Abstract
To address China’s small coal power units facing shutdown and retirement, which urgently need life cycle extension and renovation, a complete solar thermal storage simulation power generation system based on the original site of a decommissioned thermal power unit is developed using Ebsilon software in this study. The operational characteristics of the simulated system are studied in depth to build a system with integrity and stability that can carry out economic and stable power production. The results of simulation tests on the solar collector system and the thermal storage subsystem show that the energy storage rate of the energy storage subsystem is affected by light intensity and significantly increases at approximately 8:00 a.m. The annual power generation capacity of the system is influenced by the energy storage hours set by the energy storage subsystem, and the annual power generation capacity increases more significantly when the energy storage hours are controlled within the range of 5–8 h. The operating efficiency of the corresponding subsystem can be improved by selecting a suitable location for the light intensity required and controlling the effective reflectivity of the mirror field and the energy storage hours, which can ensure the system’s stable operation. The research results provide theoretical guidance for reusing and transforming retired thermal power units.
1. Introduction
Renewable energy sources are steadily becoming a larger part of the global energy mix [1,2]. The share of global renewable energy in the electricity supply was 22% in 2015 and is expected to rise to 31% by 2035 [3]. In power generation, most electricity is generated by burning fossil fuels in thermal power plants to produce electricity. Fully utilizing renewable energy for power generation can reduce fossil energy consumption and provide an essential technological path for modern thermal power plant transformation. Solar energy, with its availability, cost-effectiveness, accessibility, capacity, and efficiency, is the best option for meeting future energy demands. With the popularization of solar photovoltaic power generation technology, solar energy has been unanimously recognized and praised by the public [4,5,6,7]. The ongoing penetration of variable and intermittent renewable energy sources (RES), such as wind and solar energy, imposes additional and more critical requirements on power systems’ flexibility [8]. Jiang Yue et al. [9] analyzed the contribution of solar energy to the power generated by each steam turbine in a solar-assisted coal-fired power generation system using SACPG technology. Furthermore, they explored the application potential of solar energy in coal-fired units. Yawen Zhao et al. [10] proposed two new standards to evaluate the thermal performance of a solar hybrid power plant, determined the integration principle of a solar–coal hybrid power system, and improved the production of a solar–coal hybrid power generation system under low solar radiation. Yu Jing-mei et al. [11] analyzed five commonly used methods for evaluating solar contribution and conducted a comparative study on solar-assisted power generation in a 600 MW thermal power plant. The results indicate that via this approach, expensive heat storage and power generation systems will no longer be needed while avoiding intermittent and unstable power generation. Chang Huang et al. [12] developed a SAPG model to study the energy and economic benefits of SAPG systems with different capacities. The benefits were analyzed and discussed based on the five SEE, SPG, SCCR, annual SEE, and LCOE standards. The results show that the SAPG benefits are related to the capacity of coal-fired power plants and the area of the installed collectors. The literature [13,14,15] has introduced several coupling schemes for energy storage systems and the flexible conversion of thermal power units. In addition, the literature [16,17,18,19] has constructed an optimization planning model for the capacity coordination of a wind–solar hybrid power generation system and an optimization model for independent photovoltaic power generation, determining different renewable energy consumption rates and the optimal capacity of photovoltaic and energy storage. The results show that the optimal installed capacity of photovoltaic and energy storage differs under different renewable energy consumption rates and tie-line utilization rates. However, the influence of the energy storage capacity is small. The literature [20,21,22] has applied mature and applicable energy storage technology and high-capacity energy storage technology in thermal power plants. Spyridonidou Sofia et al. [23] conducted scientific research on the site selection procedures of solar photovoltaic (PV) and concentrated solar power generation (CSP) technologies. They provided a direct analysis and evaluation of the existing site selection procedures and the estimation and analysis of solar radiation data and other factors. The literature [24,25,26] has analyzed the possibility of a combined design of a thermal power generation and solar heat collection module and determined the advantages of complementary power generation via modeling and simulation.
The main challenge for small, coal-fired units in China that need to extend their life cycle is competition with new energy sources, which will surpass their advantage in production costs. The life-cycle-extending renovation of thermal power units can improve the reliability and efficiency of their equipment, prolong their service life cycle, effectively utilize existing resources, and reduce energy consumption and emissions. The reliability and safety of these thermal power units directly affect the stable operation of the existing power system. Life-cycle-extending transformation can update old equipment; enhance the system’s reliability, stability, and operational safety; and ensure the stability and safety of the power supply. Therefore, the importance of prolonging the life cycle of thermal power units lies in improving the efficiency of resource utilization, as well as economic benefits, environmental protection, reliability, and safety, which are of great significance for promoting a national dual-carbon development strategy and energy transformation. Research on secondary utilization conversion technology for retired thermal power units is non-existent, so it is urgent to formulate a complete power station transformation plan and verify its feasibility. The utilization of solar energy is equally as important as photovoltaic power generation. The combination of heat storage equipment and thermal power plant transformation is flexible in design and convenient in maintenance and management. Prolonging the life cycle of decommissioned thermal power units can effectively enhance the stock value of the thermal power units, ensure the safety of the power supply, and help achieve the goal of carbon reduction. In this study, an integrated light, heat, and storage power generation simulation system was established using Ebsilon Professional 13.02 software. To realize the optimal utilization of solar energy resources, it is proposed to carry out a comprehensive transformation of retiring thermal power units, which provides a useful practical engineering reference for the flexible transformation and optimal utilization of the existing infrastructure of thermal power units.
2. System Modeling
The simulation test model of the power plant system coupled with light, heat, and storage was built using Ebsilon software. Ebsilon is a professional engineering software for thermal system simulation and engineering optimization that can be used to design, analyze, and optimize various thermal systems, such as power plants, solar light and heat systems, large-scale thermal storage systems, steam cycles, heat exchangers, and heating/cooling systems. It has a variety of component models and efficient simulation, engineering optimization, and complete data visualization capabilities. Ebsilon software can help engineers improve system efficiency, reduce energy consumption, and optimize engineering schemes. This paper built a complete simulation test model based on Ebsilon, and the specific modeling process is as follows.
2.1. Power Generation System Construction
According to the transformation plan, a stable and manageable power generation system is built based on the technical route of coupling photothermal storage. This research system comprises three components: a solar energy collection subsystem, a large-scale molten salt energy storage subsystem, and a steam turbine subsystem. The system concept is based on the comprehensive transformation of the retired thermal power unit and the adoption of photothermal power generation technology, where the solar energy heat generation equipment replaces the original unit’s coal-fired boiler. The steam turbine and generator system of the retired thermal power unit is coupled with the new photothermal system, comprehensively transforming the unit into a novel power production model. This approach provides ideas for transitioning from traditional thermal power technology to new energy power generation technology and meets the power needs of the original users of the thermal power units. The energy is initially converted from light to thermal energy, and a portion of it is then stored in the large molten salt energy storage subsystem, while the other is converted into mechanical energy to drive the steam turbine to generate electricity for the power grid via the generator. The molten salt energy storage subsystem plays a significant role in providing energy for the uninterrupted power supply of the power station, particularly during nighttime operations. The model is based on a 30 MW small thermal power unit. When building the new power system, the generated power is 30 MW, and the simulation parameters are determined based on the equipment parameters of the original thermal power unit.
The overall simulation model based on Ebsilon software is shown in Figure 1.
Figure 1.
Solar thermal storage coupling power plant operation system diagram. 1. Sun. 2. Solar energy collection equipment. 3–4. Thermal storage equipment. 5. Working medium evaporator. 6. Superheater. 7. Reheater. 8. Steam turbine unit. 9. High-pressure heater. 10. De-aerator. 11. Low-pressure heater. 12. Condenser. 13. Generator.
2.1.1. Heat Collection Subsystem
The main components of the solar heat collector subsystem are the solar thermal energy collection unit and the working fluid transport pipeline. The solar heat collection efficiency of the heat collector determines the operational performance of the whole subsystem. The heat-collecting unit is not a specific device. When simulating and modeling in Ebsilon, the appropriate selection is made according to the power demand of the unit. The access characteristics of the relevant heat-collecting equipment are shown in Table 1.
Table 1.
Access characteristics of thermal equipment.
The heat-collecting capacity of the heat-collecting system is expressed as
where Q is the total heat of the solar heat collection equipment (in MW); η is the heat collection efficiency of the heat collection equipment and is a dimensionless number; S is the area of the thermal equipment receiving solar radiation (in m2); and DNI is the solar direct phase radiation value in the local unit area after the sun enters the atmosphere (in W/m2).
2.1.2. Modeling of Energy Storage Subsystem
Power and capacity are some of the most critical parameters of an energy storage system, and their size determines the load the system can bear at a time and its service life cycle. The long-term energy storage mode was taken as the selection direction. The double-tank molten salt energy storage system was selected via Ebsilon simulation modeling. Because the weather and the solar energy available at different times change in real time, to achieve stable power generation, the working mode of the energy storage subsystem changes accordingly, and the output power of the energy storage system is adjusted according to the demand. Therefore, the output time changes according to the actual situation. The simulation model of the energy storage subsystem was constructed using Ebsilon software. The system diagram is visualized in Figure 2. When the solar radiation is intense, part of the heat generated by the high-temperature heat transfer medium provided by the heat collection equipment is used for steam turbine work, and the other part is stored in the energy storage subsystem. When the DNI is small or at night, the heat stored in the energy storage subsystem plays a role in maintaining the stable operation of the steam turbine and ensuring the stable and continuous power production of the power station.
Figure 2.
Working principle diagram of energy storage subsystem.
The calculation formula of the system model is as follows:
where qmst is the heat of the heat storage tank (in J); mmst is the mass of fluid in the heat storage tank (in kg); Cmst is the specific heat capacity of the heat transfer medium in the heat storage tank (in J/(kg·k)); Tmst,hot is the temperature of the high-temperature heat storage tank (in K); and Tmst,cold is the cold temperature of the low-temperature heat storage tank (in K).
According to the operation mode of the energy storage subsystem, the total energy storage of the energy storage subsystem is calculated using the following formula:
where q is the total energy storage (in k·Wh); Pe is the unit of power generation (in W); η1 is the turbine efficiency without dimensionality; η2 is the generator efficiency without dimensionality; and t is the total energy storage time (in h).
2.1.3. Modeling of Steam Turbine Subsystem
In the simulation modeling of the power station reconstruction system using Ebsilon, the steam turbine subsystem comprised a steam generation part, extraction heater, condenser, and steam turbine unit. The steam generator supplies the steam required for unit operation. The working process of the steam turbine subsystem begins with heating water with the heat exchanger to generate high-quality steam to push the steam turbine to perform work, thus driving the generator to complete power production. The steam turbine subsystem is the same as the steam turbine system in conventional thermal power units. The construction of the steam turbine subsystem model followed the relevant modeling experience of coal-fired units. The system operation flow is shown in Figure 3.
Figure 3.
Working principle diagram of steam turbine subsystem.
The mass conservation equation is as follows:
The energy conservation equation is as follows:
where msi is the steam flow at the inlet of the turbine (in kg/s); mso is the steam flow at the exit of the steam turbine (in kg/s); hsi is the enthalpy of the steam inlet of the turbine (in kJ/kg); hso is the enthalpy of steam at the steam turbine outlet (in kJ/kg); V is the steam turbine volume (in m3); and ρso is the steam density at the steam turbine outlet (in kg/m3).
The turbine power calculation formula is as follows:
Pw is the turbine power (in kW), and ηw is the turbine efficiency and is a dimensionless number.
2.2. Simulation Model Verification
The theoretical model is a steady-state model solution and enables us to observe, understand, and predict the system’s behavior in a stable running state, providing valuable information for system design, operation, and optimization. The rationality and accuracy of the model were verified via analysis. According to the theory, the energy supply and power production processes of the proposed transformation system, with complementary light, heat, and storage power generation modes, were analyzed, and a corresponding simulation model was created using Ebsilon software. By modeling each subsystem of the power generation system to be transformed, the four subsystem models were connected, and the overall simulation model of the unit was obtained. The operational data of a 30 MW retired thermal power unit were further simulated and tested to determine the specific parameters of each device. The reference allowable range for the simulation verification results was between 0 and 5%. Beyond this range, the simulation results were unreliable. Therefore, it was necessary to rebuild the model or modify the initial parameters during the simulation.
The simulation results are shown in Table 2.
Table 2.
Simulation verification results.
The thermodynamic model was established using Ebsilon software, and all parameters were true and reliable data.
The blue, black, and reddish-brown lines in Figure 4 are the iterative curves of the enthalpy, mass flow, and pressure of the fluid working medium in the system, respectively. The shape and trend of the convergence diagram can be analyzed. It shows that after a certain number of iterations, the accuracy of each parameter cannot be improved, and the simulator converges to this threshold. This is because as the number of iterations increases, the convergence accuracy continuously increases, the attenuation speed in the early stage is faster, and the attenuation speed in the later stage gradually slows.
Figure 4.
Simulation convergence verification diagram.
3. Analysis of Simulation Operation Characteristics of Photothermal Storage Coupled Power Generation System
3.1. Parameter Design
According to the model construction part of the system to be reformed and the working modes of each part of the system, as well as the mathematical model and equation constructed, the simulation test parameters were calculated based on the operation data of a 30 MW small coal-fired unit. The parameters of each part of the simulation system are given in combination with the local meteorological data in Table 3.
Table 3.
Simulation system parameter settings.
3.2. Analysis of System Operation Characteristics
Due to the intermittent supply of solar energy, the stable power output of the system can only be guaranteed under the coordinated operation of the solar heat collection subsystem and the energy storage subsystem. Therefore, it is necessary to analyze the system’s operating characteristics. In this study, the model of the coupled solar thermal storage system and its operation characteristics were simulated and tested using Ebsilon software. The results of the system simulation test are analyzed in detail below.
3.2.1. Influence of DNI on Operation Performance of Power Station
During the power generation period, the local weather changes in real time, and the normal direct irradiance (DNI) value of the sun shining on the ground changes in a day. To complete the design of the optical storage power station and ensure its stable operation, it was necessary to explore the influence of different irradiances on its performance, using DNI-measuring instruments with a measuring accuracy of 1–3% to acquire the relevant data. For the change in solar irradiance in a year, the simulation results of four typical meteorological days, namely, vernal equinox, summer solstice, autumn equinox, and winter solstice, were selected for analysis. As shown in Figure 5, the period from 4 a.m. to 8 p.m. in a day was taken as the abscissa, and the DNI value at the corresponding time was taken as the ordinate. The four curves correspond to the curve relationship of the DNI value changing with time (h) on four typical days: the vernal equinox, summer solstice, autumn equinox, and winter solstice, respectively. In northern China, the solar radiation intensity is the strongest on the summer solstice, and the sunshine duration is longer than on other dates. Meanwhile, the solar radiation intensity is the weakest on the winter solstice, and the sunshine duration is relatively short. The solar radiation intensity is at a middle level on the vernal equinox compared with the autumn equinox.
Figure 5.
Typical daily DNI curve.
According to the simulation data for generator sets on four typical meteorological days, the time from 4 a.m. to 20:00 was taken as the horizontal axis. The DNI (normal direct solar irradiance) and the total amount of energy stored in the heat storage tank of the generator set were taken as the ordinate, among which the total amount of energy stored in the heat storage tank is a cumulative value, so the value will continuously increase in a year. Figure 6a–d correspond to four typical days of the spring equinox, summer solstice, autumn equinox, and winter solstice in a year, respectively.

Figure 6.
Variation curves of DNI and total energy storage on different typical weather days. (a) Variation curves of DNI and total energy storage on vernal equinox. (b) Variation curve of DNI and total energy storage on summer solstice. (c) Variation curve of DNI and total energy storage on autumnal equinox. (d) Variation curve of DNI and total energy storage on winter solstice.
According to the analysis in Figure 6, when the DNI changes with time during the day, the total amount of energy stored in the unit continuously increases, and the energy storage performance of the energy storage subsystem on the four typical days is the same during the day. Take Figure 6a as an example. On the summer solstice, the visible time of sunlight is between 7:00 a.m. and 19:00, the adequate utilization time of solar energy is longer, and the solar energy consumption hours of the unit are the largest. According to the total energy storage curve, the unit achieves the best operational performance between 9:00 a.m. and 10:00 a.m., and the energy storage subsystem stores heat from approximately 8:00 a.m. At approximately 16:00, the storage capacity of the energy storage subsystem is close to saturation. The trend of the energy storage rate can be analyzed clearly via the slope of the curve. The energy storage rate is faster in the morning but slows in the afternoon. However, the light intensity does not decrease simultaneously. This is because the energy storage capacity of the energy storage system is close to saturation, so the trend of the energy storage rate of the system slows down, and the energy stored by the energy storage subsystem at this time is used to supply the stable operation of the unit at night, according to the data analysis. This maintains the stable operation of the power station between 9 a.m. and 16:00. This is conducive to power production throughout the day.
3.2.2. Influence of Heat Collection Efficiency
Figure 7 shows the relationship curve between the effective reflectivity of the solar heat collection equipment and the annual power generation of the unit. The results show that the minimum effective reflectivity of the heat collection equipment for solar illumination is 0.7, and the maximum is 0.9. With the increase in the solar reflectivity of the heat collection equipment, the heat collection efficiency is improved, the operation performance of the power station is improved, and the annual power generation of the power station is increased. There is a positive proportional linear relationship between them. Therefore, the solar reflectivity design of heat collection equipment should be considered in the reconstruction scheme of a power station.
Figure 7.
Curve between power generation and reflectivity.
3.2.3. Influence of Energy Storage Duration
Figure 8 shows the relationship curve between different energy storage times (h) of the energy storage subsystem and the power generation of the unit. The figure shows that when other conditions are the same, the annual power generation of the system increases with the increase in the energy storage time. When the energy storage time is in the range of 5–8 h, the relationship between them is linear, and the growth is more significant. When the energy storage time exceeds 8 h, the annual power generation growth rate of the system begins to slow, and the relationship between them is no longer directly proportional. After more than 9 h, the annual power generation of the system does not change. In the design and reconstruction of the power station, the best energy storage time is 8 h.
Figure 8.
Generating capacity for different energy storage times of units.
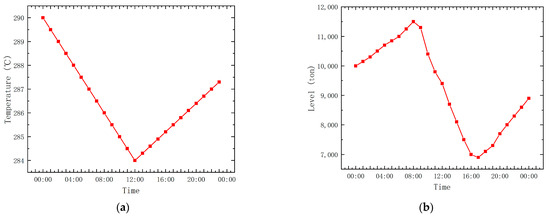
Figure 9 shows the relationship curve of the temperature change with time in the molten salt heat storage tank of the energy storage subsystem in one day and selects the simulation data of the summer solstice as the research object. As exhibited in Figure 9a, the temperature of the heat storage pipe shows a downward curve at night and rises after noon. The temperature change range is between 290 and 284 °C, which always meets the heat required for the system operation. As shown in Figure 9b, the liquid level of the heat storage tank continuously increases with time at night because the cold storage tank provides a heat supply system at night, and the liquid level of the hot storage tank increases accordingly. During the daytime, when the solar energy is sufficient, the hot tank begins to absorb heat, part of which is used for system operation. The other part is stored in the cold tank, so the liquid level decreases. In the evening, when the cold tank cooperates with the system to operate again, the liquid level of the hot tank increases.
Figure 9.
The characteristic curve of the state of the heat storage tank with time and temperature. (a) Variation trend of temperature in heat storage tank with time. (b) Variation trend of liquid level in heat storage tank with time.
4. Conclusions
This study aimed to develop a technical path for transforming a thermal storage coupling power station and combining the relevant modeling experience of conventional thermal power units. All parts of the power generation system to be transformed were modeled using Ebsilon software, and the corresponding simulation models were established by coupling the modular subsystem models. The collection of relevant data in the simulation process with Ebsilon software was quickly completed via the software’s functions. At the same time, the research results were more accurately reflected via data visualization. The influences of key parameters such as the illumination irradiance, thermal storage duration, and effective reflectivity of the mirror field on the power station’s operational performance were analyzed in detail. The ways to effectively improve the system’s annual power generation and significantly increase its economic benefits were investigated via the simulation test. It was necessary to improve the system’s stability, which is the primary condition for constructing safe and stable power generation system engineering. To improve the system’s operating efficiency, the operating efficiency of each subsystem was considered, including the illumination intensity, thermal efficiency, and energy storage time. To improve the stability of the power generation system, whether the total number of energy storage subsystems in the simulation results was reasonable, whether the annual power generation was standard, and whether the simulation verification was qualified were considered. The main conclusions are as follows:
- (1)
- The construction of the model in this study proved to be feasible after simulation verification. The system operation simulation test results demonstrate the high quality of the simulation process and the reliability of the simulation data. The technical transformation scheme is feasible.
- (2)
- The energy storage rate and amount of the subsystem are affected by changes in the solar radiation intensity in a day. During the day, the energy storage rate has a significant transition node and suddenly increases. This operational characteristic is due to the increase in the solar radiation intensity, which leads to an increase in the system operation performance. This result shows that when considering the system transformation scheme, we should consider the weather conditions in advance to deploy the energy storage plan for the heat storage tank. When there is enough sunshine in the day, we should open the heat storage tank in the period with the most vital sunshine to use the energy storage system most efficiently.
- (3)
- The effective reflectivity of the mirror field equipped with the solar heat collection subsystem is directly proportional to the annual power generation of the power station when the range is between 0.7 and 0.9. The results show that under the condition of controlling the cost, a mirror field with high reflectivity should be selected within the range of 0.7–0.9. It is unnecessary to select a mirror field with a reflectivity above 0.9 because its influence on power generation is relatively small at this time.
- (4)
- The annual power generation of the system is affected by the energy storage duration set by the energy storage subsystem. The annual power generation increases with an increase in the energy storage duration. The annual power generation increases with an energy storage time of 5–8 h. After 8 h, the growth rate begins to slow, and after 9 h, the annual power generation of the system does not change. The results show that the peak value of the positive influence of the thermal storage system on power generation is 8 h, so it can be used as a critical reference condition to complete the design of the thermal storage tank in the design process of power station reconstruction.
- (5)
- The operation state of the energy storage subsystem also changes with time during the day, which is reflected in the change in the temperature and liquid level in the heat storage tank during the heat storage release process, which differs between day and night. This shows that more electricity should be provided to the power grid in summer and autumn under sunny conditions during the day when participating in an online power supply. At the same time, the maintenance time of the power station should be reasonably planned to avoid equipment failure during the peak period of power generation.
The verification of the research results shows that it is feasible to transform a photo-thermal storage coupling power station based on a retired thermal power unit. In the power station transformation process, the climatic conditions, the thermal storage capacity of the thermal storage subsystem, the selection of solar heat collection equipment, and the real-time regulation of the day-and-night operation mode of the system should be considered to achieve the ideal effect in the transformation process of the project. Subsequent experiments can be carried out to optimize and transform the system’s operational performance.
Author Contributions
Conceptualization ideas, resources, supervision, and writing—original draft, F.W.; data curation, investigation, visualization, and writing—original draft, R.L.; formal analysis, methodology, and software, G.Z.; software and writing—review and editing, D.X.; project administration and writing—review and editing, W.W. All authors have read and agreed to the published version of the manuscript.
Funding
This research received no external funding.
Informed Consent Statement
Informed consent was obtained from all the subjects involved in this study.
Data Availability Statement
Data are contained within the article.
Conflicts of Interest
Authors Fangfang Wang, Guangjin Zhao and Dawei Xia was employed by the State Grid Henan Electric Power Company. The remaining authors declare that the research was conducted in the absence of any commercial or financial relationships that could be construed as a potential conflict of interest.
References
- Yao, S.; Yang, L.; Shi, S.; Zhou, Y.; Long, M.; Zhang, W.; Cai, S.; Huang, C.; Liu, T.; Zou, B. A Two-in-One Annealing Enables Dopant Free Block Copolymer Based Organic Solar Cells with over 16% Efficiency. Chin. J. Chem. 2023, 41, 672–678. [Google Scholar] [CrossRef]
- Liu, T.; Zhou, K.; Ma, R.; Zhang, L.; Huang, C.; Luo, Z.; Zhu, H.; Yao, S.; Yang, C.; Zou, B.; et al. Multifunctional all-polymer photovoltaic blend with simultaneously improved efficiency (18.04%), stability and mechanical durability. Aggregate 2023, 3, 2692–2710. [Google Scholar]
- Zhang, D.; Wang, J.; Lin, Y.; Si, Y.; Huang, C.; Yang, J.; Huang, B.; Li, W. Present situation and future prospect of renewable energy in China. Renew. Sustain. Energy Rev. 2017, 76, 865–871. [Google Scholar] [CrossRef]
- Sene, D.; Sarr, A.; Sako, M.K.; Ouattara, A.; Ndiaye, M.F.; Sambou, V. Evaluation and modeling of a solar photovoltaic power plant: Case of the Sakal plant. Energy Sustain. Dev. 2023, 76, 101287. [Google Scholar] [CrossRef]
- Mandys, F.; Chitnis, M.; Silva, S.R.P. Levelized cost estimates of solar photovoltaic electricity in the United Kingdom until 2035. Patterns 2023, 4, 100735. [Google Scholar] [CrossRef] [PubMed]
- Fang, X.; Li, X. Solar photovoltaic power station system based on composite heat source thermal power technology. Therm. Sci. 2023, 27, 967–973. [Google Scholar] [CrossRef]
- Xiao, Z. Heat transfer and mechanical characteristics of the absorber in solar photo-thermal power generation system. Therm. Sci. 2023, 27, 1023–1030. [Google Scholar] [CrossRef]
- Mladenov, V.; Chobanov, V.; Georgiev, A. Impact of Renewable Energy Sources on Power System Flexibility Requirements. Energies 2021, 14, 2813. [Google Scholar] [CrossRef]
- Jiang, Y.; Duan, L.; Tong, Y.; Yang, M.; Pang, L. A study on a novel solar contribution evaluation method for the solar-aided coal-fired power generation system. Front. Energy Res. 2022, 61, 1610–1613. [Google Scholar] [CrossRef]
- Zhao, Y.; Hong, H.; Jin, H. Evaluation criteria for enhanced solar–coal hybrid power plant performance. Appl. Therm. Eng. 2014, 73, 577–587. [Google Scholar] [CrossRef]
- Yu, J.; Zhang, F.; Zhang, S. Research on the perlormance of solar energy and coal-ired inlegraled powergeneralion syslem. Energy Anl Power 2023, 38, 92–100. [Google Scholar]
- Huang, C.; Hou, H.; Hu, E.; Liang, M.; Yang, Y. Impact of power station capacities and sizes of solar field on the performance of solar aided power generation. Energy 2017, 139, 667–679. [Google Scholar] [CrossRef]
- Ma, T.; Wang, Y.; Lyu, K.; Shi, X.; Xu, P.; Zhang, J.; He, Q. Research Progress on Flexibility Transformation Technology of Coupled Energy Storage for Thermal Power Units Under the “Dual-carbon” Goal. Proc. CSEE 2022, 42, 136–148. [Google Scholar]
- Li, D.; Cai, W. Optimal configuration of photovoltaic energy storage capacity for large power users. Energy Rep. 2021, 7, 468–478. [Google Scholar] [CrossRef]
- Li, J.; Wu, Y.; Li, D.; Liang, J.; Chen, H.; Ma, Y.; Xiong, F.; Guo, J. Optimal configuration for the wind-solar complementary energy storage capacity based on improved harmony search algorithm. J. Phys. Conf. Ser. 2023, 2598, 52–115. [Google Scholar] [CrossRef]
- Wang, H.; Li, J.; Zhu, P.; Wang, J.; Zhang, C. Hundred-megawatt molten salt heat storage system for deep peak shaving of thermal power plant. Energy Storage Sci. Technol. 2021, 10, 1760–1767. [Google Scholar]
- Li, B.; Chen, J.; Li, C.; Chen, H.; Ji, L. Research on Coupling Schemes of a Compressed Air Energy Storage System and Thermal Power Unit. J. Chin. Soc. Power Eng. 2021, 41, 244–250. [Google Scholar]
- Li, J.; Qi, W.; Xu, X.; Xu, J.; Wei, P. Capacity Coordination Planning Model of wind solar storage hybrid power system. IOP Conf. Ser. Earth Environ. Sci. 2021, 631, 012–099. [Google Scholar] [CrossRef]
- Shrestha, G.B.; Goel, L. A study on optimal sizing of stand-alone photovoltaic stations. IEEE Trans. Energy Convers. 1998, 13, 373–378. [Google Scholar] [CrossRef]
- Wang, P. Research on application of energy storage technology in new energy power system. China Pet. Chem. Stand. Qual. 2022, 42, 172–174. [Google Scholar]
- Mubarrat, M.; Mashfy, M.M.; Farhan, T.; Ehsan, M.M. Research Advancement and Potential Prospects of Thermal Energy Storage in Concentrated Solar Power Application. Int. J. Thermofluids 2023, 20, 100431. [Google Scholar] [CrossRef]
- Yang, T.; Liu, Z.; Zeng, D.; Zhu, Y. Simulation and evaluation of flexible enhancement of thermal power unit coupled with flywheel energy storage array. Energy 2023, 281, 128239. [Google Scholar] [CrossRef]
- Spyridonidou, S.; Vagiona, D.G. A systematic review of site-selection procedures of PV and CSP technologies. Energy Rep. 2023, 9, 2947–2979. [Google Scholar] [CrossRef]
- Abdullah, F.S.; Mohammed, R.A.; Hameed, F.I. Thermal Design Developing for Steam Power Plants by Using Concentrating Solar Power (CSP) Technologies. J. Eur. Des. Syst. Autom. 2022, 55, 615–621. [Google Scholar] [CrossRef]
- Khatoon, S.; Kim, M.-H. Performance analysis of carbon dioxide based combined power cycle for concentrating solar power. Energy Convers. Manag. 2020, 205, 112416. [Google Scholar] [CrossRef]
- Xu, M.; Cui, Y.; Wang, T.; Zhang, Y.; Guo, Y.; Zhang, X. Optimal Dispatch of Wind Power, Photovoltaic Power, Concentrating Solar Power, and Thermal Power in Case of Uncertain Output. Energies 2022, 15, 8215. [Google Scholar] [CrossRef]
Disclaimer/Publisher’s Note: The statements, opinions and data contained in all publications are solely those of the individual author(s) and contributor(s) and not of MDPI and/or the editor(s). MDPI and/or the editor(s) disclaim responsibility for any injury to people or property resulting from any ideas, methods, instructions or products referred to in the content. |
© 2024 by the authors. Licensee MDPI, Basel, Switzerland. This article is an open access article distributed under the terms and conditions of the Creative Commons Attribution (CC BY) license (https://creativecommons.org/licenses/by/4.0/).









