Feasibility Investigation of Geothermal Energy Heating System in Mining Area: Application of Mine Cooling and Aquifer Thermal Energy Exploitation Technique
Abstract
1. Introduction
2. Engineering Background
2.1. Study Area
2.2. Geothermal Fluid Thermal Reserves
2.3. Combined Mine Geothermal Water and Heat-Pump Heating System
3. Financial Analysis
3.1. Mine Heat Load
3.2. Economic Analysis
4. Results and Discussion
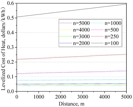
4.1. Influencing Factors
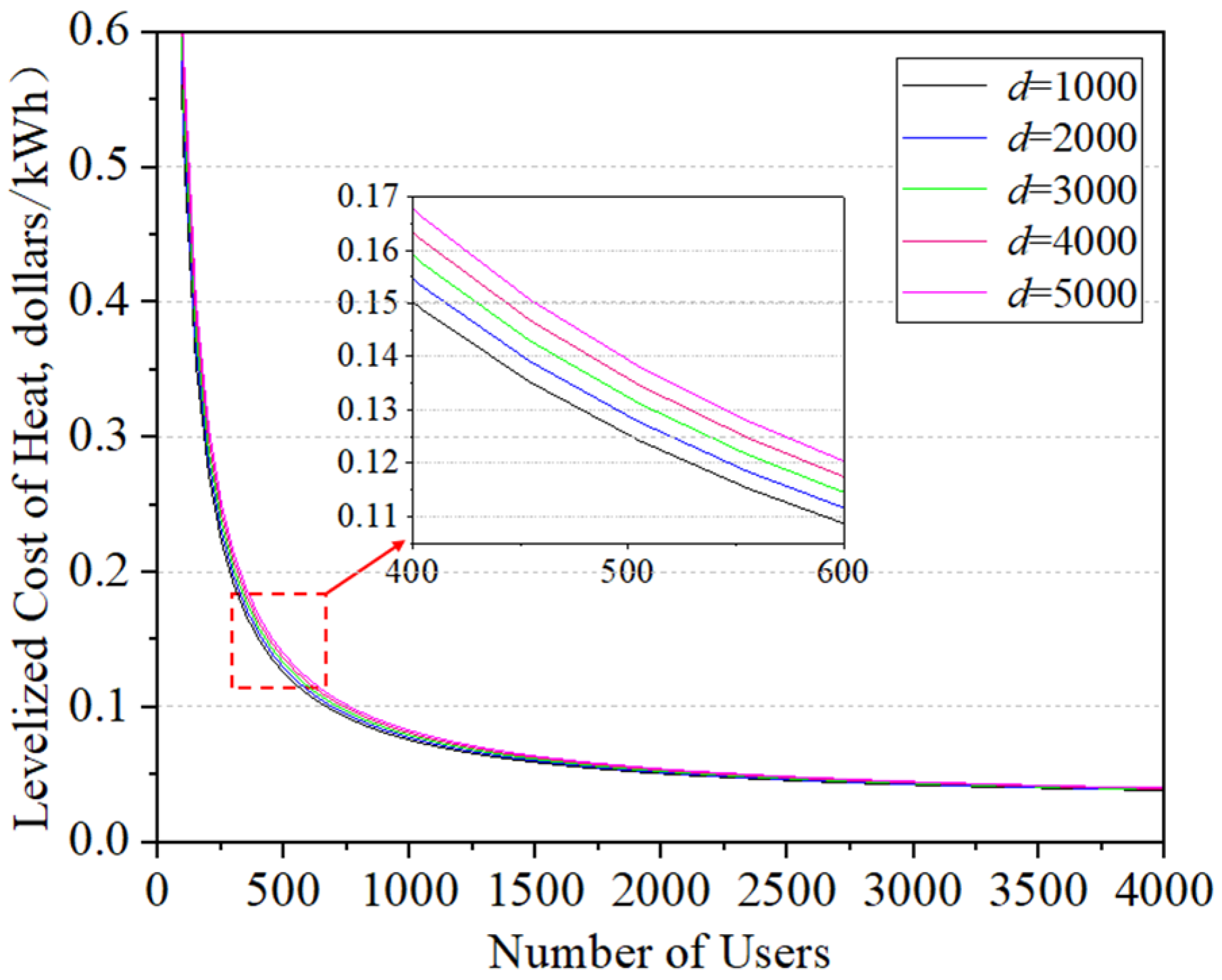
4.2. Levelized Cost of Heat
4.3. Net Present Value
4.4. Internal Rate of Return
4.5. Environmental Performance
4.6. Economic Performance
5. Conclusions
Author Contributions
Funding
Data Availability Statement
Acknowledgments
Conflicts of Interest
Nomenclature
| Qn | natural storage capacity of geothermal water, 108 m3; |
| A | aquifer area, 108 m2; |
| φ | porosity of aquifer rock; |
| k | aquifer thickness, m; |
| H | the height of pressure head calculated from the roof of aquifer, m; |
| B | the volume coefficient of geothermal water, generally water density/geothermal fluid density, 1.01 m3/m3; |
| S | elastic storage coefficient; |
| c | comprehensive compression coefficient of aquifer, /MPa; |
| g | gravity acceleration, N/kg; |
| ρw | density of water, kg/m3; |
| Qt | thermal reserves of geothermal water, kcal; |
| Cw | specific heat capacity of water, kcal/kg·°C; |
| t | temperature of aquifer, °C; |
| tm | annual mean temperature, °C; |
| Q | heat load in cold-weather season, W; |
| Qrs | heat load of heating bathwater, W; |
| Qgn | heat load of building heating, W; |
| E | thermal energy for heating system for 1 year, kWh; |
| Trs | duration bathwater heating, year; |
| Tgn | duration of building heating, year; |
| C | coal cost of original scheme, dollars; |
| qm | standard coal calorific value, kJ/kg; |
| Pm | coal price, dollars; |
| Mrs | water consumption, kg; |
| ΔTrs | hot bathwater temperature difference, °C; |
| Ab | the building heating area in the mining area, m2; |
| e | the heating thermal index, W/m2; |
| CII | initial investment, dollars; |
| Cwell | cost of geothermal wells, dollars; |
| CP | cost of plate heat exchanger, dollars; |
| CHP | cost of water-source heat pump, dollars; |
| CB | additional cost, dollars; |
| Cd | drilling cost, dollars; |
| Cinj | cost of water injection pump, dollars; |
| Cpro | cost of production pump, dollars; |
| H | drilling depth, m; |
| Pwell | cost per meter for drilling geothermal wells, dollars; |
| Pc | cost per meter for injection and production channels, dollars; |
| COP | performance coefficient of water-source heat pump; |
| Tcon,w | condenser outlet water temperature, °C; |
| Teva,w | evaporator outlet water temperature, °C; |
| Qeva | evaporator heat load, W; |
| QP | plate heat exchanger heat load, W; |
| W | condenser power, W; |
| Sp | heat-transfer area of the plate heat exchanger, m2; |
| UP | heat-transfer coefficient of plate heat exchanger, W/(m2·°C); |
| ΔTP | logarithmic mean temperature difference, °C; |
| T1 | heat-flow inlet temperature, °C; |
| T2 | heat-flow outlet temperature, °C; |
| t1 | cold-flow inlet temperature, °C; |
| t2 | cold-flow outlet temperature, °C; |
| CP | cost of plate heat exchanger, dollars; |
| PP | plate heat-exchanger unit area price, dollars; |
| Crpump | cost of recirculation pump, dollars; |
| Ppipe | unit price of the pipe per meter, dollars; |
| Cpipe | cost of pipes, dollars; |
| COM | annual operation and maintenance cost of the system, dollars; |
| Cfix | equipment maintenance cost, dollars; |
| Cper | labor cost, dollars; |
| Cele | electricity cost, dollars; |
| γ | equipment maintenance cost coefficient; |
| Nper | number of operating workers; |
| Sper | salary of workers, dollars/person; |
| Eele,HP | heat pump power consumption, kWh; |
| Eele,pump | recirculation pump power consumption, kWh; |
| Pele | electricity prices, dollars; |
| ρ | thermal energy loss coefficient; |
| d | distance from geothermal production well to mine buildings, m; |
| n | number of users; |
| Abbreviations | |
| LCOH | levelized cost of heat |
| NPV | net present value |
| IRR | internal rate of return |
References
- Sasmito, A.P.; Kurnia, J.C.; Birgersson, E.; Mujumdar, A.S. Computational evaluation of thermal management strategies in an underground mine. Appl. Therm. Eng. 2015, 90, 1144–1150. [Google Scholar] [CrossRef]
- Zhang, J.; Wang, J.; Zhou, N.; Kong, Y.; Zhu, C.; Liu, H. Collaborative mining system of geothermal energy and coal resources in deep mines. Chin. J. Eng. 2022, 44, 1682–1693. [Google Scholar] [CrossRef]
- Niu, H.; Yu, X.; Sun, Q.; Bu, Y.; Yang, Y.; Tao, M.; Yang, X.; Sun, S. Analysis of the Thermal Behavior Characteristics and Dynamics of Coal Under High Primary Temperature Conditions in Deep Mines. Combust. Sci. Technol. 2023. [Google Scholar] [CrossRef]
- Wang, W.; Shao, W.; Wang, S.; Liu, J.; Shao, K.; Cao, Z.; Liu, Y.; Cui, Z. Operation Optimization of Thermal Management System of Deep Metal Mine Based on Heat Current Method and Prediction Model. Energies 2023, 16, 6626. [Google Scholar] [CrossRef]
- Zhang, Y.; Yuan, Z.; Margni, M.; Bulle, C.; Hua, H.; Jiang, S.; Liu, X. Intensive carbon dioxide emission of coal chemical industry in China. Appl. Energy 2019, 236, 540–550. [Google Scholar] [CrossRef]
- Chen, H.; Li, L.; Lei, Y.; Wu, S.; Yan, D.; Dong, Z. Public health effect and its economics loss of PM2.5 pollution from coal consumption in China. Sci. Total Environ. 2020, 732, 138973. [Google Scholar] [CrossRef]
- Zhang, L.; Shen, Q.; Wang, M.; Sun, N.; Wei, W.; Lei, Y.; Wang, Y. Driving factors and predictions of CO2 emission in China’s coal chemical industry. J. Clean. Prod. 2019, 210, 1131–1140. [Google Scholar] [CrossRef]
- Dai, H.; Zhang, H.; Liu, L.; Wei, Y.; Pan, S. Sulfur Pollution Assessment of Cropland Environment and Vegetables around a Coal-Fired Power Plant. J. Northeast Agric. Sci. 2022, 47, 136–141. [Google Scholar] [CrossRef]
- Li, Q.; Yao, W.; Zhao, L.; Zhang, C.; Zhang, E.; Su, Y.; Liu, G. Evaluation of Mercury Pollution in Soil of Different Land Use Types in Coal-Fired industrial Area. Environ. Sci. 2022, 43, 3781–3788. [Google Scholar] [CrossRef]
- Pokhrel, S.; Ghoreishi-Madiseh, S.A.; Amiri, L.; Poncet, S.; Sasmito, A.P. A Sustainable Heating Solution for Multifamily Residential Buildings in Cold Climates. In Proceedings of the 9th International Renewable and Sustainable Energy Conference (IRSEC), Virtual, 24–27 November 2021; pp. 138–143. [Google Scholar]
- Edgar, C.; Volodymyr, F.; Pavlo, S.; Vasyl, L.; Roman, D. A concept to use energy of air flows of technogenic area of mining enterprises. E3S Web Conf. 2018, 60, 4. [Google Scholar] [CrossRef]
- Wang, J.; Kong, Y.; Duan, Z.; Zhang, J.; Luo, X.; Huang, Y.; Luo, N. Geothermal energy exploitation and storage in coal field under the dual carbon goal. Coal Geol. Explor. 2023, 51, 1. [Google Scholar]
- Dmytro, R.; Oleksandr, I. Evaluation of heat supply with maintaining a safe mine water level during operation of open geothermal systems in post-coalmining areas. Min. Miner. Depos. 2022, 16, 24–31. [Google Scholar] [CrossRef]
- Chu, Z.; Dong, K.; Gao, P.; Wang, Y.; Sun, Q. Mine-oriented low-enthalpy geothermal exploitation: A review from spatio-temporal perspective. Energy Convers. Manag. 2021, 237, 114123. [Google Scholar] [CrossRef]
- Rodriguez Diez, R.; Diaz-Aguado, M.B. Estimating Limits for the Geothermal Energy Potential of Abandoned Underground Coal Mines: A Simple Methodology. Energies 2014, 7, 4241–4260. [Google Scholar] [CrossRef]
- Andrews, B.J.; Cumberpatch, Z.A.; Shipton, Z.K.; Lord, R. Collapse processes in abandoned pillar and stall coal mines: Implications for shallow mine geothermal energy. Geothermics 2020, 88, 101904. [Google Scholar] [CrossRef]
- Solik-Heliasz, E.; Skrzypczak, S. Possibility of Energy Acquiring from Coal Mines in Low-Temperature Geothermal Power Plants. J. Min. Sci. 2013, 49, 611–617. [Google Scholar] [CrossRef]
- Liu, H.; Zhang, J.; Rodriguez-Dono, A.; Zhou, N.; Wang, Y.; Sun, Q.; Li, B. Utilization of mine waste heat in phase change rechargeable battery. Appl. Therm. Eng. 2023, 233, 121136. [Google Scholar] [CrossRef]
- Loredo, C.; Roqueni, N.; Ordonez, A. Modelling flow and heat transfer in flooded mines for geothermal energy use: A review. Int. J. Coal Geol. 2016, 164, 115–122. [Google Scholar] [CrossRef]
- Alvarado, E.J.; Raymond, J.; Therrien, R.; Comeau, F.A.; Carreau, M. Geothermal Energy Potential of Active Northern Underground Mines: Designing a System Relying on Mine Water. Mine Water Environ. 2022, 41, 1055–1081. [Google Scholar] [CrossRef]
- Kim, J.S.; Song, S.H.; Jeong, G.C.; Cha, J.H. Analysis of Economic Feasibility and Reductions of Carbon Dioxide Emission of Geothermal Heating and Cooling System using Groundwater. J. Eng. Geol. 2015, 25, 599–612. [Google Scholar] [CrossRef]
- Kurnia, J.C.; Putra, Z.A.; Muraza, O.; Ghoreishi-Madiseh, S.A.; Sasmito, A.P. Numerical evaluation, process design and techno-economic analysis of geothermal energy extraction from abandoned oil wells in Malaysia. Renew. Energy 2021, 175, 868–879. [Google Scholar] [CrossRef]
- Baidya, D.; de Brito, M.A.R.; Ghoreishi-Madiseh, S.A. Techno-economic feasibility investigation of incorporating an energy storage with an exhaust heat recovery system for underground mines in cold climatic regions. Appl. Energy 2020, 273, 115289. [Google Scholar] [CrossRef]
- Amiri, L.; Madadian, E.; Bahrani, N.; Ghoreishi-Madiseh, S.A. Techno-Economic Analysis of Waste Heat Utilization in Data Centers: Application of Absorption Chiller Systems. Energies 2021, 14, 2433. [Google Scholar] [CrossRef]
- Rajabi, M.M.; Chen, M.J.; Bozorgpour, A.; Al-Maktoumi, A.; Izady, A. Stochastic Techno-economic Analysis of CO2-circulated Geothermal Energy Production in a Closed Reservoir System. Geothermics 2021, 96, 102202. [Google Scholar] [CrossRef]
- de Brito, M.A.R.; Baidya, D.; Ghoreishi-Madiseh, S.A. Techno-economic feasibility assessment of a diesel exhaust heat recovery system to preheat mine intake air in remote cold climate regions. Int. J. Min. Sci. Technol. 2020, 30, 517–523. [Google Scholar] [CrossRef]
- Yang, W.; Han, S.; Li, W. Geological factors controlling deep geothermal anomalies in the Qianjiaying Mine, China. Int. J. Min. Sci. Technol. 2020, 30, 839–847. [Google Scholar] [CrossRef]
- Li, Y.; Rena, J.; Wu, Y.; Sun, Y.; Zhou, Y.N.; Li, B. Calculation of storage capacity of geothermal resources by weighted element weight method—A case study of Zhangjiapo Formation in Xi’an Depression. Desalination Water Treat. 2011, 32, 373–380. [Google Scholar] [CrossRef]
- Xu, S. Study on the Distribution Law and Control Mode of Geothermal Field in Huainan-Huaibei Coalfield. Ph.D. Thesis, Anhui University of Science and Technology, Huainan, China, 2014. [Google Scholar]
- Menendez, J.; Ordonez, A.; Fernandez-Oro, J.M.; Loredo, J.; Diaz-Aguado, M.B. Feasibility analysis of using mine water from abandoned coal mines in Spain for heating and cooling of buildings. Renew. Energy 2020, 146, 1166–1176. [Google Scholar] [CrossRef]
- Wang, C.; Zhao, H.; Cheng, L.; Li, G.; Fan, Y.; Jiang, M.; Hao, Y.; Shao, K. Layout and Parameter Analysis of the Cooling System with Mine Water as Cold Source in Linglong Gold Mine. Geofluids 2023, 2023, 4791411. [Google Scholar] [CrossRef]
- Guo, L.; Huang, X.; An, X.; Yu, Z.; Liang, Q. Research on enhanced geothermal system combined with heat pump heating system. Renew. Energy Resour. 2019, 37, 1100–1106. [Google Scholar] [CrossRef]
- Zhou, F.; Song, Y.; Ma, G.; Yan, X. Load Characteristics Analysis of Water-source Heat Pump System for Surplus Heat Heating in Small Data Center. J. Refrig. 2024, 1–12. [Google Scholar]
- Zhao, X. Application Study of Water Source Heat Pump Technology in Kailuan Diggings. Master’s Thesis, North China Electric Power University, Beijing, China, 2016. [Google Scholar]
- GB 50583-2020; Standard for Design of Buildings and Structures for the Coal Industry. Coal Industry Taiyuan Design and Research Institute Group Co., Ltd.: Taiyuan, China; China Coal Science and Engineering Group Beijing Huayu Engineering Co., Ltd.: Beijing, China, 2020; p. 225.
- Zheng, G.; Li, F.; Tian, Z.; Zhu, N.; Li, Q.; Zhu, H. Operation strategy analysis of a geothermal step utilization heating system. Energy 2012, 44, 458–468. [Google Scholar] [CrossRef]
- Zhang, Y. Study of the Performance of Water Source Heat Pump System Based on Quantitative Analysis of Model Uncertainty and Parameter Uncertainty. Master’s Thesis, Huazhong University of Science and Technology, Hubei, China, 2020. [Google Scholar]
- Li, H.; Zhao, X.; Huang, S.; Bu, X.; Wang, L. Economic and Environmental Benefits of Geothermal Cascade Heating System Considering Geothermal Reservoir Characteristics. Adv. New Renew. Energy 2022, 10, 456–462. [Google Scholar]
- Zhao, H.; Zhang, Y.; Cao, L.; Kang, X.; Xie, X. Constrained short-term and long-term multi-objective production optimization using general stochastic approximation algorithm. Clust. Comput. J. Netw. Softw. Tools Appl. 2019, 22, S6267–S6281. [Google Scholar] [CrossRef]
- Tomosk, S.; Haysom, J.E.; Hinzer, K.; Schriemer, H.; Wright, D. Mapping the geographic distribution of the economic viability of photovoltaic load displacement projects in SW USA. Renew. Energy 2017, 107, 101–112. [Google Scholar] [CrossRef]
- Idel, R. Levelized Full System Costs of Electricity. Energy 2022, 259, 124905. [Google Scholar] [CrossRef]
- Rodriguez-Penalonga, L.; Yolanda Moratilla Soria, B.; Ocana-Pastor, P.; Martin-Canas, P.; Belda-Sanchez, B.; Cortes-Sanz, N.; Estadieu, M.; Ignacio Linares-Hurtado, J.; Manuel Vidal-Bernardez, J.; Nino-Serrano, M. Spent Nuclear Fuel Management: Levelized Cost of Electricity Generation and Analysis of Various Production Scenarios. Energies 2016, 9, 178. [Google Scholar] [CrossRef]
- Wu, J.; Zhang, A.; Shan, K.; Yu, X. Economic assessment of a new type foundation for offshore wind turbines. J. Hydroelectr. Eng. 2023, 42, 27–34. [Google Scholar]
- Wang, H.; Fu, Z.; Wang, S.; Zhang, W. Analysis of CO2 Emissions in the Whole Production Process of Coal-Fired Power Plant. Sustainability 2021, 13, 1084. [Google Scholar] [CrossRef]
- Yu, X.; Tan, Z. Data Analysis and Research on Heating Energy Consumption of Coal-Fired Power Plant. Math. Pract. Theory 2020, 50, 119–128. [Google Scholar]










| Qn (108 m3) | A (108 m2) | k (m) | φ | H (m) | S | B |
|---|---|---|---|---|---|---|
| 21.57 | 1.137 | 95.46 | 0.2 | 959.41 | 7.484 × 10−5 | 1.01 |
| ρw (kg/m3) | Cw (kcal/kg·°C) | t (°C) | tm (°C) | Qt (kcal) | Standard Coal (106 t) |
|---|---|---|---|---|---|
| 1000 | 1 | 59.01 | 17.1 | 9.04 × 1013 | 12.9 |
| Economic Parameters | Value |
|---|---|
| cp,w, J/(kg·°C) | 4180 |
| qm, kWh/kg | 8.14 |
| H, m | 2350 |
| L, m | 3600 |
| Pwell, $/m | 114.87 |
| Pc, $/m | 138.90 |
| Cinj, pro, $ | 13,890 |
| CHP, $ | 138,900 |
| UP, W/(m2·°C) | 3000 |
| Tcon,w, °C | 45 |
| Teva,w, °C | 8 |
| Crpump, $ | 13,890 |
| Ppipe, $/m | 41.67 |
| γ | 0.02 |
| Nper, person | 5 |
| Sper, $/month | 555.60 |
| Pele, $/kWh | 0.11 |
| ρ | 0.05 |
| Economic Parameters | Results |
|---|---|
| Qrs (kW) | 0.46n |
| Qgn (kW) | 2.1n |
| Q (kW) | 2.56n |
| E (kWh) | 5044.6n |
| C ($) | 86.06nPm |
| Cd ($) | 769,985.21 |
| Cwell ($) | 797,765.21 |
| COP | 4.85 |
| Qeva, QP (kW) | 2.0224n |
| ΔTP (°C) | 4 |
| CP ($) | 0.0351n |
| CB ($) | 41.67d + 55,560 |
| CII ($) | 35.11n + 41.67d + 992,225.21 |
| Cfix ($) | 0.70n + 0.83d + 19,844.50 |
| Cper ($) | 33,336 |
| Eele, HP (kW h) | 1092.13n |
| Cele, HP ($) | 121.36n |
| Eele, pump (kW h) | 0.5d |
| Cele, pump ($) | 0.05556d |
| COM ($) | 122.06n + 0.89d + 53,180.50 |
| Property | Value | Unit |
|---|---|---|
| Heat Demand | 10,089,200 | kWh/year |
| LCOH | 0.051 | $/kWh |
| Net Present Value | 12,402.709 | $ |
| Internal Rate of Return | 10.225 | % |
| CO2 Emissions Reduction | 333.872 | tons/year |
| NOx Emissions Reduction | 2.968 | tons/year |
| SO2 Emissions Reduction | 0.866 | tons/year |
Disclaimer/Publisher’s Note: The statements, opinions and data contained in all publications are solely those of the individual author(s) and contributor(s) and not of MDPI and/or the editor(s). MDPI and/or the editor(s) disclaim responsibility for any injury to people or property resulting from any ideas, methods, instructions or products referred to in the content. |
© 2024 by the authors. Licensee MDPI, Basel, Switzerland. This article is an open access article distributed under the terms and conditions of the Creative Commons Attribution (CC BY) license (https://creativecommons.org/licenses/by/4.0/).
Share and Cite
Ding, L.; Zhang, Z.; Li, B.; Qi, S.; Liu, H.; Liu, S. Feasibility Investigation of Geothermal Energy Heating System in Mining Area: Application of Mine Cooling and Aquifer Thermal Energy Exploitation Technique. Energies 2024, 17, 1168. https://doi.org/10.3390/en17051168
Ding L, Zhang Z, Li B, Qi S, Liu H, Liu S. Feasibility Investigation of Geothermal Energy Heating System in Mining Area: Application of Mine Cooling and Aquifer Thermal Energy Exploitation Technique. Energies. 2024; 17(5):1168. https://doi.org/10.3390/en17051168
Chicago/Turabian StyleDing, Luwei, Zetian Zhang, Baiyi Li, Shengming Qi, Hengfeng Liu, and Shuo Liu. 2024. "Feasibility Investigation of Geothermal Energy Heating System in Mining Area: Application of Mine Cooling and Aquifer Thermal Energy Exploitation Technique" Energies 17, no. 5: 1168. https://doi.org/10.3390/en17051168
APA StyleDing, L., Zhang, Z., Li, B., Qi, S., Liu, H., & Liu, S. (2024). Feasibility Investigation of Geothermal Energy Heating System in Mining Area: Application of Mine Cooling and Aquifer Thermal Energy Exploitation Technique. Energies, 17(5), 1168. https://doi.org/10.3390/en17051168
