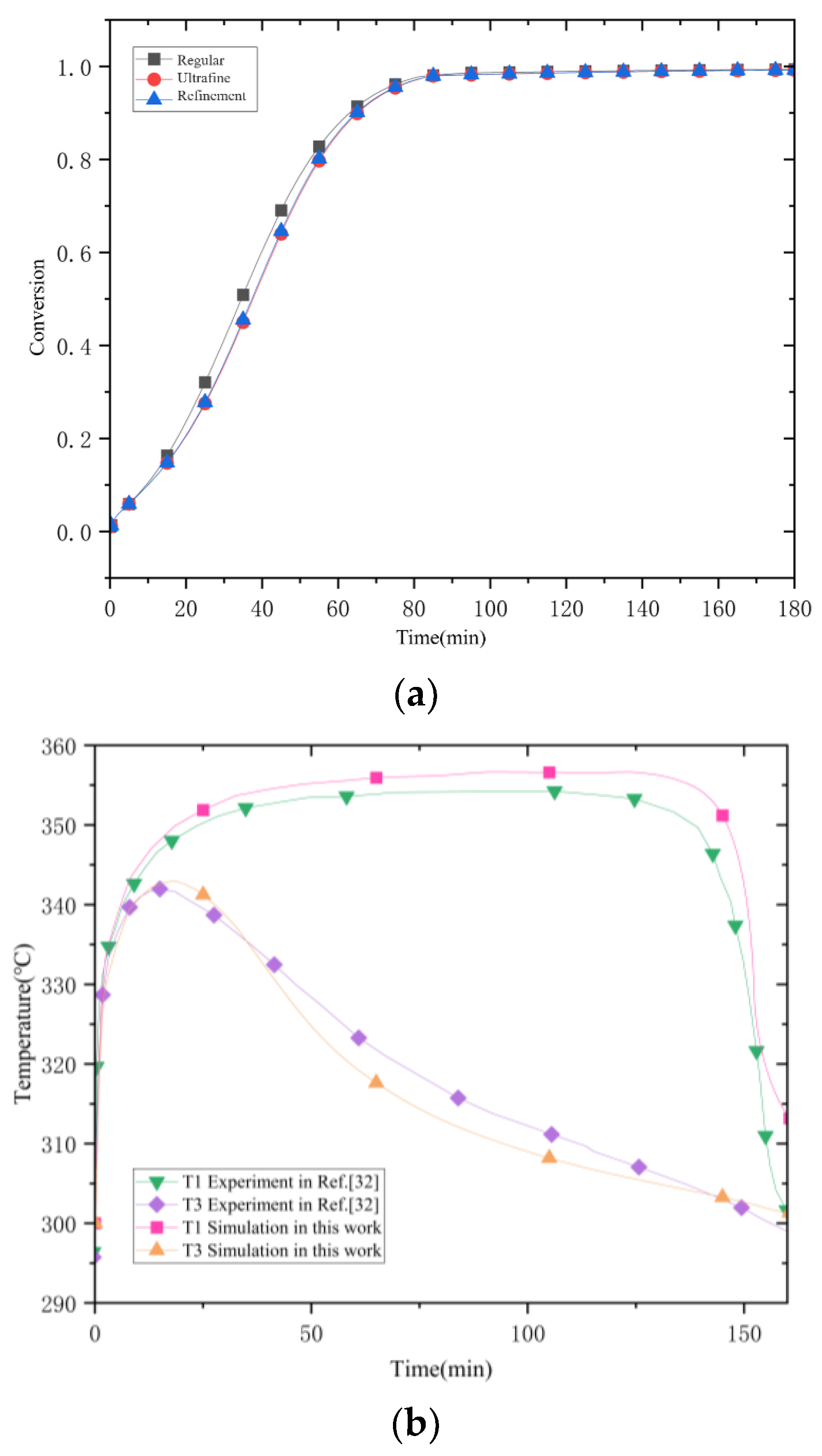
In this study, a multiphysics field numerical model is developed to simulate the hydrogen addition and release processes in a metal hydride hydrogen storage reactor, including the physics fields of reaction kinetics, fluid flow, heat transfer in porous media, domain ordinary differential equations, and differential algebraic equations. To determine the grid division of the model, it is necessary to verify the effect of the number of grid divisions on the experimental results. The physical field control grid in the COMSOL Multiphysics 6.2 software is selected, and simulations are performed for the three divisions: regular (number of meshes is 30,536), ultrafine (number of meshes is 58,529), refinement (number of meshes is 108,817). The reaction progress at the monitoring point (2.5, 3.5) is selected as the evaluation index. From Figure 4a, it can be seen that the number of meshes changes from 30,536 to 58,529, and the curve changes are more obvious, which indicates that the simulation accuracy using the regular mesh is not high enough. When the number of meshes is changed from 58,529 to 108,817, the curves overlap, the calculation results no longer change significantly, and the average deviation of the two calculation results is 0.0025, which satisfies the requirement of calculation accuracy. The ultrafine mesh size of 58,529 is finally chosen to simulate the hydrogen loading process of conventional metal hydrides.
In order to validate the numerical model, the experimental results of this study are compared with those of Ref. [31], as shown in Figure 4b. The simulation results have a high degree of fit with the experimental data. However, there is also part of an error. In the case of T1, the maximum temperature of the simulation results is slightly higher than that of the experimental data, and the possible reasons involve the kinetic parameters and the gas pressure. The kinetic parameters are usually derived from thermogravimetric analyses, and this experiment was performed under ideal conditions, which may have overestimated the reaction rate of the actual hydrogen charging process. In addition, metal hydrides may agglomerate in the hydrogen storage reactor, affecting the actual reaction kinetics and thus biasing the simulation temperature.
On the other hand, the numerical calculations may overestimate the hydrogen pressure in the reactor. During hydrogenation, microstructural changes in the metal hydrides may reduce hydrogen mobility, limiting local reaction. Since the maximum temperature of the hydrogenation reaction is controlled by the equilibrium temperature, which depends on the pressure, the reaction temperature will increase if the pressure is overestimated in the simulation, resulting in discrepancies between the simulation results and the experimental data.

4. Results and Discussion

4.1. Stress Discussion

In the hydrogenation process, the interpolation function is employed to expedite the increase in hydrogen filling pressure, which then decelerates to attain the target pressure value. Conversely, in the dehydrogenation process, the system stabilizes under an initial constant pressure, and upon triggering the reaction, it swiftly diverges from the equilibrium state. The pressure curve exhibits a pronounced decline. Subsequently, as the dehydrogenation reaction advances, magnesium hydride (MgH2) persistently decomposes to generate hydrogen, which is progressively expelled from the system, leading to a reduction in the hydrogen quantity and a gradual decline in pressure. The pressure diagrams for the hydrogenation and dehydrogenation processes are illustrated in Figure 5.

4.2. Hydrogenation Process

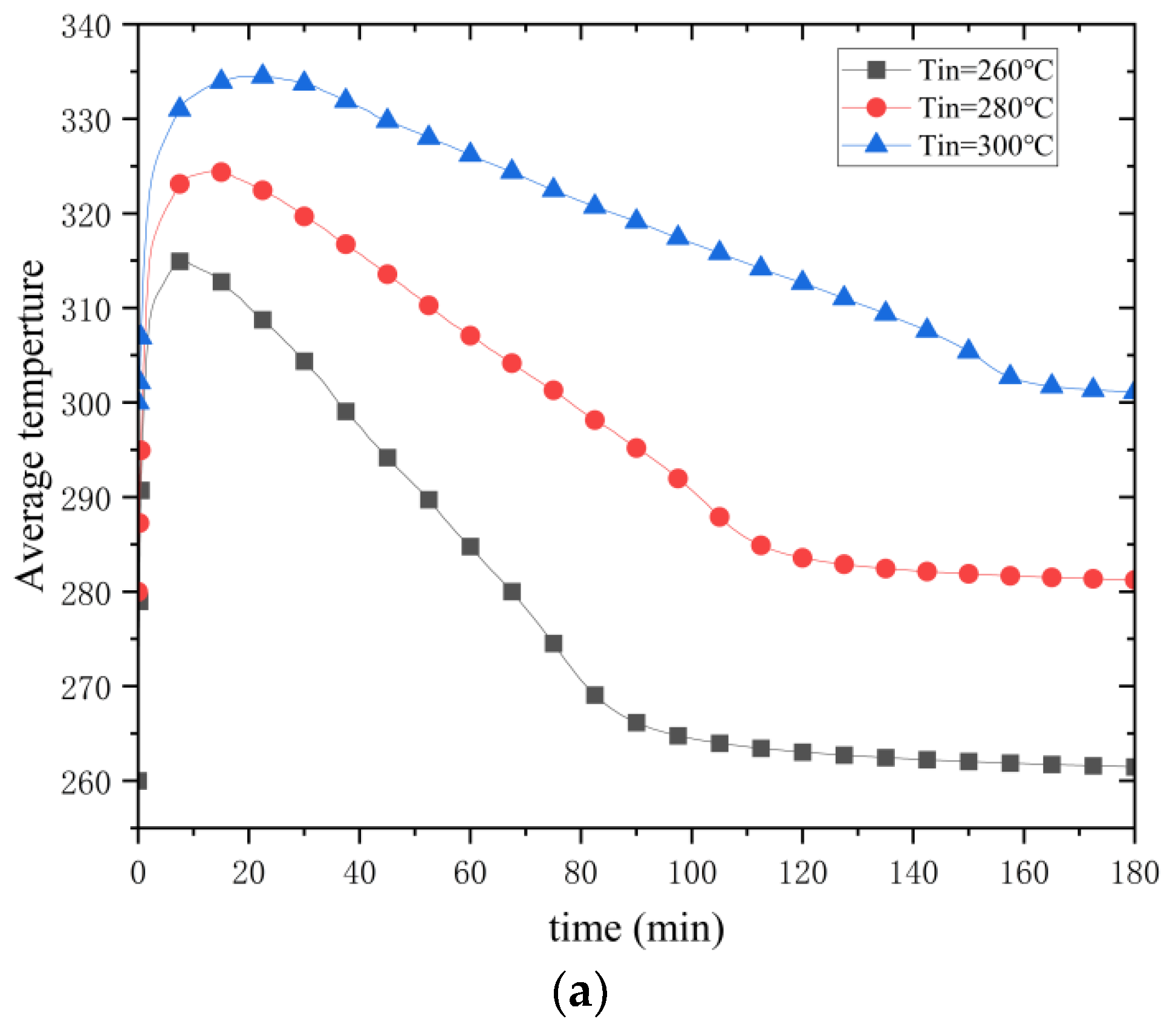
The hydrogenation process in a conventional metal hydride hydrogen storage reactor was simulated and analyzed. The metal hydride reactor bed was heated to 300 °C by an external heat source and charged with hydrogen at a pressure of 0.77 MPa. Hydrogen enters the reactor, undergoes hydrogenation with magnesium, and releases the reaction heat. Figure 6 shows the variation in the average temperature inside the reactor with time and the average reaction process during hydrogenation. At the beginning of the reaction, the average temperature inside the reactor rises sharply and reaches the highest value at 18 min, which is about 335 °C. The equilibrium temperature of the magnesium-based metal hydride reaction can be obtained according to the equilibrium temperature and equilibrium pressure relationship graph at 0.77 MPa, and the equilibrium temperature at this time is about 350 °C. The average temperature inside the reactor increases sharply and reaches the highest value at 18 min. It can be seen that after loading hydrogen, the reaction occurs violently. The average temperature of the whole reactor rapidly approaches the equilibrium temperature at this pressure in a relatively short time. The maximum average temperature of the reactor is lower than the equilibrium temperature at that pressure, with the difference in the range of 15 °C~20 °C. This indicates that the average temperature of the reactor is lower than the equilibrium temperature at that pressure for a particular reaction time, and the average temperature of the reactor is lower than the equilibrium temperature at that pressure. This indicates a smaller region of simultaneous equilibrium temperature across the reactor for a given reaction time. At 20 min, the heat generated by the reaction is conducted outward through the vessel’s inner wall, from the stainless steel inner wall to the aluminum shell, the heat diffuses outward through the aluminum shell, and the average temperature in the reactor begins to decrease. The rate of rise of the average reaction process of the reactants gradually decreases, and at 100 min, the average reaction process reaches 0.88. The rise of the reaction process is flat; at 155 min, it reaches 0.969, and the hydrogenation process in the reactor is finished. The change in the reaction process is even tinier. At this time, the average temperature falls back to 300 °C. The average temperature of the reaction process is 0.969 at 155 min, and the average temperature is even smaller.
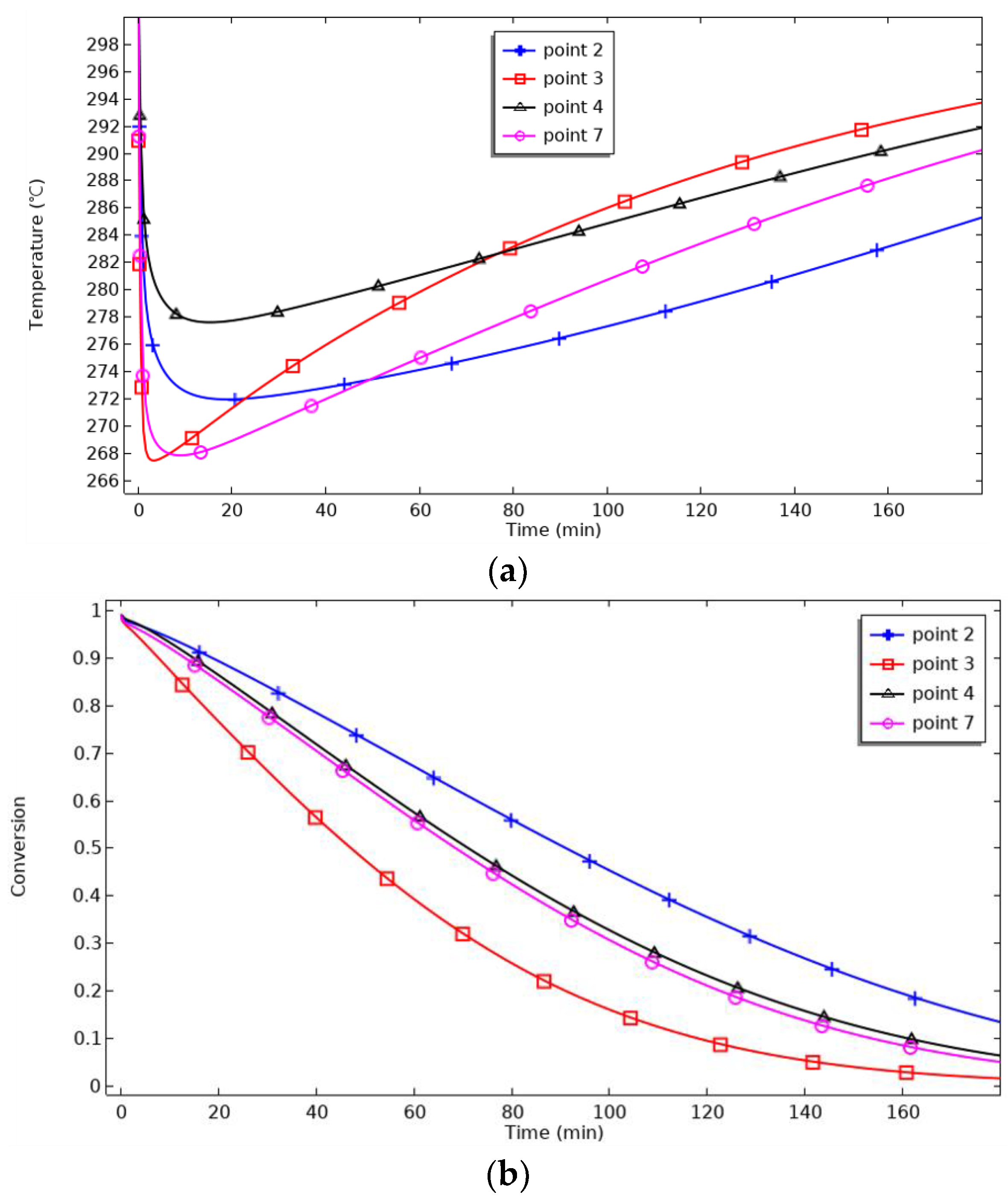
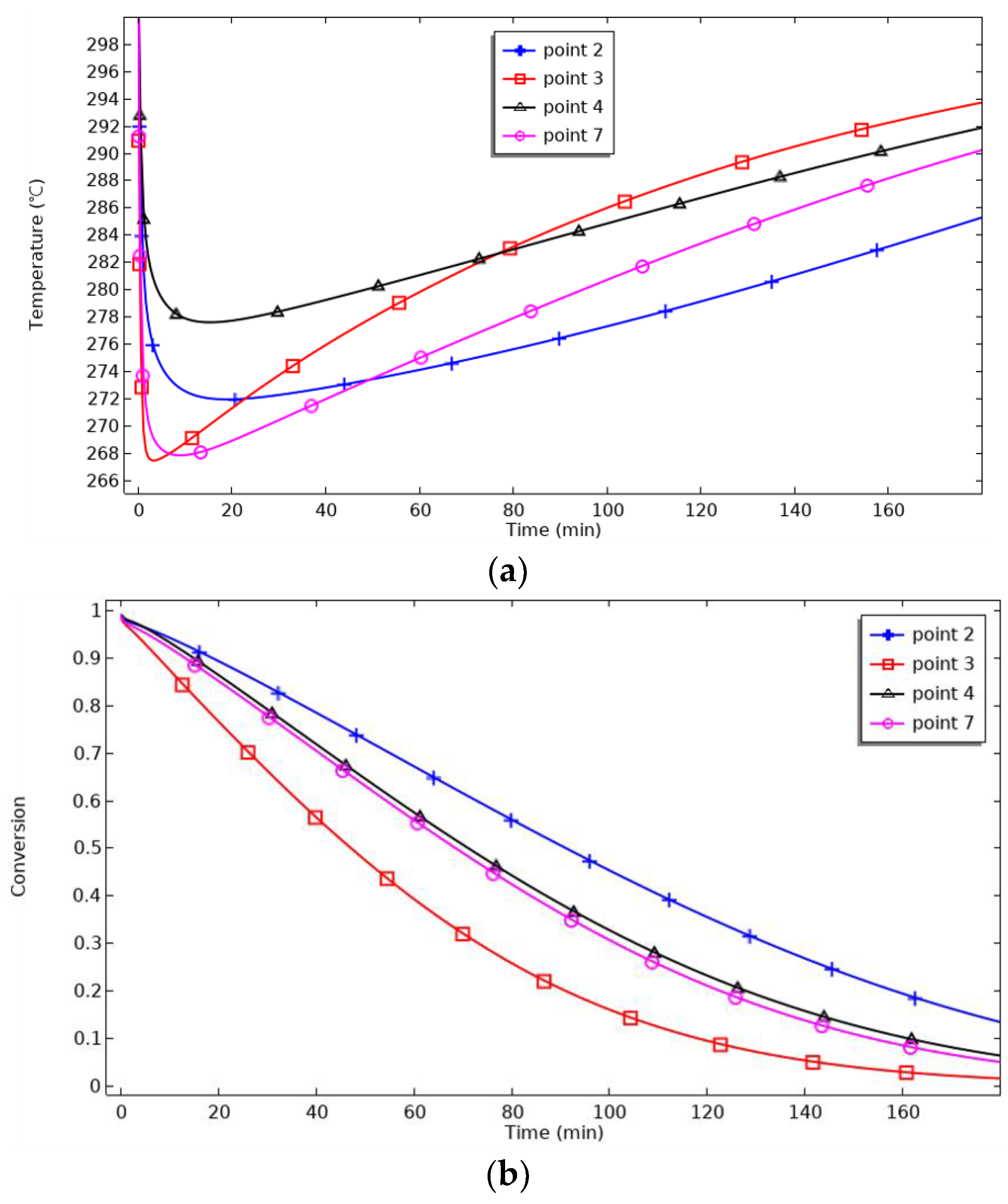
The temperature and reaction rate inside the reactor are not uniform, so it is necessary to explore the spatial distribution of temperature and reaction rate inside the reactor further and then analyze the reaction characteristics of the hydrogenation process. As shown in Figure 7, six monitoring points and two intercept lines were selected in the reactor. The coordinates of the monitoring points are P1 (0, 3.5), P2 (2.5, 3.5), P3 (2.5, 1), P4 (2.5, 6), P5 (5, 3.5), P6 (3.4, 3.5), and P7 (2.5, 1.7), respectively. The radial and axial intercepts are the extensions of the midpoints of the height and width of the reaction bed, respectively.
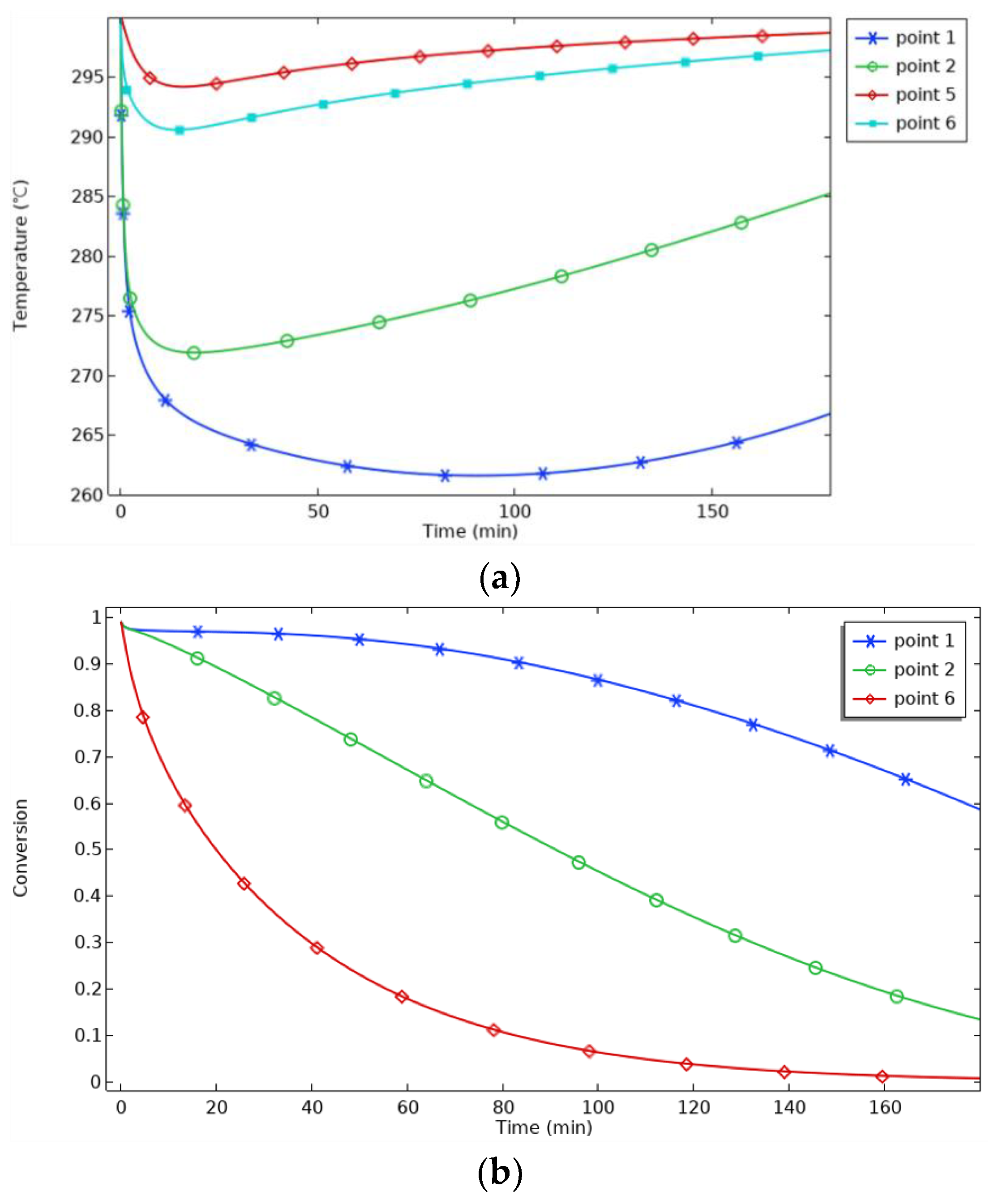
As shown in Figure 8, the temperature increase in the center area of P1 is the most significant, and the temperature at P1 rises sharply in 0~20 min, indicating that the hydrogenation reaction in the reaction bed is the main driving force for the temperature increase. After 40 min, the temperature at P1 enters a stable period. When the hydrogenation reaction reaches saturation, the exothermic rate of the reaction slows down, and the temperature increase decreases. At 130 min, the temperature increase at P1 is only 0.08%, and the progress of the reaction is only 0.08%. From the Van’t Hoff equation, it can be seen that when the equilibrium temperature increases, the equilibrium pressure also increases. Since P1 is far away from the heat sink, it is difficult to dissipate heat in time, and the higher temperature corresponds to the higher equilibrium pressure, which is close to the hydrogen charging pressure, resulting in a slow reaction rate, which is manifested as the slow progress of the reaction. Then, 130 min later, the temperature at P1 begins to decrease, representing that the hydrogenation reaction in the reaction bed is about to be completed, and P1 begins to cool down and dissipate heat. The progress of the reaction at P1 begins to rise.
The distance between P2 and P6 and the heat sink decreases, so the cooling rate increases, and the reaction progresses. P2 starts cooling at 25 min, 105 min earlier than P1, and the maximum temperature at P6 is only 312 °C, which is better. P5 is located in the external area of the reactor, and the aluminum shell has good thermal conductivity, so the heat dissipation is fast. The temperature fluctuation in this area is slight, 3.03 °C, and the temperature curve is close to the constant temperature curve of 300 °C. The temperature profile is close to the 300 °C thermostatic profile. At 60 min, the progress curves for P2 and P6 cross. Before 60 min, the progress at P6 is higher than that at P2 because of the better heat transfer at P6. After 60 min, the progress at P2 is higher than that at P6, which indicates that temperature is not the only factor affecting the progress of the reaction. The combined effects of temperature, hydrogen concentration, pressure, and reaction rate determine the progress of the reaction. To further analyze this, the hydrogen concentrations and reaction rates for P2 and P6 are plotted in Figure 9. As can be seen in Figure 9, the concentration at P2 is consistently greater than that at P6, and the reaction rate at P6 reaches a maximum at 5 min and then decreases sharply, being exceeded by P2 at 22 min. Between 20 and 60 min, the difference between the reaction rates at P2 and P6 gradually decreases, and under the influence of the cumulative effect, the reaction process at P2 exceeds that at P6 at 60 min.
Figure 10 shows the axial monitoring points’ temperature and reaction process changes. For P2, the maximum temperature is reached at 30 min, and cooling begins. For P7, the maximum temperature is reached at 25 min. P3 and P4 are close to the heat transfer surface and, therefore, reach the lowest maximum temperature and start cooling 10 min before P2 and 5 min before P7. As the relative distance to the heat transfer surface decreases, the maximum achievable temperature decreases, and the cooling starts earlier. When the reaction progress is 90%, the reaction time for P3 and P4 is 51 min, for P7 is 56 min, and for P7 is 65 min. P3 and P4 are symmetrically distributed on both sides of the metal hydride reaction bed, and their temperature and reaction progress curves in the graphs coincide, verifying the symmetry and rationality of the spatial distribution of the model. Meanwhile, the reaction time from P3 to P7 changes by 5 min, while that from P7 to P2 changes by 9 min, which indicates that the reaction progress slows down with the increase in the height of the discrete thermal surface.
In order to further understand the reaction characteristics of the hydrogenation process, we analyzed the spatial distribution of temperature and reaction rate on the radial and axial intercept. For the radial section, the temperature changes at different radius locations gradually showed obvious spatial and temporal characteristics, as shown in Figure 11. In the initial stage (5 min∼10 min), the temperature in the center region continued to rise, the temperature change was more uniform, the plateau period was more extended, and the temperature decreased slowly. With time (10 min to 80 min), the temperature in the center region reached the highest value and then stabilized. The temperature began to decline significantly along the radius. The onset of temperature decline extended from 2.5 cm to 1.7 cm to 80 min to 120 min, and the onset of temperature decline in the edge region gradually converged to the center. The plateau period of the temperature was gradually shortened. At 140 min, the temperature stabilization period almost disappeared. At 140 min, the temperature plateau period disappeared. At 180 min, the temperature distribution was stabilized, the reaction was completed, the temperature gradient disappeared, and the reaction reached thermal equilibrium. From the distribution of the reaction rate, it can be seen that the hydrogenation reaction does not occur at the same time, and the hydrogenation reaction will reach the peak in a particular region at the same time. In the initial stage, the reaction rate is higher at the edge, which coincides with the temperature distribution results. As time passes, the peak of the reaction rate moves closer to the center, a phenomenon referred to as peak shifting, which also indicates that heat transfer is an important factor in controlling the accuracy of the reaction. At 140 min, the reaction rate in the center region increased significantly, which is related to the disappearance of the temperature plateau at 140 min. From 5 min to 60 min, the peak of the reaction rate decreased significantly, which indicates that the heat transfer capacity at the edges decreased significantly at the beginning of the reaction. From Figure 11a, it can be seen that the change in temperature gradient decreased with time. Fourier’s law of thermal conductivity shows that when the temperature gradient decreases, the amount of heat transfer decreases, which in turn affects the cooling process and leads to a decrease in the peak reaction rate. The peak wave values in the reactor were essentially the same between 60 and 120 min, indicating no significant change in the heat transfer capacity.
As shown in Figure 12, the temperature inside the reactor remained relatively uniform over almost the entire height range from 5 to 10 min on the axis, with a temperature interval of about 328 °C to 345 °C. After 60 min, the temperature gradually changed at different heights, increasing in the height interval from 0 to 2 cm, up to a maximum of 354 °C. The height interval of the increase in temperature increased gradually with time. The temperature increase was gradual. Over time, the height interval of the temperature increase gradually widened, the temperature gradient gradually slowed down, and the maximum temperature reached at the top gradually decreased. In general, however, the temperature in the top region was always higher than the bottom region each time, indicating that the heat was concentrated at the top of the reactor. Time monitoring points were set at 20 min intervals between 60 and 120 min. From 60 to 80 min, the maximum temperature reached at the top decreased from 353 °C to 351 °C, a decrease of 2 °C. From 80 to 100 min, the maximum temperature reached at the top decreased from 351 °C to 343 °C, a decrease of 8 °C. From 100 to 120 min, the maximum temperature reached at the top decreased from 351 °C to 343 °C, a decrease of 8 °C. From 100 to 120 min, the maximum temperature reached at the top decreased from 351 °C to 343 °C, a decrease of 8 °C. From 100 to 120 min, the maximum temperature reached at the top decreased from 351 °C to 343 °C, a decrease of 8 °C. From 100 to 120 min, the maximum temperature reached at the top decreased by 8 °C from 351 °C to 343 °C. After 120 min, the maximum temperature reached at the top decreased by 11 °C from 343 °C to 332 °C. It can be seen that the rate of decrease in the maximum temperature at the top of the furnace increased as the isochronous time interval increased. Until 180 min, when the reaction was essentially over, the temperature in the axial line remained essentially constant, falling back to the initial temperature.
In contrast to the radial line, the reaction rate on the axial line did not significantly peak. At the beginning of the reaction, the reaction rate reached a high level at the bottom. As the reaction proceeded, the peak of the reaction rate gradually approached the top and showed a slowly increasing trend, with no significant change after the height reached 3 cm.
In order to more intuitively understand the distribution of and changes in temperature, reaction process, and reaction rate in the whole reactor during the hydrogen loading process, 5 min, 40 min, 90 min, 120 min, 150 min, and 180 min were selected as the time nodes. Cloud diagrams at different time nodes were plotted, as shown in Figure 13. The temperature variation is shown in Figure 13a. When the time reaches 5 min, the temperature distribution is uniform, with lower temperatures near the reactor wall, a slight overall temperature gradient, and cooler areas at the edges. At 40 min, the temperature distribution starts to change, with a higher temperature in the center and a transparent temperature gradient. At 90–120 min, the center temperature zone is more concentrated, the outer zone is cooled better, and the whole zone shows a curve around the form and gradually cools to the middle. The conversion rate is observed in Figure 13b, which is mainly affected by temperature. Hence, the overall form of change is similar to the form of temperature change, and the reaction process gradually increases from the outside to the inside. Figure 13c shows the reaction rate, the derivative of the conversion rate concerning time. The reaction rate exhibits a more pronounced boundary effect than the conversion rate, and the gradient of the rate change is larger. Combining these three graphs provides a more visual understanding of the relationship between temperature, reaction progress, and reaction rate. The rapid dissipation of heat pushes the reaction process faster. As the reaction proceeds, the heat gradually spreads to the center region when the reaction in the edge region is completed, and the reaction rate decreases. When the reaction in the center region proceeds, the reaction rate in the center region reaches a peak due to the enhanced cooling effect, the reaction process accelerates, and the reaction rate decreases rapidly after the reaction is completed.

4.3. Dehydrogenation Process

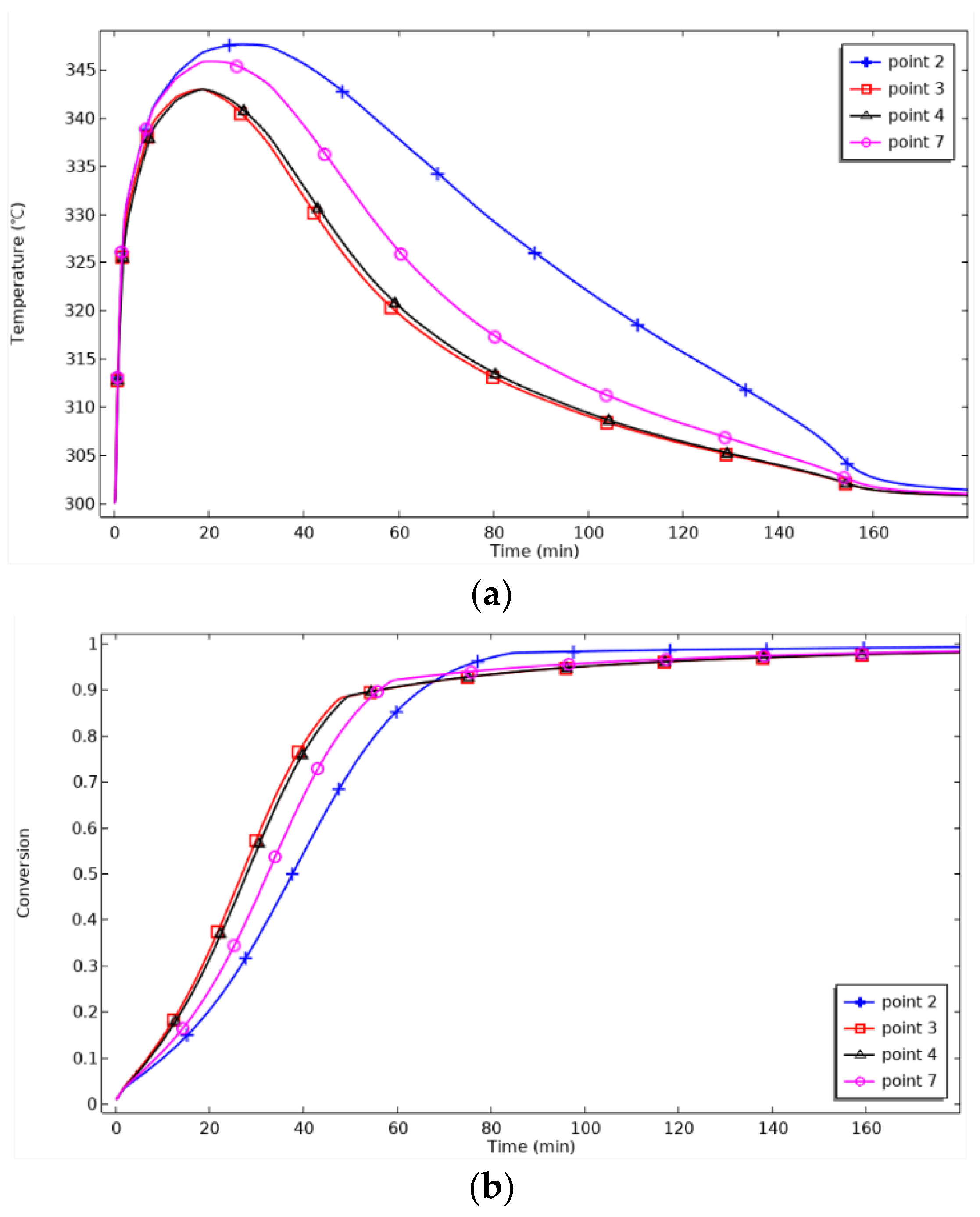
The hydrogen release process was studied using the same methodology as the hydrogenation process. For the hydrogen release process in a conventional metal hydride hydrogen storage reactor, the initial temperature of the metal hydride reaction bed remains at 300 °C, but the initial pressure is 0.2 MPa. According to the Van’t Hoff equation, it can be seen that at this time, ln(P/P0) is close to 0, the magnesium hydride undergoes dehydrogenation, and hydrogen is released from the reactor and absorbs the reaction heat. Figure 14 investigates the evolution of the average temperature in the reactor versus the average reaction process with time during the hydrogen release.
During the initial phase of hydrogen release, the average temperature inside the reactor decreases dramatically. This phenomenon is because during the initial phase, the heat transfer inside the reactor is slow, a large amount of heat is absorbed at the beginning of the hydrogen release reaction, and the system fails to replenish enough heat in time, leading to a rapid drop in temperature. Specifically, the temperature dropped to 277 °C at 13.5 min and then gradually recovered to reach 293 °C at the end of the reaction. Observation of the average reaction progress curve reveals that the hydrogen release rate gradually decreased as the reaction progressed. This is mainly due to the gradual completion of the reaction process and the gradual consumption of the hydride material. In the initial stage, the hydrogen desorption reaction rate of the metal hydride is faster because, initially, the hydrogen content of the hydride is higher, and the heat source more strongly drives the reaction rate. However, as the reaction proceeds, the desorption of the hydride gradually slows down because as the hydrogen is released, the amount of hydride in the reactor gradually decreases, and the rate of hydrogen release from the remaining hydride is limited.
Further observation of the temperature and progress of the reaction at the radial monitoring point is shown in Figure 15. P5 is located in the outer region of the reactor, where heat is transferred to the metal reaction bed due to the good thermal conductivity of the aluminum shell. Since the transferred heat is lower than the heat absorbed by the hydrogen release process, this area cools down in the initial moments. Afterwards, the temperature rises gradually and remains essentially above 295 °C. The temperature of the reaction bed is then increased to 295 °C, the highest in the world. Due to the high thermal conductivity of the aluminum shell, the temperature in the central area of P1 increases. The temperature is lower in the central area of P1 because it is farther away from the heat source, while P2 and P6 are further and further away from the heat source, so the temperature level gradually increases. Within 13 min of the start of the reaction, the temperature at P6 drops to 290 °C and the temperature at P2 to 272 °C. This is somewhat coupled to the average temperature in the reactor, and the lowest temperature at P2 is only 5 °C different from the average temperature in the reactor, suggesting that the change in the temperature at P2 is essentially representative of the change in the average temperature in the reactor. The temperature at P1 decreased rapidly at the beginning of the reaction and then slowed down after 15 min due to heat transfer. However, there is less heat transfer to the very center. Hence, the temperature at P1 continues to drop at a lower rate until after 95 min, when the temperature begins to rise, and the average progress of the reaction reaches 0.34, compared to 0.06 for P6 and 0.46 for P2. This suggests that the release of hydrogen from the edge region of the metal bed is over and that most of the release of hydrogen from the center region is completed. Because most hydrogen release in the center region is completed, less heat is required in the center region, so more heat is transferred to the center region and hydrogen release begins in the center region.
Figure 16 shows the temperature and reaction processes at the axial monitoring points. The trend of temperature change at the axial monitoring points is the same, with a sharp decrease followed by a gradual increase, but it is more complex than the trend at the radial monitoring points. Taking P2 as a reference, the trend of the upper P4 equidistant from P2 is entirely different from that of the lower P3. This is probably because the hydrogen outlet is located below the reaction bed. In the early stage of the reaction, the temperature at P3 rises the fastest, and the conversion rate changes the fastest because P3 is close to the hydrogen outlet. The hydrogen released from the reaction can be transferred quickly, which promotes the hydrogen release reaction. Although P4 is far from the hydrogen outlet and the hydrogen transfer rate is slower than that at P3, P4 is close to the boundary, and the heat transfer effect is better, so the reaction progress is faster than that at P2 and slower than that at P3. P7 is selected between P3 and P2, and the conversion rate at P7 is close to that at P4, but there is a big difference in the trend of the temperature change from that at P4. P7, due to its proximity to the hydrogen outlet, promotes the hydrogen release reaction, but it is limited by heat transfer. To a certain extent, the temperature change of the reaction is not as fast as that at P3. Heat transfer limitation inhibits the hydrogen release reaction to some extent. As a result, at the beginning of the reaction, the temperature decreases faster and is close to P3, but as the reaction proceeds, the temperature increase is not as effective as that at P3. It is worth noting that the lowest temperature of the axial monitoring point shows a trough shift phenomenon.
In order to understand more intuitively the distribution and changes in the temperature and reaction process in the whole reactor during the hydrogenation process, 5 min, 40 min, 90 min, 120 min, 150 min, and 180 min were selected as time nodes. Cloud diagrams were plotted under different time nodes, as shown in Figure 17. Compared with the hydrogenation process, the temperature cloud plot is opposite to the conversion cloud plot. Figure 17a shows the temperature variation of the dehydrogenation process, while Figure 17b shows the variation in the conversion rate. At 5 min, the temperature close to the reactor wall was higher, the temperature gradient appeared in a smaller area, and the axial temperature gradient also appeared in a more obvious temperature gradient, which was related to the setting of the hydrogen outlet at the bottom of the reactor. The, 40 min later, the temperature distribution began to change significantly, the reactor formed a pronounced temperature gradient in the reactor, and the axial temperature gradient disappeared. The overall curved surround gradually heated up towards the center, influenced by the hydrogen outlet, between 90 and 120 min. The temperature mainly influences the reaction process, so the overall change form is similar to that of the temperature, and the reaction process gradually tends to zero from the inside to the outside, i.e., the sequence of the hydrogen release process is from the outside to the inside. Taken together, the heat absorption promotes the hydrogen release reaction, and as the hydrogen release process advances, the region where the value of the reaction process is 0 gradually spreads to the center. At this time, the hydrogen release reaction at the edge is completed. From the above analysis, it can be seen that the temperature change and the reaction process in the hydrogen release process are affected by many factors, including heat transfer, the hydrogen outlet’s location, and the reactor’s internal structure. Together, these factors determine the speed and efficiency of the hydrogen release reaction.

4.4. Influence of Initial Conditions

Hydrogen charging pressure is an important factor affecting the hydrogenation reaction. When the charging pressure in the reactor reaches a specific value, the reaction temperature quickly reaches the equilibrium temperature corresponding to that pressure because MgH2 has a high thermodynamic equilibrium response. When the equilibrium temperature is reached, the exothermic reaction corresponding to the hydrogen charging process also reaches equilibrium, the reaction stops macroscopically, and the hydrogen charging process stops. Therefore, the hydrogen charging pressure determines the maximum temperature the exothermic reaction can reach. From the kinetic reaction equation for the metal hydride bed (Equation (16)), it can be seen that at the beginning of the reaction, the initial equilibrium pressure of the metal hydride bed is lower than the hydrogen pressure, and the equilibrium pressure increases with increasing temperature. When the equilibrium pressure is the same as the hydrogen pressure, the reaction rate is 0, and the reaction stops. In order to induce the hydrogen charging process, the equilibrium needs to be broken, and the most effective and direct way to achieve this is through heat transfer, i.e., cooling the metal hydride bed. The higher the charging pressure, the higher the equilibrium temperature that can be reached, the greater the temperature difference from the initial temperature, and the more efficient the heat transfer.
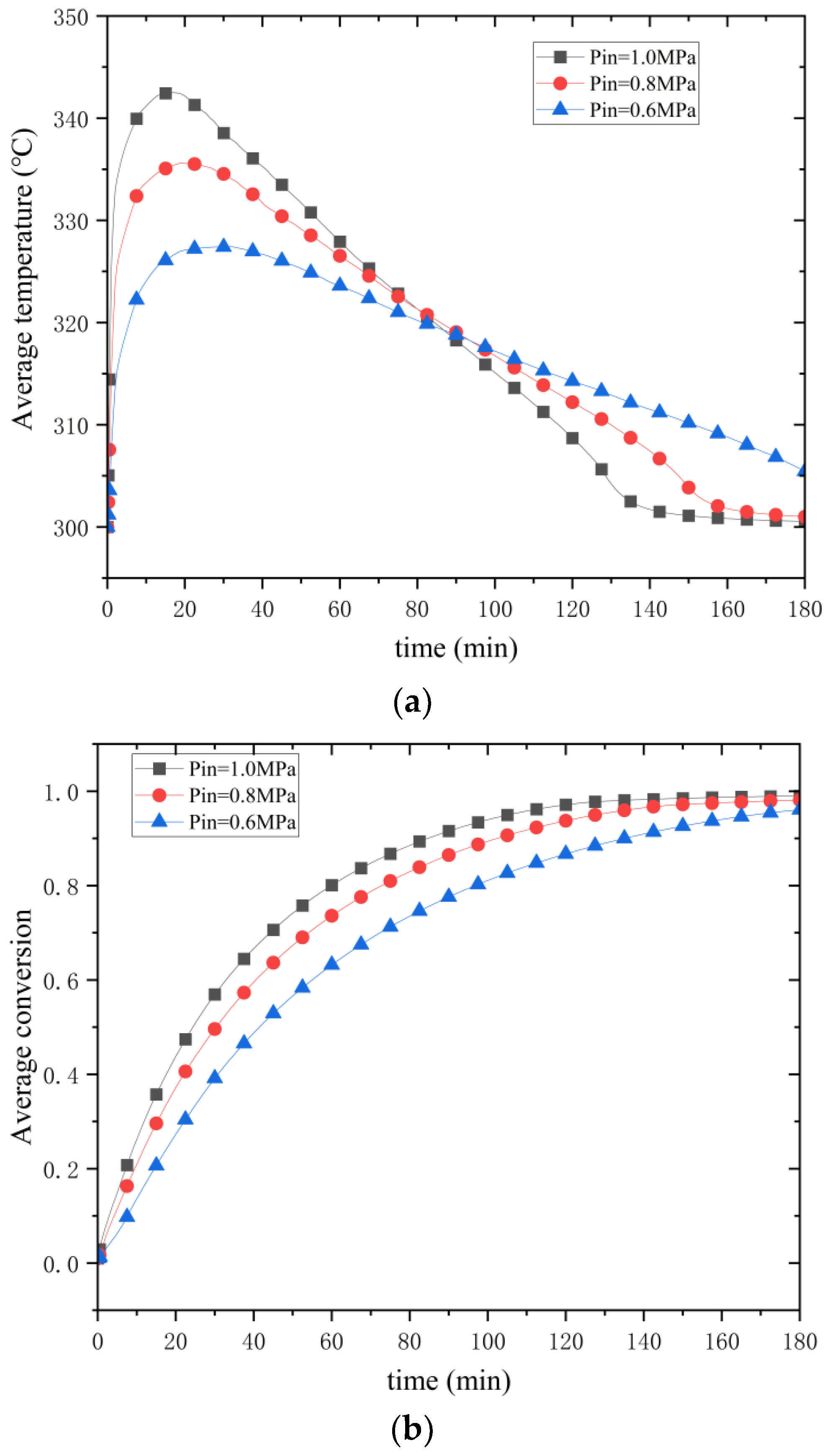
Figure 18 illustrates the effect of hydrogen charging pressure on the hydrogenation process. As can be seen in Figure 18a, the maximum average temperature is 327 °C for a hydrogen charging pressure of 0.6 MPa, 336 °C for a hydrogen charging pressure of 0.8 MPa, and 342 °C for a hydrogen charging pressure of 1.0 MPa. The increase in average temperature decreases when the pressure increases by 0.2 MPa. At 1.0 MPa, the maximum average bed temperature of 342 °C is reached. The maximum temperature reached by the mean temperature of the reaction bed is increasing, the time of the maximum temperature is getting shorter, and the curvature is getting bigger. At 1.0 MPa, the reaction is over in 134 min; at 0.8 MPa, the reaction lasts 165 min; and at 0.6 MPa, the reaction takes longer. It can be seen that increasing the filling pressure can effectively shorten the filling time, and more hydrogen can be filled in at a given time. Figure 18b shows the curve of the effect of hydrogen filling pressure change on the conversion rate, and it can be seen that the higher the pressure, the faster the reaction proceeds. However, at higher pressures, the effect of increasing pressure on the increase in reaction progress is also limited. Thus, increasing the hydrogen loading pressure is a means of increasing the progress of the reaction, but it is not without limitations.
Thermodynamically, according to the Van’t Hoff equation, the pressure increase from 0.6 MPa to 1.0 MPa increases the equilibrium temperature nonlinearly. At higher pressures, the increased collision frequency of hydrogen molecules induces more energy to overcome the activation energy instead of being converted into a temperature increase, resulting in a gradual decrease in the increase in the equilibrium temperature with the increase in pressure. Kinetically, at low pressure (0.6 MPa), the reaction rate is slower, and thermal diffusion dominates the temperature distribution with a gentle curve slope. At high pressure (1.0 MPa), the initial driving force is increased by about 67%. The rate of heat production at the beginning of the reaction is much higher than the rate of thermal diffusion, resulting in a steep temperature profile. When the equilibrium temperature is reached in the center region, the heat dissipation is gradually dominated, and the slope of the profile tends to slow down. Under high pressure, a more significant thermal plateau is formed in the center region, and the temperature in the edge region falls back rapidly due to the efficient heat dissipation from the aluminum shell, exacerbating the nonlinear characteristics of the curve. It is worth noting that elevated pressure directly enhances the collision frequency and accelerates the surface adsorption and chemical bond formation, but too high pressure may lead to the expansion of MgH2 particles and a decrease in porosity, which hinders hydrogen diffusion, resulting in the late reaction rate being limited by internal diffusion rather than pressure-driven force.
Before the hydrogenation process, a furnace heated the metal hydride bed to a specific temperature, i.e., the initial temperature. The initial temperatures were 260 °C, 280 °C, and 300 °C. Figure 19 shows the variations in the average temperature and the average reaction process in the metal hydride bed for different initial temperatures. At a hydrogen charging pressure of 0.8 MPa, the corresponding equilibrium temperature is about 350 °C according to the Van’t Hoff equation. As the initial temperature decreases from 300 °C to 260 °C, the maximum value that can be reached for the average temperature in the reactor decreases. This does not mean the maximum temperature reached in the reactor bed is also reduced. Temperature monitoring was performed for P1. As shown in Figure 19a, the initial temperature does not affect the maximum temperature reached within the metal hydride bed. However, the temperature plateau at P1 is shortened by a decrease in the initial temperature. The decrease in the maximum value of the average temperature is due to an increase in the temperature difference between the equilibrium temperature and the initial temperature, which enhances heat transfer and cooling so that the entire high-temperature region of the reactor can be cooled more quickly, which in turn affects the maximum value of the average temperature. As the reaction progresses, when the temperature in the reactor falls back to the initial temperature, the hydrogen loading process is essentially over. At an initial temperature of 300 °C, it takes 178 min to fall back to the initial temperature. At an initial temperature of 280 °C, it takes 142 min to fall back to the initial temperature. At an initial temperature of 280 °C, it takes 142 min to return to the initial temperature, and at an initial temperature of 260 °C, it takes 105 min. This shows that lowering the initial temperature reduces the time required for the hydrogen loading process. Figure 19b shows the change in conversion rate, and it can be noticed that the reaction process speeds up, and the reaction rate increases as the initial temperature is lowered. However, lowering the initial temperature from 300 °C to 280 °C decreases the increase in reaction rate as compared to lowering it from 280 °C to 260 °C. Therefore, lowering the initial temperature also helps to optimize the hydrogen loading process, but lowering the temperature to a specific value and then continuing to lower the temperature has little effect on increasing the reaction rate.
The reduction of the initial temperature significantly impacts the reaction process through the synergistic effect of thermodynamics and kinetics. Fourier’s law shows that the widening temperature difference between the system and the environment enhances the thermal conduction drive. It increases the heat dissipation efficiency by 41% (cooling time from 178 to 105 min), which leads to the rapid export of reaction heat and shortens the high-temperature plateau period. Despite the increase in apparent activation energy by the low temperature, the enhanced thermal gradient instead promotes hydrogen diffusion, resulting in the peak reaction rate occurring 20 min earlier and a 15% increase in the average rate, suggesting that the promotion of kinetics by heat transfer outweighs the suppression of activation energy by the cooling down. The initial temperature reduction caused the temperature in the edge region of the reactor to drop closer to ambient temperature more quickly, resulting in a significant radial thermal gradient. The gradient drives the reaction interface from the edge to the center, similar to a “heat wave” propagation, with the edge region completing the reaction first due to rapid heat dissipation and the center region lagging due to heat accumulation. Under low-temperature conditions, the exothermic heat at the beginning of the reaction is rapidly exported by the high thermal conductivity gradient, thus avoiding the reaction rate decay due to overheating in the center region. This “heat dissipation while reacting” mode maintains a continuous pressure difference, keeping the reaction rate high at low temperatures. Conversely, the mid-term rate slowdown is caused by diffusion limitation and activation energy effects, which highlights the nonlinear coupling of thermodynamics and kinetics. The strong radial thermal gradient drives the reaction interface from the edge to the center as a “heat wave”—the edge region is the first to complete the reaction due to rapid heat dissipation. In contrast, the center region lags due to heat accumulation. This “heat dissipation while reacting” mode avoids rate decay due to overheating in the center and keeps the overall reaction rate high by maintaining a constant pressure difference. Notably, the rate decline in the middle and late stages of the reaction results from diffusion limitation and competing activation energy effects. The current model does not consider the thermal conductivity changes caused by the low-temperature phase transition ( α     β MgH2) and the interfacial hindrance of the magnesium oxide impurity layer, which may lead to a deviation of the actual working conditions from the theoretical predictions.

4.5. Engineering Practical Applications

Magnesium hydride serves as an effective hydrogen storage medium with significant potential applications, and McPhy Energy has commercialized the ball mill production process. Future advancements in larger reactors must prioritize the improvement of thermal management, namely, through the creation of integrated thermal storage devices to effectively harness the precious heat generated during the absorption of magnesium hydride. To improve the applicability of this research in actual engineering, the effects of reactor structural characteristics (such as wall thickness), material qualities, and control systems on hydrogen storage performance are particularly significant. The mechanism of performance evolution in materials and systems after prolonged recycling should be investigated.
The thickness of the reactor wall influences the heat transfer efficiency and structural integrity of the hydrogen storage system. From the perspective of heat transfer, an increase in wall thickness markedly diminishes heat transfer efficiency. Fourier’s law states that the heat flow density is reduced by half as the wall thickness increases from 5 mm to 10 mm, leading to a corresponding reduction in the heat flow density of the aluminum shell at a temperature differential of 300 °C. The thermal reaction time constant of the hydrogen storage system escalates with temperature. The thermal response time constant exhibits a square relationship with wall thickness; thus, when wall thickness is doubled, the thermal response time increases by a factor of four. For instance, a 5 mm aluminum shell has a response time of 100 s, which extends to 400 s at 10 mm thickness, leading to considerable temperature response hysteresis. Thick walls further intensify the radial temperature gradient, resulting in a smaller temperature differential between the edge and the center at a 5 mm wall thickness compared to 10 mm. This phenomenon increases response inhomogeneity, evident in the reaction completing at the edge of the center with a lower conversion rate. Moreover, augmented wall thickness reduces the effective hydrogen storage capacity, which diminishes by 9.5% when the wall thickness of the 100 mm OD reactor is elevated from 5 mm to 10 mm. The wall thickness directly influences the pressure-bearing capability in mechanical design. The aluminum shell, with a wall thickness of 5 mm, can withstand a pressure of 10 MPa at 300 °C, satisfying the safety criterion of a 1.0 MPa operating condition. However, as the temperature escalates to 350 °C, the tank, due to thermal expansion and contraction resulting from a rapid increase, may approach the aluminum’s bearing limit. A significant concern is that the MgH2 phase transition will undergo expansion and contraction, generating mechanical loads that induce radial stresses potentially exceeding the aluminum shell’s capacity. To address this issue, engineers incorporated a layer of “cushioning pads” within the tank’s inner wall, specifically a porous flexible liner. Another factor to consider is fatigue damage to the tank material; routine inspections of stress-prone locations can enhance operational safety. The engineering implementation of the control method mostly relies on thermal management technology. This article’s background section succinctly outlines current research initiatives in thermal management, highlighting the coupled thermal storage system as a promising approach. This includes the hydrochloric acid thermal storage system, metal hydroxide thermal storage system, metal oxide thermal storage system, and phase change material (PCM) thermal storage system. These thermal storage technologies are thermochemical, which offer the benefits of high thermal density and minimal energy loss [42]. Li et al. [43] examined the impact of incorporating Y2O3 as a metallic framework into CaO, revealing that the composites could sustain a high thermal density of up to 1956 kJ/kg after 100 cycles with an Y2O3 content of 35 wt%. The team additionally pelletized the composites. Despite the granulation process compromising a portion of the material’s structure and diminishing thermal storage efficacy, the mechanical strength of the material was markedly enhanced. Experiments demonstrated that the pelletized material experienced a mass loss of merely 4.28 wt% after 7000 rotations in a brittleness tester.
This paper presents a model that effectively characterizes the thermal phenomena and temperature variation patterns of the magnesium hydride hydrogen storage system during hydrogen absorption and discharge, with its innovation evident in the integrated analysis of thermodynamic equilibrium and kinetic processes. To accurately simulate the system’s performance evolution over extended use, influenced by material degradation and structural fatigue, the current model, with simplistic assumptions and static parameters, is inadequate. It is essential to incorporate a time-dependent physical mechanism and develop a multi-field coupled model. Future research must focus on creating new models that concurrently consider the following critical factors: the decline in reactivity with the number of cycles, resulting in a progressive rise in activation energy and a steady reduction in the frequency factor; the deterioration of the material’s thermophysical properties, such as the decrease in thermal conductivity due to reduced porosity; and the cumulative impact of structural stresses caused by volume expansion. The simulation of these dynamic changes enables a more precise forecast of the system’s performance evolution. This paper presents a foundational paradigm for thermodynamic and kinetic analysis for future research. Subsequent study must integrate novel physical models, including material degradation mechanisms and multiphysics field dynamic coupling, into the current system to furnish more comprehensive theoretical support for the optimal design and life evaluation of hydrogen storage reactors.

5. Conclusions

The thermodynamic and kinetic coupling in hydrogenation/dehydrogenation processes of Mg-based hydrides was systematically investigated, focusing on parametric control of reactor performance through initial condition optimization. Key findings reveal the following:
(1) Under a hydrogenation period of 180 min with a metal hydride volume of 87.96 cm³, the reactor achieved near-completion of the hydrogenation process, as evidenced by an average reaction progress of 0.9785. During this phase, the system exhibited a peak temperature of 356.61 °C and an average temperature of 335.22 °C.
(2) During hydrogenation, radial thermal evolution exhibited three phases: initial uniform heating with a prolonged thermal plateau in the central zone (5–10 min), mid-term peak stabilization (356.61 °C), and inward cooling onset shift (2.5 → 1.7 cm, 10–80 min), and late-stage plateau contraction leading to homogenization (180 min), demonstrating center-to-edge thermal diffusion and exothermic decay. Axially, uniform temperatures (328–345 °C, 5–10 min) transitioned to bottom-initiated heating (354 °C at 0–2 cm height, 60 min) followed by nonlinear cooling acceleration at the apex (2 °C → 8 °C → 11 °C per 20 min interval, 60–120 min). Elevated hydrogen pressure (0.6 → 1.0 MPa) reduced temperature increments with increasing curvature, while reduced initial temperatures (300 → 260 °C) preserved local maxima but shortened plateaus. It achieved a 41% cooling time reduction (178 → 105 min), highlighting coupled thermodynamic regulatory mechanisms.
(3) Radially, during dehydrogenation, the external zone (P5) exhibited initial cooling followed by stabilization above 295 °C due to the aluminum shell’s conductivity, while the central zone (P1) experienced delayed heating, initiating dehydrogenation after 95 min (average progress: 0.34) as heat accumulated. The mid-region (P2) mirrored system-wide temperature trends (5 °C deviation), whereas the periphery (P6) showed minimal reaction progress (0.06), confirming inward reaction propagation. Axially, proximity to the hydrogen outlet drove rapid temperature rise and the fastest reaction kinetics at P3, while P4’s thermal advantage accelerated progress compared to mid-zone P2. Transitional P7, though initially cooling akin to P3, faced thermal limitations that suppressed subsequent heating. The dehydrogenation dynamics were collectively regulated by spatial thermal heterogeneity and mass transfer efficiency dictated by hydrogen outlet positioning.
(4) Elevating hydrogen charging pressure (0.6 → 1.0 MPa) induced a nonlinear increase in equilibrium temperatures (327 → 342 °C), concurrently shortening the temperature-rise duration with a steeper curve, highlighting its dual regulation on the reaction kinetics and heat transfer efficiency. Meanwhile, reducing initial temperatures (300 → 260 °C at 0.8 MPa) shortened plateau duration and cooldown time by 41% (178 → 105 min), lowered average temperature peaks, yet accelerated reaction rates with nonlinear kinetic characteristics, demonstrating coupling mechanisms between thermal gradients and reaction progression.

Author Contributions

Conceptualization, H.X.; Methodology, Z.L. and M.Z.; Formal analysis, Z.L.; Investigation, Z.L. All authors have read and agreed to the published version of the manuscript.

Funding

This research received no external funding.

Data Availability Statement

The original contributions presented in this study are included in the article. Further inquiries can be directed to the corresponding author.

Conflicts of Interest

The authors declare no conflict of interest.

Nomenclature

SHeat source W m 3 α Hydriding fraction (0 < a < 1)
A = n M g H 2 / ( n M g H 2 + n M g )
C p Heat capacity J m o l 1 λ Thermal conductivity W m 1 K 1
E a Activation energy k J m o l 1 ρ Mass density k g m 3
M Molar mass g m o l 1 κ Permeability m 2
m Mass k g μ Dynamic viscosity k g s 1 m 1
n Normal vector Subscripts
P Pressure P a hgHydrogenation process
P 0 Standard pressures P a dehgDehydrogenation process
R Radius m eqEquilibrium
R g Gas constant J m o l 1 K 1 iniInitial
t Times s gGaseous phase
T Temperature ° C effEffective
u Velocity m s 1 sSolid phase
w t Gravimetric H2 storage capacity % MHMental hydrogenation
KEquilibrium constant
k Reaction rate constant
k 0 Frequency factor s 1
H Reaction enthalpy J m o l 1
H 0 Molar enthalpy of reaction under real conditions J m o l 1
S Reaction entropy   J K 1
K Equilibrium constant
v i Component (i) stoichiometry
VSuperficial velocity   m s 1
V r Actual gas velocity between the powder particles (V =   ε V r ) m s 1
LTypical length m
L h e a t Typical heat diffusion length m
L g a s Typical gas diffusion length m
Greek letter
ε Porosity

References

  1. International Energy Agency. World Energy Outlook 2021; IEA: Paris, France, 2021; Available online: https://www.iea.org/reports/world-energy-outlook-2021 (accessed on 15 January 2025).
  2. International Maritime Organization. Ship Emissions Toolkit; International Maritime Organization: London, UK, 2018. [Google Scholar] [CrossRef]
  3. Hutchins, D.A.; Jansson, J.K.; Remais, J.V.; Rich, V.I.; Singh, B.K.; Trivedi, P. Climate change microbiology—Problems and perspectives. Nat. Rev. Microbiol. 2019, 17, 391–396. [Google Scholar] [CrossRef]
  4. Herzog, T. World Greenhouse gas Emissions in 2005; World Resources Institute: Washington, DC, USA, 2009; Available online: https://www.wri.org/research/world-greenhouse-gas-emissions-2005 (accessed on 15 January 2025).
  5. International Maritime Organization. Protect Satellite Navigation from Interference, UN Agencies Urge. 2023. Available online: https://www.imo.org (accessed on 16 January 2025).
  6. International Maritime Organization. Reducing Greenhouse Gas Emissions from Ships. 2020. Available online: http://www.imo.org/en/MediaCentre/HotTopics/Pages/Reducing-greenhouse-gas-emissions-from-ships.aspx (accessed on 23 January 2025).
  7. International Renewable Energy Agency. Hydrogen: A Renewable Energy Perspective; IRENA: Abu Dhabi, United Arab Emirates, 2019; Available online: https://www.irena.org/publications/2019/Sep/Hydrogen-A-renewable-energy-perspective (accessed on 23 January 2025).
  8. China Hydrogen Energy Research Institute. White Paper on In-Depth Research Report of China’s Hydrogen Energy Industry—Hydrogen Application Segment; CHERI: Beijing, China, 2022. [Google Scholar]
  9. Staffell, I.; Scamman, D.; Abad, A.V.; Balcombe, P.; Dodds, P.E.; Ekins, P.; Shah, N.; Ward, K.R. The role of hydrogen and fuel cells in the global energy system. Energy Environ. Sci. 2018, 12, 463–491. [Google Scholar] [CrossRef]
  10. Otto, M.; Chagoya, K.L.; Blair, R.G.; Hick, S.M.; Kapat, J.S. Optimal hydrogen carrier: Holistic evaluation of hydrogen storage and transportation concepts for power generation, aviation, and transportation. J. Energy Storage 2022, 55 Part A, 105714. [Google Scholar] [CrossRef]
  11. Wang, Z.; Li, M.; Zhao, F.; Jia, Y.; Han, F. Status and prospects in technical standards of hydrogen-powered ships for advancing maritime zero-carbon transformation. Int. J. Hydrogen Energy 2024, 62, 925–946. [Google Scholar] [CrossRef]
  12. European Commission. Hydrogen Strategy for a Climate-Neutral Europe; EC: Brussels, Belgium, 2020; Available online: https://www.europarl.europa.eu/legislative-train/theme-a-european-green-deal/file-eu-hydrogen-strategy (accessed on 24 January 2025).
  13. European Commission. EU Shipping Decarbonization Strategy; EC: Brussels, Belgium, 2022. [Google Scholar]
  14. Lead Leo Research Institute. 2022 Panoramic Research Report on China Hydrogen Energy Industry Chain; Lead Leo Research Institute: Shenzhen, China, 2020. [Google Scholar]
  15. Hong, W.Y. A techno-economic review on carbon capture, utilisation and storage systems for achieving a net-zero CO2 emissions future. Carbon Capture Sci. Technol. 2022, 3, 100044. [Google Scholar] [CrossRef]
  16. Cloud Capital. 2023 In-Depth Research Report on China’s Hydrogen Energy Industry—Hydrogen Application Segment; Cloud Capital: Beijing, China, 2023. [Google Scholar]
  17. Züttel, A. Materials for hydrogen storage. Mater. Today 2003, 6, 24–33. [Google Scholar] [CrossRef]
  18. Liao, Y.; Wang, Y.; Zheng, D.; Li, J.; Yu, B.; Li, J. Review on thermal management research progress of metal hydride hydrogen storage reactors. Oil Gas Storage Transp. 2024, 43, 257–271. [Google Scholar]
  19. Walker, G. Solid-State Hydrogen Storage: Materials and Chemistry; Woodhead Publishing: Cambridge, UK, 2008. [Google Scholar]
  20. He, T.; Pachfule, P.; Wu, H.; Xu, Q.; Chen, P. Hydrogen carriers. Nat. Rev. Mater. 2016, 1, 1–17. [Google Scholar] [CrossRef]
  21. Abdalla, A.M.; Hossain, S.; Nisfindy, O.B.; Azad, A.T.; Dawood, M.; Azad, A.K. Hydrogen production, storage, transportation and key challenges with applications: A review. Energy Convers. Manag. 2018, 165, 602–627. [Google Scholar] [CrossRef]
  22. Huot, J.; Liang, G.; Boily, S.; Van Neste, A.; Schulz, R. Structural study and hydrogen sorption kinetics of ball-milled magnesium hydride. J. Alloys Compd. 1999, 293–295, 495–500. [Google Scholar] [CrossRef]
  23. Shen, S.; Liao, W.; Cao, Z.; Liu, J.; Wang, H.; Ouyang, L. Enhanced hydrogen storage properties of MgH₂ with the co-addition of LiBH₄ and YNi₅ alloy. J. Mater. Sci. Technol. 2024, 178, 90–99. [Google Scholar] [CrossRef]
  24. Lan, Z.; Liu, Z.; Liang, H.; Shi, W.; Zhao, R.; Li, R.; Fan, Y.; Liu, H.; Guo, J. Introducing Ni-N-C ternary nanocomposite as an active material to enhance the hydrogen storage properties of MgH2. J. Mater. Sci. Technol. 2024, 196, 12–24. [Google Scholar] [CrossRef]
  25. Xu, H.; Shi, T.; Xu, H.; Yu, G. Regulation and optimization of solid-state hydrogen storage process in thermochemical reactors with metal hydride by using gradient metal foams. Appl. Therm. Eng. 2025, 264, 125464. [Google Scholar] [CrossRef]
  26. Tong, L.; Xiao, J.; Yang, T.; Bénard, P.; Chahine, R. Complete and reduced models for metal hydride reactor with coiled-tube heat exchanger. Int. J. Hydr. Energy 2018, 44, 15907–15916. [Google Scholar] [CrossRef]
  27. Zhu, Y.; Ouyang, L.; Zhong, H.; Liu, J.; Wang, H.; Shao, H.; Huang, Z.; Zhu, M. Closing the Loop for Hydrogen Storage: Facile Regeneration of NaBH4 from its Hydrolytic Product. Angew. Chem. Int. Ed. 2020, 59, 8623–8629. [Google Scholar] [CrossRef]
  28. Guojin Securities. Special Report on Magnesium-Based Solid-State Hydrogen Storage Industry: Magnesium-Based Hydrogen Storage Opens Broad Prospects for Magnesium Industry. 2023. Available online: https://k.sina.com.cn/article_7426890874_1baad5c7a001015myt.html (accessed on 25 January 2025).
  29. Xu, D.; Fang, W.; Nie, J.; Shen, H. General Chemistry, 7th ed.; Higher Education Press: Beijing, China, 2020. [Google Scholar]
  30. Feng, P.; Liu, Y.; Ayub, I.; Wu, Z.; Yang, F.; Zhang, Z. Techno-economic analysis of screening metal hydride pairs for a 910 MWhth thermal energy storage system. Appl. Energy 2019, 242, 148–156. [Google Scholar] [CrossRef]
  31. Chaise, A.; De Rango, P.; Marty, P.; Fruchart, D. Experimental and numerical study of a magnesium hydride tank. Int. J. Hydrog. Energy 2010, 35, 6311–6322. [Google Scholar] [CrossRef]
  32. Yang, K. Fundamentals of Mechanical Design, 7th ed.; Higher Education Press: Beijing, China, 2019. [Google Scholar]
  33. El Mghari, H.; Huot, J.; Xiao, J.S. Analysis of hydrogen storage performance of metal hydride reactor with phase change materials. Int. J. Hydrog. Energy 2019, 44, 27834–27851. [Google Scholar] [CrossRef]
  34. Charbonnier, J.; de Rango, P.; Fruchart, D.; Jehan, M.; Miraglia, S.; Skryabina, N. Nanocrystalline Composites for Hydrogen. Storage. Patent WO2007125253, 8 November 2007. [Google Scholar]
  35. Kuznetsov, A.; Vafai, K. Analytical comparison and criteria for heat and mass transfer models in metal hydride packed beds. Int. J. Heat Mass Transf. 1995, 38, 2873–2884. [Google Scholar] [CrossRef]
  36. Jemni, A.; Nasrallah, S.B.; Lamloumi, J. Experimental and theoretical study of ametal-hydrogen reactor. Int. J. Hydrog. Energy 1999, 24, 631–644. [Google Scholar] [CrossRef]
  37. Mayer, U.; Groll, M.; Supper, W. Heat and mass transfer in metal hydride reaction beds: Experimental and theoretical results. J. Less Common Met. 1987, 131, 235–244. [Google Scholar] [CrossRef]
  38. Aldas, K.; Mat, M.D.; Kaplan, Y. A three-dimensional mathematical model for absorption in a metal hydride bed. Int. J. Hydrog. Energy 2002, 27, 1049–1056. [Google Scholar] [CrossRef]
  39. Mâad, H.B.; Askri, F.; Virgone, J.; Nasrallah, S.B. Numerical study of high temperature metal-hydrogen reactor (Mg2Ni-H2) with heat reaction recovery using phase-change material during desorption. Appl. Therm. Eng. 2018, 140, 225–234. [Google Scholar] [CrossRef]
  40. Chaise, A.; Marty, P.; De Rango, P.; Fruchart, D. A simple criterion for estimating the effect of pressure gradients during hydrogen absorption in a hydride reactor. Int. J. Heat Mass Transf. 2009, 52, 4564–4572. [Google Scholar] [CrossRef]
  41. Mellouli, S.; Abhilash, E.; Askri, F.; Nasrallah, S.B. Integration of thermal energy storage unit in a metal hydride hydrogen storage tank. Appl. Therm. Eng. 2016, 102, 1185–1196. [Google Scholar] [CrossRef]
  42. Zhao, Y.; Zhao, C.Y.; Markides, C.N.; Wang, H.; Li, W. Medium-and high-temperature latent and thermochemical heat storage using metals and metallic compounds as heat storage media: A technical review. Appl. Energy 2020, 280, 115950. [Google Scholar] [CrossRef]
  43. Li, H.; Chen, Y.; Leng, L.; Hu, Y. Thermochemical energy storage of concentrated solar power by novel Y2O3-doped CaO pellets. Energy Fuels 2021, 35, 12610–12618. [Google Scholar] [CrossRef]
Figure 1. Geometric design of hydrogen storage.
Figure 1. Geometric design of hydrogen storage.
Energies 18 02924 g001
Figure 2. Schematic diagram of magnesium-based hydrogen storage temperature versus pressure: (a) PCT curve. Pressure–composition–temperature graph based on Van’t Hoff’s equation [18]. (b) P-T relationship. Mg-MgH2 temperature–pressure relationship curve.
Figure 2. Schematic diagram of magnesium-based hydrogen storage temperature versus pressure: (a) PCT curve. Pressure–composition–temperature graph based on Van’t Hoff’s equation [18]. (b) P-T relationship. Mg-MgH2 temperature–pressure relationship curve.
Energies 18 02924 g002
Figure 3. Conventional metal hydride hydrogen storage reactor boundary schematic.
Figure 3. Conventional metal hydride hydrogen storage reactor boundary schematic.
Energies 18 02924 g003
Figure 4. Verification of simulated mesh independence (a) and comparison of the model in this study with Ref. [31] (b).
Figure 4. Verification of simulated mesh independence (a) and comparison of the model in this study with Ref. [31] (b).
Energies 18 02924 g004
Figure 5. Variations in pressure during hydrogenation and dehydrogenation processes.
Figure 5. Variations in pressure during hydrogenation and dehydrogenation processes.
Energies 18 02924 g005
Figure 6. Average temperature and average conversion during hydrogenation.
Figure 6. Average temperature and average conversion during hydrogenation.
Energies 18 02924 g006
Figure 7. The plot of the measured lines in the reactor and the distribution of P1 to P6.
Figure 7. The plot of the measured lines in the reactor and the distribution of P1 to P6.
Energies 18 02924 g007
Figure 8. Temperature change (a) and conversion change (b) at the radial monitoring points of the hydrogenation process.
Figure 8. Temperature change (a) and conversion change (b) at the radial monitoring points of the hydrogenation process.
Energies 18 02924 g008
Figure 9. Reaction rates and concentration changes for P2 and P6.
Figure 9. Reaction rates and concentration changes for P2 and P6.
Energies 18 02924 g009
Figure 10. Temperature at axial measurement points (a) and reaction progress (b) in the hydrogenation process: (a) Temperature variation over time at different axial monitoring points. (b) Reaction progresses over time.
Figure 10. Temperature at axial measurement points (a) and reaction progress (b) in the hydrogenation process: (a) Temperature variation over time at different axial monitoring points. (b) Reaction progresses over time.
Energies 18 02924 g010
Figure 11. Spatial distribution of temperature (a) and reaction rate (b) on radial intercepts.
Figure 11. Spatial distribution of temperature (a) and reaction rate (b) on radial intercepts.
Energies 18 02924 g011
Figure 12. Spatial distribution of temperature (a) and reaction rate (b) on axial intercepts.
Figure 12. Spatial distribution of temperature (a) and reaction rate (b) on axial intercepts.
Energies 18 02924 g012
Figure 13. Cloud plots of temperature (a), conversion (b), and reaction rate (c) as a function of time during hydrogenation.
Figure 13. Cloud plots of temperature (a), conversion (b), and reaction rate (c) as a function of time during hydrogenation.
Energies 18 02924 g013
Figure 14. Average temperature and average conversion during dehydrogenation.
Figure 14. Average temperature and average conversion during dehydrogenation.
Energies 18 02924 g014
Figure 15. Temperature change (a) and conversion change (b) at the radial monitoring points during dehydrogenation.
Figure 15. Temperature change (a) and conversion change (b) at the radial monitoring points during dehydrogenation.
Energies 18 02924 g015
Figure 16. Temperature change (a) and conversion change (b) at the axial monitoring points during dehydrogenation.
Figure 16. Temperature change (a) and conversion change (b) at the axial monitoring points during dehydrogenation.
Energies 18 02924 g016
Figure 17. Cloud plot of temperature (a) versus conversion (b) versus time for the dehydrogenation process.
Figure 17. Cloud plot of temperature (a) versus conversion (b) versus time for the dehydrogenation process.
Energies 18 02924 g017
Figure 18. Effect of different initial pressures on reactor temperature (a) and conversion (b).
Figure 18. Effect of different initial pressures on reactor temperature (a) and conversion (b).
Energies 18 02924 g018
Figure 19. Effect of different initial temperatures on reactor temperature (a) and conversion (b).
Figure 19. Effect of different initial temperatures on reactor temperature (a) and conversion (b).
Energies 18 02924 g019aEnergies 18 02924 g019b
Table 1. Parameters used in the present work.
Table 1. Parameters used in the present work.
NameSymbolValue
Mg/MgH2 enthalpy of reaction Mg/MgH2 entropy of reaction H r 1 75   k J m o l 1
Mg/MgH2 entropy of reaction S r 1 −0.1356   kJ K 1 m o l 1
Activation energy of hydrogenation reaction E h g 130   k J m o l 1
Hydrogenation reaction frequency factor K h g 2.9 × 1 0 8   s 1
Dehydrogenation activation energy E d e h g 41   k J m o l 1
Dehydrogenation reaction frequency factor K d e h g 10   s 1
Effective thermal conductivity λ e f f 1.1631   W m 1 K 1
Saturated hydrogen absorption mass w t 0.06
MH porosity ε M H 0.74
MH density ρ M H 1730   k g m 3
MH constant pressure heat capacity C P , M H f T J k g 1 K 1
H2 density ρ H 2 f T , P k g m 3
H2 pressurized heat capacity C P , H 2 f T J k g 1 K 1
H2 penetration stroke κ H 2 5.75 1 0 14 m 2
H2 kinetic viscosity μ H 2 f T P a s 1
H2 molar mass m H 2 2.016   g m o l 1
Table 2. Initial and boundary conditions.
Table 2. Initial and boundary conditions.
Initial and Boundary Conditions SymbolDescriptive Reference
T ini , hg = T ini ,   dehg = 300   ° C Initial temperature; hydrogen loading; hydrogen release
P ini , hg , H 2 = 0.17693   MPa Initial hydrogen pressure; hydrogen loading
P in , hg , H 2 = 0.77   MPa Hydrogen loading maximum pressure; boundary 4
n q MH = ρ H 2 300   ° C T MH C p , H 2 d T u n Hydrogen inflow; boundary 4; hydrogen loading
P ini ,   dehg ,   H 2 = 0.2   MPa Initial hydrogen pressure; hydrogen release
α ini , hg ,   MH = 0.01 Initial metal hydride conversion; hydrogen loading
α ini ,   dehg ,   MH = 0.99 Initial metal hydride conversion; hydrogen release
n ρ g u = 0 No flow; boundaries 2 and 3; hydrogen loading (release)
S m = ρ MH w t 1 ε Xrate Mass source; hydrogen loading (release)
S T = S m Δ H M H 2 Heat source; hydrogen loading (release)
h = 400   W / m 2 K ;
T ext = 300   ° C
Heat flux; hydrogen loading; boundaries 1, 5, 6
Disclaimer/Publisher’s Note: The statements, opinions and data contained in all publications are solely those of the individual author(s) and contributor(s) and not of MDPI and/or the editor(s). MDPI and/or the editor(s) disclaim responsibility for any injury to people or property resulting from any ideas, methods, instructions or products referred to in the content.

Share and Cite

MDPI and ACS Style

Li, Z.; Zhang, M.; Xu, H. Revealing the Roles of Heat Transfer, Thermal Dynamics, and Reaction Kinetics in Hydrogenation/Dehydrogenation Processes for Mg-Based Metal Hydride Hydrogen Storage. Energies 2025, 18, 2924. https://doi.org/10.3390/en18112924

AMA Style

Li Z, Zhang M, Xu H. Revealing the Roles of Heat Transfer, Thermal Dynamics, and Reaction Kinetics in Hydrogenation/Dehydrogenation Processes for Mg-Based Metal Hydride Hydrogen Storage. Energies. 2025; 18(11):2924. https://doi.org/10.3390/en18112924

Chicago/Turabian Style

Li, Zhiqian, Min Zhang, and Huijin Xu. 2025. "Revealing the Roles of Heat Transfer, Thermal Dynamics, and Reaction Kinetics in Hydrogenation/Dehydrogenation Processes for Mg-Based Metal Hydride Hydrogen Storage" Energies 18, no. 11: 2924. https://doi.org/10.3390/en18112924

APA Style

Li, Z., Zhang, M., & Xu, H. (2025). Revealing the Roles of Heat Transfer, Thermal Dynamics, and Reaction Kinetics in Hydrogenation/Dehydrogenation Processes for Mg-Based Metal Hydride Hydrogen Storage. Energies, 18(11), 2924. https://doi.org/10.3390/en18112924

Note that from the first issue of 2016, this journal uses article numbers instead of page numbers. See further details here.

Article Metrics

Back to TopTop