Topological Structure and Control Strategy of E-UPFC
Abstract
1. Introduction
2. PV Grid-Connected System with E-UPFC
3. Topology and Mathematical Modeling of E-UPFC
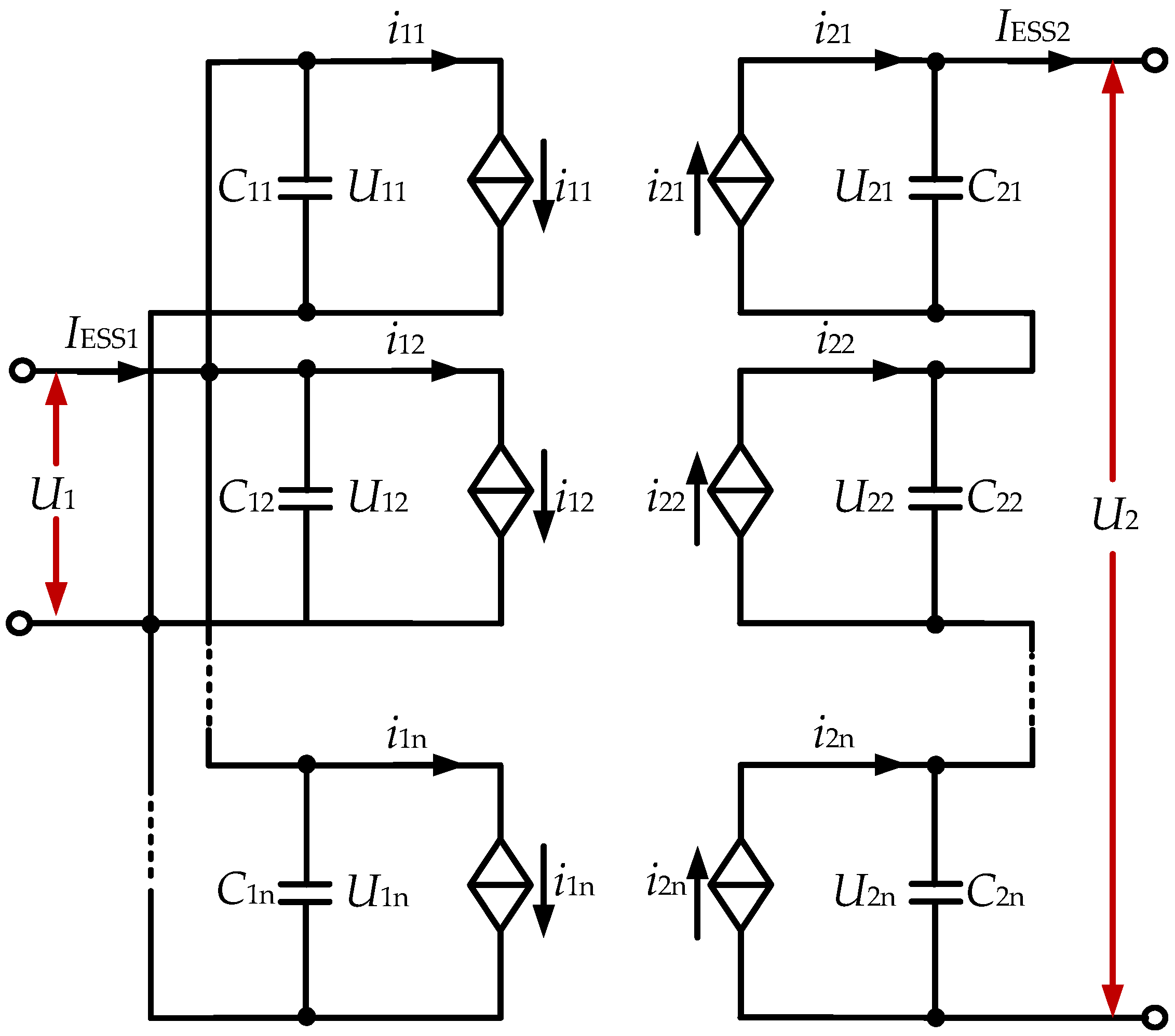
3.1. Topology and Equivalent Average Model of FE-MMC and BE-MMC
3.2. Topology and Equivalent Average Model of DCT
4. Control Strategy of E-UPFC
4.1. Control Strategy of FE-MMC
4.2. Control Strategy of BE-MMC
4.3. Control Strategy of DCT
5. Simulation Verification
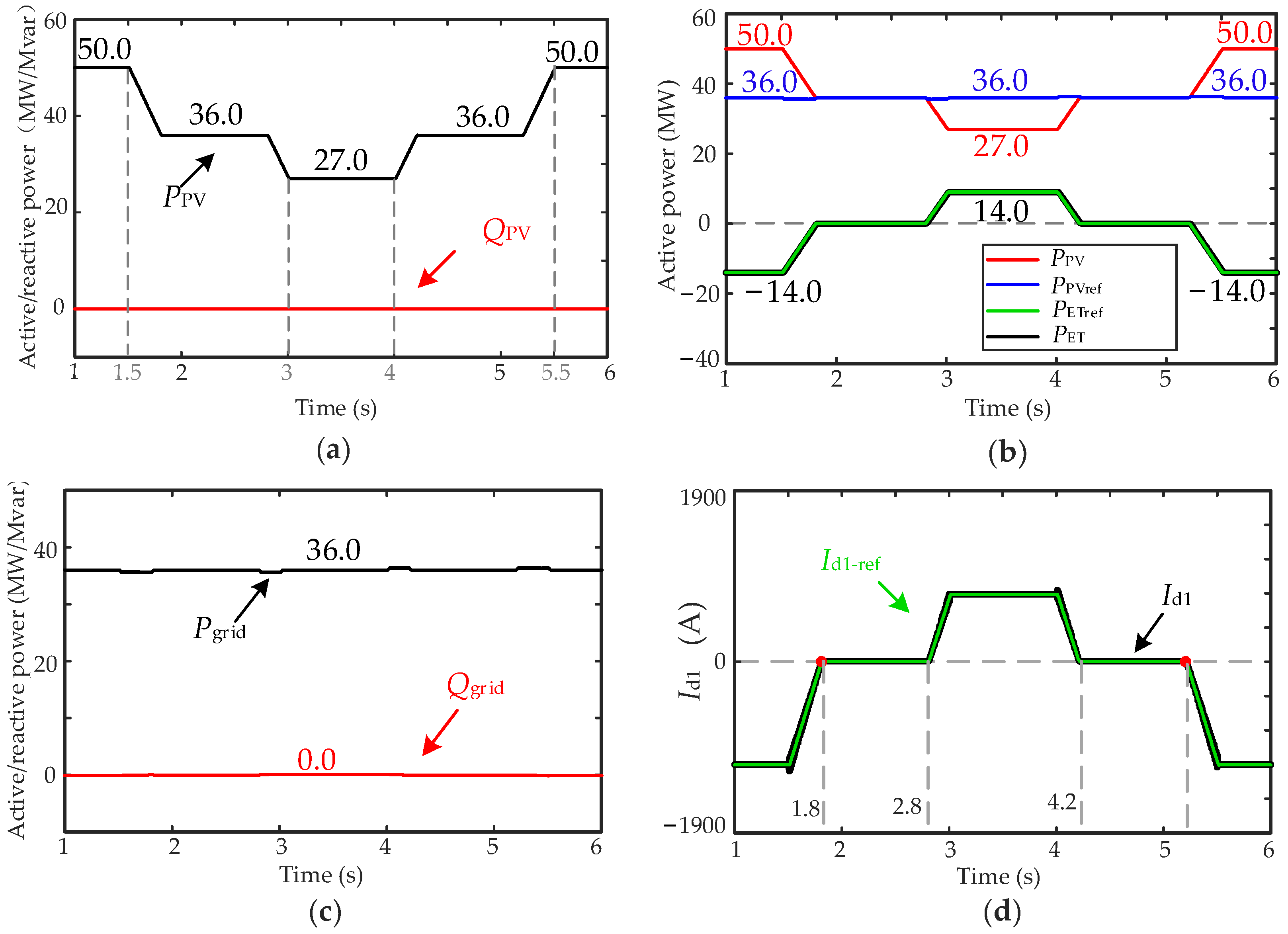
5.1. Power Suppression Mode
5.2. Power Regulation Mode
- (a)
- Condition 1: line power P1: P2 = 2:3, Q1: Q2 = 2: 3.
- (b)
- Condition 2: line power P1: P2 = 1:1, Q1: Q2 = 1: 1.
- (c)
- Condition 3: line power P1: P2 = 3:2, Q1: Q2 = 3: 2.
- (a)
- Condition 1: PL + jQL = 125 + j50 MVA.
- (b)
- Condition 2: PL + jQL = 100 + j30 MVA.
- (c)
- Condition 3: PL + jQL = 160 + j65 MVA.
6. Conclusions
- Through the buffering effect of ESS, the proposed E-UPFC can suppress the power fluctuations of large-scale renewable energy at the grid-connected node so as to ensure the friendly and smooth integration of renewable energy into the power grid;
- By transferring the installation position of E-UPFC from the transmission line to the node, the power transformer can be better protected, so as to extend the service life of the power transformer;
- The proposed E-UPFC can dynamically control the amplitude and phase of the output voltage and realize the decoupling control of the active power and reactive power of the transmission lines, so as to improve the dynamic regulation ability of the power flow of the transmission network.
Author Contributions
Funding
Data Availability Statement
Conflicts of Interest
References
- De Araujo, R.A.; Torres, S.P.; Pissolato Filho, J.; Castro, C.A.; Van Hertem, D. Unified AC transmission expansion planning formulation incorporating VSC-MTDC, FACTS devices, and reactive power compensation. Electr. Power Syst. Res. 2023, 216, 109017. [Google Scholar] [CrossRef]
- You, L.; Ma, H.; Saha, T.K. A CVaR-constrained optimal power flow model for wind integrated power systems considering Transmission-side flexibility. Int. J. Electr. Power Energy Syst. 2023, 150, 109087. [Google Scholar] [CrossRef]
- Khaleel, M.; Yusupov, Z.; Yasser, N.; Elkhozondar, H.; Ahmed, A.A. An integrated PV farm to the unified power flow controller for electrical power system stability. Int. J. Electr. Eng. Sustain. (IJEES) 2023, 1, 18–30. [Google Scholar]
- Shair, J.; Li, H.; Hu, J.; Xie, X. Power system stability issues, classifications and research prospects in the context of high-penetration of renewables and power electronics. Renew. Sustain. Energy Rev. 2021, 145, 111111. [Google Scholar] [CrossRef]
- Amrr, S.M.; Asghar, M.J.; Ashraf, I.; Meraj, M. A comprehensive review of power flow controllers in interconnected power system networks. IEEE Access 2020, 8, 18036–18063. [Google Scholar]
- Mosaad, M.I.; Alenany, A.; Abu-Siada, A. Enhancing the performance of wind energy conversion systems using unified power flow controller. IET Gener. Transm. Distrib. 2020, 14, 1922–1929. [Google Scholar] [CrossRef]
- Seifi, A.; Gholami, S.; Shabanpour, A. Power flow study and comparison of FACTS: Series (SSSC), Shunt (STATCOM), and Shunt-Series (UPFC). Pac. J. Sci. Technol. 2010, 11, 129–137. [Google Scholar]
- Kotsampopoulos, P.; Georgilakis, P.; Lagos, D.T.; Kleftakis, V.; Hatziargyriou, N. Facts providing grid services: Applications and testing. Energies 2019, 12, 2554. [Google Scholar] [CrossRef]
- Elmetwaly, A.H.; Eldesouky, A.A.; Sallam, A.A. An adaptive D-FACTS for power quality enhancement in an isolated microgrid. IEEE Access 2020, 8, 57923–57942. [Google Scholar] [CrossRef]
- Alvaro, R.; Águila Téllez, A.; Ortiz, L. Optimal Location and Sizing of a D-STATCOM in Electrical Distribution Systems to Improve the Voltage Profile Considering the Restriction of Harmonic Injection through the JAYA Algorithm. Energies 2023, 16, 7683. [Google Scholar] [CrossRef]
- Gao, C.; Liu, H.; Jiang, H.; Li, Y.; Tang, X. Research on the sub-synchronous oscillation in wind power connected to series compensated power system and its influencing factors. CES Trans. Electr. Mach. Syst. 2017, 1, 334–340. [Google Scholar] [CrossRef]
- Bocovich, M.; Iyer, K.; Terhaar, R.M.; Mohan, N. Overview of series connected flexible AC transmission systems (FACTS). In Proceedings of the 2013 North American Power Symposium (NAPS), Manhattan, KS, USA, 22–24 September 2013; IEEE: Piscataway, NJ, USA, 2013; pp. 1–6. [Google Scholar]
- Kannan, S.; Jayaram, S.; Salama, M.M.A. Real and reactive power coordination for a unified power flow controller. IEEE Trans. Power Syst. 2004, 19, 1454–1461. [Google Scholar] [CrossRef]
- Ke, S.; Zhu, M.; Chen, Y.; Zheng, C.; Hu, C. Passive Sliding Mode Variable Structure Control For MMC-UPFC. In Proceedings of the 2019 IEEE Innovative Smart Grid Technologies—Asia (ISGT Asia), Chengdu, China, 21–24 May 2019; IEEE: Piscataway, NJ, USA, 2019; pp. 2184–2189. [Google Scholar]
- Zhu, P.; Liu, L.; Liu, X.; Kang, Y.; Chen, J. Performance of a decoupling control scheme for a unified power flow controller. In Proceedings of the 31st Annual Conference of IEEE Industrial Electronics Society, 2005 (IECON 2005), Raleigh, NC, USA, 6–10 November 2005; IEEE: Piscataway, NJ, USA, 2005; pp. 6–12. [Google Scholar]
- Bidadfar, A.; Abedi, M.; Karari, M.; Chu, C. Power swings damping improvement by control of UPFC and SMES based on direct Lyapunov method application. In Proceedings of the 2008 IEEE Power and Energy Society General Meeting-Conversion and Delivery of Electrical Energy in the 21st Century, Pittsburgh, PA, USA, 20–24 July 2008; IEEE: Piscataway, NJ, USA, 2008; pp. 1–7. [Google Scholar]
- Kazemi, A.; Esmaielie, A.; Hassanzade, M.T.; Rezaiepour, R. A comprehensive load flow model for UPFC and its combination with ESS. In Proceedings of the International Conference on Electrical and Electronics Engineering ELECO-2008, Bursa, Turkey, 26–30 November 2008; IEEE: Piscataway, NJ, USA, 2008. [Google Scholar]
- Zhang, L.; Shen, C.; Crow, M.L.; Atcitty, S. A comparison of FACTS integrated with battery energy storage systems. In Proceedings of the 2001 IEEE/PES Transmission and Distribution Conference and Exposition, Atlanta, GA, USA, 2 November 2001; IEEE: Piscataway, NJ, USA, 2008; pp. 1151–1155. [Google Scholar]
- Kandasamy, S.; Rajapalan, A. Dynamic control modeling and simulation of a UPFC–SMES compensator in power systems. Ain Shams Eng. J. 2015, 6, 1179–1186. [Google Scholar] [CrossRef][Green Version]
- Merritt, N.R.; Chakraborty, C.; Bajpai, P. An E-STATCOM Based Solution for Smoothing Photovoltaic and Wind Power Fluctuations in a Microgrid Under Unbalanced Conditions. IEEE Trans. Power Syst. 2022, 37, 1482–1494. [Google Scholar] [CrossRef]
- Osama abed el-Raouf, M.; Mageed, S.A.A.; Salama, M.M.; Mosaad, M.I.; AbdelHadi, H.A. Performance Enhancement of Grid-Connected Renewable Energy Systems Using UPFC. Energies 2023, 16, 4362. [Google Scholar] [CrossRef]
- Xu, Y.; Zhang, Z.; Wang, G.; Xu, Z. Modular Multilevel Converter with Embedded Energy Storage for Bidirectional Fault Isolation. IEEE Trans. Power Deliv. 2022, 37, 105–115. [Google Scholar] [CrossRef]
- Guan, M.; Xu, Z. Modeling and Control of a Modular Multilevel Converter-Based HVDC System Under Unbalanced Grid Conditions. IEEE Trans. Power Electron. 2012, 27, 4858–4867. [Google Scholar] [CrossRef]
- Huangfu, Y.; Li, Q.; Xu, L.; Ma, R.; Gao, F. Extended State Observer Based Flatness Control for Fuel Cell Output Series Interleaved Boost Converter. IEEE Trans. Ind. Appl. 2019, 55, 6427–6437. [Google Scholar] [CrossRef]
- Zhao, B.; Song, Q.; Li, J.; Sun, Q.; Liu, W. Full-Process Operation, Control, and Experiments of Modular High-Frequency-Link DC Transformer Based on Dual Active Bridge for Flexible MVDC Distribution: A Practical Tutorial. IEEE Trans. Power Electron. 2017, 32, 6751–6766. [Google Scholar] [CrossRef]
- Zhang, H.; Li, Y.; Li, Z.; Zhao, C.; Gao, F.; Xu, F.; Wang, P. Extended-State-Observer Based Model Predictive Control of a Hybrid Modular DC Transformer. IEEE Trans. Ind. Electron. 2022, 69, 1561–1572. [Google Scholar] [CrossRef]














| Condition | PL + jQL/MVA | P1 + jQ1/MVA | P2 + jQ2/MVA |
|---|---|---|---|
| 1 | 125 + j50 | 50 + j20 | 75 + j30 |
| 2 | 125 + j50 | 62.5 + j25 | 62.5 + j25 |
| 3 | 125 + j50 | 75 + j30 | 50 + j20 |
| Condition | PL + jQL/MVA | P1 + jQ1/MVA | P2 + jQ2/MVA |
|---|---|---|---|
| 1 | 125 + j50 | 50 + j20 | 75 + j30 |
| 2 | 110 + j40 | 50 + j20 | 60 + j20 |
| 3 | 150 + j65 | 50 + j20 | 100 + j45 |
Disclaimer/Publisher’s Note: The statements, opinions and data contained in all publications are solely those of the individual author(s) and contributor(s) and not of MDPI and/or the editor(s). MDPI and/or the editor(s) disclaim responsibility for any injury to people or property resulting from any ideas, methods, instructions or products referred to in the content. |
© 2024 by the authors. Licensee MDPI, Basel, Switzerland. This article is an open access article distributed under the terms and conditions of the Creative Commons Attribution (CC BY) license (https://creativecommons.org/licenses/by/4.0/).
Share and Cite
Yang, W.; Liu, C.; Yin, L. Topological Structure and Control Strategy of E-UPFC. Energies 2024, 17, 1411. https://doi.org/10.3390/en17061411
Yang W, Liu C, Yin L. Topological Structure and Control Strategy of E-UPFC. Energies. 2024; 17(6):1411. https://doi.org/10.3390/en17061411
Chicago/Turabian StyleYang, Weiping, Cong Liu, and Limin Yin. 2024. "Topological Structure and Control Strategy of E-UPFC" Energies 17, no. 6: 1411. https://doi.org/10.3390/en17061411
APA StyleYang, W., Liu, C., & Yin, L. (2024). Topological Structure and Control Strategy of E-UPFC. Energies, 17(6), 1411. https://doi.org/10.3390/en17061411
