A Comparative Analysis of Actuator-Based Turbine Structure Parametrizations for High-Fidelity Modeling of Utility-Scale Wind Turbines under Neutral Atmospheric Conditions
Abstract
1. Introduction
2. Methodology
2.1. Equations of Flow Motion
2.2. Actuator Line and Surface Models
2.2.1. Blade Model
2.2.2. Nacelle Model
2.3. Turbine Control System
3. Computational Details
4. Grid Sensitivity Analysis
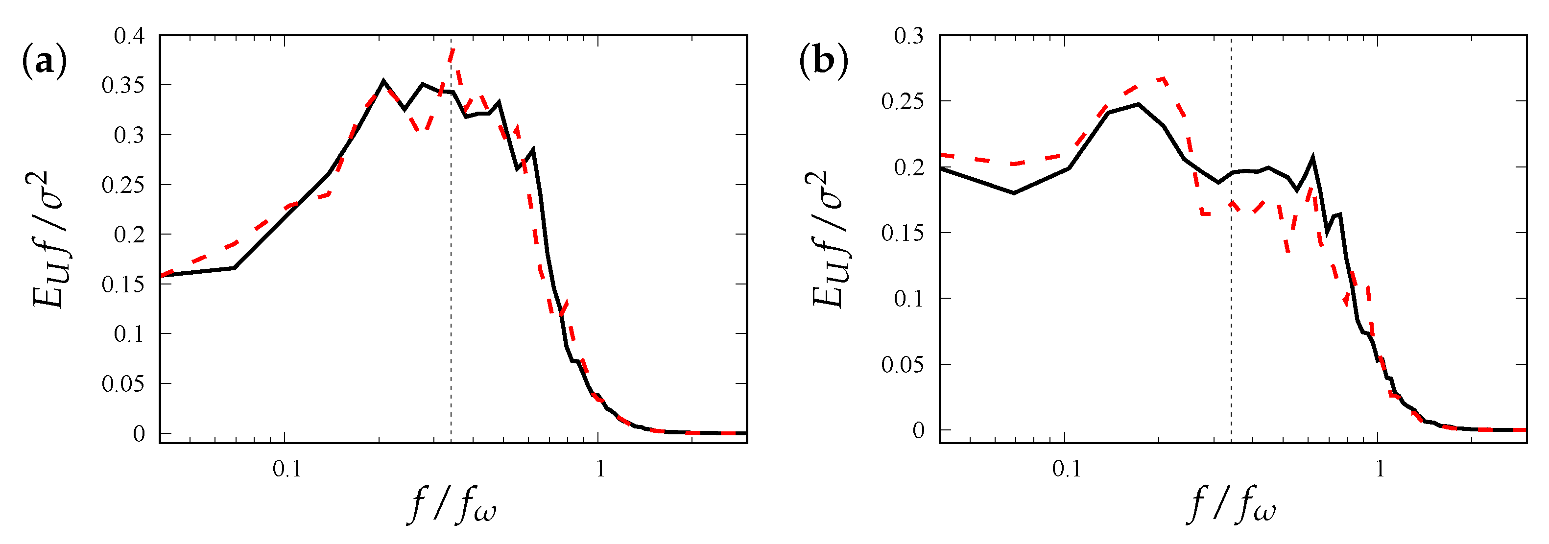
5. Results and Discussion
6. Conclusions
Author Contributions
Funding
Data Availability Statement
Conflicts of Interest
References
- Newman, B. The spacing of wind turbines in large arrays. Energy Convers. 1977, 16, 169–171. [Google Scholar] [CrossRef]
- Lissaman, P. Energy Effectiveness of Arbitrary Arrays of Wind Turbines. J. Energy 1979, 3, 323–328. [Google Scholar] [CrossRef]
- Jensen, N. A Note on Wind Generator Interaction; Risø National Laboratory: Roskilde, Denmark, 1983. [Google Scholar]
- Katić, I.; Højstrup, J.; Jensen, N. A simple model for cluster efficiency. In Proceedings of the EWEC’86, Rome, Italy, 7–9 October 1986; Volume 1, pp. 407–410. [Google Scholar]
- Frandsen, S. On the wind speed reduction in the center of large clusters of wind turbines. J. Wind. Eng. Ind. Aerodyn. 1992, 39, 251–265. [Google Scholar] [CrossRef]
- Santoni, C.; Ciri, U.; Rotea, M.; Leonardi, S. Development of a high fidelity CFD code for wind farm control. In Proceedings of the American Control Conference, Chicago, IL, USA, 1–3 July 2015; Volume 2015. [Google Scholar] [CrossRef]
- Bastankhah, M.; Porté-Agel, F. A new analytical model for wind-turbine wakes. Renew. Energy 2014, 70, 116–123. [Google Scholar] [CrossRef]
- Bastankhah, M.; Porté-Agel, F. Experimental and theoretical study of wind turbine wakes in yawed conditions. J. Fluid Mech. 2016, 806, 506–541. [Google Scholar] [CrossRef]
- Niayifar, A.; Porté-Agel, F. A new analytical model for wind farm power prediction. J. Physics Conf. Ser. 2015, 625, 012039. [Google Scholar] [CrossRef]
- Blondel, F.; Cathelain, M. An alternative form of the super-Gaussian wind turbine wake model. Wind. Energy Sci. 2020, 5, 1225–1236. [Google Scholar] [CrossRef]
- King, J.; Fleming, P.; King, R.; Martínez-Tossas, L.; Bay, C.; Mudafort, R.; Simley, E. Control-oriented model for secondary effects of wake steering. Wind. Energy Sci. 2021, 6, 701–714. [Google Scholar] [CrossRef]
- Sood, I.; Meyers, J. Tuning of an engineering wind farm model using measurements from Large Eddy Simulations. J. Physics Conf. Ser. 2022, 2265, 022045. [Google Scholar] [CrossRef]
- Bay, C.; Fleming, P.; Doekemeijer, B.; King, J.; Churchfield, M.; Mudafort, R. Addressing deep array effects and impacts to wake steering with the cumulative-curl wake model. Wind. Energy Sci. 2023, 8, 401–419. [Google Scholar] [CrossRef]
- Sørensen, J.; Kock, C. A model for unsteady rotor aerodynamics. J. Wind. Eng. Ind. Aerodyn. 1995, 58, 259–275. [Google Scholar] [CrossRef]
- Masson, C.; Ammara, I.; Paraschivoiu, I. An Aerodynamic Method for the Analysis of Isolated Horizontal-Axis Wind Turbines. Int. J. Rotating Mach. 1997, 3, 21–32. [Google Scholar] [CrossRef]
- Sørensen, J.; Shen, W.; Munduate, X. Analysis of wake states by a full-field actuator disc model. Wind Energy 1998, 1, 73–88. [Google Scholar] [CrossRef]
- Sørensen, J.N.; Shen, W.Z. Numerical Modeling of Wind Turbine Wakes. J. Fluids Eng. 2002, 124, 393–399. [Google Scholar] [CrossRef]
- Jimenez, A.; Crespo, A.; Migoya, E.; Garcia, J. Large-eddy simulation of spectral coherence in a wind turbine wake. Environ. Res. Lett. 2008, 3, 015004. [Google Scholar] [CrossRef]
- Wu, Y.; Porté-Agel, F. Large-Eddy Simulation of Wind-Turbine Wakes: Evaluation of Turbine Parametrisations. Bound.-Layer Meteorol. 2011, 138, 345–366. [Google Scholar] [CrossRef]
- Ciri, U.; Rotea, M.; Santoni, C.; Leonardi, S. Large-eddy simulations with extremum-seeking control for individual wind turbine power optimization. Wind Energy 2017, 20, 1617–1634. [Google Scholar] [CrossRef]
- Yang, X.; Sotiropoulos, F. A new class of actuator surface models for wind turbines. Wind Energy 2018, 21, 285–302. [Google Scholar] [CrossRef]
- Shapiro, C.; Gayme, D.; Meneveau, C. Filtered actuator disks: Theory and application to wind turbine models in large eddy simulation. Wind Energy 2019, 22, 1414–1420. [Google Scholar] [CrossRef]
- Bontempo, R.; Manna, M. A ring-vortex actuator disk method for wind turbines including hub effects. Energy Convers. Manag. 2019, 195, 672–681. [Google Scholar] [CrossRef]
- Sørensen, J.; Myken, A. Unsteady actuator disc model for horizontal axis wind turbines. J. Wind Eng. Ind. Aerodyn. 1992, 39, 139–149. [Google Scholar] [CrossRef]
- Glauert, H. The Elements of Aerofoil and Airscrew Theory; Cambridge University Press: Cambridge, UK, 1983; Volume 69, p. 100. [Google Scholar] [CrossRef]
- Jimenez, A.; Crespo, A.; Migoya, E.; Garcia, J. Advances in large-eddy simulation of a wind turbine wake. J. Physics Conf. Ser. 2007, 75, 012041. [Google Scholar] [CrossRef]
- Meyers, J.; Meneveau, C. Large Eddy Simulations of Large Wind-Turbine Arrays in the Atmospheric Boundary Layer. In Proceedings of the 48th AIAA Aerospace Sciences Meeting Including the New Horizons Forum and Aerospace Exposition, Orlando, FL, UDA, 4–7 January 2010; American Institute of Aeronautics and Astronautics: Reston, VI, USA, 2010. [Google Scholar] [CrossRef]
- Sorensen, N.; Michelsen, J. Aerodynamic predictions for the Unsteady Aerodynamics Experiment Phase-II rotor at the National Renewable Energy Laboratory. In Proceedings of the 2000 ASME Wind Energy Symposium, Reston, VI, USA, 10–13 January 2000; American Institute of Aeronautics and Astronautics: Reston, VI, USA, 2000. [Google Scholar] [CrossRef]
- Martínez-Tossas, L.; Churchfield, M.; Leonardi, S. Large eddy simulations of the flow past wind turbines: Actuator line and disk modeling. Wind Energy 2015, 18, 1047–1060. [Google Scholar] [CrossRef]
- Martínez-Tossas, L.; Churchfield, M.; Meneveau, C. Optimal smoothing length scale for actuator line models of wind turbine blades based on Gaussian body force distribution. Wind Energy 2017, 20, 1083–1096. [Google Scholar] [CrossRef]
- Martínez-Tossas, L.; Meneveau, C. Filtered lifting line theory and application to the actuator line model. J. Fluid Mech. 2019, 863, 269–292. [Google Scholar] [CrossRef]
- Zhang, W.; Markfort, C.; Porté-Agel, F. Near-wake flow structure downwind of a wind turbine in a turbulent boundary layer. Exp. Fluids 2012, 52, 1219–1235. [Google Scholar] [CrossRef]
- Schito, P. Large Eddy Simulation of Wind Turbines: Interaction with Turbulent Flow. Ph.D. Thesis, Politecnico di Milano, Milan, Italy, 2011. [Google Scholar]
- Felli, M.; Camussi, R.; Di Felice, F. Mechanisms of evolution of the propkller wake in the transition and far fields. J. Fluid Mech. 2011, 682, 5–53. [Google Scholar] [CrossRef]
- Kang, S.; Yang, X.; Sotiropoulos, F. On the onset of wake meandering for an axial flow turbine in a turbulent open channel flow. J. Fluid Mech. 2014, 744, 376–403. [Google Scholar] [CrossRef]
- Santoni, C.; Carrasquillo, K.; Arenas-Navarro, I.; Leonardi, S. Effect of tower and nacelle on the flow past a wind turbine. Wind Energy 2017, 20, 1927–1939. [Google Scholar] [CrossRef]
- Foti, D.; Yang, X.; Sotiropoulos, F. Similarity of wake meandering for different wind turbine designs for different scales. J. Fluid Mech. 2018, 842, 5–25. [Google Scholar] [CrossRef]
- Iungo, G.; Viola, F.; Camarri, S.; Porté-Agel, F.; Gallaire, F. Linear stability analysis of wind turbine wakes performed on wind tunnel measurements. J. Fluid Mech. 2013, 737, 499–526. [Google Scholar] [CrossRef]
- Foti, D.; Yang, X.; Guala, M.; Sotiropoulos, F. Wake meandering statistics of a model wind turbine: Insights gained by large eddy simulations. Phys. Rev. Fluids 2016, 1, 044407. [Google Scholar] [CrossRef]
- Churchfield, M.; Lee, S.; Michalakes, J.; Moriarty, P. A numerical study of the effects of atmospheric and wake turbulence on wind turbine dynamics. J. Turbul. 2012, 13, N14. [Google Scholar] [CrossRef]
- Meng, H.; Lien, F.S.; Li, L. Elastic actuator line modelling for wake-induced fatigue analysis of horizontal axis wind turbine blade. Renew. Energy 2018, 116, 423–437. [Google Scholar] [CrossRef]
- Yu, Z.; Hu, Z.; Zheng, X.; Ma, Q.; Hao, H. Aeroelastic Performance Analysis of Wind Turbine in the Wake with a New Elastic Actuator Line Model. Water 2020, 12, 1233. [Google Scholar] [CrossRef]
- Spyropoulos, N.; Prospathopoulos, J.; Manolas, D.; Papadakis, G.; Riziotis, V. Development of a fluid structure interaction tool based on an actuator line model. J. Physics Conf. Ser. 2020, 1618, 052072. [Google Scholar] [CrossRef]
- Della Posta, G.; Ciri, U.; Leonardi, S.; Bernardini, M. A Novel Two-Way Coupling Method for the Study of the Aeroelasticity of Wind Turbines in A Large Eddy Simulation Framework. In Proceedings of the European Conference on Turbomachinery Fluid Dynamics and Thermodynamics, Virtual, 12–16 April 2021. [Google Scholar] [CrossRef]
- Della Posta, G.; Leonardi, S.; Bernardini, M. A two-way coupling method for the study of aeroelastic effects in large wind turbines. Renew. Energy 2022, 190, 971–992. [Google Scholar] [CrossRef]
- Hodgson, E.; Grinderslev, C.; Meyer Forsting, A.; Troldborg, N.; Sørensen, N.; Sørensen, J.; Andersen, S. Validation of Aeroelastic Actuator Line for Wind Turbine Modelling in Complex Flows. Front. Energy Res. 2022, 10, 864645. [Google Scholar] [CrossRef]
- Santoni, C.; Khosronejad, A.; Yang, X.; Seiler, P.; Sotiropoulos, F. Coupling turbulent flow with blade aeroelastics and control modules in large-eddy simulation of utility-scale wind turbines. Phys. Fluids 2023, 35, 015140. [Google Scholar] [CrossRef]
- Draper, M.; Usera, G. Evaluation of the Actuator Line Model with coarse resolutions. J. Physics Conf. Ser. 2015, 625, 012021. [Google Scholar] [CrossRef]
- Draper, M.; Guggeri, A.; Usera, G. Validation of the Actuator Line Model with coarse resolution in atmospheric sheared and turbulent inflow. J. Physics Conf. Ser. 2016, 753, 082007. [Google Scholar] [CrossRef]
- Germano, M.; Piomelli, U.; Moin, P.; Cabot, W.H. A dynamic subgrid-scale eddy viscosity model. Phys. Fluids Fluid Dyn. 1991, 3, 1760–1765. [Google Scholar] [CrossRef]
- Kim, J.; Moin, P. Application of a fractional-step method to incompressible Navier-Stokes equations. J. Comput. Phys. 1985, 59, 308–323. [Google Scholar] [CrossRef]
- Froude, W. On the Elementary Relation between Pitch, Slip and Propulsive Efficiency; Institution of Naval Architects: London, UK, 1878. [Google Scholar]
- Yang, X.; Zhang, X.; Li, Z.; He, G.W. A smoothing technique for discrete delta functions with application to immersed boundary method in moving boundary simulations. J. Comput. Phys. 2009, 228, 7821–7836. [Google Scholar] [CrossRef]
- Du, Z.; Selig, M. A 3-D stall-delay model for horizontal axis wind turbine performance prediction. In Proceedings of the 1998 ASME Wind Energy Symposium, Reno, NV, USA, 12–15 January 1998. [Google Scholar] [CrossRef]
- Shen, W.Z.; Mikkelsen, R.; Sørensen, J.N.; Bak, C. Tip loss corrections for wind turbine computations. Wind Energy 2005, 8, 457–475. [Google Scholar] [CrossRef]
- Schultz-Grunow, F. Neues Reibungswiderstandsgesetz für glatte Platten. Luftfahrtforschung 1940, 17, 239–246. [Google Scholar]
- Burton, T.; Sharpe, D.; Jenkins, N.; Bossanyi, E. Wind Energy Handbook; Wiley: Hoboken, NJ, USA, 2011. [Google Scholar]
- Santoni, C.; Khosronejad, A.; Seiler, P.; Sotiropoulos, F. Toward control co-design of utility-scale wind turbines: Collective vs. individual blade pitch control. Energy Rep. 2023, 9, 793–806. [Google Scholar] [CrossRef]
- Shen, W.; Zhu, W.J.; Sørensen, J. Actuator line/Navier–Stokes computations for the MEXICO rotor: Comparison with detailed measurements. Wind Energy 2012, 15, 811–825. [Google Scholar] [CrossRef]
- Nilsson, K.; Shen, W.; Sørensen, J.; Breton, S.; Ivanell, S. Validation of the actuator line method using near wake measurements of the MEXICO rotor. Wind Energy 2015, 18, 499–514. [Google Scholar] [CrossRef]
- Zhang, Z.; Santoni, C.; Herges, T.; Sotiropoulos, F.; Khosronejad, A. Time-Averaged Wind Turbine Wake Flow Field Prediction Using Autoencoder Convolutional Neural Networks. Energies 2022, 15, 41. [Google Scholar] [CrossRef]
- Chamorro, L.; Porté-Agel, F. Effects of Thermal Stability and Incoming Boundary-Layer Flow Characteristics on Wind-Turbine Wakes: A Wind-Tunnel Study. Bound.-Layer Meteorol. 2010, 136, 515–533. [Google Scholar] [CrossRef]
- Viola, F.; Iungo, G.; Camarri, S.; Porté-Agel, F.; Gallaire, F. Prediction of the hub vortex instability in a wind turbine wake: Stability analysis with eddy-viscosity models calibrated on wind tunnel data. J. Fluid Mech. 2014, 750, R1. [Google Scholar] [CrossRef]
- Medici, D.; Alfredsson, P. Measurements on a wind turbine wake: 3D effects and bluff body vortex shedding. Wind Energy 2006, 9, 219–236. [Google Scholar] [CrossRef]
- Medici, D.; Alfredsson, P. Measurements behind model wind turbines: Further evidence of wake meandering. Wind Energy 2008, 11, 211–217. [Google Scholar] [CrossRef]
- Chamorro, L.; Porté-Agel, F. A wind-tunnel investigation of wind-turbine wakes: Boundary-Layer turbulence effects. Bound.-Layer Meteorol. 2009, 132, 129–149. [Google Scholar] [CrossRef]













| s | |||
| R | 48 m | N m s | |
| G | N m |
Disclaimer/Publisher’s Note: The statements, opinions and data contained in all publications are solely those of the individual author(s) and contributor(s) and not of MDPI and/or the editor(s). MDPI and/or the editor(s) disclaim responsibility for any injury to people or property resulting from any ideas, methods, instructions or products referred to in the content. |
© 2024 by the authors. Licensee MDPI, Basel, Switzerland. This article is an open access article distributed under the terms and conditions of the Creative Commons Attribution (CC BY) license (https://creativecommons.org/licenses/by/4.0/).
Share and Cite
Santoni, C.; Sotiropoulos, F.; Khosronejad, A. A Comparative Analysis of Actuator-Based Turbine Structure Parametrizations for High-Fidelity Modeling of Utility-Scale Wind Turbines under Neutral Atmospheric Conditions. Energies 2024, 17, 753. https://doi.org/10.3390/en17030753
Santoni C, Sotiropoulos F, Khosronejad A. A Comparative Analysis of Actuator-Based Turbine Structure Parametrizations for High-Fidelity Modeling of Utility-Scale Wind Turbines under Neutral Atmospheric Conditions. Energies. 2024; 17(3):753. https://doi.org/10.3390/en17030753
Chicago/Turabian StyleSantoni, Christian, Fotis Sotiropoulos, and Ali Khosronejad. 2024. "A Comparative Analysis of Actuator-Based Turbine Structure Parametrizations for High-Fidelity Modeling of Utility-Scale Wind Turbines under Neutral Atmospheric Conditions" Energies 17, no. 3: 753. https://doi.org/10.3390/en17030753
APA StyleSantoni, C., Sotiropoulos, F., & Khosronejad, A. (2024). A Comparative Analysis of Actuator-Based Turbine Structure Parametrizations for High-Fidelity Modeling of Utility-Scale Wind Turbines under Neutral Atmospheric Conditions. Energies, 17(3), 753. https://doi.org/10.3390/en17030753

