Prediction Model for Trends in Submarine Cable Burial Depth Variation Considering Dynamic Thermal Resistance Characteristics
Abstract
1. Introduction
2. Thermal Circuit Model of a Submarine Cable
2.1. Submarine Cable Structure
2.2. A Parallel Thermal Circuit Model of a Submarine Cable
3. Calculation of Submarine Cable Burial Depth Considering the Dynamic Characteristics of Thermal Resistance
3.1. Sensitivity Analysis of Thermal Resistance Coefficient of Submarine Cables
3.2. Temperature–Depth Calculation Considering the Dynamic Characteristics of Thermal Resistance
4. Prediction Model of Submarine Cable Burial Depth Based on CNN-LSTM
4.1. CNN Neural Network
4.2. LSTM Neural Network
4.3. Prediction Model
5. Example Analysis
5.1. CNN Neural Network
- (1)
- Data selection:
- (2)
- Data normalization processing:
5.2. Indicators of Evaluation
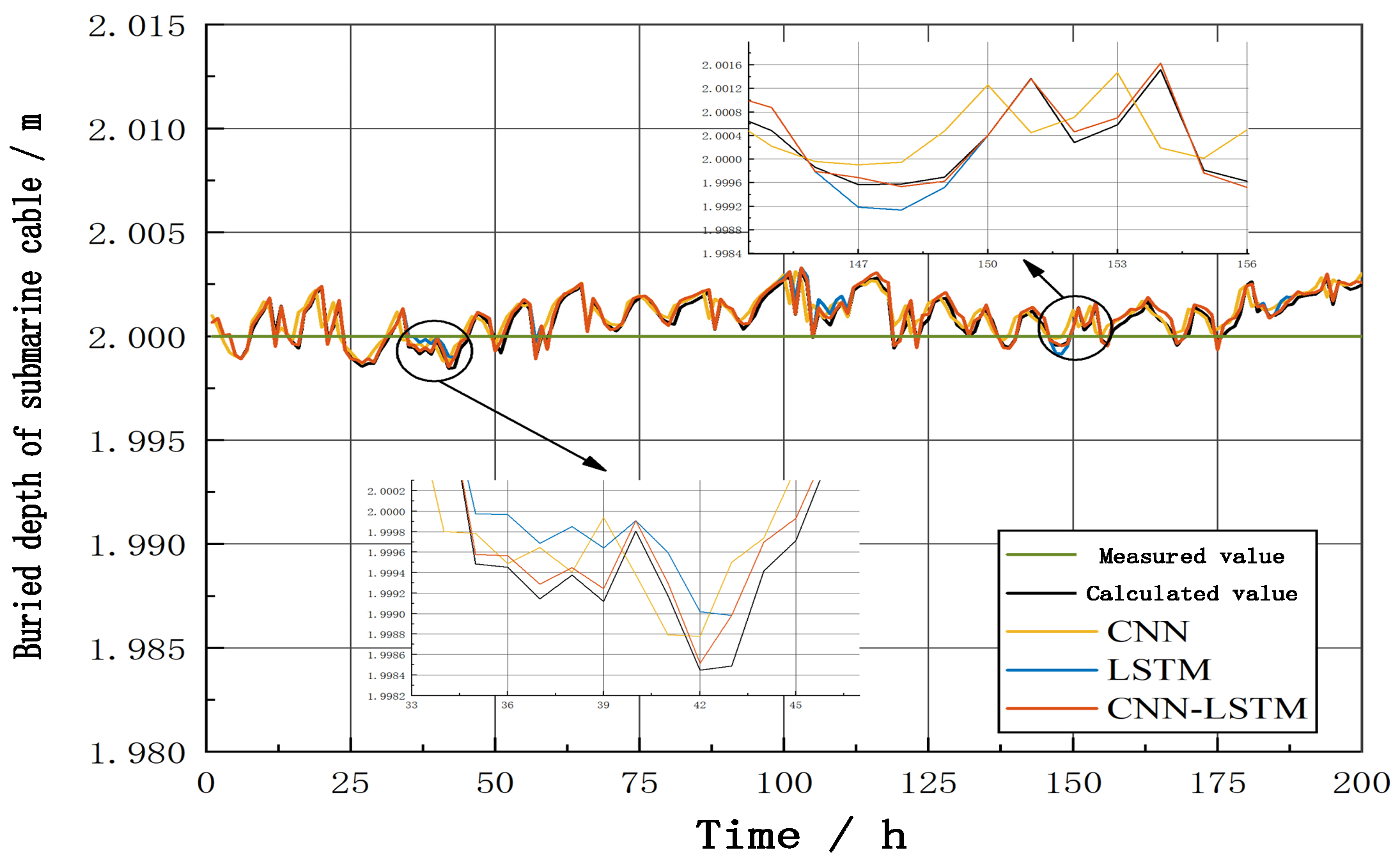
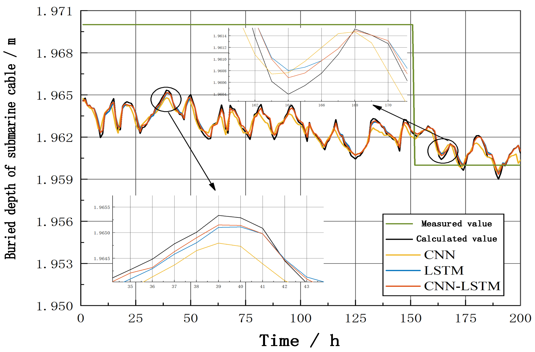
5.3. Prediction and Analysis of Submarine Cable Burial Depth
6. Conclusions
- (1)
- There is an inevitable correlation between the temperature of the submarine cable core and the burial depth of the submarine cable. By building a thermal circuit model of the submarine cable and combining it with the structural parameters of the submarine cable, the burial depth of the submarine cable can be calculated.
- (2)
- The error of the submarine cable burial depth value calculated according to the IEC standard is obviously larger than that calculated according to the dynamic value of its thermal resistance, which proves that the method of calculating submarine cable burial depth based on the dynamic characteristics of thermal resistance has high calculation accuracy.
- (3)
- A CNN is used to explore the internal relationship between the burial depth calculation dataset and the time node in depth; the results are input to an LSTM neural network for optimization and training, and a prediction model for trends in burial depth variation in submarine cables is obtained.
- (4)
- Compared with single artificial intelligence prediction models such as a CNN neural network and an LSTM neural network, the prediction model for submarine cable burial depth change trends based on a CNN-LSTM network proposed in this paper has a higher prediction accuracy and greatly improves prediction efficiency.
Author Contributions
Funding
Data Availability Statement
Acknowledgments
Conflicts of Interest
References
- Jiang, Z.; Yu, Q.; Li, L.; Liu, Y. Expansion Planning Method of Offshore Multiplatform Power System with Wind Power Considering Cable Size Selection. IEEE Access 2021, 9, 129796–129809. [Google Scholar] [CrossRef]
- Zhang, T.; Du, A.; Li, L.; Wei, R.; Tan, H.; Wang, K.; Li, Z. Analysis of Three-core Composite Submarine Cable Damage due to Ship Anchor. IEEE Access 2022, 10, 93910–93920. [Google Scholar] [CrossRef]
- Duraisamy, N.; Gooi, H.B.; Ukil, A. Ampacity Estimation for Submarine Power Cables Installed in Saturated Seabed—Experimental Studies. IEEE Trans. Ind. Appl. 2020, 56, 6229–6237. [Google Scholar] [CrossRef]
- Ji, D.X.; Zhou, J.L.; Qian, J.H.; Shao, J.; Zhang, H. Current Development Review of Submarine Cable Detection Methods. South. Power Syst. Technol. 2021, 15, 36–49. [Google Scholar]
- Asakawa, K.; Shirasaki, Y.; Iwamoto, Y. Metal Detector for Tracing Submarine Telecommunication Cables. IEEE Trans. Instrum. Meas. 1983, 32, 477–483. [Google Scholar] [CrossRef]
- Zhang, J.; Xiang, X.; Li, W. Advances in Marine Intelligent Electromagnetic Detection System, Technology, and Applications: A Review. IEEE Sens. J. 2021, 23, 4312–4326. [Google Scholar] [CrossRef]
- Qin, X.; Luo, X.; Wu, Z.; Shang, J.; Zhao, D. Deep Learning-Based High Accuracy Bottom Tracking on 1-D Side-Scan Sonar Data. IEEE Geosci. Remote Sens. Lett. 2021, 19, 1–5. [Google Scholar] [CrossRef]
- Foresti, G.L. Visual inspection of sea bottom structures by an autonomous underwater vehicle. IEEE Trans. Syst. Man Cybern. Part B 2001, 31, 691–705. [Google Scholar] [CrossRef]
- IEC 60287-1-1; Electric Cables-Calculation of the Current Rating Part 1-1, Current Rating Equations (100% Load Factor) and Calculation of Losses. HIS: Geneva, Switzerland, 2006.
- Hao, Y.; Huang, J.; Yang, L.; Fu, M.; Zhou, R. Analytical Calculation Method of Steady-State Current Capacity of HVDC Cables. Power Syst. Technol. 2016, 40, 1283–1288. [Google Scholar]
- Jiayin, B.; Yonglan, L.; Luping, S. Analysis of Steady-state Heat Path Model and Calculation of Current Carrying Capacity for 500 kV Power Cable. Insul. Mater. 2019, 52, 96–101. [Google Scholar]
- Duan, R.; Peng, X.; Li, C.; Yang, Z.; Jiang, Y.; Li, X.; Liu, S. A Hybrid Three-Staged, Short-Term Wind-Power Prediction Method Based on SDAE-SVR Deep Learning and BA Optimization. IEEE Access 2022, 10, 123595–123604. [Google Scholar] [CrossRef]
- Wang, Y.; Ding, H.; Sun, X. Residual Life Prediction of Bearings Based on SENet-TCN and Transfer Learning. IEEE Access 2022, 10, 123007–123019. [Google Scholar] [CrossRef]
- Yang, H.F.; Dillon, T.S.; Chen, Y.P.P. Optimized structure of the traffic flow forecasting model with a deep learning approach. IEEE Trans. Neural Netw. Learn. Syst. 2017, 28, 2371–2381. [Google Scholar] [CrossRef] [PubMed]
- Wen, D.; Li, R.; Tang, H.; Liu, Y.; Wan, X.; Dong, X.; Saripan, M.I.; Lan, X.; Song, H.; Zhou, Y. Task-State EEG Signal Classification for Spatial Cognitive Evaluation Based on Multiscale High-Density Convolutional Neural Network. IEEE Trans. Neural Syst. Rehabil. Eng. 2022, 30, 1041–1051. [Google Scholar] [CrossRef] [PubMed]
- Jin, Y.; Tan, E.; Li, L.; Wang, G.; Wang, J.; Wang, P. Hybrid traffic forecasting model with fusion of multiple spatial toll collection data and remote microwave sensor data. IEEE Access 2018, 6, 79211–79221. [Google Scholar] [CrossRef]
- Park, K.; Choi, Y.; Choi, W.J.; Ryu, H.-Y.; Kim, H. LSTM-Based Battery Remaining Useful Life Prediction with Multi-Channel Charging Profiles. IEEE Access 2020, 8, 20786–20798. [Google Scholar] [CrossRef]
- Li, J.; Zhang, A.; Li, Q.; Huang, B. Prediction Model of Submarine Cable Burial Depth Trend Based on CNN-LSTM. In Proceedings of the 2022 IEEE 6th Conference on Energy Internet and Energy System Integration (EI2), Chengdu, China, 11–13 November 2022; pp. 2332–2336. [Google Scholar]
- Lenhart, T.; Eckhardt, K.; Fohrer, N.; Frede, H.-G. Comparison of two different approaches of sensitivity analysis. Phys. Chem. Earth Parts A/B/C 2002, 27, 645–654. [Google Scholar] [CrossRef]
- Zhang, X.; Liu, Y.; Song, J. Short-term orbit prediction based on LSTM neural network. Syst. Eng. Electron. 2022, 44, 939–947. [Google Scholar]













| Parameter | Value | Parameter | Value |
|---|---|---|---|
| R/Ω | 0.0783 × 10−3 | ρ2/W·km−1 | 3.5 |
| Qd/W | 0.0415 | ρ3/W·km−1 | 3.5 |
| λ1 | 0.1069 | ρ4/W·km−1 | 0.7 |
| λ2 | 0.218 | G1 | 0.815 |
| T1/K·W−1 | 0.4538 | G2 | 0.1608 |
| T2/K·W−1 | 0.0896 | d/mm | 4.5 |
| T3/K·W−1 | 0.0317 | D/mm | 136.7 |
| ρ1/m·K·W−1 | 3.5 | — | — |
| I/A | θc/°C | |||
|---|---|---|---|---|
| 100 | 19.1 | 0.019 | 0.012 | 0.005 |
| 200 | 24.5 | 0.058 | 0.038 | 0.016 |
| 300 | 31.4 | 0.102 | 0.067 | 0.028 |
| 400 | 42.7 | 0.133 | 0.087 | 0.037 |
| 500 | 56.6 | 0.161 | 0.105 | 0.045 |
| 600 | 70.9 | 0.187 | 0.122 | 0.053 |
| Level | Thermal Resistance Coefficient Sensitivity Range | Sensitivity |
|---|---|---|
| I | 0 ≤ < 0.05 | Insensitive |
| II | 0.05 ≤ < 0.20 | Medium sensitivity |
| III | 0.20 ≤ < 1.00 | Sensitive |
| IV | ≥ 1.00 | High sensitivity |
| Model | Error Value | ||
|---|---|---|---|
| MAE/10−3 | RMSE/10−3 | MAPE/10−3 | |
| CNN | 0.429 | 0.601 | 21.43% |
| LSTM | 0.235 | 0.295 | 11.76% |
| CNN-LSTM | 0.195 | 0.248 | 9.74% |
| Model | Error Value | ||
|---|---|---|---|
| MAE/10−3 | RMSE/10−3 | MAPE/10−3 | |
| CNN | 0.323 | 0.417 | 16.45% |
| LSTM | 0.157 | 0.186 | 7.98% |
| CNN-LSTM | 0.129 | 0.161 | 6.59% |
Disclaimer/Publisher’s Note: The statements, opinions and data contained in all publications are solely those of the individual author(s) and contributor(s) and not of MDPI and/or the editor(s). MDPI and/or the editor(s) disclaim responsibility for any injury to people or property resulting from any ideas, methods, instructions or products referred to in the content. |
© 2024 by the authors. Licensee MDPI, Basel, Switzerland. This article is an open access article distributed under the terms and conditions of the Creative Commons Attribution (CC BY) license (https://creativecommons.org/licenses/by/4.0/).
Share and Cite
Hu, Z.; Ye, X.; Luo, X.; Zhang, H.; He, M.; Li, J.; Li, Q. Prediction Model for Trends in Submarine Cable Burial Depth Variation Considering Dynamic Thermal Resistance Characteristics. Energies 2024, 17, 2127. https://doi.org/10.3390/en17092127
Hu Z, Ye X, Luo X, Zhang H, He M, Li J, Li Q. Prediction Model for Trends in Submarine Cable Burial Depth Variation Considering Dynamic Thermal Resistance Characteristics. Energies. 2024; 17(9):2127. https://doi.org/10.3390/en17092127
Chicago/Turabian StyleHu, Zhenxing, Xueyong Ye, Xiaokang Luo, Hao Zhang, Mingguang He, Jiaxing Li, and Qian Li. 2024. "Prediction Model for Trends in Submarine Cable Burial Depth Variation Considering Dynamic Thermal Resistance Characteristics" Energies 17, no. 9: 2127. https://doi.org/10.3390/en17092127
APA StyleHu, Z., Ye, X., Luo, X., Zhang, H., He, M., Li, J., & Li, Q. (2024). Prediction Model for Trends in Submarine Cable Burial Depth Variation Considering Dynamic Thermal Resistance Characteristics. Energies, 17(9), 2127. https://doi.org/10.3390/en17092127
