Next Article in Journal
Combustion Behaviors, Kinetics, and Thermodynamics of Naturally Decomposed and Torrefied Northern Red Oak (Quercus rubra) Forest Logging Residue
Previous Article in Journal
A Novel Methodology for Developing an Advanced Energy-Management System
 
 
Font Type:
Arial Georgia Verdana
Font Size:
Aa Aa Aa
Line Spacing:
Column Width:
Background:
Article

Experimental Analysis of a Polygeneration System: Assessment of the Thermal Sub-System

by
André Rodrigues
1,2,
Ana I. Palmero-Marrero
1,2,
João Soares
1,2,
Szabolcs Varga
1,2 and
Armando C. Oliveira
1,2,*
1
Department of Mechanical Engineering, Faculty of Engineering, University of Porto, Rua Dr. Roberto Frias, 4200-465 Porto, Portugal
2
INEGI—Institute of Science and Innovation in Mechanical and Industrial Engineering, Rua Dr. Roberto Frias, 4200-465 Porto, Portugal
*
Author to whom correspondence should be addressed.
Energies 2024, 17(7), 1606; https://doi.org/10.3390/en17071606
Submission received: 7 February 2024 / Revised: 13 March 2024 / Accepted: 25 March 2024 / Published: 27 March 2024
(This article belongs to the Section J: Thermal Management)

Abstract

In this paper, the experimental results of the thermal sub-system of a reliable and cost-effective polygeneration solar system are presented. This polygeneration system produces heating, cooling, and electricity from solar energy, which is used in an existing test building. Heat is generated in four evacuated tube solar collectors (ETCs). The heat may be used for space cooling through a variable geometry ejector (VGE) heat pump. In order to reduce the mismatches between generation and consumption, two thermal storage tanks were added. The performance of a new thermal storage, with 400 L, able to store both sensible and latent heat, was tested. The heating performances of the test building were assessed. Ejector cycle tests were also performed, and the variation of the cooling coefficient of performance (COP) was calculated for different flow rates. For heating, the results showed that the heat storage was capable of heating the test building for 8 h, with temperatures between 22 °C and 26 °C. All results showed that this polygeneration prototype could be capable of meeting the heating and cooling needs when applied to a real building.

1. Introduction

Buildings are responsible for 40% of the total energy consumption and 36% of greenhouse gas emissions in the European Union (EU). Therefore, the EU established a directive on the energy performance of buildings, which requires new buildings to be nearly Zero Energy Buildings (nZEBs) in all member states (European Union 2010).
In Portugal, this directive was transposed onto national legislation in December 2020, becoming effective in July 2021. Improved energy efficiency is essential to reduce building energy consumption and harmful emissions. Additionally, renewable sources should be used to satisfy energy needs.
A polygeneration system is an energy system able to produce, at least, three useful energy outputs [1]. The experimental analysis of this work was developed in the POLYSOL prototype. It is an existing prototype developed during the POLYSOL project [2] to be used in nZEBs located at the FEUP (Faculty of Engineering-University of Porto, Portugal), which is driven by solar energy. Solar energy is converted into heat (using solar thermal collectors) and electricity (using photovoltaic solar collectors).
The thermal sub-system, where the thermal collectors (ETCs—evacuated tube collectors) are included, may provide heating or cooling using a variable geometry ejector (VGE) heat pump. The variable geometry ejector (VGE) heat pump converts heat into useful cooling. Other mechanical subcooling systems using the CO2 cycle are widely studied in the literature [3,4,5]. The electricity output of the POLYSOL prototype is provided by the photovoltaic sub-system.
In the cold season, the thermal sub-system of the nZEB prototype provides indoor heating to the test building. It is known that space heating is the application that consumes more energy in the residential sector (European Union 2010). Therefore, using a low-carbon energy source, such as solar energy, to provide heating is a good solution to help decarbonize the sector.
However, the main disadvantage of using solar energy is its intermittency. Thus, it is necessary to use an energy storage system, even if it increases the overall cost of the system [6].
In this case study, a storage tank with a capacity of 400 L was used. The performance of this solution was evaluated using only sensible heat storage, with water as heat transfer fluid. In further developments in the near future, the effect of using a phase change material (PCM) will be tested.
A VGE cycle, driven by thermal solar energy, delivers cooling to the test building on warm days. Solar energy is very suitable for providing cooling because peak hours of high solar radiation usually correspond to higher cooling demands.
The heating performance was assessed. Ejector cycle space cooling tests were also performed.

2. State of the Art

2.1. Solar Energy

Climate change and environmental concerns have led to finding alternatives to fossil fuels for energy conversion. So, there is a trend to use renewable sources, like solar energy, for a lot of applications, including the residential sector.
Solar energy can be used directly or indirectly. In an indirect way, solar energy induces waves, winds, and tides that can be used to generate energy. In a direct way, solar energy can be used to obtain thermal energy with the help of improved energy conversion technologies. An example of thermal energy conversion technology is the use of solar thermal collectors.

2.2. Space Heating

It is possible to supply heat to a space through solar thermal collectors. With these devices, solar radiation is converted into thermal energy, which is transported by a working fluid, such as water, air, or oil.
The thermal energy produced by the solar thermal collectors can be directly used to heat a space through a heat exchanger or stored in a thermal storage. Storage is essential to respond to energy needs when solar energy is low or unavailable.
Thermal heat storage can be subdivided into three categories: sensible, latent, and thermochemical heat storage. However, due to the lack of commercially available thermochemical heat storage solutions, and due to high material costs and unknown lifespan, the most used are sensible and latent heat storage [7].
Although water tanks are the most well-known and widely used solution in sensible heat storage [8], it is possible to use phase change materials (PCMs) to store thermal energy. PCMs allow for the storage of large amounts of heat at an almost constant temperature while undergoing phase transition [9].

2.3. Space Cooling

Usually, solar radiation is available during the hours when the demand for cooling is extreme [10]. So, solar energy is suitable for producing cooling, combining it with a refrigeration cycle.
One of the most promising technologies to provide cooling to a space is the ejector heat pump system. Although ejector systems have a somewhat lower cooling cycle coefficient of performance (COP) when compared to absorption heat pumps, they are structurally simple, have a relatively low initial cost, and are highly flexible in terms of working fluid selection, in addition to having low maintenance requirements [11].

2.4. Solar Ejector Cycle

Figure 1 shows a T-s diagram of a solar ejector cooling cycle [12]. In this cooling cycle, the solar radiation is captured by solar thermal collectors and converted into heat. The heat is transported by a working fluid, usually water, and it is transferred to the ejector sub-system through a heat exchanger called a generator.
The steam leaves the generator at high pressure (primary pressure) and high temperature (point 2 in Figure 1), enters the ejector, and entrains the steam at low pressure (suction pressure) and temperature from the evaporator (point 4). The mixed flow leaves the ejector at an intermediate pressure (backpressure) and temperature (point 5). The heat of the mixed flow is dissipated through a condenser to the outside, achieving the state of saturated or subcooled liquid (point 6). After that, the flow is divided between the generator (point 1) and the evaporator (point 3). At the entrance of the evaporator, there is an expansion valve that allows the fluid to expand and, consequently, the temperature decreases. The flow through the evaporator allows for providing cooling to a space.
There are several indicators to evaluate the performance of the ejector cycle. One of them is the coefficient of performance (COP), which is defined by
C O P = Q ˙ e Q ˙ g
where Q ˙ g is the heat rate supplied by the solar thermal collectors through the generator and Q ˙ e it is the cooling rate capacity, as calculated by
Q ˙ e = m ˙ e · h
where m ˙ e it is the secondary mass flow rate and h is the enthalpy variation of the refrigerant fluid on the evaporator.
The entrainment ratio λ is defined by Equation (3) and represents the relationship between the secondary and primary flow. The higher the entrainment ratio for an ejector, the larger the quantity of low-pressure steam that can be recovered [13].
λ = m ˙ e m ˙ g
Another indicator is the critical backpressure, which is defined as the maximum backpressure for which there is no reduction in λ.
The area ratio is an indicator defined by the ratio of the constant area section and the nozzle section area (in the ejector). For this indicator, depending on operation conditions, there is an optimum value that allows the ejector to operate in critical mode [14]. However, due to the variability of solar energy, the operating conditions are variable and the optimum point is not constant. To solve this problem, it is possible to use a movable spindle that allows for a change in the area ratio [15]. Figure 2 illustrates the linear movement of the spindle (NXP), which allows changing the flow section in the ejector primary nozzle.

3. Literature Review

In this subchapter, a literature review of polygeneration systems based on renewable energy sources is made. The objective was to identify gaps in the literature, justifying the development of this novel research.
Figaj et al. [7] developed a system to provide space heating and cooling (using a Rankine cycle), electrical energy, and fresh and domestic hot water to 10 households located in an isolated community, located in Italy. The hybrid system is based on biomass, wind, and solar energy. They stated that it allows savings of above 90% of primary energy and satisfies both thermal and electrical needs.
Calise et al. [8] presented novel studies about “Integrated Solar Thermal Systems”. The paper selected five papers and, although the effectiveness of the integration of different types of solar collectors was assessed, such as a Dish–Striling concentrator with cooling systems, the ejector cycle was not introduced.
Gesteira et al. [9] carried out a study where they assessed a polygeneration system used to provide space heating and cooling, electrical energy, and fresh and hot domestic hot water for a single-family dwelling in Spain. The system is based on photovoltaic–thermal solar collectors. The space cooling is provided by desiccant air conditioning coupled with electrical storage. It was concluded that the primary energy and carbon dioxide savings and all demands of energy were fully attended to.
In a complementary study, Gesteira et al. [10] improved the previous system, with the addition of PV panels, a biomass boiler, and a second thermal energy storage. They performed a thermoeconomic analysis and found that the coefficient of performance of the desiccant air conditioning was 0.37, with a total energy efficiency of 0.49 for solar collectors and 0.17 for PV panels.
Uche et al. [11] studied the effectiveness of a polygeneration system in satisfying the thermal and electrical demands of a building with 80 dwellings. It used PV and PVT panels and biomass backup boilers. For cooling, a high-efficiency heat pump was proved to be more effective than a single-effect lithium bromide absorption cycle. In general, the system provides important primary energy and carbon dioxide savings.
The referred studies analyzed, in detail, the effectiveness of polygeneration systems in satisfying thermal and electrical needs. However, the studies used TRNSYS 18 to estimate the results. None of them performed experimental studies. Additionally, although there are studies using only solar energy, none of them considered the integration of an ejector cycle.

4. Description of the Thermal Sub-System

Figure 3 shows the thermal sub-system studied in this work. It is able to provide heating or cooling to an existing small test building (with a floor area of 15 m2 and a height of 2.5 m) through the use of a fan coil. The fluid used for the heat transfer to the space is water. Cold or warm water is supplied to the fan coil, depending on the combination of the opening and closing positions of the different valves and the operation state of the pumps in the system. To convert solar radiation into useful thermal energy, the evacuated tube collectors were connected in series, with a net absorber area of about 13 m2. All characteristics of the solar collector and efficiency are explained in previous studies [2,16].
As shown in a previous study [2], the solar thermal collector area is oversized. It requires a heat dissipating fan coil to protect the system from overheating, especially during clear days, releasing the heat into the environment. To reach this goal, a larger storage tank could also be used. Furthermore, it could compensate for a longer-period variability, although it may increase system inertia.
In this context, in addition to the heat dissipator, a thermal storage tank with a 400 L capacity is used in addition to the 50 L storage tank. The larger tank is able to store sensible heat, using water as a storage means. Moreover, it is also possible to apply PCMs, storing latent heat. This could be a good solution due to the high phase change latent heat of PCMs compared to the specific heat of water. In the smaller tank, it is only possible to use water.
The cold water is obtained with a VGE cycle, using isobutane (R600-a) as a working fluid. The low-pressure secondary flow of the ejector passes through the evaporator at a low temperature and allows for the cooling of the water. The rejected heat needs to be dissipated through the condenser to an external cold-water flow. The ejector used has a variable geometry. Hence, a change in the spindle position is possible, which influences both the COP and cooling capacity [16].
In different locations of the thermal system, as indicated in Figure 1, there are thermocouples (TCs), flowmeters (FMs), pressure transducers (PTs), resistance temperature detectors (RTDs), and a pyranometer. The details of all the components are described in [16], as well as the properties of all meters used. These include two variable area flowmeters with an accuracy of 2.2% of the full scale, calibrated T-type thermocouples with a maximum error of 0.35 °C to measure the temperature of the R600a at the condenser outlet, and pump exit, and at the inlet of the cooling cycle evaporator, the volumetric water flow rates were measured with two ultrasonic flowmeters designed to operate up to 120 °C, with an accuracy of about 3%.
All measuring devices were electronically connected to a data logger. Therefore, with the use of the Labview graphical program, measurement data could be recorded and the sub-system controlled and managed.

5. Results and Discussion

5.1. Space Heating Test

The space heating test consisted of using the sensible thermal energy stored in the tank during the day, maintaining the room air temperature between 22 °C and 26 °C. The test was performed during the night of 29 April to 30 April because during the day, the heating needs were small. So, under those conditions, it was possible to assess the performance of the thermal storage tank for heating purposes. For the system to operate under nominal conditions, experimental studies showed that an incident solar radiation of around 500 W/m2 was sufficient.
The test started at 21:00 p.m. on 29 April 2021. At that moment, the temperature of the water inside the thermal storage tank was 72 °C.
With a thermocouple and the Labview program, it was possible to set the temperature of the room between 22 °C and 26 °C. When the air temperature in the room was higher than 26 °C, the fan coil pump was turned off and stopped providing heat to the room. On the other hand, when the air temperature in the room was lower than 22 °C, the pump of the fan coil was turned on, and it was possible to heat the space.
Figure 4 represents the temperature of the space test (marked with black dots) and the ambient temperature (marked with blue dots) during the time. It is possible to observe that the storage tank could keep the room temperature between 26 °C and 22 °C until 9 am. In fact, when the ambient temperature was lower (between 5:00 a.m. and 7:00 a.m.), the storage tank could not raise the room temperature to 26 °C. In that period, the maximum room temperature of the room was 25 °C, and it decreased constantly after that point. Even with the increase in ambient temperature after 9:00 a.m., the storage tank could not heat the space.
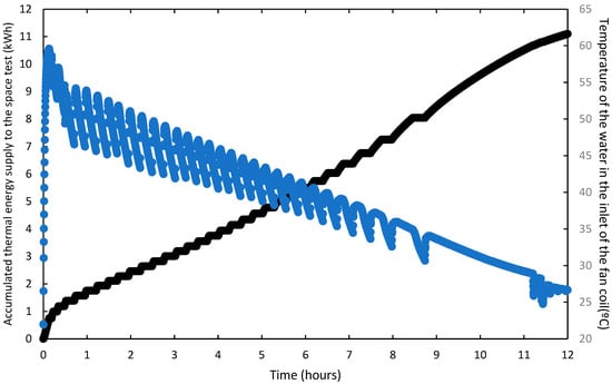
Figure 5 represents the temperature of the water at the inlet of the fan coil (blue dots) and the accumulated thermal energy supplied to the space test (black dots) during the time. Furthermore, Table 1 presents the numerical values of the accumulated thermal energy supplied to the test space.
It is visible that, in the beginning, the total energy supply increases more quickly than at the end of the test. Twelve hours after the beginning of the test, the total thermal energy supply was 18.67 kWh.
In terms of water temperature at the fan coil inlet, it appears that at least 35 °C was needed (temperature after 8 h of the test start) in order to respond to the thermal load of the space.

5.2. Ejector Cycle Test

5.2.1. Minimum Secondary Pressure to Obtain Cooling on the Indoor Test Space

The first test carried out to evaluate the ejector heat pump consisted in the determination of the minimum secondary pressure to obtain cooling in the space, with different primary pressures and spindle positions. The minimum secondary pressure may be obtained if the entrainment ratio is zero. In other words, the entrainment ratio is zero if the flow rate on the evaporator is zero too. So, heat transfer in the evaporator does not exist under these circumstances.
The variation of the secondary pressure (and its uncertainty) with the backpressure, for different spindle positions (6, 7, and 8 mm) and different primary pressures (8, 9, 10, and 11 bar), are represented in Figure 6, Figure 7 and Figure 8. Each color represents a fixed primary pressure, with three different test points. The three tests were carried out on three different days.
It is visible that for the same primary pressure, the backpressure increases with the increase in spindle position. In addition, for each position, with the increase in primary pressure, the secondary pressure decreases. However, for the same spindle position and primary pressure, with the increase in the backpressure, the secondary pressure also increases. This relation is clearer for higher backpressures.
Although the variation of the secondary pressure with the primary pressure, backpressure and the spindle position follow the expected tendency, and there are points that present a high uncertainty (10% higher than the measured value). This aspect makes it impossible to obtain a value for the minimum secondary pressure for operating conditions. The cause of that could be uncontrollable factors, like the variation of solar radiation and cooling water flow rate, which makes this test not proper under these conditions.

5.2.2. Test to Analyze the Influence of Isobutane Mass on the Ejection Cycle

The previous test was inconclusive in terms of the minimum secondary pressure values needed to achieve cooling. Therefore, the evolution of the coefficient of performance (COP) for various mass flow rates was examined to evaluate the performance of the ejector and ejector cycle.
A spindle position of 6.5 mm and an opening expansion valve value of 50% were used in the tests. Under these circumstances, the ejector cycle gas was released for three seconds, successively increasing its mass flow rate. Between tests, the system performance was evaluated, and the COP was calculated. Figure 9 represents the system COP variation and respective uncertainty as a function of primary pressure. The aforementioned figure shows four groups of points with different color combinations. Each color stands for an equal gas flow rate in the system. The blue dots represent the tests realized for a higher flow rate, followed by the yellow, green, and black dots.
As shown in the figure, the COP nearly remains constant with the lower gas flow rate (black dots). The COP varies more significantly for higher mass flow rates. The maximum deviation of the COP in percentage from the highest to lowest flow rates is 38.1%, 38.1%, 28.6%, and 10.0%, respectively.
Comparing the cases with the highest and lowest flow rates (blue and black dots, respectively), it was found that, for 9 bar, the COP for the lowest flow rate is 38.5% higher than the one obtained for the other case. For 10 bar, it is 20.0% higher. With a primary pressure of 11 bar, it is not possible to state, with 95% confidence, which case has a higher COP. At 12 bar, the COP decreases with the decrease in the flow rate. However, with the lowest one, the COP is only 10.5% inferior to the one with the highest flow rate.
In previous studies of this novel prototype, only the cooling mode was analyzed [16] with a numerical simulation [2]. The results here explained the capacity of this system for heating and cooling the test building in real conditions.

6. Conclusions

In this work, the performance of the thermal sub-system of a polygeneration system, providing heating and cooling to an existing test building, was evaluated.
First, the 400 L storage tank was tested to provide heating to the test building. Only sensible thermal energy storage was tested. It was concluded that, due to the environmental conditions and for an initial temperature of 72 °C in the storage tank, it was possible to maintain the room temperature between 22 °C and 26 °C until 5:00 a.m. In other words, the heat storage was capable of heating the test building for 8 h. Furthermore, at the end of the test, the accumulated thermal energy was 18.67 kWh.
Subsequently, tests related to the cooling of the test building were carried out. The first test consisted of obtaining the minimum ejector secondary pressure to achieve cooling. Although the suction pressure varies as expected with backpressure, it was not possible to achieve a value for the spindle positions and required primary pressures. Therefore, it was not possible to evaluate the performance of the new ejector with this test due to uncontrollable factors, such as solar radiation variation and the cooling water flow rate.
As an alternative, the evaluation of the COP was made, as a function of the primary pressure, for the same position of the spindle and opening of the expansion valve. The test was carried out for different amounts of isobutane in the cooling cycle.
It was concluded that with a lower mass of isobutane in the cycle, a lower variation of the COP with the primary pressure is achieved. Although the COP achieved a higher flow rate of isobutane for 12 bar, it was 10.5% higher than with the lower flow rate, and for 9 bar, the maximum COP achieved was 38.5% higher than the minimum.

Author Contributions

Methodology, A.I.P.-M., J.S. and S.V.; Investigation, A.R. and J.S.; Writing—original draft, A.I.P.-M.; Writing—review & editing, S.V. and A.C.O.; Supervision, A.C.O.; Funding acquisition, A.C.O. All authors have read and agreed to the published version of the manuscript.

Funding

The authors would like to thank the National Funding Agency for Science and Research in Portugal (FCT) for the financial support of this work through the POLYSOL project under grant No. POCI-01-0145-FEDER-030223.

Data Availability Statement

The original contributions presented in the study are included in the article, further inquiries can be directed to the corresponding author.

Conflicts of Interest

The authors declare no conflict of interest.

References

  1. Kasaeian, A.; Bellos, E.; Shamaeizadeh, A.; Tzivanidis, C. Solar-driven polygeneration systems: Recent progress and outlook. Appl. Energy 2020, 264, 114764. [Google Scholar] [CrossRef]
  2. Shahzamanian, B.; Soares, J.; Varga, S.; Palmero-Marrero, A.; Oliveira, A. Thermal and electrical performance assessment of a solar polygeneration system. Energy Rep. 2020, 6, 725–731. [Google Scholar] [CrossRef]
  3. Dai, B.; Cao, Y.; Zhou, X.; Liu, S.; Fu, R.; Li, C.; Wang, D. Exergy, carbon footprint and cost lifecycle evaluation of cascade mechanical subcooling CO2 commercial refrigeration system in China. J. Clean. Prod. 2024, 434, 140186. [Google Scholar] [CrossRef]
  4. Dai, B.; Wang, Q.; Liu, S.; Zhang, J.; Wang, Y.; Kong, Z.; Chen, Y.; Wang, D. Multi-objective optimization analysis of combined heating and cooling transcritical CO2 system integrated with mechanical subcooling utilizing hydrocarbon mixture based on machine learning. Energy Convers. Manag. 2024, 301, 118057. [Google Scholar] [CrossRef]
  5. Dai, B.; Wu, T.; Liu, S.; Qi, H.; Zhang, P.; Wang, D.; Wang, X. Flow boiling heat transfer characteristics of zeotropic mixture CO2/R152a with large temperature glide in a 2 mm horizontal tube. Int. J. Heat Mass Transf. 2024, 218, 124779. [Google Scholar] [CrossRef]
  6. Rabaia, M.K.H.; Abdelkareem, M.A.; Sayed, E.T.; Elsaid, K.; Chae, K.-J.; Wilberforce, T.; Olabi, A. Environmental impacts of solar energy systems: A review. Sci. Total. Environ. 2021, 754, 141989. [Google Scholar] [CrossRef] [PubMed]
  7. Figaj, R.; Zoładek, M.; Homa, M.; Pałac, A. A Novel Hybrid Polygeneration System Based on Biomass, Wind and Solar Energy for Micro-Scale Isolated Communities. Energies 2022, 15, 6331. [Google Scholar] [CrossRef]
  8. Calise, F.; Dentice d’Accadia, M.; Vicidomini, M. Integrated Solar Thermal Systems. Energies 2022, 15, 3831. [Google Scholar] [CrossRef]
  9. Gesteira, L.G.; Uche, J.; Dejo-Oricain, N. A Polygeneration System Based on Desiccant Air Conditioning Coupled with an Electrical Storage. Sustainability 2022, 14, 15784. [Google Scholar] [CrossRef]
  10. Gesteira, L.G.; Uche, J.; Cappiello, F.L.; Cimmino, L. Thermoeconomic Optimization of a Polygeneration System Based on a Solar-Assisted Desiccant Cooling. Sustainability 2023, 15, 1516. [Google Scholar] [CrossRef]
  11. Uche, J.; Zabalza, I.; Gesteira, L.G.; Martínez-Gracia, A.; Usón, S. A Sustainable Polygeneration System for a Residential Building. Appl. Sci. 2022, 12, 12992. [Google Scholar] [CrossRef]
  12. Faraj, K.; Khaled, M.; Faraj, J.; Hachem, F.; Castelain, C. A review on phase change materials for thermal energy storage in buildings: Heating and hybrid applications. J. Energy Storage 2021, 33, 101913. [Google Scholar] [CrossRef]
  13. Koçak, B.; Fernandez, A.I.; Paksoy, H. Review on sensible thermal energy storage for industrial solar applications and sustainability aspects. Sol. Energy 2020, 209, 135–169. [Google Scholar] [CrossRef]
  14. Rathore, P.K.S.; Shukla, S.K. Enhanced thermophysical properties of organic PCM through shape stabilization for thermal energy storage in buildings: A state of the art review. Energy Build. 2021, 236, 110799. [Google Scholar] [CrossRef]
  15. Saikia, K.; Vallès, M.; Fabregat, A.; Saez, R.; Boer, D. A bibliometric analysis of trends in solar cooling technology. Sol. Energy 2020, 199, 100–114. [Google Scholar] [CrossRef]
  16. Varga, S.; Oliveira, A.C.; Palmero-Marrero, A.; Vrba, J. Preliminary experimental results with a solar driven ejector air conditioner in Portugal. Renew. Energy 2017, 109, 83–92. [Google Scholar] [CrossRef]
Figure 1. (a) Schematic representation of a generic solar ejector cycle and (b) thermodynamic evolution of the cycle in a T-s diagram. Reproduced with permission from [12], Elsevier, 2021.
Figure 1. (a) Schematic representation of a generic solar ejector cycle and (b) thermodynamic evolution of the cycle in a T-s diagram. Reproduced with permission from [12], Elsevier, 2021.
Energies 17 01606 g001
Figure 2. Schematic representation of the ejector and movable spindle.
Figure 2. Schematic representation of the ejector and movable spindle.
Energies 17 01606 g002
Figure 3. Schematic representation of the thermal sub-system and measuring points.
Figure 3. Schematic representation of the thermal sub-system and measuring points.
Energies 17 01606 g003
Figure 4. Evolution of the test building temperature (black dots) and ambient temperature (blue dots) during the test period (start at 21:00).
Figure 4. Evolution of the test building temperature (black dots) and ambient temperature (blue dots) during the test period (start at 21:00).
Energies 17 01606 g004
Figure 5. Evolution of the accumulated thermal energy supplied to the tested space (black dots) and the water temperature at the fan coil inlet (blue dots).
Figure 5. Evolution of the accumulated thermal energy supplied to the tested space (black dots) and the water temperature at the fan coil inlet (blue dots).
Energies 17 01606 g005
Figure 6. Evolution of the suction pressure and respective uncertainty as a function of the backpressure for a spindle position of 6 mm for the three tests and different primary pressures: 8 bar (blue); 9 bar (red); 10 bar (black); 11 bar (green).
Figure 6. Evolution of the suction pressure and respective uncertainty as a function of the backpressure for a spindle position of 6 mm for the three tests and different primary pressures: 8 bar (blue); 9 bar (red); 10 bar (black); 11 bar (green).
Energies 17 01606 g006
Figure 7. Evolution of the suction pressure and respective uncertainty as a function of the backpressure for a spindle position of 7 mm for the three tests and different primary pressures: 8 bar (blue); 9 bar (red); 10 bar (black); 11 bar (green).
Figure 7. Evolution of the suction pressure and respective uncertainty as a function of the backpressure for a spindle position of 7 mm for the three tests and different primary pressures: 8 bar (blue); 9 bar (red); 10 bar (black); 11 bar (green).
Energies 17 01606 g007
Figure 8. Evolution of the suction pressure and respective uncertainty as a function of the backpressure for a spindle position of 8 mm for the three tests and different primary pressures: 8 bar (blue); 9 bar (red); 10 bar (black); 11 bar (green).
Figure 8. Evolution of the suction pressure and respective uncertainty as a function of the backpressure for a spindle position of 8 mm for the three tests and different primary pressures: 8 bar (blue); 9 bar (red); 10 bar (black); 11 bar (green).
Energies 17 01606 g008
Figure 9. Evolution of the COP and respective uncertainty as a function of the primary pressure in each test with different gas flow rates; from highest to lowest: first test (blue dots); second test (yellow dots); third test (green dots); fourth test (black dots).
Figure 9. Evolution of the COP and respective uncertainty as a function of the primary pressure in each test with different gas flow rates; from highest to lowest: first test (blue dots); second test (yellow dots); third test (green dots); fourth test (black dots).
Energies 17 01606 g009
Table 1. Accumulated thermal energy supplied to the test space from the beginning of the test, on 29 April 2021 at 09:00 a.m., until the end of the different hours.
Table 1. Accumulated thermal energy supplied to the test space from the beginning of the test, on 29 April 2021 at 09:00 a.m., until the end of the different hours.
Hour of the Test (h:min)Time after the Beginning of the Test (Hours)Accumulated Thermal Energy Supplied (kWh)
21:0000.00
22:0012.99
23:0024.19
00:0035.13
01:0046.38
02:0057.75
03:0069.32
04:00710.79
05:00812.34
06:00914.26
07:001016.18
08:001117.68
09:001218.67
Disclaimer/Publisher’s Note: The statements, opinions and data contained in all publications are solely those of the individual author(s) and contributor(s) and not of MDPI and/or the editor(s). MDPI and/or the editor(s) disclaim responsibility for any injury to people or property resulting from any ideas, methods, instructions or products referred to in the content.

Share and Cite

MDPI and ACS Style

Rodrigues, A.; Palmero-Marrero, A.I.; Soares, J.; Varga, S.; Oliveira, A.C. Experimental Analysis of a Polygeneration System: Assessment of the Thermal Sub-System. Energies 2024, 17, 1606. https://doi.org/10.3390/en17071606

AMA Style

Rodrigues A, Palmero-Marrero AI, Soares J, Varga S, Oliveira AC. Experimental Analysis of a Polygeneration System: Assessment of the Thermal Sub-System. Energies. 2024; 17(7):1606. https://doi.org/10.3390/en17071606

Chicago/Turabian Style

Rodrigues, André, Ana I. Palmero-Marrero, João Soares, Szabolcs Varga, and Armando C. Oliveira. 2024. "Experimental Analysis of a Polygeneration System: Assessment of the Thermal Sub-System" Energies 17, no. 7: 1606. https://doi.org/10.3390/en17071606

APA Style

Rodrigues, A., Palmero-Marrero, A. I., Soares, J., Varga, S., & Oliveira, A. C. (2024). Experimental Analysis of a Polygeneration System: Assessment of the Thermal Sub-System. Energies, 17(7), 1606. https://doi.org/10.3390/en17071606

Note that from the first issue of 2016, this journal uses article numbers instead of page numbers. See further details here.

Article Metrics

Back to TopTop