Next Article in Journal
Evaluating the Opportunities and Challenges of Domestic PV Installation in Saudi Arabia Based on Field Deployment in Jeddah
Previous Article in Journal
Quantifying Resource and Energy Losses from Waste Fires in Poland: A Barrier to Circular Economy Transition
 
 
Font Type:
Arial Georgia Verdana
Font Size:
Aa Aa Aa
Line Spacing:
Column Width:
Background:
Article

Flow Boiling Heat Transfer Enhancement via Femtosecond Laser-Textured Inclined Microfeatures

by
Frederik Mertens
1,*,
Thomas Ponnet
1,
Balasubramanian Nagarajan
2,
Senthil Kumar Parimalanathan
3,
Johan Steelant
4,
Sylvie Castagne
2 and
Maria Rosaria Vetrano
1
1
Division of Applied Mechanics and Energy Conversion (TME), Department of Mechanical Engineering, KU Leuven, B-3001 Leuven, Belgium
2
Division of Manufacturing Processes and Systems (MaPS) and Flanders Make at KU Leuven M&A, Department of Mechanical Engineering, KU Leuven, B-3001 Leuven, Belgium
3
TIPs Laboratory, Université Libre de Bruxelles, B-1050 Brussels, Belgium
4
Flight Vehicles and Aerothermodynamics Engineering Section (TEC-MPA), ESA, ESTEC, NL-2200 Noordwijk, The Netherlands
*
Author to whom correspondence should be addressed.
Energies 2025, 18(11), 2732; https://doi.org/10.3390/en18112732
Submission received: 30 April 2025 / Revised: 19 May 2025 / Accepted: 22 May 2025 / Published: 24 May 2025
(This article belongs to the Section J1: Heat and Mass Transfer)

Abstract

This work addresses enhancing flow boiling heat transfer via the use of engineered surfaces possessing specific novel geometries created via femtosecond laser texturing. Surface functionalization can result in improved, more controlled, and denser nucleation as well as controlled surface rewetting, leading to reduced incipient superheats, higher heat transfer coefficients, reduced flow instabilities, and increased critical heat fluxes with respect to a non-modified reference surface. Specifically, this study investigates how bubble dynamics and heat transfer performance are affected by three different surface textures fabricated on 200 µm thick 316L stainless steel foils using a femtosecond (fs) laser. The examined textures consist of inclined (=45°) microgrooves, inclined (=45°) conical microholes, and laser-induced periodic surface structures (LIPSSs). Each textured surface’s degree of heat transfer enhancement is assessed with respect to a plain reference surface in identical operating conditions. The working fluid is PP1, a replacement of 3M™ FC-72 in heat transfer applications. Among the tested surfaces, submicron-scale LIPSSs contribute to the rewetting of the surface but only show a slight improvement when not combined with bigger microscale structures. The inclined grooves result in the most gradual onset, showing almost no incipient overshoot. The inclined conical microholes achieve superior results, improving heat transfer coefficients up to 70% and reducing the incipient temperature up to 13.5 °C over a plain reference surface.

1. Introduction

Developing efficient cooling and heating devices is essential in many fields, including microelectronics [1] and aerospace engineering [2]. Increasing transistor density and continuously decreasing component sizes have led to a substantial rise in heat flux at the chip level [3], requiring advanced thermal management solutions. The current high power densities and inadequate heat dissipation methods present a significant technological challenge. Therefore, understanding and enhancing the transport phenomena involved in microscale heat transfer is crucial to allow further technology miniaturization. Flow boiling in cooling channels offers significantly higher heat transfer efficiency compared to conventional single-phase cooling methods due to the utilization of the fluid’s large latent heat during the phase change. For situations where coolant fluids come into direct contact with heat-generating electronic components, dielectric fluids such as fluorocarbon fluids (e.g., FC-72) and hydrofluoroethers (e.g., Novec-7000) are commonly used because of their excellent electrical insulation, chemical compatibility, high dielectric strength, inert nature, stability, non-flammability, and non-reactivity. However, due to their low surface tension and high wettability these fluids tend to infiltrate deeply into nucleation sites, which often leads to higher incipient superheat values compared to traditional fluids like water. Surface modifications, such as the addition of microfins, microgrooves, coatings, porous layers, or hybrid structures, can improve boiling heat transfer performance at the micro- and nanoscales by influencing nucleation site density and dynamics, incorporating surface wettability and wickability. Knowing this, many different surface modification techniques have been explored in the literature. Direct coating techniques, including electrochemical deposition [4], chemical vapor deposition [5], and direct powder sintering [6], have demonstrated significant enhancements in both the boiling heat transfer coefficient (HTC) and critical heat flux (CHF). Furthermore, advanced manufacturing techniques, including MEMS/NEMS technologies [7] and additive manufacturing (AM) [8], have also achieved notable enhancements in boiling heat transfer. In the literature, heat transfer coefficient enhancement degrees up to 100–200% over a reference plain surface have been reported using textured surfaces produced via a multitude of techniques. However, these percentages depend greatly on the reference surface quality (polished or not, aging effects), the channel dimension, and the operating conditions, so a direct comparison is not always fair. A comprehensive review of the state of the art related to flow boiling enhancement on textured surfaces can be found in [9]. In this section, we briefly review the literature relevant to the textures selected for this study.
For artificial cavities to be active and stable nucleation sites, they must be capable of retaining vapor after bubble departure in order to bypass the energy barrier of vapor embryo formation. Vapor retention depends on both cavity geometry and the contact angle. Bankoff [10] and Lorenz [11] proposed a first criterion, where the contact angle should be greater than the cavity cone angle to entrap vapor. However, it was found that vapor can still be entrapped for highly wetting liquids as long as the critical embryo radius is smaller than the cavity’s mouth radius [11,12]. The current widely used Hsu nucleation criterion [13] provides an estimate of the cavity radius range for cavities to be effective at given operating conditions. A cavity being effective is not a sufficient condition for it to be active, as this also depends on the environment around the cavity. For instance, when there are two cavities, both with favorable geometry but located very close to each other, the one with the shortest waiting period between bubble cycles would be preferred. This dominant one would be an active site and the other one would be an effective but inactive site. According to Griffith et al. [14], the cavity mouth diameter determines the superheat needed to initiate boiling while its shape determines its stability once boiling has begun.
Grooved surfaces are often encountered in the literature at different scales and implementations [15,16,17,18,19,20]. In addition to the standard groove width, depth, spacing, and direction with respect to the flow, another parameter that can be varied is its inclination with respect to the surface level. This has not been widely explored as it usually adds significant manufacturing complexity. Several studies hint at the beneficial impact of inclined grooves. Das et al. [21] demonstrated that the inclination angle of grooves significantly affects heat transfer performance. Their study involved experiments in a stirred pool of water using copper plates with micro-milled grooves inclined at 30°, 45°, 60°, and 90°, fabricated via wire electrical discharge machining. The results showed that inclined grooves enhanced heat transfer, with the 45° configuration yielding the best performance, achieving a 35% increase in the HTC. Additionally, the incorporation of a “re-entrant circular pocket” at the groove base led to further enhancement of heat transfer.
Moreira et al. [22] studied water boiling on micro-milled dual-V-grooves (with one straight edge) in microchannels, which effectively enabled bubbles to move transversely with respect to the flow direction due to the evaporation momentum force, creating separated liquid and vapor pathways. Increasing the groove tilt angle from 30 to 60 degrees was seen to improve the overall heat transfer improvements. HTC enhancements of 200% were reported.
Fu et al. [23] investigated the CHF during flow boiling of HFE-7100 on a saw-tooth grooved surface structure (tilted 45° to surface level). The CHF was enhanced by 36% and 44% with respect to an unmodified reference surface for a flow along and opposite to the groove inclination at low flow rates, and 20% and 8% at higher flow rates, respectively. The CHF enhancement was explained by visualizations indicating that the saw-tooth structures interrupt the boundary layer and restrain bubble coalescence.
It is also known that grooves do not lead to fixed nucleation sites and can suffer greatly from bubble coalescence. For this reason, distinct cavities that are independent of each other can be used to separate and control the effects of bubble merging and nucleation. In the literature, artificial cavities have been investigated mainly in pool boiling [24,25]. Continuing the line of thought presented for the grooves, cavities inclined with respect to the surface level could also potentially lead to an increased HTC. However, etching and milling would no longer be suitable production methods.
More generally, one could even say that, despite significant reported enhancements, the utilized manufacturing techniques often face limitations like system complexity, high costs, limited scalability, and restricted applicability across various materials when considered for commercial or industrial implementation of boiling enhancement surfaces. Alternatively, laser surface texturing (LST) presents a promising approach, as it is a chemical-free, scalable, and versatile method (including control of texture inclination), making it suitable for developing boiling enhancement surfaces for commercial and industrial applications [26]. For instance, Sommers and Yerkes [27] compared microgrooves created through reactive-ion etching and laser ablation, finding that laser ablation yielded better performance. This improvement was attributed to enhanced nucleation due to a porous layer of sintered particles formed during the laser process. The heat transfer coefficients increased by 90– 100 % , and the application of a hydrophobic coating led to a further 20 % enhancement. Recently, ultrashort-pulse lasers, and specifically femtosecond lasers (with pulse durations typically under 10 picoseconds), have shown significant promise for creating precise micro- and nanoscale features on a wide range of materials. This is due to their high peak power, low ablation threshold, minimal heat-affected zone, and minimized thermal stress deposition [28]. The effectiveness of femtosecond lasers is attributed to “cold” ablation, as the pulse duration is shorter than the electron–phonon relaxation time [29]. A noteworthy phenomenon associated with femtosecond laser ablation is the creation of laser-induced periodic surface structures (LIPSSs), which are submicron “ripples” formed when the laser fluence is near the ablation threshold and multiple pulses are applied. As a result, femtosecond laser ablation can generate hierarchical surface features at different scales [30], enhancing boiling performance by increasing heat transfer surface area, nucleation site density, and capillary wicking effects at the macroscale, microscale, and nanoscale, respectively [31]. Lim et al. [32], who investigated microgrooves produced by femtosecond laser ablation, found that a sample created with high laser fluence resulted in deeper, wider, hydrophilic grooves that significantly improved heat transfer performance (30% increase in HTC). In contrast, a sample produced with low laser fluence led to shallower, narrower, hydrophobic grooves, which reduced overall performance (20% decrease in HTC) due to inhibited liquid rewetting.
Focusing on surface wettability, Allahyari et al. [33] demonstrated a progressive increase in the surface hydrophobicity with the femtosecond laser pulse fluence on copper. Martinez-Calderon et al. [34] were able to maintain a high degree of hydophobicity at pitch distances below 50 µm and found a clear hydrophobizing effect related to hierarchical LIPSSs on stainless steel. On the other hand, Fang et al. [35,36] extensively showed that the formation of LIPSSs on the surfaces of micropillars and microholes significantly enhances the wicking capability and hydrophilicity of micropillar/microhole array structures. These structures were fabricated using femtosecond laser processing on Ti-6Al-4V alloy and aluminum surfaces with water as the working fluid.
It is clear that surface texture characteristics play a crucial role in enhancing boiling performance and that femtosecond (fs) laser texturing offers a highly flexible and precise approach for fabricating micro- and nanoscale features. It should always be remembered that the overall performance of such textured surfaces is influenced by several factors, including fluid properties, surface wettability, and the specific operating conditions. In this context, the present study investigates the effects of several novel inclined fs laser-manufactured hybrid micro/nanostructures on flow boiling of perfluorohexane ( C 6 F 14 , PP1, FC-72), with a focus on heat transfer enhancement and bubble dynamics. To the best of the authors’ knowledge, this is the first study to explore the influence of inclined textures produced via fs laser processing on flow boiling heat transfer.

2. Materials and Methods

2.1. Design and Fabrication of the Textured Surfaces

In this study, surfaces were designed to promote active nucleation by incorporating grooves and holes with dimensions that fall within the size range of effective nucleation sites as described by the Hsu nucleation criterion [13]. The cavity spacing was chosen based on estimated bubble sizes observed in preliminary experiments to avoid premature coalescence. To investigate the effect of cavity orientation, the grooves and holes were inclined at 45° with respect to the surface level. This inclination was hypothesized to improve vapor retention. However, it is important to note that the surface designs employed here are not claimed to represent an optimal configuration for the operating conditions under consideration. Instead, they serve as a controlled starting point for future systematic studies aimed at isolating the effects of individual geometric parameters on boiling heat transfer performance.
The production of femtosecond laser-textured surfaces was achieved using a multi-axis micromachining setup that included 5-axis mechanical air-bearing stages, a 2-axis optical galvo-scanner, and a femtosecond laser source (CARBIDE CB3-20W, Light Conversion) with the following specifications: pulse duration—250 fs, wavelength—1030 nm, maximum average power—20 W, spot size—16 µm, pulse repetition rate—1 MHz, and maximum pulse energy—400 µJ at 50 kHz. One of the effects of the laser–material interaction is the formation of submicron periodic features known as laser-induced periodic surface structures (LIPSSs), which appear alongside the larger microstructures created during the texturing process. Therefore, the resulting texture can be considered a hierarchical surface texture. Three different textured surfaces, namely, LIPSS-only, inclined grooves, and inclined holes, were fabricated on stainless steel 316L substrates (Goodfellow FF21-FL-000121 with average roughness of 0.167 µm) over an area of 82 mm × 5 mm using the parameters in Table 1. The plain reference surface was used in its original condition as supplied by the manufacturer and is assumed to be representative of what would be encountered in industry. No polishing was performed on this reference surface, as this would artificially increase the enhancement degrees of the textured surfaces.

2.2. Characterization of the Textured Surfaces

2.2.1. Surface Topography

The topography of the fabricated textures was analyzed using scanning electron microscopy (SEM) (XL30 FEG, FEI) and optical microscopy (VHX 1000, Keyence). SEM micrographs of each manufactured test surface are shown in Figure 1 for two different magnifications. These micrographs permit the measurement of the LIPSS periodicity and the maximum width of the holes and grooves. For surface S1 (see Figure 1(S1)), uniform LIPSS textures with a periodicity ranging between 700 and 800 nm are measured. The appearance of LIPSSs with a periodicity approaching the 1030 nm laser wavelength indicates the formation of low-spatial-frequency LIPSSs. Figure 1(S2,S3) also, respectively, show the presence of LIPSSs on the inclined microgrooves (surface S2) and microholes (surface S3), indicating the formation of hierarchical microfeatures. Also, some redeposition of fine nanoparticles along the wall surfaces is observed for both cases. While this redeposition did not compromise the straightness of the edges of the inclined grooves, it created a visible rim for the microholes. Moreover, a dimple-like structure was observed inside the hole near the laser entry point (as seen in Figure 1(S3) at the higher magnification), making the hole cross-section not fully round.
Optical microscopy was used to determine the cross-section dimensions of the inclined grooves and inclined holes, as shown in Figure 2 for a 2000× magnification factor. While this was accurate for the grooves, a cross-section could not be precisely measured for the holes since it was impossible to cut the surface exactly in the middle of the conical holes. However, the depth and diameter of the inclined microholes can be assumed to be similar to that of inclined microgrooves. The dimensions of the fabricated features are provided in Table 1.

2.2.2. Wettability Analysis

The wettability of the surfaces was assessed using the Wilhelmy plate method (KRÜSS Force Tensiometer—Tensiio), with the goal of obtaining a more average wettability assessment compared to a local droplet goniometry approach, which could differ more from one location to another due to local heterogeneity. The Wilhelmy plate method is also capable of measuring lower contact angles compared to goniometry, which is limited by optical constraints and cannot accurately measure contact angles below 15 degrees. For this measurement, a test sample textured on both sides and attached to a force sensor is slowly plunged and retracted in a pool of test liquid. Upon contact with the liquid, the resulting meniscus exerts a measurable force on the sample. The contact angle ( θ ) results from the Wilhelmy equation (Equation (1)):
F = P γ L V c o s ( θ ) + m g ρ f V f g
with F the measured force in the downward direction, P the wetted sample perimeter, γ L V the liquid–vapor surface tension, m the sample mass, g the gravitational constant, ρ f the fluid density, and V f the displaced fluid volume. Performing contact angle measurements with PP1 proved very difficult since contact angles were always very small (<5°) due to the fluid’s extreme wetting nature and were effectively measured as 0°. Accurately measuring contact angles below 5° has been shown to be feasible using interferometry [37,38,39,40], but this is outside the scope of the current study. Therefore, contact angle measurements were conducted using distilled water, a commonly used standard reference liquid. Due to its high surface tension (72.7 mN/m at 20 °C and atmospheric pressure), water minimizes measurement errors and provides a reliable means of characterizing contact angle hysteresis. Hysteresis, in this context, refers to the difference between the advancing and receding contact angles. A smaller hysteresis indicates that a sessile droplet on the surface can detach more easily and may point to better wicking. For consistency, all experiments were conducted at an immersion velocity of 5 mm/min. The average advancing and receding water contact angles, along with the corresponding contact angle hysteresis for all tested surfaces, are presented in Table 1. It can be seen that the textured surfaces exhibit a more hydrophobic behavior (contact angles greater than 90°) with respect to the plain reference surface using water. The used LIPSSs and inclined grooves do not seem to be wicking to water as the contact angle hysteresis is very large. However, a very low receding angle can lead to better wicking in the surface if the liquid manages to enter, given the large advancing contact angle hindering liquid penetration. Notably, for the inclined holes, the smallest hysteresis is noted, pointing to a better water wickability. While water was used for the surface characterization, it should be noted that this does not directly translate to the wettability using PP1, as water is a high-surface-tension polar liquid while PP1 is a low-surface-tension non-polar fluid. In Section 3, it is shown that all textured surfaces seem to be more philic to PP1 compared to the plain surface. It is crucial to highlight that wettability, wickability, and the availability of nucleation sites collectively influence boiling behavior.

2.3. Experimental Flow Boiling Setup

Figure 3 shows a schematic overview of the experimental setup.
A detailed description of this setup has already been reported in a previous communication [41]. Here, a more condensed description is presented. Starting from the pump and following the flow direction, all elements of the loop are briefly listed. The pump system consists of a Micropump Inc. GJ-N23.JF1SJ PPS gear pump with an I-DRIVE type 76003, capable of achieving a flow rate of 3520 mL/min. A PID controller regulates the pump based on flow rate measurements of a Coriolis flow meter (Bronkhorst CORI-FLOW M54) to maintain the desired mass flow rates. A filter (FTSS-ML8-15) with a 15 μm pore size filters out any particles present and can be bypassed using valves (BOSS-ML8-05) when filtering is sufficient. The preheater consists of a shell and tube heat exchanger (NORDIC B55) connected to a chiller (HUBER S40), capable of maintaining temperatures between 5 and 90 °C using demineralized water. The test section (see Figure 4 below) consists of multiple plexiglass parts bolted together and sealed using Viton O-rings, creating a 5 × 5 × 400 mm flow channel.
After a 300 mm entrance length for flow development, an 80 mm × 5 mm heater with a thermocouple assembly is embedded in the channel’s exit region, as seen in Figure 4b. A 7 mm wide, 200-micron-thick stainless steel strip is used as the boiling surface. It covers the entire channel length to allow undisturbed flow development, but only the region above the heater is textured. The channel inlet and outlet manifolds are pneumatic multiple-distributor push-in connectors (Festo), where also temperature and differential pressure measurements are performed. An LED strip placed behind the channel illuminates the region of interest, enabling bubble visualizations via the high-speed camera (Photron Fastcam-APX RS with a 150 mm objective). A radiator block with fans cools the fluid downstream of the test section, and an accumulator stabilizes the system pressure. For degassing, the fluid is heated near the saturation temperature using the preheater and is left to circulate, releasing gas bubbles and replacing them with liquid via designated ports. Degassing was performed for a period of at least one hour and until no more bubbles were observed in the filling ports. Data logging and control actions are managed through an NI acquisition system combined with LabVIEW. Stainless steel pipes are used to connect the flow loop and a short length of flexible transparent tubing ensures optical access before and after the test section. The leak tightness of the whole setup was checked with a very sensitive halogen leak detector (Elitech IR-200, maximum sensitivity around 4 g/year) while the system was pressurized around 1.2 bar. It is important to underline that specific leak tests have been performed in the vicinity of the test-section pneumatic multiple-distributor push-in connectors, which could be prone to leakage after each (de)coupling procedure. Also, the setup was set below atmospheric pressure (0.8 bar) for more than 12 h without showing any appreciable increase in pressure, demonstrating that air was not entering into the fluidic loop.

2.4. Experimental Conditions

The working fluid used in this work was Flutec PP1 (also known as perfluorohexane, C 6 F 14 , and FC-72). It is a dielectric, non-toxic fluid with a saturation temperature of 56 °C at 1 bar. The thermophysical properties of PP1 at standard conditions are presented in Table 2, while the experimental conditions are presented in Table 3, leading to five test cases referring to a combination of subcooling and Reynolds number at the single-phase channel inlet that use the nomenclature shown in Table 4. Condition A1 was omitted due to excessive vapor formation causing the system pressure to increase above a controllable limit.
The inlet liquid Reynolds number was chosen as a control parameter instead of the flow rate to account for PP1’s high thermal sensitivity and to facilitate a more direct comparison with other fluids. For completeness, the mass flow rates corresponding to each test case are also provided in Table 4.
Within each test case, the heat flux setting was varied from 0 to 12 W/cm2 in discrete steps. Each heat flux increment was followed by a 5 min transient period during which the system reached a steady state. After this, 1 min of steady-state sensor data were averaged. During the steady state, high-speed images were captured for 1 s at 2000 fps.

2.5. Calibration and Data Processing

The wall temperature ( T w ) was calculated from the temperature T m measured by thermocouples located beneath the surface. This required the use of a specific calibration procedure performed after the experimental campaign. This calibration makes use of additional thermocouples, T C c a l i b r a t i o n and T C l o s s , schematically represented in Figure 5.
The measurement of T p l e x i , o u t using T C l o s s allowed us to perform a heat loss assessment through the bottom part of the channel made of plexiglass with conductivity k = 0.19 W/mK and height H = 15 mm (Equation (2)). We obtained, for all heat fluxes used in our campaign, a heat loss below 1%, which can therefore be neglected.
q l o s s = ( T m T p l e x i , o u t ) k H
The Kapton layers on both the top and bottom of the heater element contributed to a high thermal resistance, leading to a significant temperature difference between T m and T w under high-heat-flux conditions. To address this, a series of calibration thermocouples was positioned on the boiling surfaces directly above each embedded thermocouple (refer to Figure 5). These calibration thermocouples were housed in a water-cooled aluminum block to facilitate heat removal during the calibration process. The same heat flux levels used in the main test campaign were applied to the heater during calibration. This approach enabled us to find the temperature difference as a function of the heat flux (see Equation (3)), which was then fitted with a linear equation to accurately determine the total thermal resistance.
T w = T m R t o t a l q
At the position of thermocouple i (i = 1/2/3/4/5), the (local) heat transfer coefficient (HTC) quantifies the heat transfer between the surface at temperature T w , i and the surrounding fluid at temperature T f , i in the liquid bulk:
H T C = q T w , i T f , i
The local HTC varied along the flow path, and an overall average HTC could also be determined. As the fluid bulk temperatures were only measured at the inlet and outlet of the test section, the local bulk fluid temperature was approximated by assuming a linear temperature increase along the length of the heater from T i n to T o u t , with F representing the fraction of the heated length traversed before reaching thermocouple location i [42]. This linear assumption is valid, as the fluid remains subcooled at the outlet.
T f , i = T i n + F ( T o u t T i n )
The measurement uncertainties are presented in Table 5.
Uncertainties in the heat flux and HTC were determined by the root sum square method [43,44] and are given in Equations (6)–(8).
ε q q = ε I I 2 + ε U U 2 = 0.57 %
ε T w = ε T m 2 + q ε R 2 + R ε q 2 < 0.75 ° C
ε h h = ε q q 2 + ε T w T w T f 2 + ε T f T w T f 2
In the single-phase experiments, the obtained heat transfer coefficients agreed within 20% of the Gnielinski correlations, thereby validating the experimental setup.

3. Results and Discussion

3.1. Influence of Textured Surfaces on Heat Transfer Performance

To investigate the impact of textured surfaces on flow boiling performance, this study analyzes changes in heat transfer coefficients (HTC), the onset of nucleate boiling (ONB), and bubble dynamics compared to a reference plain surface. A rigorous investigation of the critical heat flux (CHF) is out of the scope of this work. In particular, we present in this section a subset of the results obtained from the test campaigns, specifically focusing on the boiling and heat transfer coefficient (HTC) curves measured at a designated point on the surface, corresponding to the location of the second heater thermocouple (H2), as depicted in Figure 4b. This location is chosen as H2 is positioned within the camera’s visualization area, facilitating a more accurate comparison of the onset of nucleate boiling. The trends observed from the other thermocouples are consistent with those of H2. A summary of the most important outcomes is presented in Table 6, which reports the changes in average HTC ( Δ H T C ) and the onset of boiling in terms of heat flux Δ q ONB and surface temperature Δ T O N B with respect to the reference surface. In particular, Δ H T C is calculated as the average of the last six data points of the curves presented in the Supplementary Material (Figures S1c–S5c) for each respective experimental condition.
To examine the influence of textured surfaces on the bubble dynamics, the mean number of bubbles n b u b ( # ) and the mean bubble diameter D b u b (µm) were evaluated via image processing (circle-based detection). A total of 1000 frames with a spatial resolution of 20 µm/pixel were considered per experimental condition. The image analysis was performed for boiling regimes obtained in the lower-heat-flux region where the void fraction was low and bubble overlapping was limited. Examples of bubble visualizations are given in Figure 6 for cases A4, A5, and A6 at a heat flux of 4 W/cm2.
The visualizations represent a 25 mm region located between thermocouples H2 and H3 (refer to Figure 4b). The flow direction is from right to left. Thermocouple H2 is positioned on the right side, while thermocouple H3 is on the left side of each image. Table 7 provides the average bubble count and size within the channel observation area for the cases shown in Figure 6 at a heat flux of 4 W / cm 2 .

3.1.1. Reference Surface—Plain

The results presented in the previous section show that, in the investigated heat flux range, the plain surface has the worst heat transfer performance along with fewer and larger bubbles. This is due to a lack of fixed and stable nucleation sites, leading to the observed higher T O N B and lower HTC.

3.1.2. Surface S1—LIPSS

The femtosecond laser texturing approach inherently leads to hierarchical structures as the light–matter interaction leaves periodic submicron-scale ripples (LIPSSs) on the surface on top of any bigger microstructure created. Surface S1 consists of pure LIPSSs and thus only contains submicron-scale ripples, with no additional microstructures, as shown in Figure 1(S1).
In comparison with the plain surface, smaller bubbles and a higher average number of bubbles were observed (see Table 7), as well as a consistent ONB inception at lower temperatures (3.3°C for condition A6 to 8.9 °C for condition A4). We speculate that this surface provides a higher wickability, enabling easier liquid supply to nucleation sites and consequently bubbles that detach at smaller diameters and higher frequencies. It is important to note that, since nucleation initiates abruptly, there is still a pronounced drop in wall temperature at boiling incipience, as also observed with the plain surface. This substantial temperature drop should be monitored as it could affect the structural integrity of the device by thermal shock or fatigue, potentially affecting long-term performance if not continuously operating in the nucleate boiling regime. The HTC enhancement with respect to the plain reference is rather limited (up to 8.4% for condition A5). Nonetheless, this enhancement is sustained at higher heat fluxes, indicating an improved replenishment of liquid facilitated by the LIPSS structures. However, nucleation site activation appears irregular and unstable.

3.1.3. Surface S2—Inclined Grooves

This surface features 45-degree-inclined microgrooves (IG) with a width of 37 µm, a depth of 41 µm, and a spacing of 100 µm, aligned parallel to the flow direction, as shown in Figure 1(S2). The LIPSS structures formed on the walls of the inclined microgrooves during laser texturing are also oriented in the direction of the flow.
The addition of this texture significantly accelerates the ONB (8.6 °C for condition A3 to 13.4 °C for condition A2). For condition A6, the ONB occurs almost immediately, at Δ T sat = 0.5 K and at a heat flux of q ONB = 2.4 W / cm 2 , marking it as the earliest ONB among all the examined textured surfaces in this work. The microscale grooves applied to the surface act as a line of potential cavities, where the locally higher temperatures and increased heat transfer area trigger nucleation at much lower superheat levels. Also, we observe no big temperature drop at ONB, indicating a more gradual onset, likely because of the spread of nucleation sites across the groove length having more freedom. This could be interesting for applications that are sensitive to strong and fast temperature variations.
When comparing high-speed camera (HSC) images of bubbles recorded on surface S2 and surface S1 (Figure 6), we see that the first exhibits a higher density of smaller bubbles that detach at a higher frequency. This behavior might be associated with increased wettability, likely largely resulting from the additional LIPSS structure. However, due to the low contact angles with PP1, this could not be effectively measured. The grooves also enhance the wicking effect, allowing better liquid penetration, resulting in a more hydrophilic character of the surface and more effective replenishment of the surface with subcooled liquid, leading to faster bubble detachment at smaller sizes.
This surface also presents a clear HTC enhancement, going from 14.85% for condition A2 to 30.41% for condition A4. The earlier nucleation onset contributes to a temporary spike in enhancement, as observed in Figures S1c–S5c. Although we observe an increase in nucleation site density, we speculate that bubbles that form in a nucleation site in the groove can easily disturb the activation of possible nucleation sites located downstream of it. This randomness of nucleation sites within the grooves still limits the possible degree of HTC enhancement.

3.1.4. Surface S3—Inclined Holes

This surface contains conical holes spaced 100 µm apart, inclined at 45 degrees and oriented perpendicular to the flow direction, as illustrated in Figure 1(S3). Again, it should be emphasized that this surface exhibits a combination of microscale (holes) and submicron-scale (LIPSS) features, a result of the femtosecond laser texturing process. The presence of LIPSS on the inner walls of the microholes is clearly visible in Figure 1(S3), where distinct periodic structures with a periodicity comparable to the laser wavelength can be observed.
An early ONB was observed for this surface. However, overall, S2 still seems to outperform it by presenting a lower q O N B and, more often than not, also a lower Δ T s a t , O N B . The small size of the cavity in inclined holes, combined with the hydrophilic characteristics induced by LIPSSs, may be why a higher superheat is often required compared to inclined grooves. Only in case A4 does S3 present a superior Δ T s a t , O N B with respect to S2, indicating a better ONB performance of surfaces with inclined holes at a lower subcooling degree.
The highest amount and smallest bubbles are observed for inclined holes. It is believed that, differently from what was observed for the surface with inclined grooves, the bubbles formed within these conical cavities are size-limited by the cavity radius. These bubbles detach very fast and do not slide across the surface. Furthermore, the cavity cones act as isolated nucleation sites that are fixed in space, unlike in the inclined grooves, where bubbles can nucleate anywhere along the groove. In inclined grooves, bubble growth can still occur along the groove as bubbles remain attached along the flow path, explaining the slightly larger bubble sizes observed for inclined grooves. Hence, a high density of smaller bubbles is expected for inclined holes, rising more slowly and condensing faster in the bulk subcooled flow due to their smaller volume.
Inclined holes clearly exhibit the highest HTC, showing an increase of 36.89% (A6)–60.91% (A4) with respect to the plain reference surface, as indicated in Figures S1c–S5c. This large improvement is likely due to the arrangement of holes, which can activate more nucleation sites, thus producing more vapor, as evidenced by an increased void fraction. Interestingly, the HTC enhancement declines at higher heat fluxes, most distinctly observed in Figure S3c of the Supplementary Materials, representing case A4 having the lowest subcooling degree. At lower heat fluxes, the high amount of nucleation sites generates small bubbles that operate independently and are more resistant to coalescence due to the available room for growth. As the heat flux increases, larger and more bubbles form, which can disrupt this more ideal pattern of nucleation sites due to horizontal bubble interactions. Oversized bubbles begin to interact with adjacent sites, potentially inhibiting them, leading to less effective nucleation and a decrease in the HTC, as cavities can no longer act as discrete, uninfluenced nucleation sites. This indicates that optimal pattern spacing should exist for each operating condition, including heat flux as a main driver.

3.2. Influence of Subcooling on Heat Transfer Performance

This section briefly examines the influence of the degree of subcooling on the ONB, HTC, and bubble dynamics. Additionally, the effect of the degree of subcooling on the behavior of textured surfaces and their performance ranking is investigated. This is achieved using boiling curves and local HTC-q″ curves for both the plain and inclined hole surfaces at a constant Reynolds number (Re = 3000) and three different subcooling values ( Δ T s u b = 15 , 20 , 30 K), corresponding to experimental conditions A4, A5, and A6 (see Figure 7).
From Figure 7, a delay in the ONB can be observed with an increase in the degree of subcooling for both the plain and textured surfaces, as expected. A higher degree of subcooling means that the fluid enters the test section at a lower temperature. The larger temperature difference between the wall and the bulk liquid necessitates more energy to heat the liquid near the wall towards saturation. A higher degree of subcooling removes a larger portion of the heat flux as sensible heat, leaving a smaller amount to be extracted as latent heat. A lower bulk temperature of the fluid also limits bubble growth and detachment as the subcooled liquid can condense the formed vapor at the liquid–vapor interface. These factors result in fewer, smaller bubbles that quickly condense at higher degrees of subcooling. Conversely, lower degrees of subcooling allow more latent heat extraction, resulting in more nucleation sites and a higher bubble density. This increased bubble formation at lower subcooling leads to a higher HTC. Figure 7 demonstrates a notable enhancement in the boiling heat transfer coefficient (HTC) with a reduction in the inlet subcooling, achieving a maximum increase of + 41.8 % for the plain surface and + 76.9 % for inclined holes for condition A4 with respect to A6. Somewhat counterintuitively, a lower degree of subcooling corresponds with a higher wall temperature and an elevated HTC. This is logical as, especially at lower heat fluxes, colder fluid significantly reduces the wall temperature due to its enhanced cooling effect but simultaneously suppresses boiling. At higher heat fluxes, the cooling capacity of the colder incoming stream can be offset by extensive vapor formation, which also rapidly increases the local bulk fluid temperature. Consequently, the influence of inlet subcooling diminishes for increasing heat flux.
Furthermore, the HTC curve for inclined holes again substantiates the previous findings. The surface encounters an “ideal” heat transfer performance when small bubbles can nucleate from the nucleation sites independently, corresponding to a certain heat flux range. At lower degrees of subcooling, this “ideal” heat transfer performance is achieved at lower heat fluxes compared to those for higher degrees of subcooling. Interactions among nucleation sites occur sooner at a lower subcooling, thus marking a more significant decrease in HTC with increasing heat flux between conditions A4 and A6 compared to the plain surface.
In conclusion, much like the impact of flow velocity, the degree of subcooling does not significantly affect the performance ranking of the textured surfaces. Inclined holes consistently demonstrate the best heat transfer performance, with their maximum enhancement reaching + 60.91 % under experimental condition A4. Following inclined holes, inclined grooves consistently outperform laser-induced periodic surface structures, which in turn offer only slight improvements over the plain surface.

3.3. Influence of Mass Flow Rate on Heat Transfer Performance

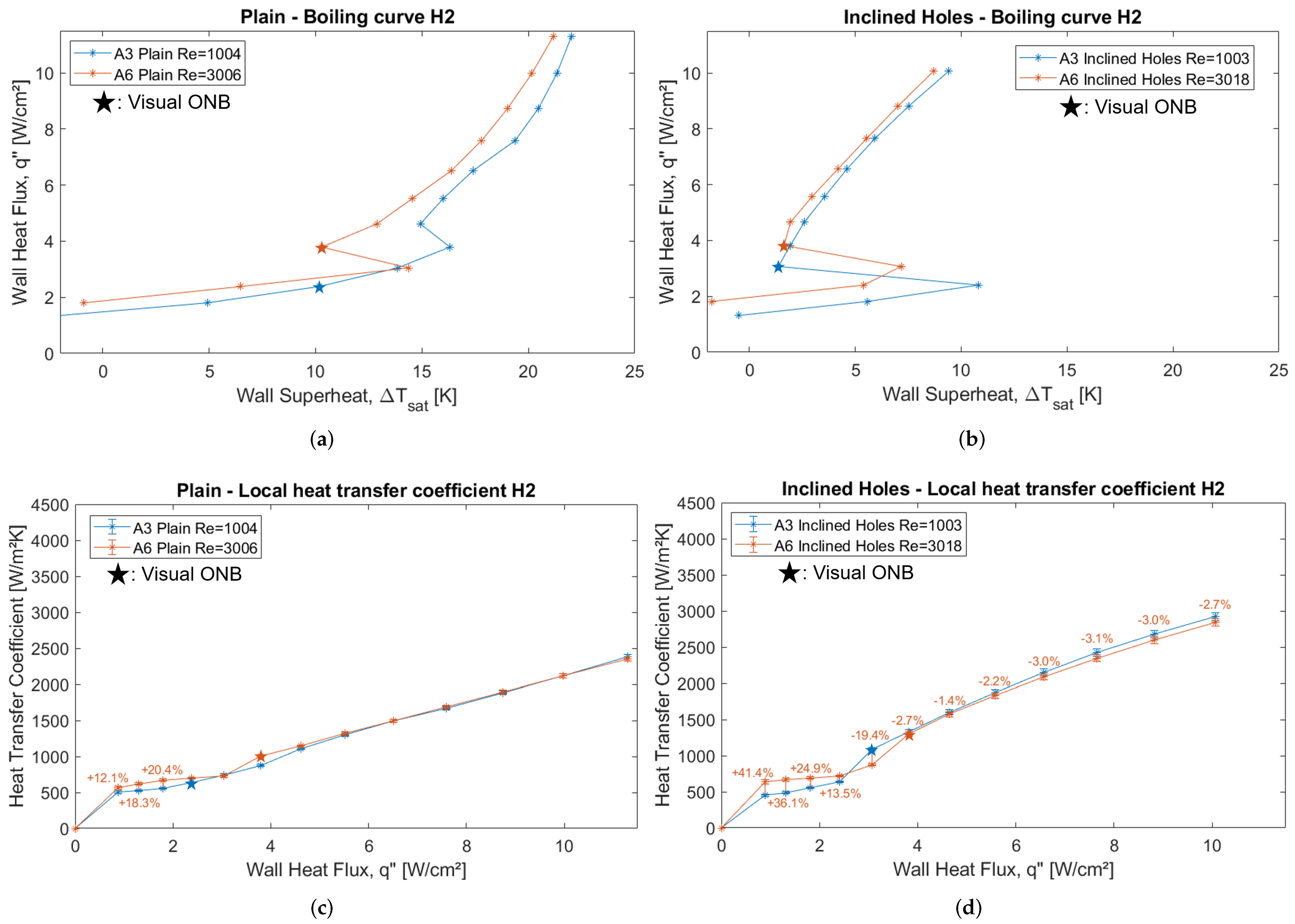
This section explores the impact of the mass flow rate, represented by the Reynolds number, on the ONB, HTC, and bubble dynamics. The Reynolds number relies on temperature-dependent fluid properties, so the mass flow rate needs to be adapted accordingly when using different degrees of subcooling. This section comments on whether the Reynolds number impacts the behavior of the examined textured surfaces and their relative performance ranking. This is achieved using boiling curves and local HTC-q″ curves for both plain surfaces and inclined holes at a constant degree of subcooling Δ T s u b = 30 K and varying Reynolds numbers (Re = 1000 and Re = 3000), corresponding to experimental conditions A3 and A6.
As seen in Figure 8, an increase in the flow rate delays the ONB to a higher heat flux. A higher mass flow rate enhances the single-phase heat extraction, leading to lower wall temperatures and suppression of nucleate boiling.
The liquid accumulates more heat at a lower Reynolds number, thereby losing its condensing capacity further downstream. The thermal boundary layer thickens along the flow direction, enhancing evaporation and bubble growth. Consequently, a higher density of larger bubbles is obtained. Additionally, bubbles have more time to interact and coalesce. Conversely, at a high Reynolds number, the excessive inertial forces result in the formation of smaller bubbles that are more likely to initially move along the surface rather than rise.
The most significant impact of a change in the mass flow rate remains within the single-phase heat transfer region, where forced convection is enhanced at a higher flow rate, leading to a higher HTC value (+20.4% for plain and +24.9% for inclined holes). However, the HTC effects in the two-phase region are very slim. As heat flux is increased and nucleate boiling starts to dominate, the influence of the mass flow rate quickly diminishes, implying that the HTC is primarily governed by latent heat removal rather than residual forced convection. In addition, an increase in the mass flow rate increases the critical heat flux by delaying vapor from coalescing into an insulating vapor blanket on the surface.
Lastly, the mass flow rate does not alter the performance ranking among textured surfaces in the examined range of Reynolds numbers, similar to the degree of subcooling. Inclined holes consistently demonstrate the best heat transfer performance, followed by inclined grooves. Laser-induced periodic surface structures still perform slightly better than plain surfaces.

3.4. Pressure Drop Observations

The associated pressure drop over the boiling section is another important performance parameter. The overall enhancement degrees must also account for any additional pumping power requirements, given by Equation (9).
W p u m p = 1 η p u m p m ˙ ρ Δ P
Pressure drops were monitored with a differential pressure sensor and average values obtained for cases A4, A5, and A6 are presented in Figure 9.
Although the pressure drop increases up to 90% on the textured surfaces with respect to the plain surface, the values always remain very low (<400 Pa) with respect to the channel scale, resulting in an associated pumping power below 3 mW. For the low-flow-rate cases A2 and A3, the pressure drop remains below 50 Pa, thus falling into the sensor uncertainty limits, which is why they are omitted in this analysis. It is clear that the pressure drop increases with heat flux due to increased vapor generation. Furthermore, it can be seen that the addition of a surface texture increases the pressure drop, partly because of the additional surface roughness but mainly because of the increased vapor generation. The textured surface pressure drop increases more quickly as a function of the applied heat flux. This effect is illustrated in Table 8, which presents the observed differential pressure increase from the lowest to highest applied heat flux for each surface.
The inclined holes present the highest pressure drops, followed by the inclined grooves, LIPSSs, and ultimately, the plain surface. Also, a lower subcooling degree increases the pressure drop rise over the same heat flux range due to an increased vapor fraction. Lastly, since the pressure drops are so low, the used sensor becomes less accurate and more noisy. A part of the recorded pressure drop differences may also be attributed to different machining quality on the inlet/outlet manifold pieces for different surfaces. So, while the absolute values may not be entirely representative, the pressure drop increases in Table 8 should remain representative. A higher-resolution sensor should be employed for a deeper quantitative analysis, which was not in the scope of this work. In conclusion, the increased pressure drop for the examined textured surfaces does not offset their significant gain in heat transfer performance. Note that the impact of the pressure drop could be more severe in very long or narrow boiling channels and would require more attention.

4. Conclusions and Perspectives

The use of novel inclined femtosecond laser-textured surfaces significantly alters the boiling dynamics and heat transfer performance in flow boiling experiments. Increasing nucleation site density and accelerating the onset of nucleate boiling lead to higher heat transfer coefficients compared to a plain reference surface. The boiling curves for all the textured surfaces shift to the left with respect to the plain reference surface. The bubble dynamics reveal that surface texturing not only promotes localized turbulence but also improves wetting properties. These textures ensure more consistent and frequent bubble nucleation. The pressure drop increased up to 90% for the textured surfaces, mainly associated with increased vapor generation, but the actual values remained low (<400 Pa) and did not offset the performance gains. There is a clear flow boiling heat transfer enhancement potential when using surface texturing as a passive enhancement technique.
The following key points were observed for each surface:
  • The tested surface with only LIPSS features resulted in smaller bubbles and an earlier ONB (max −8.9 °C in condition A4), but failed to create fixed nucleation sites, keeping the performance in terms of HTC close to the plain reference. A limited HTC enhancement of a maximum of 8.4% was measured in condition A5, indicating the need for microscale cavities for substantial enhancement.
  • The tested inclined grooves along the flow direction resulted in an increase in the nucleation site density, smaller bubbles, an earlier ONB (max −13.4 °C in condition A2), and an overall increase in HTC from 14.8% (A2) to 30.4% (A4) over the plain reference. The enhancement was still limited by non-fixed nucleation sites, as vapor can move along the groove and disturb other nucleation sites, keeping them from continuous operation. Also, bubbles in grooves can stay attached to their borders due to surface tension, allowing further growth while moving along the groove and improving heat transfer. The very early ONB is also very attractive, and no “thermal shock” at boiling incipience was observed.
  • The tested inclined hole sample showed the best performance of the tested surfaces, exhibiting the most substantial enhancement at lower heat fluxes. Its enhancement degree diminished at higher fluxes due to nucleation site interactions. An earlier ONB (max −13.5 °C for condition A4) was observed. On average, HTC improvements from 36.9% (A6) to 60.9% (A4) were observed over the plain surface. Bubbles were seen to be very small and abundant, and nucleation was more stable, increasing effective nucleation site density. It is apparent that optimal hole spacing should exist for a given operating condition to prevent premature bubble coalescence on the surface.
To conclude, the observed heat transfer improvements have promising implications for various thermal management applications, including high-performance cooling systems in power electronics, data centers, and aerospace. The ability to tune texture parameters for specific operating conditions opens up avenues for customized thermal solutions tailored to different industries. However, for widespread adoption, further investigation is needed to optimize surface patterns and establish a clearer understanding of the relationship between cavity geometrical parameters and heat transfer performance. Scalability and long-term stability under real-world conditions remain critical concerns, along with the durability of the textures and the repeatability of the manufacturing process. In particular, while not observed with PP1 as the working fluid, surface degradation due to fluid impurities and fouling could significantly reduce long-term performance. Ultimately, no single texture design can be universally optimal, and instead, surfaces should be engineered to meet the specific demands of their intended applications and operating conditions to maximize performance benefits.

Supplementary Materials

The following supporting information can be downloaded at: https://www.mdpi.com/article/10.3390/en18112732/s1. Figure S1: boiling curves, local HTC-curves and HTC improvement degrees for the different surfaces at experimental condition A2 [ Δ T s u b = 20 K, R e = 1000]. Figure S2: boiling curves, local HTC-curves and HTC improvement degrees for the different surfaces at experimental condition A3 [ Δ T s u b = 30 K, R e = 1000]. Figure S3: boiling curves, local HTC-curves and HTC improvement degrees for the different surfaces at experimental condition A4 [ Δ T s u b = 15 K, R e = 3000]. Figure S4: boiling curves, local HTC-curves and HTC improvement degrees for the different surfaces at experimental condition A5 [ Δ T s u b = 20 K, R e = 3000]. Figure S5: boiling curves, local HTC-curves and HTC improvement degrees for the different surfaces at experimental condition A6 [ Δ T s u b = 30 K, R e = 3000].

Author Contributions

Conceptualization, F.M. and M.R.V.; methodology, F.M.; software, F.M.; validation, F.M. and T.P.; formal analysis, F.M.; investigation, F.M. and T.P.; resources, B.N., S.K.P., S.C. and M.R.V.; data curation, F.M. and M.R.V.; writing—original draft preparation, F.M. and T.P.; writing—review and editing, B.N., S.K.P., J.S., S.C. and M.R.V.; visualization, F.M. and B.N.; supervision, J.S., S.C. and M.R.V.; project administration, F.M. and M.R.V.; funding acquisition, F.M., S.C. and M.R.V. All authors have read and agreed to the published version of the manuscript.

Funding

The authors gratefully acknowledge the Fonds Wetenschappelijk Onderzoek—Vlaanderen (FWO) (Mandaat Aspirant (1S62222N), FWO Weave project (G066722N) and Medium-Scale Research Infrastructure FemtoFac (I001120N)) and the European Space Agency (OSIP 4000135205/21/NL/GLC/my) for having funded the research activity.

Data Availability Statement

The original contributions presented in this study are included in the article. Further inquiries can be directed to the corresponding author.

Conflicts of Interest

The authors declare no conflicts of interest. The funders had no role in the design of the study; in the collection, analyses, or interpretation of data; in the writing of the manuscript; or in the decision to publish the results.

Abbreviations

The following abbreviations are used in this manuscript:
CHFCritical heat flux
HSCHigh-speed camera
HTCHeat transfer coefficient
IGInclined grooves
IHInclined holes
LIPSSsLaser-induced periodic surface structures
LSTLaser surface texturing
ONBOnset of nucleate boiling
SEMScanning electron microscopy
TCThermocouple

References

  1. Murshed, S.M.S. Electronics Cooling—An Overview; IntechOpen: Rijeka, Croatia, 2016; Chapter 1; pp. 1–2. [Google Scholar] [CrossRef]
  2. Williams, M.; Muley, A.; Bolla, J.; Strumpf, H. Advanced Heat Exchanger Technology for Aerospace Applications; SAE Technical Paper 2008-01-2903; SAE: Warrendale, PA, USA, 2008. [Google Scholar]
  3. Xiu, L. The Turn of Moore’s Law from Space to Time; Springer: Singapore, 2022. [Google Scholar] [CrossRef]
  4. El-Genk, M.S.; Ali, A.F. Enhancement of saturation boiling of PF-5060 on microporous copper dendrite surfaces. J. Heat Transf. 2010, 132, 1–9. [Google Scholar] [CrossRef]
  5. Ujereh, S.; Fisher, T.; Mudawar, I. Effects of carbon nanotube arrays on nucleate pool boiling. Int. J. Heat Mass Transf. 2007, 50, 4023–4038. [Google Scholar] [CrossRef]
  6. Kim, T.Y.; Weibel, J.A.; Garimella, S.V. A free-particles-based technique for boiling heat transfer enhancement in a wetting liquid. Int. J. Heat Mass Transf. 2014, 71, 808–817. [Google Scholar] [CrossRef]
  7. Wei, J.J.; Guo, L.J.; Honda, H. Experimental study of boiling phenomena and heat transfer performances of FC-72 over micro-pin-finned silicon chips. Heat Mass Transf.-Und Stoffuebertragung 2005, 41, 744–755. [Google Scholar] [CrossRef]
  8. Wong, M.; Owen, I.; Sutcliffe, C.J.; Puri, A. Convective heat transfer and pressure losses across novel heat sinks fabricated by Selective Laser Melting. Int. J. Heat Mass Transf. 2009, 52, 281–288. [Google Scholar] [CrossRef]
  9. Mertens, F.; Castagne, S.; Vetrano, M.R. A Review on Flow Boiling Enhancement on Textured Surfaces. Energies 2024, 17, 558. [Google Scholar] [CrossRef]
  10. Bankoff, S.G. Entrapment of gas in the spreading of a liquid over a rough surface. AIChE J. 1958, 4, 24–26. [Google Scholar] [CrossRef]
  11. Lorenz, J.J.; Mikic, B.B.; Rohsenow, W.M. The Effects of Surface Conditions on Boiling Characteristics; Technical Report; Massachusetts Institute of Technology: Cambridge, MA, USA, 1972. [Google Scholar]
  12. Mahmoud, M.M.; Karayiannis, T.G. Pool boiling review: Part I—Fundamentals of boiling and relation to surface design. Therm. Sci. Eng. Prog. 2021, 25, 101024. [Google Scholar] [CrossRef]
  13. Hsu, Y. On the Size Range of Active Nucleation Cavities on a Heating Surface. J. Heat Transf. 1962, 84, 207–213. [Google Scholar] [CrossRef]
  14. Griffith, P.; Wallis, J.D. The Role of Surface Conditions in Nucleate Boiling; Technical Report; Massachusetts Institute of Technology: Cambridge, MA, USA, 1958. [Google Scholar]
  15. Cheng, X.; Wu, H. Enhanced flow boiling performance in high-aspect-ratio groove-wall microchannels. Int. J. Heat Mass Transf. 2021, 164, 120468. [Google Scholar] [CrossRef]
  16. Cheng, X.; Yao, Y.; Wu, H. An experimental investigation of flow boiling characteristics in silicon-based groove-wall microchannels with different structural parameters. Int. J. Heat Mass Transf. 2021, 168, 120843. [Google Scholar] [CrossRef]
  17. Chen, G.; Tang, Y.; Duan, L.; Tang, H.; Zhong, G.; Wan, Z.; Zhang, S.; Fu, T. Thermal performance enhancement of micro-grooved aluminum flat plate heat pipes applied in solar collectors. Renew. Energy 2020, 146, 2234–2242. [Google Scholar] [CrossRef]
  18. Vlachou, M.C.; Efstathiou, C.; Antoniadis, A.; Karapantsios, T.D. Micro-grooved surfaces to enhance flow boiling in a macro-channel. Exp. Therm. Fluid Sci. 2019, 108, 61–74. [Google Scholar] [CrossRef]
  19. Bian, Y.; Chen, Z.; Li, Z.; Liang, Y.; Li, Y.; Lu, X.; Yuan, D.; Feng, Z. Experimental investigation on the effects of inclined grooves on flow boiling heat transfer and instability in a minichannel heat sink. Int. J. Heat Mass Transf. 2025, 236, 126333. [Google Scholar] [CrossRef]
  20. Yan, X.; Wu, Y.; Zhang, Z.; He, K. Experimental investigations into flow boiling heat transfer in ribbed micro-channels with rectangular reentrant cavities. Appl. Therm. Eng. 2025, 261, 125104. [Google Scholar] [CrossRef]
  21. Das, A.K.; Das, P.K.; Saha, P. Some investigations on the enhancement of boiling heat transfer from planer surface embedded with continuous open tunnels. Exp. Therm. Fluid Sci. 2010, 34, 1422–1431. [Google Scholar] [CrossRef]
  22. Moreira, D.C.; Nascimento, V.S.; Ribatski, G.; Kandlikar, S.G. Combining liquid inertia and evaporation momentum forces to achieve flow boiling inversion and performance enhancement in asymmetric Dual V-groove microchannels. Int. J. Heat Mass Transf. 2022, 194, 123009. [Google Scholar] [CrossRef]
  23. Fu, B.R.; Chung, S.Y.; Lin, W.J.; Wang, L.; Pan, C. Critical heat flux enhancement of HFE-7100 flow boiling in a minichannel heat sink with saw-tooth structures. Adv. Mech. Eng. 2017, 9. [Google Scholar] [CrossRef]
  24. Voglar, J.; Gregorcic, P.; Zupancic, M.; Golobic, I. Boiling performance on surfaces with capillary-length-spaced one- and two-dimensional laser-textured patterns. Int. J. Heat Mass Transf. 2018, 127, 1188–1196. [Google Scholar] [CrossRef]
  25. Teodori, E.; Moita, A.S.; Moreira, A.L.N. Study of the combined effects of liquid properties and surface micropatterning on pool boiling heat transfer. In Proceedings of the 15th International Heat Transfer Conference, Kyoto, Japan, 10–15 August 2014. [Google Scholar]
  26. Zupančič, M.; Gregorčič, P. Laser Surface Engineering for Boiling Heat Transfer Applications. In Materials with Extreme Wetting Properties; Springer International Publishing: Berlin/Heidelberg, Germany, 2021; pp. 245–303. [Google Scholar] [CrossRef]
  27. Sommers, A.D.; Yerkes, K.L. Using micro-structural surface features to enhance the convective flow boiling heat transfer of R-134a on aluminum. Int. J. Heat Mass Transf. 2013, 64, 1053–1063. [Google Scholar] [CrossRef]
  28. Orazi, L.; Romoli, L.; Schmidt, M.; Li, L. Ultrafast laser manufacturing: From physics to industrial applications. CIRP Ann. 2021, 70, 543–566. [Google Scholar] [CrossRef]
  29. Vazquez, R.M.; Bragheri, F.; Paie, P. New Trends and Applications in Femtosecond Laser Micromachining; MDPI: Basel, Switzerland, 2022. [Google Scholar]
  30. Kruse, C.M.; Anderson, T.; Wilson, C.; Zuhlke, C.; Alexander, D.; Gogos, G.; Ndao, S. Enhanced pool-boiling heat transfer and critical heat flux on femtosecond laser processed stainless steel surfaces. Int. J. Heat Mass Transf. 2015, 82, 109–116. [Google Scholar] [CrossRef] [PubMed]
  31. Liang, G.; Mudawar, I. Review of pool boiling enhancement by surface modification. Int. J. Heat Mass Transf. 2019, 128, 892–933. [Google Scholar] [CrossRef]
  32. Lim, K.; Lee, K.; Ki, H.; Lee, J. Enhancement of flow boiling heat transfer by laser-induced periodic surface structures using femtosecond laser. Int. J. Heat Mass Transf. 2022, 196, 123229. [Google Scholar] [CrossRef]
  33. Allahyari, E.; Nivas, J.J.; Oscurato, S.L.; Salvatore, M.; Ausanio, G.; Vecchione, A.; Fittipaldi, R.; Maddalena, P.; Bruzzese, R.; Amoruso, S. Laser surface texturing of copper and variation of the wetting response with the laser pulse fluence. Appl. Surf. Sci. 2019, 470, 817–824. [Google Scholar] [CrossRef]
  34. Martínez-Calderon, M.; Rodríguez, A.; Dias-Ponte, A.; Morant-Miñana, M.C.; Gómez-Aranzadi, M.; Olaizola, S.M. Femtosecond laser fabrication of highly hydrophobic stainless steel surface with hierarchical structures fabricated by combining ordered microstructures and LIPSS. Appl. Surf. Sci. 2016, 374, 81–89. [Google Scholar] [CrossRef]
  35. Fang, R.; Li, Z.; Zhang, X.; Zhu, X.; Zhang, H.; Li, J.; Pan, Z.; Huang, Z.; Yang, C.; Zheng, J.; et al. Spreading and drying dynamics of water drop on hot surface of superwicking Ti-6Al-4V alloy material fabricated by femtosecond laser. Nanomaterials 2021, 11, 899. [Google Scholar] [CrossRef]
  36. Fang, R.; Zhang, X.; Zheng, J.; Pan, Z.; Yang, C.; Deng, L.; Li, R.; Lai, C.; Yan, W.; Maisotsenko, V.S.; et al. Superwicking functionality of femtosecond laser textured aluminum at high temperatures. Nanomaterials 2021, 11, 2964. [Google Scholar] [CrossRef]
  37. Gokhale, S.J.; Plawsky, J.L.; Wayner, P.C. Experimental investigation of contact angle, curvature, and contact line motion in dropwise condensation and evaporation. J. Colloid Interface Sci. 2003, 259, 354–366. [Google Scholar] [CrossRef]
  38. Dehaeck, S.; Tsoumpas, Y.; Colinet, P. Analyzing closed-fringe images using two-dimensional Fan wavelets. Appl. Opt. 2015, 54, 2939–2952. [Google Scholar] [CrossRef]
  39. Dehaeck, S.; Colinet, P. Improving speed and precision of local frequency analysis using Gaussian ridge interpolation for wavelet and windowed Fourier ridge algorithms. Opt. Lasers Eng. 2016, 77, 54–63. [Google Scholar] [CrossRef][Green Version]
  40. Tsoumpas, Y.; Dehaeck, S.; Rednikov, A.; Colinet, P. Effect of Marangoni Flows on the Shape of Thin Sessile Droplets Evaporating into Air. Langmuir 2015, 31, 13334–13340. [Google Scholar] [CrossRef] [PubMed]
  41. Mertens, F.; Nagarajan, B.; Castagne, S.; Steelant, J.; Vetrano, M.R. Novec 7000 flow boiling heat transfer enhancement via femtosecond laser texturing: Impact of fluid degradation. CEAS Space J. 2024, 17, 407–419. [Google Scholar] [CrossRef]
  42. Narcy, M.; de Malmazet, E.; Colin, C. Flow boiling in tube under normal gravity and microgravity conditions Flow boiling in tube under normal gravity and microgravity conditions Open Archive Toulouse Archive Ouverte (OATAO) Flow boiling in tube under normal gravity and microgravity conditions. Int. J. Multiph. Flow 2014, 60, 50–63. [Google Scholar] [CrossRef]
  43. Moffat, R. Contributions to the Theory of Single-Sample Uncertainty Analysis. J. Fluids Eng. 1982, 2, 250–258. [Google Scholar] [CrossRef]
  44. Mills, A.F.; Chang, B.H. Error Analysis of Experiments—A Manual for Engineering Students; Technical Report; University of California: Los Angeles, CA, USA, 2004. [Google Scholar]
Figure 1. Surface morphology of fs laser-textured (S1) LIPSS features, (S2) inclined microgrooves (IG), and (S3) inclined microholes (IH).
Figure 1. Surface morphology of fs laser-textured (S1) LIPSS features, (S2) inclined microgrooves (IG), and (S3) inclined microholes (IH).
Energies 18 02732 g001
Figure 2. The 2000× magnification cross-sections of (S2) inclined grooves and (S3) inclined holes.
Figure 2. The 2000× magnification cross-sections of (S2) inclined grooves and (S3) inclined holes.
Energies 18 02732 g002
Figure 3. Schematic of the flow boiling setup [41].
Figure 3. Schematic of the flow boiling setup [41].
Energies 18 02732 g003
Figure 4. Overview of the test section: (a) top and side views; (b) with distributed thermocouples. Details on test-section materials and dimensions are reported in Section 2.3 [41].
Figure 4. Overview of the test section: (a) top and side views; (b) with distributed thermocouples. Details on test-section materials and dimensions are reported in Section 2.3 [41].
Energies 18 02732 g004
Figure 5. Diagram showing the positioning of thermocouples during calibration at a specific point [41].
Figure 5. Diagram showing the positioning of thermocouples during calibration at a specific point [41].
Energies 18 02732 g005
Figure 6. HSC images for cases A4, A5, and A6 ( R e = 3000 ) for plain (first row), LIPSS (second row), inclined groove (third row), and inclined hole (fourth row) surfaces at q″ = 4 W/cm2. The height of the channel is 5 mm.
Figure 6. HSC images for cases A4, A5, and A6 ( R e = 3000 ) for plain (first row), LIPSS (second row), inclined groove (third row), and inclined hole (fourth row) surfaces at q″ = 4 W/cm2. The height of the channel is 5 mm.
Energies 18 02732 g006
Figure 7. Boiling curves (a,b) and local HTC curves (c,d) showing the influence of the degree of subcooling (A4, A5, and A6) for both plain surface (a,c) and inclined holes (IH) (b,d).
Figure 7. Boiling curves (a,b) and local HTC curves (c,d) showing the influence of the degree of subcooling (A4, A5, and A6) for both plain surface (a,c) and inclined holes (IH) (b,d).
Energies 18 02732 g007
Figure 8. Boiling curves (a,b) and local HTC curves (c,d) to visualize the influence of mass flow rate (A3 and A6) for both plain surface (a,c) and inclined holes (IH) (b,d).
Figure 8. Boiling curves (a,b) and local HTC curves (c,d) to visualize the influence of mass flow rate (A3 and A6) for both plain surface (a,c) and inclined holes (IH) (b,d).
Energies 18 02732 g008
Figure 9. Differential pressure readings as a function of heat flux for cases (a) A4, (b) A5, and (c) A6.
Figure 9. Differential pressure readings as a function of heat flux for cases (a) A4, (b) A5, and (c) A6.
Energies 18 02732 g009
Table 1. The characteristics of the surfaces used, including their geometrical features, applied laser parameters, advancing and receding contact angles, and contact angle hysteresis. The reported contact angle values are based on measurements conducted with water. For all surfaces, the contact angle measured using PP1 was below 5°.
Table 1. The characteristics of the surfaces used, including their geometrical features, applied laser parameters, advancing and receding contact angles, and contact angle hysteresis. The reported contact angle values are based on measurements conducted with water. For all surfaces, the contact angle measured using PP1 was below 5°.
LabelDesignGeometrical FeaturesLaser Parameters Used θ adv θ rec θ adv θ rec
RefPlain
(P)
Average roughness = 0.167 μmNA84.2°10.5°73.7°
S1LIPSS-only
(LIPSS)
Periodicity ∼ 700–800 nm
-
Pulse energy—2 μJ
-
Scanning speed—750 mm/s
-
Pulse duration—250 fs
-
Pulse repetition rate—1 MHz
-
Number of scanning passes—1
130.1°130.1°
S2Inclined
microgrooves
(IG)
Width ∼ 37μm
Depth ∼ 41 μm
Spacing ∼ 100 μm
Angle = 45°
-
Pulse energy— 5 μJ
-
Scanning speed—500 mm/s
-
Pulse duration—250 fs
-
Pulse repetition rate—1 MHz
-
Number of scanning passes—50
114.8°23.5°91.3°
S3Inclined
microholes
(IH)
Diameter ∼ width IG
Depth ∼ depth IG
Spacing ∼ 100 μm
Angle = 45°
-
Pulse energy—5 μJ
-
Pulse duration—250 fs
-
Pulse repetition rate—1 MHz
-
Number of pulses—2000
92.2°53.7°38.5°
Table 2. Thermophysical properties of Flutec PP1 at 1 atm and 25 °C.
Table 2. Thermophysical properties of Flutec PP1 at 1 atm and 25 °C.
PropertyFlutec PP1
Boiling point (°C)56
Liquid density (kg/m3)1680
Liquid dynamic viscosity (kg/ms)6.4 × 10−4
Liquid specific heat (J/kgK)1100
Liquid thermal conductivity (W/mK)0.057
Latent heat of vaporization (kJ/kg)88
Liquid surface tension (mN/m)11.1
Table 3. Test matrix parameters.
Table 3. Test matrix parameters.
ParameterValue
Re1000
3000
Subcooling30 °C
20 °C
15 °C
Heat Flux0–12 W/cm2
Inlet Pressure1 bar
Table 4. Test case nomenclature and associated mass flow rates in kg m 2 s .
Table 4. Test case nomenclature and associated mass flow rates in kg m 2 s .
Δ T sub 15 °C20 °C30 °C
Re
1000A1 (104.8)A2 (111.1)A3 (126.3)
3000A4 (314.3)A5 (333.3)A6 (379)
Table 5. Measurement uncertainties.
Table 5. Measurement uncertainties.
Measured ParameterMaximum Uncertainty
TC embedded (type T)0.5 °C
TC calibrator (type T)0.1 °C
Mass flow rate±0.2% reading
Absolute pressure0.6 kPa
Differential pressure±5 Pa
Heater voltage±0.4% reading
Heater current±0.4% reading
Heater power±0.55% reading
Thermal resistance±0.7% (slope fit)
Table 6. Summary of obtained results in terms of Δ H T C , Δ q ONB , and Δ T O N B with respect to a plain reference surface.
Table 6. Summary of obtained results in terms of Δ H T C , Δ q ONB , and Δ T O N B with respect to a plain reference surface.
S1S2S3
A2 Δ HTC (%)+6.43+14.85+54.61
Δ q ONB (%)+3−45.39−23.84
Δ T ONB (°C)−8−13.4−12.9
A3 Δ HTC (%)+6.74+23.8+41.74
Δ q ONB (%)+24.02−24.34+28.81
Δ T ONB (°C)−4.7−8.6−8.8
A4 Δ HTC (%)+8.07+30.41+60.91
Δ q ONB (%)−2.96−45.63−23.87
Δ T ONB (°C)−8.9−13−13.5
A5 Δ HTC (%)+8.42+20.05+49.73
Δ q ONB (%)−22.03−52.52−36.64
Δ T ONB (°C)−5.7−10.4−10.7
A6 Δ HTC (%)+7.16+18.92+36.89
Δ q ONB (%)−2.95−37.07+0.8
Δ T ONB (°C)−3.3−9.7−8.6
Table 7. Average amount and size of bubbles within the channel observation area for the cases presented in Figure 6 at 4 W/cm2.
Table 7. Average amount and size of bubbles within the channel observation area for the cases presented in Figure 6 at 4 W/cm2.
RefS1S2S3
A4 n bub ( # ) 75110176183
D bub ( µ m ) 222
±62
133
±38
140
±40
180
±60
A5 n bub ( # ) 6668113153
D bub ( µ m ) 180
±67
154
±47
161
±67
155
±46
A6 n bub ( # ) 40486774
D bub ( µ m ) 225
±70
180
±50
189
±58
164
±41
Table 8. Observed differential pressure increase over the total heat flux range in Figure 9.
Table 8. Observed differential pressure increase over the total heat flux range in Figure 9.
RefS1S2S3
Δ P (Pa)A49785121156
A595103130154
A649445874
Disclaimer/Publisher’s Note: The statements, opinions and data contained in all publications are solely those of the individual author(s) and contributor(s) and not of MDPI and/or the editor(s). MDPI and/or the editor(s) disclaim responsibility for any injury to people or property resulting from any ideas, methods, instructions or products referred to in the content.

Share and Cite

MDPI and ACS Style

Mertens, F.; Ponnet, T.; Nagarajan, B.; Parimalanathan, S.K.; Steelant, J.; Castagne, S.; Vetrano, M.R. Flow Boiling Heat Transfer Enhancement via Femtosecond Laser-Textured Inclined Microfeatures. Energies 2025, 18, 2732. https://doi.org/10.3390/en18112732

AMA Style

Mertens F, Ponnet T, Nagarajan B, Parimalanathan SK, Steelant J, Castagne S, Vetrano MR. Flow Boiling Heat Transfer Enhancement via Femtosecond Laser-Textured Inclined Microfeatures. Energies. 2025; 18(11):2732. https://doi.org/10.3390/en18112732

Chicago/Turabian Style

Mertens, Frederik, Thomas Ponnet, Balasubramanian Nagarajan, Senthil Kumar Parimalanathan, Johan Steelant, Sylvie Castagne, and Maria Rosaria Vetrano. 2025. "Flow Boiling Heat Transfer Enhancement via Femtosecond Laser-Textured Inclined Microfeatures" Energies 18, no. 11: 2732. https://doi.org/10.3390/en18112732

APA Style

Mertens, F., Ponnet, T., Nagarajan, B., Parimalanathan, S. K., Steelant, J., Castagne, S., & Vetrano, M. R. (2025). Flow Boiling Heat Transfer Enhancement via Femtosecond Laser-Textured Inclined Microfeatures. Energies, 18(11), 2732. https://doi.org/10.3390/en18112732

Note that from the first issue of 2016, this journal uses article numbers instead of page numbers. See further details here.

Article Metrics

Back to TopTop