On the Preferential Concentration of Particles in Turbulent Channel Flow: The Effect of the Added-Mass Factor
Abstract
1. Introduction
2. Materials and Methods
2.1. Physical Model
2.2. Numerical Methods
3. Results and Discussion
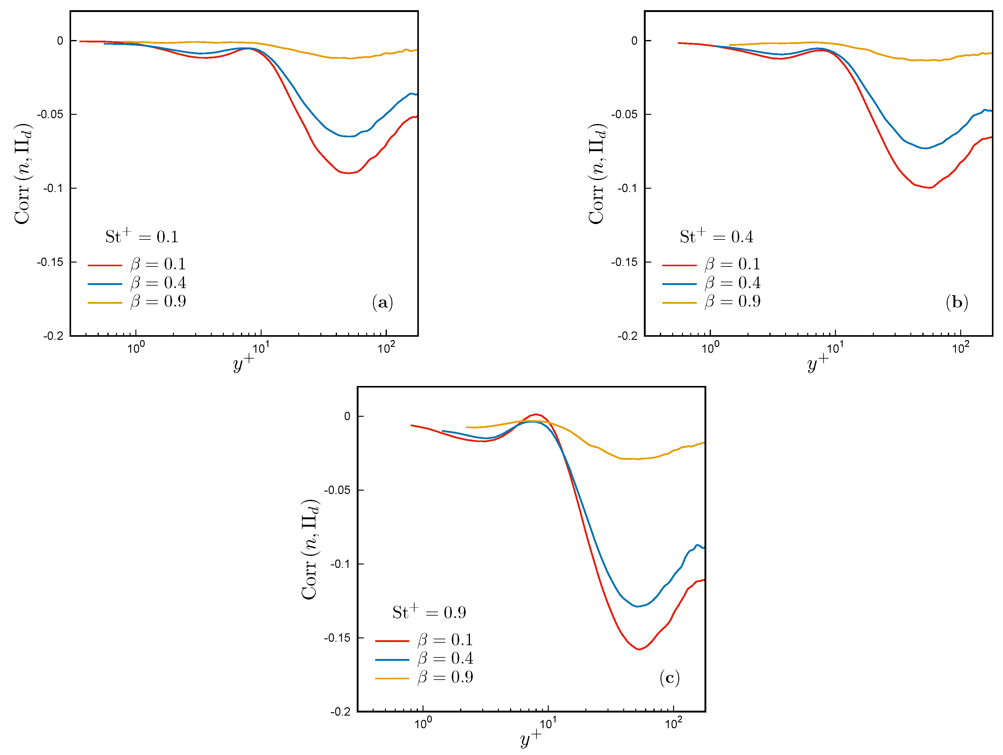
3.1. Particle Distribution
3.2. Flow Topology
4. Conclusions
Author Contributions
Funding
Data Availability Statement
Acknowledgments
Conflicts of Interest
References
- Brandt, L.; Coletti, F. Particle-Laden Turbulence: Progress and Perspectives. Annu. Rev. Fluid Mech. 2022, 54, 159–189. [Google Scholar] [CrossRef]
- Lohse, D. Bubble puzzles: From fundamentals to applications. Phys. Rev. Fluids 2018, 3, 110504. [Google Scholar] [CrossRef]
- Kuerten, J.G.M. Point-Particle DNS and LES of Particle-Laden Turbulent flow—A state-of-the-art review. Flow Turbul. Combust. 2016, 97, 689–713. [Google Scholar] [CrossRef]
- Riley, J.J.; Patterson, G.S., Jr. Diffusion experiments with numerically integrated isotropic turbulence. Phys. Fluids 1974, 17, 292–297. [Google Scholar] [CrossRef]
- Maxey, M.R.; Riley, J.J. Equation of motion for a small rigid sphere in a nonuniform flow. Phys. Fluids 1983, 26, 883–889. [Google Scholar] [CrossRef]
- Armenio, V.; Fiorotto, V. The importance of the forces acting on particles in turbulent flows. Phys. Fluids 2001, 13, 2437–2440. [Google Scholar] [CrossRef]
- Squires, K.D.; Eaton, J.K. Particle response and turbulence modification in isotropic turbulence. Phys. Fluids A Fluid Dyn. 1990, 2, 1191–1203. [Google Scholar] [CrossRef]
- Squires, K.D.; Eaton, J.K. Preferential concentration of particles by turbulence. Phys. Fluids A Fluid Dyn. 1991, 3, 1169–1178. [Google Scholar] [CrossRef]
- Boivin, M.; Simonin, O.; Squires, K. Direct numerical simulation of turbulence modulation by particles in isotropic turbulence. J. Fluid Mech. 1998, 375, 235–263. [Google Scholar] [CrossRef]
- Goto, S.; Vassilicos, J. Sweep-stick mechanism of heavy particle clustering in fluid turbulence. Phys. Rev. Lett. 2008, 100, 054503. [Google Scholar] [CrossRef]
- Salazar, J.P.L.C.; Collins, L.R. Inertial particle relative velocity statistics in homogeneous isotropic turbulence. J. Fluid Mech. 2012, 696, 45–66. [Google Scholar] [CrossRef]
- McLaughlin, J.B. Aerosol particle deposition in numerically simulated channel flow. Phys. Fluids A Fluid Dyn. 1989, 1, 1211–1224. [Google Scholar] [CrossRef]
- Brooke, J.W.; Kontomaris, K.; Hanratty, T.J.; McLaughlin, J.B. Turbulent deposition and trapping of aerosols at a wall. Phys. Fluids A Fluid Dyn. 1992, 4, 825–834. [Google Scholar] [CrossRef]
- Rouson, D.W.I.; Eaton, J.K. On the preferential concentration of solid particles in turbulent channel flow. J. Fluid Mech. 2001, 428, 149–169. [Google Scholar] [CrossRef]
- Marchioli, C.; Soldati, A. Mechanisms for particle transfer and segregation in a turbulent boundary layer. J. Fluid Mech. 2002, 468, 283–315. [Google Scholar] [CrossRef]
- Vreman, A.W. Turbulence characteristics of particle-laden pipe flow. J. Fluid Mech. 2007, 584, 235–279. [Google Scholar] [CrossRef]
- Eaton, J.; Fessler, J. Preferential concentration of particles by turbulence. Int. J. Multiph. Flow 1994, 20, 169–209. [Google Scholar] [CrossRef]
- Coleman, S.W.; Vassilicos, J.C. A unified sweep-stick mechanism to explain particle clustering in two- and three-dimensional homogeneous, isotropic turbulence. Phys. Fluids 2009, 21, 113301. [Google Scholar] [CrossRef]
- Baker, L.; Frankel, A.; Mani, A.; Coletti, F. Coherent clusters of inertial particles in homogeneous turbulence. J. Fluid Mech. 2017, 833, 364–398. [Google Scholar] [CrossRef]
- Petersen, A.J.; Baker, L.; Coletti, F. Experimental study of inertial particles clustering and settling in homogeneous turbulence. J. Fluid Mech. 2019, 864, 925–970. [Google Scholar] [CrossRef]
- Bragg, A.D.; Collins, L.R. New insights from comparing statistical theories for inertial particles in turbulence: I. Spatial distribution of particles. New J. Phys. 2014, 16, 055013. [Google Scholar] [CrossRef]
- Wang, L.P.; Maxey, M.R. Settling velocity and concentration distribution of heavy particles in homogeneous isotropic turbulence. J. Fluid Mech. 1993, 256, 27–68. [Google Scholar] [CrossRef]
- Pedinotti, S.; Mariotti, G.; Banerjee, S. Direct numerical simulation of particle behaviour in the wall region of turbulent flows in horizontal channels. Int. J. Multiph. Flow 1992, 18, 927–941. [Google Scholar] [CrossRef]
- Fessler, J.R.; Kulick, J.D.; Eaton, J.K. Preferential concentration of heavy particles in a turbulent channel flow. Phys. Fluids 1994, 6, 3742–3749. [Google Scholar] [CrossRef]
- Wang, L.P.; Maxey, M.R. The Motion of Microbubbles in a Forced Isotropic and Homogeneous Turbulence. In Proceedings of the Advances in Turbulence IV, Lyon, France, 1–4 July 1986; Nieuwstadt, F.T.M., Ed.; Springer: Dordrecht, The Netherlands, 1993; pp. 291–296. [Google Scholar]
- Aliseda, A.; Lasheras, J.C. Preferential concentration and rise velocity reduction of bubbles immersed in a homogeneous and isotropic turbulent flow. Phys. Fluids 2011, 23, 093301. [Google Scholar] [CrossRef]
- Boffetta, G.; Celani, A.; Lillo, F.D.; Musacchio, S. The Eulerian description of dilute collisionless suspension. Europhys. Lett. 2007, 78, 14001. [Google Scholar] [CrossRef][Green Version]
- Behera, D.; Nandi, B.K. Effect of coal particle density on coal properties and combustion characteristics. Powder Technol. 2021, 382, 594–604. [Google Scholar] [CrossRef]
- Jiménez, J.; Moin, P. The minimal flow unit in near-wall turbulence. J. Fluid Mech. 1991, 225, 213–240. [Google Scholar] [CrossRef]
- Morsi, S.A.; Alexander, A.J. An investigation of particle trajectories in two-phase flow systems. J. Fluid Mech. 1972, 55, 193–208. [Google Scholar] [CrossRef]
- Kim, J.; Moin, P.; Moser, R. Turbulence statistics in fully developed channel flow at low reynolds number. J. Fluid Mech. 1987, 177, 133–166. [Google Scholar] [CrossRef]
- Canuto, C.; Hussaini, M.Y.; Quarteroni, A.; Zang, T.A. Spectral Methods in Fluid Dynamics; Springer: Berlin/Heidelberg, Germany, 1988. [Google Scholar] [CrossRef]
- Thual, O. Transition Vers La Turbulence dans Des Systèmes Dynamiques Apparentés a La Convection. Ph.D. Thesis, Universitè de Nice-Sophia Antipolis, Nice, France, 1986. [Google Scholar]
- Kleiser, L.; Schumann, U. Treatment of incompressibility and boundary conditions in 3-D numerical spectral simulations of plane channel flows. In Proceedings of the 3rd GAMM Conference on Numerical Methods in Fluid Mechanics, Cologne, Germany, 10–12 October 1979; (Notes on Numerical Fluid Mechanics. Volume 2). Hirschel, E.H., Ed.; Vieweg: Braunschweig, Germany, 1980; pp. 165–173. [Google Scholar]
- Elghobashi, S. On predicting particle-laden turbulent flows. Appl. Sci. Res. 1994, 52, 309–329. [Google Scholar] [CrossRef]
- Zandi Pour, H.R.; Iovieno, M. Heat Transfer in a Non-Isothermal Collisionless Turbulent Particle-Laden Flow. Fluids 2022, 7, 345. [Google Scholar] [CrossRef]
- Young, J.B.; Hanratty, T.J. Trapping of solid particles at a wall in a turbulent flow. AIChE J. 1991, 37, 1529–1536. [Google Scholar] [CrossRef]
- Reeks, M.W. The transport of discrete particles in inhomogeneous turbulence. J. Aerosol Sci. 1983, 14, 729–739. [Google Scholar] [CrossRef]
- Smith, C.R.; Metzler, S.P. The characteristics of low-speed streaks in the near-wall region of a turbulent boundary layer. J. Fluid Mech. 1983, 129, 27–54. [Google Scholar] [CrossRef]







| t | ||||||
|---|---|---|---|---|---|---|
| Run 1 | 0.1 | 14.50 | 0.1 | 5,120,000 | 24 | |
| 0.4 | 5,120,000 | |||||
| 0.9 | 5,120,000 | |||||
| Run 2 | 0.4 | 3.25 | 0.1 | 5,120,000 | 24 | |
| 0.4 | 5,120,000 | |||||
| 0.9 | 5,120,000 | |||||
| Run 3 | 0.9 | 1.17 | 0.1 | 5,120,000 | 24 | |
| 0.4 | 5,120,000 | |||||
| 0.9 | 5,120,000 |
Disclaimer/Publisher’s Note: The statements, opinions and data contained in all publications are solely those of the individual author(s) and contributor(s) and not of MDPI and/or the editor(s). MDPI and/or the editor(s) disclaim responsibility for any injury to people or property resulting from any ideas, methods, instructions or products referred to in the content. |
© 2024 by the authors. Licensee MDPI, Basel, Switzerland. This article is an open access article distributed under the terms and conditions of the Creative Commons Attribution (CC BY) license (https://creativecommons.org/licenses/by/4.0/).
Share and Cite
Zaza, D.; Iovieno, M. On the Preferential Concentration of Particles in Turbulent Channel Flow: The Effect of the Added-Mass Factor. Energies 2024, 17, 783. https://doi.org/10.3390/en17040783
Zaza D, Iovieno M. On the Preferential Concentration of Particles in Turbulent Channel Flow: The Effect of the Added-Mass Factor. Energies. 2024; 17(4):783. https://doi.org/10.3390/en17040783
Chicago/Turabian StyleZaza, Domenico, and Michele Iovieno. 2024. "On the Preferential Concentration of Particles in Turbulent Channel Flow: The Effect of the Added-Mass Factor" Energies 17, no. 4: 783. https://doi.org/10.3390/en17040783
APA StyleZaza, D., & Iovieno, M. (2024). On the Preferential Concentration of Particles in Turbulent Channel Flow: The Effect of the Added-Mass Factor. Energies, 17(4), 783. https://doi.org/10.3390/en17040783

