Abstract
This paper proposes a methodological way to compensate for the imbalance between energy generation and consumption using a battery block from electric vehicles as an energy reservoir through the well-known vehicle-to-grid system (V2G). This method is based on a simulation process developed by the authors that takes into consideration the daily fluctuations in energy consumption as well as the power level generated by an energy source, either conventional, renewable, or hybrid. This study shows that for very large electric vehicle fleets, the system is rendered non-viable, since the remaining energy in the battery block that allows the electric vehicle to be usable during the daytime avoids having to compensate for the energy grid imbalance, only allowing it to cover a percentage of the energy imbalance, which the proposed methodology may optimize. The analysis of the proposed methodology also shows the viability of the system when being applied to a small fleet of electric vehicles, not only compensating for the energy imbalance but also preserving the required energy in the battery of the electric vehicle to make it run. This method allows for predicting the optimum size of an electric vehicle battery, which depends on the energy generation level, coverage factor of the energy imbalance, and size of the electric vehicle fleet.
1. Introduction
At present, one of the main problems in managing electric grids is the energy imbalance that occurs due to the mismatch between power generation and energy consumption. Even though power generation can be established according to energy use standards, the variability in the energy consumption in short periods like a daily cycle makes matching power generation and energy consumption unfeasible.
It is noteworthy that diverse techniques have been employed in the past to attain an optimal equilibrium between power generation and energy consumption. These encompass tailored approaches for small devices [1], fluctuating renewable energy resources [2,3,4,5,6], bioenergy plants [7], and supported systems [8]. Moreover, human activities’ impact on energy consumption rates, the examination of heat island formation [9,10], and the utilization of thermal storage systems have been investigated [11]. These methodologies have been implemented in both residential settings [12] and entire nations [13], illustrating the extensive range of potential resolutions.
According to [14], energy storage systems hold promise as a solution for balancing power generation and energy consumption. However, given the immense scale of energy management within the electric grid, implementing these systems can be challenging and expensive. Moreover, to mitigate energy losses, an excessive number of storage systems are required in areas where the distance between the storage system and distribution point is significant.
To effectively balance power generation with energy consumption, a system must possess specific qualities. Such characteristics include easy accessibility from the distribution point, proximity to the grid, a high capacity to absorb energy consumption spikes, and the efficient management of energy exchange between the storage system and the grid.
A feasible solution that fulfills almost all these requirements is the use of electric vehicle (EV) batteries as a storage system since EVs are widely distributed; an EV’s fleet is large enough and increases constantly; EVs are typically parked near consumption centers like residential buildings, commercial centers, industrial facilities, hospitals, and institutional buildings; and the control system of an EV’s battery is already prepared to manage the current and energy exchange between the EV and the grid (V2G system).
It is worth noting that researchers have extensively studied the utilization of electric vehicle (EV) fleets as an energy reservoir to balance the grid by absorbing surplus energy. The V2G system has been thoroughly analyzed by multiple authors, who have emphasized its benefits and drawbacks [15,16,17,18,19,20]. Moreover, the potential impact of EVs on grid stabilization has been examined [21,22,23]. Some scholars have also explored the hybridization of V2G systems with variable renewable energy (VRE) facilities [24] and its integration into smart grid (SG) management [25,26,27]. Furthermore, the feasibility of this approach in a broader range of applications has been evaluated by including micro-grids in [28].
It is true that the V2G system has the potential to serve as a damping system for grid energy imbalances, but there are certain limitations that need to be addressed for its effective integration into a grid network [29]. One of the major challenges is the lack of legal regulations governing its implementation, which can lead to uncertainties and complications in decision making, investments, and economic progress in the long run.
The lack of market regulation for V2G technology is a major limitation, as mentioned in [30,31,32]. Since V2G is still in its testing phase and there is no agent to provide the services it is designed for, this technology could work inefficiently and unsafely, posing potential risks to its users.
The absence of uniformity also poses an obstacle to the successful adoption of the V2G system in terms of grid energy balance [33,34,35]. The technical and electrical components that comprise the V2G system currently lack standardization, making it challenging to select the appropriate parts that ensure optimal performance, dependability, and security.
Technical limitations, such as battery degradation resulting from increased usage [36], could lead to financial issues [37], instability, and a subpar quality of energy from the grid. Continuous use may also cause electric vehicle ancillary systems to malfunction [38]. Communication errors between batteries and the grid charge control unit could further lead to issues with battery charging [39,40,41,42]. Additionally, a poor grid distribution may result in overcharging, energy losses, and voltage and current spikes, further presenting a challenge [43,44].
Indeed, there are certain social considerations that may hinder the widespread adoption of V2G technology [45]. Among them are worries related to privacy, stemming from the continuous transmission of data between automobiles and grid operators [46,47]. Furthermore, the cost of implementing this technology as well as the ecological effects resulting from frequent battery replacements may present obstacles.
Previous studies have analyzed the efficiency-optimizing protocol based on intelligent management processes using ANN-PSO algorithms [48], the best strategies for V2G implementation [49], or V2G behavior management to avoid peak current occurrence and achieve fast power balance [50]. These studies represent a close approach to the current state of the art regarding V2G technology.
It is intriguing to delve into alternative viewpoints regarding the utilization of V2G technology as a solution for balancing grid energy imbalances. More specifically, this research investigates the feasibility of implementing this method in smaller distribution areas, such as housing conglomerates, residential developments, or individual homes. This innovative approach has the potential to tackle the difficulties in managing grid disruptions that arise from decentralized generation centers, such as home photovoltaic installations [51].
In this paper, we investigate the possibility of utilizing the batteries of electric vehicles in developed countries to address the energy imbalance in the power grid caused by the disparity between power generation and energy consumption. This approach is a significant breakthrough in the effort to prevent energy imbalances by leveraging existing resources and promoting the use of eco-friendly technology, particularly in congested areas such as large cities and densely populated regions.
This paper is structured in a clear and organized manner, with several sections that describe the methodology and analysis process used to develop an optimization process for grid energy imbalances. The Section 1 outlines the methodological process that was adopted, while in the Section 2, this paper delves into a detailed description of the energy reservoir. The Section 3 analyzes the battery capacity, taking into account its various characteristics and operating conditions. After this, this paper moves on to a simulation methodology that was employed to estimate the capacity of energy balance that a fleet of electric vehicles has, with respect to power generation. The energy balance modeling is presented in the next section, where the capacity of the battery block is analyzed, and the entire fleet of electric vehicles is considered as a unit. Finally, this paper concludes with a simulation model that presents the results of the simulation for the proposed model.
We understand that this paper focuses on analyzing the energy balance in a V2G system. Although this idea is not new, this paper contributes significantly to the state of the art of this topic by developing a detailed and advanced methodological treatment. This study’s findings are expected to help grid managers in developing smarter energy distribution processes.
2. Methodology
The proposed method analyzes the ratio of energy consumption to constant power generation, taking into account the standards of modern society in developed countries. However, it can be adjusted to other values that correspond to developing countries or regions with a low human development index (HDI). It is worth noting that there is a strong correlation between HDI and energy use [52,53,54,55], which means that the scenario selected for the application of this methodology can significantly impact the results of this study [56,57].
Given the high cost of electric vehicles, it comes as no surprise that the level of adoption varies greatly across different countries [58,59,60,61]. To ensure the accuracy and reliability of our study, we elected to concentrate solely on well-established nations. This approach allows us to draw meaningful conclusions within a distinct framework.
Power generation was assumed to remain constant for a specific period; this assessment is based on the premise that the power plants are currently designed to operate at the optimum point for a specific power generation. If the amount of generated power increases or diminishes, the efficiency lowers; therefore, any change in the power generation delivery results in a lowering of the global efficiency [62].
With the rise of renewable energy power plants and local producers injecting energy into the grid, power generation may be constrained if a distributed generation (DG) system is included. This procedure which operates under power flow nonlinear constraints [63] is becoming a common practice nowadays, and it could change the concept of a rigid power generation structure based solely on conventional power plants. In fact, the increasing implementation of renewable energies in the power matrix of many countries, especially the developed ones, offers a variable portfolio of solutions to the energy imbalance. One such solution is the use of a variable power flow frequency to adapt the power generation to the energy demand [64], which is a very interesting alternative and can be applied to the present study if necessary.
According to the data in reference [65], the level of power generation was determined. The representative value was obtained by averaging the data from selected countries. For this study, the countries selected were Canada, France, Germany, Spain, and the United Kingdom. This selection was made as we focused on countries in Western Europe that have similar characteristics in terms of the human development index (HDI) [66,67,68,69]. Countries like China and the United States were excluded to avoid any distortion in the average representative value.
On the topic of energy generation, it is worth noting that there is a certain degree of variability involved due to human habits and modern living. Specifically, high levels of energy consumption during peak hours are often followed by a significant decline during valley hours, which can create an energy imbalance. To account for this, daily energy consumption was averaged across hundreds of different situations to create a standardized representation of modern society’s energy usage patterns. The selected cases used for this average were chosen to be relatively close in terms of energy consumption, in order to reduce distortion and minimize the standard deviation in the final calculation. Notably, cases from China and the United States were not included in these calculations (as shown in Figure 1).
Figure 1.
Daily energy balance for an arbitrary case.
Once you have determined the power generation level and the daily distribution profile of energy consumption, you can establish an hourly balance to determine the excess or lack of energy for the selected case, as shown in Figure 1.
We can see from the analysis of Figure 1 that there is a strong correlation between the energy balance and a second-order polynomial function as depicted in Figure 2. The function is represented by a polynomial equation of degree two.
Figure 2.
Correlation of the energy balance for the arbitrary case (solid line: energy balance data; dashed line: correlation).
We agree that based on the data presented in Figure 2, there appears to be a strong correlation with a coefficient of determination (R2) greater than 0.81.
The correlation between variables can indeed be a helpful tool in estimating the hourly and daily energy balance. By analyzing the relationship between different factors, such as energy intake and expenditure, we can gain insights into how to maintain a healthy balance and optimize our overall well-being.
To balance out the excess or shortage of energy that may arise from the energy balance process, a commonly used methodology involves the use of an energy reservoir that can act as a buffer. This reservoir can be any type of electric storage system, but lithium-ion secondary batteries were selected as the preferred choice.
The battery bank’s size is directly proportional to the amount of energy that needs to be compensated. To tackle this issue, we opted for a modular system that can be easily adjusted without disrupting the current operation of the battery bank or the grid. This system is the electric vehicle fleet, which boasts easy accessibility, the ability to exchange current during idle time, and a modular structure. Essentially, we can use more or fewer electric vehicle batteries based on our requirements through the corresponding wiring network (Figure 3).
Figure 3.
Schematic representation of the electric vehicle recharging network and the connection to the grid.
Figure 3 illustrates the electric vehicle recharging network and the various energy source options available, such as renewables or the grid. However, in our case, the grid is the only option, regardless of the energy source used for current supply. Depending on the amount of power or energy that needs to be exchanged between the grid and the EV network, one or more of the charging zones may be activated. Additionally, the activation of a zone does not necessarily mean that all recharging points are in use, only the ones that are required.
CS and OMS are two important acronyms in the field of electric vehicles. CS stands for Charging Station and OMS stands for Operation Management System. A Charging Station is a device that supplies electric energy for the recharging of electric vehicles. On the other hand, the Operation Management System is a software platform that is used to manage the Charging Stations and monitor their performance. Together, these two technologies play a crucial role in the development and growth of the electric vehicle industry.
3. Energy Reservoir
Lithium-ion batteries are known for their low self-discharge, high energy density, good rate of current exchange, and the ability to discharge up to 100% of their capacity [70,71]. This makes them a useful energy storage system to absorb excess energy when generation is higher than consumption or to deliver the required amount of energy when consumption is greater than generation [72,73,74,75].
It is interesting to note that there is a growing interest in the use of electric vehicle batteries for grid energy balance, also known as the vehicle-to-grid (V2G) system [76,77,78,79,80,81]. While there is still a need for a better network of recharging points, there are already several examples around the world of electric vehicle batteries being utilized for grid energy balance. It is possible that this could be a viable option for energy balance in the future [82,83,84].
To determine the energy balance on an hourly basis, we need to calculate the difference between the power generation and energy consumption during that hour (Equation (2)). This calculation can help us understand how much energy is being generated and used, and whether there is a surplus or deficit of energy. By monitoring the energy balance on an hourly basis, we can identify patterns and trends in energy usage and make adjustments to optimize efficiency and reduce waste.
where G is the energy associated with the power generation, and Q is the real energy consumption.
Since the grid operates at alternate current, 110 VAC for the American market and 220 VAC for the European one, and because the electric vehicle batteries use continuous current, an AC/DC converter is mandatory; the insertion of this device introduces an energy loss that depends on the efficiency of the AC/DC converter [85,86,87].
Although currently taken as a reference parameter, the efficiency of an AC/DC converter depends on the load factor, as stated in references [88,89,90,91,92]. Interestingly, the efficiency remains constant for a wide range of load factors, regardless of the operating voltage, as shown in Figure 4.
Figure 4.
Efficiency of an AC-DC converter with the load current.
It is interesting to note that the efficiency of the converter remains constant in the range of 0.5–3 A, representing a load factor of 17% to 100%. It is good to know that operating the AC-DC converter below 20% is not common, which helps maintain the converter’s efficiency within the operation range. Moreover, the observation that the converter’s efficiency increases with the operating voltage is also noteworthy.
Assuming we operate either in the American or European market, the operational voltage is 110 VAC or 230 VAC; therefore, the efficiency of the AC-DC converter, according to what is shown in Figure 4, is 87.5% or 92.5%. The efficiency value of the AC-DC converter is of great importance, since the energy transfer from the grid to the electric vehicles batteries is affected by this efficiency; the lower the efficiency, the greater the energy losses.
4. Battery Capacity
According to Equation (2) and factoring in the efficiency of the AC-DC converter, we can calculate the capacity of the battery block, taking into account the electric vehicle batteries as a single unit.
where ηcv represents the efficiency of the AC-DC converter and Vbat is the operational voltage of the electric vehicle battery.
The EV manufacturers have different operational voltage requirements. As a result, it is necessary to incorporate a voltage regulator between the AC-DC converter and the EV battery to adjust the electric vehicle battery voltage to a common standard. This voltage regulator also functions as a voltage stabilizer. A simplified illustration of the system’s configuration is shown in Figure 5.
Figure 5.
Simplified layout of the V2G system.
Due to the fact that the voltage regulator operates with an efficiency lower than 100%, it is necessary to reformulate Equation (3).
where ηreg is the efficiency of the voltage regulator unit.
Combining Equations (1), (2), and (4), we obtain
where coefficients a, b, and c depend on the energy balance distribution, which is specific for every case.
The battery capacity for electric vehicles is not a standardized value. It varies depending on the brand and model of the vehicle. Therefore, each vehicle’s battery capacity needs to be identified separately [93]. The industry has established standards based on the segment of the electric vehicle, such as utility vehicles, SUVs, high-range, and sports [94]. However, this classification does not apply to heavy-duty vehicles such as trucks and buses. The most common battery capacity used by car manufacturers for electric vehicles can be used as a reference value.
The battery block capacity of an electric vehicle fleet is determined not only by the capacity of individual batteries, but also by the number of electric vehicles in the fleet. Therefore, the global capacity can be expressed as a function of both variables.
where Ci is the capacity of every single battery and fi is the number of elements with the specific capacity Ci.
Battery capacity can be affected by the degradation that the battery suffers from use. The aging or degradation of a battery heavily depends on the type of use. Several studies have tried to model the degradation of the battery and understand how it affects the capacity [95,96]. However, for simplicity purposes, this study has not considered degradation. But, if the State of Health (SOH) of the battery is known or estimated from a model, the capacity of the battery can be expressed in a specific manner.
where Cag accounts for the degraded battery, and fSOH is the correction factor due to the aging or degradation of the battery that can be obtained from a model.
5. Simulation Methodology
A statistical approach was used to simulate an electric vehicle fleet based on a real-world situation. Table 1 was used to estimate the number of vehicles with a specific battery capacity, using a statistical portfolio method [97].
Table 1.
Reference value of battery capacity for electric vehicles.
The energy balance can vary depending on the situation. For our study, we specifically chose to focus on the cases that are most relevant to our research.
- (a)
- Null daily energy balance. This means that the power generation is equal to the energy consumption over the course of the day. There is no surplus energy available for use on an average daily basis.
- (b)
- Positive daily energy balance. This situation arises when the power generation exceeds the energy consumption. The surplus energy can be used to recharge the battery block partially or completely.
- (c)
- Negative daily energy balance. When the power generation is insufficient to meet the energy demands, there is a permanent energy deficit based on the average daily use.
In a null daily energy balance scenario, using a V2G system is not necessary for achieving a daily global compensation. In fact, it may have a negative impact on the balance due to energy losses associated with the charge/discharge battery efficiency during the current exchange. These energy losses result in a negative imbalance.
where the superscript ‘null’ accounts for the null daily energy balance case, and the minus sign indicates that the variation in energy balance is negative if the battery efficiency during the charge or discharge process is not identical.
Super-indexes dch and ch are used to account for discharge and charge processes in some context. Additionally, Equation (9) suggests that battery aging is not a factor over the entire cycle. If there were aging effects, it seems that they would need to be included, which would result in a negative energy balance as seen in Equation (10). Here, ηag represents the battery aging factor.
It is interesting to note that even in situations where there is a null daily energy balance, the use of a V2G system can have positive effects if applied appropriately. This is because even if energy generation matches demand during the day, there may still be a positive or negative imbalance that needs to be compensated for. The compensation mechanism typically involves either the use of a storage system or the variation in power generation. However, both of these options have their own drawbacks. For instance, the use of a storage system suffers from the same problems as that of a V2G system. On the other hand, varying power generation can lead to a loss of efficiency since power plants are designed to operate at optimum conditions for a constant output power, and any deviation from this can result in an energy loss associated with the lowering of power generation efficiency.
In terms of energy efficiency, it is important to compare the energy losses resulting from the reduction in efficiency in a power plant due to changes in output power with the energy losses associated with the use of a V2G system. The key factor is to determine which method results in lower energy losses and prioritize its use.
where Δηi is the reduction in efficiency in the power plant due to the variation in power generation.
Considering that the energy exchange between the battery and grid, Δξbat, and the sum of energy variation in the power plant over an entire day, ΣΔξg,i, are equal, we have
To simplify Equation (12) and determine whether the above ratio is greater or lower than one, we assumed a constant effective value of the power plant efficiency variation that maintains the product Δξg,i*Δηi over the whole day. Under this assumption, Equation (12) is transformed into a more manageable form.
Because battery efficiency and the aging factor are of high value, the two terms in the parenthesis are higher than one, so the ratio is lower than ¼, which means that the energy losses associated with the use of the V2G system represents less than 25% of the ones when the power generation changes to match energy demand; therefore, a V2G system is beneficial for the null daily energy balance case.
When there is a positive daily energy balance, the extra power generated can be utilized to charge electric vehicle batteries beyond the compensation level. This allows electric vehicles to operate on a V2G system with an additional ‘free’ energy source, resulting in improved performance and increased efficiency of the overall system. Mathematically speaking,
where Δξg,bat accounts for the excess power generation transferred to the electric vehicle battery block.
Equation (14) shows that the use of the V2G in a positive daily energy balance reduces the exchange of energy between the grid and the electric vehicle battery block, thus improving the performance of the global system.
The use of a V2G system in the negative daily energy balance case cannot compensate for the shortage of energy in a daily cycle unless the electric vehicle fleet suffers from a continuous decline in the state of charge of the batteries. This affects the operation of the electric vehicles, reducing progressively the autonomy and the service operation. Therefore, it is not feasible to obtain a full compensation but only a partial compensation in the energy exchange between the grid and the battery block.
Based on the analysis conducted, it was determined that the simulation method is designed to cater to three different scenarios. The first two cases assume that the energy imbalance can be fully compensated while the third scenario assumes that it can only be partially compensated. The method involves using a pre-defined value for power generation, which is determined using official data provided by grid management institutions [98,99,100,101]. This value is then averaged over the study sample period for different energy sources to avoid sudden variations caused by maintenance tasks [102], power plant breakdowns [103], or outages due to maintenance issues [104]. While the method has been applied to a smaller geographical zone, it can also be used for larger areas such as regions or countries.
6. Energy Balance Modeling
We have been following a daily cycle with two hourly zones: from 7 p.m. to 6 a.m. and from 6 a.m. to 7 p.m. During the first zone, there is excess power generation compared to energy demand, while during the second zone, energy demand exceeds power generation. It has been assumed that energy flows from the grid to the battery reservoir during the first zone and in the opposite direction during the second zone.
Based on the information provided, it seems that the power generation has been set at an average value of 4.025 GWh, which remains constant throughout the day. On the other hand, the energy demand seems to vary from a minimum of 3.1 GWh at 11 p.m. to a maximum of 4.75 GWh at midday [105]. It is worth noting that the energy demand includes all sectors of society, including residential, commercial, and industrial. If you are interested in seeing the hourly distribution of energy demand, you might want to take a look at Figure 6. Additionally, the energy balance of the simulation case is represented in Figure 1.
Figure 6.
Daily hourly distribution of energy demand for the simulation case.
7. Battery Block Capacity
Table 2 displays the common values of battery capacity utilized by various car manufacturers in their electric vehicles. These standardized values serve as a reference point to determine the battery block capacity.
Table 2.
Battery capacity of different Evs [106].
The batteries have been grouped according to five different segments, A to E, and the battery capacity has been averaged for the selected electric vehicle models; the resulting value of the averaging process is indicated in Table 3.
Table 3.
Average value of EV battery capacity for the simulation [106].
It is interesting to observe that the average values of the battery capacity utilized in the simulation and the ones presented in Table 1 seem to match with an accuracy of over 96%.
It is important to determine the percentage of vehicles in every energy capacity category in order to calculate the overall energy capacity of the electric automobile fleet, especially since multiple vehicles of each category are involved. Table 4 displays the estimated percentage distribution of these categories, which can vary depending on the social structure of the society used as a reference for the analysis. Any changes in the social structure would result in a corresponding adjustment to the percentage distribution.
Table 4.
Percentage distribution of batteries for the electric vehicle fleet [106].
8. Availability of Capacity Exchange
Depending on how electric vehicles are used, the amount of battery power available for energy exchange with the grid can vary. To simplify the situation and account for the diverse habits of electric vehicle owners, we have categorized them into three main groups based on their routines. These groups include those who commute daily from home to work and stay home during non-working hours, those who take a detour after work before returning home and stay home for the evening, and those who go out at night after work but do not take any detours on their way home. Table 5 outlines the availability time distribution proposed for the V2G system across these three groups and different working sectors.
Table 5.
Available hours for the electric vehicle battery.
We need to consider the percentage distribution of people based on the type of work they do, as it has an impact on the availability of energy exchange during the time an electric vehicle is parked. Table 6 displays the relevant distribution.
Table 6.
Percentage distribution of people related to the type of working.
9. Simulation Model
The simulation model takes into account several parameters, including the percentage of people associated with different types of work and daily habits, as well as the percentage distribution of battery capacities and electric vehicle fleet. These parameters are outlined in Table 3, Table 4 and Table 5. A flowchart of the simulation is shown in Figure 7.
Figure 7.
Flowchart of the simulation process.
The simulation is developed for different numbers of electric vehicles corresponding to a variable population, and different percentages of electric vehicles over the entire vehicle fleet. The results of the simulation can be seen in Figure 8, Figure 9, Figure 10 and Figure 11, and the simulation process is carried out for a large population of about 55 million people. Additionally, to make it easier to comprehend the simulation process, a flowchart that defines the followed protocol is presented.
Figure 8.
Available energy and energy gap for high ratio of electric vehicle fleet.
Figure 9.
Available energy and energy gap for low ratio of electric vehicle fleet.
Figure 10.
Available energy and energy gap for medium ratio of electric vehicle fleet.
Figure 11.
Available energy and energy gap for medium–high ratio of electric vehicle fleet.
The flowchart is designed to calculate the energy imbalance in scenarios where there is either an excess or a shortfall of power generation in comparison to energy demand. The calculation involves comparing the energy imbalance with the capacity of the battery block that is supplied by the electric vehicle fleet. If the result is positive, then the system deducts the required energy from the balance to recharge the battery block. However, if the result is negative, the balance remains unchanged.
In this scenario, the program goes through a loop that asks the user whether the result of the energy imbalance is positive or negative. If the result is positive, the program adjusts the number of electric vehicles accordingly and recalculates the energy imbalance. However, if the result is negative, the program calculates the global imbalance by adding the two partial imbalances from the positive and negative hourly energy balance. Then, the program compares the global imbalance with the previous step of the loop. If the comparison result is positive, the number of electric vehicles is changed, and the loop continues. If the comparison result is negative, the program ends, and the number of vehicles is considered optimal, minimizing the global imbalance.
9.1. Simulation 1: High Ratio of Electric Vehicle Fleet
Figure 8 shows some interesting results of the simulation that was conducted on a large population with a high proportion of electric vehicles in the entire fleet. They used a total of 464,000 batteries for the simulation, which corresponds to an electric vehicle ratio of 1:3 and a vehicle-to-people ratio of 1:4.
The simulation revealed that there are two distinct situations that occur during the day and night periods. During the daytime, from 6 a.m. to 8 p.m., the energy gap between power generation and demand is fully compensated by the battery block of the electric vehicle fleet. However, during the night period from 8 p.m. to 6 a.m., there is an excess of available energy from the batteries, which indicates that the number of batteries is oversized for the given scenario.
9.2. Simulation 2: Low Ratio of Electric Vehicle Fleet
Simulation number 2 seems to maintain the same number of people as well as the vehicle-to-people ratio, but the electric vehicle ratio is reduced to only 7% instead of the 33% as in the previous simulation. The results of this new simulation are presented in Figure 9. After analyzing the results, it can be concluded that the number of batteries is selected correctly as the available energy and the gap match at all times during the night. However, during the daytime, the energy imbalance is not compensated, which could be a result of the reduction in the number of batteries.
9.3. Simulation 3: Medium Ratio of Electric Vehicle Fleet
Since the high ratio of the electric vehicle fleet requires an oversized number of batteries to compensate the energy imbalance during daytime, and the low ratio provokes an under-compensation effect of the energy imbalance when the battery block is correctly sized, we try with an intermediate configuration by adopting a medium ratio of the electric vehicle fleet. In this case (Figure 10), there is no hourly compensation during daytime, with hourly intervals where there is an excess of power generation, while in other case, the opposite situation occurs with a negative imbalance. Although the global balance over the daytime period results in a null value, the available energy from the battery block does not compensate for the positive or negative energy imbalance, which indicates that the battery block is undersized because the available energy from the batteries is always below the energy balance, be it positive or negative.
During nighttime, the situation is quite similar with the available energy from the battery block below the energy gap, thus indicating that the number of batteries is undersized.
9.4. Simulation 4: Medium–High Ratio of Electric Vehicle Fleet
A second approach to the optimum configuration is carried out by considering an intermediate value of the number of batteries between the medium and high ratio of the electric vehicle fleet. The results of this last simulation are presented in Figure 11.
Analyzing the results of the simulation, we observe that the energy gap and the available energy from batteries match for all hours during nighttime as in the case of the simulation for a high ratio of the electric vehicle fleet. On the other hand, during daytime, the energy gap is lower than the available energy from batteries, which indicates that the number of batteries is oversized; however, although positive, the difference between the gap and the available energy is lower than in the case of a high ratio, a sign that the new configuration optimizes the number of batteries as far as the energy balance is concerned.
9.5. Additional Simulations
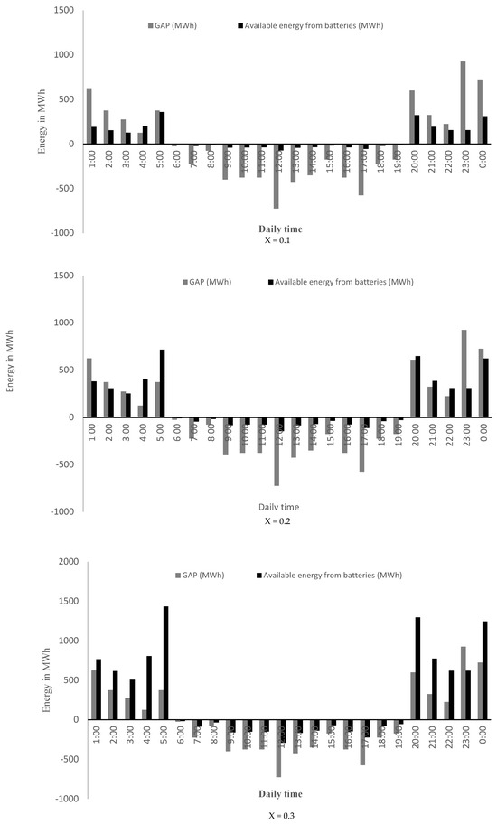
To optimize the configuration of the battery block system, we use the intermediate values of the ratio of the electric vehicle fleet between the high and medium ratio; the new value of the ratio is given by
where rm and rh are the ratios of the electric vehicle fleet for the medium and high values, and x is the fraction of the simulation, which varies in 0.1 steps (Figure 12).



Figure 12.
Simulation of the daily evolution of the energy balance for different ratios of the electric vehicle fleet.
The simulations reveal some interesting findings about the energy balance during the daytime and nighttime periods. The analysis shows that the energy balance during the daytime period (7 a.m. to 7 p.m.) improves with the ratio factor, r, and the optimum situation is when r = 1.0. However, during nighttime (7 p.m. to 7 a.m.), the available energy from the batteries separates from the energy balance gap as the ratio factor increases. This means that the electric vehicle fleet is more and more oversized. Therefore, the optimum configuration should be an intermediate configuration where the overall daily minimum difference between the available energy from the batteries and the energy balance gap occurs.
The evolution of the difference between the energy balance gap and the available energy from the batteries for the daytime, nighttime, and overall day period can be represented in a graph (Figure 13). Analyzing the different cases, it is clear that the optimum configuration corresponds to a ratio of r = 0.34.
Figure 13.
Evolution of the global energy balance simulation for daytime, nighttime, and overall day for different values of the electric vehicle fleet ratio.
The obtained r-value shows that it is not possible to cover up all energy balance requirements, since the electric vehicles require energy to move; if we try to cover the energy imbalance during daytime, the number of electric vehicles is oversized as reflected by the simulation case for r = 1.0. On the contrary, if we try to match the available energy from batteries and the energy imbalance (gap) during nighttime, the energy imbalance during daytime increases, as can be seen for the simulation case of r = 0.2. The intermediate value of r = 0.34 provides an optimum solution where there is no null energy balance during daytime nor nighttime, but results in the best overall daily value.
10. Statistical Analysis
To determine the accuracy of the simulations, we conduct a statistical analysis for each one. This analysis calculates the confidence interval, which is a crucial parameter for evaluating the reliability of the simulation results in relation to the input data. The confidence intervals for the tested simulations are presented in Table 7.
Table 7.
Confidence interval for the tested simulations (99% accuracy).
We realize that the maximum and minimum confidence interval and the standard deviation value lower with the vehicle fleet ratio. The standard deviation remains within an acceptable range with a maximum of 7.1% and a minimum of 2.2%. These results prove the validity of the findings, considering they are calculated for a 99% accuracy.
Repeating the procedure for the battery energy supply, we obtain Table 8:
Table 8.
Confidence interval for the tested simulations (95% accuracy).
We observe that the maximum and minimum confidence interval and standard deviation value follow the same pattern, lowering with the vehicle fleet ratio. The standard deviation is slightly higher than in the case of power generation, especially for high vehicle fleet ratios, which exceeds 10%; however, the value remains below 7% for the rest of the cases.
To develop a sensitive analysis, it is common to consider accuracy as the system variable, provided that the reference data, power generation, and energy demand remain constant for every simulation. By applying a reduction in accuracy from 99% to 95%, the resulting data are presented in Table 9.
Table 9.
Sensitive index for the tested simulations (95% to 99% accuracy).
The sensitivity and confidence interval operate in opposite ways, which makes sense given that the energy gap becomes less sensitive as the average energy gap decreases. It is important to consider the relationship between these variables when analyzing energy gap data.
11. State of the Art
In this study, the authors have presented a new method for addressing the imbalance between power generation and energy demand. The proposed methodology has the capability to be applied to a wide range of vehicle fleets, making it a significant contribution to the state of the art. Additionally, the method provides a high segmentation capacity, which means that it can be used to split a high grid energy gap configuration into smaller energy gaps, mimicking the real-world situation of a distributed generation or inhomogeneous distribution of energy gaps.
The authors have used mathematical treatment in their approach, allowing the user to apply the methodology to segmented configurations of large grid energy gap areas, with individual solutions for smaller sections. This optimization of individual energy imbalances for every section may help to eliminate some existing limitations in the V2G (vehicle-to-grid) application to grid energy imbalances.
Furthermore, the proposed methodology can be standardized, which represents an advance to the standardization of the V2G methodology for solving grid energy imbalances. The segmentation capacity of the method also makes it applicable to very small grid energy imbalances, which reduces the size of the electric vehicle fleet and the battery block size. This enables researchers to configure an electric vehicle group of homogeneous battery characteristics, analyzing the effects of the V2G on the battery behavior and its degradation with the cycling energy exchange to the grid.
12. Economic Overview
Implementing a new system can be quite costly, especially when it comes to building an electric connecting network. This network requires a lot of wiring to transport current back and forth from the grid to the vehicle fleet, which requires a sophisticated control system to manage the current flow. However, the cost of this network is not comparable to the investment in energy storage units. There are two solutions when it comes to energy storage distribution: low numbers of large storage centers with large capacities or a high number of smaller storage units with low capacities.
Large storage centers reduce the cost per stored energy unit, but they force the energy to cover large distances to reach all areas, especially the most distant ones. This configuration increases energy losses and the cost of the supplied energy. Low-capacity storage units are suitable for spreading distribution, which reduces the transportation distance but increases the cost per stored energy unit.
Developing a complete economic analysis is complicated, as it depends on the V2G configuration, the covered area, the global energy balance, the alternative storage system type, the electric grid geographical distribution, the vehicle fleet, and more. Storage centers may be replaced by redistributing the energy excess, carrying the energy from places where generation exceeds consumption to those with energy shortage. Although it may look like a simple and economical solution, the energy losses due to transportation represent a higher cost than building a V2G network, especially if the energy imbalance is large.
13. Conclusions
A study has been conducted and simulated to analyze the energy balance between power generation and energy demand for a daily cycle. This study focuses on a standard scenario where there is a lack of power generation during the day and an excess during the night, resulting in a null value of global energy balance for the overall daily period. To compensate for this energy imbalance, a V2G system has been proposed, where the batteries of electric vehicles act as an energy damping system.
The simulation takes into account a variable ratio of electric vehicles in the fleet, ranging from a minimum of 10% to a maximum of 100%. The simulation results show that it is not practical to compensate for the energy imbalance for a daily cycle unless electric vehicles are stopped throughout the day. However, the simulation has also revealed that an optimum configuration exists, where the overall daily energy imbalance is minimized, and this corresponds to a ratio of 0.34, meaning that 34% of the vehicle fleet must be electric.
According to the simulation results, the energy imbalance for the optimum configuration represents only 1.13% of the global energy exchange of the V2G system, indicating the feasibility of adopting the V2G system as a damping system for the daily energy balance. The simulation is based on the average values of power generation and energy demand for large- and medium-size populations, ranging from 0.6 to 5.5 million people.
This study represents the first step towards modeling the energy balance using a V2G system, and further work will be devoted to validating the process in real cases. The findings of this research could help researchers advance the solution of grid energy imbalances by applying new techniques to small segmented grid areas with variable electric vehicle fleets of homogeneous distributions of battery characteristics. In addition, policymakers and stakeholders can adopt technical solutions for specific grid energy imbalances like distributed generation areas or segmenting large grid zones into smaller sections where specific solutions apply.
Author Contributions
Conceptualization, C.A.-D.; Methodology, C.A.-D. and L.D.; Software, L.D.; Validation, C.A.-D.; Formal Analysis, C.A.-D.; Investigation, L.D.; Data Curation, L.D.; Writing—Original Draft Preparation, L.D.; Writing—Review and Editing, C.A.-D.; Supervision, C.A.-D. All authors have read and agreed to the published version of the manuscript.
Funding
This research received no external funding.
Data Availability Statement
Data are available from corresponding author on request.
Conflicts of Interest
The authors declare no conflicts of interest.
Abbreviations
| CS | Charging Station |
| DG | Distributed Generation |
| EV | Electric Vehicle |
| HDI | Human Development Index |
| OMS | Operation Management System |
| SG | Smart Grid |
| SOH | State Of Health |
| V2G | Vehicle to Grid |
| VAC | Alternate Current Voltage |
| VRE | Variable Renewable Energy Sources |
References
- Kamper, A.; Eßer, A. Strategies for decentralised balancing power. In Biologically-Inspired Optimisation Methods; Springer: Berlin/Heidelberg, Germany, 2009; pp. 261–289. [Google Scholar]
- Hirth, L.; Ziegenhagen, I. Balancing power and variable renewables: Three links. Renew. Sustain. Energy Rev. 2015, 50, 1035–1051. [Google Scholar] [CrossRef]
- Stadler, I. Power grid balancing of energy systems with high renewable energy penetration by demand response. Util. Policy 2008, 16, 90–98. [Google Scholar] [CrossRef]
- Soini, V. Wind power intermittency and the balancing power market: Evidence from Denmark. Energy Econ. 2021, 100, 105381. [Google Scholar] [CrossRef]
- Zsiborács, H.; Pintér, G.; Vincze, A.; Birkner, Z.; Baranyai, N.H. Grid balancing challenges illustrated by two European examples: Interactions of electric grids, photovoltaic power generation, energy storage and power generation forecasting. Energy Rep. 2021, 7, 3805–3818. [Google Scholar] [CrossRef]
- Liu, Z.; Lin, M.; Wierman, A.; Low, S.H.; Andrew, L.L. Geographical load balancing with renewables. ACM SIGMETRICS Perform. Eval. Rev. 2011, 39, 62–66. [Google Scholar] [CrossRef]
- Panos, E.; Kannan, R. The role of domestic biomass in electricity, heat and grid balancing markets in Switzerland. Energy 2016, 112, 1120–1138. [Google Scholar] [CrossRef]
- Mueller, S.; Tuth, R.; Fischer, D.; Wille-Haussmann, B.; Wittwer, C. Balancing Fluctuating Renewable Energy Generation Using Cogeneration and Heat Pump Systems. Energy Technol. 2014, 2, 83–89. [Google Scholar] [CrossRef]
- Shahmohamadi, P.; Che-Ani, A.I.; Maulud, K.N.A.; Tawil, N.M.; Abdullah, N.A.G. The Impact of Anthropogenic Heat on Formation of Urban Heat Island and Energy Consumption Balance. Urban Stud. Res. 2011, 2011, 497524. [Google Scholar] [CrossRef]
- Shahmohamadi, P.; Che-Ani, A.I.; Ramly, A.; Maulud, K.N.A.; Mohd-Nor, M.F.I. Reducing urban heat island effects: A systematic review to achieve energy consumption balance. Int. J. Phys. Sci. 2010, 5, 626–636. [Google Scholar]
- Gils, H.C. Balancing of intermittent renewable power generation by demand response and thermal energy storage. Available online: https://elib.uni-stuttgart.de/handle/11682/6905 (accessed on 23 November 2022).
- Ikegami, T.; Iwafune, Y.; Ogimoto, K. Optimum operation scheduling model of domestic electric appliances for balancing power supply and demand. In Proceedings of the 2010 International Conference on Power System Technology, Hangzhou, China, 24–28 October 2010; IEEE: New York, NY, USA, 2015; pp. 1–8. [Google Scholar]
- Mudakkar, S.R.; Zaman, K.; Shakir, H.; Arif, M.; Naseem, I.; Naz, L. Determinants of energy consumption function in SAARC countries: Balancing the odds. Renew. Sustain. Energy Rev. 2013, 28, 566–574. [Google Scholar] [CrossRef]
- Olk, C.; Sauer, D.U.; Merten, M. Bidding strategy for a battery storage in the German secondary balancing power market. J. Energy Storage 2019, 21, 787–800. [Google Scholar] [CrossRef]
- Yu, R.; Zhong, W.; Xie, S.; Yuen, C.; Gjessing, S.; Zhang, Y. Balancing power demand through EV mobility in Vehicle-to-Grid mobile energy networks. IEEE Trans. Ind. Informatics 2015, 12, 79–90. [Google Scholar] [CrossRef]
- Ikegami, T.; Ogimoto, K.; Yano, H.; Kudo, K.; Iguchi, H. Balancing power supply-demand by controlled charging of numerous electric vehicles. In Proceedings of the 2012 IEEE International Electric Vehicle Conference (IEVC), Greenville, SC, USA, 4–8 March 2012; IEEE: New York, NY, USA, 2012; pp. 1–8. [Google Scholar]
- Huang, C.-J.; Liu, A.-F.; Hu, K.-W.; Chen, L.-C.; Huang, Y.-K. A load-balancing power scheduling system for virtual power plant considering emission reduction and charging demand of moving electric vehicles. Meas. Control 2019, 52, 687–701. [Google Scholar] [CrossRef]
- Druitt, J.; Früh, W.-G. Simulation of demand management and grid balancing with electric vehicles. J. Power Sources 2012, 216, 104–116. [Google Scholar] [CrossRef]
- Kahlen, M.; Ketter, W.; van, J.D. BALANCING WITH ELECTRIC VEHICLES: A PROFITABLE BUSINESS MODEL. In Proceedings of the European Conference on Information Systems (ECIS) 2014, Tel Aviv, Israel, 9–11 June 2014; ISBN 978-0-9915567-0-0. Available online: http://aisel.aisnet.org/ecis2014/proceedings/track22/11 (accessed on 11 December 2022).
- Kahlen, M.T.; Ketter, W.; van Dalen, J. Electric Vehicle Virtual Power Plant Dilemma: Grid Balancing versus Customer Mobility. Prod. Oper. Manag. 2018, 27, 2054–2070. [Google Scholar] [CrossRef]
- Habib, S.; Kamran, M.; Rashid, U. Impact analysis of vehicle-to-grid technology and charging strategies of electric vehicles on distribution networks—A review. J. Power Sources 2015, 277, 205–214. [Google Scholar] [CrossRef]
- Rizvi, S.A.A.; Xin, A.; Masood, A.; Iqbal, S.; Jan, M.U.; Rehman, H. Electric vehicles and their impacts on integration into power grid: A review. In Proceedings of the 2018 2nd IEEE Conference on Energy Internet and Energy System Integration (EI2), Beijing, China, 20–22 October 2018; IEEE: New York, NY, USA, 2018; pp. 1–6. [Google Scholar]
- Nunes, P.; Brito, M. Displacing natural gas with electric vehicles for grid stabilization. Energy 2017, 141, 87–96. [Google Scholar] [CrossRef]
- Tuffner, F.K.; Kintner-Meyer, M.C. Using Electric Vehicles to Meet Balancing Requirements Associated with Wind Power (No. PNNL-20501); Pacific Northwest National Lab.(PNNL): Richland, WA, USA, 2011. [Google Scholar]
- Galus, M.D.; Vayá, M.G.; Krause, T.; Andersson, G. The role of electric vehicles in smart grids. In Advances in Energy Systems: The Large-Scale Renewable Energy Integration Challenge; Wiley: Hoboken, NJ, USA, 2019; pp. 245–264. [Google Scholar] [CrossRef]
- Rigas, E.S.; Ramchurn, S.D.; Bassiliades, N. Managing Electric Vehicles in the Smart Grid Using Artificial Intelligence: A Survey. IEEE Trans. Intell. Transp. Syst. 2014, 16, 1619–1635. [Google Scholar] [CrossRef]
- Morais, H.; Sousa, T.; Vale, Z.; Faria, P. Evaluation of the electric vehicle impact in the power demand curve in a smart grid environment. Energy Convers. Manag. 2014, 82, 268–282. [Google Scholar] [CrossRef]
- Gruosso, G.; Ruiz, F.O. Electric Vehicle Fleets as Balancing Instrument in Micro-Grids. Energies 2021, 14, 7616. [Google Scholar] [CrossRef]
- Gallardo Martínez, A. Análisis de Riesgos y Beneficios en la Utilización de la Tecnología V2G en Generación Distribuida. Trabajo Fin de Grado en Ingeniería de las Tecnologías Industriales. Escuela Técnica Superior de Ingeniería Industrial; Universidad Politécnica de Cartagena: Cartagena, Spain, 2020. [Google Scholar]
- Yilmaz, M.; Krein, P.T. Review of benefits and challenges of vehicle-to-grid technology. In Proceedings of the 2012 IEEE Energy Conversion Congress and Exposition (ECCE), Raleigh, NC, USA, 15–20 September 2012; IEEE: New York, NY, USA, 2012; pp. 3082–3089. [Google Scholar]
- Gschwendtner, C.; Sinsel, S.R.; Stephan, A. Vehicle-to-X (V2X) implementation: An overview of predominate trial configurations and technical, social and regulatory challenges. Renew. Sustain. Energy Rev. 2021, 145, 110977. [Google Scholar] [CrossRef]
- Hutton, M.; Hutton, T. Legal and regulatory impediments to vehicle-to-grid aggregation. Wm. Mary Envtl. L. Pol’y Rev. 2011, 36, 337. [Google Scholar]
- Ustun, T.S.; Ozansoy, C.R.; Zayegh, A. Implementing Vehicle-to-Grid (V2G) Technology with IEC 61850-7-420. IEEE Trans. Smart Grid 2013, 4, 1180–1187. [Google Scholar] [CrossRef]
- Chen, B.; Hardy, K.S.; Harper, J.D.; Bohn, T.P.; Dobrzynski, D.S. Towards standardized vehicle grid integration: Current status, challenges, and next steps. In Proceedings of the 2015 IEEE Transportation Electrification Conference and Expo (ITEC), Dearborn, MI, USA, 14–17 June 2015; IEEE: New York, NY, USA, 2015; pp. 1–6. [Google Scholar]
- Elf, J.; Svensson, L. Standardization in Sustainability Transitions: A study on Stakeholder Attitudes and Power Relations during the Standardization Process in the Vehicle-to-Grid Ecosystem. 2019. Available online: https://www.diva-portal.org/smash/record.jsf?pid=diva2%3A1372720&dswid=8540 (accessed on 10 January 2024).
- Wang, D.; Coignard, J.; Zeng, T.; Zhang, C.; Saxena, S. Quantifying electric vehicle battery degradation from driving vs. vehicle-to-grid services. J. Power Sources 2016, 332, 193–203. [Google Scholar] [CrossRef]
- Hill, D.M.; Agarwal, A.S.; Ayello, F. Fleet operator risks for using fleets for V2G regulation. Energy Policy 2012, 41, 221–231. [Google Scholar] [CrossRef]
- Sortomme, E.; El-Sharkawi, M.A. Optimal Combined Bidding of Vehicle-to-Grid Ancillary Services. IEEE Trans. Smart Grid 2011, 3, 70–79. [Google Scholar] [CrossRef]
- Hashemi-Dezaki, H.; Hamzeh, M.; Askarian-Abyaneh, H.; Haeri-Khiavi, H. Risk management of smart grids based on managed charging of PHEVs and vehicle-to-grid strategy using Monte Carlo simulation. Energy Convers. Manag. 2015, 100, 262–276. [Google Scholar] [CrossRef]
- Liang, Y.; Wang, Z.; Ben Abdallah, A. V2GNet: Robust Blockchain-Based Energy Trading Method and Implementation in Vehicle-to-Grid Network. IEEE Access 2022, 10, 131442–131455. [Google Scholar] [CrossRef]
- Al-Awami, A.T.; Sortomme, E. Coordinating Vehicle-to-Grid Services with Energy Trading. IEEE Trans. Smart Grid 2011, 3, 453–462. [Google Scholar] [CrossRef]
- Novak, A.; Ivanov, A. Network Security Vulnerabilities in Smart Vehicle-to-Grid Systems Identifying Threats and Proposing Robust Countermeasures. J. Artif. Intell. Mach. Learn. Manag. 2023, 7, 48–80. [Google Scholar]
- Noel, L.; Zarazua de Rubens, G.; Kester, J.; Sovacool, B.K.; Noel, L.; Zarazua de Rubens, G.; Sovacool, B.K. The technical challenges to V2G. In Vehicle-to-Grid; Springer: Berlin/Heidelberg, Germany, 2019; pp. 65–89. [Google Scholar]
- Sufyan, M.; Rahim, N.; Muhammad, M.; Tan, C.; Raihan, S.; Bakar, A. Charge coordination and battery lifecycle analysis of electric vehicles with V2G implementation. Electr. Power Syst. Res. 2020, 184, 106307. [Google Scholar] [CrossRef]
- Adnan, N.; Md Nordin, S.; Althawadi, O.M. Barriers towards widespread adoption of V2G technology in smart grid environment: From laboratories to commercialization. In Sustainable Interdependent Networks; Springer: Berlin/Heidelberg, Germany, 2018; pp. 121–134. [Google Scholar]
- Ghosh, D.P.; Thomas, R.J.; Wicker, S.B. A privacy-aware design for the vehicle-to-grid framework. In Proceedings of the 2013 46th Hawaii International Conference on System Sciences, Wailea, HI, USA, 7–10 January 2013; IEEE: New York, NY, USA, 2013; pp. 2283–2291. [Google Scholar]
- Han, W.; Xiao, Y. Privacy preservation for V2G networks in smart grid: A survey. Comput. Commun. 2016, 91, 17–28. [Google Scholar] [CrossRef]
- Nouri, A.; Lachheb, A.; El Amraoui, L. Optimizing efficiency of Vehicle-to-Grid system with intelligent management and ANN-PSO algorithm for battery electric vehicles. Electr. Power Syst. Res. 2024, 226, 109936. [Google Scholar] [CrossRef]
- Corinaldesi, C.; Lettner, G.; Schwabeneder, D.; Ajanovic, A.; Auer, H. Impact of Different Charging Strategies for Electric Vehicles in an Austrian Office Site. Energies 2020, 13, 5858. [Google Scholar] [CrossRef]
- Li, S.; Gu, C.; Zeng, X.; Zhao, P.; Pei, X.; Cheng, S. Vehicle-to-grid management for multi-time scale grid power balancing. Energy 2021, 234, 121201. [Google Scholar] [CrossRef]
- Boglou, V.; Karavas, C.-S.; Karlis, A.; Arvanitis, K.G.; Palaiologou, I. An Optimal Distributed RES Sizing Strategy in Hybrid Low Voltage Networks Focused on EVs’ Integration. IEEE Access 2023, 11, 16250–16270. [Google Scholar] [CrossRef]
- Yumashev, A.; Ślusarczyk, B.; Kondrashev, S.; Mikhaylov, A. Global Indicators of Sustainable Development: Evaluation of the Influence of the Human Development Index on Consumption and Quality of Energy. Energies 2020, 13, 2768. [Google Scholar] [CrossRef]
- Jain, M.; Nagpal, A. Relationship Between Environmental Sustainability and Human Development Index: A Case of Selected South Asian Nations. Vision J. Bus. Perspect. 2019, 23, 125–133. [Google Scholar] [CrossRef]
- Korsakienė, R.; Breivytė, I.; Wamboye, E. Sustainable development and human development index. J. Secur. Sustain. Issues 2011, 1, 103–112. [Google Scholar] [CrossRef] [PubMed]
- Neumayer, E. The human development index and sustainability—A constructive proposal. Ecol. Econ. 2001, 39, 101–114. [Google Scholar] [CrossRef]
- Papadaskalopoulos, D.; Strbac, G.; Mancarella, P.; Aunedi, M.; Stanojevic, V. Decentralized Participation of Flexible Demand in Electricity Markets—Part II: Application with Electric Vehicles and Heat Pump Systems. IEEE Trans. Power Syst. 2013, 28, 3667–3674. [Google Scholar] [CrossRef]
- Chakir, A.; Abid, M.; Tabaa, M.; Hachimi, H. Demand-side management strategy in a smart home using electric vehicle and hybrid renewable energy system. Energy Rep. 2022, 8, 383–393. [Google Scholar] [CrossRef]
- Mali, B.; Shrestha, A.; Chapagain, A.; Bishwokarma, R.; Kumar, P.; Gonzalez-Longatt, F. Challenges in the penetration of electric vehicles in developing countries with a focus on Nepal. Renew. Energy Focus 2021, 40, 1–12. [Google Scholar] [CrossRef]
- Goel, S.; Sharma, R.; Rathore, A.K. A review on barrier and challenges of electric vehicle in India and vehicle to grid optimisation. Transp. Eng. 2021, 4, 100057. [Google Scholar] [CrossRef]
- Dik, A.; Omer, S.; Boukhanouf, R. Electric Vehicles: V2G for Rapid, Safe, and Green EV Penetration. Energies 2022, 15, 803. [Google Scholar] [CrossRef]
- Meszaros, F.; Shatanawi, M.; Ogunkunbi, G.A. Challenges of the Electric Vehicle Markets in Emerging Economies. Period. Polytech. Transp. Eng. 2020, 49, 93–101. [Google Scholar] [CrossRef]
- Available online: https://www.researchgate.net/profile/P_Pardalos/publication/224598439/figure/download/fig1/AS:669029337423885@1536520432890/Efficiency-curve-of-a-power-plant-over-the-continuum-of-operation-and-with-respect-to-the.png (accessed on 27 December 2022).
- Scarabaggio, P.; Carli, R.; Dotoli, M. Noncooperative Equilibrium-Seeking in Distributed Energy Systems under AC Power Flow Nonlinear Constraints. IEEE Trans. Control. Netw. Syst. 2022, 9, 1731–1742. [Google Scholar] [CrossRef]
- Yao, M.; Molzahn, D.K.; Mathieu, J.L. An Optimal Power-Flow Approach to Improve Power System Voltage Stability Using Demand Response. IEEE Trans. Control. Netw. Syst. 2019, 6, 1015–1025. [Google Scholar] [CrossRef]
- Human Development Index. Available online: https://en.wikipedia.org/wiki/Human_Development_Index (accessed on 15 March 2023).
- Human Development Reports. United Nations Development Programme. Available online: https://hdr.undp.org/data-center/human-development-index#/indicies/HDI (accessed on 20 September 2023).
- Human Development Index. World Trends in Freedom of Expression and Media Development. UNESCO. Available online: https://www.unesco.org/en/world-media-trends/human-development-index-hdi (accessed on 20 September 2023).
- Max Roser (2014)—“Human Development Index (HDI)”. Published online at OurWorldInData.org. Available online: https://ourworldindata.org/human-development-index (accessed on 20 September 2023).
- Manthiram, A. An outlook on lithium ion battery technology. ACS Cent. Sci. 2017, 3, 1063–1069. [Google Scholar] [CrossRef]
- dos Reis, G.; Strange, C.; Yadav, M.; Li, S. Lithium-ion battery data and where to find it. Energy AI 2021, 5, 100081. [Google Scholar] [CrossRef]
- Bibak, B.; Tekiner-Moğulkoç, H. A comprehensive analysis of Vehicle to Grid (V2G) systems and scholarly literature on the application of such systems. Renew. Energy Focus 2020, 36, 1–20. [Google Scholar] [CrossRef]
- Shariff, S.M.; Iqbal, D.; Alam, M.S.; Ahmad, F. A State of the Art Review of Electric Vehicle to Grid (V2G) technology. IOP Conf. Series Mater. Sci. Eng. 2019, 561, 012103. [Google Scholar] [CrossRef]
- Mendes, P.R.; Isorna, L.V.; Bordons, C.; Normey-Rico, J.E. Energy management of an experimental microgrid coupled to a V2G system. J. Power Sources 2016, 327, 702–713. [Google Scholar] [CrossRef]
- Turton, H.; Moura, F. Vehicle-to-grid systems for sustainable development: An integrated energy analysis. Technol. Forecast. Soc. Chang. 2008, 75, 1091–1108. [Google Scholar] [CrossRef]
- Zhou, Z.; Sun, C.; Shi, R.; Chang, Z.; Zhou, S.; Li, Y. Robust Energy Scheduling in Vehicle-to-Grid Networks. IEEE Netw. 2017, 31, 30–37. [Google Scholar] [CrossRef]
- Musio, M.; Lombardi, P.; Damiano, A. Vehicles to grid (V2G) concept applied to a Virtual Power Plant structure. In Proceedings of the 2010 XIX International Conference on Electrical Machines (ICEM), Rome, Italy, 6–8 September 2010; IEEE: New York, NY, USA, 2010; pp. 1–6. [Google Scholar]
- Xiao, H.; Yuan, H.; Chen, W.; Li, H. A survey of influence of electrics vehicle charging on power grid. In Proceedings of the 2014 9th IEEE Conference on Industrial Electronics and Applications, Hangzhou, China, 9–11 June 2014; IEEE: New York, NY, USA, 2014; pp. 121–126. [Google Scholar]
- Tan, K.M.; Ramachandaramurthy, V.K.; Yong, J.Y. Integration of electric vehicles in smart grid: A review on vehicle to grid technologies and optimization techniques. Renew. Sustain. Energy Rev. 2016, 53, 720–732. [Google Scholar] [CrossRef]
- Mwasilu, F.; Justo, J.J.; Kim, E.-K.; Do, T.D.; Jung, J.-W. Electric vehicles and smart grid interaction: A review on vehicle to grid and renewable energy sources integration. Renew. Sustain. Energy Rev. 2014, 34, 501–516. [Google Scholar] [CrossRef]
- Chtioui, H.; Boukettaya, G. Vehicle-to-Grid Management Strategy for Smart Grid Power Regulation. In Proceedings of the 2020 6th IEEE International Energy Conference (ENERGYCon), Tunis, Tunisia, 28 September–1 October 2020; IEEE: New York, NY, USA, 2020; pp. 988–993. [Google Scholar]
- Pillai, J.R.; Bak-Jensen, B. Integration of Vehicle-to-Grid in the Western Danish Power System. IEEE Trans. Sustain. Energy 2010, 2, 12–19. [Google Scholar] [CrossRef]
- Huda, M.; Koji, T.; Aziz, M. Techno Economic Analysis of Vehicle to Grid (V2G) Integration as Distributed Energy Resources in Indonesia Power System. Energies 2020, 13, 1162. [Google Scholar] [CrossRef]
- Hodge, B.M.S.; Huang, S.; Shukla, A.; Pekny, J.F.; Reklaitis, G.V. The effects of vehicle-to-grid systems on wind power integration in California. In Computer Aided Chemical Engineering; Elsevier: Amsterdam, The Netherlands, 2010; Volume 28, pp. 1039–1044. [Google Scholar]
- Bellar, M.D.; Wu, T.; Tchamdjou, A.; Mahdavi, J.; Ehsani, M. A review of soft-switched DC-AC converters. IEEE Trans. Ind. Appl. 1998, 34, 847–860. [Google Scholar] [CrossRef]
- Ertan, H.B.; Doğru, E.; Yilmaz, A. Comparison of efficiency of two dc-to-ac converters for grid connected solar applications. In Proceedings of the 2012 13th International Conference on Optimization of Electrical and Electronic Equipment (OPTIM), Brasov, Romania, 24–26 May 2012; IEEE: New York, NY, USA, 2012; pp. 879–886. [Google Scholar]
- Mohammed SA, Q.; Jung, J.W. A State-of-the-Art Review on Soft-Switching Techniques for DC–DC, DC–AC, AC–DC, and AC–AC Power Converters. IEEE Trans. Ind. Inform. 2021, 17, 6569–6582. [Google Scholar] [CrossRef]
- Katagiri, K.; Nakagawa, S.; Kado, Y.; Wada, K. Analysis on load-factor dependence of triple active bridge converter’s transmission efficiency for autonomous power networks. In Proceedings of the TENCON 2017–2017 IEEE Region 10 Conference, Penang, Malaysia, 5–8 November 2017; IEEE: New York, NY, USA, 2017; pp. 2177–2181. [Google Scholar]
- Cho, Y.-W.; Kwon, J.-M.; Kwon, B.-H. Single Power-Conversion AC–DC Converter with High Power Factor and High Efficiency. IEEE Trans. Power Electron. 2013, 29, 4797–4806. [Google Scholar] [CrossRef]
- Mallik, A.; Khaligh, A. Maximum Efficiency Tracking of an Integrated Two-Staged AC–DC Converter Using Variable DC-Link Voltage. IEEE Trans. Ind. Electron. 2018, 65, 8408–8421. [Google Scholar] [CrossRef]
- Lu, D.D.-C.; Iu, H.H.-C.; Pjevalica, V. A Single-Stage AC/DC Converter with High Power Factor, Regulated Bus Voltage, and Output Voltage. IEEE Trans. Power Electron. 2008, 23, 218–228. [Google Scholar] [CrossRef]
- Georgakas, K.; Safacas, A. Power factor correction and efficiency investigation of AC-DC converters using forced commutation techniques. In Proceedings of the IEEE International Symposium on Industrial Electronics, Dubrovnik, Croatia, 20–23 June 2005; IEEE: New York, NY, USA, 2005; Volume 2, pp. 583–588. [Google Scholar]
- Affanni, A.; Bellini, A.; Franceschini, G.; Guglielmi, P.; Tassoni, C. Battery Choice and Management for New-Generation Electric Vehicles. IEEE Trans. Ind. Electron. 2005, 52, 1343–1349. [Google Scholar] [CrossRef]
- Useable Battery Capacity of Full Electric Vehicles. Electric Vehicle Database. Useable Battery Capacity of Full Electric Vehicles Cheatsheet-EV Database. Available online: https://ev-database.org/cheatsheet/useable-battery-capacity-electric-car (accessed on 7 December 2022).
- Scarabaggio, P.; Carli, R.; Cavone, G.; Dotoli, M. Smart Control Strategies for Primary Frequency Regulation through Electric Vehicles: A Battery Degradation Perspective. Energies 2020, 13, 4586. [Google Scholar] [CrossRef]
- Yan, G.; Liu, D.; Li, J.; Mu, G. A cost accounting method of the Li-ion battery energy storage system for frequency regulation considering the effect of life degradation. Prot. Control Mod. Power Syst. 2018, 3, 4. [Google Scholar] [CrossRef]
- Predicted Average Battery Capacities in EVs Worldwide 2017–2025. Statista Research Department. 2 March 2021 Our Research and Content Philosophy|Statista. Available online: https://www.googleadservices.com/pagead/aclk?sa=L&ai=DChcSEwjh76XXr6-EAxW2PwYAHUMLADsYABAAGgJ3cw&ae=2&gclid=CjwKCAiAibeuBhAAEiwAiXBoJAIQXLO2G5rx8E-uqtkRYUE5xWKBGsoYo1Mck3C3DSL4_cjvmQnDYxoCSEUQAvD_BwE&ohost=www.google.com&cid=CAESVeD2_vYxRJd3eR9VV_hoet79eIkwe2ljJbuo5GPebx78IPcuZ3-BG8AeusRK3qxkn2xK7r4voMGVu9wI_68p7NN-gHICm6kNQCQYufWbiJT_wNs39YE&sig=AOD64_3c5QzKNgsgu3LuH03WRjhoAinM5A&q&adurl&ved=2ahUKEwjUxZ_Xr6-EAxXoaqQEHfQwBBEQ0Qx6BAgPEAE (accessed on 7 December 2022).
- Zummo, P. America’s Electricity Generating Capacity. 2022 Update. Policy Research and Analysis. Powering Strong Communities; American Power Public Association: Arlington, VA, USA, 2022. [Google Scholar]
- Bruna Alves. US electricity Generation—Statistics & Facts. Energy & Environment, Energy. Statista, 18 November 2022. [Google Scholar]
- Bruna Alves. Electricity Generation in the UK–Statistics & Facts. Energy & Environment, Energy. Statista, 24 February 2022. [Google Scholar]
- Electricity Power Annual 2021. U.S. Energy Information Administration (EIA), Statistical and Analytical Agency, Department of Energy (DOE). Available online: www.eia.gov (accessed on 2 February 2024).
- Pathak, A. Operation and Maintenance of Power Plants, SCRIBD, Operation and Maintenance of Power Plant|PDF|Boiler|Hertz. Available online: https://www.scribd.com/ (accessed on 2 February 2024).
- The Importance of Maintenance in Power Distribution Systems, Process Barron, Southern Field, Environmental Elements, 3 January 2019. Available online: https://southernfield.com/ (accessed on 3 February 2024).
- de Guzman, W. Power Outages Seen Not due to Lack of Capacity but Maintenance Issues. ABS-CBS News, 14 June 2021. [Google Scholar]
- Available online: https://ourworldindata.org/grapher/electricity-generation?tab=table&time=earliest (accessed on 4 February 2024).
- Available online: https://ev-database.org/ (accessed on 5 February 2024).
- Electric Vehicle Model Statistics. European Alternative Fuels Observatory. European Commission. Available online: https://alternative-fuels-observatory.ec.europa.eu/policymakers-and-public-authorities/electric-vehicle-model-statistics (accessed on 1 February 2024).
Disclaimer/Publisher’s Note: The statements, opinions and data contained in all publications are solely those of the individual author(s) and contributor(s) and not of MDPI and/or the editor(s). MDPI and/or the editor(s) disclaim responsibility for any injury to people or property resulting from any ideas, methods, instructions or products referred to in the content. |
© 2024 by the authors. Licensee MDPI, Basel, Switzerland. This article is an open access article distributed under the terms and conditions of the Creative Commons Attribution (CC BY) license (https://creativecommons.org/licenses/by/4.0/).