RBF-FDTD Analysis of Lightning-Induced Voltages on Multi-Conductor Distribution Lines
Abstract
1. Introduction
2. Computational Model
2.1. Lightning Electromagnetic Field Model
2.1.1. Model of Barbosa–Paulino Formula
- v: the propagation speed of the return stroke traveling upward along the lightning channel.
- : the return stroke speed expressed as a fraction of the speed of light, defined by .
- c: the speed of light in a vacuum, taken as .
- : the distance between the observation point and the base of the lightning channel.
- T: the front time of a trapezoidal current waveform.
- : the time it takes for the electromagnetic field to reach the observation point, calculated as .
- : the quasi-static electric field value that remains after transient components have decayed over a sufficiently long duration.
2.1.2. Model of Cooray–Rubinstein Formula
2.2. Field-to-Line Coupling Equations
3. The RBF-FDTD Method Applied to Electromagnetic Field Coupling Equations
- .
- .
- k is the kth- spatial step.
- n is the nth- time step.
- are the size of spatial and time steps, respectively.
- Nx, NT are the number of spatial and time steps, respectively.
4. Numerical Results
4.1. Case 1: Perfect Conducting Ground
4.2. Case 2: Imperfect Conducting Ground
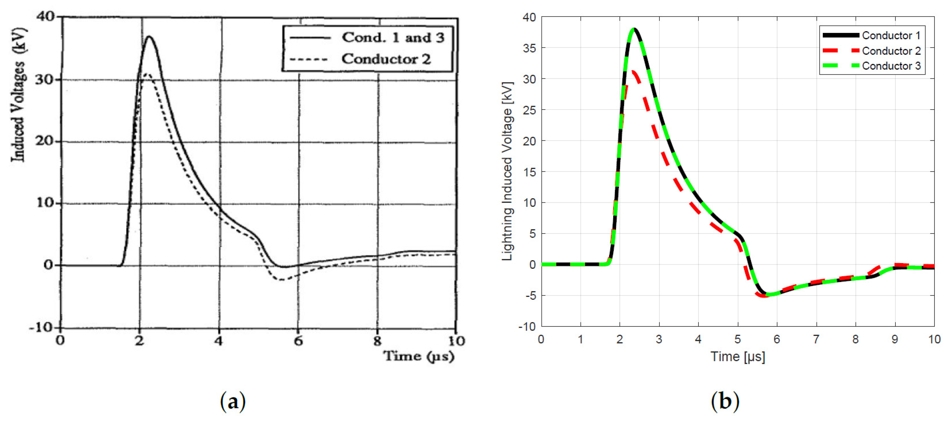
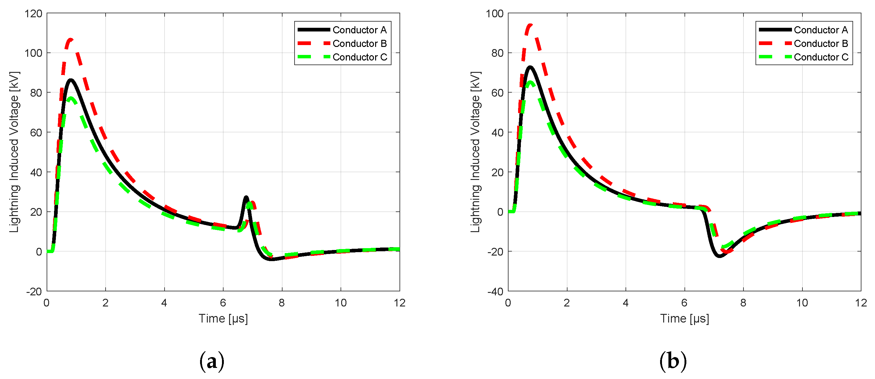
4.3. Case 3: The 110 kV Multi-Conductor Distribution Line in Vietnam
5. Conclusions
Author Contributions
Funding
Data Availability Statement
Acknowledgments
Conflicts of Interest
Correction Statement
References
- Greenwood, A. Electrical Transients in Power Systems; John Wiley and Sons: Hoboken, NJ, USA, 1991. [Google Scholar]
- Rakov, V.A.; Rachidi, F. Overview of recent progress in lightning research and lightning protection. IEEE Trans. Electromagn. Compat. 2009, 51, 428–442. [Google Scholar] [CrossRef]
- Rachidi, F. A review of field-to-transmission line coupling models with special emphasis to lightning-induced voltages on overhead lines. IEEE Trans. Electromagn. Compat. 2012, 54, 898–911. [Google Scholar] [CrossRef]
- Andreotti, A.; Araneo, R.; Faria, J.B.; He, J.; Petrache, E.; Pierno, A.; Stracqualursi, E. On the role of shield wires in mitigating lightning-induced overvoltages in overhead lines-Part I: A critical review and a new analysis. IEEE Trans. Power Deliv. 2022, 38, 335–344. [Google Scholar] [CrossRef]
- Andreotti, A.; Araneo, R.; Faria, J.B.; He, J.; Petrache, E.; Pierno, A.; Stracqualursi, E. On the role of shield wires in mitigating lightning-induced overvoltages in overhead lines-part II: Simulation results for practical configurations. IEEE Trans. Power Deliv. 2022, 38, 345–352. [Google Scholar] [CrossRef]
- La Fata, A.; Nicora, M.; Mestriner, D.; Aramini, R.; Procopio, R.; Brignone, M.; Delfino, F. Lightning electromagnetic fields computation: A review of the available approaches. Energies 2023, 16, 2436. [Google Scholar] [CrossRef]
- Cao, J.; Ding, Y.; Du, Y.; Chen, M.; Qi, R. Design consideration of the shielding wire in 10 kV overhead distribution lines against lightning-induced overvoltage. IEEE Trans. Power Deliv. 2020, 36, 3005–3013. [Google Scholar] [CrossRef]
- Mestriner, D.; Ribeiro de Moura, R.A.; Procopio, R.; de Oliveira Schroeder, M.A. Impact of grounding modeling on lightning-induced voltages evaluation in distribution lines. Appl. Sci. 2021, 11, 2931. [Google Scholar] [CrossRef]
- Zhang, X.; Huang, K. Lightning Surge Analysis for Overhead Lines Considering Corona Effect. Appl. Sci. 2021, 11, 8942. [Google Scholar] [CrossRef]
- Liu, Y.; Jiang, Y.; Gao, Q.; Li, X.; Yang, G.; Zhang, Q.; Tang, B. Influences of soil water content and porosity on lightning electromagnetic fields and lightning-induced voltages on overhead lines. Front. Environ. Sci. 2022, 10, 946551. [Google Scholar] [CrossRef]
- Agrawal, A.K.; Price, H.J.; Gurbaxani, S.H. Transient response of multiconductor transmission lines excited by a nonuniform electromagnetic field. IEEE Trans. Electromagn. Compat. 1980, 22, 119–129. [Google Scholar] [CrossRef]
- Paolone, M.; Nucci, C.A.; Rachidi, F. A New Finite Difference Time Domain Scheme for The Evaluation of Lightning Induced Overvoltages on Multiconductor Overhead Lines. In Proceedings of the International Conference on Power System Transient IPST’01, Belo Horizonte, Brazil, 7–10 June 2001. [Google Scholar]
- Pierno, A. New Approaches to Calculation of Lightning Induced Voltages on Overhead Lines for Power Quality Improvement. Ph.D. Thesis, University of Naples Federico II, Naples, Italy, 2013. [Google Scholar]
- Liu, X.; Cui, X.; Qi, L. Time-domain finite-element method for the transient response of multiconductor transmission lines excited by an electromagnetic field. IEEE Trans. Electromagn. Compat. 2011, 53, 462–474. [Google Scholar] [CrossRef]
- Liu, X.; Yang, J.; Liang, G.; Wang, L. Modified field-to-line coupling model for simulating the corona effect on the lightning induced voltages of multi-conductor transmission lines over a lossy ground. IET Gener. Transm. Distrib. 2017, 11, 1865–1876. [Google Scholar] [CrossRef]
- Gong, Y.; Hao, J.; Jiang, L.; Liu, Q.; Zhou, H. Research and application of the FETD method for the EM transient response of MTLs excited by HEMP. IET Sci. Meas. Technol. 2019, 13, 803–811. [Google Scholar] [CrossRef]
- Vu, D.Q.; Nguyen, N.N.; Vu, P.T. The RBF-FD and RBF-FDTD Methods for Solving Time-Domain Electrical Transient Problems in Power Systems. Int. Trans. Electr. Energy Syst. 2023, 2023, 6646144. [Google Scholar] [CrossRef]
- Shankar, V.; Wright, G.B.; Kirby, R.M.; Fogelson, A.L. A Radial Basis Function (RBF)-Finite Difference (FD) Method for Diffusion and Reaction–Diffusion Equations on Surfaces. J. Sci. Comput. 2015, 63, 745–768. [Google Scholar] [CrossRef]
- Uddin, M.; Ullah Jan, H.; Usman, M. RBF-FD method for some dispersive wave equations and their eventual periodicity. Comput. Model. Eng. Sci. 2020, 123, 797–819. [Google Scholar] [CrossRef]
- Vu, L.A.P.; Vu, P.T.; Ho, V.T. Calculation of Lightning-Induced Voltages on Overhead Power Lines Using the RBF-FDTD Method. In Proceedings of the 10th International Power & Energy Conference (IPEC), Ho Chi Minh City, Vietnam, 12–14 December 2012; pp. 573–577. [Google Scholar]
- Vu, P.T.; Huynh, N.B.; Nguyen, D.K. Simulation of Lightning-Transient Responses of Grounding Systems Using the RBF-FDTD Method. In Proceedings of the 10th International Power & Energy Conference (IPEC), Ho Chi Minh City, Vietnam, 12–14 December 2012; pp. 568–572. [Google Scholar]
- Rachidi, F.; Nucci, C.A.; Ianoz, M.; Mazzetti, C. Response of multiconductor power lines to nearby lightning return stroke electromagnetic field. IEEE Trans. Power Deliv. 1997, 12, 1404–1411. [Google Scholar] [CrossRef]
- Zhang, L.; Wang, L.; Yang, J.; Jin, X.; Zhang, J. Effect of overhead shielding wires on the lightning-induced voltages of multiconductor lines above the lossy ground. IEEE Trans. Electromagn. Compat. 2018, 61, 458–466. [Google Scholar] [CrossRef]
- Barbosa, C.F.; Paulino, J.O. An Approximate Time-Domain Formula for the Calculation of the Horizontal Electric Field from Lightning. IEEE Trans. Electromagn. Compat. 2007, 49, 593–601. [Google Scholar] [CrossRef]
- Cooray, V. Horizontal fields generated by return strokes. Radio Sci. 1992, 27, 529–537. [Google Scholar] [CrossRef]
- Rubinstein, M. An approximate formula for the calculation of the horizontal electric field from lightning at close, intermediate, and long range. IEEE Trans. Electromagn. Compat. 1996, 38, 531–535. [Google Scholar] [CrossRef]
- Andreotti, A.; Rachidi, F.; Verolino, L. A new formulation of the Cooray–Rubinstein expression in time domain. IEEE Trans. Electromagn. Compat. 2015, 57, 391–396. [Google Scholar] [CrossRef]
- Andreotti, A.; Rachidi, F.; Verolino, L. A new solution for the evaluation of the horizontal electric fields from lightning in presence of a finitely conducting ground. IEEE Trans. Electromagn. Compat. 2017, 60, 674–678. [Google Scholar] [CrossRef]
- Nucci, C.A.; Mazzetti, C.; Rachidi, F.; Ianoz, M. On lightning return stroke models for LEMP calculations. In Proceedings of the 19th International Conference on Lightning Protection, Graz, Austria, 25–29 April 1988; pp. 463–470. [Google Scholar]
- Rachidi, F. Formulation of the field-to-transmission line coupling equations in terms of magnetic excitation field. IEEE Trans. Electromagn. Compat. 1993, 35, 404–407. [Google Scholar] [CrossRef]
- Rachidi, F.; Nucci, C.A.; Ianoz, M.; Mazzetti, C. Influence of a lossy ground on lightning-induced voltages on overhead lines. IEEE Trans. Electromagn. Compat. 1996, 38, 250–264. [Google Scholar] [CrossRef]
- Kannu, P.; Thomas, M. Lightning induced voltages on multiconductor power distribution line. IEE Proc.-Gener. Transm. Distrib. 2005, 152, 855–863. [Google Scholar] [CrossRef]
- Cooray, V.; Rachidi, F.; Rubinstein, M. Formulation of the field-to-transmission line coupling equations in terms of scalar and vector potentials. IEEE Trans. Electromagn. Compat. 2017, 59, 1586–1591. [Google Scholar] [CrossRef]
















| Parameter | Symbol | Value | Unit |
|---|---|---|---|
| Conductor diameter | d | 9.14 | mm |
| Length of the line | l | 1000 | m |
| Ground conductivity | 0.01 | S/m | |
| Relative permittivity | 10 | ||
| Lightning strike position | 50 | m | |
| Time step | s | ||
| Spatial step | 5 | m | |
| Simulation duration | 10 | s | |
| Termination resistance | 500 |
| Parameter | Symbol | Value | Unit |
|---|---|---|---|
| Height of the line (A, B, C) | h | 10.3; 10.3; 13.6 | m |
| Height of the ground wire | 15.9 | m | |
| Length of the line | l | 2 | km |
| Ground conductivity | 0.01 | S/m | |
| Relative permittivity | 10 | ||
| Lightning strike position | 50 | m | |
| Time step | s | ||
| Spatial step | 5 | m | |
| Simulation duration | 10 | s | |
| Termination resistance | 500 |
Disclaimer/Publisher’s Note: The statements, opinions and data contained in all publications are solely those of the individual author(s) and contributor(s) and not of MDPI and/or the editor(s). MDPI and/or the editor(s) disclaim responsibility for any injury to people or property resulting from any ideas, methods, instructions or products referred to in the content. |
© 2025 by the authors. Licensee MDPI, Basel, Switzerland. This article is an open access article distributed under the terms and conditions of the Creative Commons Attribution (CC BY) license (https://creativecommons.org/licenses/by/4.0/).
Share and Cite
Vu, D.-Q.; Nguyen, N.-N.; Vu, P.-T. RBF-FDTD Analysis of Lightning-Induced Voltages on Multi-Conductor Distribution Lines. Energies 2025, 18, 2451. https://doi.org/10.3390/en18102451
Vu D-Q, Nguyen N-N, Vu P-T. RBF-FDTD Analysis of Lightning-Induced Voltages on Multi-Conductor Distribution Lines. Energies. 2025; 18(10):2451. https://doi.org/10.3390/en18102451
Chicago/Turabian StyleVu, Duc-Quang, Nhat-Nam Nguyen, and Phan-Tu Vu. 2025. "RBF-FDTD Analysis of Lightning-Induced Voltages on Multi-Conductor Distribution Lines" Energies 18, no. 10: 2451. https://doi.org/10.3390/en18102451
APA StyleVu, D.-Q., Nguyen, N.-N., & Vu, P.-T. (2025). RBF-FDTD Analysis of Lightning-Induced Voltages on Multi-Conductor Distribution Lines. Energies, 18(10), 2451. https://doi.org/10.3390/en18102451

