Improving the Indoor Air Quality of Office Buildings in the Post-Pandemic Era—Impact on Energy Consumption and Costs
Abstract
1. Introduction
- direct contact with an infected person;
- contact with infected surfaces;
- inhalation of respiratory droplets produced by an infected person.
- applies the Welles-Riley Model to determine the optimal number of outdoor air changes needed to significantly reduce the spread of COVID-19 in a real building;
- investigates different HVAC solutions, i.e., systems with fan-coil units and primary air or radiant panels and primary air, in combination with various operational schedules, evaluating, in terms of energy consumption and cost, the effectiveness of increased outdoor air changes for reducing the propagation of COVID-19;
- provides energy retrofit measures applied to the building envelope to mitigate the impact of the increased ventilation rates on energy and economic expenditures.
2. Methodology and Case Study
- Surface convection algorithm inside TARP—variable natural convection based on temperature difference
- Surface convection algorithm outside: DOE-2—correlation from measurements for rough surfaces
- Heat balance algorithm conduction transfer function: 4 timesteps/hour (i.e., the time between two consecutive energy balances).
| Occupancy and DHW Schedules | |
|---|---|
| From Monday to Friday | 8:00–18:00 (8–9 10%; 9–10 40%; 10–16 100%; 16–17 50%; 17–18 10%) |
| Saturday | 8:00–14:00 (8–9 10%; 9–10 30%; 10–13 50%; 13–14 10%) |
| Sunday | Closed |
| Input data for the calibration process | |
| Activity | Generic Office Area |
| Occupancy | 0.06 people/m2 |
| Metabolic rate | 0.9 met |
| Lighting | 7 W/m2 (Lighting indoor parameters based on UNI 12464 [52]) |
| Appliances | 3 W/m2 |
| Infiltration rate | 0.7 vol/h |
- -
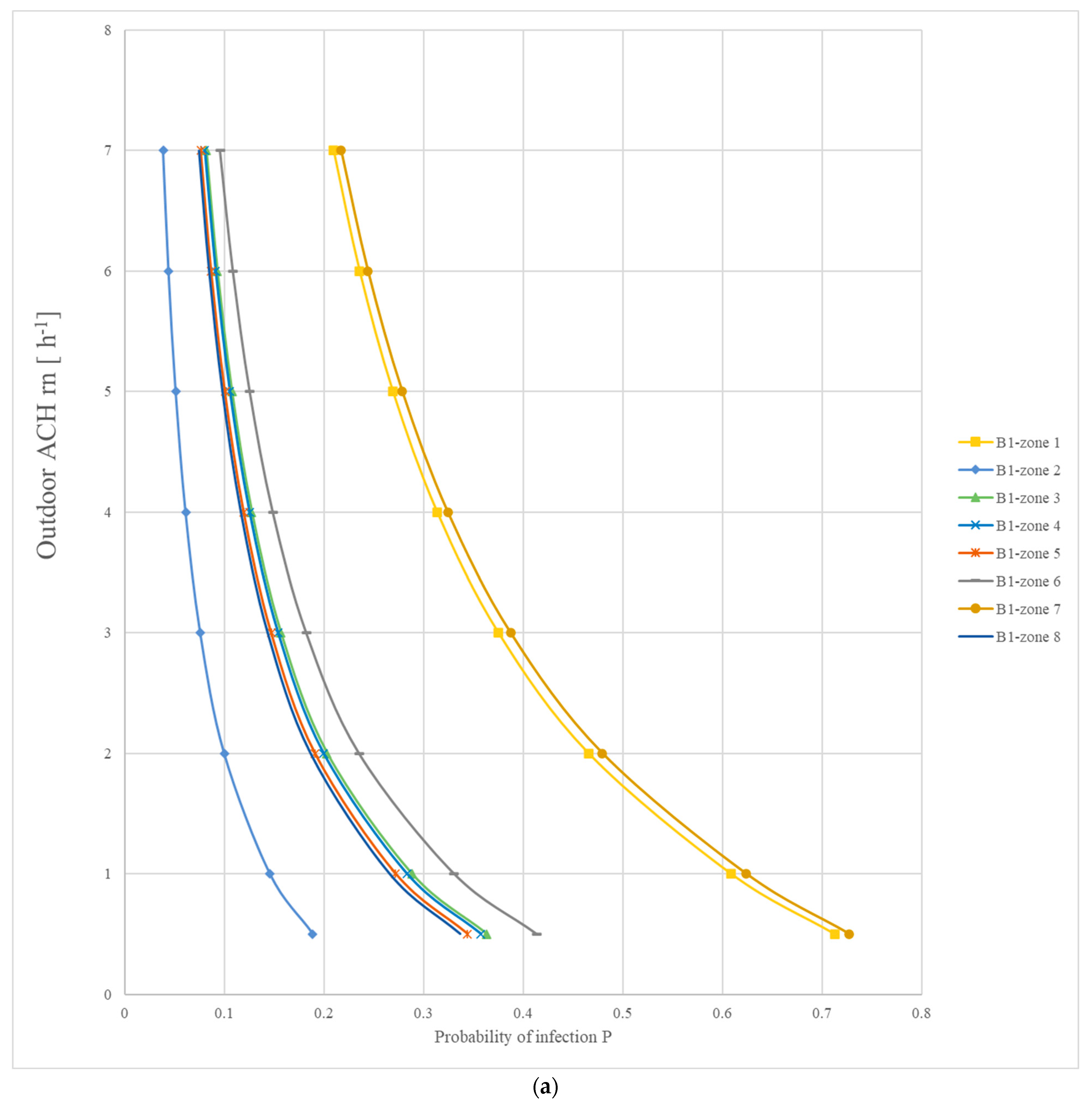
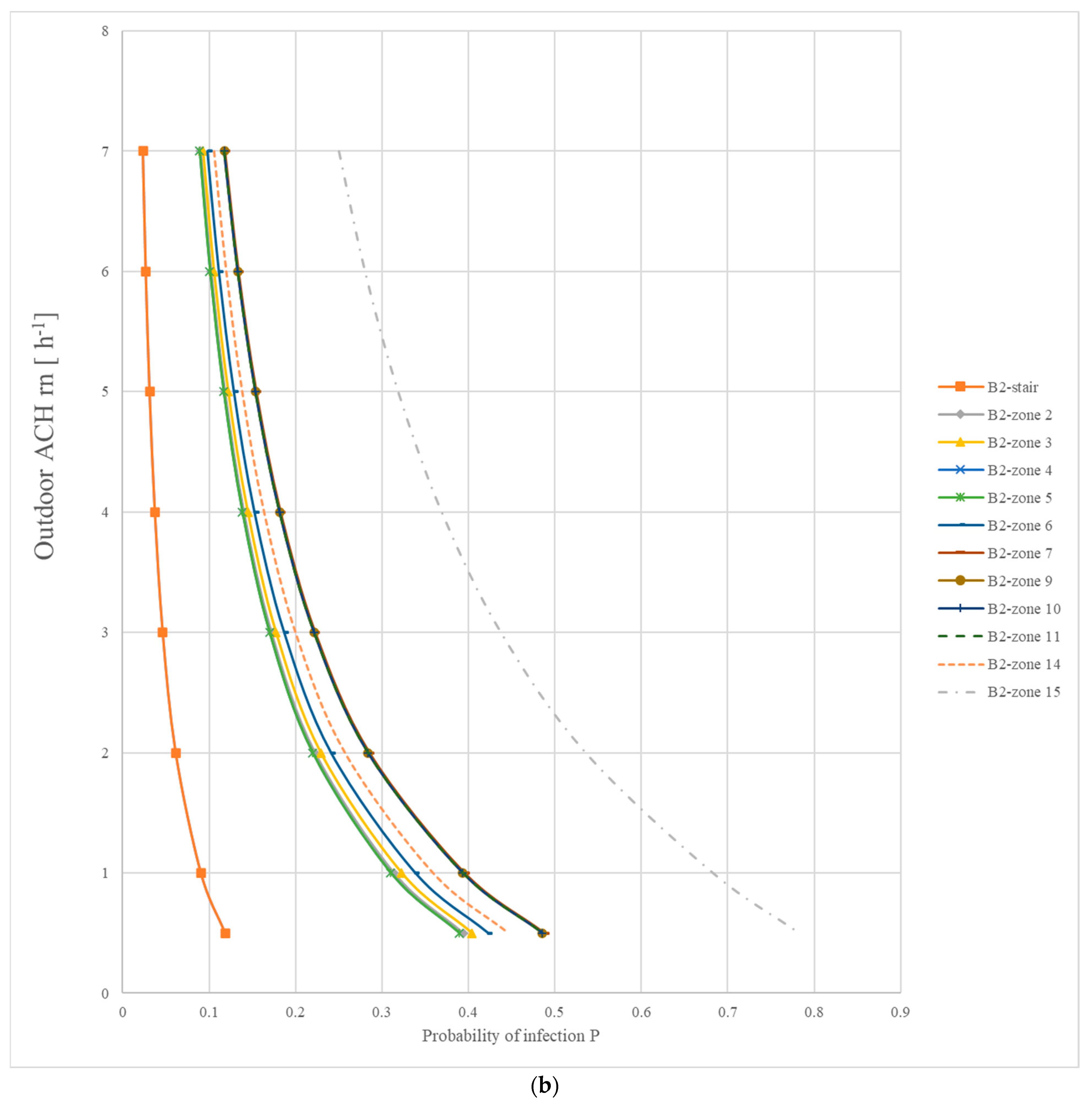
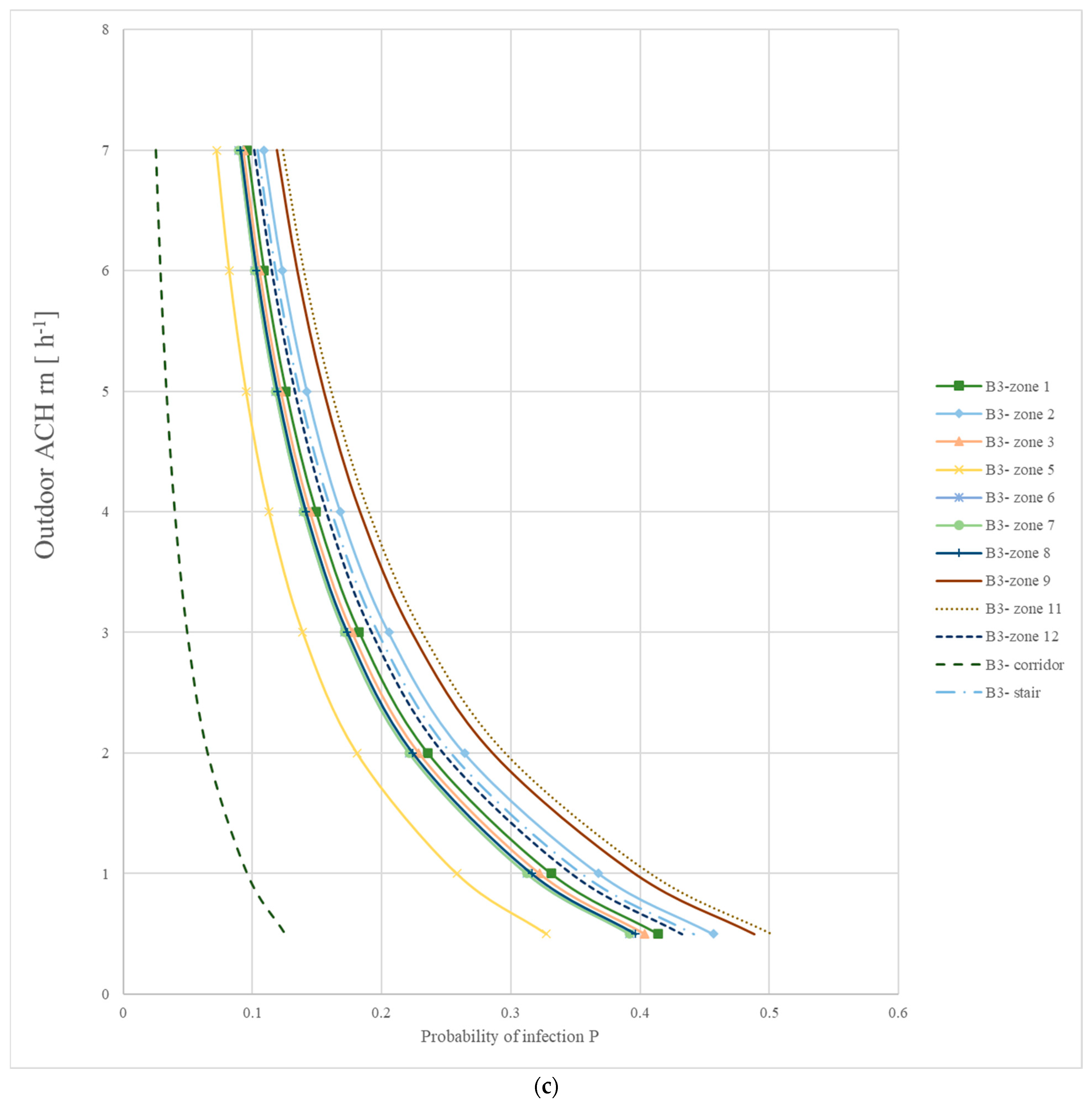
- Probability of infection (P): probability of infection of a susceptible occupant exposed to a fixed number of quanta.
- -
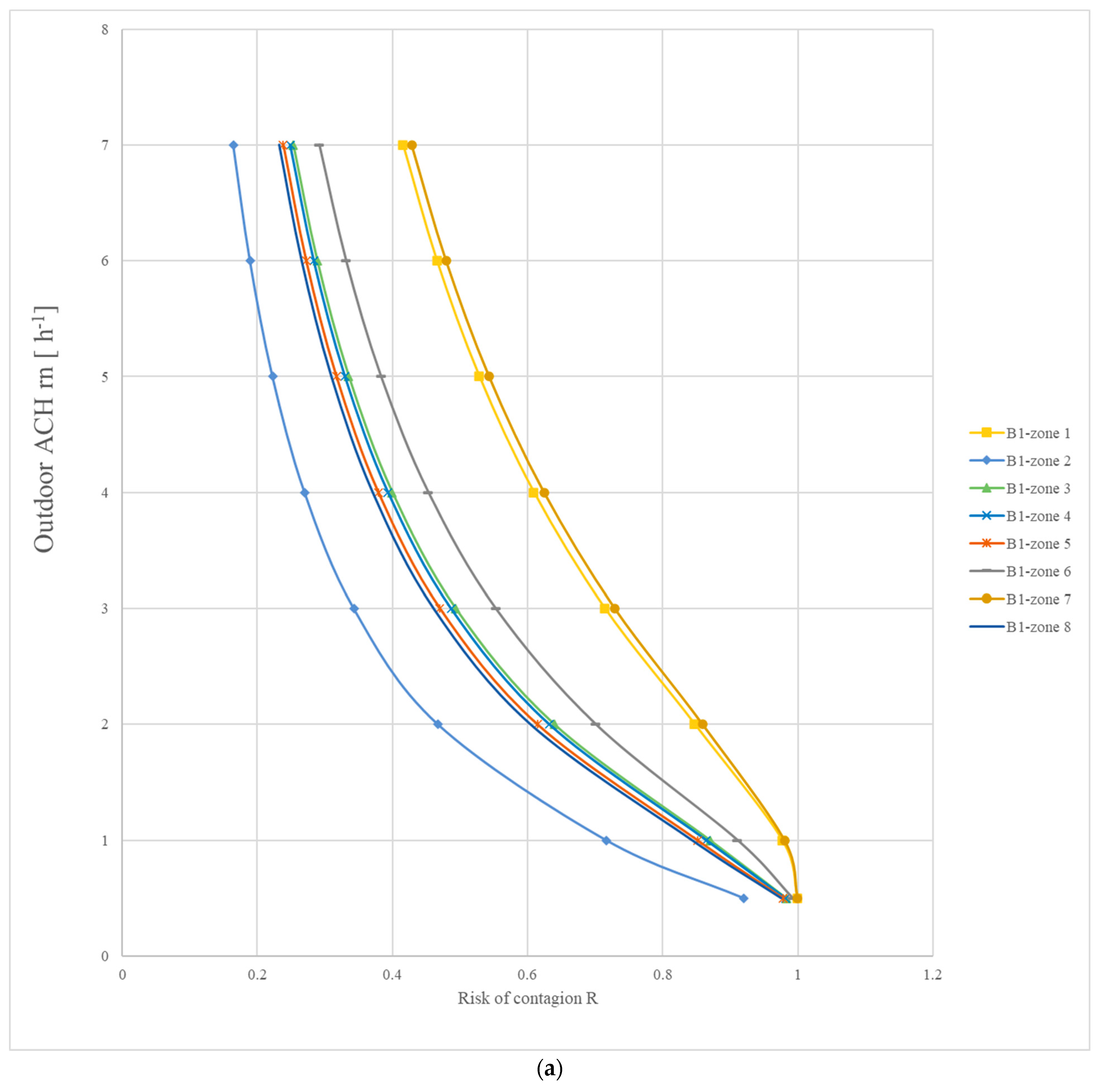
- Risk of infection (R): defines how diseases are propagated by air. It represents the possibility of infection of a susceptible and exposed occupant, taking into account the possible values of the quanta emission rate, which are in turn determined by the type and levels of activity and respiratory parameters. The greater the risk of infection, the more likely an infection is to happen and the greater the extent of the damage. The risk of infection, R, considers both the probability of infection, P, and the damage caused.
- fan-coil system and primary air;
- radiant panels and primary air.
- external air-flow rates calculated according to the Italian standard UNI 10339 [20]: 0.8 vol/h;
- operating periods of the HVAC system: 8:00–18:00, i.e., as set in the real building.
- HP-1 Fan-coil system and primary air with operating program 6:00–20:00
- Hp-1.1 Radiant panel system and primary air with operating program 6:00–20:00
- HP-2 Fan-coil system and primary air with 24/24 h operating program for primary air and 6:00–20:00 for fan coils
- Hp-2.1 Radiant panel system and primary air with 24/24 h operating program for primary air and 6:00–20:00 for radiant panels
- Hp-3 Fan-coil system and primary air with 24/24 h operating program for the entire system
3. Results and Discussion
4. Conclusions
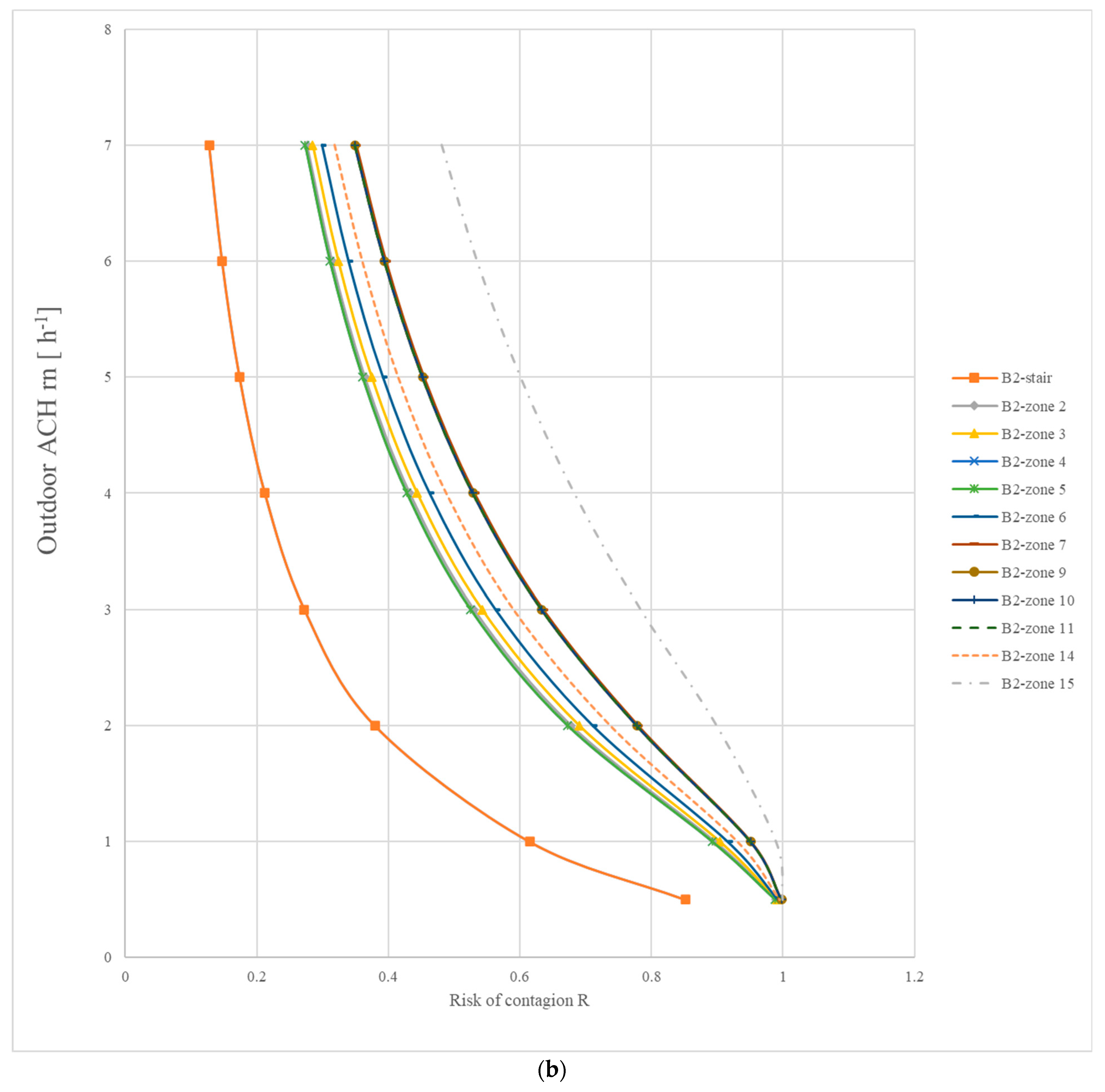
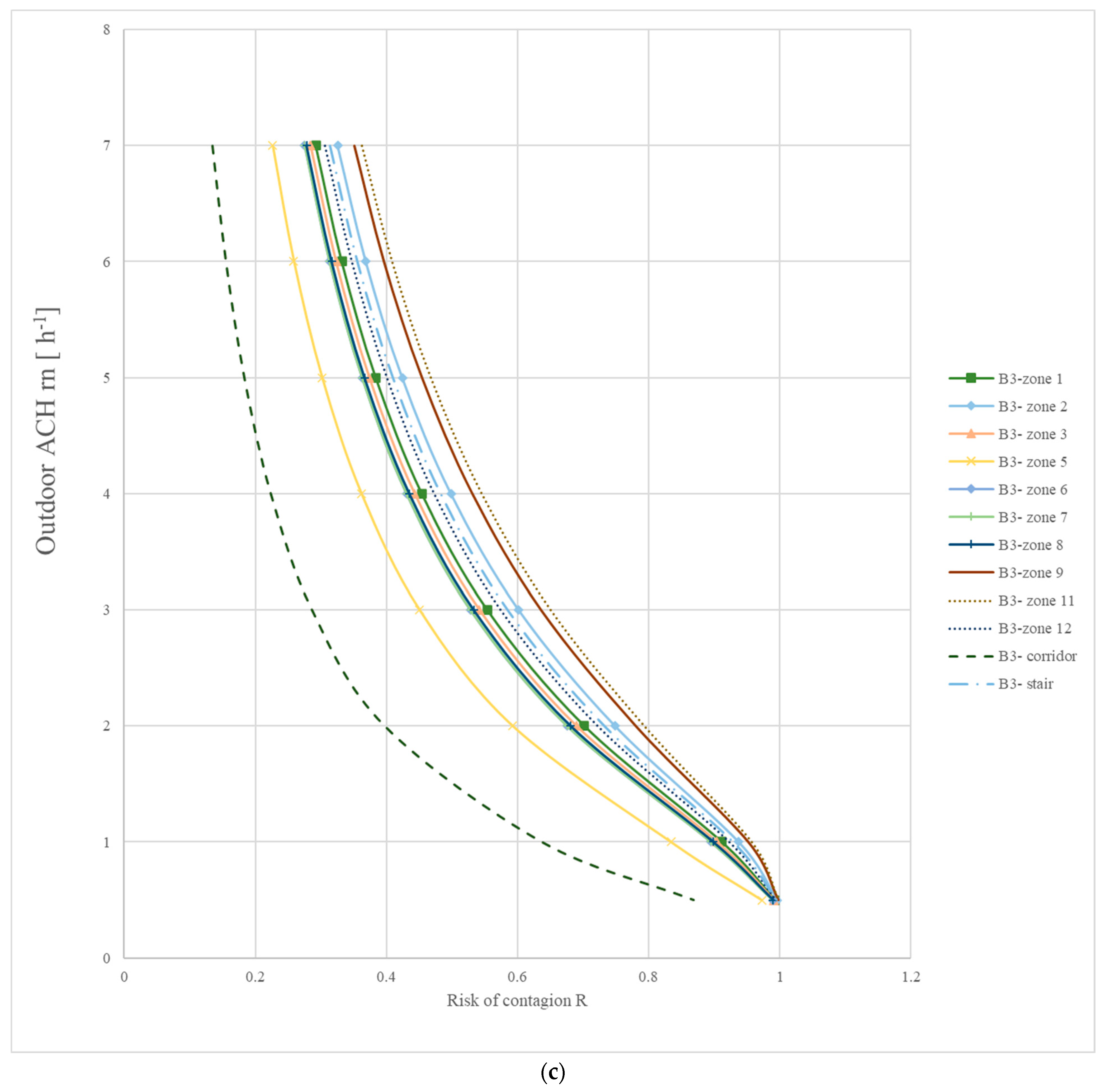
- In line with the literature findings, the optimal number of hourly outdoor ACH to drastically reduce the risk of COVID-19 infection is 5 vol/h (vs. 0.8 vol/h of the pre-COVID situation, based on technical standards). When the outdoor ACH is increased over this value, risk and probability of infection show asymptotic trends. These two parameters are decreasingly affected as the number of outdoor air-flow rates increases above the optimal value.
- Among the various proposed COVID-prevention systems analysed, the best solutions from the energy and economic point of view are the Hp-1 (fan-coil units as terminals) and Hp-1.1 (radiant panel as terminals), both with an operating program of the HVAC system from 6:00 to 20:00 and a primary air-flow rate equal to 5 vol/h.
- The significant increase in air duct sections (+525%) due to the increased air-flow rate highlights the necessity of considering architectural constraints that may be present in the existing building.
- Interventions that focus only on the HVAC systems are useful for reducing the spread of COVID-19 but lead to a very high increase in energy consumption and related energy costs (up to 77%). A solution to this problem could be to couple the intervention on the air conditioning system with one or more interventions on the building envelope in order to lower the building’s energy requirements and, consequently, to lower energy consumption and costs. To this end, the incentives that the countries of the European Union offer for energy-efficiency interventions on building envelopes can be considered.
5. Main Limitations of the Study and Future Developments
Author Contributions
Funding
Data Availability Statement
Acknowledgments
Conflicts of Interest
References
- World Health Organization. Coronavirus Disease (COVID-2019) Situation Reports. 2020. Available online: https://www.who.int/emergencies/diseases/novel-coronavirus-2019/situation-reports/ (accessed on 26 February 2020).
- Wang, D.; Zhou, M.; Nie, X.; Qiu, W.; Yang, M.; Wang, X.; Xu, T.; Ye, Z.; Feng, X.; Xiao, Y.; et al. Epidemiological characteristics and transmission model of Corona Virus Disease 2019 in China. J. Infect. 2020, 80, e25–e27. [Google Scholar] [CrossRef]
- Shiu, E.Y.C.; Leung, N.H.L.; Cowling, B.J. Controversy around airborne versus droplet transmission of respiratory viruses: Implication for infection prevention. Curr. Opin. Infect. Dis. 2019, 32, 372–379. [Google Scholar] [CrossRef]
- Han, Q.; Lin, Q.; Ni, Z.; You, L. Uncertainties about the transmission routes of 2019 novel coronavirus. Influenza Other Respir. Viruses 2020, 14, 470–471. [Google Scholar] [CrossRef]
- Leung, C.C.; Lam, T.H.; Cheng, K.K. Mass masking in the COVID-19 epidemic: People need guidance. Lancet 2020, 395, 945. [Google Scholar] [CrossRef]
- Li, R.; Pei, S.; Chen, B.; Song, Y.; Zhang, T.; Yang, W.; Shaman, J. Substantial undocumented infection facilitates the rapid dissemination of novel coronavirus (SARS-CoV2). Science 2020, 368, 489–493. [Google Scholar] [CrossRef]
- World Health Organization. Advice on the Use of Masks in the Community, during Home Care and in Health Care Settings in the Context of the Novel Coronavirus (2019-nCoV) Outbreak. 2020. Available online: https://www.who.int/docs/default-source/documents/advice-on-the-use-of-masks-2019-ncov.pdf (accessed on 10 December 2023).
- Roy, C.J.; Milton, D.K. Airborne Transmission of Communicable Infection—The Elusive Pathway. N. Engl. J. Med. 2004, 350, 1710–1712. [Google Scholar] [CrossRef] [PubMed]
- Xiao, W.J.; Wang, M.L.; Wei, W.; Wang, J.; Zhao, J.J.; Yi, B. Detection of SARS-CoV and RNA on aerosol samples from SARS-patients admitted to hospital. Zhonghua Liu Xing Bing Xue Za Zhi 2004, 25, 882–885. Available online: http://ovidsp.ovid.com/ovidweb.cgi?T=JS&PAGE=reference&D=emed8&NEWS=N&AN=41513790 (accessed on 10 December 2023). [PubMed]
- World Health Organization. Modes of Transmission of Virus Causing COVID-19: Implications for IPC Precaution Recommendations; World Health Organization: Geneva, Switzerland, 2020. [Google Scholar]
- Judson, S.D.; Munster, V.J. Nosocomial transmission of emerging viruses via aerosol-generating medical procedures. Viruses 2019, 11, 940. [Google Scholar] [CrossRef] [PubMed]
- Li, Y.; Huang, X.; Yu, I.T.S.; Wong, T.W.; Qian, H. Role of air distribution in SARS transmission during the largest nosocomial outbreak in Hong Kong. Indoor Air 2004, 15, 83–95. [Google Scholar] [CrossRef] [PubMed]
- Luongo, J.C.; Fennelly, K.P.; Keen, J.A.; Zhai, Z.J.; Jones, B.W.; Miller, S.L. Role of mechanical ventilation in the airborne transmission of infectious agents in buildings. Indoor Air 2016, 26, 666–678. [Google Scholar] [CrossRef] [PubMed]
- Yu, I.T.S.; Li, Y.; Wong, T.W.; Tam, W.; Chan, A.T.; Lee, J.H.; Leung, D.Y.; Ho, T. Evidence of Airborne Transmission of the Severe Acute Respiratory Syndrome Virus. N. Engl. J. Med. 2004, 350, 1731–1739. [Google Scholar] [CrossRef]
- Andersen, K.G.; Rambaut, A.; Lipkin, W.I.; Holmes, E.C.; Garry, R.F. The proximal origin of SARS-CoV-2. Nat. Med. 2020, 26, 450–452. [Google Scholar] [CrossRef]
- AICARR. Posizione Di AiCARR Sul Funzionamento Degli Impianti Di Climatizzazione Durante L’emergenza SARS-CoV-2-19; AICARR: Milano, Italy, 2020. (In Italian) [Google Scholar]
- Knibbs, L.D.; Morawska, L.; Bell, S.C.; Grzybowski, P. Room ventilation and the risk of airborne infection transmission in 3 health care settings within a large teaching hospital. Am. J. Infect. Control. 2011, 39, 866–872. [Google Scholar] [CrossRef]
- Correia, G.; Rodrigues, L.; Gameiro da Silva, M.; Gonçalves, T. Airborne route and bad use of ventilation systems as non-negligible factors in SARS-CoV-2 transmission. Med. Hypotheses 2020, 141, 109781. [Google Scholar] [CrossRef] [PubMed]
- Ascione, F.; De Masi, R.F.; Mastellone, M.; Vanoli, G.P. The design of safe classrooms of educational buildings for facing contagions and transmission of diseases: A novel approach combining audits, calibrated energy models, building performance (BPS) and computational fluid dynamic (CFD) simulations. Energy Build. 2021, 230, 110533. [Google Scholar] [CrossRef]
- UNI-10339; Impianti Aeraulici ai Fini di Benessere. Generalità, Classificazione e Requisiti. Regole per la Richiesta D’offerta, L’offerta, L’ordine e la Fornitura. Italian Unification Body: Milan, Italy, 1995. (In Italian)
- Vio, M. Gli impianti di climatizzazione e il rischio di contagio. AiCARR J. 2020, 61, 34–40. (In Italian) [Google Scholar]
- Faulkner, C.A.; Castellini, J.E.; Zuo, W.; Lorenzetti, D.M.; Sohn, M.D. Investigation of HVAC operation strategies for office buildings during COVID-19 pandemic. Build. Environ. 2022, 207, 108519. [Google Scholar] [CrossRef] [PubMed]
- AICARR. Ruolo Degli Impianti di Climatizzazione Invernale ed Estiva Nella Riduzione Della Diffusione del COVID-19; AICARR: Milano, Italy, 2020. (In Italian) [Google Scholar]
- Pan, Y.; Du, C.; Fu, Z.; Fu, M. Re-thinking of engineering operation solutions to HVAC systems under the emerging COVID-19 pandemic. J. Build. Eng. 2021, 43, 102889. [Google Scholar] [CrossRef]
- REHVA. COVID-19 Guidance Document. How to Operate and Use Building Services to Prevent the Spread of the Coronavirus Disease (COVID-19) Virus (SARS-CoV-2) in Workplaces. 2020. Available online: https://www.rehva.eu/activities/covid-19-guidance (accessed on 10 December 2023).
- Bonadonna, L.; La Rosa, G.; Settimo, G.; Sorrentino, E.; Veschetti, E.; Bertinato, L. Rapporto ISS COVID-19 n.33/2020: Indicazioni Sugli Impianti di Ventilazione/Climatizzazione in Strutture Comunitarie Non Sanitarie e in Ambienti Domestici in Relazione Alla Diffusione del Virus SARS-CoV-2. 2020. Available online: https://www.iss.it/ (accessed on 10 December 2023). (In Italian).
- Aviv, D.; Chen, K.W.; Teitelbaum, E.; Sheppard, D.; Pantelic, J.; Rysanek, A.; Meggers, F. A fresh (air) look at ventilation for COVID-19: Estimating the global energy savings potential of coupling natural ventilation with novel radiant cooling strategies. Appl. Energy 2021, 292, 116848. [Google Scholar] [CrossRef] [PubMed]
- Guo, Y.; Zhang, N.; Hu, T.; Wang, Z.; Zhang, Y. Optimization of energy efficiency and COVID-19 pandemic control in different indoor environments. Energy Build. 2022, 261, 111954. [Google Scholar] [CrossRef] [PubMed]
- Szczepanik-Ścisło, N.; Flaga-Maryańczyk, A. Indoor air quality modeling and measurements of a studio apartment with a mechanical exhaust system. E3S Web Conf. 2018, 44, 00171. [Google Scholar] [CrossRef]
- Szczepanik-Scislo, N. Improving Household Safety via a Dynamic Air Terminal Device to Decrease Carbon Monoxide Migration from a Gas Furnace. Int. J. Environ. Res. Public Health 2022, 19, 1676. [Google Scholar] [CrossRef]
- D’Alicandro, A.C.; Capozzoli, A.; Mauro, A. Thermofluid dynamics and droplets transport inside a large university classroom: Effects of occupancy rate and volumetric airflow. J. Aerosol Sci. 2024, 175, 106285. [Google Scholar] [CrossRef]
- D’Alicandro, A.C.; Mauro, A. Air change per hour and inlet area: Effects on ultrafine particle concentration and thermal comfort in an operating room. J. Aerosol Sci. 2023, 171, 106183. [Google Scholar] [CrossRef]
- Szczepanik, N.; Schnotale, J. CFD Simulations and Measurements of Carbon Dioxide Transport in a Passive House. In Proceedings of the 24 Congress of Refrigerations: Improving Quality of Life, Preserving the Hear, Yokohama, Japan, 16–22 August 2015. [Google Scholar]
- Riley, E.C.; Murphy, G.; Riley, R.L. Airborne spread of measles in a suburban elementary school. Am. J. Epidemiol. 1978, 107, 421–432. [Google Scholar] [CrossRef] [PubMed]
- Li, C.; Tang, H. Study on ventilation rates and assessment of infection risks of COVID-19 in an outpatient building. J. Build. Eng. 2021, 42, 103090. [Google Scholar] [CrossRef]
- Guo, Y.; Qian, H.; Sun, Z.; Cao, J.; Liu, F.; Luo, X.; Ling, R.; Weschler, L.B.; Mo, J.; Zhang, Y. Assessing and controlling infection risk with Wells-Riley model and spatial flow impact factor (SFIF). Sustain. Cities Soc. 2021, 67, 102719. [Google Scholar] [CrossRef] [PubMed]
- Yan, Y.; Li, X.; Fang, X.; Tao, Y.; Tu, J. A spatiotemporal assessment of occupants’ infection risks in a multi-occupants space using modified Wells–Riley model. Build. Environ. 2023, 230, 110007. [Google Scholar] [CrossRef] [PubMed]
- Zhang, S.; Lin, Z. Dilution-based evaluation of airborne infection risk—Thorough expansion of Wells-Riley model. Build. Environ. 2021, 194, 107674. [Google Scholar] [CrossRef]
- Barone, G.; Buonomano, A.; Forzano, C.; Giuzio, G.F.; Palombo, A. Energy, economic, and environmental impacts of enhanced ventilation strategies on railway coaches to reduce COVID-19 contagion risks. Energy 2022, 256, 124466. [Google Scholar] [CrossRef]
- Hu, T.; Ji, Y.; Fei, F.; Zhu, M.; Jin, T.; Xue, P.; Zhang, N. Optimization of COVID-19 prevention and control with low building energy consumption. Build. Environ. 2022, 219, 109233. [Google Scholar] [CrossRef]
- Centers for Disease Control and Prevention. Improving Ventilation in Buildings. Available online: https://www.cdc.gov/coronavirus/2019-ncov/prevent-getting-sick/improving-ventilation-in-buildings.html (accessed on 22 November 2023).
- Buonanno, G.; Ricolfi, L.; Morawska, L.; Stabile, L. Increasing ventilation reduces SARS-CoV-2 airborne transmission in schools: A retrospective cohort study in Italy’s Marche region. Front. Public Health 2022, 10, 1087087. [Google Scholar] [CrossRef]
- McNeill, V.F.; Corsi, R.; Huffman, J.A.; King, C.; Klein, R.; Lamore, M.; Maeng, D.Y.; Miller, S.L.; Ng, N.L.; Olsiewski, P.; et al. Room-level ventilation in schools and universities. Atmos. Environ. X 2022, 13, 100152. [Google Scholar] [CrossRef] [PubMed]
- Meglio, E.; Longobardi, G.; Formisano, A. Integrated seismic-energy retrofit systems for preventing failure of a historical RC school building: Comparison among metal lightweight exoskeleton solutions. Eng. Fail. Anal. 2023, 154, 107663. [Google Scholar] [CrossRef]
- D’Agostino, D.; Minelli, F.; Minichiello, F. New genetic algorithm-based workflow for multi-objective optimization of Net Zero Energy Buildings integrating robustness assessment. Energy Build. 2023, 284, 112841. [Google Scholar] [CrossRef]
- President of the Italian Republic, D.P.R. 26 agosto 1993 n.412. Regolamento Recante Norme per la Progettazione, L’installazione, L’esercizio e la Manutenzione Degli Impianti Termici Degli Edifici ai fini del Contenimento dei Consumi di Energia. Gazzetta Ufficiale della Repubblica Italiana, 1993. Available online: https://www.gazzettaufficiale.it/eli/id/1993/10/14/093G0451/sg (accessed on 10 December 2023). (In Italian).
- President of the Italian Republic, D.P.R 28 giugno 1977, n. 1052. Regolamento di Esecuzione alla Legge 30 Aprile 1976, n. 373, Relativa al Consumo Energetico per usi Termici Negli Edifici. Gazzetta Ufficiale della Repubblica Italiana, 1977. Available online: https://www.gazzettaufficiale.it/eli/id/1978/02/06/077U1052/sg (accessed on 10 December 2023). (In Italian).
- ISO 6946:2017; Building Components and Building Elements—Thermal Resistance and Thermal Transmittance—Calculation Methods. International Organization for Standardization: Geneva, Switzerland, 2017; p. 40.
- President of the Italian Republic, D.P.R. 16 aprile 2013, n. 74. Regolamento Recante Definizione dei Criteri Generali in Materia di Esercizio, Conduzione, Controllo, Manutenzione e Ispezione Degli Impianti Termici per la Climatizzazione Invernale ed estiva. Gazzetta Ufficiale della Repubblica Italiana, 2013. Available online: https://www.gazzettaufficiale.it/eli/id/2013/06/27/13G00114/sg (accessed on 10 December 2023). (In Italian).
- ASHRAE. ASHRAE Handbook—Fundamentals; ASHRAE: New York, NY, USA, 2021. [Google Scholar]
- DesignBuilder. DesignBuilder Software. Limited Clarendon Court 1st Floor 54/56 London Rd Stroud, Gloucestershire GL5 2AD (UK). 2019. Available online: http://www.designbuilder.co.uk/i (accessed on 10 December 2023).
- UNI EN 12464-1:2021; Luce e Illuminazione—Illuminazione dei Posti di Lavoro—Parte 1: Posti di Lavoro in Interni. Italian Unification Body: Milan, Italy, 2021. (In Italian)
- ANSI/ASHRAE. ASHRAE Guideline 14-2002 Measurement of Energy and Demand Savings. ASHRAE 2002, 8400, 170. [Google Scholar]
- Gammaitoni, L.; Nucci, M.C. Using a Mathematical Model to Evaluate the Efficacy of TB Control Measures. Emerg. Infect. Dis. 1997, 3, 335–342. [Google Scholar] [CrossRef] [PubMed]
- To, G.N.S.; Chao, C.Y.H. Review and comparison between the Wells-Riley and dose-response approaches to risk assessment of infectious respiratory diseases. Indoor Air 2010, 20, 2–16. [Google Scholar] [CrossRef]
- Buonanno, G.; Stabile, L.; Morawska, L. Estimation of airborne viral emission: Quanta emission rate of SARS-CoV-2 for infection risk assessment. Environ. Int. 2020, 141, 105794. [Google Scholar] [CrossRef] [PubMed]
- Buonanno, G.; Morawska, L.; Stabile, L. Quantitative assessment of the risk of airborne transmission of SARS-CoV-2 infection: Prospective and retrospective applications. Environ. Int. 2020, 145, 106112. [Google Scholar] [CrossRef]
- Cavallini, A.; Busato, F.; Pregliasco, F. Remarks on the air recirculation in HVAC systems during the SARS-CoV-2 outbreak: The case of all-air ducted plants. AiCARR J. 2020, 63, 50–55. [Google Scholar]











| Data | Value |
|---|---|
| City | Formia |
| Province | Latina |
| Climatic zone (DPR 412/93 [46]) | C |
| Heating degree days (DPR 412/93 [46]) | 976 |
| Winter design external temperature (DPR 1052/77 [47]) | 2 °C |
| Monthly average winter temperature | 7.2 °C |
| Summer design external temperature | 33 °C |
| Average wind speed | 3.2 m/s |
| Yearly average solar irradiation | 1645 kWh/m2 |
| Stationary Thermal Transmittance U-Value [W/(m2K)] | Dynamic Thermal Transmittance YIE [W/(m2K)] | |
|---|---|---|
| Walls (thermal mass = 634 kg/m2) | 1.80 | 0.20 |
| Roof | 1.69 | 0.17 |
| Windows (solar factor ggl value for glass = 0.4) | 2.50 | - |
| Simulated Energy Consumption | Measured Energy Consumption | |
|---|---|---|
| [kWh] | [kWh] | |
| January | 17,275 | 18,125.8 |
| February | 15,169 | 13,911.9 |
| March | 13,125 | 11,602.8 |
| April | 1561 | 1183.2 |
| May | 430 | 709.9 |
| June | 169 | 322.7 |
| July | 194 | 243.8 |
| August | 182 | 215.1 |
| September | 187 | 251.0 |
| October | 911 | 2438.2 |
| November | 8715 | 8605.7 |
| December | 15,815 | 14,700.8 |
| Simulated Energy Consumption | Measured Energy Consumption | |
|---|---|---|
| [kWh] | [kWh] | |
| January | 2990 | 3312.0 |
| February | 2739 | 2814.0 |
| March | 2922 | 2556.0 |
| April | 2739 | 2241.0 |
| May | 2975 | 2478.0 |
| June | 3753 | 4355.0 |
| July | 6720 | 7211.0 |
| August | 8175 | 7546.0 |
| September | 4694 | 4854.0 |
| October | 3116 | 2925.0 |
| November | 2922 | 2544.0 |
| December | 2739 | 2896.0 |
| Case | Outdoor ACH (h−1) | Cross-Section (m2) | Dimensions of the Main Air Duct (mm) | Cross-Section Increment (%) |
|---|---|---|---|---|
| Pre-COVID-19 | 0.8 | 0.0913 | 400 × 250 | |
| COVID-19 | 5 | 0.570 | 850 × 700 | +525% |
| Energy Consumption | |||
|---|---|---|---|
| Hypothesis | Electricity kWh | Electricity kWh/m2 | Variation % |
| Pre-COVID-19 conditions fan coils plus primary air | 78,130 | 92.2 | - |
| Pre-COVID-19 conditions radiant panels plus primary air | 76,789 | 90.6 | - |
| Hp-1 with 5 ACH | 138,920 | 163.8 | +78% |
| Hp-1.1 with 5 ACH | 136,020 | 160.4 | +77% |
| Hp-2 with 5 ACH | 176,990 | 208.7 | +126% |
| Hp-2.1 with 5 ACH | 169,040 | 199.3 | +116% |
| Hp-3 with 5 ACH | 209,410 | 247 | +168% |
| Energy Costs | |||
|---|---|---|---|
| Proposed System | Yearly Energy Costs €/Year | Increase Compared to Pre-COVID-19 Conditions €/Year | Increase Compared to Pre-COVID-19 Conditions % |
| Pre-COVID-19, fan coils and primary air | 16,095 | - | - |
| Pre-COVID-19, radiant panels and primary air | 15,819 | - | - |
| Hp-1 with 5 ACH | 28,618 | +12,523 | +78% |
| Hp-1.1 with 5 ACH | 28,020 | +12,201 | +77% |
| Thermal Transmittance [W/(m2K)] | |
|---|---|
| Walls | 0.304 |
| Roof | 0.31 |
| Energy Consumption | |||
|---|---|---|---|
| Hypothesis | Electrical Energy kWh | Electrical Energy kWh/m2 | Change in Required Electrical Energy % |
| Hp-1 | 138,920 | 163.8 | - |
| Hp-1.1 | 136,020 | 160.4 | - |
| Hp-1 After intervention on the envelope | 101,732 | 118.6 | −27% |
| Hp-1.1 After intervention on the envelope | 95,808 | 115.6 | −29% |
| Energy Costs | |||
|---|---|---|---|
| Hypothesis | Total Yearly Cost €/Year | Change in Energy Cost €/Year | Change in Energy Cost % |
| Hp-1 | 28,618 | - | - |
| Hp-1.1 | 28,020 | - | - |
| Hp-1 After intervention on the envelope | 20,956 | −7662 | −27% |
| Hp-1.1 After intervention on the envelope | 19,736 | −8284 | −29% |
Disclaimer/Publisher’s Note: The statements, opinions and data contained in all publications are solely those of the individual author(s) and contributor(s) and not of MDPI and/or the editor(s). MDPI and/or the editor(s) disclaim responsibility for any injury to people or property resulting from any ideas, methods, instructions or products referred to in the content. |
© 2024 by the authors. Licensee MDPI, Basel, Switzerland. This article is an open access article distributed under the terms and conditions of the Creative Commons Attribution (CC BY) license (https://creativecommons.org/licenses/by/4.0/).
Share and Cite
D’Agostino, D.; Minelli, F.; Minichiello, F.; Musella, M. Improving the Indoor Air Quality of Office Buildings in the Post-Pandemic Era—Impact on Energy Consumption and Costs. Energies 2024, 17, 855. https://doi.org/10.3390/en17040855
D’Agostino D, Minelli F, Minichiello F, Musella M. Improving the Indoor Air Quality of Office Buildings in the Post-Pandemic Era—Impact on Energy Consumption and Costs. Energies. 2024; 17(4):855. https://doi.org/10.3390/en17040855
Chicago/Turabian StyleD’Agostino, Diana, Federico Minelli, Francesco Minichiello, and Maddalena Musella. 2024. "Improving the Indoor Air Quality of Office Buildings in the Post-Pandemic Era—Impact on Energy Consumption and Costs" Energies 17, no. 4: 855. https://doi.org/10.3390/en17040855
APA StyleD’Agostino, D., Minelli, F., Minichiello, F., & Musella, M. (2024). Improving the Indoor Air Quality of Office Buildings in the Post-Pandemic Era—Impact on Energy Consumption and Costs. Energies, 17(4), 855. https://doi.org/10.3390/en17040855

