Next Article in Journal
Experimental Assessment of Suitability of Darrieus and Savonius Turbines for Obtaining Wind Energy from Passing Vehicles
Previous Article in Journal
Phase-Shifting Adaptive LLC Resonant Converter with Reduced Turn-Off Loss in Wide Voltage Application
 
 
Font Type:
Arial Georgia Verdana
Font Size:
Aa Aa Aa
Line Spacing:
Column Width:
Background:
Article

Working Fluid Selection for High-Temperature Heat Pumps: A Comprehensive Evaluation

Department of Industrial Engineering, University of Florence, 50139 Florence, Italy
*
Author to whom correspondence should be addressed.
Energies 2024, 17(7), 1556; https://doi.org/10.3390/en17071556
Submission received: 29 February 2024 / Revised: 18 March 2024 / Accepted: 20 March 2024 / Published: 25 March 2024
(This article belongs to the Section J: Thermal Management)

Abstract

Heat pumps have the potential for several applications across various industrial sectors, showcasing significant promise, especially in sectors such as pulp and paper, food and beverage, chemical, non-metallic minerals, and machinery. Envisioning the near future, there is confidence that heat pumps can achieve temperatures above 200 °C, offering substantial potential for utilization in these sectors. Nevertheless, a crucial aspect for the advancement of high-temperature heat pumps is the selection of the fluid. Fluid selection involves considerations of both thermodynamic efficiency and environmental impact, requiring fluids with zero ODP, negligible GWP, and no PFAS. Moreover, it is essential to consider the risks to human health associated with a specific fluid. Despite extensive research, particularly in the realm of vapour compression heat pumps, choosing the most suitable working fluid for these applications is a complex undertaking. Therefore, this paper conducts a theoretical analysis to evaluate potential fluids with suitable thermodynamic properties for high-temperature heat pumps (HTHPs). The comparative results gleaned from this study provide valuable insights for the comprehensive analysis of fluids, showing promise within temperature ranges dictated by specific applications. The metrics employed in the comparison emphasise the merits of fluids in terms of the overall performance, dimensions, and operating ranges of applicable compressor, heat exchange capacity, transport properties, and safety. One noteworthy finding from the analysis is that maintaining a constant HTHP lift (at 40 K) results in having the highest COP across all fluids when the condensing temperature ranges between 85% and 90% of their respective critical temperatures. According to the results of the analysis, natural fluids, including water and alcohols like ethanol or methanol, emerge as particularly compelling candidates.

1. Introduction

High-temperature heat pumps (HTHPs) represent a pivotal innovation in the industrial sector, promising to revolutionise thermal management approaches by enhancing energy efficiency and reducing the environmental impact of processes. The term HTHP is commonly used alongside “Industrial Heat Pumps” (IHPs), indicating a different application from civil/residential heating [1], where what we could call “civil” heat pumps (CHPs—civil heat pumps) have been gaining ground in recent years. For IHPs, the field of application lies in the production of medium- to high-temperature process heat, often including the recovery of industrial waste heat (WHR—waste heat recovery). In the majority of applications, this process heat is required at temperatures above 80 °C, so this temperature is the lowest limit to consider a heat pump as “high temperature”.
The need to reach higher thermal levels sometimes requires the use of additional components and a choice of fluids, even innovative ones, suitable for the required outputs. Moreover, stringent regulations that annually reduce the availability of refrigerants, mainly for environmental reasons, compel deeper exploration of the landscape of new sustainable working fluids.
High-temperature IHPs should indeed be the most promising technological solution for phasing out industrial boilers using fossil fuels, in all those sectors where process heat is required at temperatures below 200 °C. IHPs would allow the utilisation of waste heat from the industrial process as a cold source, thus providing a thermal upgrade; using only electrical energy as an input would ensure, at least at the component level, a significant reduction in greenhouse gas emissions compared with the less sustainable solution based on fossil fuels. In the perspective of achieving decarbonisation goals [2,3], mandated at various levels by numerous governmental organisations (i.e., the European Green Deal [4], which sets a target of climate neutrality in the EU by 2050), high-temperature heat pumps for industrial applications would be the “renewable tool” within industrial realities (provided that the electricity for their operation is produced through renewables) [5].

1.1. Working Fluids Utilised in Vapour Compression Heat Pumps

Theoretically, any chemical compound capable of undergoing evaporation and condensation could operate as the working fluid within a vapour compression cycle [6]. Nevertheless, several characteristics must be taken into account when selecting the working fluid: specific requirements, like those concerning environmental impacts or human health risks, impose stringent limitations during the selection process, while functional criteria, such as thermodynamic properties, guide the choice towards fluids capable of delivering optimal energy performance. There are three primary requirements that a working fluid must fulfil:
  • Environmental requirements: ODP, GWP, and TEWI are parameters that quantify the potential impact of a refrigerant’s release on the environment.
  • Safety requirements: Toxicity and flammability determine the danger the refrigerant poses to human health.
  • Functional requirements: Thermodynamic and transport properties, compatibility with materials, and lubricating oil; these criteria enable the assessment of achievable energy performance and the practical suitability of the working fluid.
In accordance with these requirements, various categories of pure working fluids are presented as they are currently employed in the state of the art. Two main categories can be distinguished: synthetics (HFC, HFO, and HCFO) and natural (ammonia, CO2, hydrocarbons, and water) fluids. It is worth noting that mixtures could be also considered working fluids for HTHP, but they will not be included in this work, which focuses only on pure fluids.

1.1.1. Hydrofluorocarbons (HFC)

R134a has been widely employed in medium-temperature heat pumps, owing to its favourable thermodynamic characteristics. However, its GWP of 1430 has led to its phase-out process. R152a is a low-GWP HFC, and along with R161, it has been evaluated as a drop-in substitute for R134a.
R245fa is currently the most used fluid in HTHPs due to its critical point of 153.9 °C and 36.51 bar and NBP of 15 °C. Its GWP = 1030 makes it unsuitable for use, at least in the European context.
R236fa and R236ea have been developed as substitutes for R114, a CFC used for high-temperature applications (thanks to its high critical temperature of 146 °C). They have a global warming potential of 9810 and 1370, respectively.
R365mfc was developed by Solvay for high-temperature applications or as a foaming agent. Its GWP of 804 is lower than the previously listed ones, but still high enough to make it unsuitable for EU regulations. It is a flammable fluid, and over time, this issue has been addressed by blending it with R227ea or perfluoropolyether (Solkatherm SES36); however, these modifications raise the GWP to 1110 and 3126, respectively [1,6].

1.1.2. Hydrofluoroolefins and Hydrochlorofluoroolefins (HFO and HCFO)

Hydrofluoroolefins represent the category of synthetic refrigerants boasting the lowest GWP (<20), and many of them function as drop-in substitutes for HFCs prohibited by F-gas regulation [7] and the Kigali Amendment to the Montreal Protocol [8]. The tetrafluoropropene series (R1234yf, R1234ze(Z), and R1234ze(E)), and exafluorobutene series (R1336mzz(Z) and R1336mzz(E)) stand out as the most commonly utilised HFOs in the development and examination of HTHPs. HCFOs like R1233zd(E) and R1224yd(Z) contain chlorine, indicating that the ODP of these fluids is not zero (0.00034 and 0.00012, respectively); nevertheless, their atmospheric lifespan is brief, resulting in a negligible impact on the ozone layer.

1.1.3. Ammonia

Ammonia (R717) has been widely utilised in both heating and cooling applications, especially where high thermal powers are required. Ammonia possesses a high enthalpy of vaporisation, which results in excellent volumetric heat capacities (VHCs). This allows for a more compact system, not only concerning pipelines, valves, and heat exchangers but especially for the compressor, which is the most expensive component of the system.
Its relatively low critical temperature (132.4 °C) currently limits the use of ammonia to thermal output levels not exceeding 100 °C. Simultaneously, the critical pressure is notably high (113.6 bar): for a condensation temperature of 80 °C, condenser pressures reach approximately 40 bar, necessitating the oversizing of components to withstand high mechanical stresses. Its normal boiling point (NBP) of −33.3 °C ensures that compression ratios are not excessive, benefiting compressor efficiency. The shape of the (“bell-shaped”) limit curve results in particularly high compression discharge temperatures (also considering the relatively low density in a superheated vapour field) [9].
Ammonia’s compatibility with materials such as steel, iron, and aluminium is excellent, but it corrodes copper, zinc, and copper compounds like brass or bronze. Additionally, the circuit must not contain corroding materials due to the hazards of ammonia toxicity and flammability.
Indeed, ammonia is a highly toxic and slightly flammable fluid (the concentration in air must be between 16 and 25% to pose a risk), with a lower flammability limit of 0.116 kg/m3 and an autoignition temperature of 630 °C, placing it in class B2L.
In an HTHP application, ammonia must cope with the high pressures required to condense at high temperatures and the high discharge temperature of the compressor. These are the two issues that limit its use for thermal outputs not exceeding 100 °C. Therefore, in the range of 80–100 °C, as the temperature of the hot source, different configurations can be adopted depending on the lift that the HTHP needs to address. For low lifts (up to 50 K), and thus, in cases where waste heat from industrial processes between 30 and 50 °C is used as a cold source, the single-stage configuration allows the ammonia to cope with the necessary compression ratios; otherwise, for higher lifts (lower evaporation temperatures), multistage configurations must be used.

1.1.4. CO2

Carbon dioxide (R744) is an inert, non-toxic, non-flammable, safe, and chemically stable gas. Its environmental sustainability (compared to synthetic fluids) is maximal; the global warming potential (GWP) of other fluids is calculated in relation to the unit value assigned to carbon dioxide. Regarding its thermodynamic properties, its high conductivity, high specific heat at a constant pressure, and considerable density in a gaseous form (a high volumetric heat capacity) allow for a significant miniaturisation of the system, benefiting investment costs. However, the critical point, characterised by a low temperature (Tcrit = 31.2 °C) and high pressure (Pcrit = 73.8 bar), is the limiting feature of this fluid: in refrigeration applications, a CO2 cycle, being required to discharge heat into the environment, generally operates with a transcritical cycle, thus without condensation [10]. In high temperature heat pump (HTHP) applications, such a cycle is absolutely the only alternative. The condenser is therefore replaced by a gas cooler, with significantly larger exchange surfaces (and also thicker ones to withstand high pressures) to ensure the transfer of the desired thermal power to the hot source.

1.1.5. Hydrocarbons

Hydrocarbons constitute a class of natural refrigerants (ODP = 0, GWP < 10) with excellent thermodynamic properties. As the number of carbon atoms increases, so does the molar mass and critical temperature, making heavier hydrocarbons particularly suitable for use in HTHP applications. However, their flammability poses a significant concern. The hydrocarbons conventionally used do not exceed the carbon number of five (pentane).
Except for R1270 (propylene) and R290 (propane), with NBPs of −47.62 °C and −42.11 °C, respectively, and for butane (R600) and isobutane (R600a), which in HTHP applications for waste heat recovery (WHR) seldom evaporate at temperatures below 30–40 °C, pentane (R601) and isopentane (R601a), with boiling temperatures under normal conditions of 36.06 °C and 27.83 °C, respectively, may evaporate at pressures lower than atmospheric, posing the risk of air infiltration, which is detrimental due to flammability concerns.

1.1.6. Water

Water is the most economical and widely distributed natural refrigerant worldwide, being non-toxic and non-flammable (together with CO2, the only natural refrigerant that meets all safety requirements). Its thermodynamic properties offer high potential for HTHP applications, especially for extreme thermal levels, given its critical temperature of 374.15 °C and critical pressure of 221.3 bar. Its high latent heat of vaporisation, 2442 kJ/kg at 25 °C, is 14 times higher than that of R134a, which is definitely advantageous considering that water must necessarily operate in a subcritical cycle.
However, significant challenges persist in its use in vapour compression cycles: many prototypes of R718 cycles have been realised, also at high TRLs, but their commercial diffusion is still limited. Water’s high polytrophic exponent, high specific volume of steam, and low molecular weight result in excessively high discharge temperatures, volumetric flow rates, and compression ratios. Its normal boiling point is 100 °C (NBP), necessitating evaporation at pressures lower than atmospheric (sometimes significantly lower).

1.2. Background and TRL Positioning of HTHP

Numerous studies and industrial undertakings have explored HTHP applications with the fluids examined in this study. Table 1 illustrates the positioning of current HTHP investigations involving some of the assessed fluids, while Table 2 provides a summary of relevant findings from the literature.

1.3. Previous Studies on Working Fluid Selection for HTHPs

Works in the literature already exist that have yielded intriguing findings when comparing fluids for HTHP [1,20,21]. Particularly, Arpagaus C. et al., 2018 [1], presented an overview of high-temperature heat pumps (HTHPs) designed to operate within a sink temperature range of 90 to 160 °C. They conducted a comprehensive analysis of the operational characteristics of heat pump cycles and performed a market assessment, revealing the availability of over 20 HTHPs from 13 manufacturers, all capable of producing heat sink temperatures exceeding 90 °C. The predominant configuration for HTHP cycles is single-stage, with variations primarily determined by the choice of refrigerant (such as R245fa, R717, R744, R134a, or R1234ze(E)) and compressor type. The investigation of refrigerant selection encompassed an analysis of several fluids, including R1336mzz(Z), R718, R245fa, R1234ze(Z), R600, and R601, with R1336mzz(Z) identified as enabling the achievement of exceptionally high-heat-sink temperatures of up to 160 °C.
Wu et al. (2021) [20] presented an overview encompassing 17 distinct pure low-GWP refrigerants suitable for integration into vapour compression heat pumps. These refrigerants include natural options like R717, R718, and R744, hydrocarbons such as R290, R600, R600a, R601, and R1270, hydrofluorocarbons like R152a and R161, hydrofluoroolefins such as R1234yf, R1234ze(E), R1234ze(Z), R1336mzz(Z), and R1336mzz(E), as well as hydrochlorofluorolefins including R1233zd(E) and R1224yd(Z).
Bamigbetan et al. (2017) [21] conducted a comprehensive investigation into the current landscape of high-temperature heat pumps (HTHPs) utilising vapor compression cycles (VCC). Both pure working fluids and their combinations were examined, assessing their effectiveness across different contexts. Furthermore, the review highlighted how diverse optimisation techniques have been applied in the literature to match the selected fluid with the most appropriate cycle system. Analyses have also been carried out to identify the most efficient heat transfer methods, including sensible heat, latent heat, and leveraging the temperature glide of mixed fluids within heat exchangers.
Frate et al. (2019) [22] conducted a similar analysis to the one proposed in this work, but exclusively with variable lift without providing information on the transport properties of the analysed fluids and on their heat transfer potentials; their list was of great utility for the compilation of the set of fluids analysed in this work. The authors explored appropriate working fluids for a HTHP in a 50 °C to 150 °C heat sink temperature range. They considered environmental and technical factors to select fluids like acetone, benzene, cyclopentane, and dichloroethane, offering economic benefits despite their flammability. Synthetic refrigerants such as HFO R1336mzz(Z), R1234ze(Z), HCFO R1233zd(E), and R1224yd(Z) provide safety and efficiency alternatives. However, prioritising parameters other than COP may lead to efficiency losses of 10% to 20%, underlining the need for careful analysis. Additionally, efficient fluids have lower volumetric heat capacity (VHC) compared to traditional ones, where substituting with high-VHC fluids may decrease efficiency, with R1233zd(E) offering a balanced compromise.
As demonstrated by the literature review, a gap in providing comprehensive guidelines for selecting the working fluid in a high-temperature heat pump seems to appear. This is due to several factors that must be considered, including flammability, sustainability, toxicity, economic viability, and thermodynamic performance. The objective of this paper is thus to shed light on the selection process of the appropriate working fluid, focusing on thermodynamic characteristics. This will involve the establishment of figures of merit and the development of a simple 1D code to assess the performance of each fluid.
This study will be structured as follows: Firstly, the methodology will be outlined in Section 2, encompassing the initial fluid selection process (Section 2.1), the characteristics of the thermodynamic model (Section 2.2), and the comparison metrics employed (Section 2.3). Subsequently, Section 3 will present the results obtained, categorised into findings from numerical simulations conducted with a constant lift configuration (Section 3.1), and those with a variable lift configuration (Section 3.2). Following the results, Section 4 will introduce guidelines for fluid selection (Section 4), elaborating on each category (Section 4.1) and providing pertinent information regarding toxicity and flammability considerations (Section 4.2). Finally, Section 5 will conclude the study with a discussion of the findings and overall conclusions drawn.

2. Methodology

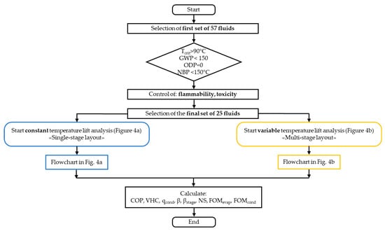
2.1. Preliminary Fluid Selection

This analysis is exclusively focused on the comparison of pure fluids operating in subcritical cycles. Given the definition of 80 °C as the limit beyond which a heat pump can be considered “high temperature” [1], all fluids with a critical temperature greater than 90 °C were therefore included in the first set of 57 fluids. The compilation of the first list was made possible by drawing inspiration from works in the literature that have already provided interesting results regarding the comparison between fluids for HTHPs [1,20,21], which made a comparison based exclusively on cycle performance (at constant lift) and for a limited series of traditional fluid families: HFCs, HFOs, HFCOs, water, ammonia, and standard hydrocarbons such as R600, R601, R600a, and R601a. We thus decided to broaden the study and comparison to fluids not commonly used in high-temperature heat pumps; in fact, only 11 out of the total of the final 25 selected fluids are currently tested both experimentally and used in commercial applications, while the rest can be considered “innovative”. Most of them are included in [22].Also fundamental was the analysis of the bibliography related to organic Rankine cycles (ORCs) and the fluids used in this interesting application, different from that used in HTHPs, but with numerous common points: both ORC and high-temperature heat pumps often work with similar fluids and, despite one being a power cycle and the other a reverse cycle, the operating ranges (pressures and temperatures) are quite similar. Lai et al. (2011) [23] compiled a list of unconventional fluids for ORCs, including cyclic saturated (aliphatic) hydrocarbons, aromatic hydrocarbons, and siloxanes. Carcasci et al. (2012) [24] proposed a thermodynamic optimisation of an ORC with toluene (an aromatic hydrocarbon) as the working fluid for recovering waste heat from a medium-sized gas turbine. The same authors, in [25,26], subsequently compared the performance of other fluids in addition to toluene, such as benzene, cyclopentane, and cyclohexane, demonstrating how these fluids adapt particularly well to work with ORCs. These interesting results have encouraged the translation of such fluids into the field of high-temperature heat pumps.
From the initial pool of 57 fluids identified through the literature review, initial comparison graphs of T–s, T–h, p–v, P–T were produced utilising EES software v11.601 [27]. Through evaluations concerning the quality of the generated curves and considerations regarding environmental impact, toxicity, and flammability, the number was narrowed down to 25 fluids modelled and compared in this study. These are detailed in Table 3.
In this selection of 25 fluids, HFCs with high GWPs were omitted, except for R365mfc with a GWP of 804. Additionally, HFOs with trifluoroacetic acid (TFA) issues [30], linked to perfluoroalkyl substances (PFAS), were excluded. When HFOs degrade, they produce trifluoroacetic acid (TFA), which persists in the atmosphere for several days. TFA transforms into trifluoroacetate (TFA), a salt that accumulates in water and on land, posing challenges for removal due to its high polarity and low degradability [31]. R1234yf emits approximately five times more TFA than R134a does [32]. Natural degradation processes cannot counterbalance the increase in TFA caused by HFO emissions. Trifluoroacetate degrades in the atmosphere within four months, but most of the TFA formed from released HFOs accumulates in water bodies and on land, resulting in an average atmospheric retention of TFA for five to nine months [31]. TFA is highly stable in water and cannot be removed with current purification methods. As part of the PFAS family, the European Union, through the European Chemicals Agency (ECHA), is moving towards gradually phasing out these substances. Apart from the TFA issue, another drawback arises with HFOs like R1234ze, where secondary products with GWPs of up to 14,800 can be formed, indicating a potentially variable GWP value for such HFOs [33].
Toxicity information on fluids was sourced from the manufacturer’s Sigma-Aldrich technical data sheets [29], leading to the exclusion of benzene due to its proven carcinogenic effects.
Flammability concerns related to fluids were highlighted using data from referenced sources [28]. All hydrocarbons, alcohols, ketones, and ethers are highly flammable. A fluid is classified as A3 (highly flammable) if either its lower flammability level (LFL) is less than 0.1 kg/m3 (or less than 3.5% in volume) or its lower heating value (LHV) exceeds 19 MJ/kg. Alkanes with a carbon number greater than 6 were removed from the final list of 25 due to their increasing normal boiling point (NBP), which could lead to potentially flammable mixtures in the presence of air infiltration under subatmospheric conditions at the evaporator. Despite being non-flammable, siloxanes exhibit extremely high NBPs. Hexamethyldisiloxane is the only siloxane suitable for use in HTHPs, boasting an NBP comparable to that of water [34].

2.2. Thermodynamic Model

To ensure the comparability of results, we decided, following previous research [1,11], to adopt a standard configuration with the addition of an internal heat exchanger (IHX), illustrated in Figure 1 (a, scheme; b, thermodynamic representation on a T–s diagram).
The following assumptions were made for the simulation of the heat pump for a constant-lift case:
  • Pressure losses within the heat exchangers were neglected.
  • The compressor’s isentropic efficiency was fixed at 0.7.
The incorporation of the internal heat exchanger was aimed at resolving technical challenges associated with preventing liquid compression, a concern particularly relevant for fluids exhibiting a limit curve with a skewed shape (where the upper limit curve is notably inclined compared with the vertical). This component also aids in recuperating throttling losses in certain scenarios. Figure 1b displays a T–s diagram for R152, serving as an instructive example with which to grasp the thermodynamic cycle and the distribution of superheating and subcooling.
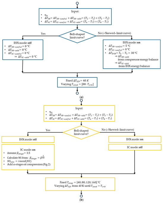
Moreover, for the model taking into account variable lift, the mathematical formulation of the heat pump remains intentionally simplified to preserve its general applicability. However, adjustments were made to the standard cycle to mitigate the issue of extremely high temperatures at compressor discharge. These adjustments encompass the adoption of multi-stage compression and the introduction of intercooling sections, particularly vital for fluids such as water, ammonia, and alcohols, which could otherwise encounter technically unsuitable compression discharge temperatures. This is depicted in the schematic of Figure 2a, along with its thermodynamic representation on the T–s diagram in Figure 2b.

2.3. Comparison Metrics

A comparative analysis was conducted by identifying significant thermodynamic variables to highlight the fitting of the tested fluids for HTHPs, as detailed in Table 4. These variables cover the most interesting and fundamental aspects for a basic analysis of optimal fluids for high-temperature heat pumps: overall performance, parameters of interest for the compressor, parameters relevant to heat exchangers, and safety considerations. The identified variables were used for the definition of a proper figure of merits, i.e., a portion of extended equations that can clearly compare the specific performance of the system under analysis (in this case, the thermodynamic cycle of a HTHP) with another. The figures of merit were extracted from Palm, 2008 [35], and were subsequently applied across all configurations assessed.
Figure 3 and Figure 4a,b illustrate the flow chart of the methodology suggested in this study. Specifically, Figure 3 demonstrates the path from the initial 57 fluid sets to the computation of the comparison metrics, while Figure 4a delineates the process calculation for the constant lift model, and Figure 4b outlines the flow process for the variable lift analysis calculation.

3. Results

Two types of analyses were carried out, one keeping the lift between the evaporator and condenser temperature constant, and the other varying this temperature difference. The following subsections will provide the results of such analyses.

3.1. Constant Lift

In this section, comparative results will be delineated for ΔTlift = 40 K. This level is a good choice as most of the tested fluids can indeed be used in a real HTHP (high-temperature–high-pressure) setup with a basic layout like the one analysed in this study.
The key parameter of interest that facilitates an immediate comparison once the thermal levels at the evaporator and condenser are established is the compression ratio required by the compressor to achieve the desired output. As the condensation temperature increases, there is a general trend of decreasing compression ratio for all fluids. Figure 5a illustrates trends only for some of the 25 selected fluids; by shifting the cycle (at constant lift) towards higher thermal levels, isobars condense as one approaches the critical point in a T–s diagram, and as depicted in Figure 5b, the “height” of the cycle in the p–h diagram decreases when the reduced pressure (defined as the ratio between the pressure at a point and the critical pressure) approaches unity.
The most demanding conditions arise at a condensation temperature of 80 °C (Tevap = 40 °C). At this level, all commonly used fluids (12 out of 25) exhibit a compression ratio below 3.5, thus posing no issues regarding compressor selection. Therefore, employing a standard single-stage configuration for these fluids is entirely suitable. However, for unconventional fluids like hexane, isohexane, cyclohexane, acetone, and hexamethyldisiloxane, the compression ratio at the same thermal levels falls below 4.5, indicating the preference for volumetric compressors in these cases. Volumetric compressors permit higher compression ratios with a single stage, though the choice must consider the required processing capacity as well (mass flow rate and size). Aromatic hydrocarbons, alcohols, and water exhibit the most extreme values, with betas ranging from 5 to 6.5 (for toluene and water, respectively). In these instances, the maximum achievable compression ratio with a single-stage compressor is certainly at its limit, suggesting the selection of alternative volumetric or screw compressors based solely on this parameter.
Considering the decreasing trend of this comparison parameter, all these fluids can be appropriately utilised with any compressor type as they move towards higher thermal levels, including centrifugal dynamic compressors. While such compressors restrict compression ratios to no more than 3.5 per single stage, they can accommodate much higher flows, essential for large-scale HTHP (>1 MW) applications.
Clearly, the primary outcome of the compression ratio’s decrease is the reduction in the work linked to this transformation. Figure 5b furnishes a graphical illustration of this decrease; within the p–h diagram for cyclopentane, it becomes apparent that across the three cycles featuring evaporation and condensation temperatures of 40/80, 100/140, and 140/160 (with a constant lift at 40 K), the diminishing cycle height correlates with a decrease in the projection along the x axis of the enthalpies, a hallmark of the compression process.
The parameter allowing performance evaluation is the coefficient of performance (COP), defined as the ratio between the power per unit mass achievable at the condenser and the power per unit mass absorbed by the compressor. Both of these terms decrease with increasing condensation temperature. However, the trend of their ratio is particularly interesting because it exhibits a maximum zone. In Figure 6b, as an example, the COP (and its related terms) are plotted against the variation in the condensation temperature (with a fixed lift of 40 K) for methanol.
For methanol, the maximum point occurs at a condensation temperature of approximately 185 °C; the values for the representative points of the trend are listed in Table 5. In the first temperature range from 80 °C to the maximum point, the percentage decrease in specific thermal power at the condenser is lower compared with the percentage decrease in specific power absorbed by the compressor (−33% vs. −43.7%, respectively). In the second segment, from the maximum point to the critical temperature, the percentage reduction reverses, with the specific work decreasing less compared with the decrease in specific heat at the condenser (−30.8% vs. −45.9%, respectively).
Figure 6a depicts the trends of the COPs for several of the 25 tested fluids. In general, a higher critical temperature of the fluid corresponds to a higher COP. However, fluids such as propane (R290), R152, isobutane (R600a), and ammonia (R717) do not display a clearly defined maximum, unlike the other fluids. This discrepancy is solely attributable to the analysis range specified for high-temperature heat pumps, which was set at a condensation temperature of 80 °C. Consequently, the actual maximum point for these fluids would be several degrees lower. It is worth noting that these fluids are extensively utilised in refrigeration applications, where they demonstrate optimal performance.
The distribution of the maximum points indicates a necessity to further examine their positioning relative to the critical temperature of each fluid. By utilising the reduced condensation temperature instead of the condensation temperature as the reference parameter, a very interesting arrangement of these points emerges, as depicted in Figure 7. It can be concluded that with a 40 K lift between the two thermal levels of evaporation and condensation, the maximum points for all fluids converge within the range of reduced condensation temperatures, approximately from 0.85 to 0.9. However, R152a, R290, and DME yield incoherent outcomes because, given that the analysis commenced from a condensation temperature of 80 °C, these fluids exhibit maximum performance at levels lower than those required for HTHPs.

3.2. Variable Lift

The coefficient of performance experiences a significant decrease as the temperature lift between the two thermal levels of evaporation and condensation increases, indicating the need for further efforts to address emerging issues, particularly when exceeding a 120 °C lift.
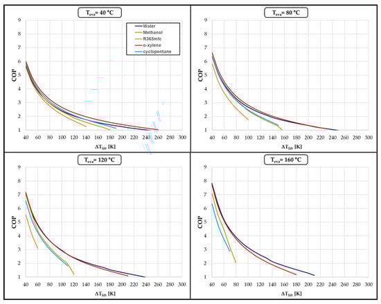
In Figure 8, the COP trends for water at four different evaporation levels are depicted. These findings align naturally with the constant lift analysis conducted previously. It is worth noting that with a 40 °C lift, the COP increases with the Tevap, although it does not reach the maximum depicted in Figure 6. As the lift increases, the influence of the evaporation temperature diminishes, and a reversal point is observed at around a 200 °C lift.
Additionally, it is important to emphasise the advantage of a heat pump over a traditional gas-fired boiler. Let us consider a practical example to evaluate its economic viability. Let us suppose there is the need to install a heating system capable of delivering 10 kWh of energy. If a condensing gas boiler is considered, we can assume an efficiency level of 100% (the worst-case scenario for the heat pump). Considering methane’s lower heating value (LHV) of 9.3 kWh/m3, we can make further assessments. Alternatively, if we explore the option of a heat pump, let us assume a coefficient of performance (COP) of 2.5. For our calculations, let us take into account a purchase cost of EUR 0.90 per cubic metre of methane and EUR 0.21 per kWh of electricity. For the boiler, the hourly thermal energy consumption is 10 kWh. This corresponds to about 1.08 cubic metres of hourly fuel consumption. Consequently, the hourly ignition cost amounts to EUR 0.97, derived from multiplying 1.08 cubic metres by 0.90 EUR/m3. For the heat pump, dividing 10.0 kWh by 2.5 gives us 4 kWh of hourly electricity consumption. Hence, the hourly ignition cost equals EUR 0.84, calculated by multiplying 4 kWh by EUR 0.21/kWh. Figure 8, therefore, highlights that for a Tevap of 40 °C, the maximum lift for cost-effectiveness compared with a boiler is about 100 °C, while for Tevap = 160 °C, it increases to approximately 130 °C.
In Figure 9, a comparison is made between some of the 25 fluids assessed at four evaporation temperatures (40/80/120/160 °C). The superior performance (albeit minimal) of o-xylene compared with that of water (and even of cyclopentane with up to ΔTlift = 160 °C) immediately catches the eye, which may seem inconsistent with the trends in Figure 6.
However, it is important to remember that in this variable lift parametric analysis, the IHX plays a fundamental role in fluids with a positively inclined upper limit curve, allowing for a significant reduction in lamination losses (as well as avoiding the compression of the liquid–vapour mixture). For water (as well as for alcohols and ammonia), on the other hand, no component is included to resolve the lamination loss issue, which is primarily felt at low evaporation temperatures. In fact, even when evaporating at 120 °C, the COP of water is higher than that of o-xylene.

4. Guidelines for Choosing the Most Suitable Fluid

While trying to provide the optimal working fluid for each application is not possible, natural fluids, including water and alcohols like ethanol or methanol, emerge as particularly compelling candidates. This statement needs to be justified by not only the comparison of the performance parameters shown in the previous sections, but also a proper comparison of all the figures of merits introduced in the methodology section. First, in order to provide effective figures, the comparison for each category of fluid is carried out and finally an assessment of the security level of the fluids is reported.

4.1. Comparison of Each Category

Figure 10, Figure 11, Figure 12 and Figure 13 depict the results achieved for each category (synthetics, aliphatic hydrocarbons, aromatic hydrocarbons, and naturals) across four distinct temperature ranges: 40–80, 80–120, 120–160, and 160–200. The chosen comparison parameters include VHC, COP, qcond, μliq, FOMcond, and FOMevap, covering various performance aspects. Values are normalised relative to the best-performing fluid in each aspect (e.g., COP = COP/COPMax). COP, qcond, and VHC directly evaluate the efficiency and volume of a heat pump, while μliq (considered as the inverse, 1/μliq, in the figure to represent the lowest viscous fluid with a value of 1) enables an assessment of fluid transport properties. Additionally, FOMcond and FOMevap provide insights into heat transfer properties. It is evident that as temperature levels increase, the optimal fluid varies, as those performing best at lower temperatures may not perform well at higher temperatures in a subcritical configuration. Synthetics, for instance, completely disappear in the 160–200 °C range, while ammonia, ideal for low temperatures, cannot achieve a subcritical configuration at 160 or 200 °C. Transitioning from lower to higher temperatures, innovative fluids exhibit better characteristics; for instance, methanol and alcohols, as well as water, become preferable solutions at Tcond = 200 °C.
Figure 10, Figure 11, Figure 12 and Figure 13 are segmented into four groups to highlight the most suitable fluid for each category. Analysing Figure 10 (a 40–80 °C range), it appears that R152a stands out as the best-performing synthetic fluid, despite having the lowest coefficient of performance (−8%, compared with that of R365mfc, which has the highest COP). Regarding aliphatic hydrocarbons, R290 shows promise in terms of VHC and evaporator heat transfer but suffers from significantly lower COPs compared with that of other fluids in the same family. R600a might be a preferable solution due to its balanced performance indicators. In the case of aromatic hydrocarbons, toluene consistently outperforms o- and p-xylenes, albeit being hindered by its toxicity. Among the natural fluids, all exhibit high coefficients of performance, making other parameters crucial for optimal fluid selection. Water demonstrates high FOMcond and qcond values but is hindered by low a VHC, rendering it unsuitable for low-temperature applications. Ammonia and DME emerge as promising candidates for HTHPs in the 40–80 range.
Similar observations can be made for other temperature levels (Figure 11, Figure 12 and Figure 13), where certain fluids become unsuitable as temperatures increase (e.g., R152a disappears when a temperature of 120 °C at the condenser is required). Notably, toluene consistently performs best among aromatic hydrocarbons, while cyclohexane gradually improves its performance parameters with rising temperatures, becoming the top aliphatic hydrocarbon at very high temperatures. Natural fluids appear the most promising, with methanol and water surpassing ammonia at very high temperatures. This reflects the optimal positioning of each fluid, as depicted in Figure 6, with a reduced temperature between 0.85 and 0.9.

4.2. Assessment on Fluids Security (Flammability and Toxicity)

As emphasised in Section 2.1, most of the 25 fluids chosen for comparison present safety concerns. According to Sigma-Aldrich technical data sheets [29], all aromatic hydrocarbons are classified as highly toxic fluids. As illustrated in Table 6, which presents the health risks linked to toxic fluids, benzene emerges as the most toxic fluid suitable for utilisation in HTHP applications. Consequently, it has been omitted from the final group of 25 fluids that were simulated and analysed. Among these, toluene exhibits a higher number of cautions and associated risks compared with xylenes. Among the alcohols, methanol, despite its superior thermodynamic properties compared with those of ethanol, is toxic. Aliphatic hydrocarbons, except for n-hexane, are reported as non-toxic fluids, though Sigma-Aldrich highlights potential human hazards upon exposure to n-hexane.
The flammability risk is assessed based on a classification into four categories (1, 2 L, 2, and 3), considering the values of the lower flammability limit (LFL) and the lower heating value (LHV). Although the autoignition temperature (Tauto) does not impact the flammability safety levels, it is important to interpret this parameter, especially in applications like HTHPs. Tauto is the temperature at which combustion begins spontaneously without an external ignition source, provided that the fluid’s characteristic flammability ranges are observed. In refrigeration or traditional heat pumps, typical hydrocarbons have autoignition temperatures above 400 °C, a level not reached within the thermodynamic cycle. However, in HTHPs, especially with high condensation temperatures, the compressor discharge temperature could approach this limit. While this does not guarantee system explosion, air infiltration within the cycle can create a potentially explosive mixture. If the normal boiling point (NBP) is high and the fluid operates subcritically at the evaporator, the flammability hazard level becomes extremely high. Only two fluids exhibit this behaviour, n-hexane and cyclohexane, particularly at temperature lifts exceeding 40 K.
Aromatic hydrocarbons are highly flammable with high NBPs, yet their auto ignition temperatures are fortunately much higher than the calculated discharge temperatures. Methanol, due to its bell-shaped limit curve, exhibits extremely high discharge temperatures that rarely reach the limit of 455 °C. However, the issue of high discharge temperature is mitigated by adopting multi-stage intercooled configurations, as illustrated in Figure 2 for water, which has a similar limit curve to that of methanol.

5. Discussion and Conclusions

The selection of the working fluid is a crucial aspect in the design of a heat pump, with its choice being subject to numerous factors. The thermodynamic performance is not the only requirement to be considered; these fluids have to be evaluated alongside the safety and environmental prescriptions subjected to several legislative limitations. In this perspective, a careful selection of fluids usable in high-temperature heat pumps has been carried out, favouring natural fluids not subject to legislative limitations. However, synthetic fluids have also been examined, which currently represent the state of the art for high-temperature heat pumps. The future of this refrigerant family, including HFCs, HFOs, and HCFOs, is particularly uncertain. Restrictions on GWP (the current limit of which is 150, though this is expected to decrease) practically exclude all HFCs from use in HTHPs. At the same time, it seems that the industrial sector is heavily shifting towards other types of synthetic fluids without realising the significant environmental issues associated with TFA and PFAS. Our analysis deliberately chose not to exclude fluids that did not comply with legal terms a priori; between the six synthetic fluids tested, HFC R365mfc, with a GWP of 804, could not be used at all due to F-gas regulations. However, the obtained results show that this fluid provides the best performance in high-temperature applications (among synthetic refrigerants); compared, for example, with HFO R1336mzz(Z) and R1234ze(Z), it offers a higher COP of 5 and 15%, respectively. Considering that industrial HTHPs should operate continuously throughout the year, choosing fluids with lower performance does not seem like a wise choice, especially if a high-GWP fluid is replaced by another synthetic fluid with still-unclear environmental and human health repercussions. Moreover, it is worth considering that in national contexts where electricity is still conventionally produced using fossil fuels, the indirect emissions resulting from increased consumption (lower performance at the same output provided) would not be negligible at all. Under these perspectives, parameters that consider the entire life cycle of the refrigerant should be taken into stronger consideration. In this sense, an important role should be acquired by TEWI, which encompasses GWP but also takes into account the fluid’s usage context.
All this being said, the direction of natural refrigerants seems to be strongly marked. However, natural fluids also have specific issues, which are mainly safety-related, as well as environmental. Many of the natural fluids tested are hydrocarbons and thus are flammable and sometimes, as in the case of aromatics, particularly toxic. The “case” of ammonia, however, is an example of how a “dangerous” fluid can be managed safely if its thermodynamic characteristics demonstrate its clear superiority over other fluids. Therefore, the interesting results in terms of performance of innovative fluids such as alcohols (methanol and ethanol), aromatic hydrocarbons (primarily xylenes), acetone, and high-carbon cycloalkanes (cyclohexane and cyclopentane) should be interpreted in this light. As already emphasised, there is no optimal fluid in all fields, and in fact, all of these suffer from technical problems related to compressor selection (high compression ratios and large dimensions required due to low characteristic densities).
Increasing the temperatures at which the fluids must operate is beneficial if there is an overall shift in both thermal levels, both at the condenser and at the evaporator. The thermodynamic optimum in terms of performance (COP) occurs, for all fluids, when they condense at temperatures between 85 and 90% of their critical temperature, benefiting from the decrease in compression ratios and the consequent decrease in power absorbed by the compressor. Therefore, industrial applications that offer the possibility of using waste heat sources at temperatures above 100 °C would therefore be advantaged in terms of performance.
At the same time, however, increasing the condensation temperature (and therefore the thermal output) without a parallel increase in the evaporation temperature results in drastic decreases in the cycle’s COP. The need to cope with high compression ratios does require the implementation of multistage configurations but also a resolution of problems such as the high compressor discharge temperature and the high degree of flash loss. The latter turns out to be the bottleneck for all fluids characterised by a “skewed” limit curve, and this can be remedied by using an internal heat exchanger (as carried out in this work), which is also necessary to prevent liquid formation inside the compressor. This component, on the contrary, does not provide an improvement in performance in all those fluids characterised by “bell-shaped” limit curves (such as water, alcohols, and ammonia), so the flash loss for the latter leads to slightly lower COPs compared with those for xylenes and cycloalkanes. Remedying this problem is of primary importance in both cases, and solutions can range from the use of a fluid separator to advanced solutions such as ejection recovery systems. In particular, the latter could be the only viable option given the flammability issue of many of these fluids. Using a component like a separator, which collects a considerable amount of fluid, could conflict with current laws limiting the amount of highly flammable refrigerant charge within the reverse machine.
Conversely, water does not pose any concerns regarding flammability. Its versatility allows an exploration of all available plant configurations without precluding any. Moreover, if there is a need to go to high temperatures beyond 240 °C, water is 1 of the 4 fluids (out of the total of 25) capable of working at such levels (in a subcritical configuration). Considering that cyclohexane has the problem of a low auto ignition temperature, and aromatic hydrocarbons are characterised by high COPs but also a low latent heat of condensation, in industrial applications requiring fluid evaporation (the chemical or paper industry), water would be advantageous in terms of flows at the same required power (the densities of these fluids are comparable to that of water).
The major problem for this fluid is obviously its low density, especially at low temperatures, which necessitates the use of a particularly high number of compression stages (up to six) if it is necessary to evaporate at such thermal levels. Since the problem does not exist when high-temperature heat sources are available, it might be convenient to explore the possibility of configuring a cascading HTHP, using more suitable fluids for low thermal levels in the lower cycles.
The modelling and comparative analysis presented in this study indicate that different working fluids are preferable at various temperature ranges. For low temperatures (HTs), such as those encountered in certain applications, ammonia emerges as the preferred choice. At medium temperature levels (VHTs), alcohols like methanol or ethanol exhibit advantages. Conversely, for ultra-high-temperature (UHT) applications, water emerges as the optimal fluid choice. These findings are succinctly summarised in Figure 14.
In conclusion, the analysis conducted in this study represents the initial groundwork necessary to establish a robust foundation for further investigation. Subsequent endeavours should include comprehensive life cycle assessments, economic analyses, and specific case studies, taking into consideration various cycle configurations. These efforts will build upon the already promising findings uncovered in this study, contributing to a deeper understanding of the subject matter.

Author Contributions

Conceptualisation, A.Z., A.R. and L.T.; methodology, A.Z., L.S., G.V., A.R. and L.T.; software, A.Z. and L.S.; validation, A.Z., G.V. and L.T.; formal analysis, A.Z.; investigation, A.Z., A.R. and L.T.; resources, A.R. and L.T.; data curation, A.Z.; writing—original draft preparation, L.T.; writing—review and editing, A.Z., L.S., G.V., A.R. and L.T.; visualisation, A.Z., L.S. and G.V.; supervision, A.R. and L.T.; project administration, A.R. and L.T.; funding acquisition, A.R. and L.T. All authors have read and agreed to the published version of the manuscript.

Funding

The present research has received funding from the European Union’s Horizon Europe research and innovation program under Project THUNDER (THermochemical storage Utilization eNabling Data Centre seasonal Energy Recovery), Grant Agreement Nr 101136186.

Data Availability Statement

Data are contained within the article.

Conflicts of Interest

The authors declare no conflicts of interest.

Abbreviations

CHPCivil heat pump
CFCChlorofluorocarbon
COPCoefficient of performance
EHTHPExtra-high-temperature heat pump
FOMFigure of merit
GWPGlobal warming potential
HCHydrocarbons
HCFCHydrochlorofluorocarbon
HCFOHydrochlorofluoroolefin
HFCHydrofluorocarbon
HFOHydrofluorolefin
HTHPHigh-temperature heat pump
HVACHeating ventilation and air conditioning
IHPIndustrial heat pump
IHXInternal heat exchanger
LFLLower Flammability Level
LTHPLow-temperature heat pump
MTHPMedium-temperature heat pump
NBPNormal boiling point
ODPOzone depletion potential
ORC Organic Rankine cycle
PFASPerfluoroalkylic substance
UHTHPUltra-high-temperature heat pump
VHTHPVery-high-temperature heat pump
VHCVolumetric heating capacity
VCHPVapour compression heat pump
WHRWaste heat recovery
hEnthalpy(kJ/kg)
pPressure(bar)
sEntropy(kJ/kgK)
TTemperature(°C)
ηisCompressor isentropic efficiency(-)
μDynamic viscosity(kg/ms)
ρDensity(kg/m3)
βCompression ratio(-)
qcondSpecific thermal power at the condenser(kJ/kg)

References

  1. Arpagaus, C.; Bless, F.; Uhlmann, M.; Schiffmann, J.; Bertsch, S.S. High temperature heat pumps: Market overview, state of the art, research status, refrigerants, and application potentials. Energy 2018, 152, 985–1010. [Google Scholar] [CrossRef]
  2. IEA. The Future of Heat Pumps; IEA: Paris, France, 2022. [Google Scholar]
  3. IRENA. World Energy Transitions, Outlook 2023: 1.5 °C Pathway; IRENA: Masdar City, United Arab Emirates, 2023. [Google Scholar]
  4. European Commission. The European Green Deal. Available online: https://commission.europa.eu/strategy-and-policy/priorities-2019-2024/european-green-deal_it (accessed on 29 February 2024).
  5. IEA. World Energy Outlook; IEA: Paris, France, 2023. [Google Scholar]
  6. Reissner, F. Development of a Novel High Temperature Heat Pump System. Doctoral Dissertation, Friedrich-Alexander-Universität Erlangen-Nürnberg (FAU), Erlangen, Germany, 2015. [Google Scholar]
  7. European Commission. Fluorinated Greenhouse Gases. Available online: https://climate.ec.europa.eu/eu-action/fluorinated-greenhouse-gases/eu-legislation-control-f-gases_en (accessed on 29 February 2024).
  8. UNEP. The Kigali amendment to the Montreal protocol: HFC phase-down, ozonaction fact sheet. In Proceedings of the 8th Meeting of the Parties to the Montreal Protocol, Kigali, Rwanda, 10–14 October 2016; pp. 1–7. [Google Scholar]
  9. Grazzini, G.; Milazzo, A. Tecnica Del Freddo; Società Editrice Esculapio: Bologna, Italy, 2017; ISBN 9788874889969. [Google Scholar]
  10. IEA. Annex 51 “Cold Climate Heat Pumps”; IEA: Paris, France, 2017. [Google Scholar]
  11. IEA. Annex 58 “High Temperature Heat Pumps”; IEA: Paris, France, 2023. [Google Scholar]
  12. Sánchez, D.; Cabello, R.; Llopis, R.; Arauzo, I.; Catalán-Gil, J.; Torrella, E. Energy performance evaluation of R1234yf, R1234ze(E), R600a, R290 and R152a as low-GWP R134a alternatives. Int. J. Refrig. 2017, 74, 269–282. [Google Scholar] [CrossRef]
  13. Arpagaus, C.; Bertsch, S.S. Experimental results of HFO/HCFO refrigerants in laboratory scale HTHP with up to 150 °C supply temperature. In Proceedings of the 2nd Conference on High Temperature Heat Pumps, Copenhagen, Denmark, 9 September 2019. [Google Scholar]
  14. Chamoun, M.; Rulliere, R.; Haberschill, P.; Peureux, J.L. Experimental and numerical investigations of a new high temperature heat pump for industrial heat recovery using water as refrigerant. Int. J. Refrig. 2014, 44, 177–188. [Google Scholar] [CrossRef]
  15. Wu, D.; Yan, H.; Hu, B.; Wang, R.Z. Modeling and simulation on a water vapor high temperature heat pump system. Energy 2019, 168, 1063–1072. [Google Scholar] [CrossRef]
  16. Wu, D.; Jiang, J.; Hu, B.; Wang, R.Z. Experimental investigation on the performance of a very high temperature heat pump with water refrigerant. Energy 2020, 190, 116427. [Google Scholar] [CrossRef]
  17. Bamigbetan, O.; Eikveik, T.M.; Neska, P.; Bantle, M. Extending ammonia high temperature heat ump using butane in a cascade system. In Proceedings of the 7th IIR Conference: Ammonia and CO2 Refrigeration Technologies, Ohrid, Macedonia, 11–13 May 2017. [Google Scholar]
  18. Bamigbetan, O.; Eikevik, T.M.; Nekså, P.; Bantle, M.; Schlemminger, C. The development of a hydrocarbon high temperature heat pump for waste heat recovery. Energy 2019, 173, 1141–1153. [Google Scholar] [CrossRef]
  19. Bamigbetan, O.; Eikevik, T.M.; Nekså, P.; Bantle, M.; Schlemminger, C. Experimental investigation of a prototype R-600 compressor for high temperature heat pump. Energy 2019, 169, 730–738. [Google Scholar] [CrossRef]
  20. Wu, D.; Hu, B.; Wang, R.Z. Vapor compression heat pumps with pure Low-GWP refrigerants. Renew. Sustain. Energy Rev. 2021, 138, 110571. [Google Scholar] [CrossRef]
  21. Bamigbetan, O.; Eikevik, T.M.; Nekså, P.; Bantle, M. Review of vapour compression heat pumps for high temperature heating using natural working fluids. Int. J. Refrig. 2017, 80, 197–211. [Google Scholar] [CrossRef]
  22. Frate, G.F.; Ferrari, L.; Desideri, U. Analysis of suitability ranges of high temperature heat pump working fluids. Appl. Therm. Eng. 2019, 150, 628–640. [Google Scholar] [CrossRef]
  23. Lai, N.A.; Wendland, M.; Fischer, J. Working fluids for high-temperature organic Rankine cycles. Energy 2011, 36, 199–211. [Google Scholar] [CrossRef]
  24. Carcasci, C.; Ferraro, R. Thermodynamic optimization and off-design performance analysis of a toluene based rankine cycle for waste heat recovery from medium-sized gas turbines. In Proceedings of the ASME 2012 Gas Turbine India Conference, GTINDIA2012, Mumbai, Maharashtra, India, 1 December 2012. [Google Scholar]
  25. Carcasci, C.; Ferraro, R.; Miliotti, E. Thermodynamic analysis of an organic Rankine cycle for waste heat recovery from gas turbines. Energy 2014, 65, 91–100. [Google Scholar] [CrossRef]
  26. Carcasci, C.; Winchler, L. Thermodynamic Analysis of an Organic Rankine Cycle for Waste Heat Recovery from an Aeroderivative Intercooled Gas Turbine. Energy Procedia 2016, 101, 862–869. [Google Scholar] [CrossRef]
  27. Engineering Equation Solver, EES. Available online: https://fchartsoftware.com/ees/ (accessed on 29 February 2024).
  28. Zabatakys, M.G. Flamability Characteristics of Combustible Gases and Vapors; U.S. Department of the Interior, Bureau of Mines: Whashington, DC, USA, 1965.
  29. Sigma Altrich. Available online: https://www.sigmaaldrich.com/IT/en (accessed on 29 February 2024).
  30. Kauffeld, M.; Dudita, M. Environmental Impact of HFO Refrigerants & Alternatives for the Future. Available online: https://www.openaccessgovernment.org/hfo-refrigerants/112698/ (accessed on 29 February 2024).
  31. Holland, R.; Khan, M.A.H.; Driscoll, I.; Chantyal-Pun, R.; Derwent, R.G.; Taatjes, C.A.; Orr-Ewing, A.J.; Percival, C.J.; Shallcross, D.E. Investigation of the production of Trifluoroacetic Acid from two Halocarbons, HFC-134a and HFO-1234yf and its fates using a global three-dimensional chemical transport model. ACS Earth Space Chem. 2021, 5, 849–857. [Google Scholar] [CrossRef]
  32. Luecken, D.J.; Waterland, R.L.; Papasavva, S.; Taddonio, K.N.; Hutzell, W.T.; Rugh, J.P.; Andersen, S.O. Ozone and TFA Impacts in North America from Degradation of 2,3,3,3-Tetrafluoropropene (HFO-1234yf), A Potential Greenhouse Gas Replacement. Environ. Sci. Technol. 2010, 44, 343–348. [Google Scholar] [CrossRef] [PubMed]
  33. Pérez-Peña, M.P.; Fisher, J.A.; Hansen, C.; Kable, S.H. Assessing the atmospheric fate of trifluoroacetaldehyde (CF3CHO) and its potential as a new source of fluoroform (HFC-23) using the AtChem2 box model, Environmental Science. Atmospheres 2023, 3, 1767–1777. [Google Scholar] [CrossRef]
  34. Cammi, G.; Conti, C.C.; Spinelli, A.; Guardone, A. Experimental characterization of nozzle flow expansions of siloxane MM for ORC turbines applications. Energy 2021, 218, 119249. [Google Scholar] [CrossRef]
  35. Palm, B. Hydrocarbons as refrigerants in small heat pump and refrigeration systems—A review. Int. J. Refrig. 2008, 31, 552–563. [Google Scholar] [CrossRef]
Figure 1. (a) Layout of the heat HTHPs modelled for fluids with a “skewed” limit curve. (b) Example of a R152 heat pump cycle in a T–s diagram.
Figure 1. (a) Layout of the heat HTHPs modelled for fluids with a “skewed” limit curve. (b) Example of a R152 heat pump cycle in a T–s diagram.
Energies 17 01556 g001
Figure 2. (a) Layout of the heat HTHP modelled for fluids with a “bell-shaped” limit curve.0 (b) Example of a water heat pump cycle with multistage compression in a p–h diagram.
Figure 2. (a) Layout of the heat HTHP modelled for fluids with a “bell-shaped” limit curve.0 (b) Example of a water heat pump cycle with multistage compression in a p–h diagram.
Energies 17 01556 g002
Figure 3. Flow chart of fluid selection process and comparison metric calculations.
Figure 3. Flow chart of fluid selection process and comparison metric calculations.
Energies 17 01556 g003
Figure 4. (a) Flow chart of constant-lift mode calculation (b). Flow chart of variable-lift mode calculation.
Figure 4. (a) Flow chart of constant-lift mode calculation (b). Flow chart of variable-lift mode calculation.
Energies 17 01556 g004
Figure 5. (a) Pressure ratio as function of condensation temperature, and (b) reduction in Δh closing to critical point in the p–h diagram for cyclopentane.
Figure 5. (a) Pressure ratio as function of condensation temperature, and (b) reduction in Δh closing to critical point in the p–h diagram for cyclopentane.
Energies 17 01556 g005
Figure 6. (a) COP as a function of condensation temperature; (b) COP and its terms for methanol as a function of condensation temperature at a constant lift of 40 K.
Figure 6. (a) COP as a function of condensation temperature; (b) COP and its terms for methanol as a function of condensation temperature at a constant lift of 40 K.
Energies 17 01556 g006
Figure 7. COP as function of condensation temperature highlighting maximum points.
Figure 7. COP as function of condensation temperature highlighting maximum points.
Energies 17 01556 g007
Figure 8. COP trends for water with varying-temperature lift for four different evaporation temperatures.
Figure 8. COP trends for water with varying-temperature lift for four different evaporation temperatures.
Energies 17 01556 g008
Figure 9. Comparison among fluids varying the temperature lift for four different evaporation temperatures.
Figure 9. Comparison among fluids varying the temperature lift for four different evaporation temperatures.
Energies 17 01556 g009
Figure 10. Comparison of fluids for each category for the HT case (Tevap = 40 °C; Tcond = 80 °C): (a) synthetics, (b) aliphatic hydrocarbons, (c) aromatic hydrocarbons, and (d) naturals.
Figure 10. Comparison of fluids for each category for the HT case (Tevap = 40 °C; Tcond = 80 °C): (a) synthetics, (b) aliphatic hydrocarbons, (c) aromatic hydrocarbons, and (d) naturals.
Energies 17 01556 g010aEnergies 17 01556 g010b
Figure 11. Comparison of fluids for each category for the VHT case (Tevap= 80 °C; Tcond = 120 °C): (a) synthetics, (b) aliphatic hydrocarbons, (c) aromatic hydrocarbons, (d) naturals.
Figure 11. Comparison of fluids for each category for the VHT case (Tevap= 80 °C; Tcond = 120 °C): (a) synthetics, (b) aliphatic hydrocarbons, (c) aromatic hydrocarbons, (d) naturals.
Energies 17 01556 g011
Figure 12. Comparison of fluids for each category for the UHT case (Tevap = 120 °C; Tcond = 160 °C): (a) synthetics, (b) aliphatic hydrocarbons, (c) aromatic hydrocarbons, and (d) naturals.
Figure 12. Comparison of fluids for each category for the UHT case (Tevap = 120 °C; Tcond = 160 °C): (a) synthetics, (b) aliphatic hydrocarbons, (c) aromatic hydrocarbons, and (d) naturals.
Energies 17 01556 g012
Figure 13. Comparison of fluids for each category for the EHT case (Tevap = 160 °C; Tcond = 200 °C): (a) synthetics, (b) aliphatic hydrocarbons, (c) aromatic hydrocarbons, and (d) naturals.
Figure 13. Comparison of fluids for each category for the EHT case (Tevap = 160 °C; Tcond = 200 °C): (a) synthetics, (b) aliphatic hydrocarbons, (c) aromatic hydrocarbons, and (d) naturals.
Energies 17 01556 g013
Figure 14. Guidelines for fluid selection at different Tcond and Tevap.
Figure 14. Guidelines for fluid selection at different Tcond and Tevap.
Energies 17 01556 g014
Table 1. TRL positioning of HTHPs [11].
Table 1. TRL positioning of HTHPs [11].
FluidSupply TemperatureTRLFluidSupply TemperatureTRL
R134a (trans critical configuration)1309R718 (Water)1209
R245fa12091408
R1336mzz(Z)16041507/8
R1233zd(E)12091655
1506R600 (n-Butane)1207
R717 (Ammonia)1209R601 (n-Pentane)1455
Table 2. Recent works on experimental and numerical studies on high-temperature heat pumps.
Table 2. Recent works on experimental and numerical studies on high-temperature heat pumps.
ReferenceFluidNotes
Sanchez et al. (2017) [12]R152a, R1234yf R1234ze(E), R290, R600aExperimental analysis to determine which fluid was the best drop-in replacement for R134a. R152a was the only one that allowed up to a 5% improvement in COP, while maintaining the same safety requirements; all other fluids either have flammability issues or lower performance.
Arpagaus et al. (2019) [13]R1336mzz(Z), R1233zd(E), R1224yd(Z)Experimental analysis a of an HTHP capable of providing thermal output at 150 °C by testing various HFOs as potential substitutes for R245fa.
Chammoun et al. [14]R718Numerical analysis. Operating ranges set at 80–95 °C for the lower thermal source and 130–145 °C for the upper one. Obtained results shows that COP increases as temperature lift decreases, with an average COP of around 5.
Wu et al. [15,16]R718Experimental investigation of R718 HTHP assessing performance while varying both thermal source temperatures, 80–90 °C for the lower one (waste heat) and 120–130 °C for the upper one (thermal output); within these ranges, COP varies between 3.64 and 4.87.
Bamigbetan et al. (2017) [17]R717/R600Ammonia used as a “bottomer” cycle in cascade configurations. The “topper” cycle with butane (R600) was employed, offering good complementary performance to that of ammonia at higher temperature ranges
Bamigbetan et al. (2017) [18,19]R290/R600Laboratory scale of a 20 kWth HTHP cascade cycle of propane/buntane, capable of a 85 K temperature lift with COP = 2 (COP = 3.1 for ΔTlift = 72 K). In [19], the propane compressor is experimentally analysed, achieving an isentropic efficiency of 83% with suction and discharge temperatures of 80 °C and 140 °C
Table 3. Selection of 25 fluids for HTHPs; flammability data from [28,29].
Table 3. Selection of 25 fluids for HTHPs; flammability data from [28,29].
FluidMM (g/mol)ODPGWPTcrit (°C)Pcrit (bar)NBP (°C)LFL (kg/m3)Tauto (°C)LHV (MJ/kg)
R152a66.050124113.345.2−24.050.13455
R365mfc148.10804186.932.6640.18 594
R1234ze(Z)11401150.135.319.8
R1336mzz(Z)164.109171.32933.45
R1233zd(E)130.50.00034.5165.635.7318.26
R1224yd(Z)148.50.00011155.533.3714
R717 (Ammonia)17.0300132.3113.3−33.30.11663018
R718 (Water)18.0200373.9220.6499.97
R290 (Propane)44.10396.6842.47−42.10.04246646.4
R600 (n-Butane)58.120415237.96−0.530.04840545.8
R601 (n-Pentane)72.1505196.533.6435.870.04625845.4
n-Hexane86.17 234.730.5869.270.04722344.8
R600a (Isobutane)58.1203134.736.4−11.68 46245.6
R601a (Isopentane)72.1505187.233.727.85 42045.2
Isohexane 86.18 224.630.460.21 300 44.7
Cyclopentane70.13 238.645.7149.260.04836144.6
Cyclohexane84.16 280.540.8180.710.04926043.45
o-Xylene106.2 357.137.38144.40.05346341
p-Xylene106.2 34335.32138.30.05352940.8
Toluene92.14 318.641.26110.40.0553540.6
Ethanol46.0701241.662.6878.390.04636326.7
Methanol32.0402.8240.281.04650.05245519.9
Dimethylether46.0701127.253.67−24.920.047226
Acetone58.08012354756.240.05246528.54
Hexametyldisiloxane162.4 245.519.39100.3 340
Table 4. Comparison metrics.
Table 4. Comparison metrics.
PerformanceCoefficient of PerformanceCOP COP = q cond w comp = h 4 h 7 h 4 h 3
Specific condenser thermal power q cond q cond = q DSH + r cond + q SC = h 4 h 5 + h 5 h 6 + h 6 h 7
Latent heat of condensation r cond h 5 h 6
CompressorThermodynamic optimum temperature T opt T opt , rid = T cond , COPmax K T crit K = T 5 , COPmax K T crit K
Volumetric heat capacityVHC VHC = q cond · ρ suct = h 4 h 7 · ρ 3
Compression ratio β β = p cond p evap = p 5 p 1
Density at compressor inlet ρ suct ρ suct = 1 v suct = ρ 3 = 1 v 3
Temperature at compressor outlet T disch T disch = T 4
SafetyAuto ignition temperature T auto -
Evaporator Pressure P eva -
Transport propertiesDynamic viscosity μ -
Heat transfer capabilitiesFigure of merit for boiling heat transfer FOM evap FOM evap = 55 p rid 0.12 10 log p rid 0.55 MM 0.5 [35]
Figure of merit for condensation heat transfer FOM cond FOM cond = ρ L 2 r cond k L 3 μ L 1 / 3 [35]
Table 5. Coefficient of performance and its terms for different thermal levels at the condenser for methanol.
Table 5. Coefficient of performance and its terms for different thermal levels at the condenser for methanol.
TcondCOPqcondwcomp
(°C)(-)(kJ/kg)(kJ/kg)
805.951244209.1
1857.15833.2117.8
2365.53450.481.5
Table 6. Health risks associated with toxic fluids from Sigma-Aldrich data sheets [29]. H340 “may cause genetic mutations”; H350 “may cause cancer”; H361f is “suspected of damaging fertility”; H361d is “suspected of harming the unborn child”; H372 “causes damage to organs through prolonged or repeated exposure; H304 “may be fatal if swallowed or inhale”; H332 is “harmful if inhaled or in contact with skin”.
Table 6. Health risks associated with toxic fluids from Sigma-Aldrich data sheets [29]. H340 “may cause genetic mutations”; H350 “may cause cancer”; H361f is “suspected of damaging fertility”; H361d is “suspected of harming the unborn child”; H372 “causes damage to organs through prolonged or repeated exposure; H304 “may be fatal if swallowed or inhale”; H332 is “harmful if inhaled or in contact with skin”.
FluidH340H350H361fH361dH372H304H332
Methanol
n-Hexane
Benzene
Ethylbenzene
m-Xylene
o-Xylene
p-Xylene
Disclaimer/Publisher’s Note: The statements, opinions and data contained in all publications are solely those of the individual author(s) and contributor(s) and not of MDPI and/or the editor(s). MDPI and/or the editor(s) disclaim responsibility for any injury to people or property resulting from any ideas, methods, instructions or products referred to in the content.

Share and Cite

MDPI and ACS Style

Zini, A.; Socci, L.; Vaccaro, G.; Rocchetti, A.; Talluri, L. Working Fluid Selection for High-Temperature Heat Pumps: A Comprehensive Evaluation. Energies 2024, 17, 1556. https://doi.org/10.3390/en17071556

AMA Style

Zini A, Socci L, Vaccaro G, Rocchetti A, Talluri L. Working Fluid Selection for High-Temperature Heat Pumps: A Comprehensive Evaluation. Energies. 2024; 17(7):1556. https://doi.org/10.3390/en17071556

Chicago/Turabian Style

Zini, Andrea, Luca Socci, Guglielmo Vaccaro, Andrea Rocchetti, and Lorenzo Talluri. 2024. "Working Fluid Selection for High-Temperature Heat Pumps: A Comprehensive Evaluation" Energies 17, no. 7: 1556. https://doi.org/10.3390/en17071556

APA Style

Zini, A., Socci, L., Vaccaro, G., Rocchetti, A., & Talluri, L. (2024). Working Fluid Selection for High-Temperature Heat Pumps: A Comprehensive Evaluation. Energies, 17(7), 1556. https://doi.org/10.3390/en17071556

Note that from the first issue of 2016, this journal uses article numbers instead of page numbers. See further details here.

Article Metrics

Back to TopTop