Indirect Prediction of Lithium-Ion Battery RUL Based on CEEMDAN and CNN-BiGRU
Abstract
1. Introduction
2. Construction of Indirect Health Indicators
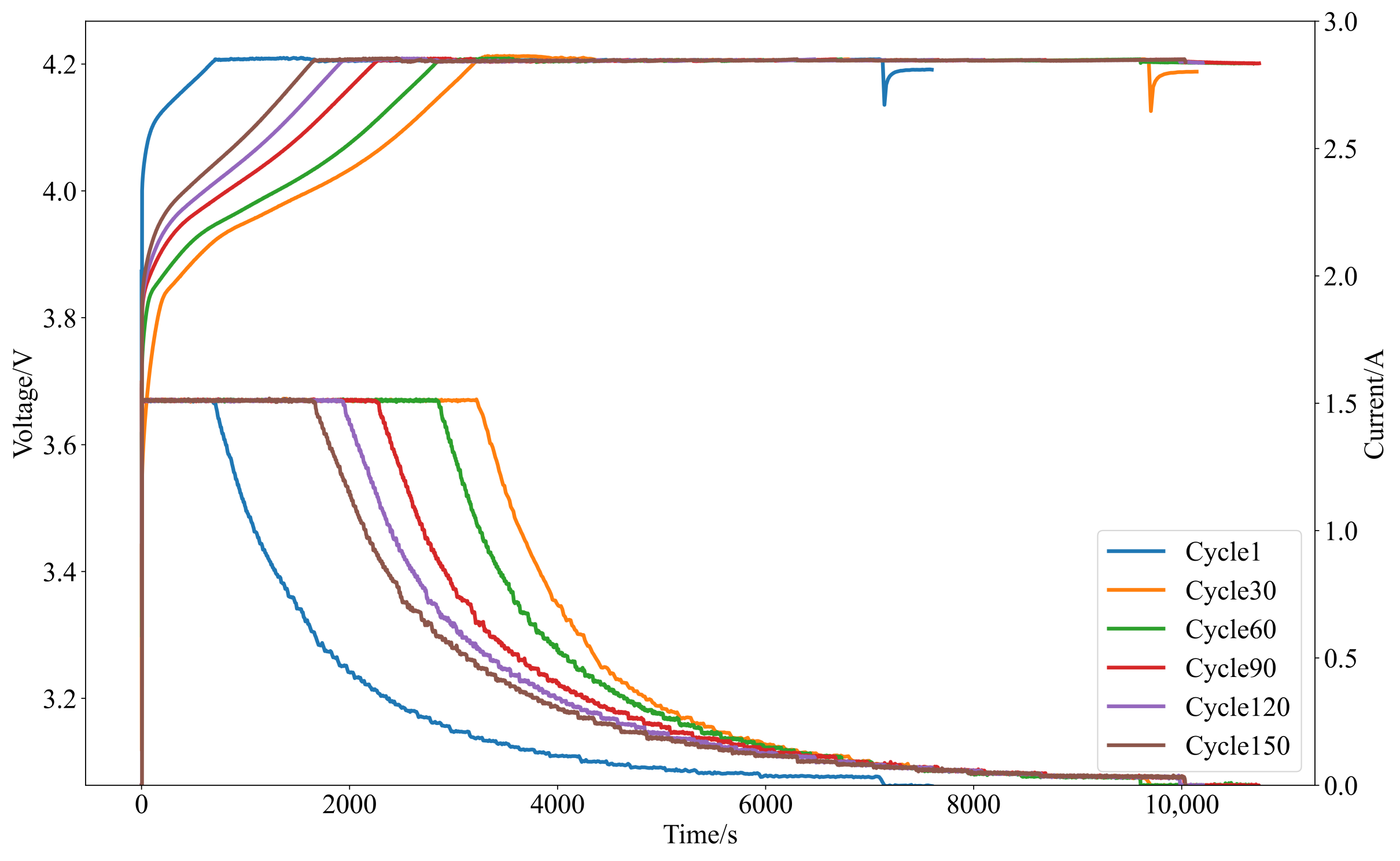
2.1. Lithium-Ion Battery Capacity Degradation Dataset
2.2. Extraction of Indirect Health Indicators
3. Methodology
3.1. Framework for RUL Prediction Based on CEEMDAN and CNN-BiGRU
- By analyzing the variation characteristics of current and voltage during the battery-charging phase and using correlation analysis to extract indirectly HI that highly reflect battery capacity decay, we optimize the input for battery RUL prediction.
- Utilizing the CEEMDAN algorithm to decompose HI, each decomposition results in several modal components and a residual component, reflecting the overall trend. Decomposing HI can decouple the trend component of overall change and the oscillation component of capacity regeneration, effectively suppressing regeneration phenomena in the sequence, and improving prediction accuracy.
- Establishing a CNN-BiGRU component prediction model. The decomposed components are divided into training and testing sets using the prediction starting point (ST). The CNN-BiGRU component prediction model is trained using the training set data, resulting in the component prediction model. Subsequently, the testing set data are input into the model for prediction, yielding the component prediction results.
- Establishing a CNN-BiGRU capacity prediction model. Using the extracted HI as multi-dimensional feature input and the corresponding battery capacity as a single-dimensional feature output, all HI and battery capacity data are divided into training and testing sets based on the ST. The capacity prediction model is trained, and finally, the component prediction results from the previous step are integrated to obtain HI as input. The model output is the predicted lithium-ion battery capacity, and the battery RUL prediction result can be calculated based on the set failure threshold.
3.2. CEEMDAN Decomposition of the HI Sequence
3.3. CNN-BiGRU Prediction Model
3.3.1. Patch Embedding
3.3.2. Patch-Aware Layer
3.3.3. BiGRU
3.3.4. Dual Forecasting Heads
4. Experiments and Analysis of Results
4.1. Performance Evaluation
4.2. Predict the HI Components
4.3. Predict Battery RUL
5. Conclusions
Author Contributions
Funding
Data Availability Statement
Conflicts of Interest
Abbreviations
| Symbol | Definition |
| The value of the Spearman correlation coefficient | |
| The average value of variable x | |
| The average value of variable y | |
| Add white noise for the i-th time | |
| (t) | The HI sequence after the i-th addition of white noise |
| The signal-to-noise ratio | |
| (t) | The k-th modal component obtained by decomposition |
| The k-th mode component generated through EMD decomposition | |
| The k-th residual signal | |
| One-dimensional time series | |
| Two-dimensional time series | |
| The univariate series passing through the depthwise convolution kernel to generate feature maps in the l layer | |
| The univariate series passing through the pointwise convolution kernel to generate feature maps in the l-layer | |
| The hidden layer output at time t | |
| The forward-propagating hidden layer output at time t | |
| The backward-propagating hidden layer output at time t | |
| The weight of the forward-propagating GRU unit’s hidden layer output at time t | |
| The weight of the backward-propagating GRU unit’s hidden layer output at time t | |
| The corresponding bias term for | |
| The predicted capacity value at the i-th cycle | |
| The actual capacity value at the i-th cycle | |
| The absolute error between the predicted RUL value and the actual RUL value | |
| The predicted RUL value | |
| The actual RUL value |
References
- Sarmah, S.B.; Kalita, P.; Garg, A.; Niu, X.D.; Zhang, X.W.; Peng, X.; Bhattacharjee, D. A review of state of health estimation of energy storage systems: Challenges and possible solutions for futuristic applications of li-ion battery packs in electric vehicles. J. Electrochem. Energy Convers. Storage 2019, 16, 040801. [Google Scholar] [CrossRef]
- Tian, H.; Qin, P.; Li, K.; Zhao, Z. A review of the state of health for lithium-ion batteries: Research status and suggestions. J. Clean. Prod. 2020, 261, 120813. [Google Scholar] [CrossRef]
- Lipu, M.H.; Hannan, M.; Hussain, A.; Hoque, M.; Ker, P.J.; Saad, M.H.M.; Ayob, A. A review of state of health and remaining useful life estimation methods for lithium-ion battery in electric vehicles: Challenges and recommendations. J. Clean. Prod. 2018, 205, 115–133. [Google Scholar] [CrossRef]
- Zhu, J.; Tan, T.; Wu, L.; Yuan, H. RUL prediction of lithium-ion battery based on improved DGWO-ELM method in a random discharge rates environment. IEEE Access 2019, 7, 125176–125187. [Google Scholar] [CrossRef]
- Lin, C.P.; Cabrera, J.; Yang, F.; Ling, M.H.; Tsui, K.L.; Bae, S.J. Battery state of health modeling and remaining useful life prediction through time series model. Appl. Energy 2020, 275, 115338. [Google Scholar] [CrossRef]
- Pang, X.; Huang, R.; Wen, J.; Shi, Y.; Jia, J.; Zeng, J. A lithium-ion battery RUL prediction method considering the capacity regeneration phenomenon. Energies 2019, 12, 2247. [Google Scholar] [CrossRef]
- Liu, Q.; Zhang, J.; Li, K.; Lv, C. The remaining useful life prediction by using electrochemical model in the particle filter framework for lithium-ion batteries. IEEE Access 2020, 8, 126661–126670. [Google Scholar] [CrossRef]
- Guha, A.; Patra, A. State of health estimation of lithium-ion batteries using capacity fade and internal resistance growth models. IEEE Trans. Transp. Electrif. 2017, 4, 135–146. [Google Scholar] [CrossRef]
- Peng, Y.; Hou, Y.; Song, Y.; Pang, J.; Liu, D. Lithium-ion battery prognostics with hybrid Gaussian process function regression. Energies 2018, 11, 1420. [Google Scholar] [CrossRef]
- Yao, F.; He, W.; Wu, Y.; Ding, F.; Meng, D. Remaining useful life prediction of lithium-ion batteries using a hybrid model. Energy 2022, 248, 123622. [Google Scholar] [CrossRef]
- Yu, Y.; Hu, C.; Si, X.; Zheng, J.; Zhang, J. Averaged Bi-LSTM networks for RUL prognostics with non-life-cycle labeled dataset. Neurocomputing 2020, 402, 134–147. [Google Scholar] [CrossRef]
- Zhao, L.; Wang, Y.; Cheng, J. A hybrid method for remaining useful life estimation of lithium-ion battery with regeneration phenomena. Appl. Sci. 2019, 9, 1890. [Google Scholar] [CrossRef]
- Zhang, J.; Jiang, Y.; Li, X.; Luo, H.; Yin, S.; Kaynak, O. Remaining useful life prediction of lithium-ion battery with adaptive noise estimation and capacity regeneration detection. IEEE/ASME Trans. Mechatronics 2022, 28, 632–643. [Google Scholar] [CrossRef]
- Wang, Y.; Pan, R.; Yang, D.; Tang, X.; Chen, Z. Remaining useful life prediction of lithium-ion battery based on discrete wavelet transform. Energy Procedia 2017, 105, 2053–2058. [Google Scholar] [CrossRef]
- Li, X.; Zhang, L.; Wang, Z.; Dong, P. Remaining useful life prediction for lithium-ion batteries based on a hybrid model combining the long short-term memory and Elman neural networks. J. Energy Storage 2019, 21, 510–518. [Google Scholar] [CrossRef]
- Chen, Z.; Shi, N.; Ji, Y.; Niu, M.; Wang, Y. Lithium-ion batteries remaining useful life prediction based on BLS-RVM. Energy 2021, 234, 121269. [Google Scholar] [CrossRef]
- Yang, Z.; Wang, Y.; Kong, C. Remaining useful life prediction of lithium-ion batteries based on a mixture of ensemble empirical mode decomposition and GWO-SVR model. IEEE Trans. Instrum. Meas. 2021, 70, 2517011. [Google Scholar] [CrossRef]
- Lyu, G.; Zhang, H.; Zhang, Y.; Miao, Q. An interpretable remaining useful life prediction scheme of lithium-ion battery considering capacity regeneration. Microelectron. Reliab. 2022, 138, 114625. [Google Scholar] [CrossRef]
- Saha, B.; Goebel, K. Battery data set. In NASA AMES Prognostics Data Repository; NASA Ames Research Center: Moffett Field, CA, USA, 2007. [Google Scholar]
- Torres, M.E.; Colominas, M.A.; Schlotthauer, G.; Flandrin, P. A complete ensemble empirical mode decomposition with adaptive noise. In Proceedings of the 2011 IEEE International Conference on Acoustics, Speech and Signal Processing (ICASSP), Prague, Czech Republic, 22–27 May 2011; pp. 4144–4147. [Google Scholar]
- Huang, N.E.; Shen, Z.; Long, S.R.; Wu, M.C.; Shih, H.H.; Zheng, Q.; Yen, N.C.; Tung, C.C.; Liu, H.H. The empirical mode decomposition and the Hilbert spectrum for nonlinear and non-stationary time series analysis. Proc. R. Soc. Lond. Ser. A Math. Phys. Eng. Sci. 1998, 454, 903–995. [Google Scholar] [CrossRef]
- Wu, Z.; Huang, N.E. Ensemble empirical mode decomposition: A noise-assisted data analysis method. Adv. Adapt. Data Anal. 2009, 1, 1–41. [Google Scholar] [CrossRef]
- Gong, Z.; Tang, Y.; Liang, J. PatchMixer: A Patch-Mixing Architecture for Long-Term Time Series Forecasting. arXiv 2023, arXiv:2310.00655. [Google Scholar]
- Hendrycks, D.; Gimpel, K. Gaussian error linear units (gelus). arXiv 2016, arXiv:1606.08415. [Google Scholar]
- Ji, Y.; Chen, Z.; Shen, Y.; Yang, K.; Wang, Y.; Cui, J. An RUL prediction approach for lithium-ion battery based on SADE-MESN. Appl. Soft Comput. 2021, 104, 107195. [Google Scholar] [CrossRef]
- Li, X.; Ma, Y.; Zhu, J. An online dual filters RUL prediction method of lithium-ion battery based on unscented particle filter and least squares support vector machine. Measurement 2021, 184, 109935. [Google Scholar] [CrossRef]
- Ma, Y.; Yao, M.; Liu, H.; Tang, Z. State of health estimation and remaining useful life prediction for lithium-ion batteries by improved particle swarm optimization-back propagation neural network. J. Energy Storage 2022, 52, 104750. [Google Scholar] [CrossRef]
- Wu, J.; Cheng, X.; Huang, H.; Fang, C.; Zhang, L.; Zhao, X.; Zhang, L.; Xing, J. Remaining useful life prediction of Lithium-ion batteries based on PSO-RF algorithm. Front. Energy Res. 2023, 10, 937035. [Google Scholar] [CrossRef]
- Luo, T.; Liu, M.; Shi, P.; Duan, G.; Cao, X. A Hybrid Data Preprocessing-Based Hierarchical Attention BiLSTM Network for Remaining Useful Life Prediction of Spacecraft Lithium-Ion Batteries. IEEE Trans. Neural Netw. Learn. Syst. 2023. [Google Scholar] [CrossRef] [PubMed]
- Zheng, X.; Chen, D.; Wang, Y.; Zhuang, L. Remaining useful life indirect prediction of lithium-ion batteries using CNN-BiGRU fusion model and TPE optimization. AIMS Energy 2023, 11, 896–917. [Google Scholar] [CrossRef]
- Park, K.; Choi, Y.; Choi, W.J.; Ryu, H.Y.; Kim, H. LSTM-based battery remaining useful life prediction with multi-channel charging profiles. IEEE Access 2020, 8, 20786–20798. [Google Scholar] [CrossRef]
- Guo, X.; Wang, K.; Yao, S.; Fu, G.; Ning, Y. RUL prediction of lithium ion battery based on CEEMDAN-CNN BiLSTM model. Energy Rep. 2023, 9, 1299–1306. [Google Scholar] [CrossRef]










| Battery | HI1 | HI2 | HI3 |
|---|---|---|---|
| B0005 | 0.9897 | −0.9230 | −0.9812 |
| B0006 | 0.9955 | −0.9509 | −0.9918 |
| B0007 | 0.9871 | −0.8530 | −0.9772 |
| Battery | T1 | T2 | T3 | RT | C1 | C2 | C3 | C4 | RC | V1 | V2 | V3 | RV |
|---|---|---|---|---|---|---|---|---|---|---|---|---|---|
| B0005 | 0.0814 | 0.1265 | 0.1164 | 0.9913 | 0.0078 | 0.1580 | 0.0603 | 0.0410 | −0.9872 | 0.0522 | 0.0096 | 0.0050 | −0.9905 |
| B0006 | 0.0446 | 0.2176 | 0.0217 | 0.9933 | 0.0387 | 0.1220 | 0.0294 | 0.0541 | −0.9672 | 0.1021 | 0.1002 | 0.0059 | −0.9933 |
| B0007 | 0.0502 | 0.1196 | 0.1097 | 0.9925 | 0.0311 | 0.1457 | 0.0308 | 0.0269 | −0.9907 | 0.0129 | 0.0902 | 0.0044 | −0.9874 |
| Battery | Method | ST | MAE | RMSE | |||
|---|---|---|---|---|---|---|---|
| B0005 | CNN-BiGRU | 80 | 43 | 41 | 2 | 0.0107 | 0.0175 |
| 100 | 23 | 21 | 2 | 0.0098 | 0.0139 | ||
| CEEDMAN-BiGRU | 80 | 43 | 44 | 1 | 0.0111 | 0.0158 | |
| 100 | 23 | 24 | 1 | 0.0106 | 0.0127 | ||
| CEEDMAN-CNN-BiGRU | 80 | 43 | 43 | 1 | 0.0087 | 0.0147 | |
| 100 | 23 | 23 | 0 | 0.0078 | 0.0104 | ||
| B0006 | CNN-BiGRU | 80 | 28 | 25 | 3 | 0.0177 | 0.0253 |
| 100 | 8 | 6 | 2 | 0.0156 | 0.0203 | ||
| CEEDMAN-BiGRU | 80 | 28 | 27 | 1 | 0.0098 | 0.0204 | |
| 100 | 8 | 7 | 1 | 0.0090 | 0.0131 | ||
| CEEDMAN-CNN-BiGRU | 80 | 28 | 27 | 1 | 0.0096 | 0.0196 | |
| 100 | 8 | 8 | 0 | 0.0081 | 0.0115 | ||
| B0007 | CNN-BiGRU | 80 | 77 | 79 | 2 | 0.0101 | 0.0164 |
| 100 | 57 | 59 | 2 | 0.0079 | 0.0101 | ||
| CEEDMAN-BiGRU | 80 | 77 | 75 | 2 | 0.0071 | 0.0116 | |
| 100 | 57 | 55 | 2 | 0.0072 | 0.0104 | ||
| CEEDMAN-CNN-BiGRU | 80 | 77 | 77 | 0 | 0.0071 | 0.0110 | |
| 100 | 57 | 57 | 0 | 0.0068 | 0.0081 |
| Battery | ST | Method | MAE | RMSE |
|---|---|---|---|---|
| B0005 | 80 | UPF-LSSVM | 0.0612 | 0.0659 |
| IPSO-BPNN | 0.0277 | 0.0313 | ||
| MHA-BiLSTM | - | 0.0254 | ||
| SADE-MESN | 0.0129 | 0.0172 | ||
| TPE-CNN-BiGRU | 0.0118 | 0.0178 | ||
| PSO-RF | 0.0100 | 0.0147 | ||
| BLS-RVM | 0.0084 | 0.0123 | ||
| CEEMDAN-CNN-BiLSTM | 0.0082 | 0.0166 | ||
| CEEDMAN-CNN-BiGRU | 0.0077 | 0.0139 | ||
| 100 | UPF-LSSVM | 0.0482 | 0.0593 | |
| MC-LSTM | 0.0181 | 0.0208 | ||
| IPSO-BPNN | 0.0158 | 0.0235 | ||
| CEEMDAN-CNN-BiLSTM | 0.0130 | 0.0254 | ||
| MHA-BiLSTM | - | 0.0240 | ||
| TPE-CNN-BiGRU | 0.0095 | 0.0141 | ||
| BLS-RVM | 0.0079 | 0.0105 | ||
| CEEDMAN-CNN-BiGRU | 0.0068 | 0.0098 | ||
| B0007 | 80 | UPF-LSSVM | 0.0314 | 0.0333 |
| SADE-MESN | 0.0163 | 0.0214 | ||
| TPE-CNN-BiGRU | 0.0130 | 0.0185 | ||
| PSO-RF | 0.0096 | 0.0147 | ||
| CEEDMAN-CNN-BiGRU | 0.0071 | 0.0110 | ||
| 100 | MC-LSTM | 0.0190 | 0.0231 | |
| TPE-CNN-BiGRU | 0.0097 | 0.0125 | ||
| UPF-LSSVM | 0.0095 | 0.0102 | ||
| BLS-RVM | 0.0069 | 0.0090 | ||
| CEEDMAN-CNN-BiGRU | 0.0068 | 0.0081 |
Disclaimer/Publisher’s Note: The statements, opinions and data contained in all publications are solely those of the individual author(s) and contributor(s) and not of MDPI and/or the editor(s). MDPI and/or the editor(s) disclaim responsibility for any injury to people or property resulting from any ideas, methods, instructions or products referred to in the content. |
© 2024 by the authors. Licensee MDPI, Basel, Switzerland. This article is an open access article distributed under the terms and conditions of the Creative Commons Attribution (CC BY) license (https://creativecommons.org/licenses/by/4.0/).
Share and Cite
Lv, K.; Ma, Z.; Bao, C.; Liu, G. Indirect Prediction of Lithium-Ion Battery RUL Based on CEEMDAN and CNN-BiGRU. Energies 2024, 17, 1704. https://doi.org/10.3390/en17071704
Lv K, Ma Z, Bao C, Liu G. Indirect Prediction of Lithium-Ion Battery RUL Based on CEEMDAN and CNN-BiGRU. Energies. 2024; 17(7):1704. https://doi.org/10.3390/en17071704
Chicago/Turabian StyleLv, Kai, Zhiqiang Ma, Caijilahu Bao, and Guangchen Liu. 2024. "Indirect Prediction of Lithium-Ion Battery RUL Based on CEEMDAN and CNN-BiGRU" Energies 17, no. 7: 1704. https://doi.org/10.3390/en17071704
APA StyleLv, K., Ma, Z., Bao, C., & Liu, G. (2024). Indirect Prediction of Lithium-Ion Battery RUL Based on CEEMDAN and CNN-BiGRU. Energies, 17(7), 1704. https://doi.org/10.3390/en17071704

